OPTICAL FIBER
Introduction
Fiber optics deals with the light propagation through thin glass fibers.
Fiber optics plays an important role in the field of communication to transmit voice,
television and digital data signals fro one place to another. The transmission of light
along the thin cylindrical glass fiber by total internal reflection was first demonstrated
by John Tyndall in 1870 and the application of this phenomenon in the field of
communication is tried only from 1927. Today the applications of fiber optics
are also extended to medical field in the form of endoscopes and to instrumentation
engineering in the form of optical sensors.
The Basic principle of optical fiber
Principle:
The basic principle of optical fiber in the transmission of optical signal is total
internal reflection.
Total internal reflection:-
When the light ray travels from denser medium to rarer medium the refracted
ray bends away from the normal. When the angle of incidence is greater than the
critical angle, the refracted ray again reflects into the same medium. This
phenomenon is called total internal reflection.
The refracted ray bends towards the normal as the ray travels from rarer medium
to denser medium. The refracted ray bends away from the normal as it travels
from denser medium to rarer medium.
Conditions for Total Internal Reflection
(a) the refractive index n1 of the core must always be greater than the refractive index n2
of the cladding.
(b) The angle of incidence i must be greater than critical angle C
it can be define as when light travels from a more optically dense material [larger index of
refraction] to a less dense material the angle of refraction is larger than the incident angle.
Because the refracted angle is always larger than the incident angle, it is possible for the
refracted angle to reach 90° before the incident angle reaches 90°. If the light were to refract out
of the denser medium, it would then run along the surface. Larger angles would then yield
situations which would force the sine function to be larger than 1.00, which is mathematically
impossible.
When the incident angle reaches the condition whereby the refracted ray would bend to an angle
of 90°, it is called the CRITICAL ANGLE. The critical angle obeys the following equation:
This reflected ray changes in intensity as we vary the angle of incidence. At small incident
angles (almost perpendicular to the surface) the reflected ray is weak and the refracted ray is
strong.
Construction of optical fiber:-
The optical fiber mainly consists the following six parts as shown in figure
Core:
A typical glass fiber consists of a central core material. Generally core
diameter is 50 . The core is surrounded by cladding. The core medium
refractive is always greater than the cladding refractive index.
Cladding
Cladding refractive index is lesser than the cores refractive index. The
over all diameter of cladding is 125 to 200 .
Silicon Coating
Silicon coating is provided between buffer jacket and cladding. It
improves the quality of transmission of light.
Buffer Jacket
Silicon coating is surrounded by buffer jacket. Buffer jacket is made of
plastic and protects the fiber cable from moisture.
Strength Member
Buffer jacket is surrounded by strength member. It provides strength to the
fiber cable.
Outer Jacket
Finally the fiber cable is covered by polyurethane outer jacket. Because
of this arrangement fiber cable will not be damaged during pulling,
bending, stretching and rolling through the fiber cable is made up of glasses.
NA & ACCEPTANCE ANGLE DERIVATION
“In optics, the numerical aperture (NA) of an optical system is a dimensionless number
that characterizes the range of angles over which the system can accept or emit light.”
optical fiber will only propagate light that enters the fiber within a certain cone, known as
the acceptance cone of the fiber. The half-angle of this cone is called the acceptance angle,
θmax. on
where n1 is the refractive index of the fiber core, and n2 is the refractive index of the cladding.
When a light ray is incident from a medium of refractive index n to the core of index n1, Snell's
law at medium-core interface gives
From the above figure and using trigonometry, we get :
Where is the critical angle for total internal reflection, since
Substituting for sin θr in Snell's law we get:
By squaring both sides
Thus,
from where the formula given above follows.
θmax =
This has the same form as the numerical aperture in other optical systems, so it has become
common to define the NA of any type of fiber.
Definition:-
Acceptance angle:-
Acceptance angle is defined as the maximum angle of incidence at the interface
of air medium and core medium for which the light ray enters into the core and
travels along the interface of core and cladding.
Acceptance Cone:-
There is an imaginary cone of acceptance with an angle .The light that enters the fiber at
angles within the acceptance cone are guided down the fiber core
Numerical aperture:-
Numerical aperture is defined as the light gathering capacity of an optical fiber and it is
directly proportional to the acceptance angle.
Numerically it is equal to the sin of the acceptance angle
Classification of fibers:-
Based on the refractive index of core medium, optical fibers are classified into
two categories.
i. Step index fiber
ii. Graded index fiber
Based on the number of modes of transmission, optical fibers are classified into
two categories
i. Single mode fiber
ii. Multimode fiber
Based on the material used, optical fibers are may broadly classified into four
categories
i. All glass fibers
ii. All plastic fibers
iii. Glass core with plastic cladding fibers iv.
Polymer clad silica fibers.
Step index fiber:-
In step index fibers the refractive index of the core medium is uniform and
undergoes an abrupt change at the interface of core and cladding as shown in figure.
The diameter of core is about 10micrometers in case of single mode fiber and 50 to 200
micrometers in multi mode fiber.
Attenuation is more for step index multi mode fibers but less in step index single
mode fibers
Numerical aperture is more for step index multi mode fibers but it is less in step
index single mode fibers
Graded index fiber:-
In graded index fibers, the refractive index of the core medium is varying in the
parabolic manner such that the maximum refractive index is present at the center
of the core.
The diameter of the core is about 50 micro meters.
Attenuation is very less in graded index fibers Numerical aperture is less in graded index
fibers
Graded index Figure Two types of fiber: (Top) step index fiber; (Bottom) Graded index fiber
Single mode optical fiber
In single mode optical fibers only one mode of propagation is possible.In case of single mode
fiber the diameter of core is about 10micrometers.The difference between the refractive
indices of core and cladding is very small. In single mode fibers there is no dispersion,
so these are more suitable for
Communication. The single mode optical fibers are costly, because the fabrication is
difficult.The process of launching of light into single mode fibers is very difficult.
Multi mode optical fiber
In multi mode optical fibers many mummer of modes of propagation are possible. In case of
in multi mode fiber the diameter of core is 50 to 200 micrometers. The difference between
the refractive indices of core and cladding is also large compared to the single mode
fibers. Due to multi mode transmission, the dispersion is large, so these fibers are not used
for communication purposes. The multi mode optical fibers are cheap than single mode
fibers, because the fabrication is easy. The process of launching of light into single mode
fibers is very easy.
Based on the material:-
Three common type of fiber in terms of the material used:
Glass core with glass cladding –all glass or silica fiber
Glass core with plastic cladding –plastic cladded/coated silica (PCS)
Plastic core with plastic cladding – all plastic or polymer fib
Attenuation:-
Definition: a loss of signal strength in a lightwave, electrical or radio signal usually related to
the distance the signal must travel.
Attenuation is caused by:
Absorption
Scattering
Radiative loss
Losses:-
Losses in optical fiber result from attenuation in the material itself and from scattering,
which causes some light to strike the cladding at less than the critical angle
Bending the optical fiber too sharply can also cause losses by causing some of the light to
meet the cladding at less than the critical angle
Losses vary greatly depending upon the type of fiber
Plastic fiber may have losses of several hundred dB per kilometer
Graded-index multimode glass fiber has a loss of about 2–4 dB
per kilometer
Single-mode fiber has a loss of 0.4 dB/km or less
Macrobending Loss:
The curvature of the bend is much larger than fiber diameter. Lightwave suffers sever loss due
to radiation of the evanescent field in the cladding region. As the radius of the curvature
decreases, the loss increases exponentially until it reaches at a certain critical radius. For any
radius a bit smaller than this point, the losses suddenly becomes extremely large. Higher order
modes radiate away faster than lower order modes.
Microbending Loss:
microscopic bends of the fiber axis that can arise when the fibers are incorporated into cables.
The power is dissipated through the microbended fiber, because of the repetitive coupling of
energy between guided modes & the leaky or radiation modes in the fiber.
Dispersion:-
The phenomenon in an optical fibre whereby light photons arrive at a distant point in different
phase than they entered the fibre. Dispersion causes receive signal distortion that ultimately
limits the bandwidth and usable length of the fiBer cable
The two main causes of dispersion are:
Material (Chromatic) dispersion
Waveguide dispersion
Intermodal delay (in multimode fibres)
Dispersion in fiber optics results from the fact that in multimode propagation, the signal travels
faster in some modes than it would in others.Single-mode fibers are relatively free from
dispersion except for intramodal dispersion .Graded-index fibers reduce dispersion by taking
advantage of higher-order modes.One form of intramodal dispersion is called material
dispersion because it depends upon the material of the core.Another form of dispersion is called
waveguide dispersion .Dispersion increases with the bandwidth of the light source
The advantage of fiber optic cable over metallic cable:-
1. Extremely wide (large) bandwidth.
The bandwidth available with a single glass fibre is more than 100GHZ. With such a large
bandwidth, it is possible to transmit thousands of voice conversations or dozens of video signals
over the same fibre simultaneously. Irrespective of whether the information is voice, data or
video or a combination of these, it can be transmitted easily over the optical fibre. Less no of
independent signals alone can be sent through metallic cables.
2. Immunity to electrostatic interference.
As optical fibres are being made of either glass or plastic external electric noise and lightning
do not affect the energy in a cable. The result is noise free transmission. While this is not true
for metallic cables made up of metals, as they are good conductors of electricity.
3. Elimination of cross Talk.
Fibre systems are immune to cross talk between cables caused by magnetic induction. Whereas
in a metallic cable cross talk results from the electromagnetic coupling between two adjacent
wires.
4. Lighter weight and smaller size.
Fibres are very smaller in size. This size reduction makes fibre the ideal transmission medium
for ships, aircraft and high rise buildings where bulky copper cables occupy to much space.
Reduction in size so reduction in weight also.
5. Lower cost.
The material used in fibres is silica glass or silicon dioxide which is one of the most abundant
materials on earth. So available in lower cost.
6. Security.
Fibre cables are more secure than metallic cables. Due to its immunity to electromagnetic
coupling and radiation, optical fibre can be used in most secure environment. Although it can be
intercepted or tapped, it is very difficult to do so because, at the receiving users end an alarm
would be sounded.
7. Greater safety.
In many wired system the potential hazard of short circuits requires precautionary designs.
Whereas, the dielectric nature of optical fibres eliminates the spark hazard.
8. Corrosion
Fibre cables are more resistive to environmental extremes. They operate over large temperature
variation than their metallic counter parts, and are less affected by corrosive liquids and gases.
9. Longer life span and ease of maintenance.
A longer life span of 20 to 30 years is predicted for the fibre optic cables as compare to 12to 15
years of metallic cables.
Differences between step index fibers and graded index fibers:-
Step index fiber Graded index fiber
1. In step index fibers the refractive index of the
core medium is uniform through and
undergoes an abrupt change at the interface of
core and cladding.
1. In graded index fibers, the refractive index of
the core medium is varying in the parabolic
manner such that the maximum refractive index
is present at the center of the core.
2. The diameter of core is about
10micrometers in case of single mode fiber and
50 to 200 micrometers in multi mode fiber.
2. The diameter of the core is about 50 micro meters.
3. The transmitted optical signal will cross the
fiber axis during every reflection at the core
cladding boundary.
3. The transmitted optical signal will never cross
the fiber axis at any time.
4. The shape of propagation of the optical
signal is in zigzag manner.
4. The shape of propagation of the optical signal
appears in the helical or spiral manner
5. Attenuation is more for multi mode step
index fibers but Attenuation is less in single
mode step index fibers
5. Attenuation is very less in graded index fibers
6. Numerical aperture is more for multi
mode step index fibers but it is less in single
mode step index fibers
6. Numerical aperture is less in graded index fibers
Differences between single mode fibers and Multy mode fibers:-
Single mode fiber Multimode fiber
Single Mode cable is a single strand (most
applications use 2 fibers) of glass fiber with a
diameter of 8.3 to 10 microns that has one mode of
transmission.
Multi-Mode cable has a little bit bigger diameter,
with a common diameters in the 50-to-100 micron
range for the light carry component
Single Modem fiber is used in many applications
where data is sent at multi-frequency (WDM
Wave-Division-Multiplexing) so only one cable is
needed
Most applications in which Multi-mode fiber is used,
2 fibers are used (WDM is not normally used on
multi-mode fiber).
Example:- step index fiber Example:- multimode step index fiber
The small core and single light-wave virtually
eliminate any distortion that could result from
overlapping light pulses, providing the least signal
attenuation and the highest transmission speeds of
any fiber cable type.
multiple paths of light can cause signal distortion at
the receiving end, resulting in an unclear and
incomplete data transmission
Applications of optical fibers
1. Optical fibers are extensively used in communication system.
2. Optical fibers are in exchange of information between different computers
3. Optical fibers are used for exchange of information in cable televisions,
space vehicles, submarines etc.
4. Optical fibers are used in industry in security alarm systems, process control
and industrial auto machine.
5. Optical fibers are used in pressure sensors in biomedical and engine control.
6. Optical fibers are used in medicine, in the fabrication in endoscopy for
the visualization of internal parts of the human body.
7. Sensing applications of optical fibers are
Displacement sensor
Fluid level detector Liquid
Temperature and pressure sensor
Chemical sensors
8. Medical applications of optical fibers are
Gastroscope
Orthoscope Couldo
EXAMPLE:-
1.
A silica optical fiber has a core of refractive index 1.55 and a cladding of refractive index
1.47. Determine (i) the critical angle at the core-cladding interface (ii) the numerical
aperture for the fiber and (iii) the acceptance angle in the air for the fiber.
Given,
n1=1.55,
n2=1.47
Øin(max)=?
NA=?
Øc=?
Acceptance angle Øin(max)= sin-1
(n1
2
– n2
2
)1/2
Øin(max)= sin-1
(1.552
–1.472
)1/2
= sin-1
(2.41-2.16)1/2
= sin-1
(0.25)1/2
= sin-1
(0.316)
Øin(max) =30°00’
Numerical aperture NA= (n1
2
– n2
2
)1/2
= 1.552
–1.472
)1/2
= (2.41-2.16)1/2
= (0.25)1/2
= 0.316
critical angle Øc = sin-1
(n2 / n1)
= sin-1
(1.47 / 1.55)
= sin-1
(0.9483)
= 71°.55’
2.
An optical fiber has refractive index of core and cladding is 1.514 and 1.48 Respectively.
Calculate the acceptance angle and the fractional index Change
Given
,n1=1.514,
n2=1.48
Øin(max)=? ∆=?
Acceptance angle Øin(max ) = sin-1
(n1
2
– n2
2
)1/2
Øin(max) = sin-1
(1.5142
–1.482
)1/2
= sin-1
(2.29-2.19)1/2
= sin-1
(0.1)1/2
= sin-1
(0.316)
Øin(max)=18°42’
Numerical aperture NA= (n1
2
– n2
2
)1/2
=(1.5142
–1.482
)1/2
=(2.29-2.19)1/2
=(0.1)1/2
=0.316
NA=n1√2∆
0.316/1.514=√2∆
(0.2087)2
=2∆
∆=0.0435/2
∆=0.0217
Dielectrics
 Introduction
Dielectrics are the materials having electric dipole moment permanently.
Dipole: A dipole is an entity in which equal positive and negative charges are separated by a small distance..
DIPOLE moment (µEle ):The product of magnitude of either of the charges and separation distance b/w them
is called Dipole moment.
µe = q . x  coulmb.m
All dielectrics are electrical insulators and they are mainly used to store electrical energy.
Ex: Mica, glass, plastic, water & polar molecules…
 Dielectric const. of medium
The relative permittivity(εr) is often known as dielectric const. of medium it can given by,
εr=ε/ε0
Dielectric constant is ratio of permittivity of medium to permittivity of free space.
The value of capacitance of capacitor is given by,
C0=εrε0A/d
By this eqn
we can say that high εr increases capacity of capacitor.
 Polar and Nonpolarized Molecules
Non-polar Molecules : The Dielectric material in which there is no permanent dipole existence in absence
of an external field is …..
2 – Compounds made of molecules which are symmetrically shaped
Polar Molecules :The Dielectric material in which there is permanent dipole existence even in absence of
an external field is …..
Polarization of Dielectrics
As shown in fig. when an electric field is applied to dielectric material their negative & positive charges tend
to align in equilibrium position.
 Gauss’s Law In Dielectrics
In absence of dielectric In presence of dielectric
0 0
d
0
0
0 0
0 0 0
0
0
E V
k
E V
E q
E
k kA
q q '
E
A A
q q q '
S o,
kA A A
1
then , q ' q (1 )
k
S o, E.ds
V E d
S
q q '
1
q q (1 )
k
q
k
k E.ds q
o,
N ow
This relation true is for parallel plate capacitor Which is Gauss’s law for dielectrics.
0
0
0
0
0
E.ds q
q
E A
q
E
A
0
0 0
0 0
E.ds q q '
q q '
EA
q q '
E
A A
 Three Electric vectors
The resultant dielectric field is given by,
Where,
E=Electric field
D=Flux Density or
Displacement vector
P=Polarization
 Electric susceptibility:
The polarization vector P is proportional to the total electric flux density and direction of
electric field.
Therefore the polarization vector can be written as:
 Relation between εr &
Displacement vector,
 Types of polarization
1. Electron polarization
2. Ionic polarization
3. Orientation polarization
4. Space charge polarization
0 0
0 0
0
0
'
'
,
,
, D
p
q q
E
A A
q
now P
A
q P
E
A
q
E P
A
q
now D
A
So E P
0
0
0
0
( 1)
1
e
e
r
e r
P E
P
E
E
E
0
0
0
r 0 0
0
D E P
Now,P=
( - ) E P
(or) ( . - ) E P
( 1) . P
W here,( 1)
r
r
E
E
1. Electronic polarization
When no external field is applied nucleus of atom is like in fig. (a)
When external field is applied, displacement in opposite direction is observed between nucleus &
electrons due to this dipole moment is induced.
This type of polarization is called Electronic polarization.
Ex. Germanium, Silicon, Diamond etc…
2. Ionic polarization
Some materials like ionic crystal does not possess permanent dipole moment.
Fig. (a) shows natural arrangement of ionic crystal. When Ele. Field is applied on this type of
material displacement of ions is observed.
Due to an external electric field a positive & negative ion displaces in the direction opposite to
each other due to which distance between them is reduced & ionic polarization is generated.
Ionic polarization is observed in materials like NaCl, KBr, KCl etc…
Let us consider simple example of NaCl crystal.
As shown in fig. when crystal is placed in an external electric field Na+
ion displaces in one
direction & Cl-
ion goes in opposite direction.
3. Orientation polarization
Some molecules like H2O, HCl having permanent dipole moment p0.
In the absence of a field, individual dipoles are arranged in random way, so net average dipole
moment in a unit volume is zero as shown in fig. (b).
A dipole such as HCl placed in a field experiences a torque that tries to rotate it to align p0 with
the field E.
In the presence of an applied field, the dipoles try to rotate to align parallel to each other in
direction of electric field fig (d).
This type of polarization is Orientation polarization.
This type of polarization occurs only in polar substances like H2O, CH3Cl when they are placed
in external field.
4. Space charge polarization (Interfacial polarization)
A crystal with equal number of mobile positive ions and fixed negative ions.
In the absence of a field, there is no net separation between all the positive charges and all the
negative charges.
In the presence of an applied field, the mobile positive ions migrate toward the negative charges
and positive charges in the dielectric.
The dielectric therefore exhibits Space charge or interfacial polarization.
 Energy stored in dielectric field
Work done is, .
?
.
.
dW F dr
F
dW qE dr
dW E dp
p p
P
lA V
0
0
0
2
0
2
0
( 1) .
. .( 1) .
. .( 1) .
1
( 1) E
2
1
( 1) E
2
?
r
r
r
r
r
p PV
dW EVdP
P E
dW E V dE
dW E V dE
W V
W
V
U
Band Theory of Solid
 Objectives
• Effective Mass of electron
• Concept of Holes
• Energy Band Structure of Solids:
 Conductors, Insulators and Semiconductors
• Semiconductors
 Intrinsic and Extrinsic Semiconductors
• Type of diodes
 Simple Diode
 Zener Diode
 Effective Mass of electron
 An electron moving in the solid under the influence of the crystal potential is subjected to
an electric field.
 We expect an external field to accelerate the electron, increasing E and k and change the
electron’s state.
------ (1)
But, dx/dt = vg ------ (2)
------ (3)
dk
d
gv


1

gv
dx
dV
e
dt
dk
dk
d


----- (4)
------ (5)
------ (6)
------ (7)
----- (8)
 Concept of Holes
Consider a semiconductor with a small number of electrons excited from the valence
band into the conduction band.
 If an electric field is applied,
• The conduction band electrons will participate in the electrical current
• The valence band electrons can “move into” the empty states, and thus can also
contribute to the current.
 If we describe such changes via “movement” of the “empty” states – the picture will be
significantly simplified. This “empty space” is called a Hole.
 “Deficiency” of negative charge can be treated as a positive charge.
dx
dV
ek
dt
d
gv
dx
dV
e
dt
dk
gv




eEk
dt
d

dt
dk
dk
d
dk
d
dk
d
dt
d
dt
dv
a
g















11




















k
dt
d
dk
d
dt
dk
dk
d


2
2
22
2
11 
 Holes act as charge carriers in the sense that electrons from nearby sites can “move” into
the hole.
 Holes are usually heavier than electrons since they depict collective behavior of many
electrons.
 To understand hole motion, one requires another view of the holes, which represent them
as electrons with negative effective mass m*.
 For example the movement of the hole think of a row of chairs occupied by people with
one chair empty, and to move all people rise all together and move in one direction, so the
empty spot moves in the same direction.
 Energy Band Structure of Solids Conductor, Semiconductor and Insulator
 In isolated atoms the electrons are arranged in energy levels.
 Energy Band in Solid
The following are the important energy band in solids:
 Valence band
 Conduction band
 Forbidden energy gap or Forbidden band
 Valance band
The band of energy occupied by the valance electrons is called valence band. The
electrons in the outermost orbit of an atom are known as valance electrons. This band may be
completely or partial filled.
Electron can be move from one valance band to the conduction band by the
application of external energy.
 Conduction band
The band of energy occupied by the conduction electrons is called conduction
band. This is the uppermost band and all electrons in the conduction band are free electrons.
The conduction band is empty for insulator and partially filled for conductors.
 Forbidden Energy Gap or Forbidden band
The gap between the valance band and conduction band on energy level diagram
known as forbidden band or energy gap.
Electrons are never found in the gap. Electrons may jump from back and forth
from the bottom of valance band to the top of the conduction band. But they never come to rest
in the forbidden band.
 According to the classical free electron theory, materials are classified in to three types:
 Conductors
 Semiconductors
 Insulators
 Conductors
There is no forbidden gap and the conduction band and valence band are
overlapping each other between and hence electrons are free to move about. Examples are Ag,
Cu, Fe, Al, Pb ….
 Conductor are highly electrical conductivity
 So, in general electrical resistivity of conductor is very low and it is of the order of 10-6
Ω
cm.
 Due to the absence of the forbidden gap, there is no structure for holes.
 The total current in conductor is simply a flow of electrons.
 For conductors, the energy gap is of the order of 0.01 eV.
 Semiconductors:
Semiconductors are materials whose electrical resistivity lies between insulator
and conductor. Examples are silicon (Si), germanium (Ge) ….
 The resistivity of semiconductors lies between 10-4
Ω cm to 103
Ω cm at room
temperature.
 At low temperature, the valence band is all most full and conduction band is almost
empty. The forbidden gap is very small equal to 1 eV.
 Semiconductor behaves like an insulator at low temperature. The most commonly used
semiconductor is silicon and its band gap is 1.21 eV and germanium band gap is 0.785
eV.
When a conductor is heated its resistance increases; the atoms vibrate more and
the electrons find it more difficult to move through the conductor but, in a semiconductor
the resistance decreases with an increase in temperature. Electrons can be excited up to the
conduction band and Conductivity increases.
 Insulators
 Here the valence band is full but the conduction band is totally empty. So, a free electron
from conduction band is not available.
 In insulator the energy gap between the valence and conduction band is very large and
it’s approximately equal to 5 eV or more.
 Hence electrons cannot jump from valence band to the conduction band. So, a very high
energy is required to push the electrons to the conduction band.
 Therefore the electrical conductivity is extremely small.
 The resistivity of insulator lie between 103
to 1017
Ωm, at the room temperature
 Examples are plastics, paper …..
 Types of semiconductors
 Intrinsic Semiconductor
The intrinsic semiconductors are pure semiconductor materials. These
semiconductors possess poor conductivity. The elemental and compound semiconductor can be
intrinsic type. The energy gap in semiconductor is very small. So, even at the room temperature,
some of electrons from valance band can jump to the conduction band by thermal energy.
The jump of electron in conduction band adds one conduction electron in
conduction band and creates a hole in the valence band. The process is called as “generation of
an electron–hole pair”.
In pure semiconductor the no. of electrons in conduction band and holes in holes
in valence bands are equal.
 Extrinsic Semiconductor
Extrinsic semiconductor is an impure semiconductor formed from an intrinsic
semiconductor by adding a small quantity of impurity atoms called dopants.
The process of adding impurities to the semiconductor crystal is known as doping.
This added impurity is very small of the order of one atom per million atoms of
pure semiconductor.
Depending upon the type of impurity added the extrinsic semiconductors are
classified as:
• p – type semiconductor
• n – type semiconductor
p – type semiconductor
The addition of trivalent impurities such as boron, aluminum or gallium to
an intrinsic semiconductor creates deficiencies of valence electrons, called "holes". It is typical to
use B2H6 di-borane gas to diffuse boron into the silicon material.
n – type semiconductor
The addition of pentavalent impurities such as antimony, arsenic or phosphorous
contributes free electrons, greatly increasing the conductivity of the intrinsic semiconductor.
Phosphorous may be added by diffusion of phosphine gas (PH3).
 Simple Diode
The two terminals are called Anode and Cathode. At the instant the two materials
are “joined”, electrons and holes near the junction cross over and combine with each other.
Holes cross from P-side to N-side and free electrons cross from N-side to P-side.
At P-side of junction, negative ions are formed.
At N-side of junction, positive ions are formed.
Depletion region is the region having no free carriers. Further movement of
electrons and holes across the junction stops due to formation of depletion region. Depletion
region acts as barrier opposing further diffusion of charge carriers. So diffusion stops within
no time. Current through the diode under no-bias condition is zero.
Reverse bias
Positive of battery connected to n-type material (cathode).
Negative of battery connected to p-type material (anode).
Free electrons in n-region are drawn towards positive of battery; Holes in p-region
are drawn towards negative of battery.
Depletion region widens, barrier increases for the flow of majority carriers.
Majority charge carrier flow reduces to zero.
Minority charge carriers generated thermally can cross the junction – results in a
current called “reverse saturation current” Is , Is is in micro or nano amperes or less. Is does
not increase “significantly” with increase in the reverse bias voltage
 Zener Diode
A diode which is heavily doped and which operates in the reverse breakdown
region with a sharp breakdown voltage is called a Zener diode.
This is similar to the normal diode except that the line (bar) representing the cathode is bent
at both side ends like the letter Z for Zener diode. In simple diode the doping is light; as a
result, the breakdown voltage is high and not sharp. But if doping is made heavy, then the
depletion layers becomes very narrow and even the breakdown voltage gets reduced to a
sharp value.
 Working Principle
The reverse breakdown of a Zener diode may occur either due to Zener effect or
avalanche effect. But the Zener diode is primarily depends on Zener effect for its working.
When the electrical field across the junction is high due to the applied voltage, the
Zener breakdown occurs because of breaking of covalent bonds. This produces a large
number of electrons and holes which constitute a steep rise in the reverse saturation current
(Zener current IZ). This effect is called as Zener effect.
Zener current IZ is independent of the applied voltage and depends only on the
external resistance.
The I-V characteristic of a Zener diode is shown in this figure. The forward
characteristic is simply that of an ordinary forward biased junction diode.
Under the reverse bias condition, the breakdown of a junction occurs. Its depends
upon amount of doping. It can be seen from above figure as the reverse voltage is increased
the reverse current remains negligibly small up to the knee point (K) of the curve.
At point K, the effect of breakdown process beings. The voltage corresponding to
the point K in figure is called the Zener breakdown voltage or simply Zener voltage (VZ),
which is very sharp compared to a simple p-n junction diode. Beyond this voltage the
reverse current (IZ) increases sharply to a high value.
The Zener diode is not immediately burnt just because it has entered the
breakdown region.
The Zener voltage VZ remains constant even when Zener current IZ increases
greatly. This ability of a diode is called regulating ability and it enables us to use Zener
diode for voltage regulation.
The maximum value of current is denoted by IZ max and the minimum current to
sustain breakdown is denoted by IZ min. By two points A and B on the reverse VI
characteristic, the Zener resistance is given by the relation
rz = ( Δ VZ / Δ IZ). ------- (1)
 Zener diode Applications:
1) Zener diodes are used as a voltage regulator.
2) They are used in shaping circuits as peak limiters or clippers.
3) They are used as a fixed reference voltage in transistor biasing and for
comparison purpose.
4) They are used for meter protection against damage from accidental application
of excessive voltage.
LASER
Light Amplification by Stimulated Emission of Radiation
 Introduction
The full form of LASER is Light Amplification by Stimulated Emission of
Radiation.
Laser light is highly powerful and it is capable of propagating over long distances
and it is not easily absorbed by water.
 Light having following Properties:
• Wavelength
• Frequency
• Amplitude
• Phase
• Coherence/Incoherence
• Velocity
• Direction
The characteristics or properties of Laser Light are:
• Coherence
• High Intensity
• High directionality
• High monochromaticity
 Absorption
According to Bohr’s law atomic system is characterized by discrete energy level. When
atoms absorb or release energy it transit upward or downward.
Here lower level is E1 and excited level is E2, the photon energy hƒ = E2 – E1.
The atom absorbed an incident photon. As the result of absorption atom absorbed energy
and the atom jumped to excited state E2. This transition is called absorption. It is also referred to
as induced absorption.
We may express the process as,
A + hν = A*
Where A is an atom in lower state and A* is an excited atom.
The rate of absorption depends on no. of atoms N1 present in E1 and spectral energy density u(ƒ)
of radiation.
P12 α N1 u(ƒ) -----(1)
So, P12 = B12N1 u(ƒ) -----(2)
In each absorption transition event, an atom in the medium is excited and one photon is
subtracted from the incident beam, which result in attenuation of light in the medium.
 Spontaneous Emission
An atom cannot stay in the excited state for a longer time. Ina time of 10-8
sec, the atom
come back to the ground state by releasing a photon of energy hν, and hν = E = E2 – E1. Where
E1 = Ground State and E2 = Excited State.
The emission of photon by an atom without any external impetus is called spontaneous
emission.
We may write the process as,
A* → hν + A
Here system having atoms in excited state. Atom goes to downward transition with emitting
photons, hƒ = E1 – E2.
Emission is random, so if not in same phase becomes incoherent.
The transition depends on atoms in excited state N2.
P12 (spont) α N2 = A21 N2 ------- (1)
Where, A21 = Einstein coefficient for spontaneous Emission. We get Incoherent radiation forms
heat by light amplification of radiation by spontaneous emission.
 Stimulated Emission
An atom in the excited state need not wait for spontaneous emission of photon. Well before
the atom can make a spontaneous transition, it may interacts with a photon with energy hν = E2 –
E1, and make a downward transition. The photon is said to stimulated of induced the excited
atom to emit a photon of energy hν = E2 – E1. The passing photon does not disappear and in
addition to it there is a second photon which is emitted by the excited atom.
The phenomenon of forced photon emission by an excited atom due to the action of an
external energy is called stimulated emission or induced emission.
The process may be expressed as,
A* + hν → A + 2hν
Here system having atoms in excited state. The atom goes to downward transition with
emitting photons.
2hƒ = E1 – E2. After applying photon energy hƒ.
Emission is depends on energy density u(ƒ) & No. of atoms in excited state N2
P12 (stimul) α u(ƒ) N2 - -------- (1)
= B21 N2 u(ƒ) -------- (2)
Where, B21 = Einstein coefficient for Stimulated Emission.
Thus one photon of energy hƒ stimulates two photons of energy hƒ in same phase & directions.
So, we get coherent light amplification of radiation by stimulated emission.
 Population Inversion
It is the process of increasing exited electrons in higher energy levels. Due to this
process the production of laser is possible. The energy level between the ground state E1 (1st
level) and exited state E3 (3rd
level) is known as metastable state E2 (2nd
level).
By the optical pumping electrons from ground state jumps to excited state by
absorbing photons. The electrons remain only for 10-8
sec in exited state E3, so most of them
jump back to the ground state E1 by emitting photons. But some of them jump to the
metastable state E2.
They (electron) stay in metastable state for more then 10-3
sec. So electron density
increases in metastable state. Thus the transitions are possible it takes more no. of electrons
together and ν – (knew)
12 photon beam is produced which constitute laser beam.
 Optical Pumping
There are no of techniques for pumping a collection of atoms to an inverted state.
•Optical pumping
• Electrical discharge
• Direct conversion
When photon of blue green light incident on Ruby crystal, electrons from ground
state absorbs and exited and jumps on higher energy state levels and comes back to metastable
state. They increase population of electrons in metastable state.
This process is called “optical pumping” which is done by flash tube.
 Relation between Einstein’s ‘A’ and ‘B’ coefficients
Einstein obtained a mathematical expression for the existence of two different kinds of
processes,
(1) Spontaneous emission
(2) Stimulated emission
Consider all atoms r in thermal equilibrium at T and radiation of frequency (ƒ) and energy
density u(ƒ). Here N1 and N2 r atoms in E1 and E2 respectively.
In equilibrium absorption rates and emission rates must be same. i.e.
B12 N1 u(ƒ) = A21 N2+ B21 N2 u(ƒ)
→ A21 N2= u(ƒ) [B12N1 – B21N2]
→ u(f) = [A21 N2 / (B12 N1 – B21 N2)] --------- (1)
---------- (2)
So Boltzmann distribution law is,
---------- (3)
21
21
12 1
21 2
( )
[ ]
ƒ
1
A
B
u
B N
B N
1
2
/
1 0
/
2 0
E kT
E kT
N N e
N N e
And
----------- (4)
But, E2 – E1 = hf ----------- (5)
So, ----------- (6)
------------ (7)
According to plank’s radiation formula,
------------ (8)
Where, B12 = B21 & A21 / B21 = 8∏hf3
/c3
------------ (9)
So, Ratio of spontaneous to stimulated emission:
----------- (10)
So,
------------ (11)
------------ (12)
R = e hf/KT
- 1 -------------- (13)
So,
• If hƒ << kT, in thermal equilibrium,
Then R = ehf/KT
- 1 << 1
• hƒ<<kT – Stimulated emission
– Valid in microwave region (MASER)
• hƒ>>kT – Spontaneous emission
– Valid in visible region, incoherent Valid
2 1( )/1
2
E E kTN
e
N
h /1
2
ƒ kTN
e
N
21
21
ƒ12
21
h /
ƒ
1
( )
[ ]
kT
e
A
B
u
B
B
3
3 ƒh /
8 1
( ) ( )
[ ]
ƒ
ƒ
1
kT
u
c
h
e
2 21 21
2 21 21
3
3
8
( ) ( ) ( )
ƒ
ƒ ƒ ƒ
N A A h
R
B u B u ucN
3
3 /
3
3
ƒh
8
( )
8
ƒ
ƒ
&
ƒ
ƒ
1
1
( ) ( )
[ ]
kT
h
u
c
u
R
h
e
c
 Types of LASER
There are three types of lasers
1. Solid Laser (Ruby Laser)
2. Liquid Laser
3. Gas Laser ( He – Ne Laser, CO2 Laser)
Ruby Laser
To produce laser from solid, Ruby crystal is used. Ruby is an aluminum oxide crystal
(Al
2
O
3
) in which some of the aluminum atoms have been replaced with Cr
+3
chromium atoms
(0.05% by weight).
It was the first type of laser invented, and was first operated by Maiman in research
laboratories on 1960.
Chromium gives ruby its characteristic pink or red color by absorbing green and blue
light.
For a ruby laser, a crystal of ruby is formed into a cylinder. The ruby laser is used as a
pulsed laser, producing red light at 6943 Å.
Ruby crystal is surrounded by xenon tube. Ruby crystal is fully silvered at one side and
partially silvered at the other end.
A strong beam of blue green light is made to fall up on crystal from xenon tube and this
light is absorbed by the crystal.
Because of this, many electrons from ground state or normal state are raised to the
excited state or higher state and electron falls to metastable state.
During this transition photon is not emitted but excess energy of the electrons absorbed in
crystal lattice.
As electron drops to metastable state they remain there for certain time ~ 10-6
sec.
Thus, the incident blue green light from tube increases the number of electron in
metastable state and then the population inversion can be achieved.
If a light of different frequency is allowed to fall on this material, the electrons move
back and forth between silvered ends of the crystal.
While moving through they get stimulated and exited electrons radiate energy.
Thus readia photon has the same frequency as that of incident photon and is also in
exactly same phase.
When the intensity of light beam is increased the same process is repeated.
Finally extremely intensified beam of light energies from the semi silvered side of the
crystal.
This way it is possible to get extremely intensified and coherent beam of light from the
crystal. This beam is nothing but higher energetic beam – ie. LASER beam.
Applications of Ruby Laser
Ruby lasers have declined in use with the discovery of better lasing media. They are still
used in a number of applications where short pulses of red light are required. Holography's
around the world produce holographic portraits with ruby lasers, in sizes up to a meter squared.
Many non-destructive testing labs use ruby lasers to create holograms of large objects
such as aircraft tires to look for weaknesses in the lining.
Ruby lasers were used extensively in tattoo and hair removal.
Drawbacks of Ruby Laser
The laser requires high pumping power because the laser transition terminates at the
ground state and more than half of ground state atoms must be pumped to higher state to achieve
population inversion.
The efficiency of ruby laser is very low because only green component of the pumping
light is used while the rest of components are left unused.
The laser output is not continues but occurs in the form of pulses of microseconds
duration.
The defects due to crystalline imperfections are also present in this laser.
Gaseous Laser (He – Ne Laser)
Helium - neon laser, usually called a He-Ne laser, is a type of small gas laser. He-Ne
lasers have many industrial and scientific uses, and are often used in laboratory demonstrations
of optics.
He-Ne laser is an atomic laser which employs a four-level pumping scheme.
The active medium is a mixture of 10 parts of helium to 1 part of neon.
Neon atoms are centers and have energy levels suitable for laser transitions while helium
atoms help efficient excitation of neon atoms.
The most common wavelength is 6328 Å. These lasers produced powers in the range 0.5
to 50 mW in the red portion of the visible spectrum.
They have long operating life of the order of 50,000 hrs.
Construction
It consists of a glass discharge tube of about typically 30 cm long and 1.5 cm diameter.
The tube is filled with a mixture of helium and neon gases in the 10:1.
Electrodes are provided in the tube to produce a discharge in the gas.
They are connected to a high voltage power supply. The tube is hermetically sealed with
glass windows oriented at Brewster angle to the tube. The cavity mirrors are arranged externally.
Working
When the power is switched on, a high voltage of about 10 kV is applied across the gas.
It is sufficient to ionize the gas.
The electrons and ions are produced in the process of discharge are accelerated toward
the anode and cathode respectively.
The electron have a smaller mass, they acquire a higher velocity. They transfer their
kinetic energy to helium atoms through inelastic collisions.
The initial excitation effects only the helium atoms. They are in metastable state and
cannot return in ground state by the spontaneous emission.
The excited helium atoms can return to the ground state by transforming their energy to
neon atoms through collision. These transformations take place when two colliding atoms have
initial energy state. It is called resonant transfer of energy.
So, the pumping mechanism of He-Ne Laser is when the helium atom in the metastable
state collides with neon atom in the ground state the neon atom is excited and the helium atom
drops back to the ground state.
The role of helium atom is thus to excite neon atom and cause, population inversion. The
probability of energy transfer from helium atoms to neon atoms is more as there are 10 atoms of
helium per 1 neon atom in gas mixture.
Without the Brewster windows, the light output is unpolarized; because of it laser output
to be linearly polarized.
When the excited Ne atom passes from metastable state (3s) to lower level (2p), it emits
photon of wavelength 632 nm.
This photon travels through the gas mixture parallel to the axis of tube; it is reflected
back and forth by the mirror ends until it stimulates an excited Ne atom and causes it to emit a
photon of 632 nm with the stimulating photon.
The stimulated transition from (3s) level to (2p) level is laser transition.
Although 6328 Å is standard wavelength of He-Ne Laser, other visible wavelengths 5430
Å (Green) 5940 Å (yellow-orange), 6120 Å (red-orange) can also produce.
Overall gain is very low and is typically about 0.010 % to 0.1 %.
The laser is simple practical and less expensive.
The Laser beam is highly collimated, coherent and monochromatic.
Applications of He-Ne Laser
The Narrow red beam of He-Ne laser is used in supermarkets to read bar codes.
The He-Ne Laser is used in Holography in producing the 3D images of objects.
He-Ne lasers have many industrial and scientific uses, and are often used in laboratory
demonstrations of optics.
 Semiconductor Laser (Diode Laser)
A semiconductor laser is a laser in which a semiconductor serves as a photon source.
The most common semiconductor material that has been used in lasers is gallium
arsenide.
Einstein’s Photoelectric theory states that light should be understood as discrete lumps of
energy (photons) and it takes only a single photon with high enough energy to knock an electron
loose from the atom it's bound to.
Stimulated, organized photon emission occurs when two electrons with the same energy
and phase meet. The two photons leave with the same frequency and direction.
 P-type Semiconductors
In the compound GaAs, each Ga atom has three electrons in its outermost shell of
electrons and each As atom has five.
When a trace of an impurity element with two outer electrons, such as Zn (zinc), is added
to the crystal.
The result is the shortage of one electron from one of the pairs, causing an imbalance in
which there is a “hole” for an electron but there is no electron available. This forms a p-type
semiconductor.
 N-type Semiconductors
When a trace of an impurity element with six outer electrons, such as Se (selenium), is
added to a crystal of GaAs, it provides on additional electron which is not needed for the
bonding.
This electron can be free to move through the crystal. Thus, it provides a mechanism for
electrical conductivity. This type is called an n-type semiconductor.
Under forward bias (the p-type side is made positive) the majority carriers, electrons in
the n-side, holes in the p-side, are injected across the depletion region in both directions to create
a population inversion in a narrow active region. The light produced by radioactive
recombination across the band gap is confined in this active region.
 Application of Lasers
1. Laser beam is used to measure distances of sun, moon, stars and satellites very
accurately.
2. It can be used for measuring velocity of light, to study spectrum of matters, to study
Raman effect.
3. It can be is used for increasing speed and efficiency of computer.
4. It is used for welding.
5. It is used in biomedical science.
6. It is used in 3D photography.
7. It is used for communication, T. V. transmission, to search the objects under sea.
8. It can be used to predict earthquake.
9. Laser tools are used in surgery.
10. It is used for detection and treatment of cancer.
11. It is used to aline straight line for construction of dam, tunnels etc.
12. It is used in holography.
13. It is used in fiber optic communication.
14. It is also used in military, like LIDAR.
15. It is used to accelerate some chemical reactions.
Special Theory of Relativity
 Introduction to Relativity
o The dependence of various physical phenomena on relative motion of the observer
and the observed objects, especially regarding the nature and behaviour of light,
space, time, and gravity is called relativity.
o When we have two things and if we want to find out the relation between their
physical property i.e.velocity,accleration then we need relation between them that
which is higher and which is lower.In general way we reffered it to as a relativity.
o The famous scientist Einstein has firstly found out the theory of relativity and he has
given very useful theories in relativity.
o In 1905, Albert Einstein determined that the laws of physics are the same for all non-
accelerating observers, and that the speed of light in a vacuum was independent of the
motion of all observers. This was the theory of special relativity.
 FRAMES OF REFERENCE
o A Reference Frame is the point of View, from which we Observe an Object.
o A Reference Frame is the Observer it self, as the Velocity and acceleration are
common in Both.
o Co-ordinate system is known as FRAMES OF REFERENCE
o Two types:
1. Inertial Frames Of Reference.
2. non-inertial frame of reference.
o We have already come across idea of frames of reference that move with constant
velocity. In such frames, Newton’s law’s (esp. N1) hold. These are called
inertial frames of reference.
o Suppose you are in an accelerating car looking at a freely moving object (I.e., one
with no forces acting on it). You will see its velocity changing because you are
accelerating! In accelerating frames of reference, N1 doesn’t hold – this is a non-
inertial frame of reference.
 Galilean Transforms
o Parallel axes (for convenience)
o K’ has a constant relative velocity in the x-direction with respect to K
o Time (t) for all observers is a
Fundamental invariant,
i.e., the same for all inertial observers
o Galilean Transformation Inverse Relations
o Step 1. Replace with .
o Step 2. Replace “primed” quantities with
“unprimed” and “unprimed” with “primed.”
o General Galilean Transformations
o Newton’s Eqn of Motion is same at face-value in both reference frames
 Einstein’s postulates of special theory of relativity
o The First Postulate of Special Relativity
 The first postulate of special relativity states that all the laws of nature are the
same in all uniformly moving frames of reference.
o The Second Postulate of Special Relativity
 The second postulate of special relativity states that the speed of light in empty
space will always have the same value regardless of the motion of the source
or the motion of the observer.
 The speed of a light flash emitted by either the spaceship or the space station is
measured as c by observers on the ship or the space station. Everyone who measures
the speed of light will get the same value, c.
 The Ether
o Light is a wave.
o Waves require a medium through which to propagate.
o Medium as called the “ether.” (from the Greek aither, meaning upper air)
o Maxwell’s equations assume that light obeys the Newtonian-Galilean transformation.
 The Ether: Since mechanical waves require a medium to propagate, it was generally
accepted that light also require a medium. This medium, called the ether, was
assumed to pervade all mater and space in the universe.
 The Michelson-Morley Experiment
o Experiment designed to measure small changes in the speed of light was performed
by Albert A. Michelson (1852 – 1931, Nobel ) and Edward W. Morley (1838 – 1923).
o Used an optical instrument called an interferometer that Michelson invented.
o Device was to detect the presence of the ether.
o Outcome of the experiment was negative, thus contradicting the ether hypothesis.
o Michelson developed a device called an inferometer.
o Device sensitive enough to detect the ether.
o Apparatus at rest wrt the ether.
o Light from a source is split by a half silvered mirror (M)
o The two rays move in mutually perpendicular directions
o The rays are reflected by two mirrors (M1 and M2) back to M where they recombine.
o The combined rays are observed at T.
o The path distance for each ray is the same (l1=l2).
o Therefore no interference will be observed
o Apparatus at moving through the ether.
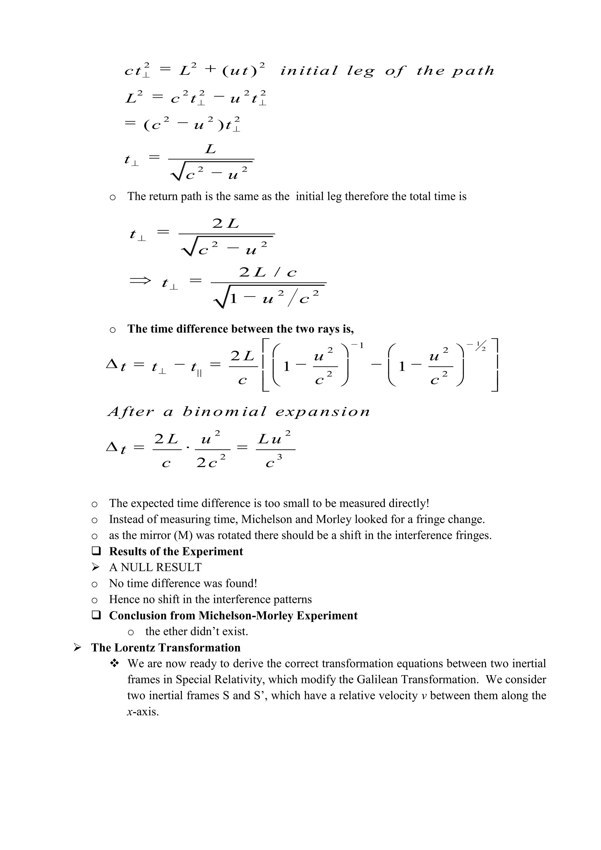
o First consider the time required for the parallel ray
o Distance moved during the first part of the path is
o Similarly the time for the return trip is
o The total time
o For the perpendicular ray ,we can write, from fig.
||
L
t
(c u )
ct L ut
L
t
(c u )
||
2 2
2 2
( ) ( )
2
( )
2 /
1
L L
t
c u c u
Lc
c u
L c
u c
o The return path is the same as the initial leg therefore the total time is
o The time difference between the two rays is,
o The expected time difference is too small to be measured directly!
o Instead of measuring time, Michelson and Morley looked for a fringe change.
o as the mirror (M) was rotated there should be a shift in the interference fringes.
 Results of the Experiment
 A NULL RESULT
o No time difference was found!
o Hence no shift in the interference patterns
 Conclusion from Michelson-Morley Experiment
o the ether didn’t exist.
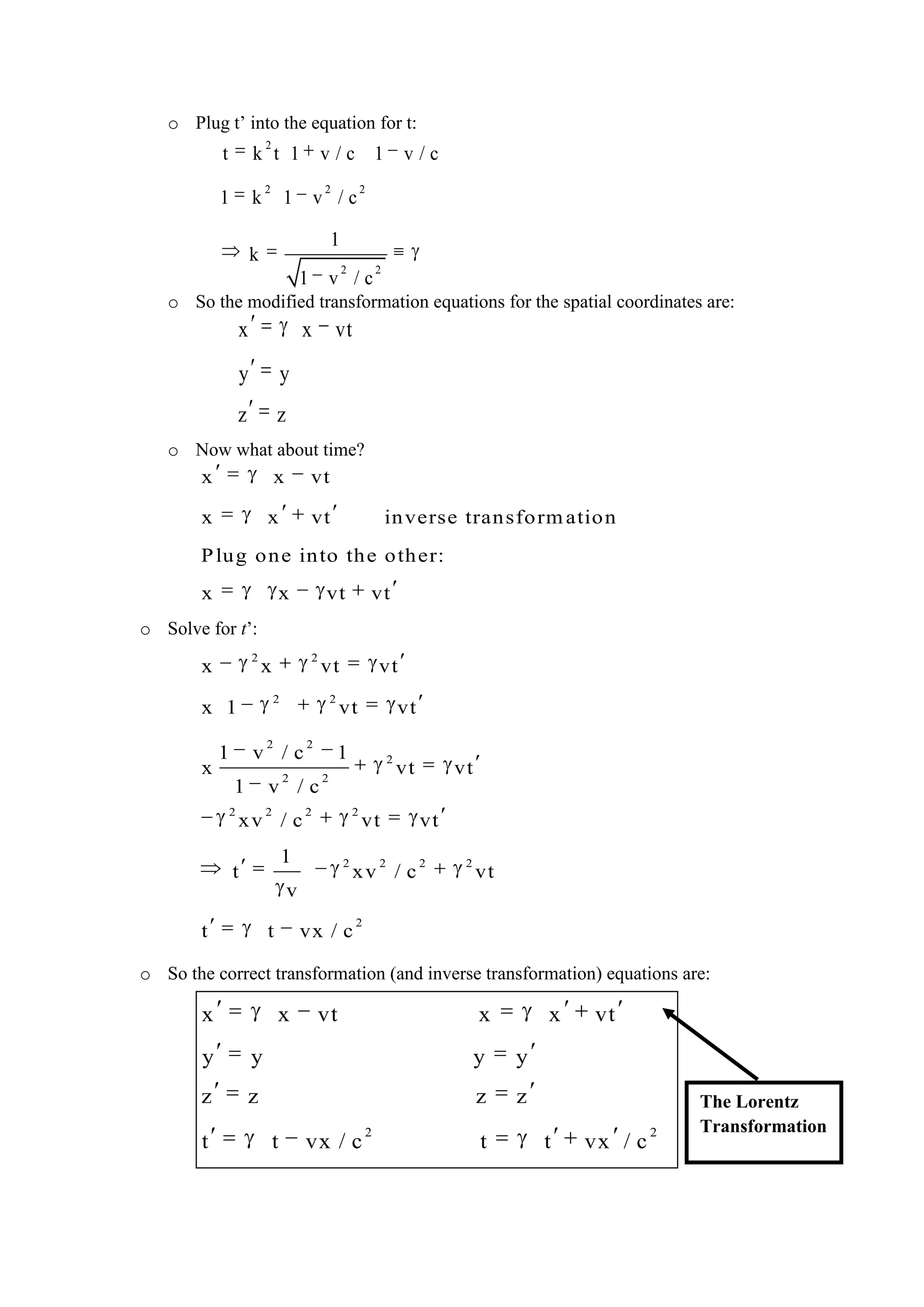
 The Lorentz Transformation
 We are now ready to derive the correct transformation equations between two inertial
frames in Special Relativity, which modify the Galilean Transformation. We consider
two inertial frames S and S’, which have a relative velocity v between them along the
x-axis.
2 2 2
2 2 2 2 2
2 2 2
2 2
)
( )
( initial leg of the patct L ut
L c t u t
c u t
L
t
c u
h
2 2
2 2
2
2 /
1
L
t
c u
L c
t
u c
1
21
2 2
|| 2 2
2 2
2 3
2
1 1
2
2
L u u
t t t
c c c
A fter a binom ial expansi
L u L u
t
c c c
on
 Now suppose that there is a single flash at the origin of S and S’ at time , when the
two inertial frames happen to coincide. The outgoing light wave will be spherical in
shape moving outward with a velocity c in both S and S’ by Einstein’s Second
Postulate.
 We expect that the orthogonal coordinates will not be affected by the horizontal
velocity:
 But the x coordinates will be affected. We assume it will be a linear transformation:
 But in Relativity the transformation equations should have the same form (the laws of
physics must be the same). Only the relative velocity matters. So,
 Consider the outgoing light wave along the x-axis (y = z = 0).
 Now plug these into the transformation equations:
 Plug these two equations into the light wave equation:
x
y
z
S
x'
y'
z'
S'
v
2 2 2 2 2
2 2 2 2 2
x y z c t
x y z c t
y y
z z
x k x vt
x k x vt
k k
x ct in fram e S'
x ct in fram e S
x k x vt k ct vt kct 1 v / c and
x k x vt k ct vt kct 1 v / c
ct x k ct 1 v / c
ct x k ct 1 v / c
t k t 1 v / c
t k t 1 v / c
o Plug t’ into the equation for t:
o So the modified transformation equations for the spatial coordinates are:
o Now what about time?
o Solve for t’:
o So the correct transformation (and inverse transformation) equations are:
2
2 2 2
2 2
t k t 1 v / c 1 v / c
1 k 1 v / c
1
k
1 v / c
x x vt
y y
z z
x x vt
x x vt inverse transformation
Plug one into the other:
x x vt vt
2 2
2 2
2 2
2
2 2
2 2 2 2
2 2 2 2
2
x x vt vt
x 1 vt vt
1 v / c 1
x vt vt
1 v / c
xv / c vt vt
1
t xv / c vt
v
t t vx / c
2 2
x x vt x x vt
y y y y
z z z z
t t vx / c t t vx / c
The Lorentz
Transformation
 Application of Lorentz Transformation
 Time Dilation
 We explore the rate of time in different inertial frames by considering a special kind
of clock – a light clock – which is just one arm of an interferometer. Consider a light
pulse bouncing vertically between two mirrors. We analyze the time it takes for the
light pulse to complete a round trip both in the rest frame of the clock (labeled S’),
and in an inertial frame where the clock is observed to move horizontally at a velocity
v (labeled S).
 In the rest frame S’
 Now put the light clock on a spaceship, but measure the roundtrip time of the light
pulse from the Earth frame S:
 So the time it takes the light pulse to make a roundtrip in the clock when it is moving
by us is appears longer than when it is at rest. We say that time is dilated. It also
doesn’t matter which frame is the Earth and which is the clock. Any object that
moves by with a significant velocity appears to have a clock running slow. We
summarize this effect in the following relation:
m irror
m irror
L
L
c t / 2
v t / 2
1
2
1 2
L
t = time up
c
L
t = time down
c
2L
=t t
c
1
2
2 2 2 2 2
2 2 2 2
2
2
2 2
2 2 2 2
t
t time up
2
t
t time down
2
The speed of light is still c in this frame, so
L v t / 4 c t / 4
L c v t / 4
4L
t
c v
2L 1
t
c 1 v / c 1 v / c
2 2
1
t , 1
1 v / c
 Length Contraction
o Now consider using a light clock to measure the length of an interferometer arm. In
particular, let’s measure the length along the direction of motion.
o In the rest frame S’:
o Now put the light clock on a spaceship, but measure the roundtrip time of the light
pulse from the Earth frame S:
o In other words, the length of the interferometer arm appears contracted when it moves by us.
This is known as the Lorentz-Fitzgerald contraction. It is closely related to time dilation. In
fact, one implies the other, since we used time dilation to derive length contraction.
A A’ C C’
vt1L
1
2
1 2
1 1 1
2 2 2
1 2 2 2 2 2
2 2
2 2
1 2 2 2 2 2
2 2
t tim e out
t tim e back
t t t
L
L vt ct t
c v
L
L vt ct t
c v
2Lc 2L 1
t t t
c v c 1 v / c
ct
L 1 v / c
2
But, t from tim e dilation
1 v / c
2Lc 2L 1
t t t
c v c 1 v / c
ct
L 1 v / c
2
But, t
1 v
2 2
0
2 2
from tim e dilation
/ c
L 1
L 1
1 v / c
Superconductivity
 Introduction of superconductivity
Superconductivity is a phenomenon of exactly zero electrical resistance and expulsion of
magnetic fields occurring in certain materials when cooled below a characteristic critical
temperature. It was discovered by Dutch physicist Heike Kamerlingh Onnes on April 8,
1911 in Hg, which has critical temperature of 4.2 K.
 Properties of Superconductors
(1)Electrical Resistance
Zero Electrical Resistance
Defining Property
Critical Temperature
Quickest test
10-5
Ωcm
(2)Effect of Magnetic Field
Critical magnetic field (HC) – Minimum magnetic field required to destroy
the superconducting property at any temperature.
2
0
1C
C
T
H H
T
H0 - Critical field at 0K
T - Temperature below TC
TC - Transition Temperature
Element HC at 0K
(mT)
Nb 198
Pb 80.3
Sn 30.9
(3)Effect of Electric Current
 Large electric current – induces magnetic field – destroys superconductivity
 Induced Critical Current iC = 2πrHC
Persistent Current
 Steady current which flows through a superconducting ring without any
decrease in strength even after the removal of the field.
 Diamagnetic property.
 Meissner effect
When Superconducting material cooled bellow its Tc it becomes resistenceless
& perfect diamagnetic.
When superconductor placed inside a magnetic field in Tc all magnetic flux is
expelled out of it the effect is called Meissner effect.
Perfect diamagnetism arises from some special magnetic property of
Superconductor.
If there is no magnetic field inside the superconductor relative permeability
or diamagnetic constant μr =0.
Total magnetic induction B is,
If magnetic induction B=0 then,
 Magnetic Flux Quantization
Magnetic flux enclosed in a superconducting ring = integral multiples of fluxon
Φ = nh/2e = n Φ0 ; (Φ0 = 2x10-15
Wb)
 Effect of Pressure
Pressure ↑, TC ↑
High TC superconductors – High pressure
0
( )B H M 
0
0 ( )H M 
M H  
1 m
M
H
   
 Thermal Properties
Entropy & Specific heat ↓ at TC
Disappearance of thermo electric effect at TC
Thermal conductivity ↓ at TC – Type I superconductors
 Stress
 Stress ↑, dimension ↑, TC ↑, HC affected
 Frequency
 Frequency ↑, Zero resistance – modified, TC not affected
 Impurities
 Magnetic properties affected
 Size
 Size < 10-4
cm – superconducting state modified
 General Properties
 No change in crystal structure
 No change in elastic & photo-electric properties
 No change in volume at TC in the absence of magnetic field
 Isotope Effect
Maxwell
TC = Constant / Mα
TC Mα
= Constant (α – Isotope Effect coefficient)
α = 0.15 – 0.5
α = 0 (No isotope effect)
TC√M = constant
 Classification & characterization of superconductor
Type - I or soft superconductor
o Exhibit complete Meissner effect.
o Bellow Hc super conductor above Hc Normal
o Value of Hc is order of 0.1 T.
o Aluminum, lead & Indium are type - I super conductor
o Not used as strong electromagnets
Type - II or Hard superconductor
o Exhibit complete Meissner effect bellow a certain critical field Hc1 at
this point diamagnetism & superconductivity ↓. This state is mix state
called vortex state.
o At certain critical field Hc2 superconductivity disappears.
o Niobium, Aluminum, Silicon, Ceramic are type - II superconductors.
o Pb is type I superconductor ac Hc = 600 gauss at 4º K when a small
impurity of In is added it becomes type II superconductor with Hc1 =
400 gauss & Hc2 = 1000 gauss.
 London equation
According to London’s theory there are two type of
electrons in SC.
o Super electrons
o Normal electrons
o At 0º K there are only Super electrons.
o With increasing temp. Super electrons ↓ Normal electrons ↑ .
o Let nn, un & ns, us are no. density & drift velocity of normal electrons
& super electrons respectively.
Equation of motion of Super electrons under electric field is,
Now current & drift velocity are related as,
s
du
m eE
dt
 

 

 
s s s
s s s
s
s
s
I n eAu
J n eu
J
u
n e
2
( )

  
 
s
s
s s
J
d
n e
e E
dt
n e Ed J
dt m
This is London's first equation.
- London's first equation gives absence of resistance. If E = 0 then,
- Now from Maxwell's eqns.
0s
dJ
dt

( )
d B
E
dt
B A
d A
E
dt
d A
E
dt
d A
E
dt
   
  
 
   
    
 
2
2
2
2
2
2
( )
( )
s s
s
s
s
s
s
s
s
s
s
s
n e Ed J
dt m
d J m
E
dt n e
d J m d A
dt n e dt
d m d A
J
dt n e dt
m
J A
n e
n e
J A
m
 

  
  
  
  
This is London's Second equation
- Again from ampere Law,
- Take curl on both sides
λ is called London penetration depth.
 BCS Theory of Superconductivity
 The properties of Type I superconductors were modeled successfully by the
efforts of John Bardeen, Leon Cooper, and Robert Schrieffer in what is
commonly called the BCS theory.
 A key conceptual element in this theory is the pairing of electrons close to
the Fermi level into Cooper pairs through interaction with the crystal lattice.
0
2
0
( )
s
s
B J
n e
B A
m


  
   
2
0
2
2
2
0
( )
&
( )
s
s
n e
B A
m
Now
B B B A B
n e
B B B
m
A B


       
             
        
  
 This pairing results form a slight attraction between the electrons related to lattice
vibrations; the coupling to the lattice is called a phonon interaction.
 Pairs of electrons can behave very differently from single electrons which are
fermions and must obey the Pauli exclusion principle.
 Cooper Pairs:
 The transition of a metal from the normal to the superconducting state has the
nature of a condensation of the electrons into a state which leaves a band gap
above them.
 This kind of condensation is seen with super fluid helium, but helium is made up
of bosons -- multiple electrons can't collect into a single state because of the Pauli
exclusion principle.
 Froehlich was first to suggest that the electrons act as pairs coupled by lattice
vibrations in the material.
 This coupling is viewed as an exchange of phonons, phonons being the quanta of
lattice vibration energy.
 Experimental corroboration of an interaction with the lattice was provided by the
isotope effect on the superconducting transition temperature.
 The boson-like behavior of such electron pairs was further investigated by
Cooper and they are called "Cooper pairs".
 The condensation of Cooper pairs is the foundation of the BCS theory of
superconductivity.
s
 In the normal state of a metal, electrons move independently, whereas in the BCS
state, they are bound into "Cooper pairs" by the attractive interaction. The BCS
formalism is based on the "reduced" potential for the electrons attraction.
 You have to provide energy equal to the 'energy gap' to break a pair, to break one pair
you have to change energies of all other pairs.
 This is unlike the normal metal, in which the state of an electron can be changed by
adding a arbitrary small amount of energy.
 The energy gap is highest at low temperatures but does not exist at temperatures
higher than the transition temperature.
 The BCS theory gives an expression of how the gap grows with the strength of
attractive interaction and density of states.
 The BCS theory gives the expression of the energy gap that depends on the
Temperature T and the Critical Temperature Tc and is independent of the material:
 Applications of Superconductors
Engineering:
 Transmission of power
 Switching devices
 Sensitive electrical instruments
 Memory (or) storage element in computers.
 Manufacture of electrical generators and transformers
Medical:
 Nuclear Magnetic Resonance (NMR)
 Diagnosis of brain tumor
 Magneto – hydrodynamic power generation
 Josephson effect or Devices
Principle: persistent current in d.c. voltage.
Josephson junctions
 A type of electronic circuit capable of switching at very high speeds when
operated at temperatures approaching absolute zero.
 Named for the British physicist who designed it,
 A Josephson junction exploits the phenomenon of superconductivity.
Construction
 A Josephson junction is made up of two superconductors, separated by a non-
superconducting layer so thin that electrons can cross through the insulating barrier.
 The flow of current between the superconductors in the absence of an applied voltage is
called a Josephson current,
 The movement of electrons across the barrier is known as Josephson tunneling.
 Two or more junctions joined by superconducting paths form what is called a Josephson
interferometer.
 Consists of superconducting ring having magnetic fields of quantum values (1,2,3..)
 Placed in between the two Josephson junctions.
Explanation:
 Consists of thin layer of insulating material placed between two
superconducting materials.
 Insulator acts as a barrier to the flow of electrons.
 When voltage applied current flowing between super conductors by tunneling
effect.
 Quantum tunneling occurs when a particle moves through a space in a manner
forbidden by classical physics, due to the potential barrier involved
Components of current
 In relation to the BCS theory (Bardeen Cooper Schrieffer) mentioned earlier,
pairs of electrons move through this barrier continuing the superconducting
current. This is known as the dc current.
 Current component persists only till the external voltage application. This is ac
current.
Uses of Josephson devices
 Magnetic Sensors
 Gradiometers
 Oscilloscopes
 Decoders
 Analogue to Digital converters
 Oscillators
 Microwave amplifiers
 Sensors for biomedical, scientific and defence purposes
 Digital circuit development for Integrated circuits
 Microprocessors
 Random Access Memories (RAMs)
Super conducting Quantum Interference Devices
Discovery:
The DC SQUID was invented in 1964 by Robert Jaklevic, John Lambe, Arnold Silver,
and James Mercereau of Ford Research Labs
Principle:
Small change in magnetic field, produces variation in the flux quantum.
Construction:
The superconducting quantum interference device (SQUID) consists of two
superconductors separated by thin insulating layers to form two parallel Josephson
junctions.
Type:
Two main types of SQUID:
1) RF SQUIDs have only one Josephson junction
2) DC SQUIDs have two or more junctions.
Thereby,
 More difficult and expensive to produce.
 Much more sensitive.
Fabrication:
 Lead or pure niobium, the lead is usually in the form of an alloy with 10% gold or
indium, as pure lead is unstable when its temperature is repeatedly changed.
 The base electrode of the SQUID is made of a very thin niobium layer.
 The tunnel barrier is oxidized onto this niobium surface.
 The top electrode is a layer of lead alloy deposited on top of the other two, forming a
sandwich arrangement.
 To achieve the necessary superconducting characteristics, the entire device is then
cooled to within a few degrees of absolute zero with liquid helium.
Uses:
 Storage device for magnetic flux.
 Study of earthquakes.
 Removing paramagnetic impurities.
 Detection of magnetic signals from brain, heart etc.
 Cryotron:
 The cryotron is a switch that operates using superconductivity.
 The cryotron works on the principle that magnetic fields destroy superconductivity.
 The cryotron is a piece of tantalum wrapped with a coil of niobium placed in a liquid
helium bath.
 When the current flows through the tantalum wire it is superconducting, but when a
current flows through the niobium a magnetic field is produced.
 This destroys the superconductivity which makes the current slow down or stop.
 Magnetic Levitated Train:
Principle: Electro-magnetic induction
Introduction:
 Magnetic levitation transport, or maglev, is a form of transportation that suspends
guides and propels vehicles via electromagnetic force.
 This method can be faster than wheeled mass transit systems, potentially reaching
velocities comparable to turboprop and jet aircraft (500 to 580 km/h).
 Why superconductor?
 Superconductors may be considered perfect diamagnets (μr = 0), completely expelling
magnetic fields due to the Meissner effect. The levitation of the magnet is stabilized
due to flux pinning within the superconductor. This principle is exploited by EDS
(Electrodynamics suspension) magnetic levitation trains.
 In trains where the weight of the large electromagnet is a major design issue (a very
strong magnetic field is required to levitate a massive train) superconductors are used
for the electromagnet, since they can produce a stronger magnetic field for the same
weight.
 How to use a Super conductor?
Electrodynamics suspension
 In Electrodynamic suspension (EDS), both the rail and the train exert a magnetic
field, and the train is levitated by the repulsive force between these magnetic fields.
 The magnetic field in the train is produced by either electromagnets or by an array of
permanent magnets.
 The repulsive force in the track is created by an induced magnetic field in wires or
other conducting strips in the track.
 At slow speeds, the current induced in these coils and the resultant magnetic flux is
not large enough to support the weight of the train.
 For this reason the train must have wheels or some other form of landing gear to
support the train until it reaches a speed that can sustain levitation.
 Propulsion coils on the guide way are used to exert a force on the magnets in the train
and make the train move forwards.
 The propulsion coils that exert a force on the train are effectively a linear motor: An
alternating current flowing through the coils generates a continuously varying
magnetic field that moves forward along the track.
 The frequency of the alternating current is synchronized to match the speed of the
train.
 The offset between the field exerted by magnets on the train and the applied field
create a force moving the train forward.
Advantages:
 No need of initial energy in case of magnets for low speeds
 One liter of Liquid nitrogen costs less than one liter of mineral water
 Onboard magnets and large margin between rail and train enable highest recorded
train speeds (581 km/h) and heavy load capacity. Successful operations using high
temperature superconductors in its onboard magnets, cooled with inexpensive liquid
nitrogen
 Magnetic fields inside and outside the vehicle are insignificant; proven, commercially
available technology that can attain very high speeds (500 km/h); no wheels or
secondary propulsion system needed
 Free of friction as it is “Levitating”
Atomic Physics
“Classical Physics”:
developed in 15th
to 20th
century,provides very successful description of “every day, ordinary
objects”
motion of trains, cars, bullets,….
orbit of moon, planets
how an engine works,..
subfields: mechanics, thermodynamics, electrodynamics,
Quantum Physics:
developed early 20th
century, in response to shortcomings of classical physics in describing
certain phenomena (blackbody radiation, photoelectric effect, emission and absorption
spectra…)describes “small” objects (e.g. atoms )
QP is “weird and counterintuitive”
“Those who are not shocked when they first come across quantum theory cannot possibly
have understood it” (Niles Bohr)
“Nobody feels perfectly comfortable with it “ (Murray Gell-Mann)
“I can safely say that nobody understands quantum mechanics” (Richard Feynman)
BUT…
QM is the most successful theory ever developed by humanity underlies our
understanding of atoms, molecules, condensed matter, nuclei, elementary particles
Crucial ingredient in understanding of stars, …
Quantum physics is basically the recognition that there is less difference between waves
and particles than was thought before
key insights:
light can behave like a particle
particles (e.g. electrons) are indistinguishable
particles can behave like waves (or wave packets)
waves gain or lose energy only in "quantized amounts“
detection (measurement) of a particle wave will change suddenly into a new wave
quantum mechanical interference – amplitudes add
QP is intrinsically probabilistic
what you can measure is what you can know
WAVE-PICTURE OF RADIATION—ENERGY FLOW I S CONTI N UOUS
• Radio waves, microwaves, heat waves, light waves, UV-rays, x-rays and y-rays belong to
the family of electromagnetic waves. All of them are known as radiation.
• Electromagnetic waves consist of varying electric and magnetic fields traveling at the
velocity of 'c'. The proMaxwell's theory treated the emission of radiation by a source as a
continuous process.
• A heated body may be assumed to be capable of giving out energy that travels in the form
of waves of all possible wavelengths.
• In the same way, the radiation incident on a body was thought to be absorbed at all
possible wavelengths.
• The intensity of radiation is given by,
I = 1E12
• where E is the amplitude of the electromagnetic wave.
• pagation of electromagnetic waves and their interaction with matter can be explained
with the help of Maxwell's electromagnetic theory.
• The phenomena of interference, diffraction and polarization of electromagnetic radiation
proved the wave nature of radiation.
• Therefore, it is expected that it would explain the experimental observations made on
thermal (heat) radiation emitted by a blackbody.
Blackbody radiation and Planck hypothesis
• Two patches of clouds in physics sky at the beginning of 20th
century.
• The speed of light  Relativity
• The blackbody radiation  foundation of Quantum theory
• Convection is transfer of heat by actual motion of. The hot-air furnace, the hot-water
heating system, and the flow of blood in the body are examples.
• Radiation The heat reaching the earth from the sun cannot be transferred either by
conduction or convection since the space between the earth and the sun has no material
medium. The energy is carried by electromagnetic waves that do not require a material
medium for propagation. The kind of heat transfer is called thermal radiation.
• Blackbody is defined as the body which can absorb all energies that fall on it. It is
something like a black hole. No lights or material can get away from it as long as it is
trapped. A large cavity with a small hole on its wall can be taken as a blackbody.
LAWS OF BLACK BODY RADIATION
1. Stefan and Boltzmann’s law: it is found that the radiation energy is proportional to the fourth
power of the associated temperature. 4
M (T) T
2. Wien’s displacement law: the peak of the curve shifts towards longer
wavelength as the temperature falls and it satisfies
where b is called the Wien's constant. b=2.89X10-3
4
M (T ) T
peak
T b
This law is quite useful for measuring the temperature of a blackbody with a very high
temperature. You can see the example for how to measure the temperature on the surface of the
sun.
• The above laws describes the blackbody radiation very well.
• The problem exists in the relation between the radiation power Mλ(T) and the
wavelength λ.
• Blackbody radiation has nothing to do with both the material used in the blackbody
concave wall and the shape of the concave wall.
• Two typical theoretical formulas for blackbody radiation : One is given by Rayleigh and
Jeans and the other by Wein.
3.Rayleigh and Jeans
• In 1890, Rayleigh and Jeans obtained a formula using the classical electromagnetic
(Maxwell) theory and the classical equipartition theorem of energy in thermotics. The
formula is given by
2
3
8 kT
E( )
c
Rayleigh-Jeans formula was correct for very long wavelength in the far infrared but hopelessly
wrong in the visible light and ultraviolet region. Maxwell‟s electromagnetic theory and
thermodynamics are known as correct theory. The failure in explaining blackbody radiation
puzzled physicists! It was regarded as ultraviolet Catastrophe (disaster).
4. Planck Radiation Law:
Where,
E=Quantum energy
h= Planck constant
v= frequency
PLANCK'S QUANTUM HYPOTHESIS — Energy is quantized
• Max Planck empirical formula explained the experimental observations.
• In the process of formulation of the formula, he assumed that the atoms of the walls of
the blackbody behave like small harmonic oscillators, each having a characteristic
frequency of vibration, lie further made two radical assumptions about the atomic
oscillators.
• An oscillating atom can absorb or mends energy in discrete units. The indivisible discrete
unit of energy hs, is the smallest amount of energy which can be absorbed or emitted by
the atom and is called an energy quantum. A quantum of energy has the magnitude given
by
E = hv
4
M (T) T
hc
E h
where v is the frequency of radiation and „h' is a constant now known as the Planck's
constant.
• The energy of the oscillator is quantized. It can have only certain discrete amounts of
energy En.
En= nhv n=1,2,3……
• The hypothesis that radiant energy is emitted or absorbed basically in a discontinuous
summer and in the form of quanta is known as the Planck's quantum hypothesis.
• Planck's hypothesis states that radiant energy Is quantized and implies that an atom exists
in certain discrete energy states. Such states arc called quantum stales and n is called the
quantum number.
• The atom emits or absorbs energy by jumping from one quantum state to another
quantum state. The assumption of discrete energy states for an atomic oscillator (Fig.a)
was a departure from the classical physics and our everyday exper
• If we take a mass-spring harmonic oscillator, it can receive any amount of energy form
zero to some maximum value (Fig.b). Thus, in the realm of classical physics energy
always appears to occur with continuous values and energy exchange between bodies
involves any arbitrary amounts of energy.
PARTICLE PICTURE OF RADIATION —Radiation is a stream of photons
Max Planck introduced the concept of discontinuous emission and absorption of radiation
by bodies but he treated the propagation through space as occurring in the form of
continuous waves as demanded by electromagnetic theory.
• Einstein refined the Planck's hypothesis and invested the quantum with a clear and
distinct identity.
• He successfully explained the experimental results of the photoelectric effect in 1905 and
the temperature dependence of specific heats of solids in 1907 basing on Planck's
hypothesis.
• The photoelectric effect conclusively established that light behaves as a swam of
particles. Einstein extended Planck's hypothesis as follows:
1 Einstein assumed that the light energy is not distributed evenly over the whole
expanding wave front but rather remains concentrated in discrete quanta. He
named the energy quanta as photons. Accordingly, a light beam is regarded as a
stream of photons travelling with a velocity ' c' .
2 An electromagnetic wave having a frequency f contains identical photons, each
having an energy hƒ. The higher the frequency of the electromagnetic wave, the
higher is the energy content of each photon.
3. An electromagnetic wave would have energy hƒ if it contains only one photon.
2hv if it contains 2 photons and so on. Therefore, the intensity of a
monochromatic light beam I. is related to the concentration of photons. N. present
in the beam. Thus,
I = N hƒ
Note that according to electromagnetic theory, the intensity of a light beam is given by
I = 1E12
4. When photons encounter matter, they impart all their energy to the panicles of matter and
vanish. That is why absorption of radiation is discontinuous. The number of photons
emitted by even a weak light source is enormously large and the human eye cannot
register the photons separately and therefore light appears as a continuous stream. Thus,
the discreteness of light is not readily apparent.
The Photon
• As the radiant energy is viewed as made up of spatially localized photons. we may
attribute particle properties to photons.
1. Energy: The energy of a photon is determined by its frequency v and is given by E = hƒ.
Using the relation ω= 2π and writing h/2π = ħ. we may express E= ħω
2. Velocity: Photons always travel with the velocity of light „c'.
3. Rest Mass: The rest mass of photon is zero since a photon can never be at rest. Thus, m0=
0
4. Relativistic mass: As photon travels with the velocity of light, it has relativistic mass.
given by m= E/c2
= hv/c2
5. Linear Momentum: The linear momentum associated with a photon may be expressed as
p=E/c=hv/c= h/λ
As the wave vector k= 2π/λ , p = hk/ 2π = ħk.
6. Angular Momentum: Angular momentum is also known as spin which is the intrinsic
property of all microparticles. Photon has a spin of one unit. Thus. s = lħ.
7. Electrical Charge: Photons are electrically neutral and cannot be influenced by electric or
magnetic fields. They cannot ionize matter.
Example: 1
Calculate the photon energies for the following types of electromagnetic radiation:
(a) a 600kHz radio wave; (b) the 500nm (wavelength of) green light; (c) a 0.1 nm
(wavelength of) X-rays.
Solution:
(a) for the radio wave, we can use the Planck-Einstein law directly
15 3
9
E h 4.136 10 eV s 600 10 Hz
2.48 10 eV
(b) The light wave is specified by wavelength, we can use the law explained in wavelength:
6
9
hc 1.241 10 eV m
E 2.26eV
550 10 m
(c). For X-rays, we have
6
4
9
hc 1.241 10 eV m
E 1.24 10 eV 12.4keV
0.1 10 m
Photoelectric Effect:-
The quantum nature of light had its origin in the theory of thermal radiation and was
strongly reinforced by the discovery of the photoelectric effect.
Fig. Apparatus to investigate the photoelectric effect that was first found in 1887 by Hertz.
In figure , a glass tube contains two electrodes of the same material, one of which is irradiated by
light. The electrodes are connected to a battery and a sensitive current detector measures the
current flow between them.
The current flow is a direct measure of the rate of emission of electrons from the irradiated
electrode.
The electrons in the electrodes can be ejected by light and have a certain amount of kinetic
energy. Now we change:
(1) the frequency and intensity of light,
(2) the electromotive force (e.m.f. or voltage),
(3) the nature of electrode surface.
It is found that:
(1). For a given electrode material, no photoemission exists at all below a certain frequency of
the incident light. When the frequency increases, the emission begins at a certain frequency. The
frequency is called threshold frequency of the material. The threshold frequency has to be
measured in the existence of e.m.f. (electromotive force) as at such a case the photoelectrons
have no kinetic energy to move from the cathode to anode . Different electrode material has
different threshold frequency.
(2). The rate of electron emission is directly proportional to the intensity of the incident light.
Photoelectric current ∝ The intensity of light
(3). Increasing the intensity of the incident light does not increase the kinetic energy of the
photoelectrons.
Intensity of light ∝ kinetic energy of photoelectron
However increasing the frequency of light does increase the kinetic energy of photoelectrons
even for very low intensity levels.
Frequency of light ∝ kinetic energy of photoelectron
(4). There is no measurable time delay between irradiating the electrode and the emission of
photoelectrons, even when the light is of very low intensity. As soon as the electrode is
irradiated, photoelectrons are ejected.
(5) The photoelectric current is deeply affected by the nature of the electrodes and chemical
contamination of their surface.
In 1905, Einstein solved the photoelectric effect problem by applying the Planck‟s hypothesis.
He pointed out that Planck‟s quantization hypothesis applied not only to the emission of
radiation by a material object but also to its transmission and its absorption by another material
object. The light is not only electromagnetic waves but also a quantum. All the effects of
photoelectric emission can be readily explained from the following assumptions:
Therefore we have the equation of photoelectric effect:
21
2
h A mv
Using this equation and Einstein‟s assumption, you could readily explain all the results in the
photoelectric effect: why does threshold frequency exist (problem)? why is the number of
photoelectrons proportional to the light intensity? why does high intensity not mean high
photoelectron energy (problem)? why is there no time delay (problem)?
Example: Ultraviolet light of wavelength 150nm falls on a chromium electrode. Calculate
the maximum kinetic energy and the corresponding velocity of the photoelectrons (the
work function of chromium is 4.37eV).
Solution: using the equation of the photoelectric effect, it is convenient to express the energy in
electron volts. The photon energy is
6
9
1.241 10
8.27
150 10
hc eV m
E h eV
m
2
2
1
2
1
(8.27 4.37) 3.90
2
h A mv
mv eV eV
19 19 19 2 2
1 1.602 10 1.602 10 1.602 10eV J N m kg m s
2 19 2 21
3.90 3.90 1.602 10
2
mv eV kg m s
19
6
31
2 3.90 12.496 10
1.17 10 /
9.11 10
eV
v m s
m
EXERCISE:-
1. The wavelength of yellow light is 5890 A. What is the energy of the photons in the
beam? Empress in electron volts.
2. 77w light sensitive compound on most photographic films is silver bromide, Aglin A film
is exposed when the light energy absorbed dissociates this molecule into its atoms. The
energy of dissociation of Agllr is 23.9 k.catitnot Find the energy in electron volts, the
wavelength and the frequency of the photon that is just able to dissociate a molecule of
silver bromide.
3. Calculate the energy of a photon of blue light with a frequency of 6.67 x 1014
Hz. (State
in eV) [2.76eV]
4. Calculate the energy of a photon of red light with a wavelength of 630 nm. [1.97eV]
5. Barium has a work function of 2.48 eV. What is the maximum kinetic energy of the
ejected electron if the metal is illuminated by light of wavelength 450 nm? [0.28 eV]
6. When a 350nm light ray falls on a metal, the maximum kinetic energy of the
photoelectron is 1.20eV. What is the work function of the metal? [2.3 eV]
7. A photon has 3.3 x 10-19
J of energy. What is the wavelength of this photon?
8. What is the energy of one quantum of 5.0 x 1014
Hz light?
4
M (T) T
X-Rays
Objectives:
 Introduction and production of X-Rays
 Properties of X-Rays
 Diffraction of X-Rays
 The Bragg’s X-Ray spectrometer
 Continuous spectra
 Characteristics Radiation
 Moseley’s law
 Absorption of X-Ray
 Compton effect
 Applications of X-Rays
Introduction and production of X-Rays
Introduction of X- Rays
Wilhelm Rontgen discovered X-rays in 1985 during the course of some
experiments with a discharge tube. He noticed that a screen coated with barium
platinocyanide present at a distance from the discharge tube. Rontgen called these
invisible radiations X-rays. Finally he concluded that X-rays are produced due to the
bombardment of cathode rays on the walls of the discharge tube.
It is well known that X-rays are produced when the fast moving electrons, and
that metals or high atomic weight are most effective for this purpose.
X-rays are electromagnetic waves with very short wavelengths. X-rays are highly
penetrating and it can pass through many solids. They occur beyond the UV region in the
electromagnetic spectrum. Their wavelengths range from 0.01 to 10 Å.
Production or Generation of X-rays
X-rays are produced by an X-ray tube. The schematic of the modern type of X-ray
tube designed by Coolidge is shown in above figure.
 It is an evacuated glass bulb enclosing two electrodes, a cathode and an anode.
The cathode consists of a tungsten filament which emits electrons when it
heated. The electrons are focused into a narrow beam with the help of a metal
cup S.
The anode consists of a target material, made of tungsten or molybdenum,
which is embedded in a copper bar.
Water circulating through a jacket surrounding the anode and cools the anode. Further
large cooling fins conduct the heat away to the atmosphere.
The face of the target is kept at an angle relative to the oncoming electron beam.
A very high potential difference of the order of 50 kV is applied across the electrodes.
The electrons emitted by the cathode are accelerated by the anode and acquire high
energies of order of 105
eV. When the target suddenly stops these electrons, X-rays are
emitted.
The magnetic field associated with the electron beam undergoes a change when
the electrons are stopped and electromagnetic waves in the form of X-rays are generated.
The grater of the speed of the electron beam, the shorter will be the wavelength of
the radiated X-rays. Only about 0.2 % of the electron beam energy is converted in to X-
rays and the rest of the energy transforms into heat. It is for the reason that the anode is
intensively cooled during the operation of X-ray tube.
The intensity of the electron beam depends on the number of electron leaving the
cathode. The hardness of the X-rays emitted depends on the energy of the electron beam
striking the target. It can be adjusted by varying the potential difference applied between
the cathode and anode. Therefore, the larger potential difference, the more penetrating or
harder X-rays.
Properties of X-Ray
 They have relatively high penetrating power.
 They are classified into Hard X-rays & Soft X-rays.
The X-rays which have high energy and short wavelength is known as Hard X-
rays.
The X-rays which have low energy and longer wavelength is known as Soft X-
rays.
 X-rays causes the phenomenon of flouroscence.
 On passing through a gas X-rays ionize the gas.
 They are absorbed by the materials through which they traverse.
 X-rays travel in straight line. Their speed in vacuum is equal to speed of light.
 X-rays can affect a photographic film.
 X-rays are undeflected by electric field or magnetic field.
Diffraction of X-Rays – Bragg’s law
Consider a crystal as made out of parallel planes of ions, spaced a distance d
apart. The conditions for a sharp peak in the intensity of the scattered radiation are:
1. That the X-rays should be secularly reflected by the ions in any one plane.
2. That the reflected rays from successive planes should interfere constructively.
Path difference between two rays reflected from adjoining planes:
2dsinθ, for the rays to interfere constructively, this path difference must be an integral
number of wavelength λ,
Suppose that a single monochromatic wave (of any type) is incident on aligned
planes of lattice points, with separation , at angle . Points A and C are on one plane,
and B is on the plane below. Points ABCC' form a quadrilateral.
There will be a path difference between the ray that gets reflected along AC' and
the ray that gets transmitted, and then reflected, along AB and BC respectively. This path
difference is:
The two separate waves will arrive at a point with the same phase, and hence
undergo constructive interference, if and only if this path difference is equal to any
integer value of the wavelength, i.e.
Where, the same definition of and apply as above.
Therefore,
from which it follows that,
Putting everything together,
Which simplifies to
Which is Bragg's law.
Bragg angle is just the half of the total angle by which the incident beam is deflected.
The Bragg’s X-Ray spectrometer
An X-ray diffraction experiment requires,
(1) X-ray source
(2) The sample
(3) The detector
Depending on method there can be variations in these requirements. The X-ray
radiation may either monochromatic or may have variable wave length.
Structures of polycrystalline sample and single crystals can be studied. The
detectors used in these experiments are photographic film.
The schematic diagram of Bragg’s X-ray spectrometer is given in above.
X-ray from an X-ray tube is collimated by passing team through slits S1 and S2. This
beam is then allowed to fall on a single crystal mounted on a table which can be rotated
about an axis perpendicular to the plane of incident of X-rays. The crystal behaves as a
reflected grating and reflects X-rays. By rotating the table, the glancing angle θ at which
the X-ray is incident on the crystal can be changed. The angle for which the intensity of
the reflected beam is maximum gives the value of θ. The experiment is repeated for each
plane of the crystal. For first order reflection n = 1 so that, λ = 2d sinθ; for n = 2, 2λ = 2d
sinθ; ……., and so on.
A photographic plate or an ionization chamber is used to detect the rays reflected by
the crystal.
Continuous X-rays or Bremsstrahlung X-rays
"Bremsstrahlung" means "braking radiation" and is retained from the original
German to describe the radiation which is emitted when electrons are decelerated or
"braked" when they are fired at a metal target. Accelerated charges give off
electromagnetic radiation, and when the energy of the bombarding electrons is high
enough, that radiation is in the x-ray region of the electromagnetic spectrum. It is
characterized by a continuous distribution of radiation which becomes more intense and
shifts toward higher frequencies when the energy of the bombarding electrons is
increased. The curves above are who bombarded tungsten targets with electrons of four
different energies.
The continuous distribution of x-rays which forms the base for the two sharp
peaks at left is called "Bremsstrahlung" radiation.
The bombarding electrons can also eject electrons from the inner shells of the
atoms of the metal target, and the quick filling of those vacancies by electrons dropping
down from higher levels gives rise to sharply defined characteristic x-rays.
Characteristic X-rays
Characteristic x-rays are emitted from heavy elements when their electrons make
transitions between the lower atomic energy levels. The characteristic x-rays emission
which shown as two sharp peaks in the illustration at left occur when vacancies are
produced in the n=1 or K-shell of the atom and electrons drop down from above to fill the
gap. The X-rays produced by transitions from the n=2 to n=1 levels are called Kα X-rays,
and those for the n=3->1 transition are called Kβ X-rays.
Transitions to the n=2 or L-shell are designated as L x-rays (n=3->2 is L-alpha,
n=4->2 is L-beta, etc.
X-ray production typically involves bombarding a metal target in an X-ray tube
with high speed electrons which have been accelerated by tens to hundreds of kilovolts of
potential. The bombarding electrons can eject electrons from the inner shells of the atoms
of the metal target. Those vacancies will be quickly filled by electrons dropping down
from higher levels, emitting X-rays with sharply defined frequencies associated with the
difference between the atomic energy levels of the target atoms.
The frequencies of the characteristic X-rays can be predicted from the Bohr
model. Moseley measured the frequencies of the characteristic x-rays from a large
fraction of the elements of the periodic table and produces a plot of them which is now
called a "Moseley plot".
Characteristic X-rays are used for the investigation of crystal structure by X-ray
diffraction. Crystal lattice dimensions may be determined with the use of Bragg's law in
a Bragg spectrometer.
Moseley’s law and its importance
The English physicist Henry Moseley (1887-1915) found, by bombarding high
speed electrons on a metallic anode, that the frequencies of the emitted X-ray spectra
were characteristic of the material of the anode. The spectra were called characteristic X-
rays.
He interpreted the results with the aid of the Bohr theory, and found that the
wavelengths λ of the X-rays were related to the electric charge Z of the nucleus.
According to him, there was the following relation between the two values (Moseley’s
law; 1912).
1/λ = c(Z - s)2
----- (1)
Where,
c and s are constants applicable to all elements and Z is an integer.
When elements are arranged in line according to their position in the periodic
table, the Z value of each element increases one by one.
Moseley correctly interpreted that the Z values corresponded to the charge
possessed by the nuclei. Z is none other than the atomic number.
 Importance of Moseley’s law:
Atomic no. is more important than Atomic weight as it is equals to charge of
nucleus.
Difference between Ni, Co, Te & I etc., is explained when periodic table was
constructed with atomic no.
Moseley predicted the existence of elements with atomic no. 43, 61, 72 & 75.
Thus, X-ray spectrum analysis new elements can be discovered.
Absorption of X-Ray
When the x-rays hit a sample, the oscillating electric field of the electromagnetic
radiation interacts with the electrons bound in an atom. Either the radiation will be
scattered by these
A narrow parallel monochromatic x-ray beam of intensity I0
passing through a
sample of thickness x will get a reduced intensity I according to the expression:
ln (I0
/I) = μ x ------- (1)
Where μ is the linear absorption coefficient, which depends on the types of atoms
and the density ρ of the material.
At certain energies where the absorption increases drastically and gives rise to an
absorption edge. Each such edge occurs when the energy of the incident photons is just
sufficient to cause excitation of a core electron of the absorbing atom to a continuum
state, i.e. to produce a photoelectron.
Thus, the energies of the absorbed radiation at these edges correspond to the
binding energies of electrons in the K, L, M, etc.., shells of the absorbing elements. The
absorption edges are labeled in the order of increasing energy, K, LI
, LII
, LIII
, MI
,….,
corresponding to the excitation of an electron from the 1s(
2
S½
), 2s(
2
S½
), 2p(
2
P½
),
2p(
2
P3/2
), 3s(
2
S½
), … orbitals (states), respectively.
Compton effect
Arthur H. Compton observed the scattering of x-rays from electrons in a carbon
target and found scattered x-rays with a longer wavelength than those incidents upon the
target. The shift of the wavelength increased with scattering angle according to the
Compton formula:
Compton explained and modeled the data by assuming a particle (photon) nature
for light and applying conservation of energy and conservation of momentum to the
collision between the photon and the electron.
In figure, the electron is initially at rest with incident photon of wavelength and
momentum p; scattered photon with longer wavelength f and momentum p and
recoiling electron with momentum P. The direction of the scattered photon makes an
angle φ with that of the incident photon, and the angle between p and p is also φ.
called Compton wavelength.
Compton scattering cannot be understood on the basis classical electromagnetic
theory. On the basis of classical principles, the scattering mechanism is induced by
motion of electrons in the material, caused by the incident radiation. This motion must
have the same frequency as that of incident wave because of forced vibration, and so the
scattered wave radiated by the oscillating charges should have the same frequency. There
is no way the frequency can shift by this mechanism.
Applications of X-Rays
X-rays are used in industrial, medical, pure science research and X-ray
crystallography etc…
 X-rays are used to detect defects in radio valves.
 X-rays are used to detect cracks in structures.
 X-rays are used to analyses the structures of alloys and other composite bodies by
diffraction of X-rays.
 They are also used to study are structure of materials like rubber, cellulose, plastic,
fibres etc…
 X-rays are used in analysis of crystal structure and structure of complex organic
molecule.
 They are also used in determining the atomic number and identification of various
chemical elements.
 X-rays are used to detect fractures and formation of stones in human body.
 X-rays can destroy abnormal internal tissues.
 They are also being used for tumor treatment and for this purpose hard X-rays are
used.
 X-rays are also used in X-ray crystallography for Laue method, Rotating crystal
method, Powder method, etc….
nm
mc
h
c
00243.0
1-1 Architectural Acoustics
Architectural Acoustics
Syllabus :
Classification of sound : Loudness, Weber-Fechner law,
Absorption coefficient, Reverberation, Sabine’s formula, Factors
affecting acoustics of building and their remedies
Introduction :
Sound is always produced by some vibrating body. The vibrating
body generates mechanical waves and these waves spreads in the
surrounding medium. We are aware that these waves propagate in the
form of a series of compressions and rarefactions in air or the surrounding
medium. When reached upto the human ear drum it causes a sensation of
hearing. As far as architectural acoustics are concerned, we are interested
the combined effect of sound waves which creates a sense of sound on
human ear.
Some important characteristics
(1) The propagation of sound requires the presence of an elastic
medium.
(2) Sound can not travel through vacuum
(3) The compression and rarefactions due to a sound modulate the
normal atmospheric pressure with small pressure changes occuring
regularly above and below it.
(4) The velocity of sound depends on the nature and temperature of the
medium.
1-2 Architectural Acoustics
1.1 Classification of Sound :
Based upon frequency of sound waves, it can be classified into its
three main categories.
(a) Audible waves : Sound waves with frequency in the range of
20Hz to 20KHz.
(b) Infrasonic waves : Sound waves below audible range i.e. below
20Hz.
(c) Ultrasonic waves : Sound waves above audible range i.e.
20KHz.
1.1.1 Characteristics of Musical Sound :
Musical sounds & Noise sound:-
Musical sound are distinguished from noises in that they are
composed of regular, uniform vibrations, while noises are irregular
and disordered vibrations. One musical tone is distinguished from
another on the basis of pitch, intensity, or loudness and quality, or
timbre.
Noise sound that Produce Jarring effect on the ear is called Noise
sound.Noice sound make unpleasent to hear .Example are sound
produce by flying aeroplane,road traffic,cracker etc
Pitch describes how high or low a tone is and depends upon the
rapidity with which a sounding body vibrates, i.e. upon the frequency
of vibration. The higher the frequency of vibration, the higher the tone;
the pitch of a siren gets higher and higher as the frequency of vibration
increases. The apparent change in the pitch of a sound as a source
approaches or moves away from an observer is described by the Doppler
effect.
The intensity or loudness of a sound depends upon the extent to
which the sounding body vibrates, i.e. the amplitude of vibration. A
1-3 Architectural Acoustics
sound is louder as the amplitude of vibration is greater, and the intensity
decreases as the distance from the source increases. Loudness is measured
in units called decibels.
Timber is the Quality of the sound which Enable us to
distinguish between two sound having the same loudness & pitch.The
sound waves given off by different vibrating bodies differ in quality, or
timbre. A note from a saxophone, for instance, differs from a note of the
same pitch and intensity produced by a violin or a xylophone; similarly
vibrating reeds, columns of air, and strings all differ. Quality is dependent
on the number and relative intensity of overtones produced by the
vibrating body (see harmonic), and these in turn depend upon the nature
of the vibrating body.
1.2 Important Terms Used :
In the study of sound waves we come across various terms like Pitch
(This law does not hold good near the upper and lower limits of
audiability), Timber which basically deals with the quality of the sound
waves and source. At the same time for technical assessment, we make
use of important parameters like intensity and loudness.
1.2.1 Weber Fechner Law :
This law has it roots hidden in psychology and proved scientifically
according to which : The loudness of sound sensed by ear is directly
proportional to logarithm of its intensity.
According to Weber-Fechner law :
Suppose the loudness is S for intensity I and S0 for intensity I0,
S = K log10 I
S0 = K log10 I0
The intensity level L is the difference in loudness.
L = S – S0
1-4 Architectural Acoustics
= K log10 I – K log10 I0 = K log10
I
I0
take, K = 1
L = log10
I
I0
…(1.1)
Intensity and loudness are the two words which are similar but with
slight difference.
Table 1.1
Sr.
No.
Intensity Loudness
1. Defined as the quantity of energy
propagating through a unit area per
unit time, in the direction of
propagation being perpendicular to
the area (unit : watt/m
2
).
It is just an aural
sensation and it a
physiological
phenomenon rather than a
physical one.
2. It refers to the external or the
objective measurement.
It refers to an internal or
subjective aspect.
3. It is a physical quantity. Merely a degree of
sensation.
Loudness ‘S’ increases with intensity ‘I’ as per the following
relation*
or S log I …(1.2)
dS
dI =
K
I …(1.3)
Where K is proportionality constant
Here
ds
dI is called the sensitiveness of the ear.
In practice, it is the relative intensity that is important and not the
absolute value. Hence the intensity of sound is often measured as the
ratio to a standard intensity I0. The intensity level is I / I0.
1-5 Architectural Acoustics
The standard intensity taken is I0 = 10
–12
watts / m
2
. (It is an
arbitrarily selected value. It is an intensity that can just be heard
at frequency 1 kHz)
1.2.2 Bel :
As discussed in art 1.2.1, whenever the intensity of sound increases
by a factor of 10, the increase in the intensity is said to be 1 bel (A
unit named after Alexander Graham Bell, the inventor of telephone)
Therefore dynamic range of audibility of the human ear is 12 bels or
120 dB. When the intensity increases by a factor of 10
0.1
, the
increase in intensity is 0.1 bel or 1dB.
From Equation 1.1
L = log10
I
I0
in decibel
L = 10 log10
I
I0
For the intensity level change = 1 dB
1 = 10 log10
I
I0
I
I0
= 1.26 …(1.4)
If I = I0,
L = 10 log 1 = 0
This represents the threshold of audibility.
It means that intensity level alters by 1dB when intensity of sound
changes by 26%
1-6 Architectural Acoustics
Table 1.2 : Intensity levels of different sounds
Sr. No. Sound Intensity level (in db)
(1) Threshold of hearing 0
(2) Rustle of leaves 10
(3) Whisper 15 – 20
(4) Normal conversation 60 – 65
(5) Heavy traffic 70 – 80
(6) Thunder 100 – 110
(7) Painful sound 130 and above
1.2.3 Phon :
The intensity levels given in the above Table 1.2 refer to the
loudness in decibels with the assumption that the threshold of
audibility is the same irrespective of the pitch (Pitch is a subjective
sensation perceived when a tone of a given frequency is sounded. It
enables us to classify a note as high or low and to distinguish a shrill
sound from a flat sound of the same intensity on the same
instrument.) of the sound.
However, the sensitivity of the ear and the threshold audibility vary
over wide ranges of frequency and intensity.
Hence the intensity level will be different at different frequencies
even for the same value of I0.
For measuring the intensity level a different unit called phon is used.
The measure of loudness in phons of any sound is equal to the
intensity level in decibels of an equally loud pure tone of frequency
1000 Hz.
Hence Phon scale and decibel scale agree for a frequency of 1000 Hz
but the two values differ at other frequencies.
Suppose the intensity level of a note of frequency 480 Hz is to be
determined. A standard source of frequency 1000 Hz is sounded and
the intensity of the standard source is adjusted so that it is equal to
1-7 Architectural Acoustics
the loudness of the given note of frequency
480 Hz.
The intensity level of the standard source in decibels is numerically
equal to the loudness of the given source in phons.
Ex. 1.1 : Calculate the change in intensity level when the intensity of
sound increases 100 times its original intensity.
Soln. :
Given :
Initial intensity = I0
Final intensity = I
I
I0
= 100
Increase in intensity level = L
L = 10 log10
I
I0
(in dB)
L = 10 log10 100 = 20 dB …Ans.
Ex. 1.2 : Find the intensity level in phons if 3000 Hz with intensity level
of 70 dB produces the same loudness as a standard source of
frequency 1000 Hz at a intensity level 67 dB.
Soln. :
As the 3000 Hz source has the same loudness of standard source of
1000 Hz with 67 db, the intensity level of the note of frequency 3000 Hz
is 67 phons. …Ans.
1.3 Architectural Acoustics :
Lets try to understand what exactly acoustics of a hall means.
Consider the following cases :
(a) Imagine a hall, it is easy for any one to understand that sound
produced at a point will reach the other point directly as well as after
reflections from walls, roof etc. The intensity of the sound depends
1-8 Architectural Acoustics
on the distance covered by sound on different paths. These sounds
are generally out of phase and due to interference the distribution of
intensity in the room is not uniform.
(b) It is also important to consider a possibility that the different
frequency sounds of a musical instrument may interfere differently at
some point and quality of music may become unpleasent.
(c) It is known that sound persists for some time due to multiple
reflections, even when the original sound has ceased. During this
time if any other syllable is received, superimposition of these two
will affect audiability as both will remain indistinct. If this takes
place during a speech, a confusion will be created.
(d) Concentration of sound taking place at any part of the hall.
The above mentioned points are very common but needs a special
scientific attention. Prof. W.C. Sabine was the first person who took it
seriously.
1.4 Reverberation Time :
Reverberation means the prolonged reflection of sound from walls,
floor or roof of a hall. In simple language it is nothing but persistence of
sound even after the sources of the sound has stopped.
Reverberation time :
The time gap between the initial direct note and the reflected
note upto a minimum audibility level is called reverberation time.
More precisely, the interval of time taken by a sustained or
continuous sound to fall to an intensity level equal to one millionth
of its original value. (i.e. fall by 60 db in loudness) is called
reverberation time.
In a good auditorium it is necessary to keep the reverberation time as
small as possible. The intensity of the sound as received by listener
is shown graphically in Fig. 1.1.
1-9 Architectural Acoustics
Fig. 1.1
When a source emits sound, the waves spread out and the listener is
aware of the commencement of sound when the direct waves reach
his ears. Subsequently the listener receives sound energy due to
reflected waves also. If the note is continuously sounded, the
intensity of sound at the listener’s ears gradually increases. After
sometime, a balance is reached between the energy emitted per
second by the source and energy lost or dissipated by walls or other
materials.
The resultant energy attains an average steady value and to the
listener the intensity of sound appears to be steady and constant.
This is represented by a portion BC of the curve ABCD.
If at C, the source stops emitting sound, the intensity of sound falls
exponentially as shown by the curve CD.
Fig. 1.2
When intensity of sound falls below the minimum audibility level,
the listener will not get the sound.
When a series of notes are produced in an auditorium each note will
give rise to its own intensity curve with respect to time. The curve
for these notes are shown in Fig. 1.2.
1-10 Architectural Acoustics
In order to maintain distinctness in speech it is necessary that :
(a) Each separate note should give sufficient intensity of sound in
every part of the auditorium.
(b) Each note should die down rapidly before the maximum
average intensity due to the next note is heared by the listener.
1.5 Absorption :
When a sound wave strikes a surface there are three possibilities.
(a) Part of energy is absorbed
(b) Part of it is transmitted
(c) Remaining energy is reflected
The effectiveness of surface in absorbing sound energy is expressed
by absorption coefficient denoted by a.
a =
Sound energy absorbed by the surface
Total sound energy incident on the surface …(1.5)
For the comparison of relative efficiencies of different absorbing
material, it is necessary to select a standard or reference.
Sabine selected a unit area of open window, as standard. For any
open window the sound falling on it completely passes out no
reflection, and more importantly no absorption.
Hence open window is an ideal absorber of the sound. The
absorption coefficient is measured in open window unit.
(OWU) or Sabine :
The absorption coefficient of a material is defined as the reciprocal
of its area which absorbs the same sound energy as absorbed by unit
area of open window.
Effective absorbing area A of the surface having total area S and
absorption coefficient ‘a’ is given by
A = a S …(1.6)
1-11 Architectural Acoustics
If the a1, a2, a3, …. , an are the absorption coefficients for each
reflecting surface and S1, S2, S3, …. Sn are the corresponding areas,
then the average value of absorption co-efficient is
a + 89 =
a1 S1 + a2 S2 + a3 S3 + …… + an Sn
S1 + S2 + S3 + …. + Sn
=
n
i = 1
ai Si
S …(1.7)
Where S is total surface area.
1.6 Sabine’s Formula :
Prof. W.C. Sabine observed the concept of reverberation time for
varieties of conditions like empty room, furnished room, small room,
auditorium etc.
He concluded the following,
(a) Reverberation time depends upon reflectivity of sound form
various surfaces available in side the hall. If the reflection is
good, reverberation time of the hall will be longer as sound take
more time to die out.
(b) Reverberation time depends upon volume of the hall.
i.e. T V
(c) Reverberation time depends upon coefficient of absorption of
various surfaces present in the hall. For shorter reverberation,
absorption should be more.
(d) As absorption coefficient is found to be increased with increase
in frequency, reverberation time decreases with frequency.
Reverberation time T
V
A
where, V = Volume of hall
A = Absorption
1-12 Architectural Acoustics
or T = K
V
A
where, K = Proportionality constant
It has been further observed that is all the parameters are taken in SI
then, proportionality constant is found to be 0.161.
T = 0.161
V
A …(1.8)
Equation (1.8) is Sabine’s formula.
Absorption A given in Equation (1.8) represents overall absorption
which is given as
A =
n
i = 1
a S = a1 S1 + a2 S2 + …… + an Sn
Ex. 1.3 : For an empty assembly hall of size 20 15 10 cubic meter
with absorption coefficient 0.106 . Calculate reverberation
time.
Soln. :
Given :
(i) Size of the room = 20 15 10
= 3000 cubic meter
(ii) a = 0.106
Formula T = 0.161
V
A
= 0.161
V
aS
Here S = Total surface area of the hall is given by
2 (20 15 + 15 10 + 20 10)
= 1300 sqm
Reverberation time T = 0.161
3000
0.106 1300
1-13 Architectural Acoustics
Reverberation time = 3.5 sec ...Ans.
1.7 Determination of Absorption Coefficient :*(only for reference)
Step 1 : Using a source of sound inside the hall, reverberation time is
measured with the help of chronograph without inserting any test
material (whose co-efficient of absorption is to be calculated). Let
the reverberation time be T1,
T1 = 0.161
V
A
= 0.161
V
aS
1
T1
=
aS
0.161 V …(1.9)
Step 2 : Now consider a material like curtain or stage screen whose
co-efficient of absorption is to be found out suspended inside the
room and reverberation time T2 is obtained. Since the material is
suspended in hall, surface area from both the side are to be
considered.
1
T2
=
0.161 V
aS + 2a2 S2
where a2 = Co-efficient of absorption of the material under
investigation
S2 = Surface of the material (since both the sides are used,
it is multiplied by 2)
1
T2
=
aS + 2a2 S2
0.161 V …(1.10)
From Equation (1.9) and (1.10)
1
T2
–
1
T1
=
1
0.161
2a2 S2
V
2a2 S2 = 0.161 V
1
T2
–
1
T1
1-14 Architectural Acoustics
a2 =
0.161 V
2 S2
1
T2
–
1
T1
…(1.11)
All the quantities on RHS are known, co-efficient of absorption of an
absorbing material which is suspended in hall with both the surfaces open
can be calculated.
Table 1.3 : Absorption coefficients of some materials
Material Absorption coefficient per m
2
at 500 Hz
Open window 1.0
Stage curtain 0.2
Common plaster 0.3
Carpet 0.4
Heavy curtain 0.5
Perforated cellulose fiber tiles 0.85
1.8 Conditions for Good Acoustic :
As already introduced in art 1.3, a lecture hall or auditorium should
satisfy the following conditions in order to be acoustically good.
(a) The initial sound from the source should be of adequate intensity.
(b) The sound should spread evenly with proper loudness every where is
the hall
(c) The sound of speech or music should be clear and words of or
musical notes must be distinctly audible to all.
(d) All undesired or extraneous noise must be reduced to the extent that
it will not interfere with normal hearing of speech or hearing.
(e) Any distortion due to shape and size must be absent.
1.9 Methods of Design for Good Acoustics :
In order to make acoustically correct hall following points may be
considered. These are merely the guidelines, depending upon specific
requirement a justified step be taken.
1-15 Architectural Acoustics
(a) Selection of proper site :
Avoid noisy places like railway tack, roads with heavy traffic,
airports, industrial vicinity for auditorium.
(b) Volume :
Size of the hall/ auditorium should be such that it remains
optimum.
Small halls leads to irregular distribution of sound because of
formation of standing waves.
Too big halls may also create a weaker intensity and larger
reverberation time which is a very serious issue.
(c) Shape :
It is one of the most important parameter to be considered for
acoustically correct hall.
As the reflections are created by roof and side walls, they
should be designed in such a way that echos are not allowed to
generate.
In place of parallel walls, splayed side walls are preferred.
Curved surface on walls, ceilings or floor produce concentration
of sound into particular region and absence of sound in other
regions.
Hence curved surface must be designed with proper care.
(d) Use of absorbents :
Once the construction of hall is completed certain errors are
found or the hall requires further correction as far as acoustics
are concerned. For this use of absorbents is very common.
As the reflections from rear wall are of no use. It must be
covered with absorbents, so as the ceiling.
1-16 Architectural Acoustics
False ceiling provided in large halls solves this problem
effectively. The floor needs to be covered with carpet so as
unwanted reflections and the noise created by audience is
suppressed.
1-17 Architectural Acoustics
(e) Reverberation :
Reverberation time must be maintained in such a that it does not
remain too short or too large i.e. nearly 0.5 seconds for lecture
hall, around 1.2 for concerts hall and around 2 for cinema halls.
Proper use of absorbing materials, sufficient people as audience,
presence of open windows presence of furniture etc are the
major components which can decide the reverberation time.
Calculated use of such components will be helpful to either
increase or decrease the reverberation time.
(f) Echelon effect :
Fig. 1.3 : Echelon effect
A set of railings or staircase or any regular spacing of reflected
surfaces may produce a musical note due to regular succession
of echoes of the original sound to listener.
This makes original sound to appear confused. Either one
should avoid use of such surfaces or keep them covered with
thick carpet.
1.10 Solved Problems :
Ex. 1.4 : Calculate the change in intensity level when intensity level
increases by 10
6
times its original intensity.
Soln. :
1-18 Architectural Acoustics
Given :
Initial intensity = I0
Final intensity = I
I
I0
= 10
6
Increase in intensity level in dB
L = 10 log10
I
I0
= 10 log10 (10
6
)
L = 60 dB …Ans.
Ex. 1.5 : A room has dimensions 6 4 5 meters calculate :
(a) the mean free path of the sound waves in the room
(b) the number of reflections made per second by the sound
wave with the
walls of the room
Given : Velocity of sound in air = 350 m/sec
Soln. :
(a) The mean free path of sound waves is defined as the average
distance travelled by sound wave through air between any two
consecutive encounters with the walls of the room. Jaeger had
calculated as
l =
4V
S =
4 (Volume of the room)
Total surface area
Here V = 6 4 5 = 120 m
3
S = 2 [6 4 + 4 5 + 5 6] = 148 m
2
l =
4 120
148 = 3.243 m …Ans.
Number of reflections made per second
n =
Velocity of sound
Mean free path
1-19 Architectural Acoustics
n =
350
3.243 = 107.9 …Ans.
Ex. 1.6 : The sound from a drill gives a noise level 90 dB at a point
short distance from it. What is the noise level at this point if
four such drills are working simultaneously at the same
distance from the point ?
Soln. : Acoustic intensity level is given by
L = 10 log10
I
I0
dB …(1)
Reference to I0 in watts / m
2
Let I1 be the intensity level due to one drill and I2 be the intensity
level due to four such drills.
I2
I1
= 4 …(2)
Consider one drill on
L1 = 10 log
I1
I0
dB …(3)
In second case with four drills on
L2 = 10 log
I2
I0
dB …(4)
Increase in noise level (in dB)
L2 – L1 = 10 log
I2
I0
– log
I1
I0
= 10 log
I2
I1
but
I2
I1
= 4
L2 – L1 = 10 log 4 = 6.021 dB
Final intensity level
1-20 Architectural Acoustics
= L1 + 6.021 = 90 + 6.021
Final intensity level = 96.021 dB …Ans.
Ex. 1.7 : Calculate the increase in the acoustic intensity level in dB.
When the sound is doubled.
Soln. :
Intensity level in dB is
L = 10 log
I
I0
Let the intensity level in case 1 be I1 and the in case 2 be I2
For case – 1
L1 = 10 log
I1
I0
dB
For case – 2
L2 = 10 log
I2
I0
dB
Change in intensity level in dB
L2 – L1 = 10 log
I2
I0
– log
I1
I0
= 10 log
I2
I1
but
I2
I1
= 2 (given)
L2 – L1 = 10 log 2
= 10 (0.3010)
L2 – L1 = 3.01 dB …Ans.
Ex. 1.8 : An air conditioner unit operates at a sound intensity level of 70
dB. If it is operated in room with an existing sound intensity
level of 80 dB, what will be the resultant intensity level.(4 Marks)
1-21 Architectural Acoustics
Soln. :
Here for case – 1
Intensity level is 70 dB
70 = 10 log L1 = 10 log
I1
I0
I1
I0
= Antilog 7.0
or I1 = 10
7
I0 watts/m
2
…(1)
Similarly for Case – 2, intensity level is 80 dB.
80 = 10 log L2 = 10 log
I2
I0
I2
I0
= Antilog 8.0
I2 = 1 10
8
I0 watts/m
2
…(2)
Resultant intensity
I = I1 + I2
= 10
7
I0 + 10
8
I0
= I0 (1.1 10
8
)
Resultant intensity level in dB
L = 10 log
I
I0
= 10 log
1.1 10
8
I0
I0
= 10 log (1.1 10
8
)
= 80.41 dB
Resultant intensity level (in dB) is 80.41 …Ans.
Ex. 1.9 : The noise form an aeroplane engine 100 m from an observer is
40 dB in intensity. What will be the intensity when the
aeroplane flies overhead at an altitude of 2 km ?
1-22 Architectural Acoustics
Soln. : Intensity of sound is given by formula
I =
P
4 R
2
Where P = Acoustic pressure level
R = Radial distance
Here, for case – 1
I1 =
P
4 R
2
1
And for case – 2
I2 =
P
4 R
2
2
I2
I1
=
R
2
1
R
2
2
Now R1 = 100 m, R2 = 2000 m (given)
I2
I1
=
100
2
2000
2 =
1
400
or
I1
I2
= 400 …(1)
For the case – 1, intensity level in dB is given by
L1 = 10 log
I1
I0
…(2)
and for case – 2
L2 = 10 log
I1
I0
…(3)
as intensity level is suppose to decrease, we will take L1 – L2
L1 – L2 = 10 log
I1
I0
– log
I2
I0
1-23 Architectural Acoustics
= 10 log
I1
I2
= 10 log 400 = 26.021 dB
as L1 = 40 dB given
L2 = L1 – (L1 – L2)
L2 = 40 – 26.021 = 13.97 dB …Ans.
Ex. 1.10 : A hall of volume 5500 m
3
is found to have a reverberation
time of 2.3 sec. The sound absorbing surface of the hall has an
area of 750 m
2
. Calculate the average absorption coefficient.
Soln. :
Given : V = 5500 m
3
T = 2.3 sec
S = 750 m
2
Let absorption coefficient be a
Using Sabine’s formula
T =
00.161 V
aS
a =
0.161 V
ST
=
0.161 5500
750 2.3
a = 0.513 …Ans.
Ex. 1.11 : For an empty hall of size 20 12 12 cubic meter, the
reverberation time is
2.5 sec. Calculate the average absorption co-efficient of the
hall. What area of the floor should be covered by carpet so as
to reduce the reverberation time to 2.0 sec. Given that
absorption co-efficient of carpet is 0.5.
Soln. :
1-24 Architectural Acoustics
(a) Reverberation time
T1 =
0.161 V
aS …(1)
aS =
0.161 V
T1
=
0.161 (20 12 12)
2.5
= 185.47
Now total surface area of the hall,
S = 2 (20 12 + 12 12 + 20 12)
= 1248 m
2
a =
185.47
1248 = 0.1486 …Ans.
(b) By using the carpet of surface area S1 whose absorption coefficient is
0.5, the reverberation time is reduced to 2.0 sec.
Let T2 = 2.0 sec
Carpet surface = S1
Co-efficient of absorption of carpet ac = 0.5
Writing Sabine’s formula
T2 = 0.161
V
aS + aC S1– aS1
…(2)
(Here Total surface area = S, now if carpet is used of area S1, the
area covered by the material with co-efficient of absorption a is a (S – S1)
= aS – aS1)
From Equation (1)
1
T1
=
aS
0.161 V …(3)
1-25 Architectural Acoustics
From Equation (2)
1
T1
=
aS + aC S1– aS1
0.161 V …(4)
1
T2
–
1
T1
=
1
0.161 V [aC S1 – aS1]
=
S1 (aC – a)
0.161 V
S1 =
0.161 V
aC – a
1
T2
–
1
T1
Substituting various value
S1 =
0.161 (20 12 12)
0.5 – 0.1486
1
2 –
1
2.5
= 131.95 m
2
Carpet area required to reduce reverberation time up to 2.0 sec is
131.95 m
2
…Ans.
Ex. 1.12 : Calculate the reverberation time for the seminar hall with
(a) No one inside.
(b) 50 persons inside
(c) Full capacity of audience.
Given that
Sr.
No.
Surface Area Absorption
co-efficient
1. Carpet covering entire
floor
(10 12)
sqm
0.06
2. False ceiling (10 12)
sqm
0.03
3. Cushioned seats 100 Nos 1.00
4. Walls covered with
absorbent
346 sqm 0.2
1-26 Architectural Acoustics
Sr.
No.
Surface Area Absorption
co-efficient
5. Audience occupying
seats
– 0.46 /
person
6. Wooden door (3 2) sqm 0.2
Soln. :
Let us calculate total absorption in the hall in case – 1 i.e. for empty hall
(1) Absorption due to carpet 120 0.06 = 7.2
(2) Absorption due to false ceiling 120 0.03 = 3.6
(3) Absorption due to seats 100 1 = 100
(4) Walls covered with absorbent 346 0.2 = 69.2
(5) Wooden door 6 0.2 = 1.2
aS = 181.2 …(1)
Now Area of floor = Area of ceiling = (l b)
= 120 sq.m
Area of wall + Area of door = 346 + 6 = 352
= 2 [(b h) + (l h)]
as l b = 120 m
2
let us take l = 12 m, b = 10 m
352 = 2 [(10 h) + (12 h)]
h = 8 m …(2)
hence volume V = 12 10 8 = 960 m
3
…(3)
Case 1 :
For empty hall
Reverberation time T1 =
0.161 V
aS
=
0.161 960
181.2
1-27 Architectural Acoustics
T1 = 0.85 sec …Ans.
Case 2 :
With occupancy of 50 persons.
Absorption = aS + 50 (0.46)
Reverberation time T2 =
0.161 V
aS + 50 (0.46)
=
0.161 960
181.2 + 23
T2 = 0.757 sec …Ans.
Case 3 :
With full occupancy. i.e. 100 persons here, the absorption is = aS +
100 (0.46)
Reverberation time T3 =
0.161 V
aS + 100 (0.46)
T3 = 0.68 sec …Ans.
1.11 Solved Examples :
Ex. 1.11.1 :The volume of room is 600 m
3
. The wall area of the room is 220 m
2
, the floo
absorption coefficient and the reverberation time.
Soln. :
Given :
Let S1 = 220 m
2
a1 = 0.03
S2 = 120 m
2
a2 = 0.8
S3 = 120 m
2
a3 = 0.06
The average sound absorption coefficient is
a =
a1 S1 + a2 S2 + a3 S3
S1 + S2 +S3
1-28 Architectural Acoustics
=
220 0.03 + 120 0.8 + 0.06 120
220 + 120 + 120 =
0.238
a = 0.24 …Ans.
Total sound absorption of the room = aS
= 0.24 460
= 110.4 Sabine
Reverberation time, using Sabine’s formula
T =
0.161 V
aS =
0.161 600
110.4
T = 0.875 sec. …Ans.
Ex. 1.11.2 :What is the resultant sound level when a 70 dB sound is added to a 80 dB
sound ?
Soln. : Increase in intensity level = L = 70 dB
Say, resultant intensity increased by x times the original intensity
Hence, L = 10 log10
x Io
Io
dB
70 = 10 log10 (x )
7 = log10 x
or x = 10
7
So, Resultant sound level is increased 10
7
times the original
intensity.
1-29 Architectural Acoustics
example :
Q. 1 A class room has dimensions 20 15 5 m
3
. The reverberation
time is 3.5 sec. Calculate the total absorption of its surface and
average absorption co-efficient.
Ans. :(0.07)
Q. 2 The reverberation time is found to be 1.5 sec for an empty hall and
itis found to be
1 sec when a curtain of 20 m
2
is suspended at the center of the hall.
If the dimensions of the hall are 10 8 6 m
3
, calculate co-
efficient of absorption of curtain.
Ans. :(0.64)
Q. 3 For an empty assembly hall of size 20 15 10 m
3
, the
reverberation time is 3.5 sec. Calculate the average absorption co-
efficient of the hall. What area of the wall should be covered by the
curtain so as to reduce the reverberation time to 2.5 sec. Given the
absorption co-efficient of the curtain cloth is 0.5.
Ans. :(0.106, 140.12 m
2
)
ULTRASONIC WAVE
Introduction :
The term ultrasonics applies to sound waves that vibrate at a frequency higher than
the frequency that can be heard by the human ear (or higher than about 20,000
hertz).
Sound is transmitted from one place to another by means of waves. The
character of any wave can be described by identifying two related properties:
its wavelength (lambda, λ) or its frequency (f). The unit used to measure the
frequency of any wave is hertz. One hertz is defined as the passage of a single
wave per second.
Ultrasonics, then, deals with sound waves that pass a given point at least 20,000
times per second. Since ultrasonic waves vibrate very rapidly, additional units also
are used to indicate their frequency. The kilohertz (kHz), for example, can be
used to measure sound waves vibrating at the rate of 1,000 times per second, and
the unit megahertz (MHz) stands for a million vibrations per second. Some
ultrasonic
devices have been constructed that produce waves with frequencies of more than
a billion hertz.
PROPERTIES OF ULTRASONIC WAVES
(1) They have a high energy content.
(2) Just like ordinary sound waves, ultrasonic waves get reflected, refracted and
absorbed.
(3) They can be transmitted over large distances with no appreciable loss of
energy.
(4) If an arrangement is made to form stationary waves of ultrasonics in a liquid,
it serves as a diffraction grating. It is called an acoustic grating.
(5) They produce intense heating effect when passed through a substance.
Ultrasonic Production :
There are three methods for producing Ultrasonic waves. They are:
(i) Mechanical generator or Galton’s whistle.
(ii) Magnetostriction generator.
(iii) Piezo-electric generator.
Magnetostriction method:
Principle:
“When a magnetic field is applied parallel to the length of a ferromagnetic rod
made of material such as iron or nickel, a small elongation or contraction
occurs in its length. This is known as magnetostriction. The change in length
depends on the intensity of the applied magnetic field and nature of the
ferromagnetic material. The change in length is independent of the direction
of the field. “
The change in length (increase or decrease) produced in the rod depends upon the
strength of the magnetic field, the nature of the materials and is independent of the
direction of the magnetic field applied.
Construction:-
The experimental arrangement is shown in Figure
 XY is a rod of ferromagnetic materials like iron or nickel. The rod is
clamped in the middle.
 The alternating magnetic field is generated by electronic oscillator.
 The coil L1 wound on the right hand portion of the rod along with a variable
capacitor C.
 This forms the resonant circuit of the collector tuned oscillator. The
frequency of oscillator is controlled by the variable capacitor.
 The coil L2 wound on the left hand portion of the rod is connected to the
base circuit. The coil L2 acts as feed –back loop.
Working:-
 When High Tension (H.T) battery is switched on, the collector circuit
oscillates with a frequency,
f =
 This alternating current flowing through the coil L1 produces an alternating
magnetic field along the length of the rod. The result is that the rod starts
vibrating due to magnetostrictive effect.
The frequency of vibration of the rod is given by
n =
where l = length of the rod
Y = Young’s modulus of the rod material and
=density of rod material
• The capacitor C is adjusted so that the frequency of the oscillatory circuit is
equal to natural frequency of the rod and thus resonance takes plate.
• Now the rod vibrates longitudinally with maximum amplitude and generates
ultrasonic waves of high frequency from its ends.
Condition for resonance:
Frequency of the oscillatory circuit = Frequency of the vibrating rod
Merits:
1. Magnetostrictive materials are easily available and inexpensive.
2. Oscillatory circuit is simple to construct.
3. Large output power can be generated.
Limitations
1. It can produce frequencies upto 3 MHz only.
2. It is not possible to get a constant single frequency, because rod depends on
temperature and the degree of magnetization.
3. As the frequency is inversely proportional to the length of the vibrating rod, to
increase the frequency, the length of the rod should be decreased which is
practically impossible.
piezo electric ossilator
Introduction
Can all the crystals exhibit piezoelectric effect? What is special about the
piezoelectric crystal?
Is the piezoelectric effect direction dependent?
Learning Objectives
On completion of this chapter you will be able to:
1. define piezoelectric effect
2. define inverse piezoelectric effect
3. know what type of crystals will exhibit piezoelectric effect
4. Understand the working of piezoelectric generator
Piezoelectric effect:
When crystals like quartz or tourmaline are stressed along any pair of opposite
faces, electric charges of opposite polarity are induced in the opposite faces
perpendicular to the stress. This is known as Piezoelectric effect.
Inverse piezoelectric effect:
When an alternating e.m.f is applied to the opposite faces of a quartz or tourmaline
crystal it undergoes contraction and expansion alternatively in the perpendicular
direction. This is known as inverse piezoelectric effect. This is made use of in the
piezoelectric generator.
Piezoelectric generator:
CIRCUIT:-
CONSTRUCTION:-
 The quartz crystal is placed between two metal plates A and B.
 The plates are connected to the primary (L3) of a transformer which is
inductively coupled to the electronics oscillator.
 The electronic oscillator circuit is a base tuned oscillator circuit.
 The coils L1 and L2 of oscillator circuit are taken from the secondary of a
transformer T.
 The collector coil L2 is inductively coupled to base coil L1.
 The coil L1 and variable capacitor C1 form the tank circuit of the oscillator.
Working:-
 When H.T. battery is switched on, the oscillator produces high frequency
alternating voltages with a frequency.
 Due to the transformer action, an oscillatory e.m.f. is induced in the coil L3.
This high frequency alternating voltages are fed on the plates A and B.
 Inverse piezo-electric effect takes place and the crystal contracts and
expands alternatively.The crystal is set into mechanical vibrations.
 The frequency of the vibration is given by
n =
where P = 1,2,3,4 … etc. for fundamental, first over tone, second over tone etc.,
Y = Young’s modulus of the crystal and
ρ = density of the crystal.
 The variable condenser C1 is adjusted such that the frequency of the applied
AC voltage is equal to the natural frequency of the quartz crystal, and thus
resonance takes place.
 The vibrating crystal produces longitudinal ultrasonic waves of large
amplitude.
Advantages
 Ultrasonic frequencies as high as 5 x 108Hz or 500 MHz can be obtained
with this arrangement.
 The output of this oscillator is very high.
 It is not affected by temperature and humidity.
Disadvantages
 The cost of piezo electric quartz is very high
 The cutting and shaping of quartz crystal are very complex.
DETECTION OF ULTRASONIC WAVES
Ultrasonic waves propagated through a medium can be detected in a number of
ways. Some of the methods employed are as follows:
(1) Kundt’s tube method:
Ultrasonic waves can be detected with the help of Kundt’s tube. At the nodes,
lycopodium powder collects in the form of heaps. The average distance between
two adjacent heaps is equal to half the wavelength. This method cannot be used if
the wavelength of ultrasonic waves is very small i.e., less than few mm. In the
caseof a liquid medium, instead of lycopodium powder, powdered coke is used to
detect the position of nodes.
(2) Sensitive flame method:
A narrow sensitive flame is moved along the medium. At the positions
of antinodes, the flame is steady. At thepositions of nodes, the flame flickers
because there is a change in pressure. In this way, positions of nodes and antinodes
2
P Y
l
can be found out in the medium. The average distance between the two adjacent
nodes is equal to half the wavelength. If the value of the frequency of ultrasonic
wave is known, the velocity of ultrasonic wave propagated through
the medium can be calculated.
(3) Thermal detectors:
This is the most commonly used method of detection of ultrasonic waves. In this
method, a fine platinum wire is used. This wire is moved through the medium. At
the position of nodes, due to alternate compressions ad rarefactions, adiabatic
changes in temperature takes place. The resistance of the platinum wire changes
with respect to time. This can be detected with the help of Callendar and
Garrifith’s bridge arrangement. At the position of the antinodes, the temperature
remains constant. This will be indicated by the undisturbed balanced position of
the bridge.
(4) Quartz crystal method:
This method is based on the principle of Piezo-electric effect. When one pair of the
opposite faces of a quartz crystal is exposed to the ultrasonic waves, the other pairs
of opposite faces developed opposite charges. These charges are amplified and
detected using an electronic circuit.
ACOUSTING GRATING
Principle:
“When ultrasonic waves are passed through a liquid, the density of the liquid
varies layer by layer due to the variation in pressure and hence the liquid will
act as a diffraction grating, so called acoustic grating. Under this condition,
when a monochromatic source of light is passed through the acoustical
grating, the light gets diffracted. Then, by using the condition for diffraction,
the velocity of ultrasonic waves can be determined.”
This method is based on the fact that ultrasonic waves which consist of alternate
compressions and rarefactions changes the density of the medium through which
they pass.
This leads to a periodic variation of refractive index of the liquid, such a liquid
column is subjected to ultrasonic waves constitutes an acoustical grating. If
monochromatic light is passed through the waves the liquid causes the diffraction
of light.
Figure shows the experimental arrangement, standing ultrasonic waves are
produced in a liquid contained in a glass tube. The density and so the refractive
index of the liquid is maximum at the nodal point and minimum at antinodal
points. Hence the nodal area acts as opaque region, while antinodal area acts as
transparent region for light. The liquid column thus resembles the rules grating.
The grating period d equal to /λ/2 and is given by
d sine θ=mλ
λ= wavelength of monochromatic light beam
m = order of minima.
An acoustic diffraction grating produced by a liquid column subjected to
ultrasonic waves.
Experimental set up of acoustic grating
Applications of Ultrasonic Waves in Engineering
(1)Detection of flaws in metals(Non Destructive Testing –NDT)
Principle
 Ultrasonic waves are used to detect the presence of flaws or defects in the
form of cracks, blowholes porosity etc., in the internal structure of a
material
 By sending out ultrasonic beam and by measuring the time interval of the
reflected beam, flaws in the metal block can be determined.
Experimental setup
It consists of an ultrasonic frequency generator and a cathode ray oscilloscope
(CRO),transmitting transducer(A), receiving transducer(B) and an amplifier.
Working
 In flaws, there is a change of medium and this produces reflection of
ultrasonic at the cavities or cracks.
 The reflected beam (echoes) is recorded by using cathode ray oscilloscope.
 The time interval between initial and flaw echoes depends on the range of
flaw.
 By examining echoes on CRO, flaws can be detected and their sizes can be
estimated.
(2) Ultrasonic Drilling
 Ultrasonics are used for making holes in very hard materials like glass,
diamond etc.
 For this purpose, a suitable drilling tool bit is fixed at the end of a powerful
ultrasonic generator.
 Some slurry (a thin paste of carborundum powder and water) is made to flow
between the bit and the plate in which the hole is to be made
 Ultrasonic generator causes the tool bit to move up and down very quickly
and the slurry particles below the bit just remove some material from the
plate.
 This process continues and a hole is drilled in the plate.
(3) Ultrasonic welding
 The properties of some metals change on heating and therefore, such metals
cannot be welded by electric or gas welding.
 In such cases,the metallic sheets are welded together at room temperature by
using ultrasonic waves.
(4) Ultrasonic soldering
 Metals like aluminium cannot be directly soldered.However, it is possible to
solder such metals by ultrasonic waves.
 An ultrasonic soldering iron consists of an ultrasonic generator having a tip
fixed at its end which can be heated by an electrical heating element.
 The tip of the soldering iron melts solder on the aluminium and the
ultrasonic vibrator removes the aluminium oxide layer.
 The solder thus gets fastened to clear metal without any difficulty.
(5) Ultrasonic cutting and machining
Ultrasonic waves are used for cutting and machining.
(6) Ultrasonic cleaning
It is the most cheap technique employed for cleaning various parts of the
machine, electronic assembles, armatures, watches etc., which cannot be
easily cleaned by other methods.
(7) SONAR
 SONAR is a technique which stands for Sound Navigation and Ranging.
 It uses ultrasonics for the detection and identification of under water objects.
 The method consists of sending a powerful beam of ultrasonics in the
suspected direction in water.
 By noting the time interval between the emission and receipt of beam after
reflection, the distance of the object can be easily calculated.
 The change in frequency of the echo signal due to the Dopper effect helps to
determine the velocity of the body and its direction.
 Measuring the time interval (t) between the transmitted pulses and the
received pulse,
 the distance between the transmitter and the remote object is determined
using the formula., where v is the velocity of sound in sea water.
 The same principle is used to find the depth of the sea.
Applications of SONAR
 Sonar is used in the location of shipwrecks and submarines on the bottom
of the sea.
 It is used for fish-finding application .
 It is used for seismic survey.
Applications of Ultrasonics
(1)Diagnostic sonography
 Medical sonography (ultrasonography) is an ultrasound-based diagnostic
medical imaging technique used to visualize muscles, tendons, and many
internal organs, their size, structure and any pathological lesions.
Obstetric ultrasound is primarily used to:
• Date the pregnancy
• Check the location of the placenta
• Check for the number of fetuses
• Check for physical abnormities
• Check the sex of the baby
• Check for fetal movement, breathing, and heartbeat.
(2)Ultrasound therapeutic applications
More power ultrasound sources may be used to clean teeth in dental hygiene
or generate local heating in biological tissue, e.g. in occupational therapy,
physical therapy and cancer treatment.
Extracorporeal shock wave lithotripsy uses a powerful focused ultrasound
source to break up kidney stones.
It can also used in Ultrasonic blood Flow mete
(3) Ultrasound in research
 Scientists often use in research, for instant to break up high molecular
weight polymers, thus creating new plastic materials.
 Indeed, ultrasound also makes it possible to determine the molecular weight
of liquid polymers, and to conduct other forms of investigation on the
physical properties of materials.
 Ultrasonic can also speed up certain chemical reactions. Hence it has gained
application in agriculture, that seeds subjected to ultrasound may germinate
more rapidly and produce higher yields.
C = 0.0254 PF
2.
Calculate the frequency to which a piezo electric oscillator circuit should be
tuned so that a piezo electric crystal of thickness 0.1 cm vibrates in
fundamental mode to generate ultrasonic waves. (Young’s Modulus and
density of material of crystal are 80 Gpa and 2654 kg / m3)
Solution:
Given,
Thickness of quartz crystal t=0.1cm.=0.1×10-2
Young modulus Y=80GPa=80×109
n/m2
Density of crystal =2654Kg/m3
Frequency F=1/2t√Y/ρ
=1/2×0.1×10-2
√80×109
/2654
=509.28/2×10-3
=2.7451×106
Hz.
 EXAMPLE:-1.
Calculate the capacitance to produce ultrasonic waves of 106 Hz with
anInductance of 1 Henry.
f = 1/2∏√LC
106
= 1/2*3.14*√1*C
C = 1/(2*3.14*106
)2
= 0.0254*10-12
F

Ep notes

  • 1.
    OPTICAL FIBER Introduction Fiber opticsdeals with the light propagation through thin glass fibers. Fiber optics plays an important role in the field of communication to transmit voice, television and digital data signals fro one place to another. The transmission of light along the thin cylindrical glass fiber by total internal reflection was first demonstrated by John Tyndall in 1870 and the application of this phenomenon in the field of communication is tried only from 1927. Today the applications of fiber optics are also extended to medical field in the form of endoscopes and to instrumentation engineering in the form of optical sensors. The Basic principle of optical fiber Principle: The basic principle of optical fiber in the transmission of optical signal is total internal reflection. Total internal reflection:- When the light ray travels from denser medium to rarer medium the refracted ray bends away from the normal. When the angle of incidence is greater than the critical angle, the refracted ray again reflects into the same medium. This phenomenon is called total internal reflection. The refracted ray bends towards the normal as the ray travels from rarer medium to denser medium. The refracted ray bends away from the normal as it travels from denser medium to rarer medium. Conditions for Total Internal Reflection (a) the refractive index n1 of the core must always be greater than the refractive index n2 of the cladding. (b) The angle of incidence i must be greater than critical angle C it can be define as when light travels from a more optically dense material [larger index of refraction] to a less dense material the angle of refraction is larger than the incident angle.
  • 2.
    Because the refractedangle is always larger than the incident angle, it is possible for the refracted angle to reach 90° before the incident angle reaches 90°. If the light were to refract out of the denser medium, it would then run along the surface. Larger angles would then yield situations which would force the sine function to be larger than 1.00, which is mathematically impossible. When the incident angle reaches the condition whereby the refracted ray would bend to an angle of 90°, it is called the CRITICAL ANGLE. The critical angle obeys the following equation: This reflected ray changes in intensity as we vary the angle of incidence. At small incident angles (almost perpendicular to the surface) the reflected ray is weak and the refracted ray is strong. Construction of optical fiber:- The optical fiber mainly consists the following six parts as shown in figure Core: A typical glass fiber consists of a central core material. Generally core diameter is 50 . The core is surrounded by cladding. The core medium refractive is always greater than the cladding refractive index. Cladding Cladding refractive index is lesser than the cores refractive index. The over all diameter of cladding is 125 to 200 . Silicon Coating Silicon coating is provided between buffer jacket and cladding. It improves the quality of transmission of light.
  • 3.
    Buffer Jacket Silicon coatingis surrounded by buffer jacket. Buffer jacket is made of plastic and protects the fiber cable from moisture. Strength Member Buffer jacket is surrounded by strength member. It provides strength to the fiber cable. Outer Jacket Finally the fiber cable is covered by polyurethane outer jacket. Because of this arrangement fiber cable will not be damaged during pulling, bending, stretching and rolling through the fiber cable is made up of glasses. NA & ACCEPTANCE ANGLE DERIVATION “In optics, the numerical aperture (NA) of an optical system is a dimensionless number that characterizes the range of angles over which the system can accept or emit light.” optical fiber will only propagate light that enters the fiber within a certain cone, known as the acceptance cone of the fiber. The half-angle of this cone is called the acceptance angle, θmax. on where n1 is the refractive index of the fiber core, and n2 is the refractive index of the cladding. When a light ray is incident from a medium of refractive index n to the core of index n1, Snell's law at medium-core interface gives From the above figure and using trigonometry, we get : Where is the critical angle for total internal reflection, since Substituting for sin θr in Snell's law we get:
  • 4.
    By squaring bothsides Thus, from where the formula given above follows. θmax = This has the same form as the numerical aperture in other optical systems, so it has become common to define the NA of any type of fiber. Definition:- Acceptance angle:- Acceptance angle is defined as the maximum angle of incidence at the interface of air medium and core medium for which the light ray enters into the core and travels along the interface of core and cladding. Acceptance Cone:- There is an imaginary cone of acceptance with an angle .The light that enters the fiber at angles within the acceptance cone are guided down the fiber core Numerical aperture:- Numerical aperture is defined as the light gathering capacity of an optical fiber and it is directly proportional to the acceptance angle. Numerically it is equal to the sin of the acceptance angle Classification of fibers:- Based on the refractive index of core medium, optical fibers are classified into two categories. i. Step index fiber ii. Graded index fiber Based on the number of modes of transmission, optical fibers are classified into two categories i. Single mode fiber ii. Multimode fiber Based on the material used, optical fibers are may broadly classified into four categories i. All glass fibers
  • 5.
    ii. All plasticfibers iii. Glass core with plastic cladding fibers iv. Polymer clad silica fibers. Step index fiber:- In step index fibers the refractive index of the core medium is uniform and undergoes an abrupt change at the interface of core and cladding as shown in figure. The diameter of core is about 10micrometers in case of single mode fiber and 50 to 200 micrometers in multi mode fiber. Attenuation is more for step index multi mode fibers but less in step index single mode fibers Numerical aperture is more for step index multi mode fibers but it is less in step index single mode fibers Graded index fiber:- In graded index fibers, the refractive index of the core medium is varying in the parabolic manner such that the maximum refractive index is present at the center of the core. The diameter of the core is about 50 micro meters. Attenuation is very less in graded index fibers Numerical aperture is less in graded index fibers Graded index Figure Two types of fiber: (Top) step index fiber; (Bottom) Graded index fiber Single mode optical fiber In single mode optical fibers only one mode of propagation is possible.In case of single mode fiber the diameter of core is about 10micrometers.The difference between the refractive indices of core and cladding is very small. In single mode fibers there is no dispersion, so these are more suitable for
  • 6.
    Communication. The singlemode optical fibers are costly, because the fabrication is difficult.The process of launching of light into single mode fibers is very difficult. Multi mode optical fiber In multi mode optical fibers many mummer of modes of propagation are possible. In case of in multi mode fiber the diameter of core is 50 to 200 micrometers. The difference between the refractive indices of core and cladding is also large compared to the single mode fibers. Due to multi mode transmission, the dispersion is large, so these fibers are not used for communication purposes. The multi mode optical fibers are cheap than single mode fibers, because the fabrication is easy. The process of launching of light into single mode fibers is very easy. Based on the material:- Three common type of fiber in terms of the material used: Glass core with glass cladding –all glass or silica fiber Glass core with plastic cladding –plastic cladded/coated silica (PCS) Plastic core with plastic cladding – all plastic or polymer fib Attenuation:- Definition: a loss of signal strength in a lightwave, electrical or radio signal usually related to the distance the signal must travel. Attenuation is caused by: Absorption Scattering Radiative loss
  • 7.
    Losses:- Losses in opticalfiber result from attenuation in the material itself and from scattering, which causes some light to strike the cladding at less than the critical angle Bending the optical fiber too sharply can also cause losses by causing some of the light to meet the cladding at less than the critical angle Losses vary greatly depending upon the type of fiber Plastic fiber may have losses of several hundred dB per kilometer Graded-index multimode glass fiber has a loss of about 2–4 dB per kilometer Single-mode fiber has a loss of 0.4 dB/km or less Macrobending Loss: The curvature of the bend is much larger than fiber diameter. Lightwave suffers sever loss due to radiation of the evanescent field in the cladding region. As the radius of the curvature decreases, the loss increases exponentially until it reaches at a certain critical radius. For any radius a bit smaller than this point, the losses suddenly becomes extremely large. Higher order modes radiate away faster than lower order modes. Microbending Loss: microscopic bends of the fiber axis that can arise when the fibers are incorporated into cables. The power is dissipated through the microbended fiber, because of the repetitive coupling of energy between guided modes & the leaky or radiation modes in the fiber. Dispersion:- The phenomenon in an optical fibre whereby light photons arrive at a distant point in different phase than they entered the fibre. Dispersion causes receive signal distortion that ultimately limits the bandwidth and usable length of the fiBer cable The two main causes of dispersion are: Material (Chromatic) dispersion Waveguide dispersion Intermodal delay (in multimode fibres) Dispersion in fiber optics results from the fact that in multimode propagation, the signal travels faster in some modes than it would in others.Single-mode fibers are relatively free from dispersion except for intramodal dispersion .Graded-index fibers reduce dispersion by taking advantage of higher-order modes.One form of intramodal dispersion is called material
  • 8.
    dispersion because itdepends upon the material of the core.Another form of dispersion is called waveguide dispersion .Dispersion increases with the bandwidth of the light source The advantage of fiber optic cable over metallic cable:- 1. Extremely wide (large) bandwidth. The bandwidth available with a single glass fibre is more than 100GHZ. With such a large bandwidth, it is possible to transmit thousands of voice conversations or dozens of video signals over the same fibre simultaneously. Irrespective of whether the information is voice, data or video or a combination of these, it can be transmitted easily over the optical fibre. Less no of independent signals alone can be sent through metallic cables. 2. Immunity to electrostatic interference. As optical fibres are being made of either glass or plastic external electric noise and lightning do not affect the energy in a cable. The result is noise free transmission. While this is not true for metallic cables made up of metals, as they are good conductors of electricity. 3. Elimination of cross Talk. Fibre systems are immune to cross talk between cables caused by magnetic induction. Whereas in a metallic cable cross talk results from the electromagnetic coupling between two adjacent wires. 4. Lighter weight and smaller size. Fibres are very smaller in size. This size reduction makes fibre the ideal transmission medium for ships, aircraft and high rise buildings where bulky copper cables occupy to much space. Reduction in size so reduction in weight also. 5. Lower cost. The material used in fibres is silica glass or silicon dioxide which is one of the most abundant materials on earth. So available in lower cost. 6. Security. Fibre cables are more secure than metallic cables. Due to its immunity to electromagnetic coupling and radiation, optical fibre can be used in most secure environment. Although it can be intercepted or tapped, it is very difficult to do so because, at the receiving users end an alarm would be sounded.
  • 9.
    7. Greater safety. Inmany wired system the potential hazard of short circuits requires precautionary designs. Whereas, the dielectric nature of optical fibres eliminates the spark hazard. 8. Corrosion Fibre cables are more resistive to environmental extremes. They operate over large temperature variation than their metallic counter parts, and are less affected by corrosive liquids and gases. 9. Longer life span and ease of maintenance. A longer life span of 20 to 30 years is predicted for the fibre optic cables as compare to 12to 15 years of metallic cables. Differences between step index fibers and graded index fibers:- Step index fiber Graded index fiber 1. In step index fibers the refractive index of the core medium is uniform through and undergoes an abrupt change at the interface of core and cladding. 1. In graded index fibers, the refractive index of the core medium is varying in the parabolic manner such that the maximum refractive index is present at the center of the core. 2. The diameter of core is about 10micrometers in case of single mode fiber and 50 to 200 micrometers in multi mode fiber. 2. The diameter of the core is about 50 micro meters. 3. The transmitted optical signal will cross the fiber axis during every reflection at the core cladding boundary. 3. The transmitted optical signal will never cross the fiber axis at any time. 4. The shape of propagation of the optical signal is in zigzag manner. 4. The shape of propagation of the optical signal appears in the helical or spiral manner 5. Attenuation is more for multi mode step index fibers but Attenuation is less in single mode step index fibers 5. Attenuation is very less in graded index fibers 6. Numerical aperture is more for multi mode step index fibers but it is less in single mode step index fibers 6. Numerical aperture is less in graded index fibers
  • 10.
    Differences between singlemode fibers and Multy mode fibers:- Single mode fiber Multimode fiber Single Mode cable is a single strand (most applications use 2 fibers) of glass fiber with a diameter of 8.3 to 10 microns that has one mode of transmission. Multi-Mode cable has a little bit bigger diameter, with a common diameters in the 50-to-100 micron range for the light carry component Single Modem fiber is used in many applications where data is sent at multi-frequency (WDM Wave-Division-Multiplexing) so only one cable is needed Most applications in which Multi-mode fiber is used, 2 fibers are used (WDM is not normally used on multi-mode fiber). Example:- step index fiber Example:- multimode step index fiber The small core and single light-wave virtually eliminate any distortion that could result from overlapping light pulses, providing the least signal attenuation and the highest transmission speeds of any fiber cable type. multiple paths of light can cause signal distortion at the receiving end, resulting in an unclear and incomplete data transmission Applications of optical fibers 1. Optical fibers are extensively used in communication system. 2. Optical fibers are in exchange of information between different computers 3. Optical fibers are used for exchange of information in cable televisions, space vehicles, submarines etc. 4. Optical fibers are used in industry in security alarm systems, process control and industrial auto machine. 5. Optical fibers are used in pressure sensors in biomedical and engine control. 6. Optical fibers are used in medicine, in the fabrication in endoscopy for the visualization of internal parts of the human body. 7. Sensing applications of optical fibers are Displacement sensor Fluid level detector Liquid Temperature and pressure sensor Chemical sensors 8. Medical applications of optical fibers are Gastroscope Orthoscope Couldo
  • 11.
    EXAMPLE:- 1. A silica opticalfiber has a core of refractive index 1.55 and a cladding of refractive index 1.47. Determine (i) the critical angle at the core-cladding interface (ii) the numerical aperture for the fiber and (iii) the acceptance angle in the air for the fiber. Given, n1=1.55, n2=1.47 Øin(max)=? NA=? Øc=? Acceptance angle Øin(max)= sin-1 (n1 2 – n2 2 )1/2 Øin(max)= sin-1 (1.552 –1.472 )1/2 = sin-1 (2.41-2.16)1/2 = sin-1 (0.25)1/2 = sin-1 (0.316) Øin(max) =30°00’ Numerical aperture NA= (n1 2 – n2 2 )1/2 = 1.552 –1.472 )1/2 = (2.41-2.16)1/2 = (0.25)1/2 = 0.316 critical angle Øc = sin-1 (n2 / n1) = sin-1 (1.47 / 1.55) = sin-1 (0.9483) = 71°.55’ 2. An optical fiber has refractive index of core and cladding is 1.514 and 1.48 Respectively. Calculate the acceptance angle and the fractional index Change Given ,n1=1.514, n2=1.48 Øin(max)=? ∆=? Acceptance angle Øin(max ) = sin-1 (n1 2 – n2 2 )1/2 Øin(max) = sin-1 (1.5142 –1.482 )1/2 = sin-1 (2.29-2.19)1/2 = sin-1 (0.1)1/2 = sin-1 (0.316) Øin(max)=18°42’
  • 12.
    Numerical aperture NA=(n1 2 – n2 2 )1/2 =(1.5142 –1.482 )1/2 =(2.29-2.19)1/2 =(0.1)1/2 =0.316 NA=n1√2∆ 0.316/1.514=√2∆ (0.2087)2 =2∆ ∆=0.0435/2 ∆=0.0217
  • 13.
    Dielectrics  Introduction Dielectrics arethe materials having electric dipole moment permanently. Dipole: A dipole is an entity in which equal positive and negative charges are separated by a small distance.. DIPOLE moment (µEle ):The product of magnitude of either of the charges and separation distance b/w them is called Dipole moment. µe = q . x  coulmb.m All dielectrics are electrical insulators and they are mainly used to store electrical energy. Ex: Mica, glass, plastic, water & polar molecules…  Dielectric const. of medium The relative permittivity(εr) is often known as dielectric const. of medium it can given by, εr=ε/ε0 Dielectric constant is ratio of permittivity of medium to permittivity of free space. The value of capacitance of capacitor is given by, C0=εrε0A/d By this eqn we can say that high εr increases capacity of capacitor.  Polar and Nonpolarized Molecules Non-polar Molecules : The Dielectric material in which there is no permanent dipole existence in absence of an external field is ….. 2 – Compounds made of molecules which are symmetrically shaped Polar Molecules :The Dielectric material in which there is permanent dipole existence even in absence of an external field is …..
  • 14.
    Polarization of Dielectrics Asshown in fig. when an electric field is applied to dielectric material their negative & positive charges tend to align in equilibrium position.
  • 15.
     Gauss’s LawIn Dielectrics In absence of dielectric In presence of dielectric 0 0 d 0 0 0 0 0 0 0 0 0 E V k E V E q E k kA q q ' E A A q q q ' S o, kA A A 1 then , q ' q (1 ) k S o, E.ds V E d S q q ' 1 q q (1 ) k q k k E.ds q o, N ow This relation true is for parallel plate capacitor Which is Gauss’s law for dielectrics. 0 0 0 0 0 E.ds q q E A q E A 0 0 0 0 0 E.ds q q ' q q ' EA q q ' E A A
  • 16.
     Three Electricvectors The resultant dielectric field is given by, Where, E=Electric field D=Flux Density or Displacement vector P=Polarization  Electric susceptibility: The polarization vector P is proportional to the total electric flux density and direction of electric field. Therefore the polarization vector can be written as:  Relation between εr & Displacement vector,  Types of polarization 1. Electron polarization 2. Ionic polarization 3. Orientation polarization 4. Space charge polarization 0 0 0 0 0 0 ' ' , , , D p q q E A A q now P A q P E A q E P A q now D A So E P 0 0 0 0 ( 1) 1 e e r e r P E P E E E 0 0 0 r 0 0 0 D E P Now,P= ( - ) E P (or) ( . - ) E P ( 1) . P W here,( 1) r r E E
  • 17.
    1. Electronic polarization Whenno external field is applied nucleus of atom is like in fig. (a) When external field is applied, displacement in opposite direction is observed between nucleus & electrons due to this dipole moment is induced. This type of polarization is called Electronic polarization. Ex. Germanium, Silicon, Diamond etc… 2. Ionic polarization Some materials like ionic crystal does not possess permanent dipole moment. Fig. (a) shows natural arrangement of ionic crystal. When Ele. Field is applied on this type of material displacement of ions is observed. Due to an external electric field a positive & negative ion displaces in the direction opposite to each other due to which distance between them is reduced & ionic polarization is generated. Ionic polarization is observed in materials like NaCl, KBr, KCl etc… Let us consider simple example of NaCl crystal. As shown in fig. when crystal is placed in an external electric field Na+ ion displaces in one direction & Cl- ion goes in opposite direction. 3. Orientation polarization Some molecules like H2O, HCl having permanent dipole moment p0. In the absence of a field, individual dipoles are arranged in random way, so net average dipole moment in a unit volume is zero as shown in fig. (b). A dipole such as HCl placed in a field experiences a torque that tries to rotate it to align p0 with the field E.
  • 18.
    In the presenceof an applied field, the dipoles try to rotate to align parallel to each other in direction of electric field fig (d). This type of polarization is Orientation polarization. This type of polarization occurs only in polar substances like H2O, CH3Cl when they are placed in external field. 4. Space charge polarization (Interfacial polarization) A crystal with equal number of mobile positive ions and fixed negative ions. In the absence of a field, there is no net separation between all the positive charges and all the negative charges. In the presence of an applied field, the mobile positive ions migrate toward the negative charges and positive charges in the dielectric. The dielectric therefore exhibits Space charge or interfacial polarization.  Energy stored in dielectric field Work done is, . ? . . dW F dr F dW qE dr dW E dp p p P lA V 0 0 0 2 0 2 0 ( 1) . . .( 1) . . .( 1) . 1 ( 1) E 2 1 ( 1) E 2 ? r r r r r p PV dW EVdP P E dW E V dE dW E V dE W V W V U
  • 19.
    Band Theory ofSolid  Objectives • Effective Mass of electron • Concept of Holes • Energy Band Structure of Solids:  Conductors, Insulators and Semiconductors • Semiconductors  Intrinsic and Extrinsic Semiconductors • Type of diodes  Simple Diode  Zener Diode  Effective Mass of electron  An electron moving in the solid under the influence of the crystal potential is subjected to an electric field.  We expect an external field to accelerate the electron, increasing E and k and change the electron’s state. ------ (1) But, dx/dt = vg ------ (2) ------ (3) dk d gv   1  gv dx dV e dt dk dk d  
  • 20.
    ----- (4) ------ (5) ------(6) ------ (7) ----- (8)  Concept of Holes Consider a semiconductor with a small number of electrons excited from the valence band into the conduction band.  If an electric field is applied, • The conduction band electrons will participate in the electrical current • The valence band electrons can “move into” the empty states, and thus can also contribute to the current.  If we describe such changes via “movement” of the “empty” states – the picture will be significantly simplified. This “empty space” is called a Hole.  “Deficiency” of negative charge can be treated as a positive charge. dx dV ek dt d gv dx dV e dt dk gv     eEk dt d  dt dk dk d dk d dk d dt d dt dv a g                11                     k dt d dk d dt dk dk d   2 2 22 2 11 
  • 21.
     Holes actas charge carriers in the sense that electrons from nearby sites can “move” into the hole.  Holes are usually heavier than electrons since they depict collective behavior of many electrons.  To understand hole motion, one requires another view of the holes, which represent them as electrons with negative effective mass m*.  For example the movement of the hole think of a row of chairs occupied by people with one chair empty, and to move all people rise all together and move in one direction, so the empty spot moves in the same direction.  Energy Band Structure of Solids Conductor, Semiconductor and Insulator  In isolated atoms the electrons are arranged in energy levels.  Energy Band in Solid The following are the important energy band in solids:  Valence band  Conduction band  Forbidden energy gap or Forbidden band
  • 22.
     Valance band Theband of energy occupied by the valance electrons is called valence band. The electrons in the outermost orbit of an atom are known as valance electrons. This band may be completely or partial filled. Electron can be move from one valance band to the conduction band by the application of external energy.  Conduction band The band of energy occupied by the conduction electrons is called conduction band. This is the uppermost band and all electrons in the conduction band are free electrons. The conduction band is empty for insulator and partially filled for conductors.  Forbidden Energy Gap or Forbidden band The gap between the valance band and conduction band on energy level diagram known as forbidden band or energy gap. Electrons are never found in the gap. Electrons may jump from back and forth from the bottom of valance band to the top of the conduction band. But they never come to rest in the forbidden band.  According to the classical free electron theory, materials are classified in to three types:  Conductors  Semiconductors  Insulators  Conductors There is no forbidden gap and the conduction band and valence band are overlapping each other between and hence electrons are free to move about. Examples are Ag, Cu, Fe, Al, Pb ….  Conductor are highly electrical conductivity  So, in general electrical resistivity of conductor is very low and it is of the order of 10-6 Ω cm.  Due to the absence of the forbidden gap, there is no structure for holes.  The total current in conductor is simply a flow of electrons.  For conductors, the energy gap is of the order of 0.01 eV.
  • 23.
     Semiconductors: Semiconductors arematerials whose electrical resistivity lies between insulator and conductor. Examples are silicon (Si), germanium (Ge) ….  The resistivity of semiconductors lies between 10-4 Ω cm to 103 Ω cm at room temperature.  At low temperature, the valence band is all most full and conduction band is almost empty. The forbidden gap is very small equal to 1 eV.  Semiconductor behaves like an insulator at low temperature. The most commonly used semiconductor is silicon and its band gap is 1.21 eV and germanium band gap is 0.785 eV. When a conductor is heated its resistance increases; the atoms vibrate more and the electrons find it more difficult to move through the conductor but, in a semiconductor the resistance decreases with an increase in temperature. Electrons can be excited up to the conduction band and Conductivity increases.  Insulators  Here the valence band is full but the conduction band is totally empty. So, a free electron from conduction band is not available.  In insulator the energy gap between the valence and conduction band is very large and it’s approximately equal to 5 eV or more.  Hence electrons cannot jump from valence band to the conduction band. So, a very high energy is required to push the electrons to the conduction band.  Therefore the electrical conductivity is extremely small.  The resistivity of insulator lie between 103 to 1017 Ωm, at the room temperature  Examples are plastics, paper …..
  • 24.
     Types ofsemiconductors  Intrinsic Semiconductor The intrinsic semiconductors are pure semiconductor materials. These semiconductors possess poor conductivity. The elemental and compound semiconductor can be intrinsic type. The energy gap in semiconductor is very small. So, even at the room temperature, some of electrons from valance band can jump to the conduction band by thermal energy. The jump of electron in conduction band adds one conduction electron in conduction band and creates a hole in the valence band. The process is called as “generation of an electron–hole pair”. In pure semiconductor the no. of electrons in conduction band and holes in holes in valence bands are equal.  Extrinsic Semiconductor Extrinsic semiconductor is an impure semiconductor formed from an intrinsic semiconductor by adding a small quantity of impurity atoms called dopants. The process of adding impurities to the semiconductor crystal is known as doping. This added impurity is very small of the order of one atom per million atoms of pure semiconductor. Depending upon the type of impurity added the extrinsic semiconductors are classified as: • p – type semiconductor • n – type semiconductor
  • 25.
    p – typesemiconductor The addition of trivalent impurities such as boron, aluminum or gallium to an intrinsic semiconductor creates deficiencies of valence electrons, called "holes". It is typical to use B2H6 di-borane gas to diffuse boron into the silicon material. n – type semiconductor The addition of pentavalent impurities such as antimony, arsenic or phosphorous contributes free electrons, greatly increasing the conductivity of the intrinsic semiconductor. Phosphorous may be added by diffusion of phosphine gas (PH3).  Simple Diode The two terminals are called Anode and Cathode. At the instant the two materials are “joined”, electrons and holes near the junction cross over and combine with each other. Holes cross from P-side to N-side and free electrons cross from N-side to P-side.
  • 26.
    At P-side ofjunction, negative ions are formed. At N-side of junction, positive ions are formed. Depletion region is the region having no free carriers. Further movement of electrons and holes across the junction stops due to formation of depletion region. Depletion region acts as barrier opposing further diffusion of charge carriers. So diffusion stops within no time. Current through the diode under no-bias condition is zero. Reverse bias Positive of battery connected to n-type material (cathode). Negative of battery connected to p-type material (anode). Free electrons in n-region are drawn towards positive of battery; Holes in p-region are drawn towards negative of battery. Depletion region widens, barrier increases for the flow of majority carriers. Majority charge carrier flow reduces to zero.
  • 27.
    Minority charge carriersgenerated thermally can cross the junction – results in a current called “reverse saturation current” Is , Is is in micro or nano amperes or less. Is does not increase “significantly” with increase in the reverse bias voltage  Zener Diode A diode which is heavily doped and which operates in the reverse breakdown region with a sharp breakdown voltage is called a Zener diode. This is similar to the normal diode except that the line (bar) representing the cathode is bent at both side ends like the letter Z for Zener diode. In simple diode the doping is light; as a
  • 28.
    result, the breakdownvoltage is high and not sharp. But if doping is made heavy, then the depletion layers becomes very narrow and even the breakdown voltage gets reduced to a sharp value.  Working Principle The reverse breakdown of a Zener diode may occur either due to Zener effect or avalanche effect. But the Zener diode is primarily depends on Zener effect for its working. When the electrical field across the junction is high due to the applied voltage, the Zener breakdown occurs because of breaking of covalent bonds. This produces a large number of electrons and holes which constitute a steep rise in the reverse saturation current (Zener current IZ). This effect is called as Zener effect. Zener current IZ is independent of the applied voltage and depends only on the external resistance. The I-V characteristic of a Zener diode is shown in this figure. The forward characteristic is simply that of an ordinary forward biased junction diode. Under the reverse bias condition, the breakdown of a junction occurs. Its depends upon amount of doping. It can be seen from above figure as the reverse voltage is increased the reverse current remains negligibly small up to the knee point (K) of the curve.
  • 29.
    At point K,the effect of breakdown process beings. The voltage corresponding to the point K in figure is called the Zener breakdown voltage or simply Zener voltage (VZ), which is very sharp compared to a simple p-n junction diode. Beyond this voltage the reverse current (IZ) increases sharply to a high value. The Zener diode is not immediately burnt just because it has entered the breakdown region. The Zener voltage VZ remains constant even when Zener current IZ increases greatly. This ability of a diode is called regulating ability and it enables us to use Zener diode for voltage regulation. The maximum value of current is denoted by IZ max and the minimum current to sustain breakdown is denoted by IZ min. By two points A and B on the reverse VI characteristic, the Zener resistance is given by the relation rz = ( Δ VZ / Δ IZ). ------- (1)  Zener diode Applications: 1) Zener diodes are used as a voltage regulator. 2) They are used in shaping circuits as peak limiters or clippers. 3) They are used as a fixed reference voltage in transistor biasing and for comparison purpose. 4) They are used for meter protection against damage from accidental application of excessive voltage.
  • 30.
    LASER Light Amplification byStimulated Emission of Radiation  Introduction The full form of LASER is Light Amplification by Stimulated Emission of Radiation. Laser light is highly powerful and it is capable of propagating over long distances and it is not easily absorbed by water.  Light having following Properties: • Wavelength • Frequency • Amplitude • Phase • Coherence/Incoherence • Velocity • Direction The characteristics or properties of Laser Light are: • Coherence • High Intensity • High directionality • High monochromaticity  Absorption According to Bohr’s law atomic system is characterized by discrete energy level. When atoms absorb or release energy it transit upward or downward. Here lower level is E1 and excited level is E2, the photon energy hƒ = E2 – E1. The atom absorbed an incident photon. As the result of absorption atom absorbed energy and the atom jumped to excited state E2. This transition is called absorption. It is also referred to as induced absorption. We may express the process as, A + hν = A*
  • 31.
    Where A isan atom in lower state and A* is an excited atom. The rate of absorption depends on no. of atoms N1 present in E1 and spectral energy density u(ƒ) of radiation. P12 α N1 u(ƒ) -----(1) So, P12 = B12N1 u(ƒ) -----(2) In each absorption transition event, an atom in the medium is excited and one photon is subtracted from the incident beam, which result in attenuation of light in the medium.  Spontaneous Emission An atom cannot stay in the excited state for a longer time. Ina time of 10-8 sec, the atom come back to the ground state by releasing a photon of energy hν, and hν = E = E2 – E1. Where E1 = Ground State and E2 = Excited State. The emission of photon by an atom without any external impetus is called spontaneous emission. We may write the process as, A* → hν + A Here system having atoms in excited state. Atom goes to downward transition with emitting photons, hƒ = E1 – E2. Emission is random, so if not in same phase becomes incoherent. The transition depends on atoms in excited state N2. P12 (spont) α N2 = A21 N2 ------- (1) Where, A21 = Einstein coefficient for spontaneous Emission. We get Incoherent radiation forms heat by light amplification of radiation by spontaneous emission.  Stimulated Emission
  • 32.
    An atom inthe excited state need not wait for spontaneous emission of photon. Well before the atom can make a spontaneous transition, it may interacts with a photon with energy hν = E2 – E1, and make a downward transition. The photon is said to stimulated of induced the excited atom to emit a photon of energy hν = E2 – E1. The passing photon does not disappear and in addition to it there is a second photon which is emitted by the excited atom. The phenomenon of forced photon emission by an excited atom due to the action of an external energy is called stimulated emission or induced emission. The process may be expressed as, A* + hν → A + 2hν Here system having atoms in excited state. The atom goes to downward transition with emitting photons. 2hƒ = E1 – E2. After applying photon energy hƒ. Emission is depends on energy density u(ƒ) & No. of atoms in excited state N2 P12 (stimul) α u(ƒ) N2 - -------- (1) = B21 N2 u(ƒ) -------- (2) Where, B21 = Einstein coefficient for Stimulated Emission. Thus one photon of energy hƒ stimulates two photons of energy hƒ in same phase & directions. So, we get coherent light amplification of radiation by stimulated emission.  Population Inversion It is the process of increasing exited electrons in higher energy levels. Due to this process the production of laser is possible. The energy level between the ground state E1 (1st level) and exited state E3 (3rd level) is known as metastable state E2 (2nd level). By the optical pumping electrons from ground state jumps to excited state by absorbing photons. The electrons remain only for 10-8 sec in exited state E3, so most of them jump back to the ground state E1 by emitting photons. But some of them jump to the metastable state E2.
  • 33.
    They (electron) stayin metastable state for more then 10-3 sec. So electron density increases in metastable state. Thus the transitions are possible it takes more no. of electrons together and ν – (knew) 12 photon beam is produced which constitute laser beam.  Optical Pumping There are no of techniques for pumping a collection of atoms to an inverted state. •Optical pumping • Electrical discharge • Direct conversion When photon of blue green light incident on Ruby crystal, electrons from ground state absorbs and exited and jumps on higher energy state levels and comes back to metastable state. They increase population of electrons in metastable state. This process is called “optical pumping” which is done by flash tube.  Relation between Einstein’s ‘A’ and ‘B’ coefficients Einstein obtained a mathematical expression for the existence of two different kinds of processes, (1) Spontaneous emission (2) Stimulated emission Consider all atoms r in thermal equilibrium at T and radiation of frequency (ƒ) and energy density u(ƒ). Here N1 and N2 r atoms in E1 and E2 respectively. In equilibrium absorption rates and emission rates must be same. i.e. B12 N1 u(ƒ) = A21 N2+ B21 N2 u(ƒ) → A21 N2= u(ƒ) [B12N1 – B21N2] → u(f) = [A21 N2 / (B12 N1 – B21 N2)] --------- (1) ---------- (2) So Boltzmann distribution law is, ---------- (3) 21 21 12 1 21 2 ( ) [ ] ƒ 1 A B u B N B N 1 2 / 1 0 / 2 0 E kT E kT N N e N N e
  • 34.
    And ----------- (4) But, E2– E1 = hf ----------- (5) So, ----------- (6) ------------ (7) According to plank’s radiation formula, ------------ (8) Where, B12 = B21 & A21 / B21 = 8∏hf3 /c3 ------------ (9) So, Ratio of spontaneous to stimulated emission: ----------- (10) So, ------------ (11) ------------ (12) R = e hf/KT - 1 -------------- (13) So, • If hƒ << kT, in thermal equilibrium, Then R = ehf/KT - 1 << 1 • hƒ<<kT – Stimulated emission – Valid in microwave region (MASER) • hƒ>>kT – Spontaneous emission – Valid in visible region, incoherent Valid 2 1( )/1 2 E E kTN e N h /1 2 ƒ kTN e N 21 21 ƒ12 21 h / ƒ 1 ( ) [ ] kT e A B u B B 3 3 ƒh / 8 1 ( ) ( ) [ ] ƒ ƒ 1 kT u c h e 2 21 21 2 21 21 3 3 8 ( ) ( ) ( ) ƒ ƒ ƒ ƒ N A A h R B u B u ucN 3 3 / 3 3 ƒh 8 ( ) 8 ƒ ƒ & ƒ ƒ 1 1 ( ) ( ) [ ] kT h u c u R h e c
  • 35.
     Types ofLASER There are three types of lasers 1. Solid Laser (Ruby Laser) 2. Liquid Laser 3. Gas Laser ( He – Ne Laser, CO2 Laser) Ruby Laser To produce laser from solid, Ruby crystal is used. Ruby is an aluminum oxide crystal (Al 2 O 3 ) in which some of the aluminum atoms have been replaced with Cr +3 chromium atoms (0.05% by weight). It was the first type of laser invented, and was first operated by Maiman in research laboratories on 1960. Chromium gives ruby its characteristic pink or red color by absorbing green and blue light. For a ruby laser, a crystal of ruby is formed into a cylinder. The ruby laser is used as a pulsed laser, producing red light at 6943 Å. Ruby crystal is surrounded by xenon tube. Ruby crystal is fully silvered at one side and partially silvered at the other end. A strong beam of blue green light is made to fall up on crystal from xenon tube and this light is absorbed by the crystal.
  • 36.
    Because of this,many electrons from ground state or normal state are raised to the excited state or higher state and electron falls to metastable state. During this transition photon is not emitted but excess energy of the electrons absorbed in crystal lattice. As electron drops to metastable state they remain there for certain time ~ 10-6 sec. Thus, the incident blue green light from tube increases the number of electron in metastable state and then the population inversion can be achieved. If a light of different frequency is allowed to fall on this material, the electrons move back and forth between silvered ends of the crystal. While moving through they get stimulated and exited electrons radiate energy. Thus readia photon has the same frequency as that of incident photon and is also in exactly same phase. When the intensity of light beam is increased the same process is repeated. Finally extremely intensified beam of light energies from the semi silvered side of the crystal. This way it is possible to get extremely intensified and coherent beam of light from the crystal. This beam is nothing but higher energetic beam – ie. LASER beam. Applications of Ruby Laser Ruby lasers have declined in use with the discovery of better lasing media. They are still used in a number of applications where short pulses of red light are required. Holography's around the world produce holographic portraits with ruby lasers, in sizes up to a meter squared.
  • 37.
    Many non-destructive testinglabs use ruby lasers to create holograms of large objects such as aircraft tires to look for weaknesses in the lining. Ruby lasers were used extensively in tattoo and hair removal. Drawbacks of Ruby Laser The laser requires high pumping power because the laser transition terminates at the ground state and more than half of ground state atoms must be pumped to higher state to achieve population inversion. The efficiency of ruby laser is very low because only green component of the pumping light is used while the rest of components are left unused. The laser output is not continues but occurs in the form of pulses of microseconds duration. The defects due to crystalline imperfections are also present in this laser. Gaseous Laser (He – Ne Laser) Helium - neon laser, usually called a He-Ne laser, is a type of small gas laser. He-Ne lasers have many industrial and scientific uses, and are often used in laboratory demonstrations of optics. He-Ne laser is an atomic laser which employs a four-level pumping scheme. The active medium is a mixture of 10 parts of helium to 1 part of neon. Neon atoms are centers and have energy levels suitable for laser transitions while helium atoms help efficient excitation of neon atoms. The most common wavelength is 6328 Å. These lasers produced powers in the range 0.5 to 50 mW in the red portion of the visible spectrum. They have long operating life of the order of 50,000 hrs.
  • 38.
    Construction It consists ofa glass discharge tube of about typically 30 cm long and 1.5 cm diameter. The tube is filled with a mixture of helium and neon gases in the 10:1. Electrodes are provided in the tube to produce a discharge in the gas. They are connected to a high voltage power supply. The tube is hermetically sealed with glass windows oriented at Brewster angle to the tube. The cavity mirrors are arranged externally. Working When the power is switched on, a high voltage of about 10 kV is applied across the gas. It is sufficient to ionize the gas. The electrons and ions are produced in the process of discharge are accelerated toward the anode and cathode respectively. The electron have a smaller mass, they acquire a higher velocity. They transfer their kinetic energy to helium atoms through inelastic collisions. The initial excitation effects only the helium atoms. They are in metastable state and cannot return in ground state by the spontaneous emission. The excited helium atoms can return to the ground state by transforming their energy to neon atoms through collision. These transformations take place when two colliding atoms have initial energy state. It is called resonant transfer of energy. So, the pumping mechanism of He-Ne Laser is when the helium atom in the metastable state collides with neon atom in the ground state the neon atom is excited and the helium atom drops back to the ground state. The role of helium atom is thus to excite neon atom and cause, population inversion. The probability of energy transfer from helium atoms to neon atoms is more as there are 10 atoms of helium per 1 neon atom in gas mixture.
  • 39.
    Without the Brewsterwindows, the light output is unpolarized; because of it laser output to be linearly polarized. When the excited Ne atom passes from metastable state (3s) to lower level (2p), it emits photon of wavelength 632 nm. This photon travels through the gas mixture parallel to the axis of tube; it is reflected back and forth by the mirror ends until it stimulates an excited Ne atom and causes it to emit a photon of 632 nm with the stimulating photon. The stimulated transition from (3s) level to (2p) level is laser transition. Although 6328 Å is standard wavelength of He-Ne Laser, other visible wavelengths 5430 Å (Green) 5940 Å (yellow-orange), 6120 Å (red-orange) can also produce. Overall gain is very low and is typically about 0.010 % to 0.1 %. The laser is simple practical and less expensive. The Laser beam is highly collimated, coherent and monochromatic. Applications of He-Ne Laser The Narrow red beam of He-Ne laser is used in supermarkets to read bar codes. The He-Ne Laser is used in Holography in producing the 3D images of objects. He-Ne lasers have many industrial and scientific uses, and are often used in laboratory demonstrations of optics.  Semiconductor Laser (Diode Laser) A semiconductor laser is a laser in which a semiconductor serves as a photon source. The most common semiconductor material that has been used in lasers is gallium arsenide.
  • 40.
    Einstein’s Photoelectric theorystates that light should be understood as discrete lumps of energy (photons) and it takes only a single photon with high enough energy to knock an electron loose from the atom it's bound to. Stimulated, organized photon emission occurs when two electrons with the same energy and phase meet. The two photons leave with the same frequency and direction.  P-type Semiconductors In the compound GaAs, each Ga atom has three electrons in its outermost shell of electrons and each As atom has five. When a trace of an impurity element with two outer electrons, such as Zn (zinc), is added to the crystal. The result is the shortage of one electron from one of the pairs, causing an imbalance in which there is a “hole” for an electron but there is no electron available. This forms a p-type semiconductor.  N-type Semiconductors When a trace of an impurity element with six outer electrons, such as Se (selenium), is added to a crystal of GaAs, it provides on additional electron which is not needed for the bonding. This electron can be free to move through the crystal. Thus, it provides a mechanism for electrical conductivity. This type is called an n-type semiconductor. Under forward bias (the p-type side is made positive) the majority carriers, electrons in the n-side, holes in the p-side, are injected across the depletion region in both directions to create
  • 41.
    a population inversionin a narrow active region. The light produced by radioactive recombination across the band gap is confined in this active region.  Application of Lasers 1. Laser beam is used to measure distances of sun, moon, stars and satellites very accurately. 2. It can be used for measuring velocity of light, to study spectrum of matters, to study Raman effect. 3. It can be is used for increasing speed and efficiency of computer. 4. It is used for welding. 5. It is used in biomedical science. 6. It is used in 3D photography. 7. It is used for communication, T. V. transmission, to search the objects under sea. 8. It can be used to predict earthquake. 9. Laser tools are used in surgery. 10. It is used for detection and treatment of cancer. 11. It is used to aline straight line for construction of dam, tunnels etc. 12. It is used in holography. 13. It is used in fiber optic communication. 14. It is also used in military, like LIDAR. 15. It is used to accelerate some chemical reactions.
  • 42.
    Special Theory ofRelativity  Introduction to Relativity o The dependence of various physical phenomena on relative motion of the observer and the observed objects, especially regarding the nature and behaviour of light, space, time, and gravity is called relativity. o When we have two things and if we want to find out the relation between their physical property i.e.velocity,accleration then we need relation between them that which is higher and which is lower.In general way we reffered it to as a relativity. o The famous scientist Einstein has firstly found out the theory of relativity and he has given very useful theories in relativity. o In 1905, Albert Einstein determined that the laws of physics are the same for all non- accelerating observers, and that the speed of light in a vacuum was independent of the motion of all observers. This was the theory of special relativity.  FRAMES OF REFERENCE o A Reference Frame is the point of View, from which we Observe an Object. o A Reference Frame is the Observer it self, as the Velocity and acceleration are common in Both. o Co-ordinate system is known as FRAMES OF REFERENCE o Two types: 1. Inertial Frames Of Reference. 2. non-inertial frame of reference. o We have already come across idea of frames of reference that move with constant velocity. In such frames, Newton’s law’s (esp. N1) hold. These are called inertial frames of reference. o Suppose you are in an accelerating car looking at a freely moving object (I.e., one with no forces acting on it). You will see its velocity changing because you are accelerating! In accelerating frames of reference, N1 doesn’t hold – this is a non- inertial frame of reference.
  • 43.
     Galilean Transforms oParallel axes (for convenience) o K’ has a constant relative velocity in the x-direction with respect to K o Time (t) for all observers is a Fundamental invariant, i.e., the same for all inertial observers o Galilean Transformation Inverse Relations o Step 1. Replace with . o Step 2. Replace “primed” quantities with “unprimed” and “unprimed” with “primed.” o General Galilean Transformations o Newton’s Eqn of Motion is same at face-value in both reference frames
  • 44.
     Einstein’s postulatesof special theory of relativity o The First Postulate of Special Relativity  The first postulate of special relativity states that all the laws of nature are the same in all uniformly moving frames of reference. o The Second Postulate of Special Relativity  The second postulate of special relativity states that the speed of light in empty space will always have the same value regardless of the motion of the source or the motion of the observer.  The speed of a light flash emitted by either the spaceship or the space station is measured as c by observers on the ship or the space station. Everyone who measures the speed of light will get the same value, c.  The Ether o Light is a wave. o Waves require a medium through which to propagate. o Medium as called the “ether.” (from the Greek aither, meaning upper air) o Maxwell’s equations assume that light obeys the Newtonian-Galilean transformation.  The Ether: Since mechanical waves require a medium to propagate, it was generally accepted that light also require a medium. This medium, called the ether, was assumed to pervade all mater and space in the universe.  The Michelson-Morley Experiment o Experiment designed to measure small changes in the speed of light was performed by Albert A. Michelson (1852 – 1931, Nobel ) and Edward W. Morley (1838 – 1923). o Used an optical instrument called an interferometer that Michelson invented. o Device was to detect the presence of the ether. o Outcome of the experiment was negative, thus contradicting the ether hypothesis. o Michelson developed a device called an inferometer. o Device sensitive enough to detect the ether. o Apparatus at rest wrt the ether. o Light from a source is split by a half silvered mirror (M)
  • 45.
    o The tworays move in mutually perpendicular directions o The rays are reflected by two mirrors (M1 and M2) back to M where they recombine. o The combined rays are observed at T. o The path distance for each ray is the same (l1=l2). o Therefore no interference will be observed o Apparatus at moving through the ether. o First consider the time required for the parallel ray o Distance moved during the first part of the path is o Similarly the time for the return trip is o The total time o For the perpendicular ray ,we can write, from fig. || L t (c u ) ct L ut L t (c u ) || 2 2 2 2 ( ) ( ) 2 ( ) 2 / 1 L L t c u c u Lc c u L c u c
  • 46.
    o The returnpath is the same as the initial leg therefore the total time is o The time difference between the two rays is, o The expected time difference is too small to be measured directly! o Instead of measuring time, Michelson and Morley looked for a fringe change. o as the mirror (M) was rotated there should be a shift in the interference fringes.  Results of the Experiment  A NULL RESULT o No time difference was found! o Hence no shift in the interference patterns  Conclusion from Michelson-Morley Experiment o the ether didn’t exist.  The Lorentz Transformation  We are now ready to derive the correct transformation equations between two inertial frames in Special Relativity, which modify the Galilean Transformation. We consider two inertial frames S and S’, which have a relative velocity v between them along the x-axis. 2 2 2 2 2 2 2 2 2 2 2 2 2 ) ( ) ( initial leg of the patct L ut L c t u t c u t L t c u h 2 2 2 2 2 2 / 1 L t c u L c t u c 1 21 2 2 || 2 2 2 2 2 3 2 1 1 2 2 L u u t t t c c c A fter a binom ial expansi L u L u t c c c on
  • 47.
     Now supposethat there is a single flash at the origin of S and S’ at time , when the two inertial frames happen to coincide. The outgoing light wave will be spherical in shape moving outward with a velocity c in both S and S’ by Einstein’s Second Postulate.  We expect that the orthogonal coordinates will not be affected by the horizontal velocity:  But the x coordinates will be affected. We assume it will be a linear transformation:  But in Relativity the transformation equations should have the same form (the laws of physics must be the same). Only the relative velocity matters. So,  Consider the outgoing light wave along the x-axis (y = z = 0).  Now plug these into the transformation equations:  Plug these two equations into the light wave equation: x y z S x' y' z' S' v 2 2 2 2 2 2 2 2 2 2 x y z c t x y z c t y y z z x k x vt x k x vt k k x ct in fram e S' x ct in fram e S x k x vt k ct vt kct 1 v / c and x k x vt k ct vt kct 1 v / c ct x k ct 1 v / c ct x k ct 1 v / c t k t 1 v / c t k t 1 v / c
  • 48.
    o Plug t’into the equation for t: o So the modified transformation equations for the spatial coordinates are: o Now what about time? o Solve for t’: o So the correct transformation (and inverse transformation) equations are: 2 2 2 2 2 2 t k t 1 v / c 1 v / c 1 k 1 v / c 1 k 1 v / c x x vt y y z z x x vt x x vt inverse transformation Plug one into the other: x x vt vt 2 2 2 2 2 2 2 2 2 2 2 2 2 2 2 2 2 2 x x vt vt x 1 vt vt 1 v / c 1 x vt vt 1 v / c xv / c vt vt 1 t xv / c vt v t t vx / c 2 2 x x vt x x vt y y y y z z z z t t vx / c t t vx / c The Lorentz Transformation
  • 49.
     Application ofLorentz Transformation  Time Dilation  We explore the rate of time in different inertial frames by considering a special kind of clock – a light clock – which is just one arm of an interferometer. Consider a light pulse bouncing vertically between two mirrors. We analyze the time it takes for the light pulse to complete a round trip both in the rest frame of the clock (labeled S’), and in an inertial frame where the clock is observed to move horizontally at a velocity v (labeled S).  In the rest frame S’  Now put the light clock on a spaceship, but measure the roundtrip time of the light pulse from the Earth frame S:  So the time it takes the light pulse to make a roundtrip in the clock when it is moving by us is appears longer than when it is at rest. We say that time is dilated. It also doesn’t matter which frame is the Earth and which is the clock. Any object that moves by with a significant velocity appears to have a clock running slow. We summarize this effect in the following relation: m irror m irror L L c t / 2 v t / 2 1 2 1 2 L t = time up c L t = time down c 2L =t t c 1 2 2 2 2 2 2 2 2 2 2 2 2 2 2 2 2 2 2 t t time up 2 t t time down 2 The speed of light is still c in this frame, so L v t / 4 c t / 4 L c v t / 4 4L t c v 2L 1 t c 1 v / c 1 v / c 2 2 1 t , 1 1 v / c
  • 50.
     Length Contraction oNow consider using a light clock to measure the length of an interferometer arm. In particular, let’s measure the length along the direction of motion. o In the rest frame S’: o Now put the light clock on a spaceship, but measure the roundtrip time of the light pulse from the Earth frame S: o In other words, the length of the interferometer arm appears contracted when it moves by us. This is known as the Lorentz-Fitzgerald contraction. It is closely related to time dilation. In fact, one implies the other, since we used time dilation to derive length contraction. A A’ C C’ vt1L 1 2 1 2 1 1 1 2 2 2 1 2 2 2 2 2 2 2 2 2 1 2 2 2 2 2 2 2 t tim e out t tim e back t t t L L vt ct t c v L L vt ct t c v 2Lc 2L 1 t t t c v c 1 v / c ct L 1 v / c 2 But, t from tim e dilation 1 v / c 2Lc 2L 1 t t t c v c 1 v / c ct L 1 v / c 2 But, t 1 v 2 2 0 2 2 from tim e dilation / c L 1 L 1 1 v / c
  • 51.
    Superconductivity  Introduction ofsuperconductivity Superconductivity is a phenomenon of exactly zero electrical resistance and expulsion of magnetic fields occurring in certain materials when cooled below a characteristic critical temperature. It was discovered by Dutch physicist Heike Kamerlingh Onnes on April 8, 1911 in Hg, which has critical temperature of 4.2 K.  Properties of Superconductors (1)Electrical Resistance Zero Electrical Resistance Defining Property Critical Temperature Quickest test 10-5 Ωcm (2)Effect of Magnetic Field Critical magnetic field (HC) – Minimum magnetic field required to destroy the superconducting property at any temperature. 2 0 1C C T H H T
  • 52.
    H0 - Criticalfield at 0K T - Temperature below TC TC - Transition Temperature Element HC at 0K (mT) Nb 198 Pb 80.3 Sn 30.9 (3)Effect of Electric Current  Large electric current – induces magnetic field – destroys superconductivity  Induced Critical Current iC = 2πrHC Persistent Current  Steady current which flows through a superconducting ring without any decrease in strength even after the removal of the field.  Diamagnetic property.
  • 53.
     Meissner effect WhenSuperconducting material cooled bellow its Tc it becomes resistenceless & perfect diamagnetic. When superconductor placed inside a magnetic field in Tc all magnetic flux is expelled out of it the effect is called Meissner effect. Perfect diamagnetism arises from some special magnetic property of Superconductor. If there is no magnetic field inside the superconductor relative permeability or diamagnetic constant μr =0. Total magnetic induction B is, If magnetic induction B=0 then,  Magnetic Flux Quantization Magnetic flux enclosed in a superconducting ring = integral multiples of fluxon Φ = nh/2e = n Φ0 ; (Φ0 = 2x10-15 Wb)  Effect of Pressure Pressure ↑, TC ↑ High TC superconductors – High pressure 0 ( )B H M  0 0 ( )H M  M H   1 m M H    
  • 54.
     Thermal Properties Entropy& Specific heat ↓ at TC Disappearance of thermo electric effect at TC Thermal conductivity ↓ at TC – Type I superconductors  Stress  Stress ↑, dimension ↑, TC ↑, HC affected  Frequency  Frequency ↑, Zero resistance – modified, TC not affected  Impurities  Magnetic properties affected  Size  Size < 10-4 cm – superconducting state modified  General Properties  No change in crystal structure  No change in elastic & photo-electric properties  No change in volume at TC in the absence of magnetic field  Isotope Effect Maxwell TC = Constant / Mα TC Mα = Constant (α – Isotope Effect coefficient) α = 0.15 – 0.5 α = 0 (No isotope effect) TC√M = constant  Classification & characterization of superconductor Type - I or soft superconductor o Exhibit complete Meissner effect.
  • 55.
    o Bellow Hcsuper conductor above Hc Normal o Value of Hc is order of 0.1 T. o Aluminum, lead & Indium are type - I super conductor o Not used as strong electromagnets Type - II or Hard superconductor o Exhibit complete Meissner effect bellow a certain critical field Hc1 at this point diamagnetism & superconductivity ↓. This state is mix state called vortex state. o At certain critical field Hc2 superconductivity disappears. o Niobium, Aluminum, Silicon, Ceramic are type - II superconductors. o Pb is type I superconductor ac Hc = 600 gauss at 4º K when a small impurity of In is added it becomes type II superconductor with Hc1 = 400 gauss & Hc2 = 1000 gauss.  London equation According to London’s theory there are two type of electrons in SC. o Super electrons o Normal electrons o At 0º K there are only Super electrons. o With increasing temp. Super electrons ↓ Normal electrons ↑ . o Let nn, un & ns, us are no. density & drift velocity of normal electrons & super electrons respectively. Equation of motion of Super electrons under electric field is, Now current & drift velocity are related as, s du m eE dt         s s s s s s s s s I n eAu J n eu J u n e
  • 56.
    2 ( )      s s s s J d n e e E dt n e Ed J dt m This is London's first equation. - London's first equation gives absence of resistance. If E = 0 then, - Now from Maxwell's eqns. 0s dJ dt  ( ) d B E dt B A d A E dt d A E dt d A E dt                     2 2 2 2 2 2 ( ) ( ) s s s s s s s s s s s s n e Ed J dt m d J m E dt n e d J m d A dt n e dt d m d A J dt n e dt m J A n e n e J A m               
  • 57.
    This is London'sSecond equation - Again from ampere Law, - Take curl on both sides λ is called London penetration depth.  BCS Theory of Superconductivity  The properties of Type I superconductors were modeled successfully by the efforts of John Bardeen, Leon Cooper, and Robert Schrieffer in what is commonly called the BCS theory.  A key conceptual element in this theory is the pairing of electrons close to the Fermi level into Cooper pairs through interaction with the crystal lattice. 0 2 0 ( ) s s B J n e B A m          2 0 2 2 2 0 ( ) & ( ) s s n e B A m Now B B B A B n e B B B m A B                                    
  • 58.
     This pairingresults form a slight attraction between the electrons related to lattice vibrations; the coupling to the lattice is called a phonon interaction.  Pairs of electrons can behave very differently from single electrons which are fermions and must obey the Pauli exclusion principle.  Cooper Pairs:  The transition of a metal from the normal to the superconducting state has the nature of a condensation of the electrons into a state which leaves a band gap above them.  This kind of condensation is seen with super fluid helium, but helium is made up of bosons -- multiple electrons can't collect into a single state because of the Pauli exclusion principle.  Froehlich was first to suggest that the electrons act as pairs coupled by lattice vibrations in the material.  This coupling is viewed as an exchange of phonons, phonons being the quanta of lattice vibration energy.  Experimental corroboration of an interaction with the lattice was provided by the isotope effect on the superconducting transition temperature.  The boson-like behavior of such electron pairs was further investigated by Cooper and they are called "Cooper pairs".  The condensation of Cooper pairs is the foundation of the BCS theory of superconductivity.
  • 59.
    s  In thenormal state of a metal, electrons move independently, whereas in the BCS state, they are bound into "Cooper pairs" by the attractive interaction. The BCS formalism is based on the "reduced" potential for the electrons attraction.  You have to provide energy equal to the 'energy gap' to break a pair, to break one pair you have to change energies of all other pairs.  This is unlike the normal metal, in which the state of an electron can be changed by adding a arbitrary small amount of energy.  The energy gap is highest at low temperatures but does not exist at temperatures higher than the transition temperature.  The BCS theory gives an expression of how the gap grows with the strength of attractive interaction and density of states.  The BCS theory gives the expression of the energy gap that depends on the Temperature T and the Critical Temperature Tc and is independent of the material:  Applications of Superconductors Engineering:  Transmission of power  Switching devices  Sensitive electrical instruments
  • 60.
     Memory (or)storage element in computers.  Manufacture of electrical generators and transformers Medical:  Nuclear Magnetic Resonance (NMR)  Diagnosis of brain tumor  Magneto – hydrodynamic power generation  Josephson effect or Devices Principle: persistent current in d.c. voltage. Josephson junctions  A type of electronic circuit capable of switching at very high speeds when operated at temperatures approaching absolute zero.  Named for the British physicist who designed it,  A Josephson junction exploits the phenomenon of superconductivity.
  • 61.
    Construction  A Josephsonjunction is made up of two superconductors, separated by a non- superconducting layer so thin that electrons can cross through the insulating barrier.  The flow of current between the superconductors in the absence of an applied voltage is called a Josephson current,  The movement of electrons across the barrier is known as Josephson tunneling.  Two or more junctions joined by superconducting paths form what is called a Josephson interferometer.  Consists of superconducting ring having magnetic fields of quantum values (1,2,3..)  Placed in between the two Josephson junctions.
  • 62.
    Explanation:  Consists ofthin layer of insulating material placed between two superconducting materials.  Insulator acts as a barrier to the flow of electrons.  When voltage applied current flowing between super conductors by tunneling effect.  Quantum tunneling occurs when a particle moves through a space in a manner forbidden by classical physics, due to the potential barrier involved
  • 63.
    Components of current In relation to the BCS theory (Bardeen Cooper Schrieffer) mentioned earlier, pairs of electrons move through this barrier continuing the superconducting current. This is known as the dc current.  Current component persists only till the external voltage application. This is ac current. Uses of Josephson devices  Magnetic Sensors  Gradiometers  Oscilloscopes  Decoders  Analogue to Digital converters  Oscillators  Microwave amplifiers  Sensors for biomedical, scientific and defence purposes  Digital circuit development for Integrated circuits  Microprocessors  Random Access Memories (RAMs) Super conducting Quantum Interference Devices
  • 64.
    Discovery: The DC SQUIDwas invented in 1964 by Robert Jaklevic, John Lambe, Arnold Silver, and James Mercereau of Ford Research Labs Principle: Small change in magnetic field, produces variation in the flux quantum. Construction: The superconducting quantum interference device (SQUID) consists of two superconductors separated by thin insulating layers to form two parallel Josephson junctions. Type: Two main types of SQUID: 1) RF SQUIDs have only one Josephson junction 2) DC SQUIDs have two or more junctions. Thereby,  More difficult and expensive to produce.  Much more sensitive. Fabrication:  Lead or pure niobium, the lead is usually in the form of an alloy with 10% gold or indium, as pure lead is unstable when its temperature is repeatedly changed.  The base electrode of the SQUID is made of a very thin niobium layer.  The tunnel barrier is oxidized onto this niobium surface.  The top electrode is a layer of lead alloy deposited on top of the other two, forming a sandwich arrangement.  To achieve the necessary superconducting characteristics, the entire device is then cooled to within a few degrees of absolute zero with liquid helium. Uses:  Storage device for magnetic flux.
  • 65.
     Study ofearthquakes.  Removing paramagnetic impurities.  Detection of magnetic signals from brain, heart etc.  Cryotron:  The cryotron is a switch that operates using superconductivity.  The cryotron works on the principle that magnetic fields destroy superconductivity.  The cryotron is a piece of tantalum wrapped with a coil of niobium placed in a liquid helium bath.  When the current flows through the tantalum wire it is superconducting, but when a current flows through the niobium a magnetic field is produced.  This destroys the superconductivity which makes the current slow down or stop.  Magnetic Levitated Train: Principle: Electro-magnetic induction Introduction:  Magnetic levitation transport, or maglev, is a form of transportation that suspends guides and propels vehicles via electromagnetic force.  This method can be faster than wheeled mass transit systems, potentially reaching velocities comparable to turboprop and jet aircraft (500 to 580 km/h).  Why superconductor?  Superconductors may be considered perfect diamagnets (μr = 0), completely expelling magnetic fields due to the Meissner effect. The levitation of the magnet is stabilized due to flux pinning within the superconductor. This principle is exploited by EDS (Electrodynamics suspension) magnetic levitation trains.  In trains where the weight of the large electromagnet is a major design issue (a very strong magnetic field is required to levitate a massive train) superconductors are used for the electromagnet, since they can produce a stronger magnetic field for the same weight.  How to use a Super conductor? Electrodynamics suspension
  • 66.
     In Electrodynamicsuspension (EDS), both the rail and the train exert a magnetic field, and the train is levitated by the repulsive force between these magnetic fields.  The magnetic field in the train is produced by either electromagnets or by an array of permanent magnets.  The repulsive force in the track is created by an induced magnetic field in wires or other conducting strips in the track.  At slow speeds, the current induced in these coils and the resultant magnetic flux is not large enough to support the weight of the train.  For this reason the train must have wheels or some other form of landing gear to support the train until it reaches a speed that can sustain levitation.  Propulsion coils on the guide way are used to exert a force on the magnets in the train and make the train move forwards.  The propulsion coils that exert a force on the train are effectively a linear motor: An alternating current flowing through the coils generates a continuously varying magnetic field that moves forward along the track.  The frequency of the alternating current is synchronized to match the speed of the train.  The offset between the field exerted by magnets on the train and the applied field create a force moving the train forward. Advantages:  No need of initial energy in case of magnets for low speeds  One liter of Liquid nitrogen costs less than one liter of mineral water  Onboard magnets and large margin between rail and train enable highest recorded train speeds (581 km/h) and heavy load capacity. Successful operations using high temperature superconductors in its onboard magnets, cooled with inexpensive liquid nitrogen  Magnetic fields inside and outside the vehicle are insignificant; proven, commercially available technology that can attain very high speeds (500 km/h); no wheels or secondary propulsion system needed  Free of friction as it is “Levitating”
  • 67.
    Atomic Physics “Classical Physics”: developedin 15th to 20th century,provides very successful description of “every day, ordinary objects” motion of trains, cars, bullets,…. orbit of moon, planets how an engine works,.. subfields: mechanics, thermodynamics, electrodynamics, Quantum Physics: developed early 20th century, in response to shortcomings of classical physics in describing certain phenomena (blackbody radiation, photoelectric effect, emission and absorption spectra…)describes “small” objects (e.g. atoms ) QP is “weird and counterintuitive” “Those who are not shocked when they first come across quantum theory cannot possibly have understood it” (Niles Bohr) “Nobody feels perfectly comfortable with it “ (Murray Gell-Mann) “I can safely say that nobody understands quantum mechanics” (Richard Feynman) BUT… QM is the most successful theory ever developed by humanity underlies our understanding of atoms, molecules, condensed matter, nuclei, elementary particles Crucial ingredient in understanding of stars, … Quantum physics is basically the recognition that there is less difference between waves and particles than was thought before key insights: light can behave like a particle particles (e.g. electrons) are indistinguishable particles can behave like waves (or wave packets) waves gain or lose energy only in "quantized amounts“ detection (measurement) of a particle wave will change suddenly into a new wave quantum mechanical interference – amplitudes add QP is intrinsically probabilistic what you can measure is what you can know WAVE-PICTURE OF RADIATION—ENERGY FLOW I S CONTI N UOUS • Radio waves, microwaves, heat waves, light waves, UV-rays, x-rays and y-rays belong to the family of electromagnetic waves. All of them are known as radiation.
  • 68.
    • Electromagnetic wavesconsist of varying electric and magnetic fields traveling at the velocity of 'c'. The proMaxwell's theory treated the emission of radiation by a source as a continuous process. • A heated body may be assumed to be capable of giving out energy that travels in the form of waves of all possible wavelengths. • In the same way, the radiation incident on a body was thought to be absorbed at all possible wavelengths. • The intensity of radiation is given by, I = 1E12 • where E is the amplitude of the electromagnetic wave. • pagation of electromagnetic waves and their interaction with matter can be explained with the help of Maxwell's electromagnetic theory. • The phenomena of interference, diffraction and polarization of electromagnetic radiation proved the wave nature of radiation. • Therefore, it is expected that it would explain the experimental observations made on thermal (heat) radiation emitted by a blackbody. Blackbody radiation and Planck hypothesis • Two patches of clouds in physics sky at the beginning of 20th century. • The speed of light  Relativity • The blackbody radiation  foundation of Quantum theory • Convection is transfer of heat by actual motion of. The hot-air furnace, the hot-water heating system, and the flow of blood in the body are examples. • Radiation The heat reaching the earth from the sun cannot be transferred either by conduction or convection since the space between the earth and the sun has no material medium. The energy is carried by electromagnetic waves that do not require a material medium for propagation. The kind of heat transfer is called thermal radiation. • Blackbody is defined as the body which can absorb all energies that fall on it. It is something like a black hole. No lights or material can get away from it as long as it is trapped. A large cavity with a small hole on its wall can be taken as a blackbody. LAWS OF BLACK BODY RADIATION 1. Stefan and Boltzmann’s law: it is found that the radiation energy is proportional to the fourth power of the associated temperature. 4 M (T) T 2. Wien’s displacement law: the peak of the curve shifts towards longer wavelength as the temperature falls and it satisfies where b is called the Wien's constant. b=2.89X10-3 4 M (T ) T peak T b
  • 69.
    This law isquite useful for measuring the temperature of a blackbody with a very high temperature. You can see the example for how to measure the temperature on the surface of the sun. • The above laws describes the blackbody radiation very well. • The problem exists in the relation between the radiation power Mλ(T) and the wavelength λ. • Blackbody radiation has nothing to do with both the material used in the blackbody concave wall and the shape of the concave wall. • Two typical theoretical formulas for blackbody radiation : One is given by Rayleigh and Jeans and the other by Wein. 3.Rayleigh and Jeans • In 1890, Rayleigh and Jeans obtained a formula using the classical electromagnetic (Maxwell) theory and the classical equipartition theorem of energy in thermotics. The formula is given by 2 3 8 kT E( ) c Rayleigh-Jeans formula was correct for very long wavelength in the far infrared but hopelessly wrong in the visible light and ultraviolet region. Maxwell‟s electromagnetic theory and thermodynamics are known as correct theory. The failure in explaining blackbody radiation puzzled physicists! It was regarded as ultraviolet Catastrophe (disaster). 4. Planck Radiation Law: Where, E=Quantum energy h= Planck constant v= frequency PLANCK'S QUANTUM HYPOTHESIS — Energy is quantized • Max Planck empirical formula explained the experimental observations. • In the process of formulation of the formula, he assumed that the atoms of the walls of the blackbody behave like small harmonic oscillators, each having a characteristic frequency of vibration, lie further made two radical assumptions about the atomic oscillators. • An oscillating atom can absorb or mends energy in discrete units. The indivisible discrete unit of energy hs, is the smallest amount of energy which can be absorbed or emitted by the atom and is called an energy quantum. A quantum of energy has the magnitude given by E = hv 4 M (T) T hc E h
  • 70.
    where v isthe frequency of radiation and „h' is a constant now known as the Planck's constant. • The energy of the oscillator is quantized. It can have only certain discrete amounts of energy En. En= nhv n=1,2,3…… • The hypothesis that radiant energy is emitted or absorbed basically in a discontinuous summer and in the form of quanta is known as the Planck's quantum hypothesis. • Planck's hypothesis states that radiant energy Is quantized and implies that an atom exists in certain discrete energy states. Such states arc called quantum stales and n is called the quantum number. • The atom emits or absorbs energy by jumping from one quantum state to another quantum state. The assumption of discrete energy states for an atomic oscillator (Fig.a) was a departure from the classical physics and our everyday exper • If we take a mass-spring harmonic oscillator, it can receive any amount of energy form zero to some maximum value (Fig.b). Thus, in the realm of classical physics energy always appears to occur with continuous values and energy exchange between bodies involves any arbitrary amounts of energy. PARTICLE PICTURE OF RADIATION —Radiation is a stream of photons Max Planck introduced the concept of discontinuous emission and absorption of radiation by bodies but he treated the propagation through space as occurring in the form of continuous waves as demanded by electromagnetic theory.
  • 71.
    • Einstein refinedthe Planck's hypothesis and invested the quantum with a clear and distinct identity. • He successfully explained the experimental results of the photoelectric effect in 1905 and the temperature dependence of specific heats of solids in 1907 basing on Planck's hypothesis. • The photoelectric effect conclusively established that light behaves as a swam of particles. Einstein extended Planck's hypothesis as follows: 1 Einstein assumed that the light energy is not distributed evenly over the whole expanding wave front but rather remains concentrated in discrete quanta. He named the energy quanta as photons. Accordingly, a light beam is regarded as a stream of photons travelling with a velocity ' c' . 2 An electromagnetic wave having a frequency f contains identical photons, each having an energy hƒ. The higher the frequency of the electromagnetic wave, the higher is the energy content of each photon. 3. An electromagnetic wave would have energy hƒ if it contains only one photon. 2hv if it contains 2 photons and so on. Therefore, the intensity of a monochromatic light beam I. is related to the concentration of photons. N. present in the beam. Thus, I = N hƒ Note that according to electromagnetic theory, the intensity of a light beam is given by I = 1E12 4. When photons encounter matter, they impart all their energy to the panicles of matter and vanish. That is why absorption of radiation is discontinuous. The number of photons emitted by even a weak light source is enormously large and the human eye cannot register the photons separately and therefore light appears as a continuous stream. Thus, the discreteness of light is not readily apparent. The Photon • As the radiant energy is viewed as made up of spatially localized photons. we may attribute particle properties to photons. 1. Energy: The energy of a photon is determined by its frequency v and is given by E = hƒ. Using the relation ω= 2π and writing h/2π = ħ. we may express E= ħω 2. Velocity: Photons always travel with the velocity of light „c'. 3. Rest Mass: The rest mass of photon is zero since a photon can never be at rest. Thus, m0= 0
  • 72.
    4. Relativistic mass:As photon travels with the velocity of light, it has relativistic mass. given by m= E/c2 = hv/c2 5. Linear Momentum: The linear momentum associated with a photon may be expressed as p=E/c=hv/c= h/λ As the wave vector k= 2π/λ , p = hk/ 2π = ħk. 6. Angular Momentum: Angular momentum is also known as spin which is the intrinsic property of all microparticles. Photon has a spin of one unit. Thus. s = lħ. 7. Electrical Charge: Photons are electrically neutral and cannot be influenced by electric or magnetic fields. They cannot ionize matter. Example: 1 Calculate the photon energies for the following types of electromagnetic radiation: (a) a 600kHz radio wave; (b) the 500nm (wavelength of) green light; (c) a 0.1 nm (wavelength of) X-rays. Solution: (a) for the radio wave, we can use the Planck-Einstein law directly 15 3 9 E h 4.136 10 eV s 600 10 Hz 2.48 10 eV (b) The light wave is specified by wavelength, we can use the law explained in wavelength: 6 9 hc 1.241 10 eV m E 2.26eV 550 10 m (c). For X-rays, we have 6 4 9 hc 1.241 10 eV m E 1.24 10 eV 12.4keV 0.1 10 m Photoelectric Effect:- The quantum nature of light had its origin in the theory of thermal radiation and was strongly reinforced by the discovery of the photoelectric effect.
  • 73.
    Fig. Apparatus toinvestigate the photoelectric effect that was first found in 1887 by Hertz. In figure , a glass tube contains two electrodes of the same material, one of which is irradiated by light. The electrodes are connected to a battery and a sensitive current detector measures the current flow between them. The current flow is a direct measure of the rate of emission of electrons from the irradiated electrode. The electrons in the electrodes can be ejected by light and have a certain amount of kinetic energy. Now we change: (1) the frequency and intensity of light, (2) the electromotive force (e.m.f. or voltage), (3) the nature of electrode surface. It is found that: (1). For a given electrode material, no photoemission exists at all below a certain frequency of the incident light. When the frequency increases, the emission begins at a certain frequency. The frequency is called threshold frequency of the material. The threshold frequency has to be measured in the existence of e.m.f. (electromotive force) as at such a case the photoelectrons have no kinetic energy to move from the cathode to anode . Different electrode material has different threshold frequency. (2). The rate of electron emission is directly proportional to the intensity of the incident light. Photoelectric current ∝ The intensity of light (3). Increasing the intensity of the incident light does not increase the kinetic energy of the photoelectrons. Intensity of light ∝ kinetic energy of photoelectron However increasing the frequency of light does increase the kinetic energy of photoelectrons even for very low intensity levels. Frequency of light ∝ kinetic energy of photoelectron (4). There is no measurable time delay between irradiating the electrode and the emission of photoelectrons, even when the light is of very low intensity. As soon as the electrode is irradiated, photoelectrons are ejected.
  • 74.
    (5) The photoelectriccurrent is deeply affected by the nature of the electrodes and chemical contamination of their surface. In 1905, Einstein solved the photoelectric effect problem by applying the Planck‟s hypothesis. He pointed out that Planck‟s quantization hypothesis applied not only to the emission of radiation by a material object but also to its transmission and its absorption by another material object. The light is not only electromagnetic waves but also a quantum. All the effects of photoelectric emission can be readily explained from the following assumptions: Therefore we have the equation of photoelectric effect: 21 2 h A mv Using this equation and Einstein‟s assumption, you could readily explain all the results in the photoelectric effect: why does threshold frequency exist (problem)? why is the number of photoelectrons proportional to the light intensity? why does high intensity not mean high photoelectron energy (problem)? why is there no time delay (problem)? Example: Ultraviolet light of wavelength 150nm falls on a chromium electrode. Calculate the maximum kinetic energy and the corresponding velocity of the photoelectrons (the work function of chromium is 4.37eV). Solution: using the equation of the photoelectric effect, it is convenient to express the energy in electron volts. The photon energy is 6 9 1.241 10 8.27 150 10 hc eV m E h eV m 2 2 1 2 1 (8.27 4.37) 3.90 2 h A mv mv eV eV 19 19 19 2 2 1 1.602 10 1.602 10 1.602 10eV J N m kg m s 2 19 2 21 3.90 3.90 1.602 10 2 mv eV kg m s 19 6 31 2 3.90 12.496 10 1.17 10 / 9.11 10 eV v m s m
  • 75.
    EXERCISE:- 1. The wavelengthof yellow light is 5890 A. What is the energy of the photons in the beam? Empress in electron volts. 2. 77w light sensitive compound on most photographic films is silver bromide, Aglin A film is exposed when the light energy absorbed dissociates this molecule into its atoms. The energy of dissociation of Agllr is 23.9 k.catitnot Find the energy in electron volts, the wavelength and the frequency of the photon that is just able to dissociate a molecule of silver bromide. 3. Calculate the energy of a photon of blue light with a frequency of 6.67 x 1014 Hz. (State in eV) [2.76eV] 4. Calculate the energy of a photon of red light with a wavelength of 630 nm. [1.97eV] 5. Barium has a work function of 2.48 eV. What is the maximum kinetic energy of the ejected electron if the metal is illuminated by light of wavelength 450 nm? [0.28 eV] 6. When a 350nm light ray falls on a metal, the maximum kinetic energy of the photoelectron is 1.20eV. What is the work function of the metal? [2.3 eV] 7. A photon has 3.3 x 10-19 J of energy. What is the wavelength of this photon? 8. What is the energy of one quantum of 5.0 x 1014 Hz light? 4 M (T) T
  • 76.
    X-Rays Objectives:  Introduction andproduction of X-Rays  Properties of X-Rays  Diffraction of X-Rays  The Bragg’s X-Ray spectrometer  Continuous spectra  Characteristics Radiation  Moseley’s law  Absorption of X-Ray  Compton effect  Applications of X-Rays Introduction and production of X-Rays Introduction of X- Rays Wilhelm Rontgen discovered X-rays in 1985 during the course of some experiments with a discharge tube. He noticed that a screen coated with barium platinocyanide present at a distance from the discharge tube. Rontgen called these invisible radiations X-rays. Finally he concluded that X-rays are produced due to the bombardment of cathode rays on the walls of the discharge tube. It is well known that X-rays are produced when the fast moving electrons, and that metals or high atomic weight are most effective for this purpose. X-rays are electromagnetic waves with very short wavelengths. X-rays are highly penetrating and it can pass through many solids. They occur beyond the UV region in the electromagnetic spectrum. Their wavelengths range from 0.01 to 10 Å. Production or Generation of X-rays X-rays are produced by an X-ray tube. The schematic of the modern type of X-ray tube designed by Coolidge is shown in above figure.
  • 77.
     It isan evacuated glass bulb enclosing two electrodes, a cathode and an anode. The cathode consists of a tungsten filament which emits electrons when it heated. The electrons are focused into a narrow beam with the help of a metal cup S. The anode consists of a target material, made of tungsten or molybdenum, which is embedded in a copper bar. Water circulating through a jacket surrounding the anode and cools the anode. Further large cooling fins conduct the heat away to the atmosphere. The face of the target is kept at an angle relative to the oncoming electron beam. A very high potential difference of the order of 50 kV is applied across the electrodes. The electrons emitted by the cathode are accelerated by the anode and acquire high energies of order of 105 eV. When the target suddenly stops these electrons, X-rays are emitted. The magnetic field associated with the electron beam undergoes a change when the electrons are stopped and electromagnetic waves in the form of X-rays are generated. The grater of the speed of the electron beam, the shorter will be the wavelength of the radiated X-rays. Only about 0.2 % of the electron beam energy is converted in to X- rays and the rest of the energy transforms into heat. It is for the reason that the anode is intensively cooled during the operation of X-ray tube. The intensity of the electron beam depends on the number of electron leaving the cathode. The hardness of the X-rays emitted depends on the energy of the electron beam striking the target. It can be adjusted by varying the potential difference applied between the cathode and anode. Therefore, the larger potential difference, the more penetrating or harder X-rays. Properties of X-Ray  They have relatively high penetrating power.  They are classified into Hard X-rays & Soft X-rays.
  • 78.
    The X-rays whichhave high energy and short wavelength is known as Hard X- rays. The X-rays which have low energy and longer wavelength is known as Soft X- rays.  X-rays causes the phenomenon of flouroscence.  On passing through a gas X-rays ionize the gas.  They are absorbed by the materials through which they traverse.  X-rays travel in straight line. Their speed in vacuum is equal to speed of light.  X-rays can affect a photographic film.  X-rays are undeflected by electric field or magnetic field. Diffraction of X-Rays – Bragg’s law Consider a crystal as made out of parallel planes of ions, spaced a distance d apart. The conditions for a sharp peak in the intensity of the scattered radiation are: 1. That the X-rays should be secularly reflected by the ions in any one plane. 2. That the reflected rays from successive planes should interfere constructively. Path difference between two rays reflected from adjoining planes: 2dsinθ, for the rays to interfere constructively, this path difference must be an integral number of wavelength λ, Suppose that a single monochromatic wave (of any type) is incident on aligned planes of lattice points, with separation , at angle . Points A and C are on one plane, and B is on the plane below. Points ABCC' form a quadrilateral. There will be a path difference between the ray that gets reflected along AC' and the ray that gets transmitted, and then reflected, along AB and BC respectively. This path difference is:
  • 79.
    The two separatewaves will arrive at a point with the same phase, and hence undergo constructive interference, if and only if this path difference is equal to any integer value of the wavelength, i.e. Where, the same definition of and apply as above. Therefore, from which it follows that, Putting everything together, Which simplifies to Which is Bragg's law. Bragg angle is just the half of the total angle by which the incident beam is deflected. The Bragg’s X-Ray spectrometer An X-ray diffraction experiment requires, (1) X-ray source (2) The sample (3) The detector Depending on method there can be variations in these requirements. The X-ray radiation may either monochromatic or may have variable wave length.
  • 80.
    Structures of polycrystallinesample and single crystals can be studied. The detectors used in these experiments are photographic film. The schematic diagram of Bragg’s X-ray spectrometer is given in above. X-ray from an X-ray tube is collimated by passing team through slits S1 and S2. This beam is then allowed to fall on a single crystal mounted on a table which can be rotated about an axis perpendicular to the plane of incident of X-rays. The crystal behaves as a reflected grating and reflects X-rays. By rotating the table, the glancing angle θ at which the X-ray is incident on the crystal can be changed. The angle for which the intensity of the reflected beam is maximum gives the value of θ. The experiment is repeated for each plane of the crystal. For first order reflection n = 1 so that, λ = 2d sinθ; for n = 2, 2λ = 2d sinθ; ……., and so on. A photographic plate or an ionization chamber is used to detect the rays reflected by the crystal. Continuous X-rays or Bremsstrahlung X-rays
  • 81.
    "Bremsstrahlung" means "brakingradiation" and is retained from the original German to describe the radiation which is emitted when electrons are decelerated or "braked" when they are fired at a metal target. Accelerated charges give off electromagnetic radiation, and when the energy of the bombarding electrons is high enough, that radiation is in the x-ray region of the electromagnetic spectrum. It is characterized by a continuous distribution of radiation which becomes more intense and shifts toward higher frequencies when the energy of the bombarding electrons is increased. The curves above are who bombarded tungsten targets with electrons of four different energies. The continuous distribution of x-rays which forms the base for the two sharp peaks at left is called "Bremsstrahlung" radiation. The bombarding electrons can also eject electrons from the inner shells of the atoms of the metal target, and the quick filling of those vacancies by electrons dropping down from higher levels gives rise to sharply defined characteristic x-rays. Characteristic X-rays Characteristic x-rays are emitted from heavy elements when their electrons make transitions between the lower atomic energy levels. The characteristic x-rays emission which shown as two sharp peaks in the illustration at left occur when vacancies are produced in the n=1 or K-shell of the atom and electrons drop down from above to fill the gap. The X-rays produced by transitions from the n=2 to n=1 levels are called Kα X-rays, and those for the n=3->1 transition are called Kβ X-rays. Transitions to the n=2 or L-shell are designated as L x-rays (n=3->2 is L-alpha, n=4->2 is L-beta, etc.
  • 82.
    X-ray production typicallyinvolves bombarding a metal target in an X-ray tube with high speed electrons which have been accelerated by tens to hundreds of kilovolts of potential. The bombarding electrons can eject electrons from the inner shells of the atoms of the metal target. Those vacancies will be quickly filled by electrons dropping down from higher levels, emitting X-rays with sharply defined frequencies associated with the difference between the atomic energy levels of the target atoms. The frequencies of the characteristic X-rays can be predicted from the Bohr model. Moseley measured the frequencies of the characteristic x-rays from a large fraction of the elements of the periodic table and produces a plot of them which is now called a "Moseley plot". Characteristic X-rays are used for the investigation of crystal structure by X-ray diffraction. Crystal lattice dimensions may be determined with the use of Bragg's law in a Bragg spectrometer. Moseley’s law and its importance The English physicist Henry Moseley (1887-1915) found, by bombarding high speed electrons on a metallic anode, that the frequencies of the emitted X-ray spectra were characteristic of the material of the anode. The spectra were called characteristic X- rays. He interpreted the results with the aid of the Bohr theory, and found that the wavelengths λ of the X-rays were related to the electric charge Z of the nucleus. According to him, there was the following relation between the two values (Moseley’s law; 1912). 1/λ = c(Z - s)2 ----- (1) Where, c and s are constants applicable to all elements and Z is an integer. When elements are arranged in line according to their position in the periodic table, the Z value of each element increases one by one. Moseley correctly interpreted that the Z values corresponded to the charge possessed by the nuclei. Z is none other than the atomic number.  Importance of Moseley’s law: Atomic no. is more important than Atomic weight as it is equals to charge of nucleus.
  • 83.
    Difference between Ni,Co, Te & I etc., is explained when periodic table was constructed with atomic no. Moseley predicted the existence of elements with atomic no. 43, 61, 72 & 75. Thus, X-ray spectrum analysis new elements can be discovered. Absorption of X-Ray When the x-rays hit a sample, the oscillating electric field of the electromagnetic radiation interacts with the electrons bound in an atom. Either the radiation will be scattered by these A narrow parallel monochromatic x-ray beam of intensity I0 passing through a sample of thickness x will get a reduced intensity I according to the expression: ln (I0 /I) = μ x ------- (1) Where μ is the linear absorption coefficient, which depends on the types of atoms and the density ρ of the material. At certain energies where the absorption increases drastically and gives rise to an absorption edge. Each such edge occurs when the energy of the incident photons is just sufficient to cause excitation of a core electron of the absorbing atom to a continuum state, i.e. to produce a photoelectron. Thus, the energies of the absorbed radiation at these edges correspond to the binding energies of electrons in the K, L, M, etc.., shells of the absorbing elements. The absorption edges are labeled in the order of increasing energy, K, LI , LII , LIII , MI ,….,
  • 84.
    corresponding to theexcitation of an electron from the 1s( 2 S½ ), 2s( 2 S½ ), 2p( 2 P½ ), 2p( 2 P3/2 ), 3s( 2 S½ ), … orbitals (states), respectively. Compton effect Arthur H. Compton observed the scattering of x-rays from electrons in a carbon target and found scattered x-rays with a longer wavelength than those incidents upon the target. The shift of the wavelength increased with scattering angle according to the Compton formula: Compton explained and modeled the data by assuming a particle (photon) nature for light and applying conservation of energy and conservation of momentum to the collision between the photon and the electron. In figure, the electron is initially at rest with incident photon of wavelength and momentum p; scattered photon with longer wavelength f and momentum p and
  • 85.
    recoiling electron withmomentum P. The direction of the scattered photon makes an angle φ with that of the incident photon, and the angle between p and p is also φ. called Compton wavelength. Compton scattering cannot be understood on the basis classical electromagnetic theory. On the basis of classical principles, the scattering mechanism is induced by motion of electrons in the material, caused by the incident radiation. This motion must have the same frequency as that of incident wave because of forced vibration, and so the scattered wave radiated by the oscillating charges should have the same frequency. There is no way the frequency can shift by this mechanism. Applications of X-Rays X-rays are used in industrial, medical, pure science research and X-ray crystallography etc…  X-rays are used to detect defects in radio valves.  X-rays are used to detect cracks in structures.  X-rays are used to analyses the structures of alloys and other composite bodies by diffraction of X-rays.  They are also used to study are structure of materials like rubber, cellulose, plastic, fibres etc…  X-rays are used in analysis of crystal structure and structure of complex organic molecule.  They are also used in determining the atomic number and identification of various chemical elements.  X-rays are used to detect fractures and formation of stones in human body.  X-rays can destroy abnormal internal tissues.  They are also being used for tumor treatment and for this purpose hard X-rays are used.  X-rays are also used in X-ray crystallography for Laue method, Rotating crystal method, Powder method, etc…. nm mc h c 00243.0
  • 86.
    1-1 Architectural Acoustics ArchitecturalAcoustics Syllabus : Classification of sound : Loudness, Weber-Fechner law, Absorption coefficient, Reverberation, Sabine’s formula, Factors affecting acoustics of building and their remedies Introduction : Sound is always produced by some vibrating body. The vibrating body generates mechanical waves and these waves spreads in the surrounding medium. We are aware that these waves propagate in the form of a series of compressions and rarefactions in air or the surrounding medium. When reached upto the human ear drum it causes a sensation of hearing. As far as architectural acoustics are concerned, we are interested the combined effect of sound waves which creates a sense of sound on human ear. Some important characteristics (1) The propagation of sound requires the presence of an elastic medium. (2) Sound can not travel through vacuum (3) The compression and rarefactions due to a sound modulate the normal atmospheric pressure with small pressure changes occuring regularly above and below it. (4) The velocity of sound depends on the nature and temperature of the medium.
  • 87.
    1-2 Architectural Acoustics 1.1Classification of Sound : Based upon frequency of sound waves, it can be classified into its three main categories. (a) Audible waves : Sound waves with frequency in the range of 20Hz to 20KHz. (b) Infrasonic waves : Sound waves below audible range i.e. below 20Hz. (c) Ultrasonic waves : Sound waves above audible range i.e. 20KHz. 1.1.1 Characteristics of Musical Sound : Musical sounds & Noise sound:- Musical sound are distinguished from noises in that they are composed of regular, uniform vibrations, while noises are irregular and disordered vibrations. One musical tone is distinguished from another on the basis of pitch, intensity, or loudness and quality, or timbre. Noise sound that Produce Jarring effect on the ear is called Noise sound.Noice sound make unpleasent to hear .Example are sound produce by flying aeroplane,road traffic,cracker etc Pitch describes how high or low a tone is and depends upon the rapidity with which a sounding body vibrates, i.e. upon the frequency of vibration. The higher the frequency of vibration, the higher the tone; the pitch of a siren gets higher and higher as the frequency of vibration increases. The apparent change in the pitch of a sound as a source approaches or moves away from an observer is described by the Doppler effect. The intensity or loudness of a sound depends upon the extent to which the sounding body vibrates, i.e. the amplitude of vibration. A
  • 88.
    1-3 Architectural Acoustics soundis louder as the amplitude of vibration is greater, and the intensity decreases as the distance from the source increases. Loudness is measured in units called decibels. Timber is the Quality of the sound which Enable us to distinguish between two sound having the same loudness & pitch.The sound waves given off by different vibrating bodies differ in quality, or timbre. A note from a saxophone, for instance, differs from a note of the same pitch and intensity produced by a violin or a xylophone; similarly vibrating reeds, columns of air, and strings all differ. Quality is dependent on the number and relative intensity of overtones produced by the vibrating body (see harmonic), and these in turn depend upon the nature of the vibrating body. 1.2 Important Terms Used : In the study of sound waves we come across various terms like Pitch (This law does not hold good near the upper and lower limits of audiability), Timber which basically deals with the quality of the sound waves and source. At the same time for technical assessment, we make use of important parameters like intensity and loudness. 1.2.1 Weber Fechner Law : This law has it roots hidden in psychology and proved scientifically according to which : The loudness of sound sensed by ear is directly proportional to logarithm of its intensity. According to Weber-Fechner law : Suppose the loudness is S for intensity I and S0 for intensity I0, S = K log10 I S0 = K log10 I0 The intensity level L is the difference in loudness. L = S – S0
  • 89.
    1-4 Architectural Acoustics =K log10 I – K log10 I0 = K log10 I I0 take, K = 1 L = log10 I I0 …(1.1) Intensity and loudness are the two words which are similar but with slight difference. Table 1.1 Sr. No. Intensity Loudness 1. Defined as the quantity of energy propagating through a unit area per unit time, in the direction of propagation being perpendicular to the area (unit : watt/m 2 ). It is just an aural sensation and it a physiological phenomenon rather than a physical one. 2. It refers to the external or the objective measurement. It refers to an internal or subjective aspect. 3. It is a physical quantity. Merely a degree of sensation. Loudness ‘S’ increases with intensity ‘I’ as per the following relation* or S log I …(1.2) dS dI = K I …(1.3) Where K is proportionality constant Here ds dI is called the sensitiveness of the ear. In practice, it is the relative intensity that is important and not the absolute value. Hence the intensity of sound is often measured as the ratio to a standard intensity I0. The intensity level is I / I0.
  • 90.
    1-5 Architectural Acoustics Thestandard intensity taken is I0 = 10 –12 watts / m 2 . (It is an arbitrarily selected value. It is an intensity that can just be heard at frequency 1 kHz) 1.2.2 Bel : As discussed in art 1.2.1, whenever the intensity of sound increases by a factor of 10, the increase in the intensity is said to be 1 bel (A unit named after Alexander Graham Bell, the inventor of telephone) Therefore dynamic range of audibility of the human ear is 12 bels or 120 dB. When the intensity increases by a factor of 10 0.1 , the increase in intensity is 0.1 bel or 1dB. From Equation 1.1 L = log10 I I0 in decibel L = 10 log10 I I0 For the intensity level change = 1 dB 1 = 10 log10 I I0 I I0 = 1.26 …(1.4) If I = I0, L = 10 log 1 = 0 This represents the threshold of audibility. It means that intensity level alters by 1dB when intensity of sound changes by 26%
  • 91.
    1-6 Architectural Acoustics Table1.2 : Intensity levels of different sounds Sr. No. Sound Intensity level (in db) (1) Threshold of hearing 0 (2) Rustle of leaves 10 (3) Whisper 15 – 20 (4) Normal conversation 60 – 65 (5) Heavy traffic 70 – 80 (6) Thunder 100 – 110 (7) Painful sound 130 and above 1.2.3 Phon : The intensity levels given in the above Table 1.2 refer to the loudness in decibels with the assumption that the threshold of audibility is the same irrespective of the pitch (Pitch is a subjective sensation perceived when a tone of a given frequency is sounded. It enables us to classify a note as high or low and to distinguish a shrill sound from a flat sound of the same intensity on the same instrument.) of the sound. However, the sensitivity of the ear and the threshold audibility vary over wide ranges of frequency and intensity. Hence the intensity level will be different at different frequencies even for the same value of I0. For measuring the intensity level a different unit called phon is used. The measure of loudness in phons of any sound is equal to the intensity level in decibels of an equally loud pure tone of frequency 1000 Hz. Hence Phon scale and decibel scale agree for a frequency of 1000 Hz but the two values differ at other frequencies. Suppose the intensity level of a note of frequency 480 Hz is to be determined. A standard source of frequency 1000 Hz is sounded and the intensity of the standard source is adjusted so that it is equal to
  • 92.
    1-7 Architectural Acoustics theloudness of the given note of frequency 480 Hz. The intensity level of the standard source in decibels is numerically equal to the loudness of the given source in phons. Ex. 1.1 : Calculate the change in intensity level when the intensity of sound increases 100 times its original intensity. Soln. : Given : Initial intensity = I0 Final intensity = I I I0 = 100 Increase in intensity level = L L = 10 log10 I I0 (in dB) L = 10 log10 100 = 20 dB …Ans. Ex. 1.2 : Find the intensity level in phons if 3000 Hz with intensity level of 70 dB produces the same loudness as a standard source of frequency 1000 Hz at a intensity level 67 dB. Soln. : As the 3000 Hz source has the same loudness of standard source of 1000 Hz with 67 db, the intensity level of the note of frequency 3000 Hz is 67 phons. …Ans. 1.3 Architectural Acoustics : Lets try to understand what exactly acoustics of a hall means. Consider the following cases : (a) Imagine a hall, it is easy for any one to understand that sound produced at a point will reach the other point directly as well as after reflections from walls, roof etc. The intensity of the sound depends
  • 93.
    1-8 Architectural Acoustics onthe distance covered by sound on different paths. These sounds are generally out of phase and due to interference the distribution of intensity in the room is not uniform. (b) It is also important to consider a possibility that the different frequency sounds of a musical instrument may interfere differently at some point and quality of music may become unpleasent. (c) It is known that sound persists for some time due to multiple reflections, even when the original sound has ceased. During this time if any other syllable is received, superimposition of these two will affect audiability as both will remain indistinct. If this takes place during a speech, a confusion will be created. (d) Concentration of sound taking place at any part of the hall. The above mentioned points are very common but needs a special scientific attention. Prof. W.C. Sabine was the first person who took it seriously. 1.4 Reverberation Time : Reverberation means the prolonged reflection of sound from walls, floor or roof of a hall. In simple language it is nothing but persistence of sound even after the sources of the sound has stopped. Reverberation time : The time gap between the initial direct note and the reflected note upto a minimum audibility level is called reverberation time. More precisely, the interval of time taken by a sustained or continuous sound to fall to an intensity level equal to one millionth of its original value. (i.e. fall by 60 db in loudness) is called reverberation time. In a good auditorium it is necessary to keep the reverberation time as small as possible. The intensity of the sound as received by listener is shown graphically in Fig. 1.1.
  • 94.
    1-9 Architectural Acoustics Fig.1.1 When a source emits sound, the waves spread out and the listener is aware of the commencement of sound when the direct waves reach his ears. Subsequently the listener receives sound energy due to reflected waves also. If the note is continuously sounded, the intensity of sound at the listener’s ears gradually increases. After sometime, a balance is reached between the energy emitted per second by the source and energy lost or dissipated by walls or other materials. The resultant energy attains an average steady value and to the listener the intensity of sound appears to be steady and constant. This is represented by a portion BC of the curve ABCD. If at C, the source stops emitting sound, the intensity of sound falls exponentially as shown by the curve CD. Fig. 1.2 When intensity of sound falls below the minimum audibility level, the listener will not get the sound. When a series of notes are produced in an auditorium each note will give rise to its own intensity curve with respect to time. The curve for these notes are shown in Fig. 1.2.
  • 95.
    1-10 Architectural Acoustics Inorder to maintain distinctness in speech it is necessary that : (a) Each separate note should give sufficient intensity of sound in every part of the auditorium. (b) Each note should die down rapidly before the maximum average intensity due to the next note is heared by the listener. 1.5 Absorption : When a sound wave strikes a surface there are three possibilities. (a) Part of energy is absorbed (b) Part of it is transmitted (c) Remaining energy is reflected The effectiveness of surface in absorbing sound energy is expressed by absorption coefficient denoted by a. a = Sound energy absorbed by the surface Total sound energy incident on the surface …(1.5) For the comparison of relative efficiencies of different absorbing material, it is necessary to select a standard or reference. Sabine selected a unit area of open window, as standard. For any open window the sound falling on it completely passes out no reflection, and more importantly no absorption. Hence open window is an ideal absorber of the sound. The absorption coefficient is measured in open window unit. (OWU) or Sabine : The absorption coefficient of a material is defined as the reciprocal of its area which absorbs the same sound energy as absorbed by unit area of open window. Effective absorbing area A of the surface having total area S and absorption coefficient ‘a’ is given by A = a S …(1.6)
  • 96.
    1-11 Architectural Acoustics Ifthe a1, a2, a3, …. , an are the absorption coefficients for each reflecting surface and S1, S2, S3, …. Sn are the corresponding areas, then the average value of absorption co-efficient is a + 89 = a1 S1 + a2 S2 + a3 S3 + …… + an Sn S1 + S2 + S3 + …. + Sn = n i = 1 ai Si S …(1.7) Where S is total surface area. 1.6 Sabine’s Formula : Prof. W.C. Sabine observed the concept of reverberation time for varieties of conditions like empty room, furnished room, small room, auditorium etc. He concluded the following, (a) Reverberation time depends upon reflectivity of sound form various surfaces available in side the hall. If the reflection is good, reverberation time of the hall will be longer as sound take more time to die out. (b) Reverberation time depends upon volume of the hall. i.e. T V (c) Reverberation time depends upon coefficient of absorption of various surfaces present in the hall. For shorter reverberation, absorption should be more. (d) As absorption coefficient is found to be increased with increase in frequency, reverberation time decreases with frequency. Reverberation time T V A where, V = Volume of hall A = Absorption
  • 97.
    1-12 Architectural Acoustics orT = K V A where, K = Proportionality constant It has been further observed that is all the parameters are taken in SI then, proportionality constant is found to be 0.161. T = 0.161 V A …(1.8) Equation (1.8) is Sabine’s formula. Absorption A given in Equation (1.8) represents overall absorption which is given as A = n i = 1 a S = a1 S1 + a2 S2 + …… + an Sn Ex. 1.3 : For an empty assembly hall of size 20 15 10 cubic meter with absorption coefficient 0.106 . Calculate reverberation time. Soln. : Given : (i) Size of the room = 20 15 10 = 3000 cubic meter (ii) a = 0.106 Formula T = 0.161 V A = 0.161 V aS Here S = Total surface area of the hall is given by 2 (20 15 + 15 10 + 20 10) = 1300 sqm Reverberation time T = 0.161 3000 0.106 1300
  • 98.
    1-13 Architectural Acoustics Reverberationtime = 3.5 sec ...Ans. 1.7 Determination of Absorption Coefficient :*(only for reference) Step 1 : Using a source of sound inside the hall, reverberation time is measured with the help of chronograph without inserting any test material (whose co-efficient of absorption is to be calculated). Let the reverberation time be T1, T1 = 0.161 V A = 0.161 V aS 1 T1 = aS 0.161 V …(1.9) Step 2 : Now consider a material like curtain or stage screen whose co-efficient of absorption is to be found out suspended inside the room and reverberation time T2 is obtained. Since the material is suspended in hall, surface area from both the side are to be considered. 1 T2 = 0.161 V aS + 2a2 S2 where a2 = Co-efficient of absorption of the material under investigation S2 = Surface of the material (since both the sides are used, it is multiplied by 2) 1 T2 = aS + 2a2 S2 0.161 V …(1.10) From Equation (1.9) and (1.10) 1 T2 – 1 T1 = 1 0.161 2a2 S2 V 2a2 S2 = 0.161 V 1 T2 – 1 T1
  • 99.
    1-14 Architectural Acoustics a2= 0.161 V 2 S2 1 T2 – 1 T1 …(1.11) All the quantities on RHS are known, co-efficient of absorption of an absorbing material which is suspended in hall with both the surfaces open can be calculated. Table 1.3 : Absorption coefficients of some materials Material Absorption coefficient per m 2 at 500 Hz Open window 1.0 Stage curtain 0.2 Common plaster 0.3 Carpet 0.4 Heavy curtain 0.5 Perforated cellulose fiber tiles 0.85 1.8 Conditions for Good Acoustic : As already introduced in art 1.3, a lecture hall or auditorium should satisfy the following conditions in order to be acoustically good. (a) The initial sound from the source should be of adequate intensity. (b) The sound should spread evenly with proper loudness every where is the hall (c) The sound of speech or music should be clear and words of or musical notes must be distinctly audible to all. (d) All undesired or extraneous noise must be reduced to the extent that it will not interfere with normal hearing of speech or hearing. (e) Any distortion due to shape and size must be absent. 1.9 Methods of Design for Good Acoustics : In order to make acoustically correct hall following points may be considered. These are merely the guidelines, depending upon specific requirement a justified step be taken.
  • 100.
    1-15 Architectural Acoustics (a)Selection of proper site : Avoid noisy places like railway tack, roads with heavy traffic, airports, industrial vicinity for auditorium. (b) Volume : Size of the hall/ auditorium should be such that it remains optimum. Small halls leads to irregular distribution of sound because of formation of standing waves. Too big halls may also create a weaker intensity and larger reverberation time which is a very serious issue. (c) Shape : It is one of the most important parameter to be considered for acoustically correct hall. As the reflections are created by roof and side walls, they should be designed in such a way that echos are not allowed to generate. In place of parallel walls, splayed side walls are preferred. Curved surface on walls, ceilings or floor produce concentration of sound into particular region and absence of sound in other regions. Hence curved surface must be designed with proper care. (d) Use of absorbents : Once the construction of hall is completed certain errors are found or the hall requires further correction as far as acoustics are concerned. For this use of absorbents is very common. As the reflections from rear wall are of no use. It must be covered with absorbents, so as the ceiling.
  • 101.
    1-16 Architectural Acoustics Falseceiling provided in large halls solves this problem effectively. The floor needs to be covered with carpet so as unwanted reflections and the noise created by audience is suppressed.
  • 102.
    1-17 Architectural Acoustics (e)Reverberation : Reverberation time must be maintained in such a that it does not remain too short or too large i.e. nearly 0.5 seconds for lecture hall, around 1.2 for concerts hall and around 2 for cinema halls. Proper use of absorbing materials, sufficient people as audience, presence of open windows presence of furniture etc are the major components which can decide the reverberation time. Calculated use of such components will be helpful to either increase or decrease the reverberation time. (f) Echelon effect : Fig. 1.3 : Echelon effect A set of railings or staircase or any regular spacing of reflected surfaces may produce a musical note due to regular succession of echoes of the original sound to listener. This makes original sound to appear confused. Either one should avoid use of such surfaces or keep them covered with thick carpet. 1.10 Solved Problems : Ex. 1.4 : Calculate the change in intensity level when intensity level increases by 10 6 times its original intensity. Soln. :
  • 103.
    1-18 Architectural Acoustics Given: Initial intensity = I0 Final intensity = I I I0 = 10 6 Increase in intensity level in dB L = 10 log10 I I0 = 10 log10 (10 6 ) L = 60 dB …Ans. Ex. 1.5 : A room has dimensions 6 4 5 meters calculate : (a) the mean free path of the sound waves in the room (b) the number of reflections made per second by the sound wave with the walls of the room Given : Velocity of sound in air = 350 m/sec Soln. : (a) The mean free path of sound waves is defined as the average distance travelled by sound wave through air between any two consecutive encounters with the walls of the room. Jaeger had calculated as l = 4V S = 4 (Volume of the room) Total surface area Here V = 6 4 5 = 120 m 3 S = 2 [6 4 + 4 5 + 5 6] = 148 m 2 l = 4 120 148 = 3.243 m …Ans. Number of reflections made per second n = Velocity of sound Mean free path
  • 104.
    1-19 Architectural Acoustics n= 350 3.243 = 107.9 …Ans. Ex. 1.6 : The sound from a drill gives a noise level 90 dB at a point short distance from it. What is the noise level at this point if four such drills are working simultaneously at the same distance from the point ? Soln. : Acoustic intensity level is given by L = 10 log10 I I0 dB …(1) Reference to I0 in watts / m 2 Let I1 be the intensity level due to one drill and I2 be the intensity level due to four such drills. I2 I1 = 4 …(2) Consider one drill on L1 = 10 log I1 I0 dB …(3) In second case with four drills on L2 = 10 log I2 I0 dB …(4) Increase in noise level (in dB) L2 – L1 = 10 log I2 I0 – log I1 I0 = 10 log I2 I1 but I2 I1 = 4 L2 – L1 = 10 log 4 = 6.021 dB Final intensity level
  • 105.
    1-20 Architectural Acoustics =L1 + 6.021 = 90 + 6.021 Final intensity level = 96.021 dB …Ans. Ex. 1.7 : Calculate the increase in the acoustic intensity level in dB. When the sound is doubled. Soln. : Intensity level in dB is L = 10 log I I0 Let the intensity level in case 1 be I1 and the in case 2 be I2 For case – 1 L1 = 10 log I1 I0 dB For case – 2 L2 = 10 log I2 I0 dB Change in intensity level in dB L2 – L1 = 10 log I2 I0 – log I1 I0 = 10 log I2 I1 but I2 I1 = 2 (given) L2 – L1 = 10 log 2 = 10 (0.3010) L2 – L1 = 3.01 dB …Ans. Ex. 1.8 : An air conditioner unit operates at a sound intensity level of 70 dB. If it is operated in room with an existing sound intensity level of 80 dB, what will be the resultant intensity level.(4 Marks)
  • 106.
    1-21 Architectural Acoustics Soln.: Here for case – 1 Intensity level is 70 dB 70 = 10 log L1 = 10 log I1 I0 I1 I0 = Antilog 7.0 or I1 = 10 7 I0 watts/m 2 …(1) Similarly for Case – 2, intensity level is 80 dB. 80 = 10 log L2 = 10 log I2 I0 I2 I0 = Antilog 8.0 I2 = 1 10 8 I0 watts/m 2 …(2) Resultant intensity I = I1 + I2 = 10 7 I0 + 10 8 I0 = I0 (1.1 10 8 ) Resultant intensity level in dB L = 10 log I I0 = 10 log 1.1 10 8 I0 I0 = 10 log (1.1 10 8 ) = 80.41 dB Resultant intensity level (in dB) is 80.41 …Ans. Ex. 1.9 : The noise form an aeroplane engine 100 m from an observer is 40 dB in intensity. What will be the intensity when the aeroplane flies overhead at an altitude of 2 km ?
  • 107.
    1-22 Architectural Acoustics Soln.: Intensity of sound is given by formula I = P 4 R 2 Where P = Acoustic pressure level R = Radial distance Here, for case – 1 I1 = P 4 R 2 1 And for case – 2 I2 = P 4 R 2 2 I2 I1 = R 2 1 R 2 2 Now R1 = 100 m, R2 = 2000 m (given) I2 I1 = 100 2 2000 2 = 1 400 or I1 I2 = 400 …(1) For the case – 1, intensity level in dB is given by L1 = 10 log I1 I0 …(2) and for case – 2 L2 = 10 log I1 I0 …(3) as intensity level is suppose to decrease, we will take L1 – L2 L1 – L2 = 10 log I1 I0 – log I2 I0
  • 108.
    1-23 Architectural Acoustics =10 log I1 I2 = 10 log 400 = 26.021 dB as L1 = 40 dB given L2 = L1 – (L1 – L2) L2 = 40 – 26.021 = 13.97 dB …Ans. Ex. 1.10 : A hall of volume 5500 m 3 is found to have a reverberation time of 2.3 sec. The sound absorbing surface of the hall has an area of 750 m 2 . Calculate the average absorption coefficient. Soln. : Given : V = 5500 m 3 T = 2.3 sec S = 750 m 2 Let absorption coefficient be a Using Sabine’s formula T = 00.161 V aS a = 0.161 V ST = 0.161 5500 750 2.3 a = 0.513 …Ans. Ex. 1.11 : For an empty hall of size 20 12 12 cubic meter, the reverberation time is 2.5 sec. Calculate the average absorption co-efficient of the hall. What area of the floor should be covered by carpet so as to reduce the reverberation time to 2.0 sec. Given that absorption co-efficient of carpet is 0.5. Soln. :
  • 109.
    1-24 Architectural Acoustics (a)Reverberation time T1 = 0.161 V aS …(1) aS = 0.161 V T1 = 0.161 (20 12 12) 2.5 = 185.47 Now total surface area of the hall, S = 2 (20 12 + 12 12 + 20 12) = 1248 m 2 a = 185.47 1248 = 0.1486 …Ans. (b) By using the carpet of surface area S1 whose absorption coefficient is 0.5, the reverberation time is reduced to 2.0 sec. Let T2 = 2.0 sec Carpet surface = S1 Co-efficient of absorption of carpet ac = 0.5 Writing Sabine’s formula T2 = 0.161 V aS + aC S1– aS1 …(2) (Here Total surface area = S, now if carpet is used of area S1, the area covered by the material with co-efficient of absorption a is a (S – S1) = aS – aS1) From Equation (1) 1 T1 = aS 0.161 V …(3)
  • 110.
    1-25 Architectural Acoustics FromEquation (2) 1 T1 = aS + aC S1– aS1 0.161 V …(4) 1 T2 – 1 T1 = 1 0.161 V [aC S1 – aS1] = S1 (aC – a) 0.161 V S1 = 0.161 V aC – a 1 T2 – 1 T1 Substituting various value S1 = 0.161 (20 12 12) 0.5 – 0.1486 1 2 – 1 2.5 = 131.95 m 2 Carpet area required to reduce reverberation time up to 2.0 sec is 131.95 m 2 …Ans. Ex. 1.12 : Calculate the reverberation time for the seminar hall with (a) No one inside. (b) 50 persons inside (c) Full capacity of audience. Given that Sr. No. Surface Area Absorption co-efficient 1. Carpet covering entire floor (10 12) sqm 0.06 2. False ceiling (10 12) sqm 0.03 3. Cushioned seats 100 Nos 1.00 4. Walls covered with absorbent 346 sqm 0.2
  • 111.
    1-26 Architectural Acoustics Sr. No. SurfaceArea Absorption co-efficient 5. Audience occupying seats – 0.46 / person 6. Wooden door (3 2) sqm 0.2 Soln. : Let us calculate total absorption in the hall in case – 1 i.e. for empty hall (1) Absorption due to carpet 120 0.06 = 7.2 (2) Absorption due to false ceiling 120 0.03 = 3.6 (3) Absorption due to seats 100 1 = 100 (4) Walls covered with absorbent 346 0.2 = 69.2 (5) Wooden door 6 0.2 = 1.2 aS = 181.2 …(1) Now Area of floor = Area of ceiling = (l b) = 120 sq.m Area of wall + Area of door = 346 + 6 = 352 = 2 [(b h) + (l h)] as l b = 120 m 2 let us take l = 12 m, b = 10 m 352 = 2 [(10 h) + (12 h)] h = 8 m …(2) hence volume V = 12 10 8 = 960 m 3 …(3) Case 1 : For empty hall Reverberation time T1 = 0.161 V aS = 0.161 960 181.2
  • 112.
    1-27 Architectural Acoustics T1= 0.85 sec …Ans. Case 2 : With occupancy of 50 persons. Absorption = aS + 50 (0.46) Reverberation time T2 = 0.161 V aS + 50 (0.46) = 0.161 960 181.2 + 23 T2 = 0.757 sec …Ans. Case 3 : With full occupancy. i.e. 100 persons here, the absorption is = aS + 100 (0.46) Reverberation time T3 = 0.161 V aS + 100 (0.46) T3 = 0.68 sec …Ans. 1.11 Solved Examples : Ex. 1.11.1 :The volume of room is 600 m 3 . The wall area of the room is 220 m 2 , the floo absorption coefficient and the reverberation time. Soln. : Given : Let S1 = 220 m 2 a1 = 0.03 S2 = 120 m 2 a2 = 0.8 S3 = 120 m 2 a3 = 0.06 The average sound absorption coefficient is a = a1 S1 + a2 S2 + a3 S3 S1 + S2 +S3
  • 113.
    1-28 Architectural Acoustics = 2200.03 + 120 0.8 + 0.06 120 220 + 120 + 120 = 0.238 a = 0.24 …Ans. Total sound absorption of the room = aS = 0.24 460 = 110.4 Sabine Reverberation time, using Sabine’s formula T = 0.161 V aS = 0.161 600 110.4 T = 0.875 sec. …Ans. Ex. 1.11.2 :What is the resultant sound level when a 70 dB sound is added to a 80 dB sound ? Soln. : Increase in intensity level = L = 70 dB Say, resultant intensity increased by x times the original intensity Hence, L = 10 log10 x Io Io dB 70 = 10 log10 (x ) 7 = log10 x or x = 10 7 So, Resultant sound level is increased 10 7 times the original intensity.
  • 114.
    1-29 Architectural Acoustics example: Q. 1 A class room has dimensions 20 15 5 m 3 . The reverberation time is 3.5 sec. Calculate the total absorption of its surface and average absorption co-efficient. Ans. :(0.07) Q. 2 The reverberation time is found to be 1.5 sec for an empty hall and itis found to be 1 sec when a curtain of 20 m 2 is suspended at the center of the hall. If the dimensions of the hall are 10 8 6 m 3 , calculate co- efficient of absorption of curtain. Ans. :(0.64) Q. 3 For an empty assembly hall of size 20 15 10 m 3 , the reverberation time is 3.5 sec. Calculate the average absorption co- efficient of the hall. What area of the wall should be covered by the curtain so as to reduce the reverberation time to 2.5 sec. Given the absorption co-efficient of the curtain cloth is 0.5. Ans. :(0.106, 140.12 m 2 )
  • 115.
    ULTRASONIC WAVE Introduction : Theterm ultrasonics applies to sound waves that vibrate at a frequency higher than the frequency that can be heard by the human ear (or higher than about 20,000 hertz). Sound is transmitted from one place to another by means of waves. The character of any wave can be described by identifying two related properties: its wavelength (lambda, λ) or its frequency (f). The unit used to measure the frequency of any wave is hertz. One hertz is defined as the passage of a single wave per second. Ultrasonics, then, deals with sound waves that pass a given point at least 20,000 times per second. Since ultrasonic waves vibrate very rapidly, additional units also are used to indicate their frequency. The kilohertz (kHz), for example, can be used to measure sound waves vibrating at the rate of 1,000 times per second, and the unit megahertz (MHz) stands for a million vibrations per second. Some ultrasonic devices have been constructed that produce waves with frequencies of more than a billion hertz. PROPERTIES OF ULTRASONIC WAVES (1) They have a high energy content. (2) Just like ordinary sound waves, ultrasonic waves get reflected, refracted and absorbed. (3) They can be transmitted over large distances with no appreciable loss of energy. (4) If an arrangement is made to form stationary waves of ultrasonics in a liquid, it serves as a diffraction grating. It is called an acoustic grating. (5) They produce intense heating effect when passed through a substance.
  • 116.
    Ultrasonic Production : Thereare three methods for producing Ultrasonic waves. They are: (i) Mechanical generator or Galton’s whistle. (ii) Magnetostriction generator. (iii) Piezo-electric generator. Magnetostriction method: Principle: “When a magnetic field is applied parallel to the length of a ferromagnetic rod made of material such as iron or nickel, a small elongation or contraction occurs in its length. This is known as magnetostriction. The change in length depends on the intensity of the applied magnetic field and nature of the ferromagnetic material. The change in length is independent of the direction of the field. “ The change in length (increase or decrease) produced in the rod depends upon the strength of the magnetic field, the nature of the materials and is independent of the direction of the magnetic field applied. Construction:- The experimental arrangement is shown in Figure
  • 117.
     XY isa rod of ferromagnetic materials like iron or nickel. The rod is clamped in the middle.  The alternating magnetic field is generated by electronic oscillator.  The coil L1 wound on the right hand portion of the rod along with a variable capacitor C.  This forms the resonant circuit of the collector tuned oscillator. The frequency of oscillator is controlled by the variable capacitor.  The coil L2 wound on the left hand portion of the rod is connected to the base circuit. The coil L2 acts as feed –back loop. Working:-  When High Tension (H.T) battery is switched on, the collector circuit oscillates with a frequency, f =  This alternating current flowing through the coil L1 produces an alternating magnetic field along the length of the rod. The result is that the rod starts vibrating due to magnetostrictive effect. The frequency of vibration of the rod is given by n = where l = length of the rod Y = Young’s modulus of the rod material and =density of rod material • The capacitor C is adjusted so that the frequency of the oscillatory circuit is equal to natural frequency of the rod and thus resonance takes plate.
  • 118.
    • Now therod vibrates longitudinally with maximum amplitude and generates ultrasonic waves of high frequency from its ends. Condition for resonance: Frequency of the oscillatory circuit = Frequency of the vibrating rod Merits: 1. Magnetostrictive materials are easily available and inexpensive. 2. Oscillatory circuit is simple to construct. 3. Large output power can be generated. Limitations 1. It can produce frequencies upto 3 MHz only. 2. It is not possible to get a constant single frequency, because rod depends on temperature and the degree of magnetization. 3. As the frequency is inversely proportional to the length of the vibrating rod, to increase the frequency, the length of the rod should be decreased which is practically impossible. piezo electric ossilator Introduction Can all the crystals exhibit piezoelectric effect? What is special about the piezoelectric crystal? Is the piezoelectric effect direction dependent? Learning Objectives On completion of this chapter you will be able to: 1. define piezoelectric effect 2. define inverse piezoelectric effect 3. know what type of crystals will exhibit piezoelectric effect 4. Understand the working of piezoelectric generator Piezoelectric effect: When crystals like quartz or tourmaline are stressed along any pair of opposite
  • 119.
    faces, electric chargesof opposite polarity are induced in the opposite faces perpendicular to the stress. This is known as Piezoelectric effect. Inverse piezoelectric effect: When an alternating e.m.f is applied to the opposite faces of a quartz or tourmaline crystal it undergoes contraction and expansion alternatively in the perpendicular direction. This is known as inverse piezoelectric effect. This is made use of in the piezoelectric generator.
  • 120.
    Piezoelectric generator: CIRCUIT:- CONSTRUCTION:-  Thequartz crystal is placed between two metal plates A and B.  The plates are connected to the primary (L3) of a transformer which is inductively coupled to the electronics oscillator.  The electronic oscillator circuit is a base tuned oscillator circuit.  The coils L1 and L2 of oscillator circuit are taken from the secondary of a transformer T.  The collector coil L2 is inductively coupled to base coil L1.  The coil L1 and variable capacitor C1 form the tank circuit of the oscillator. Working:-  When H.T. battery is switched on, the oscillator produces high frequency alternating voltages with a frequency.  Due to the transformer action, an oscillatory e.m.f. is induced in the coil L3. This high frequency alternating voltages are fed on the plates A and B.  Inverse piezo-electric effect takes place and the crystal contracts and expands alternatively.The crystal is set into mechanical vibrations.
  • 121.
     The frequencyof the vibration is given by n = where P = 1,2,3,4 … etc. for fundamental, first over tone, second over tone etc., Y = Young’s modulus of the crystal and ρ = density of the crystal.  The variable condenser C1 is adjusted such that the frequency of the applied AC voltage is equal to the natural frequency of the quartz crystal, and thus resonance takes place.  The vibrating crystal produces longitudinal ultrasonic waves of large amplitude. Advantages  Ultrasonic frequencies as high as 5 x 108Hz or 500 MHz can be obtained with this arrangement.  The output of this oscillator is very high.  It is not affected by temperature and humidity. Disadvantages  The cost of piezo electric quartz is very high  The cutting and shaping of quartz crystal are very complex. DETECTION OF ULTRASONIC WAVES Ultrasonic waves propagated through a medium can be detected in a number of ways. Some of the methods employed are as follows: (1) Kundt’s tube method: Ultrasonic waves can be detected with the help of Kundt’s tube. At the nodes, lycopodium powder collects in the form of heaps. The average distance between two adjacent heaps is equal to half the wavelength. This method cannot be used if the wavelength of ultrasonic waves is very small i.e., less than few mm. In the caseof a liquid medium, instead of lycopodium powder, powdered coke is used to detect the position of nodes. (2) Sensitive flame method: A narrow sensitive flame is moved along the medium. At the positions of antinodes, the flame is steady. At thepositions of nodes, the flame flickers because there is a change in pressure. In this way, positions of nodes and antinodes 2 P Y l
  • 122.
    can be foundout in the medium. The average distance between the two adjacent nodes is equal to half the wavelength. If the value of the frequency of ultrasonic wave is known, the velocity of ultrasonic wave propagated through the medium can be calculated. (3) Thermal detectors: This is the most commonly used method of detection of ultrasonic waves. In this method, a fine platinum wire is used. This wire is moved through the medium. At the position of nodes, due to alternate compressions ad rarefactions, adiabatic changes in temperature takes place. The resistance of the platinum wire changes with respect to time. This can be detected with the help of Callendar and Garrifith’s bridge arrangement. At the position of the antinodes, the temperature remains constant. This will be indicated by the undisturbed balanced position of the bridge. (4) Quartz crystal method: This method is based on the principle of Piezo-electric effect. When one pair of the opposite faces of a quartz crystal is exposed to the ultrasonic waves, the other pairs of opposite faces developed opposite charges. These charges are amplified and detected using an electronic circuit. ACOUSTING GRATING Principle: “When ultrasonic waves are passed through a liquid, the density of the liquid varies layer by layer due to the variation in pressure and hence the liquid will act as a diffraction grating, so called acoustic grating. Under this condition, when a monochromatic source of light is passed through the acoustical grating, the light gets diffracted. Then, by using the condition for diffraction, the velocity of ultrasonic waves can be determined.” This method is based on the fact that ultrasonic waves which consist of alternate compressions and rarefactions changes the density of the medium through which they pass. This leads to a periodic variation of refractive index of the liquid, such a liquid column is subjected to ultrasonic waves constitutes an acoustical grating. If monochromatic light is passed through the waves the liquid causes the diffraction of light.
  • 123.
    Figure shows theexperimental arrangement, standing ultrasonic waves are produced in a liquid contained in a glass tube. The density and so the refractive index of the liquid is maximum at the nodal point and minimum at antinodal points. Hence the nodal area acts as opaque region, while antinodal area acts as transparent region for light. The liquid column thus resembles the rules grating. The grating period d equal to /λ/2 and is given by d sine θ=mλ λ= wavelength of monochromatic light beam m = order of minima. An acoustic diffraction grating produced by a liquid column subjected to ultrasonic waves. Experimental set up of acoustic grating Applications of Ultrasonic Waves in Engineering (1)Detection of flaws in metals(Non Destructive Testing –NDT) Principle
  • 124.
     Ultrasonic wavesare used to detect the presence of flaws or defects in the form of cracks, blowholes porosity etc., in the internal structure of a material  By sending out ultrasonic beam and by measuring the time interval of the reflected beam, flaws in the metal block can be determined. Experimental setup It consists of an ultrasonic frequency generator and a cathode ray oscilloscope (CRO),transmitting transducer(A), receiving transducer(B) and an amplifier. Working  In flaws, there is a change of medium and this produces reflection of ultrasonic at the cavities or cracks.  The reflected beam (echoes) is recorded by using cathode ray oscilloscope.  The time interval between initial and flaw echoes depends on the range of flaw.  By examining echoes on CRO, flaws can be detected and their sizes can be estimated. (2) Ultrasonic Drilling  Ultrasonics are used for making holes in very hard materials like glass, diamond etc.  For this purpose, a suitable drilling tool bit is fixed at the end of a powerful ultrasonic generator.
  • 125.
     Some slurry(a thin paste of carborundum powder and water) is made to flow between the bit and the plate in which the hole is to be made  Ultrasonic generator causes the tool bit to move up and down very quickly and the slurry particles below the bit just remove some material from the plate.  This process continues and a hole is drilled in the plate. (3) Ultrasonic welding  The properties of some metals change on heating and therefore, such metals cannot be welded by electric or gas welding.  In such cases,the metallic sheets are welded together at room temperature by using ultrasonic waves. (4) Ultrasonic soldering  Metals like aluminium cannot be directly soldered.However, it is possible to solder such metals by ultrasonic waves.  An ultrasonic soldering iron consists of an ultrasonic generator having a tip fixed at its end which can be heated by an electrical heating element.  The tip of the soldering iron melts solder on the aluminium and the ultrasonic vibrator removes the aluminium oxide layer.
  • 126.
     The solderthus gets fastened to clear metal without any difficulty. (5) Ultrasonic cutting and machining Ultrasonic waves are used for cutting and machining. (6) Ultrasonic cleaning It is the most cheap technique employed for cleaning various parts of the machine, electronic assembles, armatures, watches etc., which cannot be easily cleaned by other methods. (7) SONAR  SONAR is a technique which stands for Sound Navigation and Ranging.  It uses ultrasonics for the detection and identification of under water objects.  The method consists of sending a powerful beam of ultrasonics in the suspected direction in water.  By noting the time interval between the emission and receipt of beam after reflection, the distance of the object can be easily calculated.  The change in frequency of the echo signal due to the Dopper effect helps to determine the velocity of the body and its direction.  Measuring the time interval (t) between the transmitted pulses and the received pulse,  the distance between the transmitter and the remote object is determined using the formula., where v is the velocity of sound in sea water.  The same principle is used to find the depth of the sea. Applications of SONAR  Sonar is used in the location of shipwrecks and submarines on the bottom of the sea.  It is used for fish-finding application .  It is used for seismic survey. Applications of Ultrasonics (1)Diagnostic sonography
  • 127.
     Medical sonography(ultrasonography) is an ultrasound-based diagnostic medical imaging technique used to visualize muscles, tendons, and many internal organs, their size, structure and any pathological lesions. Obstetric ultrasound is primarily used to: • Date the pregnancy • Check the location of the placenta • Check for the number of fetuses • Check for physical abnormities • Check the sex of the baby • Check for fetal movement, breathing, and heartbeat. (2)Ultrasound therapeutic applications More power ultrasound sources may be used to clean teeth in dental hygiene or generate local heating in biological tissue, e.g. in occupational therapy, physical therapy and cancer treatment. Extracorporeal shock wave lithotripsy uses a powerful focused ultrasound source to break up kidney stones. It can also used in Ultrasonic blood Flow mete (3) Ultrasound in research  Scientists often use in research, for instant to break up high molecular weight polymers, thus creating new plastic materials.  Indeed, ultrasound also makes it possible to determine the molecular weight of liquid polymers, and to conduct other forms of investigation on the physical properties of materials.  Ultrasonic can also speed up certain chemical reactions. Hence it has gained application in agriculture, that seeds subjected to ultrasound may germinate more rapidly and produce higher yields.
  • 128.
    C = 0.0254PF 2. Calculate the frequency to which a piezo electric oscillator circuit should be tuned so that a piezo electric crystal of thickness 0.1 cm vibrates in fundamental mode to generate ultrasonic waves. (Young’s Modulus and density of material of crystal are 80 Gpa and 2654 kg / m3) Solution: Given, Thickness of quartz crystal t=0.1cm.=0.1×10-2 Young modulus Y=80GPa=80×109 n/m2 Density of crystal =2654Kg/m3 Frequency F=1/2t√Y/ρ =1/2×0.1×10-2 √80×109 /2654 =509.28/2×10-3 =2.7451×106 Hz.  EXAMPLE:-1. Calculate the capacitance to produce ultrasonic waves of 106 Hz with anInductance of 1 Henry. f = 1/2∏√LC 106 = 1/2*3.14*√1*C C = 1/(2*3.14*106 )2 = 0.0254*10-12 F