EVALUATING
FUNCTIONS
ALL FUNCTIONS ARE
RELATIONS BUT NOT ALL
RELATIONS ARE FUNCTIONS
“Lahat ng gumagana ay may
relasyon, pero hindi lahat ng
relasyon ay gumagana”
RELATION
a set of ordered pairs (x,y)
DOMAIN
first coordinate in a relation; (x);
input; independent.
RANGE
second coordinate in a relation; (y);
output; dependent.
FUNCTION
a relation in which each element in the domain
corresponds to exactly one of element of the range.
L
O
V
E
EXAMPLE
3
8
5
6
GERALD
Maja
Bea
Julia
Kim
Sarah
FUNCTION NOT
FUNCTION
WAYS OF
REPRESENTING
FUNCTIONS
TYPES OF RELATIONS
variable in the function
F (x) = 3x + 1
name of the function is f (g, h)
1.) x = 2
EXAMPLE
f (x) = 7
f (2) = 3(2) + 1
2.) x = 8
EXAMPLE
f (x) = 83
f (x) = 𝒙 𝟐
+𝟑𝒙 − 𝟓
= (𝟖) 𝟐
+𝟑(𝟖) − 𝟓
= 𝟔𝟒 + 𝟐𝟒 − 𝟓
3.) x = 2 –x
EXAMPLE
f (x) = 𝒙 𝟐
−𝟒𝒙 + 𝟔
f (x) = 𝒙 𝟐
+𝟐
= (𝟐 − 𝒙) 𝟐+𝟐
= 𝟒 − 𝟐𝒙 − 𝟐𝒙 + 𝒙 𝟐
+𝟐
4.) x = -5
EXAMPLE
f (x) = 𝟔𝟐
f (x) = 𝒙 𝟐
− 𝟖𝒙 − 𝟑
= 𝟐𝟓 + 𝟒𝟎 − 𝟑
= (−𝟓) 𝟐
−𝟖(−𝟓) − 𝟑
FUNDAMENTAL
OPERATIONS
OF
FUNCTIONS
ADDITION
 Substitute the value of 2
functions.
 Combine like terms.
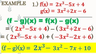
1.) f(x) = 𝟐𝒙 𝟑
−𝟓𝒙 + 𝟒
EXAMPLE
(f + g)(x) = 𝟐𝒙 𝟑
+ 𝟑𝒙 𝟐
− 𝟑𝒙 − 𝟔
(f + g)(x) = f(x) + g(x)
= ( 𝟐𝒙 𝟑
−𝟓𝒙 + 𝟒) + ( 𝟑𝒙 𝟐
+𝟐𝒙 − 𝟔)
g(x) = 𝟑𝒙 𝟐
+𝟐𝒙 − 𝟔
2.) f(x) = 𝟐𝒙 − 𝟏
EXAMPLE
(f + g)(x) = 𝒙 𝟐
+𝟑𝒙 − 𝟑
(f + g)(x) = f(x) + g(x)
= ( 𝟐𝒙 − 𝟏) + ( 𝒙 𝟐
+ 𝒙 − 𝟐)
g(x) = 𝒙 𝟐
+ 𝒙 − 𝟐
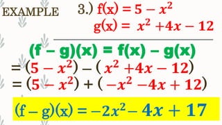
3.) f(x) = 𝟓 − 𝒙 𝟐
EXAMPLE
(f + g)(x) = 𝟒𝒙 − 𝟕
(f + g)(x) = f(x) + g(x)
= ( 𝟓 − 𝒙 𝟐
) + ( 𝒙 𝟐
+𝟒𝒙 − 𝟏𝟐)
g(x) = 𝒙 𝟐
+𝟒𝒙 − 𝟏𝟐
SUBTRACTION
 Substitute the value of 2
functions.
 Change the sign of the
subtrahend.
 Combine like terms.
1.) f(x) = 𝟐𝒙 𝟑
−𝟓𝒙 + 𝟒EXAMPLE
(f – g)(x) = 𝟐𝒙 𝟑
− 𝟑𝒙 𝟐
− 𝟕𝒙 + 𝟏𝟎
= ( 𝟐𝒙 𝟑
−𝟓𝒙 + 𝟒) – ( 𝟑𝒙 𝟐
+𝟐𝒙 − 𝟔)
g(x) = 𝟑𝒙 𝟐
+𝟐𝒙 − 𝟔
(f – g)(x) = f(x) – g(x)
= ( 𝟐𝒙 𝟑
−𝟓𝒙 + 𝟒) + ( −𝟑𝒙 𝟐
−𝟐𝒙 + 𝟔)
2.) f(x) = 𝟐𝒙 − 𝟏EXAMPLE
(f – g)(x) = −𝒙 𝟐
+ 𝒙 + 𝟏
= ( 𝟐𝒙 − 𝟏) + ( −𝒙 𝟐
− 𝒙 + 𝟐)
g(x) = 𝒙 𝟐
+ 𝒙 − 𝟐
(f – g)(x) = f(x) – g(x)
= ( 𝟐𝒙 − 𝟏) – ( 𝒙 𝟐
+ 𝒙 − 𝟐)
3.) f(x) = 𝟓 − 𝒙 𝟐
EXAMPLE
(f – g)(x) = −𝟐𝒙 𝟐
− 𝟒𝒙 + 𝟏𝟕
(f – g)(x) = f(x) – g(x)
= (𝟓 − 𝒙 𝟐
) + ( −𝒙 𝟐
−𝟒𝒙 + 𝟏𝟐)
g(x) = 𝒙 𝟐
+𝟒𝒙 − 𝟏𝟐
= (𝟓 − 𝒙 𝟐
) – ( 𝒙 𝟐
+𝟒𝒙 − 𝟏𝟐)
QUIZ a. f(0)
b. f(-1)
c. f(2)
2.) f(x) = 2𝒙 − 𝟒 g(x) = 𝟑𝒙 − 𝟓
1.) f(x) = 𝒙 𝟐+𝟓𝒙 − 𝟑
ADDITION and SUBTRACTION
ASSIGNMENT To be submitted
tomorrow
WEDNESDAY
(SEPTEMBER 23, 2020)
UNTIL 5PM ONLY.
MULTIPLICATION
1.) Product Rule for
Exponent
Laws of Exponent
(𝒙 𝒎
) 𝒏
= 𝒙 𝒎𝒏2.) Power Rule for
Exponent
𝒙 𝒎
• 𝒙 𝒏
= 𝒙 𝒎+𝒏
3.) Power of a
Product Rule (𝒙𝒚) 𝒏
= 𝒙 𝒏
𝒚 𝒏
A. Multiplying a binomial to a
monomial
EXAMPLE
1.) f(x) = 𝟓𝒙 g(x) = 𝒙 + 𝟒
(f • g)(x) = f(x) • g(x)
= (𝟓𝒙) (𝒙 + 𝟒)
(f • g)(x) = 𝟓𝒙 𝟐 +𝟐𝟎𝒙
A. Multiplying a binomial to a
binomial (FOIL)
EXAMPLE
1.) f(x) = 𝒙 + 𝟑 g(x) = 𝒙 + 𝟓
(f • g)(x) = f(x) • g(x)
= 𝒙 𝟐+𝟓𝒙 + 𝟑𝒙 + 𝟏𝟓
(f • g)(x) = 𝒙 𝟐
+ 𝟖𝒙 + 𝟏𝟓
= (𝒙 + 𝟑) (𝒙 + 𝟓)
A. Multiplying a binomial to a
trinomial
EXAMPLE
1.) f(x) = 𝟗𝒙 + 𝟓 g(x) = 𝟔𝒙 𝟐
+ 𝒙 − 𝟓
(f • g)(x) = f(x) • g(x)
= 𝟓𝟒𝒙 𝟑
+𝟗𝒙 𝟐
− 𝟔𝟑𝒙 − 𝟑𝟎𝒙 𝟐
− 𝟓𝒙 + 𝟑𝟓
(f • g)(x) = 𝟓𝟒𝒙 𝟑
−𝟐𝟏 𝒙 𝟐
− 𝟔𝟖𝒙 + 𝟑𝟓
= (𝟗𝒙 + 𝟓) ( 𝟔𝒙 𝟐
+ 𝒙 − 𝟓)
DIVISION
1.)
𝒙 𝒎
𝒙 𝒏 = 𝒙 𝒎−𝒏
; 𝒘𝒉𝒆𝒏 𝒎 > 𝐧
Rules of Division of Exponent
2.)
𝒙 𝒎
𝒙 𝒏 =
𝟏
𝒙 𝒏−𝒎 ; 𝒘𝒉𝒆𝒏 𝒎 < 𝐧
3.)
𝒙 𝒎
𝒙 𝒏 = 𝒙 𝟎
= 𝟏; 𝒘𝒉𝒆𝒏 𝒎 = 𝟎
EXAMPLE
1.) f(x) = 𝟏𝟓𝒙 𝟏𝟓
g(x) = 𝟑𝒙 𝟗
𝒇
𝒈
𝒙 = 𝟓𝒙 𝟔
=
𝟏𝟓𝒙 𝟏𝟓
𝟑𝒙 𝟗𝒇
𝒈
𝒙 =
𝒇(𝒙)
𝒈(𝒙)
EXAMPLE
2.) f(x) = −𝟒𝒙 𝟓
g(x) = 𝟐𝒙 𝟖
𝒇
𝒈
𝒙 =
−𝟐
𝒙 𝟑
=
−𝟒𝒙 𝟓
𝟐𝒙 𝟖
𝒇
𝒈
𝒙 =
𝒇(𝒙)
𝒈(𝒙)
= −𝟐(
𝟏
𝒙 𝟖−𝟓)
2.)
𝒙 𝒎
𝒙 𝒏 =
𝟏
𝒙 𝒏−𝒎 ; 𝒘𝒉𝒆𝒏 𝒎 < 𝐧
EXAMPLE
3.) f(x) = 𝟗𝒙 𝟔
g(x) = 𝟗𝒙 𝟔
𝒇
𝒈
𝒙 = 𝟏
=
𝟗𝒙
𝟔
𝟗𝒙 𝟔
𝒇
𝒈
𝒙 =
𝒇(𝒙)
𝒈(𝒙)
= 𝟏(𝒙 𝟎
) = 𝟏(𝟏)
3.)
𝒙 𝒎
𝒙 𝒏 = 𝒙 𝟎
= 𝟏; 𝒘𝒉𝒆𝒏 𝒎 = 𝟎
EXAMPLE
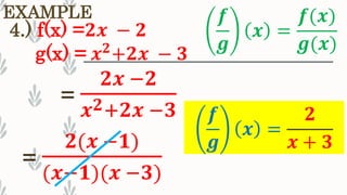
4.) f(x) =𝟐𝒙 − 𝟐
g(x) = 𝒙 𝟐
+𝟐𝒙 − 𝟑
𝒇
𝒈
𝒙 =
𝟐
𝒙 + 𝟑
=
𝟐𝒙 −𝟐
𝒙 𝟐+𝟐𝒙 −𝟑
𝒇
𝒈
𝒙 =
𝒇(𝒙)
𝒈(𝒙)
=
𝟐(𝒙 −𝟏)
(𝒙−𝟏)(𝒙 −𝟑)
EXAMPLE
5.) f(x) = 𝒙 − 𝟓 g(x)
= 𝟏𝟎𝒙 − 𝟓𝟎
𝒇
𝒈
𝒙 =
𝟏
𝟏𝟎
=
𝒙−𝟓
𝟏𝟎𝒙 −𝟓𝟎
𝒇
𝒈
𝒙 =
𝒇(𝒙)
𝒈(𝒙)
=
𝒙−𝟓
𝟏𝟎(𝒙 −𝟓)
COMPOSITION
 Write the given.
 Replace x by the 2nd function.
 Distribute
 Combine like/similar terms.
 Substitute the value of x.
 Solve and simplify.
(𝐟 °𝒈)(x)
1st 2nd
(𝐠 °𝒇)(x)
1st 2nd
EXAMPLE
(f )(x) = 𝟒𝒙 − 𝟓 g(x) = 𝒙 𝟐
+ 𝟒
1. (f g)(3) = 4x - 5
1st 2nd x
= 4(𝒙 𝟐
+ 𝟒) - 5
= 4𝒙 𝟐
+ 𝟏𝟔 − 𝟓
= 4𝒙 𝟐
+ 𝟏𝟏
= 4(𝟑) 𝟐
+𝟏𝟏
= 𝟑𝟔 + 𝟏𝟏 (f g)(3) = 47
EXAMPLE
(f)(x) = 𝟒𝒙 − 𝟓
g(x) = 𝒙 𝟐
+ 𝟒
2. (g f)(2) = 𝒙 𝟐
+ 𝟒
1st 2nd x
= (𝟒𝐱 − 𝟓 ) 𝟐
+ 𝟒
= 𝟏𝟔𝒙 𝟐 − 𝟐𝟎𝒙 − 𝟐𝟎𝒙 + 𝟐𝟓 + 𝟒
= 𝟏𝟔𝒙 𝟐
− 𝟒𝟎𝒙 + 𝟐𝟗
= 𝟔𝟒 − 𝟖𝟎 + 𝟐𝟗 (g f)(2) = 13
FOIL METHOD
= 𝟏𝟔(𝟐) 𝟐
−𝟒𝟎(𝟐) + 𝟐𝟗
EXAMPLE
(f)(x) = 𝟒𝒙 g(x) = 𝒙 − 𝟑
1. (f g)(-2) = 4x
1st 2nd x = 4(𝒙 − 𝟑)
= 4𝒙 − 𝟏𝟐
= 4 −𝟐 − 𝟏𝟐
(f g)(-2) = -20
EXAMPLE
(f)(x) = 𝟒𝒙 g(x) = 𝒙 − 𝟑
1. (g f)(-2) = x – 3
1st 2nd x = (4𝒙 − 𝟑)
= 4 −𝟐 − 𝟑
(g f)(-2) = -11
ASSIGNMENT!
IN YOUR BOOK ANSWER,
PAGE 3 # 1-3
PAGE 5-6 # 1-6
PROBLEM
SOLVING
INVOLVING
SETS
10/2/20
If 270 traveled to an event. There were 7
buses and 18 others in cars. Find the number
of people on each bus.
𝒙 = # 𝒐𝒇 𝒑𝒆𝒐𝒑𝒍𝒆 𝒐𝒏 𝒆𝒂𝒄𝒉 𝒃𝒖𝒔.
𝟕𝒙 + 𝟏𝟖 = 𝟐𝟕𝟎
𝟕𝒙 = 𝟐𝟕𝟎 − 𝟏𝟖
𝟕𝒙 = 𝟐𝟓𝟐
𝒙 = 𝟑𝟔
𝑻𝒉𝒆𝒓𝒆𝒇𝒐𝒓𝒆, 𝒕𝒉𝒆𝒓𝒆
𝒂𝒓𝒆 𝟑𝟔 𝒑𝒆𝒐𝒑𝒍𝒆
𝒐𝒏 𝒆𝒂𝒄𝒉 𝒃𝒖𝒔.
A plumber’s fees (F) are 50 for a house call
and 30 for each hour (H) worked.
𝟑𝟎𝒉 + 𝟓𝟎 = 𝒇
𝟑𝟎(𝟏) + 𝟓𝟎 = 𝒇
𝟖𝟎 = 𝒇
X Y
1
2
𝟑𝟎 + 𝟓𝟎 = 𝒇
The total cost (C) for pounds (p) of copper, if
each pound costs ₱5.67?
𝟓. 𝟔𝟕𝒑 = 𝑪
𝟓. 𝟔𝟕 𝟏 = 𝑪
𝟓. 𝟔𝟕 = 𝑪
X Y
1
2
3
4
ASSIGNMENT!
IN YOUR BOOK ANSWER,
PAGE 4: Letter B
# 1 & 2 ( A and B)

Evaluate functions &amp; fundamental operations of functions

  • 1.
  • 2.
    ALL FUNCTIONS ARE RELATIONSBUT NOT ALL RELATIONS ARE FUNCTIONS “Lahat ng gumagana ay may relasyon, pero hindi lahat ng relasyon ay gumagana”
  • 3.
    RELATION a set ofordered pairs (x,y) DOMAIN first coordinate in a relation; (x); input; independent. RANGE second coordinate in a relation; (y); output; dependent. FUNCTION a relation in which each element in the domain corresponds to exactly one of element of the range.
  • 4.
  • 5.
  • 6.
  • 7.
    variable in thefunction F (x) = 3x + 1 name of the function is f (g, h)
  • 8.
    1.) x =2 EXAMPLE f (x) = 7 f (2) = 3(2) + 1
  • 9.
    2.) x =8 EXAMPLE f (x) = 83 f (x) = 𝒙 𝟐 +𝟑𝒙 − 𝟓 = (𝟖) 𝟐 +𝟑(𝟖) − 𝟓 = 𝟔𝟒 + 𝟐𝟒 − 𝟓
  • 10.
    3.) x =2 –x EXAMPLE f (x) = 𝒙 𝟐 −𝟒𝒙 + 𝟔 f (x) = 𝒙 𝟐 +𝟐 = (𝟐 − 𝒙) 𝟐+𝟐 = 𝟒 − 𝟐𝒙 − 𝟐𝒙 + 𝒙 𝟐 +𝟐
  • 11.
    4.) x =-5 EXAMPLE f (x) = 𝟔𝟐 f (x) = 𝒙 𝟐 − 𝟖𝒙 − 𝟑 = 𝟐𝟓 + 𝟒𝟎 − 𝟑 = (−𝟓) 𝟐 −𝟖(−𝟓) − 𝟑
  • 12.
  • 13.
    ADDITION  Substitute thevalue of 2 functions.  Combine like terms.
  • 14.
    1.) f(x) =𝟐𝒙 𝟑 −𝟓𝒙 + 𝟒 EXAMPLE (f + g)(x) = 𝟐𝒙 𝟑 + 𝟑𝒙 𝟐 − 𝟑𝒙 − 𝟔 (f + g)(x) = f(x) + g(x) = ( 𝟐𝒙 𝟑 −𝟓𝒙 + 𝟒) + ( 𝟑𝒙 𝟐 +𝟐𝒙 − 𝟔) g(x) = 𝟑𝒙 𝟐 +𝟐𝒙 − 𝟔
  • 15.
    2.) f(x) =𝟐𝒙 − 𝟏 EXAMPLE (f + g)(x) = 𝒙 𝟐 +𝟑𝒙 − 𝟑 (f + g)(x) = f(x) + g(x) = ( 𝟐𝒙 − 𝟏) + ( 𝒙 𝟐 + 𝒙 − 𝟐) g(x) = 𝒙 𝟐 + 𝒙 − 𝟐
  • 16.
    3.) f(x) =𝟓 − 𝒙 𝟐 EXAMPLE (f + g)(x) = 𝟒𝒙 − 𝟕 (f + g)(x) = f(x) + g(x) = ( 𝟓 − 𝒙 𝟐 ) + ( 𝒙 𝟐 +𝟒𝒙 − 𝟏𝟐) g(x) = 𝒙 𝟐 +𝟒𝒙 − 𝟏𝟐
  • 17.
    SUBTRACTION  Substitute thevalue of 2 functions.  Change the sign of the subtrahend.  Combine like terms.
  • 18.
    1.) f(x) =𝟐𝒙 𝟑 −𝟓𝒙 + 𝟒EXAMPLE (f – g)(x) = 𝟐𝒙 𝟑 − 𝟑𝒙 𝟐 − 𝟕𝒙 + 𝟏𝟎 = ( 𝟐𝒙 𝟑 −𝟓𝒙 + 𝟒) – ( 𝟑𝒙 𝟐 +𝟐𝒙 − 𝟔) g(x) = 𝟑𝒙 𝟐 +𝟐𝒙 − 𝟔 (f – g)(x) = f(x) – g(x) = ( 𝟐𝒙 𝟑 −𝟓𝒙 + 𝟒) + ( −𝟑𝒙 𝟐 −𝟐𝒙 + 𝟔)
  • 19.
    2.) f(x) =𝟐𝒙 − 𝟏EXAMPLE (f – g)(x) = −𝒙 𝟐 + 𝒙 + 𝟏 = ( 𝟐𝒙 − 𝟏) + ( −𝒙 𝟐 − 𝒙 + 𝟐) g(x) = 𝒙 𝟐 + 𝒙 − 𝟐 (f – g)(x) = f(x) – g(x) = ( 𝟐𝒙 − 𝟏) – ( 𝒙 𝟐 + 𝒙 − 𝟐)
  • 20.
    3.) f(x) =𝟓 − 𝒙 𝟐 EXAMPLE (f – g)(x) = −𝟐𝒙 𝟐 − 𝟒𝒙 + 𝟏𝟕 (f – g)(x) = f(x) – g(x) = (𝟓 − 𝒙 𝟐 ) + ( −𝒙 𝟐 −𝟒𝒙 + 𝟏𝟐) g(x) = 𝒙 𝟐 +𝟒𝒙 − 𝟏𝟐 = (𝟓 − 𝒙 𝟐 ) – ( 𝒙 𝟐 +𝟒𝒙 − 𝟏𝟐)
  • 21.
    QUIZ a. f(0) b.f(-1) c. f(2) 2.) f(x) = 2𝒙 − 𝟒 g(x) = 𝟑𝒙 − 𝟓 1.) f(x) = 𝒙 𝟐+𝟓𝒙 − 𝟑 ADDITION and SUBTRACTION
  • 22.
    ASSIGNMENT To besubmitted tomorrow WEDNESDAY (SEPTEMBER 23, 2020) UNTIL 5PM ONLY.
  • 23.
    MULTIPLICATION 1.) Product Rulefor Exponent Laws of Exponent (𝒙 𝒎 ) 𝒏 = 𝒙 𝒎𝒏2.) Power Rule for Exponent 𝒙 𝒎 • 𝒙 𝒏 = 𝒙 𝒎+𝒏 3.) Power of a Product Rule (𝒙𝒚) 𝒏 = 𝒙 𝒏 𝒚 𝒏
  • 24.
    A. Multiplying abinomial to a monomial EXAMPLE 1.) f(x) = 𝟓𝒙 g(x) = 𝒙 + 𝟒 (f • g)(x) = f(x) • g(x) = (𝟓𝒙) (𝒙 + 𝟒) (f • g)(x) = 𝟓𝒙 𝟐 +𝟐𝟎𝒙
  • 25.
    A. Multiplying abinomial to a binomial (FOIL) EXAMPLE 1.) f(x) = 𝒙 + 𝟑 g(x) = 𝒙 + 𝟓 (f • g)(x) = f(x) • g(x) = 𝒙 𝟐+𝟓𝒙 + 𝟑𝒙 + 𝟏𝟓 (f • g)(x) = 𝒙 𝟐 + 𝟖𝒙 + 𝟏𝟓 = (𝒙 + 𝟑) (𝒙 + 𝟓)
  • 26.
    A. Multiplying abinomial to a trinomial EXAMPLE 1.) f(x) = 𝟗𝒙 + 𝟓 g(x) = 𝟔𝒙 𝟐 + 𝒙 − 𝟓 (f • g)(x) = f(x) • g(x) = 𝟓𝟒𝒙 𝟑 +𝟗𝒙 𝟐 − 𝟔𝟑𝒙 − 𝟑𝟎𝒙 𝟐 − 𝟓𝒙 + 𝟑𝟓 (f • g)(x) = 𝟓𝟒𝒙 𝟑 −𝟐𝟏 𝒙 𝟐 − 𝟔𝟖𝒙 + 𝟑𝟓 = (𝟗𝒙 + 𝟓) ( 𝟔𝒙 𝟐 + 𝒙 − 𝟓)
  • 27.
    DIVISION 1.) 𝒙 𝒎 𝒙 𝒏= 𝒙 𝒎−𝒏 ; 𝒘𝒉𝒆𝒏 𝒎 > 𝐧 Rules of Division of Exponent 2.) 𝒙 𝒎 𝒙 𝒏 = 𝟏 𝒙 𝒏−𝒎 ; 𝒘𝒉𝒆𝒏 𝒎 < 𝐧 3.) 𝒙 𝒎 𝒙 𝒏 = 𝒙 𝟎 = 𝟏; 𝒘𝒉𝒆𝒏 𝒎 = 𝟎
  • 28.
    EXAMPLE 1.) f(x) =𝟏𝟓𝒙 𝟏𝟓 g(x) = 𝟑𝒙 𝟗 𝒇 𝒈 𝒙 = 𝟓𝒙 𝟔 = 𝟏𝟓𝒙 𝟏𝟓 𝟑𝒙 𝟗𝒇 𝒈 𝒙 = 𝒇(𝒙) 𝒈(𝒙)
  • 29.
    EXAMPLE 2.) f(x) =−𝟒𝒙 𝟓 g(x) = 𝟐𝒙 𝟖 𝒇 𝒈 𝒙 = −𝟐 𝒙 𝟑 = −𝟒𝒙 𝟓 𝟐𝒙 𝟖 𝒇 𝒈 𝒙 = 𝒇(𝒙) 𝒈(𝒙) = −𝟐( 𝟏 𝒙 𝟖−𝟓) 2.) 𝒙 𝒎 𝒙 𝒏 = 𝟏 𝒙 𝒏−𝒎 ; 𝒘𝒉𝒆𝒏 𝒎 < 𝐧
  • 30.
    EXAMPLE 3.) f(x) =𝟗𝒙 𝟔 g(x) = 𝟗𝒙 𝟔 𝒇 𝒈 𝒙 = 𝟏 = 𝟗𝒙 𝟔 𝟗𝒙 𝟔 𝒇 𝒈 𝒙 = 𝒇(𝒙) 𝒈(𝒙) = 𝟏(𝒙 𝟎 ) = 𝟏(𝟏) 3.) 𝒙 𝒎 𝒙 𝒏 = 𝒙 𝟎 = 𝟏; 𝒘𝒉𝒆𝒏 𝒎 = 𝟎
  • 31.
    EXAMPLE 4.) f(x) =𝟐𝒙− 𝟐 g(x) = 𝒙 𝟐 +𝟐𝒙 − 𝟑 𝒇 𝒈 𝒙 = 𝟐 𝒙 + 𝟑 = 𝟐𝒙 −𝟐 𝒙 𝟐+𝟐𝒙 −𝟑 𝒇 𝒈 𝒙 = 𝒇(𝒙) 𝒈(𝒙) = 𝟐(𝒙 −𝟏) (𝒙−𝟏)(𝒙 −𝟑)
  • 32.
    EXAMPLE 5.) f(x) =𝒙 − 𝟓 g(x) = 𝟏𝟎𝒙 − 𝟓𝟎 𝒇 𝒈 𝒙 = 𝟏 𝟏𝟎 = 𝒙−𝟓 𝟏𝟎𝒙 −𝟓𝟎 𝒇 𝒈 𝒙 = 𝒇(𝒙) 𝒈(𝒙) = 𝒙−𝟓 𝟏𝟎(𝒙 −𝟓)
  • 33.
    COMPOSITION  Write thegiven.  Replace x by the 2nd function.  Distribute  Combine like/similar terms.  Substitute the value of x.  Solve and simplify. (𝐟 °𝒈)(x) 1st 2nd (𝐠 °𝒇)(x) 1st 2nd
  • 34.
    EXAMPLE (f )(x) =𝟒𝒙 − 𝟓 g(x) = 𝒙 𝟐 + 𝟒 1. (f g)(3) = 4x - 5 1st 2nd x = 4(𝒙 𝟐 + 𝟒) - 5 = 4𝒙 𝟐 + 𝟏𝟔 − 𝟓 = 4𝒙 𝟐 + 𝟏𝟏 = 4(𝟑) 𝟐 +𝟏𝟏 = 𝟑𝟔 + 𝟏𝟏 (f g)(3) = 47
  • 35.
    EXAMPLE (f)(x) = 𝟒𝒙− 𝟓 g(x) = 𝒙 𝟐 + 𝟒 2. (g f)(2) = 𝒙 𝟐 + 𝟒 1st 2nd x = (𝟒𝐱 − 𝟓 ) 𝟐 + 𝟒 = 𝟏𝟔𝒙 𝟐 − 𝟐𝟎𝒙 − 𝟐𝟎𝒙 + 𝟐𝟓 + 𝟒 = 𝟏𝟔𝒙 𝟐 − 𝟒𝟎𝒙 + 𝟐𝟗 = 𝟔𝟒 − 𝟖𝟎 + 𝟐𝟗 (g f)(2) = 13 FOIL METHOD = 𝟏𝟔(𝟐) 𝟐 −𝟒𝟎(𝟐) + 𝟐𝟗
  • 36.
    EXAMPLE (f)(x) = 𝟒𝒙g(x) = 𝒙 − 𝟑 1. (f g)(-2) = 4x 1st 2nd x = 4(𝒙 − 𝟑) = 4𝒙 − 𝟏𝟐 = 4 −𝟐 − 𝟏𝟐 (f g)(-2) = -20
  • 37.
    EXAMPLE (f)(x) = 𝟒𝒙g(x) = 𝒙 − 𝟑 1. (g f)(-2) = x – 3 1st 2nd x = (4𝒙 − 𝟑) = 4 −𝟐 − 𝟑 (g f)(-2) = -11
  • 38.
    ASSIGNMENT! IN YOUR BOOKANSWER, PAGE 3 # 1-3 PAGE 5-6 # 1-6
  • 39.
  • 40.
    If 270 traveledto an event. There were 7 buses and 18 others in cars. Find the number of people on each bus. 𝒙 = # 𝒐𝒇 𝒑𝒆𝒐𝒑𝒍𝒆 𝒐𝒏 𝒆𝒂𝒄𝒉 𝒃𝒖𝒔. 𝟕𝒙 + 𝟏𝟖 = 𝟐𝟕𝟎 𝟕𝒙 = 𝟐𝟕𝟎 − 𝟏𝟖 𝟕𝒙 = 𝟐𝟓𝟐 𝒙 = 𝟑𝟔 𝑻𝒉𝒆𝒓𝒆𝒇𝒐𝒓𝒆, 𝒕𝒉𝒆𝒓𝒆 𝒂𝒓𝒆 𝟑𝟔 𝒑𝒆𝒐𝒑𝒍𝒆 𝒐𝒏 𝒆𝒂𝒄𝒉 𝒃𝒖𝒔.
  • 41.
    A plumber’s fees(F) are 50 for a house call and 30 for each hour (H) worked. 𝟑𝟎𝒉 + 𝟓𝟎 = 𝒇 𝟑𝟎(𝟏) + 𝟓𝟎 = 𝒇 𝟖𝟎 = 𝒇 X Y 1 2 𝟑𝟎 + 𝟓𝟎 = 𝒇
  • 42.
    The total cost(C) for pounds (p) of copper, if each pound costs ₱5.67? 𝟓. 𝟔𝟕𝒑 = 𝑪 𝟓. 𝟔𝟕 𝟏 = 𝑪 𝟓. 𝟔𝟕 = 𝑪 X Y 1 2 3 4
  • 43.
    ASSIGNMENT! IN YOUR BOOKANSWER, PAGE 4: Letter B # 1 & 2 ( A and B)