Downstream Processes
BIE 5930/6930
Spring 2010
Filtration
Filtration is the use of a medium to
separate solids from liquid. The solids
can be from the size of cells or cellular
tissue to individual ions. Depending on
the filtration medium chosen as the
filter material selective cut-off of
particle sizes are achieved in the
filtration process.
Selection of the proper filtration method
is often referred to as an art as well as
science. There basic equations the help
to predict how efficient a filtration
process will be are understood, but
many of the subtleties of each
individual system make experimentation
an important part of any filtration
system design
Filtration systems require at least a
filtration membrane and can include
additional layers of a filter cake that
aids in increasing performance of the
membrane
Filtration in protein separation is usually
utilized to concentrate the material prior
to/or after a more selective affinity
column. Filtration can provide
selectivity based on size, but not on
charges, etc.
Types of filtration
Filtration is usually broken down into
two primary techniques:
 deadend
 cross-flow filtration
DeadEnd Filtration (Through flow)
Deadend filtration is when the feed
material is forced through the
membrane. The flow is only in the
direction perpendicular to the
membrane. All the suspended solids in
the feed end up on the membrane in a
filter cake
Cross-Flow Filtration
(Tangential flow)
In cross-flow filtration the feed material
is allowed to flow parallel to the
membrane, while the pressure gradient
is across the membrane. The primary
advantage of cross-flow filtration is that
it allows the solids to be kept in
suspension and minimizes the build up
of a filter cake to plug or foul the
membrane
Filtration Classification
Classification of filtration falls into
several categorizes depending on the
size of the particles being excluded by
the membrane
Microfiltration
generally refers to the
filtration of suspension
particle such as cells
and cellular fragments
Ultafiltration is the
filtration of
macromolecules
Reverse Osmosis is
the filtration of
molecules such as salts
and sugars
Deadend filtration
Depth filtration
Cake filtration
Depth filtration
Depth filtration is traditionally filtration with
sand or a clarify cartridge. Solids are trapped
in the void space in the medium. As solids
accumulate the filtrate plugs and the flow
rate approaches zero. The filter bed must be
replaced or regenerated. Depth filtration is
best used in a low solids material that
requires clarifying because of the rapid
degradation of performance with high solids
loads
Cake filtration
Cake filtration generally refers to the use a
selectively porous material that traps a layer
of solids above it. The layer is called the filter
cake. The material used can be cloth or
paper membranes. Often a layer of filter aid
(diatomaceous earth) is placed on the
membrane to improve the performance of the
filtration process and to allow the filtration
system to operate longer between
regeneration by providing a removable layer
in the system
Flow theory for filtration
Flow through a cake
is described by:
Flow through a cake is
described by:
 V = volume of filtrate
 A = filter area
 q= time
 P= pressure across filter
medium
 a= average specific cake
resistance
 W= weight of the cake
 r = resistance of the filter
medium
 m=viscosity













=
r
A
W
P
Ad
dV
a
m
q
In other words:
 
Resistance
Medium
Filter
Resistance
Cake
Viscosity
Force
area
Unit
Rate
Flow

=
To optimize the flow rate
•Increase the area of the filter
•Increase the driving pressure
•Reduce the viscosity of the fluid (usually by
heating or addition of water)
•Reduce the Cake resistance
•Reduce the resistance of filter medium
Filter Cake Thickness
The filter cake thickness will increase with
time of operation. In a batch operation the a
decision point must be reached as to how
thick the cake can get before it begins to
effect the efficiency of the operation. While a
thin cake may have less resistance, if the
time to shut down the filtration system and
remove the build-up is greater than the lose
of efficiency from the reduce flow it may be
beneficial to operate with a thicker cake than
optimal in each cycle
Filter Aid
Filter aid such as diatomaceous earth can be
added to the cake directly or mixed in to the
product slurry. The filter aid will increase the
porosity of the filter cake and therefore
reduce the cake resistance.
In general filter aid is added at approximately
1-2 % of the overall slurry weight. An other
general rule of thumb is to add twice the
volume of filter aid as solids in the slurry
Cake filtration equipment
Filter Press
Nutsche Filters
Rotary Vacuum Drum Filter
Filter Press
The filter press is still one of the most
commonly used filters in many operation
The basic design is a series of filter screens that
alternately allow the filtrate and permeate to
flow through the screens and filter cake
Nutsche Filters
The Nutsche is one of the simplest
designs of batch filters. The tank is
feed with a slurry and the bottom of the
tank is comprised of the filter
membrane
Rotary Vacuum Drum Filter
The rotary drum filter is the most
common of the continuous cake filters.
It allows the cake to be continuously be
removed
Theory of Filtration
In filtration, solid particles are
separated from solid-liquid mixtures
by forcing the fluid through a filter
medium or filter cloth that retains the
particles.
The Filtration rate can be improved
either by using a vacuum or pressure.
Filter aides such as Diatomaceous
Earth which are highly porous also
improve the filtration rate.
Filtration theory is used to estimate
the rate of filtration.
Theory of Filtration
The rate of filtration is usually measured as
the rate at which liquid filtrate is collected.
Filtration rate depends upon:
1. Area of the filter cloth
2. Viscosity of the fluid
3. The pressure difference across the filter
4. The resistance to filtration offered by the
cloth and deposited filter cake.
Darcy’s Law
Describes the flow of liquid through a
porous bed of solids:
R
P
dt
dV
A f
m

=
1
At any instant during filtration, the rate of
filtration is given by the equation:
A = filter area
Vf = volume of the filtrate
P = pressure drop across the filter
mf = filtrate viscosity
Mc = total mass of solids in the cake in the filtrate volume Vf
a = average specific cake resistance (LM-1)
Rm = filter medium resistance (L-1). This includes the resistance
offered by the filter cloth.














=
m
c
f
f
R
A
M
P
dt
dV
A
a
m
1
a
a is the measure of resistance of the filter cake to flow.
Its value depends upon the shape and size of the particles and size of
the interstitial spaces between them.
Resistance of the filter medium is negligible in comparison to that of
the cake resistance (a).
a, the specific cake resistance can be related to P empirically:
s = 0 if the cake incompressible
s = 1 if the cake is highly compressible
a’ is a constant and depends upon site and morphology of the particles
in the cake
 s
P

= '
a
a
Determining filtration time
Integration of the rate equation will allow the
calculation of the time required to obtain a given
amount of filtrate (filtrate volume).
The mass of solids in the cake will depend upon the
volume of filtrate collected (for a given
concentration of solids in the liquid-solid mixture)
Theory of Filtration
Let Mc = rcVf , the mass of solids deposited per unit of filtrate volume.
Concentration of solids in the solid-liquid system = c, where c is the
mass of solids per volume filtrate and is related to the concentration of
solids in the material to be filtered.








=
m
f
c
f
f
R
A
V
P
dt
dV
A r
a
m
1
 dt
P
A
dV
R
A
V
f
m
f
c
f 
=














 r
a
m
  f
V
o
m
f
f
f
t
o
V
o
c
f
dV
P
R
dV
V
P
A
Adt
f
f

  


=
m
ar
m
  f
m
f
f
c
f
V
P
R
V
P
A
At



=
m
ar
m
2
2
Theory of Filtration
Or
and
  f
m
f
f
C
f
V
P
R
V
P
A
At



=
m
ar
m
2
2
   
P
A
R
V
P
A
V
t m
f
f
C
f
f 


=







 m
ar
m
2
2
This can be rewritten simply as:
What type of equation is this?
Where
2
1 K
V
K
V
t
f
f

=
P
A
K C

= 2
1
2
mar
 
P
A
R
K
m
f

=
m
2
Theory of Filtration
If we maintain P as constant during filtration, K1 and K2
remain as constants during constant pressure filtration.
The equation is an equation for a
straight line, when is plotted against Vf.
The slope K1 depends upon P and properties of the cake. The intercept
K2 also depends upon the pressure drop, but is independent of cake
properties.
a is calculated from the slope and (Rm) is determined from the
intercept. The above equation is the basic filtration equation.
2
1 K
V
K
V
t
f
f

=
f
V
t
Batch Filtration
Increasing filtration rate
Consideration of the equation for filtration rate will indicate the various
strategies that can be adopted for increasing the filtration rate.
1. increase the filtration area
2. increase the filtration pressure drop (vacuum filtration) P increases
a, which causes filtration rate to reduce.
3. reduce the cake mass (Mc)
4. reduce the liquid viscosity (by dilution)
5. reduce the specific cake resistance (a).
Factors affecting specific cake resistance
1. increasing porosity
2. reducing specific surface area of the particles (by increasing the
average size of the particles and by reducing the particle size
distribution)
Increasing filtration rate
Experiments should first be conducted to evaluate the
properties of the cake such as compressibility, specific
cake resistance, filtrate clarity, ease of washing,
dryness of the final cake, ease of cake removal, the
effects of filter aids.
Fungal mycelia are filtered relatively early because
mycelial filter cake has a large porosity. Yeast and
bacteria are much more difficult to handle because of
their small size.
Review
f
m
f
f
f
f
V
P
A
R
V
P
A
C
t 


















=
m
a
m
2
2
2
'
Example:
Filtration of Mycelial Broth:
A 30 ml sample of broth from penicillin fermentation
is filtered in the laboratory on a 3 cm2 filter at a
pressure drop of 5 psi.
The filtration time is 4.5 min. Previous studies have
shown that filter cake of Penicillium chrysogenium is
significantly compressible with s = 0.5.
If 500 liters of broth from a pilot-scale fermenter
must be filtered in one hour, what size filter is
required if the pressure drop is 10 psi.
Cross-Flow Filtration
Cross-Flow or Tangential Flow
In cross-flow filtration (CFF) the
membrane does the primary work
compared to the combination of cake
and membrane in deadend cake
filtration. The cross-flow allows the
membrane to be swept free of solids
allowing for a lower resistance to fluid
flow through the membrane
Cross-Flow or Tangential Flow
The term cross-flow refers to the fact
that the flow direction of the retentate
is perpendicular to the flow direction of
permeate. The pressure gradient for
the flow is still across the membrane,
while the retentate is allowed to flow
through the system
Cross-flow also allows the concentration of the retentate without the
contamination with filter aids. Therefore CCF can be used to collect
either the permeate or the retentate
Advantages of Cross-flow Filtration
Process Goal Cross-
flow
Filtration
Deadend Filtration
Ability to handle wide
variation in particle size
Excellent Generally poor
Ability to handle wide
variations in solids
concentration
Excellent Poor or unacceptable
Continuous concentration with
recycle
Excellent Poor or unacceptable
Waste minimization Superior Can minimize waste if handling low solids feed where
cartridge disposal is infrequent
High product purity or yield Excellent Performance is generally acceptable except in situations
involving high solids or adsorptive fouling
Membrane types and cleaning
Type of
foulant
Example Cleaning solution Filter Material Compatibility
Inorganic Precipitated Ca,
Mg, Fe
Moderate to strong acidic Some polymeric (PVDF or PTFE)and
most inorganic filters
Organic Citrate, tartrate,
gluconate
Acidic/alkaline solutions Most polymeric or inorganic filters
Proteins Enzymes, yeast Mild to moderately alkaline Most polymeric or inorganic filters
Proteins Pectins Strongly alkaline, preferably
with chlorine
Some polymeric (PVDF or PTFE)and
most inorganic filters
Biological
debris
E-coli, bacteria,
cell walls
Moderately Alkaline Most polymeric or inorganic filters
Fats/Oils Stearic acid,
oleic acid
Strongly alkaline with oxidizing
agents or chloride
Some polymeric (PVDF or PTFE)and
most inorganic filters
Polysacch
aride
Starch, cellulose Strongly alkaline/acidic or
oxidizing solutions
Some polymeric (PVDF or PTFE)and
most inorganic filters
Membrane Configurations
Spiral wound
Hollow fiber
Cross-flow Filtration Systems
Concentration Factors
Many products start out in very low
concentrations in the original broth
This requires very high concentration or
removal of most of the water from the
system
Concentration Example
If one liter of broth has one gram of
the desired material
How much permeate must be removed
to get to a concentration to 2 g/l?
Ultrafiltration and Microfiltration Theory
Microfiltration
 0.1 to 10 μm filter sizes
 Used to separate cells
Ultrafiltration
 MW range 2000 to 500,000 (2 to 500 kilo Daltons (kD))
 Used to concentrate or sieve proteins based on size
 Anisotropic membranes
 A thin membrane with small pores supported by a thicker
membrane with larger pores
Low MW solutes pass through the filter and high MW
solutes are retained
Pressure driven process
 Can result in concentration polarization and gel formation at
membrane surface
Ultrafiltration and Microfiltration
At steady state:
 Rate of convective transport of
solute towards membrane = rate of
diffusive transport of solute in
opposite direction
liquid)
cm
(mol/
solute
of
ion
concentrat
the
is
s)
/cm
(cm
liquid
the
of
flux
filtration
c
volumetri
the
is
/s)
(cm
film
liquid
in the
solute
of
y
diffusivit
effective
the
is
where,
,
3
2
3
2
c
J
D
dx
dc
Jc
e
e
D

=
modulus.
on
polarizati
the
as
defined
is
k
coeffient
transfer
mass
the
as
defined
is
exp
or
ln
:
solved
be
can
this
,
of
nkess
layer thic
boundry
a
For
b
w
b
w
b
w
c
c
J
c
c
c
c
J




D
D
D






=
=
Polarization Modulus
• The polarization modulus indicates the
extent of the concentration
polarization.
• Concentration polarization can become
severe at values greater than 10
• Solubility values can be exceeded at
higher concentration and gels or solids
can form on the membrane surface
b
w
c
c
Gel Effect
Ultrafiltration and Microfiltration
Filtration flux (J) is a
function of
 Transmembrane pressure
drop (ΔPM)
 Gel layer concentration (CG)
 Mass transfer coefficient (K)
 Bulk solute concentration (CB)
If no solute is present, then
Flux is a function of ΔPM
only.
If solute is present and RG
is constant, flux still
increases linearly with ΔPM
If gel polarization occurs, RG
is not constant and flux will
no longer be a function only
of ΔPM
}From Gel
polarization
eq.
Mass Transfer Coefficient
For laminar flow systems:
Where gamma is fluid shear rate at the
membrane surface. L is the length of
the flow channel.
3
/
1
2
816
.
0 







=
L
k w
D

w – Fluid Shear Rate in laminar flow
For rectangular slit of height 2h and bulk
stream velocity, ub:
For a circular tube of diameter D:
h
w
b
3u
=

D
w
b
8u
=

Turbulent flow
 
h
h
D
L
Sc
f
kD
Sh /
,
Re,
=
=
D
number
Schmidt
=
=
D
r
m
Sc
number
Reynolds
Re =
=
m
r
b
hu
D







 
=
=
perimeter
wetted
area
sectional
cross
4
diameter
equivalent
h
D
Turbulent flow
33
.
0
69
.
0
Re
082
.
0 Sc
Sh =
Example
Solids effects
Operations

Downstream Processes_Filtration.ppt

  • 1.
  • 2.
  • 3.
    Filtration is theuse of a medium to separate solids from liquid. The solids can be from the size of cells or cellular tissue to individual ions. Depending on the filtration medium chosen as the filter material selective cut-off of particle sizes are achieved in the filtration process.
  • 4.
    Selection of theproper filtration method is often referred to as an art as well as science. There basic equations the help to predict how efficient a filtration process will be are understood, but many of the subtleties of each individual system make experimentation an important part of any filtration system design
  • 5.
    Filtration systems requireat least a filtration membrane and can include additional layers of a filter cake that aids in increasing performance of the membrane
  • 7.
    Filtration in proteinseparation is usually utilized to concentrate the material prior to/or after a more selective affinity column. Filtration can provide selectivity based on size, but not on charges, etc.
  • 8.
    Types of filtration Filtrationis usually broken down into two primary techniques:  deadend  cross-flow filtration
  • 9.
    DeadEnd Filtration (Throughflow) Deadend filtration is when the feed material is forced through the membrane. The flow is only in the direction perpendicular to the membrane. All the suspended solids in the feed end up on the membrane in a filter cake
  • 10.
    Cross-Flow Filtration (Tangential flow) Incross-flow filtration the feed material is allowed to flow parallel to the membrane, while the pressure gradient is across the membrane. The primary advantage of cross-flow filtration is that it allows the solids to be kept in suspension and minimizes the build up of a filter cake to plug or foul the membrane
  • 12.
    Filtration Classification Classification offiltration falls into several categorizes depending on the size of the particles being excluded by the membrane
  • 13.
    Microfiltration generally refers tothe filtration of suspension particle such as cells and cellular fragments Ultafiltration is the filtration of macromolecules Reverse Osmosis is the filtration of molecules such as salts and sugars
  • 15.
  • 16.
    Depth filtration Depth filtrationis traditionally filtration with sand or a clarify cartridge. Solids are trapped in the void space in the medium. As solids accumulate the filtrate plugs and the flow rate approaches zero. The filter bed must be replaced or regenerated. Depth filtration is best used in a low solids material that requires clarifying because of the rapid degradation of performance with high solids loads
  • 17.
    Cake filtration Cake filtrationgenerally refers to the use a selectively porous material that traps a layer of solids above it. The layer is called the filter cake. The material used can be cloth or paper membranes. Often a layer of filter aid (diatomaceous earth) is placed on the membrane to improve the performance of the filtration process and to allow the filtration system to operate longer between regeneration by providing a removable layer in the system
  • 19.
    Flow theory forfiltration Flow through a cake is described by: Flow through a cake is described by:  V = volume of filtrate  A = filter area  q= time  P= pressure across filter medium  a= average specific cake resistance  W= weight of the cake  r = resistance of the filter medium  m=viscosity              = r A W P Ad dV a m q
  • 20.
    In other words:  Resistance Medium Filter Resistance Cake Viscosity Force area Unit Rate Flow  = To optimize the flow rate •Increase the area of the filter •Increase the driving pressure •Reduce the viscosity of the fluid (usually by heating or addition of water) •Reduce the Cake resistance •Reduce the resistance of filter medium
  • 21.
    Filter Cake Thickness Thefilter cake thickness will increase with time of operation. In a batch operation the a decision point must be reached as to how thick the cake can get before it begins to effect the efficiency of the operation. While a thin cake may have less resistance, if the time to shut down the filtration system and remove the build-up is greater than the lose of efficiency from the reduce flow it may be beneficial to operate with a thicker cake than optimal in each cycle
  • 22.
    Filter Aid Filter aidsuch as diatomaceous earth can be added to the cake directly or mixed in to the product slurry. The filter aid will increase the porosity of the filter cake and therefore reduce the cake resistance. In general filter aid is added at approximately 1-2 % of the overall slurry weight. An other general rule of thumb is to add twice the volume of filter aid as solids in the slurry
  • 23.
    Cake filtration equipment FilterPress Nutsche Filters Rotary Vacuum Drum Filter
  • 24.
    Filter Press The filterpress is still one of the most commonly used filters in many operation
  • 25.
    The basic designis a series of filter screens that alternately allow the filtrate and permeate to flow through the screens and filter cake
  • 26.
    Nutsche Filters The Nutscheis one of the simplest designs of batch filters. The tank is feed with a slurry and the bottom of the tank is comprised of the filter membrane
  • 29.
    Rotary Vacuum DrumFilter The rotary drum filter is the most common of the continuous cake filters. It allows the cake to be continuously be removed
  • 33.
    Theory of Filtration Infiltration, solid particles are separated from solid-liquid mixtures by forcing the fluid through a filter medium or filter cloth that retains the particles. The Filtration rate can be improved either by using a vacuum or pressure. Filter aides such as Diatomaceous Earth which are highly porous also improve the filtration rate. Filtration theory is used to estimate the rate of filtration.
  • 34.
    Theory of Filtration Therate of filtration is usually measured as the rate at which liquid filtrate is collected. Filtration rate depends upon: 1. Area of the filter cloth 2. Viscosity of the fluid 3. The pressure difference across the filter 4. The resistance to filtration offered by the cloth and deposited filter cake.
  • 35.
    Darcy’s Law Describes theflow of liquid through a porous bed of solids: R P dt dV A f m  = 1
  • 36.
    At any instantduring filtration, the rate of filtration is given by the equation: A = filter area Vf = volume of the filtrate P = pressure drop across the filter mf = filtrate viscosity Mc = total mass of solids in the cake in the filtrate volume Vf a = average specific cake resistance (LM-1) Rm = filter medium resistance (L-1). This includes the resistance offered by the filter cloth.               = m c f f R A M P dt dV A a m 1
  • 37.
    a a is themeasure of resistance of the filter cake to flow. Its value depends upon the shape and size of the particles and size of the interstitial spaces between them. Resistance of the filter medium is negligible in comparison to that of the cake resistance (a). a, the specific cake resistance can be related to P empirically: s = 0 if the cake incompressible s = 1 if the cake is highly compressible a’ is a constant and depends upon site and morphology of the particles in the cake  s P  = ' a a
  • 38.
    Determining filtration time Integrationof the rate equation will allow the calculation of the time required to obtain a given amount of filtrate (filtrate volume). The mass of solids in the cake will depend upon the volume of filtrate collected (for a given concentration of solids in the liquid-solid mixture)
  • 39.
    Theory of Filtration LetMc = rcVf , the mass of solids deposited per unit of filtrate volume. Concentration of solids in the solid-liquid system = c, where c is the mass of solids per volume filtrate and is related to the concentration of solids in the material to be filtered.         = m f c f f R A V P dt dV A r a m 1  dt P A dV R A V f m f c f  =                r a m
  • 40.
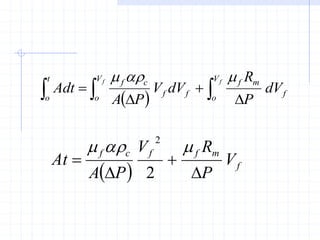
      f V o m f f f t o V o c f dV P R dV V P A Adt f f      = m ar m   f m f f c f V P R V P A At    = m ar m 2 2
  • 41.
    Theory of Filtration Or and  f m f f C f V P R V P A At    = m ar m 2 2     P A R V P A V t m f f C f f    =         m ar m 2 2
  • 42.
    This can berewritten simply as: What type of equation is this? Where 2 1 K V K V t f f  = P A K C  = 2 1 2 mar   P A R K m f  = m 2
  • 43.
    Theory of Filtration Ifwe maintain P as constant during filtration, K1 and K2 remain as constants during constant pressure filtration. The equation is an equation for a straight line, when is plotted against Vf. The slope K1 depends upon P and properties of the cake. The intercept K2 also depends upon the pressure drop, but is independent of cake properties. a is calculated from the slope and (Rm) is determined from the intercept. The above equation is the basic filtration equation. 2 1 K V K V t f f  = f V t
  • 44.
  • 45.
    Increasing filtration rate Considerationof the equation for filtration rate will indicate the various strategies that can be adopted for increasing the filtration rate. 1. increase the filtration area 2. increase the filtration pressure drop (vacuum filtration) P increases a, which causes filtration rate to reduce. 3. reduce the cake mass (Mc) 4. reduce the liquid viscosity (by dilution) 5. reduce the specific cake resistance (a). Factors affecting specific cake resistance 1. increasing porosity 2. reducing specific surface area of the particles (by increasing the average size of the particles and by reducing the particle size distribution)
  • 46.
    Increasing filtration rate Experimentsshould first be conducted to evaluate the properties of the cake such as compressibility, specific cake resistance, filtrate clarity, ease of washing, dryness of the final cake, ease of cake removal, the effects of filter aids. Fungal mycelia are filtered relatively early because mycelial filter cake has a large porosity. Yeast and bacteria are much more difficult to handle because of their small size.
  • 47.
  • 48.
    Example: Filtration of MycelialBroth: A 30 ml sample of broth from penicillin fermentation is filtered in the laboratory on a 3 cm2 filter at a pressure drop of 5 psi. The filtration time is 4.5 min. Previous studies have shown that filter cake of Penicillium chrysogenium is significantly compressible with s = 0.5. If 500 liters of broth from a pilot-scale fermenter must be filtered in one hour, what size filter is required if the pressure drop is 10 psi.
  • 49.
  • 50.
    Cross-Flow or TangentialFlow In cross-flow filtration (CFF) the membrane does the primary work compared to the combination of cake and membrane in deadend cake filtration. The cross-flow allows the membrane to be swept free of solids allowing for a lower resistance to fluid flow through the membrane
  • 51.
    Cross-Flow or TangentialFlow The term cross-flow refers to the fact that the flow direction of the retentate is perpendicular to the flow direction of permeate. The pressure gradient for the flow is still across the membrane, while the retentate is allowed to flow through the system
  • 53.
    Cross-flow also allowsthe concentration of the retentate without the contamination with filter aids. Therefore CCF can be used to collect either the permeate or the retentate
  • 54.
    Advantages of Cross-flowFiltration Process Goal Cross- flow Filtration Deadend Filtration Ability to handle wide variation in particle size Excellent Generally poor Ability to handle wide variations in solids concentration Excellent Poor or unacceptable Continuous concentration with recycle Excellent Poor or unacceptable Waste minimization Superior Can minimize waste if handling low solids feed where cartridge disposal is infrequent High product purity or yield Excellent Performance is generally acceptable except in situations involving high solids or adsorptive fouling
  • 56.
    Membrane types andcleaning Type of foulant Example Cleaning solution Filter Material Compatibility Inorganic Precipitated Ca, Mg, Fe Moderate to strong acidic Some polymeric (PVDF or PTFE)and most inorganic filters Organic Citrate, tartrate, gluconate Acidic/alkaline solutions Most polymeric or inorganic filters Proteins Enzymes, yeast Mild to moderately alkaline Most polymeric or inorganic filters Proteins Pectins Strongly alkaline, preferably with chlorine Some polymeric (PVDF or PTFE)and most inorganic filters Biological debris E-coli, bacteria, cell walls Moderately Alkaline Most polymeric or inorganic filters Fats/Oils Stearic acid, oleic acid Strongly alkaline with oxidizing agents or chloride Some polymeric (PVDF or PTFE)and most inorganic filters Polysacch aride Starch, cellulose Strongly alkaline/acidic or oxidizing solutions Some polymeric (PVDF or PTFE)and most inorganic filters
  • 57.
  • 61.
  • 63.
    Concentration Factors Many productsstart out in very low concentrations in the original broth This requires very high concentration or removal of most of the water from the system
  • 65.
    Concentration Example If oneliter of broth has one gram of the desired material How much permeate must be removed to get to a concentration to 2 g/l?
  • 66.
    Ultrafiltration and MicrofiltrationTheory Microfiltration  0.1 to 10 μm filter sizes  Used to separate cells Ultrafiltration  MW range 2000 to 500,000 (2 to 500 kilo Daltons (kD))  Used to concentrate or sieve proteins based on size  Anisotropic membranes  A thin membrane with small pores supported by a thicker membrane with larger pores Low MW solutes pass through the filter and high MW solutes are retained Pressure driven process  Can result in concentration polarization and gel formation at membrane surface
  • 67.
    Ultrafiltration and Microfiltration Atsteady state:  Rate of convective transport of solute towards membrane = rate of diffusive transport of solute in opposite direction liquid) cm (mol/ solute of ion concentrat the is s) /cm (cm liquid the of flux filtration c volumetri the is /s) (cm film liquid in the solute of y diffusivit effective the is where, , 3 2 3 2 c J D dx dc Jc e e D  =
  • 68.
  • 69.
    Polarization Modulus • Thepolarization modulus indicates the extent of the concentration polarization. • Concentration polarization can become severe at values greater than 10 • Solubility values can be exceeded at higher concentration and gels or solids can form on the membrane surface b w c c
  • 70.
  • 71.
    Ultrafiltration and Microfiltration Filtrationflux (J) is a function of  Transmembrane pressure drop (ΔPM)  Gel layer concentration (CG)  Mass transfer coefficient (K)  Bulk solute concentration (CB) If no solute is present, then Flux is a function of ΔPM only. If solute is present and RG is constant, flux still increases linearly with ΔPM If gel polarization occurs, RG is not constant and flux will no longer be a function only of ΔPM }From Gel polarization eq.
  • 72.
    Mass Transfer Coefficient Forlaminar flow systems: Where gamma is fluid shear rate at the membrane surface. L is the length of the flow channel. 3 / 1 2 816 . 0         = L k w D 
  • 73.
    w – FluidShear Rate in laminar flow For rectangular slit of height 2h and bulk stream velocity, ub: For a circular tube of diameter D: h w b 3u =  D w b 8u = 
  • 74.
    Turbulent flow   h h D L Sc f kD Sh/ , Re, = = D number Schmidt = = D r m Sc number Reynolds Re = = m r b hu D          = = perimeter wetted area sectional cross 4 diameter equivalent h D
  • 75.
  • 76.
  • 77.
  • 78.