2
UNIT-II
CRYSTAL STRUCTURE
Dr. S. Victor Vedanayakam
Asst. Professor, Dept. of Physics
MITS, Madanapalle
Lecture by
IMPORTANCE OF CRYSTALLOGRAPHY
 The study of crystal geometry helps to
understand the behaviour of solids and their
 mechanical,
 electrical,
 magnetic
 optical and
 Metallurgical properties
• Matter in universe is
mainly classified into
three kinds
• Solids: All atoms or
molecules are arranged in
a fixed manner and have
definite shape and size.
• Liquids & Gases:
Atoms or molecules are
not fixed and cannot form
any shape and size. They
gain the shape and size of
the container.
solid
liquid gas
• Basing on the arrangement of atoms or molecules
Solids are classified into two categories
• i) Crystalline Solids: The solids in which atoms or
molecules are arranged in a regular and orderly
manner in three dimensional pattern, are called
Crystalline Solids.
• These solids have directional properties and called
anisotropic substances
• Ex: i) Metalic: Gold, Silver, Aluminium
ii) Non-Metalic: Diamond, Silicon,
Nacl
ii) Amorphous Solids: The atoms or
molecules are arranged in an irregular
manner, i.e there is no lattice structure.
These solids have no directional
properties and are called isotropic
substances.
Ex: Glass, Plastic,
rubber, etc
amorphous silicon dioxide
Differences b/n CS and AS
Crystalline Solids Amorphous Solids
1.Atoms or molecules have regular
periodic arrangements
2.They exhibit different magnitudes of
physical properties in different
directions.
3.They are anisotropic in nature.
4. They exhibit directional properties.
5.They have sharp melting points.
6. Crystal breaks along regular crystal
planes and hence the crystal pieces
have regular shape
Ex: Copper, Silver, Aluminium etc
Atoms or molecules are not arranged in
a regular periodic manner. They have
random arrangement.
They exhibit same magnitudes of
physical properties in different
directions
They are isotropic in nature.
They do not exhibit directional
properties.
They do not possess sharp melting
points
Amorphous solids breaks into irregular
shape due to lack of crystal plane.
Ex: Glass, Plastic, rubber, etc.
IMPORTANT TERMS
 Lattice Points: The points in the space,
replacing the atoms in the structure of a
crystal, with regular periodic arrangement
and have identical environment with
respect to other points, are called lattice
points.
. . . . . . . . . Lattice points
. . . . .p . . . .
. . . . . . . . .
.o . . . . . . . .
 Primitive vectors The vectors which
when repeated regularly give the array
of lattice points in space lattice, they
are known as fundamental translational
vectors (or) basis vectors (or) primitive
vectors.
. . . . . . . . .
. . . . .p . . . .
b . . . . . . . . .
o. . . . . . . . .
a
The position vector of the point p is given by P = 4a + 2b
 Space Lattice (or) Crystal Lattice:
The regular orderly arrangement of lattice
points in space which resembles the atoms
or molecules in a crystal such that every
point has same environment with respect to
all other points is known as space lattice (or)
crystal lattice.
* * * * * * * * * * atoms
* * * * * * * * * *
* * * * * * * * * *
* * * * * * * * * *
* * * * * * * * * *
Lattice: The regular orderly arrangement of lattice points in
space which resembles the atoms or molecules in a
crystal such that every point has same environment with
respect to all other points is known as space lattice (or)
crystal lattice.
• 2D – Space Lattice: The regular orderly arrangement of
lattice points in two dimensional space which resembles
the atoms or molecules in a crystal such that every point
has same environment with respect to all other points is
known as 2D - space lattice.
• 3D- Space Lattice: The regular orderly arrangement of
lattice points in three dimensional space which resembles
the atoms or molecules in a crystal such that every point
has same environment with respect to all other points is
known as 3D space lattice.
• Basis: The set of atoms or molecules attached
to each lattice point in a crystal structure,
identical in composition, arrangement and
orientation, is called the basis of a crystal
lattice.
• ₀•⁰ ₀•⁰ ₀•⁰ ₀•⁰ ₀•⁰ ₀•⁰ ₀•⁰ atom or molecule
• ₀•⁰ ₀•⁰ ₀•⁰ ₀•⁰ ₀•⁰ ₀•⁰ ₀•⁰
• ₀•⁰ ₀•⁰ ₀•⁰ ₀•⁰ ₀•⁰ ₀•⁰ ₀•⁰ Basis
• ₀•⁰ ₀•⁰ ₀•⁰ ₀•⁰ ₀•⁰ ₀•⁰ ₀•⁰
Crystal Structure = Basis + Crystal lattice
+
=
Unit cell: The smallest block or geometrical figure from which the crystal is
build up by repetition in three dimensions, is called unit cell. (or)
The fundamental grouping of particles which are repeating entities, is called
unit cell.
It is a fundamental elementary pattern.
This unit cell is basic structural unit or building blocks of the crystal structure
• • • • • • • •
• • • • • • • •
• • • • • • • • (Three dimensional Unit Cell)
• • • • • • • •
• • • • • • • •
• • • • • • • •
• • • • • • • •
• • • • • • • •
• • • • • • • • (Two dimensional Unit Cell)
• Crystallographic Axes: These are the lines
drawn parallel to the lines of intersection of
any three faces of the unit cell which do not
lie in the same plane. ox,oy oz
• Primitives: The three sides of unit cell are
called Primitives. They are denoted by a,b,c.
They are also known as lattice constants.
• Interfacial angles: The angles between three
crystallographic axes of the unit cell are called
interfacial angles.
• The angle b/w Y and Z axis is α
• Z and X axes is β
• X and Y axes is γ
Z
c
α
β o b Y
a γ
a,b & c – primitives
X α ,β & γ _ Interfacial angles
• Crystal Systems: On the basis of lattice parameters or shape of the unit cell ,
crystal systems are classified into seven categories.
S.No Crystal
structure
Lattice parameters Examples Unit cell
geometry
1
Cubic
a = b = c,
α = β = γ = 90°
2
Tetragonal
a = b ≠ c,
α = β = γ = 90°
3
Orthorhombic
a ≠ b ≠ c,
α = β = γ = 90°
4
Monoclinic
a ≠ b ≠ c,
α =β = 90°, γ ≠ 90°
5
Triclinic
a ≠ b ≠ c,
α ≠ β ≠ γ ≠ 90°
6 Rhombohedral
(Trigonal)
a = b = c,
α = β = γ ≠ 90°
7 Hexagonal
a = b ≠ c,
α = β = 90°, γ =120°
• Bravais Lattices: In 1948 Bravais showed
that, there are fourteen ways of arranging
points in space lattice, under the seven crystal
systems to describe crystals. They are
classified on the basis of the following crystal
lattices.
 Primitive lattive (P) : In this lattice the unit cell consists of
eight corner atoms and all these corner atoms contribute
only one effective atom for the lattice
 Body centered lattice (I):
 In this lattice, in addition to the eight
corner atoms, it consists of one complete
atom at the centre.
 Face Centered lattice (F):
In this lattice along with the corner atoms,
each face will have one centre atom.
Base Centered lattice (C): In this
lattice along with the corner
atoms, the base and opposite
face will have centre atoms
Three common cubic examples:
Crystal Systems & Bravais Lattices
Expression for Lattice Constant.
In a cubic unit cell, the sides of the cube are equal
and constant, which is known as lattice constant.
a = b = c = lattice constant(a)
Consider a cubic unit cell with lattice parameters
a = b = c and
α = β = γ = 900
Let ρ be the density of the cell.
Volume of the cubic unit cell = a 3
Mass of the cubic unit cell = a3 ρ ….(1)
If M is the molecular weight of the cell and NA is
the Avogadro's number,
Mass of each atom in unit cell = M / NA
If n is number of atoms in a unit cell, then
Mass of the cubic unit cell = nM / NA …(2)
from 1 and 2, a3 ρ = nM / NA
a3 = nM / ρ NA
a = [nM / ρ NA ]1/3
 Atomic radius (r): The half of the distance between any
two successive atoms in a crystal lattice is called atomic
radius.
 Nearest Neighbour Distance (2r) : The distance
between two nearest neighboring atoms in a crystal lattice
is known as the nearest neighbour distance.
 Effective number of atoms per unit cell: The total
number of atoms in a unit cell by considering the
contribution of corner atoms, centre atoms and face
centered atoms, is called Effective number of atoms per
unit cell.
 Coordination number (N) : The number of equidistant
neighbors that an atom has in a crystal lattice is known as
the coordination number.
The coordination No = 6 for sc,
8for bcc,
12 for fcc.
 Atomic Packing Factor: The ratio between
the total volume occupied by the atoms in a
unit cell to the total volume of the unit cell is
called packing factor.
 Atomic Packing factor =
=
 Interstitial Space (or) Void Space
The empty space available in a crystal
lattice with atoms occupying their
respective positions is called
Interstitial space or void space.
Density : we know a3 = n M / ρ NA
ρ = n M / a3 NA
Simple cubic crystal structure
A simple cubic unit structure
consists of eight corner atoms. It
is a primitive cell.
Lattice parameters:
a = b = c and
α = β = γ = 900
Effective number of atoms in unit
cell:
In actual crystals each and every
corner atom is shared by eight
adjacent unit cells. There each
and every corner atom
contributes 1/8 of its part to
one unit cell. Hence effective
number of atoms in unit cell =
[1/8] X 8 = 1
 Nearest neighbour distance: Let r be the
radius of spherical corner atoms. Then the
nearest neighbour distance = 2r = a
 Coordination number: For corner atom,
there are four nearest neighbours in its own
plane. There is another nearest neighbour in
a plane which lies just above this atom and
yet another nearest neighbour in another
plane which lies just below this atom.
Therefore the total number of nearest
neighbours is 6.
 Atomic packing factor:
 A corner atom is shared by eight unit cells
 Contribution of a corner atom is 1/8
 Cube has 8 corners
 Hence contribution of 8 corner atoms= [1/8]X8 = 1
 Number of atoms per unit cell= 1
 If r is the radius of the atom, distance between the centers of
two neighboring atoms = 2r = a
 r = a/2
 Volume of one atom = 4/3 πr3
 Volume of unit cell = a3
 atomic packing factor =
 =
 = π/6
 atomic packing factor = 0.52 i.e. 52 % of the volume of the simple
cubic unit cell is occupied by atoms. The void space is 48%
 Example: Polonium crystal. Hence this structure is loosely packed.
Body Centered Cubic Structure
A body centered cubic structure consists of eight corner
atoms and one body centered atom. It is not a primitive
cell.
Lattice parameters: a = b = c and
α = β = γ = 900
Effective number of atoms in unit cell:
In BCC unit cell, each and every corner atom is shared by
eight adjacent unit cells. Total number of atoms
contributed by corner atoms
= [1/8] X 8 = 1
BCC unit cell has 1 full atom at the center of the unit cell.
The effective number of atoms present in a bcc unit cell is
=1+1 = 2
 Coordination number: the nearest neighbor
for a body centered atom is a corner atom. A
body centered atom is surrounded by eight
corner atoms. Therefore the coordination
number of a bcc unit cell is 8.
 Atomic radius: For BCC the atoms touch along the body
diagonal
 The diagonal length = 4r
D
A
C a B
 From ∆ le ABC AC2 = AB2 + BC2
 = a2 + a2 = 2a2
 AC =
From ∆ le ACD AD2 = AC2 + CD2
= 2a2 + a2
= 3a2
AD =
therefore = 4r
i.e r =
•r
2r
r•
a
 Packing factor:
 atomic packing factor =
 =
 packing factor =

 = 0.68
 The atoms in BCC occupy 68% of the space and the rest is empty.
 The void space (or) interstitial space is 32%
 Hence BCC is tightly packed than simple cubic structure.
 Ex: Sodium, Potassium, Chromium, tungsten etc.
Face Centered Cubic Structure
A Face centered cubic unit
structure consists of eight
corner atoms and each face
has a center atom.
Lattice parameters:
a = b = c and
α = β = γ = 900
Effective number of atoms in
unit cell:
Each unit cell contains (1/8 x 8
corner atoms) + (1/2 x 6 face
atoms) = 1+3 = 4 atoms.
Atomic radius can be
calculated as fallows:
To fit the same size spheres along
the face diagonal, the face
diagonal must be four times the
radius of the spheres, i.e. d=4r
• From Pythagoras the face
diagonal is :
hence
Coordination number: For corner atom, there
are four face centered atoms. These face
centered atoms are its nearest neighbours.
In a plane just above this corner atom, it
has four more face centered atoms. In a
plane which lies just below this corner it
has yet four more face centered atoms.
Therefore the nearest number of atoms is 12
• Packing Factor:
• Each unit cell contains (1/8 x 8
corner atoms) + (1/2 x 6 face
atoms)
= 1+3 = 4 atoms.
b = 4r –> b = a√2
a√2 = 4r –> a = 4/√2 r
a = 2√2 r
Volume of the atoms in the cell
= 4 x (4/3 πr3)
= 16/3 πr3
Volume of cube = a3
= (2√2 r)3
= 16√2 r3
 Packing Factor = Volume of atom/volume of
cube
= (16/3 πr3)/(16√2 r3)
= π/3√2
= 0.74
= 74%
Actually, the corner atoms touch the
one in the center of the face. The packing
efficiency of 74%. No other packing can
exceed this efficiency (although there are
others with the same packing efficiency).
Hence fcc is more closely packed than bcc
and sc.
 Examples: nickel, silver, gold, copper, and
aluminum
STRUCTURE OF DIAMOND
The diamond unit cell is cubic. The unit cell has
eight atoms.
This cubic structure of diamond is obtained by the
interpenetration of two fcc sub lattices along the
body diagonal by 1/4th cube edge.
 If x is one sub lattice and has its
origin at (0,0,0) the other sub
lattice y has its origin 1/4th of ‘a’
along body diagonal at
(a/4, a/4, a/4).
Each atom has 4 bonds, hence
coordination number is 4.
The fractions represent ¼ ½ ¾
the height above the base units
of cube edge.
In unit cell diamond has
1) eight corner atoms
2) six face centered atoms
3) four more atoms located
inside
No of atoms per unit cell:
In diamond there are 2 fcc lattices
The effective number of atoms per unit cell of fcc
lattice is Each unit cell contains
(1/8 x 8 corner atoms) + (1/2 x 6 face atoms)
= 1+3
= 4 atoms.
Two fcc unit cells have 4+4 i.e 8 atoms
Hence effective number of atoms per unit cell of
diamond is 8
 Atomic radius: Let one sub lattice is x and the other y is ¼
away along the body diagonal.
 Consider the projection of atom y on to the bottom surface at
z and joining x with z and to the edge of the cube
x
r z
a/4
a/4
a/4
y
Packing factor:
Atomic packing factor =
= 0.34
 The carbon atoms in diamond occupy 34% of the space and the rest is
empty.
The void space (or) interstitial space is 66%
Hence diamond is most loosely packed than other cubic structure.
Examples: Semiconductors Germanium, Silicon posses this structure.
 Hardness of diamond implies its resistance to
scratching.
 Diamond is the hardest natural mineral found
on this planet. Diamond derives its name
from Greek word A’da’mas. It means
'unbreakable' which refers to its hardness. In
Sanskrit it is called Vajra meaning
'thunderbolt‘.
 In terms of absolute hardness, it is 4 times
harder than Corundum - the next hardest
substance from which rubies and sapphires
are formed.
Reason behind Hardness is Diamond Structure

Diamond is formed of tetrahedral bonded carbon atoms with 1
carbon atom linked to 4 other carbon atoms.
 This bond structure (SP3 ) forms an inflexible three dimensional
lattice and it is the prime reason behind the hardness of
diamond.
 Hardness" of a substance means its resistance to scratching. So,
when we say that diamond is the hardest substance, then it
means that it can’t be scratched by any material except another
diamond.
 On the other hand, "Toughness" of a substance means its ability
to resist fracture or breakage when it is stressed or impacted. So,
while diamond is the "hardest" substance, in terms of toughness
it can be only moderately rated.
 This is because of its ability to fracture along cleavage plane.
This comparison will make your understanding clearer –
Hematite (ore of iron) has hardness value 5.5-6.5 on Mohs Scale
compared to Diamond’s value of 10, but on the scale of
toughness Hematite is tougher than Diamond. -
NaCl structure
NaCl has FCC structure with Na+ and Cl- ions as basis. The
Na+ ions are situated at corners as well as at the center of the
faces of cube. Cl- ions are relatively placed at ½ of the edge of
unit cell along each axis.
 NaCl crystal is formed by interpenetration
of two FCC sub lattices of Na+ and Cl-
ions exactly at the half of the edge of the
lattice along each axis.
 If the Cl- ions occupy corners of the unit
cell, one corner is taken as the origin and
the coordinates of ions are expressed in
fractions of the edge length of the cube.
The coordinates of Cl- ions are 000,
½0½, 0½½, ½ ½ 0.
 In the same system the coordinates of
the four Na ions are ½½½ , ½00, 0½0,
00½
No of atoms per unit cell: The unit cell of NaCl
contains four sodium and four chlorine ions. Therefore
the unit cell contains 4 NaCl molecules.
The Each unit cell has 8 corner atoms contributing 1/8th
to the unit cell.
And 6 face centered atoms contributing ½ to the unit
cell.
No of atoms per unit cell = (1/8 x 8 corner atoms)
+ (1/2 x 6 face atoms)
= 4
Coordination number: Each Na+ ion has 6 nearest
Cl- ions and each Cl- has 6 nearest Na + ions.
The coordination number for opposite kind of ions is 6
with distance (d=a/2)
The coordination number for same kind of ions is 12
with distance (d= a√2)
NaCl Crystal Lattice
Horizontal Rotation Vertical Rotation
NaCl Crystal Lattice
 An alternative Unit cell may have Na+ and Cl-
interchanged.
 Examples: AgCl, CaO, CsF, LiF, LiCl, NaF, NaCl,
KF, KCl, MgO.
 MILLER INDICES – CRYSTAL PLANES
 Miller Indices are three, smallest integers which have the
same ratio as the reciprocals of the intercepts of the
crystal plane with the coordinate axes.
 They are a set of three integers used to describe the
orientation of crystal planes.
 Ex:
PROCEDURE To Find Miller Indices:
1)The intercepts made by the crystal
plane along x,y, and z axis in terms of
lattice parameters a,b,c are noted.
2) The intercepts are expressed as
multiples of a,b,c
3) The reciprocals of the intercepts are
taken.
4) The reciprocals are converted into
integers by multiplying each one of them
with their LCM.
5) The integers are enclosed in smaller
parenthesis, which represents the Miller
Let the intercepts by a given latatice plane
on the three crystallographic axes x,y, and
z are in the ratio
 pa:qb:rc
Where a,b & c are primitives
 p,q & r be small integers
 the reciprocals of p,q, & r are taken
 1/p,1/q,1/r
Find small integers h,k,l such that
 h:k:l = 1/p:1/q:1/r
The set of integers (h,k,l) is called Miller
Indices
 Example:
 Let the plane ABC
has intercepts of 2
units along x-axis,
3units along Y-axis
and 2units along z-
axis
 Intercept values are
(2,3,2)
 Reciprocals of the
intercepts1/2, 1/3,1/2
 Smallest whole
numbers 6/2, 6/3,
Y
 3b
 O 2a X
 Z

 Note: While writing Miller indices, a comma or
dot between any two numbers may be
avoided.
 The positive X axis is represented as (100),Y
axis as (010) and Z axis as(001), the
negative X axis as (100) negative Y axis as
(010) and negative Z axis as (001).
 Important Features:
 Miller indices represent the orientation of
crystal planes in a crystal lattice.
 Any plane parallel to one of the coordinate
axes will have infinite intercept, and the
corresponding Miller index becomes zero.
 A plane passing through the origin is defined
in terms of a parallel plane having non-zero
intercepts.
 If Miller indices of the planes have the same
ratio then the planes are parallel to each
other. Ex: (211), (422)
 If a plane is parallel to any axis, its
fractional intercept is taken as “∞”⇒hence
corresponding index is “0”.
 If a plane cuts a –ve axis, the
corresponding index is negative,
 Cubic Systems: direction [hkl] is always
⊥to plane (hkl)
 The planes (nh, nk, nl) are parallel to (hkl)
and have 1/nth spacing
 Let oa, ob,oc be the
orthogonal axes.
Consider a plane abc
with MI (hkl), passing
through origin.
 Let on=d is the normal
to the plane abc, which
is the interplanar
spacing for another
plane (xyz)
 Let xyz makes
intercepts (a/h,b/k,c/l)
along three axes.
c
z
c/l d . n
o a/h x
a
b/k
y
b
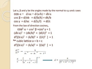
Let α, β and γ be the angles made by the normal to x,y and z axes
cos α = d/oa = d/(a/h) = dh/a
cos β = d/ob = d/(b/k) = dk/b
cos γ = d/oc = d/(c/l) = dl/c
From the law of direction cosines,
cos2 α + cos2 β +cos2 γ = 1
(dh/a)2 + (dk/b)2 + (dl/c)2 = 1
d2[(h/a)2 + (k/b)2 + (l/c)2 ] = 1
For cubic lattice a = b = c
d2[(h/a)2 + (k/a)2 + (l/a)2 ] = 1
X-ray diffractions by Crystal Planes
• As the wave length of X-Rays is very small (0.1nm)
grating cannot be used to X – ray diffraction studies
as the spacing cannot be comparable to wavelength
of x –rays.
• Laue suggested that a crystal which consists of a
three dimensional array of regularly spaced atoms
will be produce observable diffraction effects for x-
rays
• The diffraction pattern consists of a central spot and
a series of spots arranged in a definite pattern
around the central spot. This pattern is known as
Laue’s pattern.
If ‘d’ is the inter planar spacing in a crystal,
λ is the wave length of the Incident x-rays
n is the order of diffraction spots
θ is incident angle,
2d sinθ = nλ
A Simpler Formulation
Just one year after von Laue’s work, two British physicists developed a simpler
(and easier to use) expression for the x-ray diffraction condition, and actually
used it to determine the crystal structure of NaCl!
This was a father & son team: William Henry Bragg and William Lawrence
Bragg. The father is shown at left below, along with Max von Laue.
The Braggs’ experimental skill and their
simple equation allowed them to
quickly determine the crystal structure
of many common salts and metals.
Max von Laue and the Braggs received
the Nobel Prize in physics in 1914 and
1915, respectively.
Derivation:
Consider a set of parallel planes of crystal in which
spacing between successive planes is d. If a
narrow beam of x-rays of wave length λ be
incident on the planes with a glansing angle θ.
AA1 and BB1 are two consecutive planes
XO and X1O1 are two light rays, reflected at O and
O1 along OY and OY1 such that
YOA1 = Y1 O1 B1= = θ
 OP and OQ are
perpendicular lines drawn
from O on X1 O1
 The path difference
between the two beams
reflected at two consecutive
planes will be,
 ∆ = PO1 + O1Q
 From ∆ le OPO1 Sinθ = =
= d Sinθ
From ∆ le OQO1 Sinθ = =
= d Sinθ

 ∆ = PO1 + O1Q = 2d sinθ
 If path difference is integral
multiple of λ, the reflected light
beam forms constructive
interference and gives
maximum.
 2d sinθ = nλ
x y
x1 y1
O θ
A A1
P Q
d
B θ B1
O1
Importance of Bragg’s law:
From Bragg’s law d= , the inter planar
distance can be calculated
The lattice constant ‘a’ can be calculated
from the value of d
Knowing a and ρ and M(molecular weight )
of the crystal, the number of atoms in
unit cell can be calculated.
Knowing d and a, [h2 + k2 + l2 ] can be
calculated
Depending on the values of h2 + k2 + l2 we
can classify the crystal structure .

LAUE X-RAY DIFFRACTION METHOD :
1.The Laue method is one of the x-ray diffraction
techniques used for crystal structure studies.
2. The experimental arrangement is as in fig.
3. The crystal whose structure has to be studied,
is held stationary in a continuous x-ray beam
4. After passing through the pin holes of lead
diaphragms,
a fine beam of x-rays is obtained
5 These x-rays are allowed to fall on the crystal.
6. The crystal planes in the crystal diffract the x – rays
satisfying Bragg’s law.
7. The diffracted x-rays are allowed to fall on
a photographic plate.
8. The diffraction pattern consists of a series of bright spots
corresponding to interference,
satisfying the Braggs Law, for a particular wavelength of
incident X=rays.
Merits :
This method is used for determination of crystal
orientation and symmetry.
It is also used to study crystalline imperfections.
Demerits:
As several wavelengths of X-rays diffract from the
same plane, and superimpose on same Laue spot,
it is not convenient to determine actual crystal
structure
Powder Method
(Debye-Scherrer Method)
 The powder method is an X-ray diffraction
technique used to study the structure of micro
crystals in the form of powder.
 Used to determine lattice type and detailed
crystal structure
 The experimental arrangement is as in the
figure.
 It consists of a cylindrical camera, consisting of
a film in the inner portion.
Monochromatic
source
sample
Film or
movable
detector
2
•Sample is finely ground so that
essentially all of the (hkl) planes
that can cause diffraction are
present. As a result, an intensity
peak is measured for each of
these planes:
Intensity
2
•The powder is prepared by crushing the polycrystalline
material so that it consists of crystallites.
•The finely powdered crystal is filled in a capillary tube
and held stationary.
•Around the powder specimen a photograph film is set
circularly so as to record the diffraction at any possible
angle ϴ.
 Procedure:
 A fine beam of monochromatic x-rays are
send through the powdered crystal.
 The x-rays are diffracted from individual
micro crystals which orient with planes
making Bragg’s angle ϴ with the beam
For different values of ϴ and d.
 The diffracted rays corresponding to fixed
values of ϴ and d, lie on the surface of a cone
with its apex at the tube p and the semi
vertical angle 2ϴ.
 Different cones are observed for different sets
of ϴ and d, for a particular order of n.
 The diffracted X-ray cones make impressions
on the film in the form of arcs on either side
of the exit and entry holes, with centers
coinciding with the hole.
• The angle ϴ corresponding to a particular pair
of arcs is related to the distance s between the
arcs as,
4ϴ (rad) = S/R { angle = arc/ radius }
w her R is the radius of the camera.
4ϴ (deg) = [S/R] x [180/π]
= (57.296) S/R
From the above expression ϴ can be calculated.
The inter planar spacing for first order
diffraction is,
d =
d = λ/ 2 sinϴ
• Merits:
Using filter, we get monochromatic x-rays (λ
remains constant)
All crystallites are exposed to X-rays and
diffractions take place with all available planes.
Knowing all parameters, crystal structure can be
studied completely.
Engineering Physics - Crystal structure - Dr. Victor Vedanayakam.S

Engineering Physics - Crystal structure - Dr. Victor Vedanayakam.S

  • 2.
    2 UNIT-II CRYSTAL STRUCTURE Dr. S.Victor Vedanayakam Asst. Professor, Dept. of Physics MITS, Madanapalle Lecture by
  • 3.
    IMPORTANCE OF CRYSTALLOGRAPHY The study of crystal geometry helps to understand the behaviour of solids and their  mechanical,  electrical,  magnetic  optical and  Metallurgical properties
  • 4.
    • Matter inuniverse is mainly classified into three kinds • Solids: All atoms or molecules are arranged in a fixed manner and have definite shape and size. • Liquids & Gases: Atoms or molecules are not fixed and cannot form any shape and size. They gain the shape and size of the container. solid liquid gas
  • 5.
    • Basing onthe arrangement of atoms or molecules Solids are classified into two categories • i) Crystalline Solids: The solids in which atoms or molecules are arranged in a regular and orderly manner in three dimensional pattern, are called Crystalline Solids. • These solids have directional properties and called anisotropic substances • Ex: i) Metalic: Gold, Silver, Aluminium ii) Non-Metalic: Diamond, Silicon, Nacl
  • 6.
    ii) Amorphous Solids:The atoms or molecules are arranged in an irregular manner, i.e there is no lattice structure. These solids have no directional properties and are called isotropic substances. Ex: Glass, Plastic, rubber, etc amorphous silicon dioxide
  • 7.
    Differences b/n CSand AS Crystalline Solids Amorphous Solids 1.Atoms or molecules have regular periodic arrangements 2.They exhibit different magnitudes of physical properties in different directions. 3.They are anisotropic in nature. 4. They exhibit directional properties. 5.They have sharp melting points. 6. Crystal breaks along regular crystal planes and hence the crystal pieces have regular shape Ex: Copper, Silver, Aluminium etc Atoms or molecules are not arranged in a regular periodic manner. They have random arrangement. They exhibit same magnitudes of physical properties in different directions They are isotropic in nature. They do not exhibit directional properties. They do not possess sharp melting points Amorphous solids breaks into irregular shape due to lack of crystal plane. Ex: Glass, Plastic, rubber, etc.
  • 8.
    IMPORTANT TERMS  LatticePoints: The points in the space, replacing the atoms in the structure of a crystal, with regular periodic arrangement and have identical environment with respect to other points, are called lattice points. . . . . . . . . . Lattice points . . . . .p . . . . . . . . . . . . . .o . . . . . . . .
  • 9.
     Primitive vectorsThe vectors which when repeated regularly give the array of lattice points in space lattice, they are known as fundamental translational vectors (or) basis vectors (or) primitive vectors. . . . . . . . . . . . . . .p . . . . b . . . . . . . . . o. . . . . . . . . a The position vector of the point p is given by P = 4a + 2b
  • 10.
     Space Lattice(or) Crystal Lattice: The regular orderly arrangement of lattice points in space which resembles the atoms or molecules in a crystal such that every point has same environment with respect to all other points is known as space lattice (or) crystal lattice. * * * * * * * * * * atoms * * * * * * * * * * * * * * * * * * * * * * * * * * * * * * * * * * * * * * * *
  • 11.
    Lattice: The regularorderly arrangement of lattice points in space which resembles the atoms or molecules in a crystal such that every point has same environment with respect to all other points is known as space lattice (or) crystal lattice. • 2D – Space Lattice: The regular orderly arrangement of lattice points in two dimensional space which resembles the atoms or molecules in a crystal such that every point has same environment with respect to all other points is known as 2D - space lattice. • 3D- Space Lattice: The regular orderly arrangement of lattice points in three dimensional space which resembles the atoms or molecules in a crystal such that every point has same environment with respect to all other points is known as 3D space lattice.
  • 12.
    • Basis: Theset of atoms or molecules attached to each lattice point in a crystal structure, identical in composition, arrangement and orientation, is called the basis of a crystal lattice. • ₀•⁰ ₀•⁰ ₀•⁰ ₀•⁰ ₀•⁰ ₀•⁰ ₀•⁰ atom or molecule • ₀•⁰ ₀•⁰ ₀•⁰ ₀•⁰ ₀•⁰ ₀•⁰ ₀•⁰ • ₀•⁰ ₀•⁰ ₀•⁰ ₀•⁰ ₀•⁰ ₀•⁰ ₀•⁰ Basis • ₀•⁰ ₀•⁰ ₀•⁰ ₀•⁰ ₀•⁰ ₀•⁰ ₀•⁰ Crystal Structure = Basis + Crystal lattice
  • 13.
  • 14.
    Unit cell: Thesmallest block or geometrical figure from which the crystal is build up by repetition in three dimensions, is called unit cell. (or) The fundamental grouping of particles which are repeating entities, is called unit cell. It is a fundamental elementary pattern. This unit cell is basic structural unit or building blocks of the crystal structure • • • • • • • • • • • • • • • • • • • • • • • • (Three dimensional Unit Cell) • • • • • • • • • • • • • • • • • • • • • • • • • • • • • • • • • • • • • • • • • • • • • • • • (Two dimensional Unit Cell)
  • 15.
    • Crystallographic Axes:These are the lines drawn parallel to the lines of intersection of any three faces of the unit cell which do not lie in the same plane. ox,oy oz • Primitives: The three sides of unit cell are called Primitives. They are denoted by a,b,c. They are also known as lattice constants. • Interfacial angles: The angles between three crystallographic axes of the unit cell are called interfacial angles. • The angle b/w Y and Z axis is α • Z and X axes is β • X and Y axes is γ
  • 16.
    Z c α β o bY a γ a,b & c – primitives X α ,β & γ _ Interfacial angles
  • 17.
    • Crystal Systems:On the basis of lattice parameters or shape of the unit cell , crystal systems are classified into seven categories. S.No Crystal structure Lattice parameters Examples Unit cell geometry 1 Cubic a = b = c, α = β = γ = 90° 2 Tetragonal a = b ≠ c, α = β = γ = 90° 3 Orthorhombic a ≠ b ≠ c, α = β = γ = 90° 4 Monoclinic a ≠ b ≠ c, α =β = 90°, γ ≠ 90° 5 Triclinic a ≠ b ≠ c, α ≠ β ≠ γ ≠ 90° 6 Rhombohedral (Trigonal) a = b = c, α = β = γ ≠ 90° 7 Hexagonal a = b ≠ c, α = β = 90°, γ =120°
  • 18.
    • Bravais Lattices:In 1948 Bravais showed that, there are fourteen ways of arranging points in space lattice, under the seven crystal systems to describe crystals. They are classified on the basis of the following crystal lattices.
  • 19.
     Primitive lattive(P) : In this lattice the unit cell consists of eight corner atoms and all these corner atoms contribute only one effective atom for the lattice
  • 20.
     Body centeredlattice (I):  In this lattice, in addition to the eight corner atoms, it consists of one complete atom at the centre.
  • 21.
     Face Centeredlattice (F): In this lattice along with the corner atoms, each face will have one centre atom.
  • 22.
    Base Centered lattice(C): In this lattice along with the corner atoms, the base and opposite face will have centre atoms
  • 23.
  • 24.
    Crystal Systems &Bravais Lattices
  • 25.
    Expression for LatticeConstant. In a cubic unit cell, the sides of the cube are equal and constant, which is known as lattice constant. a = b = c = lattice constant(a) Consider a cubic unit cell with lattice parameters a = b = c and α = β = γ = 900 Let ρ be the density of the cell.
  • 26.
    Volume of thecubic unit cell = a 3 Mass of the cubic unit cell = a3 ρ ….(1) If M is the molecular weight of the cell and NA is the Avogadro's number, Mass of each atom in unit cell = M / NA If n is number of atoms in a unit cell, then Mass of the cubic unit cell = nM / NA …(2) from 1 and 2, a3 ρ = nM / NA a3 = nM / ρ NA a = [nM / ρ NA ]1/3
  • 27.
     Atomic radius(r): The half of the distance between any two successive atoms in a crystal lattice is called atomic radius.  Nearest Neighbour Distance (2r) : The distance between two nearest neighboring atoms in a crystal lattice is known as the nearest neighbour distance.  Effective number of atoms per unit cell: The total number of atoms in a unit cell by considering the contribution of corner atoms, centre atoms and face centered atoms, is called Effective number of atoms per unit cell.  Coordination number (N) : The number of equidistant neighbors that an atom has in a crystal lattice is known as the coordination number.
  • 28.
    The coordination No= 6 for sc, 8for bcc, 12 for fcc.
  • 29.
     Atomic PackingFactor: The ratio between the total volume occupied by the atoms in a unit cell to the total volume of the unit cell is called packing factor.  Atomic Packing factor = =
  • 30.
     Interstitial Space(or) Void Space The empty space available in a crystal lattice with atoms occupying their respective positions is called Interstitial space or void space. Density : we know a3 = n M / ρ NA ρ = n M / a3 NA
  • 31.
    Simple cubic crystalstructure A simple cubic unit structure consists of eight corner atoms. It is a primitive cell. Lattice parameters: a = b = c and α = β = γ = 900 Effective number of atoms in unit cell: In actual crystals each and every corner atom is shared by eight adjacent unit cells. There each and every corner atom contributes 1/8 of its part to one unit cell. Hence effective number of atoms in unit cell = [1/8] X 8 = 1
  • 32.
     Nearest neighbourdistance: Let r be the radius of spherical corner atoms. Then the nearest neighbour distance = 2r = a  Coordination number: For corner atom, there are four nearest neighbours in its own plane. There is another nearest neighbour in a plane which lies just above this atom and yet another nearest neighbour in another plane which lies just below this atom. Therefore the total number of nearest neighbours is 6.
  • 33.
     Atomic packingfactor:  A corner atom is shared by eight unit cells  Contribution of a corner atom is 1/8  Cube has 8 corners  Hence contribution of 8 corner atoms= [1/8]X8 = 1  Number of atoms per unit cell= 1  If r is the radius of the atom, distance between the centers of two neighboring atoms = 2r = a  r = a/2  Volume of one atom = 4/3 πr3  Volume of unit cell = a3  atomic packing factor =  =  = π/6  atomic packing factor = 0.52 i.e. 52 % of the volume of the simple cubic unit cell is occupied by atoms. The void space is 48%  Example: Polonium crystal. Hence this structure is loosely packed.
  • 35.
    Body Centered CubicStructure A body centered cubic structure consists of eight corner atoms and one body centered atom. It is not a primitive cell. Lattice parameters: a = b = c and α = β = γ = 900 Effective number of atoms in unit cell: In BCC unit cell, each and every corner atom is shared by eight adjacent unit cells. Total number of atoms contributed by corner atoms = [1/8] X 8 = 1 BCC unit cell has 1 full atom at the center of the unit cell. The effective number of atoms present in a bcc unit cell is =1+1 = 2
  • 37.
     Coordination number:the nearest neighbor for a body centered atom is a corner atom. A body centered atom is surrounded by eight corner atoms. Therefore the coordination number of a bcc unit cell is 8.
  • 38.
     Atomic radius:For BCC the atoms touch along the body diagonal  The diagonal length = 4r D A C a B  From ∆ le ABC AC2 = AB2 + BC2  = a2 + a2 = 2a2  AC = From ∆ le ACD AD2 = AC2 + CD2 = 2a2 + a2 = 3a2 AD = therefore = 4r i.e r = •r 2r r• a
  • 39.
     Packing factor: atomic packing factor =  =  packing factor =   = 0.68  The atoms in BCC occupy 68% of the space and the rest is empty.  The void space (or) interstitial space is 32%  Hence BCC is tightly packed than simple cubic structure.  Ex: Sodium, Potassium, Chromium, tungsten etc.
  • 40.
    Face Centered CubicStructure A Face centered cubic unit structure consists of eight corner atoms and each face has a center atom. Lattice parameters: a = b = c and α = β = γ = 900 Effective number of atoms in unit cell: Each unit cell contains (1/8 x 8 corner atoms) + (1/2 x 6 face atoms) = 1+3 = 4 atoms. Atomic radius can be calculated as fallows: To fit the same size spheres along the face diagonal, the face diagonal must be four times the radius of the spheres, i.e. d=4r • From Pythagoras the face diagonal is : hence
  • 41.
    Coordination number: Forcorner atom, there are four face centered atoms. These face centered atoms are its nearest neighbours. In a plane just above this corner atom, it has four more face centered atoms. In a plane which lies just below this corner it has yet four more face centered atoms. Therefore the nearest number of atoms is 12
  • 42.
    • Packing Factor: •Each unit cell contains (1/8 x 8 corner atoms) + (1/2 x 6 face atoms) = 1+3 = 4 atoms. b = 4r –> b = a√2 a√2 = 4r –> a = 4/√2 r a = 2√2 r Volume of the atoms in the cell = 4 x (4/3 πr3) = 16/3 πr3 Volume of cube = a3 = (2√2 r)3 = 16√2 r3
  • 43.
     Packing Factor= Volume of atom/volume of cube = (16/3 πr3)/(16√2 r3) = π/3√2 = 0.74 = 74% Actually, the corner atoms touch the one in the center of the face. The packing efficiency of 74%. No other packing can exceed this efficiency (although there are others with the same packing efficiency). Hence fcc is more closely packed than bcc and sc.  Examples: nickel, silver, gold, copper, and aluminum
  • 44.
    STRUCTURE OF DIAMOND Thediamond unit cell is cubic. The unit cell has eight atoms. This cubic structure of diamond is obtained by the interpenetration of two fcc sub lattices along the body diagonal by 1/4th cube edge.
  • 45.
     If xis one sub lattice and has its origin at (0,0,0) the other sub lattice y has its origin 1/4th of ‘a’ along body diagonal at (a/4, a/4, a/4). Each atom has 4 bonds, hence coordination number is 4. The fractions represent ¼ ½ ¾ the height above the base units of cube edge. In unit cell diamond has 1) eight corner atoms 2) six face centered atoms 3) four more atoms located inside
  • 46.
    No of atomsper unit cell: In diamond there are 2 fcc lattices The effective number of atoms per unit cell of fcc lattice is Each unit cell contains (1/8 x 8 corner atoms) + (1/2 x 6 face atoms) = 1+3 = 4 atoms. Two fcc unit cells have 4+4 i.e 8 atoms Hence effective number of atoms per unit cell of diamond is 8
  • 47.
     Atomic radius:Let one sub lattice is x and the other y is ¼ away along the body diagonal.  Consider the projection of atom y on to the bottom surface at z and joining x with z and to the edge of the cube x r z a/4 a/4 a/4 y
  • 48.
    Packing factor: Atomic packingfactor = = 0.34  The carbon atoms in diamond occupy 34% of the space and the rest is empty. The void space (or) interstitial space is 66% Hence diamond is most loosely packed than other cubic structure. Examples: Semiconductors Germanium, Silicon posses this structure.
  • 49.
     Hardness ofdiamond implies its resistance to scratching.  Diamond is the hardest natural mineral found on this planet. Diamond derives its name from Greek word A’da’mas. It means 'unbreakable' which refers to its hardness. In Sanskrit it is called Vajra meaning 'thunderbolt‘.  In terms of absolute hardness, it is 4 times harder than Corundum - the next hardest substance from which rubies and sapphires are formed.
  • 50.
    Reason behind Hardnessis Diamond Structure  Diamond is formed of tetrahedral bonded carbon atoms with 1 carbon atom linked to 4 other carbon atoms.  This bond structure (SP3 ) forms an inflexible three dimensional lattice and it is the prime reason behind the hardness of diamond.  Hardness" of a substance means its resistance to scratching. So, when we say that diamond is the hardest substance, then it means that it can’t be scratched by any material except another diamond.  On the other hand, "Toughness" of a substance means its ability to resist fracture or breakage when it is stressed or impacted. So, while diamond is the "hardest" substance, in terms of toughness it can be only moderately rated.  This is because of its ability to fracture along cleavage plane. This comparison will make your understanding clearer – Hematite (ore of iron) has hardness value 5.5-6.5 on Mohs Scale compared to Diamond’s value of 10, but on the scale of toughness Hematite is tougher than Diamond. -
  • 51.
    NaCl structure NaCl hasFCC structure with Na+ and Cl- ions as basis. The Na+ ions are situated at corners as well as at the center of the faces of cube. Cl- ions are relatively placed at ½ of the edge of unit cell along each axis.
  • 52.
     NaCl crystalis formed by interpenetration of two FCC sub lattices of Na+ and Cl- ions exactly at the half of the edge of the lattice along each axis.  If the Cl- ions occupy corners of the unit cell, one corner is taken as the origin and the coordinates of ions are expressed in fractions of the edge length of the cube. The coordinates of Cl- ions are 000, ½0½, 0½½, ½ ½ 0.  In the same system the coordinates of the four Na ions are ½½½ , ½00, 0½0, 00½
  • 53.
    No of atomsper unit cell: The unit cell of NaCl contains four sodium and four chlorine ions. Therefore the unit cell contains 4 NaCl molecules. The Each unit cell has 8 corner atoms contributing 1/8th to the unit cell. And 6 face centered atoms contributing ½ to the unit cell. No of atoms per unit cell = (1/8 x 8 corner atoms) + (1/2 x 6 face atoms) = 4 Coordination number: Each Na+ ion has 6 nearest Cl- ions and each Cl- has 6 nearest Na + ions. The coordination number for opposite kind of ions is 6 with distance (d=a/2) The coordination number for same kind of ions is 12 with distance (d= a√2)
  • 54.
    NaCl Crystal Lattice HorizontalRotation Vertical Rotation
  • 55.
    NaCl Crystal Lattice An alternative Unit cell may have Na+ and Cl- interchanged.  Examples: AgCl, CaO, CsF, LiF, LiCl, NaF, NaCl, KF, KCl, MgO.
  • 58.
     MILLER INDICES– CRYSTAL PLANES  Miller Indices are three, smallest integers which have the same ratio as the reciprocals of the intercepts of the crystal plane with the coordinate axes.  They are a set of three integers used to describe the orientation of crystal planes.  Ex:
  • 59.
    PROCEDURE To FindMiller Indices: 1)The intercepts made by the crystal plane along x,y, and z axis in terms of lattice parameters a,b,c are noted. 2) The intercepts are expressed as multiples of a,b,c 3) The reciprocals of the intercepts are taken. 4) The reciprocals are converted into integers by multiplying each one of them with their LCM. 5) The integers are enclosed in smaller parenthesis, which represents the Miller
  • 60.
    Let the interceptsby a given latatice plane on the three crystallographic axes x,y, and z are in the ratio  pa:qb:rc Where a,b & c are primitives  p,q & r be small integers  the reciprocals of p,q, & r are taken  1/p,1/q,1/r Find small integers h,k,l such that  h:k:l = 1/p:1/q:1/r The set of integers (h,k,l) is called Miller Indices
  • 61.
     Example:  Letthe plane ABC has intercepts of 2 units along x-axis, 3units along Y-axis and 2units along z- axis  Intercept values are (2,3,2)  Reciprocals of the intercepts1/2, 1/3,1/2  Smallest whole numbers 6/2, 6/3, Y  3b  O 2a X  Z 
  • 62.
     Note: Whilewriting Miller indices, a comma or dot between any two numbers may be avoided.  The positive X axis is represented as (100),Y axis as (010) and Z axis as(001), the negative X axis as (100) negative Y axis as (010) and negative Z axis as (001).  Important Features:  Miller indices represent the orientation of crystal planes in a crystal lattice.  Any plane parallel to one of the coordinate axes will have infinite intercept, and the corresponding Miller index becomes zero.  A plane passing through the origin is defined in terms of a parallel plane having non-zero intercepts.  If Miller indices of the planes have the same ratio then the planes are parallel to each other. Ex: (211), (422)
  • 63.
     If aplane is parallel to any axis, its fractional intercept is taken as “∞”⇒hence corresponding index is “0”.  If a plane cuts a –ve axis, the corresponding index is negative,  Cubic Systems: direction [hkl] is always ⊥to plane (hkl)  The planes (nh, nk, nl) are parallel to (hkl) and have 1/nth spacing
  • 67.
     Let oa,ob,oc be the orthogonal axes. Consider a plane abc with MI (hkl), passing through origin.  Let on=d is the normal to the plane abc, which is the interplanar spacing for another plane (xyz)  Let xyz makes intercepts (a/h,b/k,c/l) along three axes. c z c/l d . n o a/h x a b/k y b
  • 68.
    Let α, βand γ be the angles made by the normal to x,y and z axes cos α = d/oa = d/(a/h) = dh/a cos β = d/ob = d/(b/k) = dk/b cos γ = d/oc = d/(c/l) = dl/c From the law of direction cosines, cos2 α + cos2 β +cos2 γ = 1 (dh/a)2 + (dk/b)2 + (dl/c)2 = 1 d2[(h/a)2 + (k/b)2 + (l/c)2 ] = 1 For cubic lattice a = b = c d2[(h/a)2 + (k/a)2 + (l/a)2 ] = 1
  • 69.
    X-ray diffractions byCrystal Planes • As the wave length of X-Rays is very small (0.1nm) grating cannot be used to X – ray diffraction studies as the spacing cannot be comparable to wavelength of x –rays. • Laue suggested that a crystal which consists of a three dimensional array of regularly spaced atoms will be produce observable diffraction effects for x- rays • The diffraction pattern consists of a central spot and a series of spots arranged in a definite pattern around the central spot. This pattern is known as Laue’s pattern.
  • 70.
    If ‘d’ isthe inter planar spacing in a crystal, λ is the wave length of the Incident x-rays n is the order of diffraction spots θ is incident angle, 2d sinθ = nλ
  • 71.
    A Simpler Formulation Justone year after von Laue’s work, two British physicists developed a simpler (and easier to use) expression for the x-ray diffraction condition, and actually used it to determine the crystal structure of NaCl! This was a father & son team: William Henry Bragg and William Lawrence Bragg. The father is shown at left below, along with Max von Laue. The Braggs’ experimental skill and their simple equation allowed them to quickly determine the crystal structure of many common salts and metals. Max von Laue and the Braggs received the Nobel Prize in physics in 1914 and 1915, respectively.
  • 72.
    Derivation: Consider a setof parallel planes of crystal in which spacing between successive planes is d. If a narrow beam of x-rays of wave length λ be incident on the planes with a glansing angle θ. AA1 and BB1 are two consecutive planes XO and X1O1 are two light rays, reflected at O and O1 along OY and OY1 such that YOA1 = Y1 O1 B1= = θ
  • 73.
     OP andOQ are perpendicular lines drawn from O on X1 O1  The path difference between the two beams reflected at two consecutive planes will be,  ∆ = PO1 + O1Q  From ∆ le OPO1 Sinθ = = = d Sinθ From ∆ le OQO1 Sinθ = = = d Sinθ   ∆ = PO1 + O1Q = 2d sinθ  If path difference is integral multiple of λ, the reflected light beam forms constructive interference and gives maximum.  2d sinθ = nλ x y x1 y1 O θ A A1 P Q d B θ B1 O1
  • 74.
    Importance of Bragg’slaw: From Bragg’s law d= , the inter planar distance can be calculated The lattice constant ‘a’ can be calculated from the value of d Knowing a and ρ and M(molecular weight ) of the crystal, the number of atoms in unit cell can be calculated. Knowing d and a, [h2 + k2 + l2 ] can be calculated Depending on the values of h2 + k2 + l2 we can classify the crystal structure . 
  • 75.
    LAUE X-RAY DIFFRACTIONMETHOD : 1.The Laue method is one of the x-ray diffraction techniques used for crystal structure studies. 2. The experimental arrangement is as in fig.
  • 76.
    3. The crystalwhose structure has to be studied, is held stationary in a continuous x-ray beam 4. After passing through the pin holes of lead diaphragms, a fine beam of x-rays is obtained 5 These x-rays are allowed to fall on the crystal. 6. The crystal planes in the crystal diffract the x – rays satisfying Bragg’s law.
  • 77.
    7. The diffractedx-rays are allowed to fall on a photographic plate. 8. The diffraction pattern consists of a series of bright spots corresponding to interference, satisfying the Braggs Law, for a particular wavelength of incident X=rays.
  • 78.
    Merits : This methodis used for determination of crystal orientation and symmetry. It is also used to study crystalline imperfections. Demerits: As several wavelengths of X-rays diffract from the same plane, and superimpose on same Laue spot, it is not convenient to determine actual crystal structure
  • 79.
    Powder Method (Debye-Scherrer Method) The powder method is an X-ray diffraction technique used to study the structure of micro crystals in the form of powder.  Used to determine lattice type and detailed crystal structure
  • 80.
     The experimentalarrangement is as in the figure.  It consists of a cylindrical camera, consisting of a film in the inner portion. Monochromatic source sample Film or movable detector 2
  • 83.
    •Sample is finelyground so that essentially all of the (hkl) planes that can cause diffraction are present. As a result, an intensity peak is measured for each of these planes: Intensity 2 •The powder is prepared by crushing the polycrystalline material so that it consists of crystallites. •The finely powdered crystal is filled in a capillary tube and held stationary. •Around the powder specimen a photograph film is set circularly so as to record the diffraction at any possible angle ϴ.
  • 84.
     Procedure:  Afine beam of monochromatic x-rays are send through the powdered crystal.  The x-rays are diffracted from individual micro crystals which orient with planes making Bragg’s angle ϴ with the beam For different values of ϴ and d.
  • 85.
     The diffractedrays corresponding to fixed values of ϴ and d, lie on the surface of a cone with its apex at the tube p and the semi vertical angle 2ϴ.  Different cones are observed for different sets of ϴ and d, for a particular order of n.  The diffracted X-ray cones make impressions on the film in the form of arcs on either side of the exit and entry holes, with centers coinciding with the hole.
  • 87.
    • The angleϴ corresponding to a particular pair of arcs is related to the distance s between the arcs as, 4ϴ (rad) = S/R { angle = arc/ radius } w her R is the radius of the camera. 4ϴ (deg) = [S/R] x [180/π] = (57.296) S/R From the above expression ϴ can be calculated. The inter planar spacing for first order diffraction is, d = d = λ/ 2 sinϴ
  • 88.
    • Merits: Using filter,we get monochromatic x-rays (λ remains constant) All crystallites are exposed to X-rays and diffractions take place with all available planes. Knowing all parameters, crystal structure can be studied completely.

Editor's Notes

  • #46 http://my.safaribooksonline.com/book/-/9788131724958/chapter-2-crystal-structures/ch2_sub2_9_xhtml
  • #56 http://departments.kings.edu/chemlab/animation/nacl.html