Saponin Glycosides
Dioscorea
Senega
Prepared by,
Ms. M.S. Divya Sree,
Assistant Professor,
Department of Pharmacognosy,
Sree Vidyanikethan College of Pharmacy,
Tirupati, Andhra Pradesh
Dioscorea
Synonym: Yam, Rheumatism root
Biological Source: It consists of dried tubers of
plant Dioscorea deltoidea, D.composita, and
other species of Dioscorea belonging to the
family dioscoreaceae.
Geographical Source
o North western Himalaya, Punjab to Nepal.
o In China up to altitude of 1000 to 3000
meter.
o It is cultivated in Jammu and Kashmir.
Cultivation and Collection
 Cultivated from tubers with crown of about 70-80 gm in weight.
 First sown in nursery bed.
 After 30-40 days, tubers sprout. (germinate)
 After 2-3 month of growth, transplanted in field at distance of
30 x 60cm.
 They require support for optimum growth as veins are weak and tender.
 Manures and organic fertilizers are supplied.
 Irrigation should be done every 10 days
 Fresh tubers are harvested by deep ploughing after two years of crop.
 When dried, they loose 50% weight.
Macroscopy
 Colour – Slightly brown
 Odour - Odourless
 Taste - Bitter
 Size – Varies depending upon age of rhizomes.
 It is a climber with alternate leaves. Rhizomes are soft,
horizontally arranged and are very close to the soil. They
weigh about 20-50 g.
Microscopy
 Epidermis is normally absent in T.S of the drug.
 Cork consist of few layers followed by thin walled cortical
parenchymatous tissue.
 Stele forms the major part of drug consisting several
collateral fibro-vascular bundles.
 Endodermis and pericycle are indistinguishable.
Microscopy of Dioscorea
Chemical Constituents
 75% non edible starch as it is bitter.
 Chief constituent is Diosgenin, a steroidal
sapogenin (4-6%) & its glycosides smilagenin,
epismilagenin, yammogenin.
 Diosgenin is the hydrolytic product of saponin -
Dioscin.
 Rhizomes also contain an enzyme Sapogenase.
Uses
 Pharmaceutically, the rhizomes are used as rich
source of diosgenin.
 Diosgenin is steroidal in nature, so used as
precursor for synthesis of several
corticosteroids, sex hormones & oral
contraceptives.
 Dioscorea is used in treatment of rheumatoid
arthritis
Isolation of diosgenin
Dried tubers are powdered and dioscin is
hydrolysed by mineral acids to obtain diosgenin, then
it is extracted by non polar solvents like benzene or
solvent ether.
After isolation, diosgenin is degraded to 16-
dehydro pregnenelone acetate.
Allied species
• Dioscorea flouribunda (3-5% disogenin) – Cultivated in
Central America & India.
• D.villosa (rich in diosgenin) – mainly from Virginia &
Carolina in USA.
• D.deltoidea wall var. sikkimensis Prain occurs in Eastern
Himalayas, Nepal, Sikkim, Bhutan, Assam, Bihar & Bengal. It
contains 2-2.8% of diosgenin.
• Costus speciosus or crêpe ginger is alternative source of
diosgenin (1.5%)
Senega
Synonyms: Senega root, Radix senegae, Rattlesnake root.
Source: It is the dried root and rootstock of Polygala senega
or Polygala senega var. latifolia Tooret Gray
Family : Polygalaceae.
Geographical source: Indigenous to USA & Eastern
Canada. Now obtained from cultivated species in Japan.
Macroscopy
Color: Greyish to brownish-yellow.
Odour: Characteristic odour of methyl salicylate.
Taste: First sweet and then acrid
Shape: Elongated tapering root and bearing a tufted crown.
The crown is linked to bases of a large number of aerial
stems, buds & small shoots. It shows a keel with a sharp
spiral portion tapering downwards.
Size: The crown is 1-1.5 cm in height, 1-2 cm in width.
Fracture: Smooth and splintery
Microscopy
 T.S shows presence of cork, Phellogen, Collenchymatous
Phelloderm, diarch primary xylem at the centre surrounded
by secondary xylem.
 Some portion shows a band of enlarged phloem giving rise
to keel.
 The medullary rays in wood portion are narrow, lignified
and large in number.
 No phloem fibres
 Rootstock shows central parenchymatous pith.
Chemical constituents
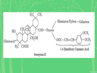
• It contains 2 saponin glycosides (triterpenoid type).
1. Senegin (4%)
2. Polygalic acid (5.5%)
• Contains other derived forms of presenegenin called Senegin II.
• Sweet taste is due to Polygalitol (1,6 – anhydrosorbitol).
• Odour is due to small amount of methyl salicylate formed as a
result of breakdown of some unknown glycoside.
• Contains Fixed oil, sterol.
COOH
CH2OH
HO
RO
COOH
Senegin
Aglycone (sapogenin) contain two carboxyl
and one double bond at C-12
hydrolysis
• Senegin senegenin + senegenic acid +
presenegenin
USES:
• Stimulant expectorant (they are not absorbed, but cause
irritation of gastric mucosa. This leads to secretion of
mucous in bronchioles through reflex action).
• Used in treatment of chronic bronchitis.
• Large doses cause vomiting.
Other preparations
Senega syrup
Senega liquid extract
Conc. Senega infusion
Allied drugs
• Indian Senega (Polygala chinensis)
• Spurious Indian Senega (root of Glinus oppositifolia,
family Molluginaceae).
• White senega : Polygala alba

Dioscorea, Senega

  • 1.
    Saponin Glycosides Dioscorea Senega Prepared by, Ms.M.S. Divya Sree, Assistant Professor, Department of Pharmacognosy, Sree Vidyanikethan College of Pharmacy, Tirupati, Andhra Pradesh
  • 2.
    Dioscorea Synonym: Yam, Rheumatismroot Biological Source: It consists of dried tubers of plant Dioscorea deltoidea, D.composita, and other species of Dioscorea belonging to the family dioscoreaceae.
  • 3.
    Geographical Source o Northwestern Himalaya, Punjab to Nepal. o In China up to altitude of 1000 to 3000 meter. o It is cultivated in Jammu and Kashmir.
  • 5.
    Cultivation and Collection Cultivated from tubers with crown of about 70-80 gm in weight.  First sown in nursery bed.  After 30-40 days, tubers sprout. (germinate)  After 2-3 month of growth, transplanted in field at distance of 30 x 60cm.  They require support for optimum growth as veins are weak and tender.  Manures and organic fertilizers are supplied.  Irrigation should be done every 10 days  Fresh tubers are harvested by deep ploughing after two years of crop.  When dried, they loose 50% weight.
  • 6.
    Macroscopy  Colour –Slightly brown  Odour - Odourless  Taste - Bitter  Size – Varies depending upon age of rhizomes.  It is a climber with alternate leaves. Rhizomes are soft, horizontally arranged and are very close to the soil. They weigh about 20-50 g.
  • 7.
    Microscopy  Epidermis isnormally absent in T.S of the drug.  Cork consist of few layers followed by thin walled cortical parenchymatous tissue.  Stele forms the major part of drug consisting several collateral fibro-vascular bundles.  Endodermis and pericycle are indistinguishable.
  • 8.
  • 9.
    Chemical Constituents  75%non edible starch as it is bitter.  Chief constituent is Diosgenin, a steroidal sapogenin (4-6%) & its glycosides smilagenin, epismilagenin, yammogenin.  Diosgenin is the hydrolytic product of saponin - Dioscin.  Rhizomes also contain an enzyme Sapogenase.
  • 10.
    Uses  Pharmaceutically, therhizomes are used as rich source of diosgenin.  Diosgenin is steroidal in nature, so used as precursor for synthesis of several corticosteroids, sex hormones & oral contraceptives.  Dioscorea is used in treatment of rheumatoid arthritis
  • 11.
    Isolation of diosgenin Driedtubers are powdered and dioscin is hydrolysed by mineral acids to obtain diosgenin, then it is extracted by non polar solvents like benzene or solvent ether. After isolation, diosgenin is degraded to 16- dehydro pregnenelone acetate.
  • 12.
    Allied species • Dioscoreaflouribunda (3-5% disogenin) – Cultivated in Central America & India. • D.villosa (rich in diosgenin) – mainly from Virginia & Carolina in USA. • D.deltoidea wall var. sikkimensis Prain occurs in Eastern Himalayas, Nepal, Sikkim, Bhutan, Assam, Bihar & Bengal. It contains 2-2.8% of diosgenin. • Costus speciosus or crêpe ginger is alternative source of diosgenin (1.5%)
  • 13.
    Senega Synonyms: Senega root,Radix senegae, Rattlesnake root. Source: It is the dried root and rootstock of Polygala senega or Polygala senega var. latifolia Tooret Gray Family : Polygalaceae. Geographical source: Indigenous to USA & Eastern Canada. Now obtained from cultivated species in Japan.
  • 15.
    Macroscopy Color: Greyish tobrownish-yellow. Odour: Characteristic odour of methyl salicylate. Taste: First sweet and then acrid Shape: Elongated tapering root and bearing a tufted crown. The crown is linked to bases of a large number of aerial stems, buds & small shoots. It shows a keel with a sharp spiral portion tapering downwards. Size: The crown is 1-1.5 cm in height, 1-2 cm in width. Fracture: Smooth and splintery
  • 16.
    Microscopy  T.S showspresence of cork, Phellogen, Collenchymatous Phelloderm, diarch primary xylem at the centre surrounded by secondary xylem.  Some portion shows a band of enlarged phloem giving rise to keel.  The medullary rays in wood portion are narrow, lignified and large in number.  No phloem fibres  Rootstock shows central parenchymatous pith.
  • 17.
    Chemical constituents • Itcontains 2 saponin glycosides (triterpenoid type). 1. Senegin (4%) 2. Polygalic acid (5.5%) • Contains other derived forms of presenegenin called Senegin II. • Sweet taste is due to Polygalitol (1,6 – anhydrosorbitol). • Odour is due to small amount of methyl salicylate formed as a result of breakdown of some unknown glycoside. • Contains Fixed oil, sterol.
  • 18.
    COOH CH2OH HO RO COOH Senegin Aglycone (sapogenin) containtwo carboxyl and one double bond at C-12
  • 20.
    hydrolysis • Senegin senegenin+ senegenic acid + presenegenin USES: • Stimulant expectorant (they are not absorbed, but cause irritation of gastric mucosa. This leads to secretion of mucous in bronchioles through reflex action). • Used in treatment of chronic bronchitis. • Large doses cause vomiting.
  • 21.
    Other preparations Senega syrup Senegaliquid extract Conc. Senega infusion Allied drugs • Indian Senega (Polygala chinensis) • Spurious Indian Senega (root of Glinus oppositifolia, family Molluginaceae). • White senega : Polygala alba