Embed presentation











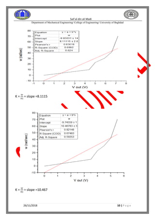
This document describes an experiment performed on a DC motor to determine its steady state gain. Measurements were taken of the motor's angular velocity and input voltage over time. The steady state gain (Ks) was calculated from these measurements for both the motor and generator configurations. Ks was found to be 7.36356 rpm/V on average for the motor and 5.596616 rpm/V for the generator. A proportional relationship between voltage and angular velocity was observed from the plotted data. The DC motor model and experimental results showed some non-linear behavior, likely due to load and operating conditions.










