Exercises
Geometric Design Nursyamsu Hidayat
Civil Eng. Diploma Program, Vocational School, GMU 1
(Oct 5, 2012)
Soal 1: Alinemen Horisontal Tikungan Tipe S-S
Suatu tikungan mempunyai data dasar sbb:
Kecepatan Rencana (VR) : 40 km/jam
Kemiringan melintang maksimum (emax) : 10 %
Kemiringan melintang normal (en) : 2 %
Lebar perkerasan : 2 x 3,5 m
Sudut tikungan (β) : 14º
Jari-jari tikungan (Rd) : 200 m
Rencanakan desain tikungan tersebut, meliputi:
• Penentuan tipe tikungan
• Data-data tikungan
• Pelebaran perkerasan pada tikungan
• Kebebasan samping pada tikungan
Jawab:
Agar kendaraan stabil saat melalui tikungan, perlu dibuat suatu kemiringan melintang jalan pada
tikungan yang disebut superelevasi (e). Pada saat kendaraan melalui daerah superelevasi, akan terjadi
gesekan arah melintang jalan antara ban kendaraan dengan permukaan aspal yang menimbulkan gaya
gesekan melintang. Perbandingan gaya gesekan melintang dengan gaya normal disebut koefisien
gesekan melintang (f).
Untuk menghindari terjadinya kecelakaan, maka untuk kecepatan tertentu dapat dihitung jari-jari
minimum untuk superelevasi maksimum dan koefisien gesekan maksimum.
fmax = -0.00065 * VR + 0.192 (untuk VR < 80 km/jam)
fmax = -0.00125 * VR + 0.240 (untuk VR 80 – 112 km/jam)
𝑅𝑅𝑚𝑚𝑚𝑚𝑚𝑚 =
𝑉𝑉𝑅𝑅
2
127(𝑒𝑒𝑚𝑚𝑚𝑚𝑚𝑚 + 𝑓𝑓𝑚𝑚𝑚𝑚𝑚𝑚 )
𝐷𝐷𝑚𝑚𝑚𝑚𝑚𝑚 =
181913.53 (𝑒𝑒𝑚𝑚𝑚𝑚𝑚𝑚 + 𝑓𝑓𝑚𝑚𝑚𝑚𝑚𝑚 )
𝑉𝑉𝑅𝑅
2
Menentukan fmax untuk emax = 10 %,
fmax = -0.00065 * VR + 0.192 = -0.00065 * 40 + 0.192 = 0.166
Menentukan nilai jari-jari minimum
𝑅𝑅𝑚𝑚𝑚𝑚𝑚𝑚 =
𝑉𝑉𝑅𝑅
2
127(𝑒𝑒𝑚𝑚𝑚𝑚𝑚𝑚 + 𝑓𝑓𝑚𝑚𝑚𝑚𝑚𝑚 )
=
402
127(0.1 + 0.166)
= 𝟒𝟒𝟒𝟒. 𝟑𝟑𝟑𝟑 𝒎𝒎
Exercises
Geometric Design Nursyamsu Hidayat
Civil Eng. Diploma Program, Vocational School, GMU 2
Menentukan nilai derajat lengkung maksimum
𝐷𝐷𝑚𝑚𝑚𝑚𝑚𝑚 =
181913.53 (𝑒𝑒𝑚𝑚𝑚𝑚𝑚𝑚 + 𝑓𝑓𝑚𝑚𝑚𝑚𝑚𝑚 )
𝑉𝑉𝑅𝑅
2 =
181913.53 (0.1 + 0.166)
402
= 𝟑𝟑𝟑𝟑. 𝟐𝟐𝟐𝟐°
Check untuk jenis tikungan Full Circle
Jari-jari rencana (Rd) = 50 m > Rmin (47.36 m)
Untuk kecepatan rencana (VR) 40 km/jam menurut TCPGJAK 1997 Tabel II.18, jari-jari minimum (Rmin)
untuk tikungan Full Circle = 250 m > jari-jari rencana (Rd), so jenis FC tidak bisa digunakan.
Check untuk jenis tikungan S-C-S
a) Menentukan superelevasi desain (jika tidak tersaji Tabel)
𝐷𝐷𝑑𝑑 =
1432.4
𝑅𝑅𝑑𝑑
=
1432.4
200
= 𝟕𝟕. 𝟏𝟏𝟏𝟏°
𝑒𝑒𝑑𝑑 =
−𝑒𝑒𝑚𝑚𝑚𝑚𝑚𝑚𝑚𝑚 ∗ 𝐷𝐷𝑑𝑑
2
𝐷𝐷𝑚𝑚𝑚𝑚𝑚𝑚𝑚𝑚
+
2 ∗ 𝑒𝑒𝑚𝑚𝑚𝑚𝑚𝑚𝑚𝑚 ∗ 𝐷𝐷𝑑𝑑
𝐷𝐷𝑚𝑚𝑚𝑚𝑚𝑚𝑚𝑚
=
−0.10 ∗ 7.162
30.242
+
2 ∗ 0.10 ∗ 7.16
30.24
= 0.417 = 𝟒𝟒. 𝟏𝟏𝟏𝟏%
b) Menentukan panjang Lengkung peralihan (Ls)
1. Berdasarkan waktu tempuh maximum (3 detik) untuk melintasi lengkung peralihan
𝐿𝐿𝑠𝑠 =
𝑉𝑉𝑅𝑅
3.6
∗ 𝑇𝑇 =
40
3.6
∗ 3 = 33.33 𝑚𝑚
2. Berdasarkan rumus modifikasi Shortt:
𝐿𝐿𝑠𝑠 = 0.022 ∗
𝑉𝑉𝑅𝑅
3
𝑅𝑅𝑑𝑑 𝑥𝑥 𝐶𝐶
− 2.727
𝑉𝑉𝑅𝑅 ∗ 𝑒𝑒𝑑𝑑
𝐶𝐶
= 0.022 ∗
403
200 𝑥𝑥 0.4
− 2.727
40∗0.0417
0.4
= 6.23 𝑚𝑚
3. Berdasarkan tingkat pencapaian perubahan kelandaian:
𝐿𝐿𝑠𝑠 =
(𝑒𝑒𝑚𝑚 − 𝑒𝑒𝑛𝑛)
3.6 ∗ 𝑟𝑟𝑒𝑒
∗ 𝑉𝑉𝑅𝑅
Dimana re = tingkat pencapaian perubahan kelandaian melintang jalan
Untuk Vr ≤ 60 km/jam, re max = 0,035 m/m/det.
𝐿𝐿𝑠𝑠 =
(0.1 − 0.02)
3.6 ∗ 0.035
∗ 40 = 25.40 𝑚𝑚
4. Berdasarkan rumus Bina Marga
𝐿𝐿𝑠𝑠 =
𝑤𝑤
2
∗ 𝑚𝑚 ∗ (𝑒𝑒𝑛𝑛 + 𝑒𝑒𝑑𝑑)
Exercises
Geometric Design Nursyamsu Hidayat
Civil Eng. Diploma Program, Vocational School, GMU 3
𝐿𝐿𝑠𝑠 =
3.5 𝑥𝑥 2
2
∗ 120 ∗ (0.02 + 0.0417) = 25.91 ≈ 50 𝑚𝑚
Digunakan Lengkung peralihan yang memenuhi dan efisien, Ls = 33.33 m ≈ 34 m
c) Menentukan sudut spiral (θs), sudut circle (βc), dan lengkung circle (Lc)
𝜃𝜃𝑠𝑠 =
𝐿𝐿𝑠𝑠 ∗ 360
4 ∗ 𝜋𝜋 ∗ 𝑅𝑅𝑑𝑑
=
34 ∗ 360
4 ∗ 3.14 ∗ 200
≈ 𝟓𝟓°
𝛽𝛽𝑐𝑐 = 𝛽𝛽 − (2 ∗ 𝜃𝜃𝑠𝑠) = 14 − (2 ∗ 5) ≈ 𝟒𝟒°
𝐿𝐿𝑐𝑐 =
𝛽𝛽𝑐𝑐 ∗ 𝜋𝜋 ∗ 𝑅𝑅𝑑𝑑
180
=
4 ∗ 3.14 ∗ 200
180
= 𝟏𝟏𝟏𝟏. 𝟗𝟗𝟗𝟗 𝒎𝒎
Syarat tikungan jenis S-C-S
βc > 0º -------- 4º > 0º……..….OK
Lc > 20 m ---- 13.96 < 20 ……tidak memenuhi syarat S-C-S, maka dicoba tikungan jenis S-S
d) Perhitungan besaran-besaran tikungan
θs = ½ * β = ½ * 14 = 7 º
𝐿𝐿𝑠𝑠 =
𝜃𝜃𝑠𝑠 ∗ 𝜋𝜋 ∗ 𝑅𝑅𝑑𝑑
90
=
7 ∗ 3.14 ∗ 200
90
= 𝟒𝟒𝟒𝟒. 𝟖𝟖𝟖𝟖 𝒎𝒎
𝑝𝑝 =
𝐿𝐿𝑠𝑠
2
6 ∗ 𝑅𝑅𝑑𝑑
− 𝑅𝑅𝑑𝑑(1 − cos 𝜃𝜃𝑠𝑠) =
48.842
6 ∗ 200
− 200(1 − cos 7) = 𝟎𝟎. 𝟓𝟓 𝒎𝒎
𝑘𝑘 = 𝐿𝐿𝑠𝑠 −
𝐿𝐿𝑠𝑠
3
40 ∗ 𝑅𝑅𝑑𝑑
2 − 𝑅𝑅𝑑𝑑 ∗ sin 𝜃𝜃𝑠𝑠 = 48.84 −
48.843
40 ∗ 2002
− 200 ∗ sin 7 = 𝟐𝟐𝟐𝟐. 𝟑𝟑𝟑𝟑 𝒎𝒎
𝑇𝑇𝑠𝑠 = (𝑅𝑅𝑑𝑑 + 𝑝𝑝) tan 1
2� 𝛽𝛽 + 𝑘𝑘 = (200 + 0.5) tan 1
2� 14 + 24.39 = 𝟒𝟒𝟒𝟒. 𝟎𝟎𝟎𝟎 𝒎𝒎
𝐸𝐸𝑠𝑠 =
(𝑅𝑅𝑑𝑑 + 𝑝𝑝)
cos 1
2� 𝛽𝛽
− 𝑅𝑅𝑑𝑑 =
(200 + 0.5)
cos 1
2� 14
− 200 = 𝟐𝟐. 𝟎𝟎𝟎𝟎 𝒎𝒎
Kontrol perhitungan tikungan S-S
Ts > Ls
49.01 > 48.84 ----- Tikungan S-S bisa digunakan
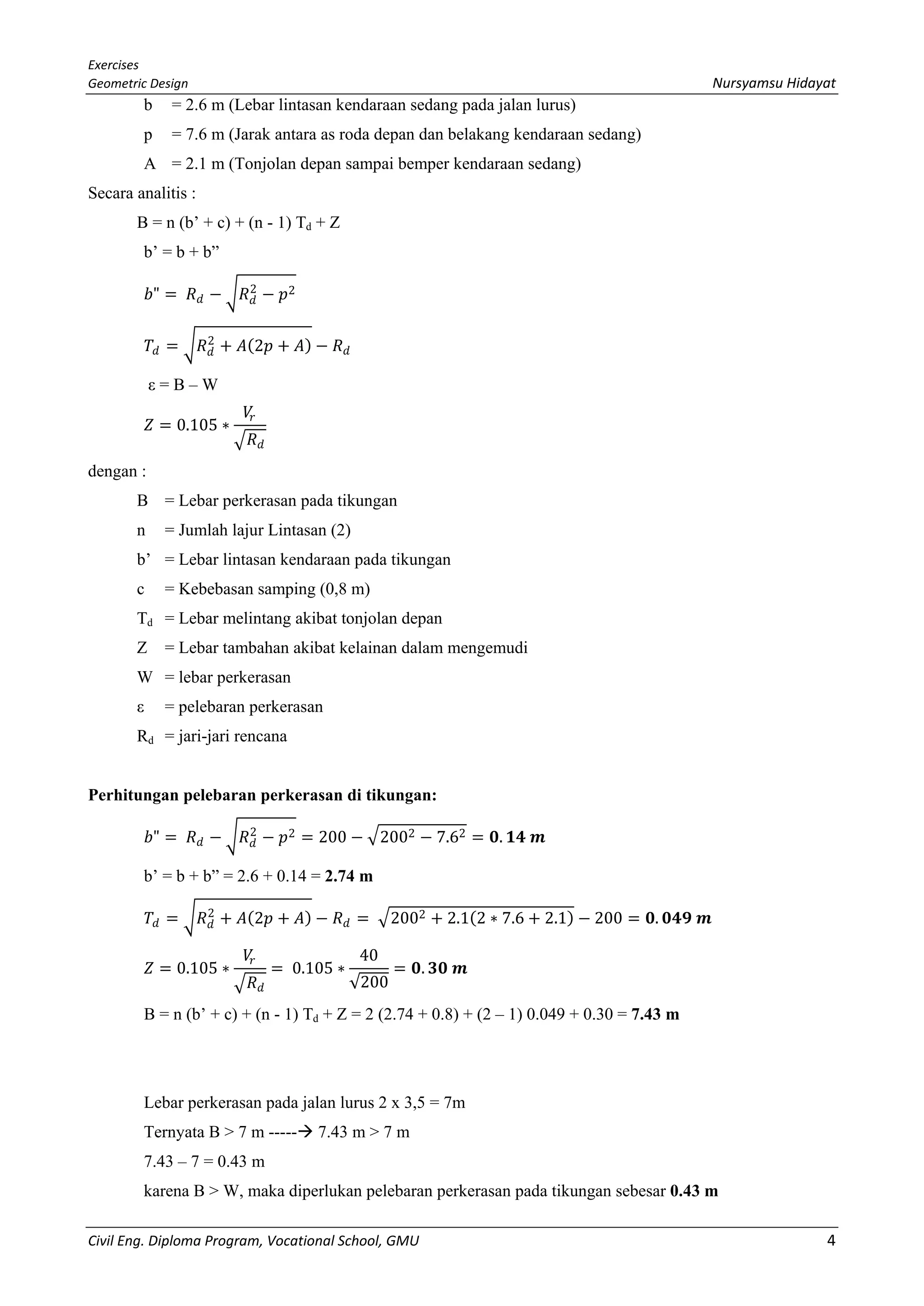
e) Penghitungan pelebaran perkerasan di tikungan:
Jalan kelas III (kolektor) muatan sumbu terberat 8 ton sehingga direncanakan kendaraan terberat yang
melintas adalah kendaraan sedang.
Sehingga:
Vr = 40 km/jam
Rd = 200 m
n = 2 ( Jumlah jalur lintasan )
c = 0.8 m (Kebebasan samping)
Exercises
Geometric Design Nursyamsu Hidayat
Civil Eng. Diploma Program, Vocational School, GMU 4
b = 2.6 m (Lebar lintasan kendaraan sedang pada jalan lurus)
p = 7.6 m (Jarak antara as roda depan dan belakang kendaraan sedang)
A = 2.1 m (Tonjolan depan sampai bemper kendaraan sedang)
Secara analitis :
B = n (b’ + c) + (n - 1) Td + Z
b’ = b + b”
𝑏𝑏" = 𝑅𝑅𝑑𝑑 − �𝑅𝑅𝑑𝑑
2
− 𝑝𝑝2
𝑇𝑇𝑑𝑑 = �𝑅𝑅𝑑𝑑
2
+ 𝐴𝐴(2𝑝𝑝 + 𝐴𝐴) − 𝑅𝑅𝑑𝑑
ε = B – W
𝑍𝑍 = 0.105 ∗
𝑉𝑉𝑟𝑟
� 𝑅𝑅𝑑𝑑
dengan :
B = Lebar perkerasan pada tikungan
n = Jumlah lajur Lintasan (2)
b’ = Lebar lintasan kendaraan pada tikungan
c = Kebebasan samping (0,8 m)
Td = Lebar melintang akibat tonjolan depan
Z = Lebar tambahan akibat kelainan dalam mengemudi
W = lebar perkerasan
ε = pelebaran perkerasan
Rd = jari-jari rencana
Perhitungan pelebaran perkerasan di tikungan:
𝑏𝑏" = 𝑅𝑅𝑑𝑑 − �𝑅𝑅𝑑𝑑
2
− 𝑝𝑝2 = 200 − �2002 − 7.62 = 𝟎𝟎. 𝟏𝟏𝟏𝟏 𝒎𝒎
b’ = b + b” = 2.6 + 0.14 = 2.74 m
𝑇𝑇𝑑𝑑 = �𝑅𝑅𝑑𝑑
2
+ 𝐴𝐴(2𝑝𝑝 + 𝐴𝐴) − 𝑅𝑅𝑑𝑑 = �2002 + 2.1(2 ∗ 7.6 + 2.1) − 200 = 𝟎𝟎. 𝟎𝟎𝟎𝟎𝟎𝟎 𝒎𝒎
𝑍𝑍 = 0.105 ∗
𝑉𝑉𝑟𝑟
� 𝑅𝑅𝑑𝑑
= 0.105 ∗
40
√200
= 𝟎𝟎. 𝟑𝟑𝟑𝟑 𝒎𝒎
B = n (b’ + c) + (n - 1) Td + Z = 2 (2.74 + 0.8) + (2 – 1) 0.049 + 0.30 = 7.43 m
Lebar perkerasan pada jalan lurus 2 x 3,5 = 7m
Ternyata B > 7 m ----- 7.43 m > 7 m
7.43 – 7 = 0.43 m
karena B > W, maka diperlukan pelebaran perkerasan pada tikungan sebesar 0.43 m
Exercises
Geometric Design Nursyamsu Hidayat
Civil Eng. Diploma Program, Vocational School, GMU 5
f) Penghitungan kebebasan samping di tikungan (E):
• Jarak pandang henti (Jh) = 40 m (Tabel TCPGJAK)
• Jarak pandang menyiap = 200 m (Tabel TCPGJAK)
• Lebar pengawasan minimal = 30 m
Perhitungan:
Jari-jari sumbu lajur (R’) = Rd – ½ W = 200 – ½ * 7 = 196.5 m
Ltotal = 2 * Ls = 2 * 48.84 = 97.68 m
• Jarak pandang henti berdasarkan TCPGJAK 1997
Jh = 0.694 Vr + 0.004 (Vr
2
/fp)
= 0.694 * 40 + 0.004 (402
/0.35) = 46.05 m
• Jarak pandang henti menurut Shirley L Hendarsin
Kelandaian (g) adalah 10%
fp = Koefisien gesek memanjang menurut Bina Marga, fp = 0.35–0.55
Jalan dengan kelandaian tertentu:
𝐽𝐽ℎ = 0.278 ∗ 𝑉𝑉𝑟𝑟 ∗ 𝑇𝑇 +
𝑉𝑉𝑟𝑟
2
254 ∗ (𝑓𝑓𝑝𝑝 ± 𝑔𝑔)
= 0.278 ∗ 40 ∗ 2.5 +
402
254 ∗ (0.35 ± 0.01)
= 𝟒𝟒𝟒𝟒. 𝟑𝟑𝟑𝟑 𝒎𝒎
Diambil Jh = 46.33 m
• Jarak pandang menyiap
Jd = d1 + d2 + d3 + d4
𝑑𝑑1 = 0.278 ∗ 𝑇𝑇1 ∗ �𝑉𝑉𝑟𝑟 – 𝑚𝑚 +
𝑎𝑎 ∗ 𝑇𝑇1
2
�
d2 = 0.278 * Vr * T2
d3 = antara 30 -100 m
d4 = 2/3 d2
dengan:
T1 = Waktu dalam (detik), = 2.12 + 0,026 x Vr
T2 = Waktu kendaraan berada dijalur lawan, (detik) = 6,56+0,048xVr
a = Percepatan rata-rata km/jm/dtk, (km/jm/dtk), = 2,052+0,0036xVr
m = perbedaan kecepatan dari kendaraan yang menyiap dan kendaraan yang disiap,
(biasanya diambil 10-15 km/jam)
Exercises
Geometric Design Nursyamsu Hidayat
Civil Eng. Diploma Program, Vocational School, GMU 6
𝑑𝑑1 = 0.278 ∗ 𝑇𝑇1 ∗ �𝑉𝑉𝑟𝑟 – 𝑚𝑚 +
𝑎𝑎 ∗ 𝑇𝑇1
2
�
𝑑𝑑1 = 0.278 ∗ (2.12 + 0.026 ∗ 40) ∗ �40– 10 +
(2.052 + 0.0036 ∗ 40) ∗ (2.12 + 0.026 ∗ 40)
2
�
= 29.40 m
d2 = 0.278 * Vr * T2 = 0.278 * 40 * (6.56 + 0.048 * 40) = 94.30 m
d3 = 30 m
d4 = 2/3 d2 = 62.87 m
Jd = d1 + d2 + d3 + d4 = 29.40 + 94.30 + 30 + 62.87 = 216.57 m
Kebebasan samping yang tersedia (mo) = ½ (lebar pengawasan minimal – w)
= ½ (30 – 7) = 11.5 m
Secara analitis
• Berdasarkan jarak pandang henti:
Jh = 46,33 m
Lt = 97.68 m -------- Jh < Lt
Daerah kebebasan samping (E) =
𝐸𝐸 = 𝑅𝑅′
∗ �1 − 𝑐𝑐𝑐𝑐𝑐𝑐
(28.65 ∗ 𝐽𝐽ℎ )
𝑅𝑅′
� = 196.5 ∗ �1 − 𝑐𝑐𝑐𝑐𝑐𝑐
(28.65 ∗ 46.33)
196.5
� = 𝟏𝟏. 𝟑𝟑𝟑𝟑 𝒎𝒎
• Berdasarkan jarak pandang menyiap :
Jd = 216,57 m
Lt = 97.68 m ------- Jd > Lt
𝐸𝐸 = 𝑅𝑅′
∗ �1 − 𝑐𝑐𝑐𝑐𝑐𝑐
(28.65 ∗ 𝐽𝐽𝑑𝑑)
𝑅𝑅′
� +
(𝐽𝐽𝑑𝑑 − 𝐿𝐿𝑡𝑡)
2
∗ 𝑠𝑠𝑠𝑠𝑠𝑠 �
28.65 ∗ 𝐽𝐽𝑑𝑑
𝑅𝑅′
�
𝐸𝐸 = 196.5 ∗ �1 − 𝑐𝑐𝑐𝑐𝑐𝑐
(28.65 ∗ 216.67)
196.5
� +
(216.67 − 97.68)
2
∗ 𝑠𝑠𝑠𝑠𝑠𝑠 �
28.65 ∗ 216.67
196.5
�
= 𝟓𝟓𝟓𝟓. 𝟕𝟕𝟕𝟕 𝒎𝒎
Jadi :
• Kebebasan samping henti = 1.36 m
• Kebebasan samping menyiap = 58.76 m
• Kebebasan samping tersedia = 11.5 m
• Kebebasan samping berdasarkan jarak pandang henti 1.36 m < 11.5 m --- aman
• Kebebasan samping berdasarkan jarak pandang menyiap 58.76 m > 11.5 m, sehingga sebelum
memasuki tikungan PI1 perlu dipasang rambu dilarang menyiap.
Exercises
Geometric Design Nursyamsu Hidayat
Civil Eng. Diploma Program, Vocational School, GMU 7
g) Hasil perhitungan:
Tikungan tipe SCS
β = 14º Өs = 5 º
Rd = 200 m p = 0.5 m
emax = 10 % k = 24.39 m
erencana = 4.17 % Ts = 49.01 m
en = 2 % Es = 2.01 m
Ls = 48.84 m

Exercises horizontal-alignment-ss (e desain)

  • 1.
    Exercises Geometric Design NursyamsuHidayat Civil Eng. Diploma Program, Vocational School, GMU 1 (Oct 5, 2012) Soal 1: Alinemen Horisontal Tikungan Tipe S-S Suatu tikungan mempunyai data dasar sbb: Kecepatan Rencana (VR) : 40 km/jam Kemiringan melintang maksimum (emax) : 10 % Kemiringan melintang normal (en) : 2 % Lebar perkerasan : 2 x 3,5 m Sudut tikungan (β) : 14º Jari-jari tikungan (Rd) : 200 m Rencanakan desain tikungan tersebut, meliputi: • Penentuan tipe tikungan • Data-data tikungan • Pelebaran perkerasan pada tikungan • Kebebasan samping pada tikungan Jawab: Agar kendaraan stabil saat melalui tikungan, perlu dibuat suatu kemiringan melintang jalan pada tikungan yang disebut superelevasi (e). Pada saat kendaraan melalui daerah superelevasi, akan terjadi gesekan arah melintang jalan antara ban kendaraan dengan permukaan aspal yang menimbulkan gaya gesekan melintang. Perbandingan gaya gesekan melintang dengan gaya normal disebut koefisien gesekan melintang (f). Untuk menghindari terjadinya kecelakaan, maka untuk kecepatan tertentu dapat dihitung jari-jari minimum untuk superelevasi maksimum dan koefisien gesekan maksimum. fmax = -0.00065 * VR + 0.192 (untuk VR < 80 km/jam) fmax = -0.00125 * VR + 0.240 (untuk VR 80 – 112 km/jam) 𝑅𝑅𝑚𝑚𝑚𝑚𝑚𝑚 = 𝑉𝑉𝑅𝑅 2 127(𝑒𝑒𝑚𝑚𝑚𝑚𝑚𝑚 + 𝑓𝑓𝑚𝑚𝑚𝑚𝑚𝑚 ) 𝐷𝐷𝑚𝑚𝑚𝑚𝑚𝑚 = 181913.53 (𝑒𝑒𝑚𝑚𝑚𝑚𝑚𝑚 + 𝑓𝑓𝑚𝑚𝑚𝑚𝑚𝑚 ) 𝑉𝑉𝑅𝑅 2 Menentukan fmax untuk emax = 10 %, fmax = -0.00065 * VR + 0.192 = -0.00065 * 40 + 0.192 = 0.166 Menentukan nilai jari-jari minimum 𝑅𝑅𝑚𝑚𝑚𝑚𝑚𝑚 = 𝑉𝑉𝑅𝑅 2 127(𝑒𝑒𝑚𝑚𝑚𝑚𝑚𝑚 + 𝑓𝑓𝑚𝑚𝑚𝑚𝑚𝑚 ) = 402 127(0.1 + 0.166) = 𝟒𝟒𝟒𝟒. 𝟑𝟑𝟑𝟑 𝒎𝒎
  • 2.
    Exercises Geometric Design NursyamsuHidayat Civil Eng. Diploma Program, Vocational School, GMU 2 Menentukan nilai derajat lengkung maksimum 𝐷𝐷𝑚𝑚𝑚𝑚𝑚𝑚 = 181913.53 (𝑒𝑒𝑚𝑚𝑚𝑚𝑚𝑚 + 𝑓𝑓𝑚𝑚𝑚𝑚𝑚𝑚 ) 𝑉𝑉𝑅𝑅 2 = 181913.53 (0.1 + 0.166) 402 = 𝟑𝟑𝟑𝟑. 𝟐𝟐𝟐𝟐° Check untuk jenis tikungan Full Circle Jari-jari rencana (Rd) = 50 m > Rmin (47.36 m) Untuk kecepatan rencana (VR) 40 km/jam menurut TCPGJAK 1997 Tabel II.18, jari-jari minimum (Rmin) untuk tikungan Full Circle = 250 m > jari-jari rencana (Rd), so jenis FC tidak bisa digunakan. Check untuk jenis tikungan S-C-S a) Menentukan superelevasi desain (jika tidak tersaji Tabel) 𝐷𝐷𝑑𝑑 = 1432.4 𝑅𝑅𝑑𝑑 = 1432.4 200 = 𝟕𝟕. 𝟏𝟏𝟏𝟏° 𝑒𝑒𝑑𝑑 = −𝑒𝑒𝑚𝑚𝑚𝑚𝑚𝑚𝑚𝑚 ∗ 𝐷𝐷𝑑𝑑 2 𝐷𝐷𝑚𝑚𝑚𝑚𝑚𝑚𝑚𝑚 + 2 ∗ 𝑒𝑒𝑚𝑚𝑚𝑚𝑚𝑚𝑚𝑚 ∗ 𝐷𝐷𝑑𝑑 𝐷𝐷𝑚𝑚𝑚𝑚𝑚𝑚𝑚𝑚 = −0.10 ∗ 7.162 30.242 + 2 ∗ 0.10 ∗ 7.16 30.24 = 0.417 = 𝟒𝟒. 𝟏𝟏𝟏𝟏% b) Menentukan panjang Lengkung peralihan (Ls) 1. Berdasarkan waktu tempuh maximum (3 detik) untuk melintasi lengkung peralihan 𝐿𝐿𝑠𝑠 = 𝑉𝑉𝑅𝑅 3.6 ∗ 𝑇𝑇 = 40 3.6 ∗ 3 = 33.33 𝑚𝑚 2. Berdasarkan rumus modifikasi Shortt: 𝐿𝐿𝑠𝑠 = 0.022 ∗ 𝑉𝑉𝑅𝑅 3 𝑅𝑅𝑑𝑑 𝑥𝑥 𝐶𝐶 − 2.727 𝑉𝑉𝑅𝑅 ∗ 𝑒𝑒𝑑𝑑 𝐶𝐶 = 0.022 ∗ 403 200 𝑥𝑥 0.4 − 2.727 40∗0.0417 0.4 = 6.23 𝑚𝑚 3. Berdasarkan tingkat pencapaian perubahan kelandaian: 𝐿𝐿𝑠𝑠 = (𝑒𝑒𝑚𝑚 − 𝑒𝑒𝑛𝑛) 3.6 ∗ 𝑟𝑟𝑒𝑒 ∗ 𝑉𝑉𝑅𝑅 Dimana re = tingkat pencapaian perubahan kelandaian melintang jalan Untuk Vr ≤ 60 km/jam, re max = 0,035 m/m/det. 𝐿𝐿𝑠𝑠 = (0.1 − 0.02) 3.6 ∗ 0.035 ∗ 40 = 25.40 𝑚𝑚 4. Berdasarkan rumus Bina Marga 𝐿𝐿𝑠𝑠 = 𝑤𝑤 2 ∗ 𝑚𝑚 ∗ (𝑒𝑒𝑛𝑛 + 𝑒𝑒𝑑𝑑)
  • 3.
    Exercises Geometric Design NursyamsuHidayat Civil Eng. Diploma Program, Vocational School, GMU 3 𝐿𝐿𝑠𝑠 = 3.5 𝑥𝑥 2 2 ∗ 120 ∗ (0.02 + 0.0417) = 25.91 ≈ 50 𝑚𝑚 Digunakan Lengkung peralihan yang memenuhi dan efisien, Ls = 33.33 m ≈ 34 m c) Menentukan sudut spiral (θs), sudut circle (βc), dan lengkung circle (Lc) 𝜃𝜃𝑠𝑠 = 𝐿𝐿𝑠𝑠 ∗ 360 4 ∗ 𝜋𝜋 ∗ 𝑅𝑅𝑑𝑑 = 34 ∗ 360 4 ∗ 3.14 ∗ 200 ≈ 𝟓𝟓° 𝛽𝛽𝑐𝑐 = 𝛽𝛽 − (2 ∗ 𝜃𝜃𝑠𝑠) = 14 − (2 ∗ 5) ≈ 𝟒𝟒° 𝐿𝐿𝑐𝑐 = 𝛽𝛽𝑐𝑐 ∗ 𝜋𝜋 ∗ 𝑅𝑅𝑑𝑑 180 = 4 ∗ 3.14 ∗ 200 180 = 𝟏𝟏𝟏𝟏. 𝟗𝟗𝟗𝟗 𝒎𝒎 Syarat tikungan jenis S-C-S βc > 0º -------- 4º > 0º……..….OK Lc > 20 m ---- 13.96 < 20 ……tidak memenuhi syarat S-C-S, maka dicoba tikungan jenis S-S d) Perhitungan besaran-besaran tikungan θs = ½ * β = ½ * 14 = 7 º 𝐿𝐿𝑠𝑠 = 𝜃𝜃𝑠𝑠 ∗ 𝜋𝜋 ∗ 𝑅𝑅𝑑𝑑 90 = 7 ∗ 3.14 ∗ 200 90 = 𝟒𝟒𝟒𝟒. 𝟖𝟖𝟖𝟖 𝒎𝒎 𝑝𝑝 = 𝐿𝐿𝑠𝑠 2 6 ∗ 𝑅𝑅𝑑𝑑 − 𝑅𝑅𝑑𝑑(1 − cos 𝜃𝜃𝑠𝑠) = 48.842 6 ∗ 200 − 200(1 − cos 7) = 𝟎𝟎. 𝟓𝟓 𝒎𝒎 𝑘𝑘 = 𝐿𝐿𝑠𝑠 − 𝐿𝐿𝑠𝑠 3 40 ∗ 𝑅𝑅𝑑𝑑 2 − 𝑅𝑅𝑑𝑑 ∗ sin 𝜃𝜃𝑠𝑠 = 48.84 − 48.843 40 ∗ 2002 − 200 ∗ sin 7 = 𝟐𝟐𝟐𝟐. 𝟑𝟑𝟑𝟑 𝒎𝒎 𝑇𝑇𝑠𝑠 = (𝑅𝑅𝑑𝑑 + 𝑝𝑝) tan 1 2� 𝛽𝛽 + 𝑘𝑘 = (200 + 0.5) tan 1 2� 14 + 24.39 = 𝟒𝟒𝟒𝟒. 𝟎𝟎𝟎𝟎 𝒎𝒎 𝐸𝐸𝑠𝑠 = (𝑅𝑅𝑑𝑑 + 𝑝𝑝) cos 1 2� 𝛽𝛽 − 𝑅𝑅𝑑𝑑 = (200 + 0.5) cos 1 2� 14 − 200 = 𝟐𝟐. 𝟎𝟎𝟎𝟎 𝒎𝒎 Kontrol perhitungan tikungan S-S Ts > Ls 49.01 > 48.84 ----- Tikungan S-S bisa digunakan e) Penghitungan pelebaran perkerasan di tikungan: Jalan kelas III (kolektor) muatan sumbu terberat 8 ton sehingga direncanakan kendaraan terberat yang melintas adalah kendaraan sedang. Sehingga: Vr = 40 km/jam Rd = 200 m n = 2 ( Jumlah jalur lintasan ) c = 0.8 m (Kebebasan samping)
  • 4.
    Exercises Geometric Design NursyamsuHidayat Civil Eng. Diploma Program, Vocational School, GMU 4 b = 2.6 m (Lebar lintasan kendaraan sedang pada jalan lurus) p = 7.6 m (Jarak antara as roda depan dan belakang kendaraan sedang) A = 2.1 m (Tonjolan depan sampai bemper kendaraan sedang) Secara analitis : B = n (b’ + c) + (n - 1) Td + Z b’ = b + b” 𝑏𝑏" = 𝑅𝑅𝑑𝑑 − �𝑅𝑅𝑑𝑑 2 − 𝑝𝑝2 𝑇𝑇𝑑𝑑 = �𝑅𝑅𝑑𝑑 2 + 𝐴𝐴(2𝑝𝑝 + 𝐴𝐴) − 𝑅𝑅𝑑𝑑 ε = B – W 𝑍𝑍 = 0.105 ∗ 𝑉𝑉𝑟𝑟 � 𝑅𝑅𝑑𝑑 dengan : B = Lebar perkerasan pada tikungan n = Jumlah lajur Lintasan (2) b’ = Lebar lintasan kendaraan pada tikungan c = Kebebasan samping (0,8 m) Td = Lebar melintang akibat tonjolan depan Z = Lebar tambahan akibat kelainan dalam mengemudi W = lebar perkerasan ε = pelebaran perkerasan Rd = jari-jari rencana Perhitungan pelebaran perkerasan di tikungan: 𝑏𝑏" = 𝑅𝑅𝑑𝑑 − �𝑅𝑅𝑑𝑑 2 − 𝑝𝑝2 = 200 − �2002 − 7.62 = 𝟎𝟎. 𝟏𝟏𝟏𝟏 𝒎𝒎 b’ = b + b” = 2.6 + 0.14 = 2.74 m 𝑇𝑇𝑑𝑑 = �𝑅𝑅𝑑𝑑 2 + 𝐴𝐴(2𝑝𝑝 + 𝐴𝐴) − 𝑅𝑅𝑑𝑑 = �2002 + 2.1(2 ∗ 7.6 + 2.1) − 200 = 𝟎𝟎. 𝟎𝟎𝟎𝟎𝟎𝟎 𝒎𝒎 𝑍𝑍 = 0.105 ∗ 𝑉𝑉𝑟𝑟 � 𝑅𝑅𝑑𝑑 = 0.105 ∗ 40 √200 = 𝟎𝟎. 𝟑𝟑𝟑𝟑 𝒎𝒎 B = n (b’ + c) + (n - 1) Td + Z = 2 (2.74 + 0.8) + (2 – 1) 0.049 + 0.30 = 7.43 m Lebar perkerasan pada jalan lurus 2 x 3,5 = 7m Ternyata B > 7 m ----- 7.43 m > 7 m 7.43 – 7 = 0.43 m karena B > W, maka diperlukan pelebaran perkerasan pada tikungan sebesar 0.43 m
  • 5.
    Exercises Geometric Design NursyamsuHidayat Civil Eng. Diploma Program, Vocational School, GMU 5 f) Penghitungan kebebasan samping di tikungan (E): • Jarak pandang henti (Jh) = 40 m (Tabel TCPGJAK) • Jarak pandang menyiap = 200 m (Tabel TCPGJAK) • Lebar pengawasan minimal = 30 m Perhitungan: Jari-jari sumbu lajur (R’) = Rd – ½ W = 200 – ½ * 7 = 196.5 m Ltotal = 2 * Ls = 2 * 48.84 = 97.68 m • Jarak pandang henti berdasarkan TCPGJAK 1997 Jh = 0.694 Vr + 0.004 (Vr 2 /fp) = 0.694 * 40 + 0.004 (402 /0.35) = 46.05 m • Jarak pandang henti menurut Shirley L Hendarsin Kelandaian (g) adalah 10% fp = Koefisien gesek memanjang menurut Bina Marga, fp = 0.35–0.55 Jalan dengan kelandaian tertentu: 𝐽𝐽ℎ = 0.278 ∗ 𝑉𝑉𝑟𝑟 ∗ 𝑇𝑇 + 𝑉𝑉𝑟𝑟 2 254 ∗ (𝑓𝑓𝑝𝑝 ± 𝑔𝑔) = 0.278 ∗ 40 ∗ 2.5 + 402 254 ∗ (0.35 ± 0.01) = 𝟒𝟒𝟒𝟒. 𝟑𝟑𝟑𝟑 𝒎𝒎 Diambil Jh = 46.33 m • Jarak pandang menyiap Jd = d1 + d2 + d3 + d4 𝑑𝑑1 = 0.278 ∗ 𝑇𝑇1 ∗ �𝑉𝑉𝑟𝑟 – 𝑚𝑚 + 𝑎𝑎 ∗ 𝑇𝑇1 2 � d2 = 0.278 * Vr * T2 d3 = antara 30 -100 m d4 = 2/3 d2 dengan: T1 = Waktu dalam (detik), = 2.12 + 0,026 x Vr T2 = Waktu kendaraan berada dijalur lawan, (detik) = 6,56+0,048xVr a = Percepatan rata-rata km/jm/dtk, (km/jm/dtk), = 2,052+0,0036xVr m = perbedaan kecepatan dari kendaraan yang menyiap dan kendaraan yang disiap, (biasanya diambil 10-15 km/jam)
  • 6.
    Exercises Geometric Design NursyamsuHidayat Civil Eng. Diploma Program, Vocational School, GMU 6 𝑑𝑑1 = 0.278 ∗ 𝑇𝑇1 ∗ �𝑉𝑉𝑟𝑟 – 𝑚𝑚 + 𝑎𝑎 ∗ 𝑇𝑇1 2 � 𝑑𝑑1 = 0.278 ∗ (2.12 + 0.026 ∗ 40) ∗ �40– 10 + (2.052 + 0.0036 ∗ 40) ∗ (2.12 + 0.026 ∗ 40) 2 � = 29.40 m d2 = 0.278 * Vr * T2 = 0.278 * 40 * (6.56 + 0.048 * 40) = 94.30 m d3 = 30 m d4 = 2/3 d2 = 62.87 m Jd = d1 + d2 + d3 + d4 = 29.40 + 94.30 + 30 + 62.87 = 216.57 m Kebebasan samping yang tersedia (mo) = ½ (lebar pengawasan minimal – w) = ½ (30 – 7) = 11.5 m Secara analitis • Berdasarkan jarak pandang henti: Jh = 46,33 m Lt = 97.68 m -------- Jh < Lt Daerah kebebasan samping (E) = 𝐸𝐸 = 𝑅𝑅′ ∗ �1 − 𝑐𝑐𝑐𝑐𝑐𝑐 (28.65 ∗ 𝐽𝐽ℎ ) 𝑅𝑅′ � = 196.5 ∗ �1 − 𝑐𝑐𝑐𝑐𝑐𝑐 (28.65 ∗ 46.33) 196.5 � = 𝟏𝟏. 𝟑𝟑𝟑𝟑 𝒎𝒎 • Berdasarkan jarak pandang menyiap : Jd = 216,57 m Lt = 97.68 m ------- Jd > Lt 𝐸𝐸 = 𝑅𝑅′ ∗ �1 − 𝑐𝑐𝑐𝑐𝑐𝑐 (28.65 ∗ 𝐽𝐽𝑑𝑑) 𝑅𝑅′ � + (𝐽𝐽𝑑𝑑 − 𝐿𝐿𝑡𝑡) 2 ∗ 𝑠𝑠𝑠𝑠𝑠𝑠 � 28.65 ∗ 𝐽𝐽𝑑𝑑 𝑅𝑅′ � 𝐸𝐸 = 196.5 ∗ �1 − 𝑐𝑐𝑐𝑐𝑐𝑐 (28.65 ∗ 216.67) 196.5 � + (216.67 − 97.68) 2 ∗ 𝑠𝑠𝑠𝑠𝑠𝑠 � 28.65 ∗ 216.67 196.5 � = 𝟓𝟓𝟓𝟓. 𝟕𝟕𝟕𝟕 𝒎𝒎 Jadi : • Kebebasan samping henti = 1.36 m • Kebebasan samping menyiap = 58.76 m • Kebebasan samping tersedia = 11.5 m • Kebebasan samping berdasarkan jarak pandang henti 1.36 m < 11.5 m --- aman • Kebebasan samping berdasarkan jarak pandang menyiap 58.76 m > 11.5 m, sehingga sebelum memasuki tikungan PI1 perlu dipasang rambu dilarang menyiap.
  • 7.
    Exercises Geometric Design NursyamsuHidayat Civil Eng. Diploma Program, Vocational School, GMU 7 g) Hasil perhitungan: Tikungan tipe SCS β = 14º Өs = 5 º Rd = 200 m p = 0.5 m emax = 10 % k = 24.39 m erencana = 4.17 % Ts = 49.01 m en = 2 % Es = 2.01 m Ls = 48.84 m