Embed presentation
Downloaded 141 times
















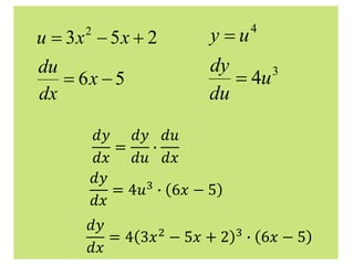
The document discusses the chain rule for taking derivatives of composite functions. It explains that the chain rule allows you to break down composite functions into their constituent parts. The chain rule states that the derivative of the outside function is the derivative of the inside function multiplied by the derivative of the inside with respect to the outside. The document provides an example of using the chain rule to take the derivative of a polynomial function composed of simpler functions. It also notes that the general power rule can be used to take derivatives when the outside function is a power and the inside is a differentiable function.














