EXPERIMENT
No. 1
EXPERIMENT NO. 01
Name of Experiment :
Generation of Line using DDA and Bresnham’s
Principle (Derivation, Algorithm, Flow Chart, C-
Programme and its Output)
LINE USING DIGITAL DIFFERENTIAL ANALYZER DERIVATION
(xi , yi )th
be the ith
point
(xi +1 , yi+1) be the (i+1)th
point
yi = mxi + c ---- I
y1+1 = mxi +1 + c --- II
yi+1 - yi = m (xi +1 - xi) ---III
If m ≤ 1
xi +1 = xi +1
yi+1 - yi = m (xi +1 - xi)
yi+1 = yi + m
else m > 1
yi+1 = yi + 1
yi + 1 - yi = m (xi +1 - xi)
xi +1 = xi +1/m
m ≤ 1 dy ≤ dx
xi +1 = xi +1
yi+1 = yi + m
m > 1 dy > dx
yi+1 = yi + 1
xi +1 = xi +1/m
if dxdy ≤
(0,0) xi
xi +1
yi+1
yi
1
2
xi +1 = xi + dx
dx
yi+1 = yi + dx
dy
else dxdy >
yi+1 = yi + dy
dy
xi +1 = xi + dy
dx
if dxdy ≤
deno = dx
else deno = dy
xi +1 = xi +
deno
dx
yi+1 = yi +
deno
dy
ALGORITHM
Declaration of variable
In + (x1 , y1) ----- Co-ordinates of Ist
end point.
In + (x2 , y2) ------ Co-ordinates of IInd
end point.
Float (xy) ------- current pixel position.
Float Dx , Dy ------- Differ of x & y.
Float deno --------- Common denominator.
Int i --------------- loop counter
Xincreament - Yincreament ---- Increament of X & Y
Read (x1 , y1)
Read (x2 , y2)
Calculation :
Dx = X2 – X1
Dy = Y2 – Y1
If dydx ≤
=Deno dx
else
Deno= dy
Xincr = Dx/Deno
Yincr = Dy/Deno
Xi = Xi ;
Yi = Yi ;
i = 0
Loop
Put pixel (round (x) , round (y) ; col );
X = X + Xincr
Y = Y + Yincr
i = i + 1
Continue till i ≤ Deno
int round (float a) ;
int b
(0,0) xi
xi +1
yi+1
yi
1
2
b = a+ 0.5 ;
return b ;
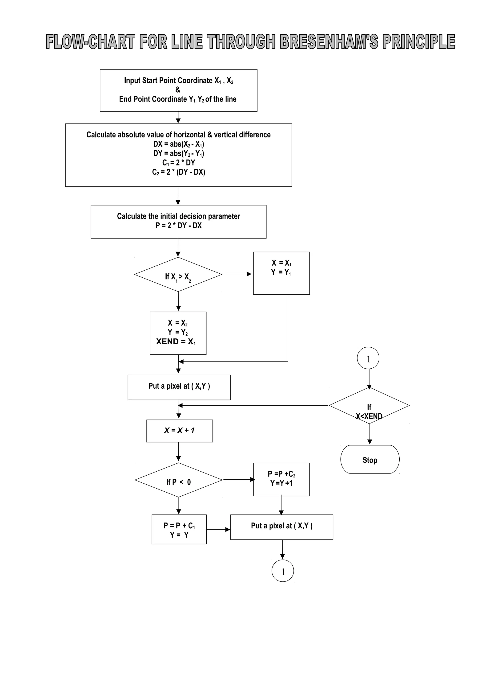
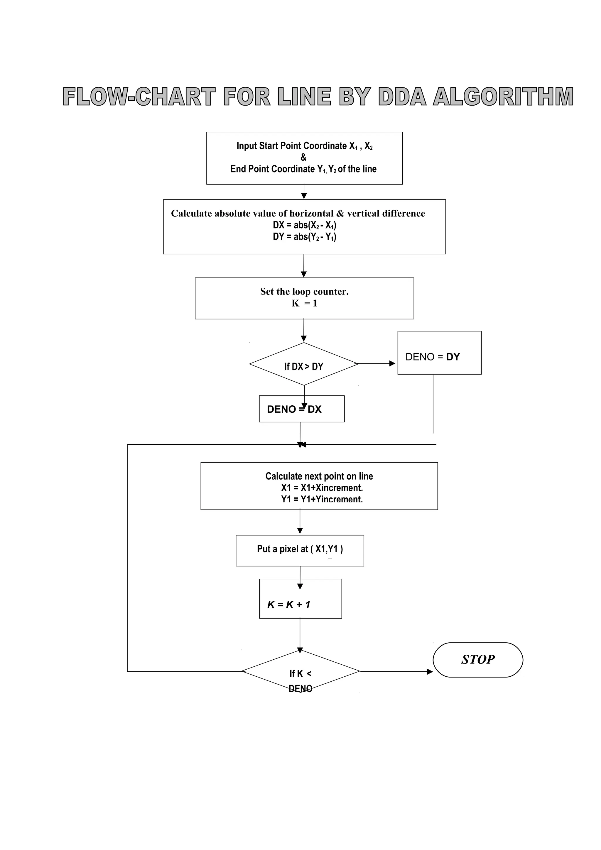
LINE BY “DIGITAL DIFFERENTIAL ANALYZER (DDA)” ALGORITHM
ALGORITHM: -
1) Input Start Point Coordinate X1, X2 & End Point Coordinate Y1, Y2 of
the line
2) Calculate absolute value of horizontal & vertical difference
DX = abs(X2 - X1)
DY = abs(Y2 - Y1)
3) Set the loop counter.
K = 1
4) Check for slope of the line
If (DX > DY)
Deno = DX
Else
Deno = DY
5) Calculate xincrement & yincrement
Xincrement = abs(DX) / abs(Deno).
Yincrement = abs(DY) / abs(Deno).
6) Put pixel at this point i.e. at (X1, Y1).
7) Calculate next point on line
X1 = X1+Xincrement.
Y1 = Y1+Yincrement.
8) Increment the loop counter
K =K + 1.
9) Repeat the steps 6 to 8 till (K <=Deno).
Calculate absolute value of horizontal & vertical difference
DX = abs(X2 - X1)
DY = abs(Y2 - Y1)
Set the loop counter.
K = 1
K = K + 1
If K <
DENO
Put a pixel at ( X1,Y1 )
Input Start Point Coordinate X1 , X2
&
End Point Coordinate Y1, Y2 of the line
If DX> DY
DENO = DX
DENO = DY
Calculate next point on line
X1 = X1+Xincrement.
Y1 = Y1+Yincrement.
STOP
C- PROGRAM
#include< stdio.h>
#include< conio.h>
#include<math.h>
#include<graphics>
main c )
{
Int driver , mode ;
Driver = DETECT,
Int graph ( & drive , & mode , “C  TC  BG I” )
Int X1,Y1,X2,Y2, Deno, Dx, Dy,
Float X,Y, Xincr, Yincr;
Dx =X2 – X1 ;
Dy = Y2 - Y1 ;
If ( abs (m) < 1)
Deno = abs (Dx) ;
Else
Deno = abs (Dy);
Xincr = Dx/Deno ;
Yincr = Dy/Deno ;
X =Xi,
Y =Yi,
For ( I = 0 ; i ≤ Deno ; i+1);
{
Put pixel ( round (x) ,round (y) ; 9);
X = X +Xincr;
Y = Y+ Yincr;
Close graph ();
}
Int round (float a);
{
Int a
b = a = 0.5;
return b;
}
}
/* This program is of Line Using "Digital Differential Analyzer
Algorithm" */
#include<stdio.h>
#include<graphics.h>
#include<dos.h>
#include<math.h>
#include<stdlib.h>
main()
{
initializegraph();
dda_line();
closegraph();
restorecrtmode();
}
initializegraph()
{
int gm,gd=DETECT;
initgraph(&gd,&gm,"c:tcbgi");
}
dda_line()
{
int x1=10,x2=300,y1=20,y2=300;
int dx,dy,steps,k;
float xincrement,yincrement,x,y;
dx=x2-x1;
dy=y2-y1;
if(abs(dx)>abs(dy))
steps=abs(dx);
else
steps=abs(dy);
xincrement=dx/steps;
yincrement=dy/steps;
x=x1;
y=y1;
putpixel(x,y,10);
for(k=1;k<=steps;k=++k)
{
x=x+xincrement;
y=y+yincrement;
putpixel(x,y,10);
delay(2);
}
getch();
}
INPUT DATA :
The co-ordinate of the First Point : 10, 20
The co-ordinate of the First Point : 300, 300
Output :
Generation of Line using Bresenham’s Principle
(Derivation, Algorithm, Flow Chart, C-Programme and its
Output)
LINE USING BRESENHAM’S PRINCIPLE DERIVATION:
Let (Xi,Yi) be ith
pixel closed to the line & (Xi+1, Yi+1) be (i+1)th
pixel closed to
the line.
As m < 1
Xi+1 = Xi + 1
Yi+1 = Yi OR Yi +1
If (d1) ≤ (d2)
Yi+1 = Yi +1
If (d1 - d2) ≤0
Yi+1 = Yi
Else (d1 - d2) >0
Yi+1 = Yi +1
d1= Y- Yi
d2 = (Yi +1)-Y
(d1 - d2) = Y- Yi – (Yi+1) +Y
Yi+1 = Yi +1
= Y- Yi – Yi -1-Y
= 2Y-2Yi -1
Y=mx + c
X = Xi + 1
(d1 - d2) =2[m(Xi + 1) + c)]-2Yi -1
(d1 - d2) =2mXi+2m + 2c -2Yi -1
(d1 - d2) =2Yi Xi - 2Yi + (2Yi +2c-1)
(d1 - d2)= 2mXi - 2Yi +k
Where k = 2m + 2c-1
But m = dy/dx
(d1 - d2) =2(
dx
dy
)Xi - 2Yi +k
dx(d1 - d2) = 2dyXi - 2Yidx + kdx
Since dx is positive sign of (d1 - d2)will be the same as sign of dx (d1 - d2)
Hence dx(d1 - d2) can be taken as a decision parameter is to decide co-
ordinate of Yi +1
dx(d1 - d2) = Pi
Pi = 2dyXi - 2Yidx + k--------I
If Pi ≤0
Xi+1 = Xi + 1
Yi+1 = Yi
If Pi >0
Xi+1 = Xi + 1
Yi+1 = Yi +1
Similarly decision variable based (i+1)th
point
Pi+1= 2dyXi+1 -2Yi+1dx +k-----II
(0,0) xi
xi +1
yi+1
yi
1
2
d1
d2
Xm, Ym
Subtract Equation II – I
(Pi+1- Pi) = 2dy(Xi+1-Xi) - 2dx(Yi+1- Yi)----III
If (Pi ≤0)
Xi+1 = Xi + 1
Yi+1 = Yi
Pi+1= Pi + 2dy(Xi+1-Xi) -2dx(Yi - Yi)
Pi+1= Pi + 2dy
If (Pi>0)
Xi+1 = Xi + 1
Yi+1 = Yi +1
Pi+1= Pi + 2dy(Xi +1- Xi)- 2dx(Yi +1- Yi)
Pi+1= Pi + 2dy-2dx
For 1st
decision variable parameter
Xi = xi
Yi = yi
Pi =2dyXi - 2dxYi + kdx
Since Ist
point is also on the line
Yi=mxi + c
Pi =2dyXi - 2dxYi +dx(2m+2c -1)
=2dyXi - 2dxYi +dx(2(
dx
dy
)+2c-1)
=2dyXi - 2dxYi +2dy+2cdx-dx
Yi=mx + c
=2dyXi - 2dx(mxi + c)+2dy-xdx-dx
We get again sub. m= dy/dx
Pi =2dy-x
m <1
Xi = xi , Yi = yi
Pi =2dy-dx----1st
point
If (Pi 0≤ )
Xi+1 = Xi + 1
Yi+1 = Yi
Pi+1= Pi + 2dy
Else (Pi >0)
Xi+1 = Xi + 1
Yi+1 = Yi
Pi+1= Pi + 2dy-dx
m >1
Xi = xi , Yi = yi
Pi =2dx-dy---1st
point
If (Pi 0≤ )
Yi+1 = Yi +1
Xi+1 = Xi
Pi+1= Pi + 2dx
Else (Pi >0)
Yi+1 = Yi +1
Xi+1 = Xi + 1
Pi+1= Pi +dx-dy
Algorithm
1) Declaration of variables
Int (X1,Y1) = 1st
end co-ordinates of line
Int (X2,Y2) = 2nd
end co-ordinates of line
Int (X,Y) = current point on line
Int (Dx,Dy) = Difference of x&y
Int P = Decision parameter
Sign x,Sign y = variable hold sign of x&y
Int i = Loop counter
2) Initialization:
Read (X1,Y1)
Read (X2,Y2)
3) calculation :
Dx = X2- X1;
Dy = Y2 - Y1;
If Dx 0≤
Sign x = -1
Else
Sign x = +1
If Dy 0≤
Sign Y = -1
Else
Sign Y =+1
X = X1;
Y = Yi ;
i = 0;
If ( Dx > Dy ) * 1)( <m *
P = 2 Dy - Dx
Loop
Put pixel (x,y,col)
If P 0≤
X=X+signx
Y =y
P = P +2 Dy
Else
P>0
X=X+signx
Y =Y+signy
P = P+ Dy - Dx
i = i+1
continue till (i ≤ Dx
else ( Dy )Dx≥ */ m >1/*
P =2 Dy - Dx
Loop
Put pixel (X,Y,col)
If (P 0≤ )
Y =Y+signy
X = x;
P = P +2 Dx
Else
(P>0)
Y =Y+signy
X=X+signx
P = P+2 Dx -2 Dy
i = i+1
continue till (i Dy≤
c- program
voil dr –line data (int x1,int y1,int x2,int x2)
int x,y,dx,dy,sign x,sing y,p,i;
dx = x2-x1;
dy = y2-y1;
If (dx 0≤ )
Sign x= -1;
Else
Sign x =-1
Else sign y =+1
X=x1;
Y=y1;
If ((dx* signx)>(dy * signy))
{
P=(2* dy * signy)-( dx* signx)
For (i=0; ≤*signx; i++)
{
Put pixel (x,(ymax-y),14);
If(P ≤0)
{
X= x+signx;
P = P+(2*dy * signy);
}
Else
{
X = x+signx;
Y = y+signy;
P = P+(2*dy*signy)-(2*dx*signx);
}
}
}
Else
{
P = (2*dx*signx)-( 2*dy*signy);
For (i=0; ≤dy*signy;i++)
{
Put pixel (x,(Ymax-y),col);
If (p ≤0)
{
Y=Y+signy
P= p+2*dx*signx;
}
Else
{
Y=Y+signy;
X = x+signx;
P=p+(2*dx*signx)-( 2*dy*signy)
}
}
}
Calculate absolute value of horizontal & vertical difference
DX = abs(X2 - X1)
DY = abs(Y2 - Y1)
C1 = 2 * DY
C2 = 2 * (DY - DX)
Calculate the initial decision parameter
P = 2 * DY - DX
P =P +C2
Y=Y+1
X = X + 1
If P < 0
Put a pixel at ( X,Y )
P = P + C1
Y = Y
If
X<XEND
Stop
Input Start Point Coordinate X1 , X2
&
End Point Coordinate Y1, Y2 of the line
If X1
> X2
X = X2
Y = Y2
XEND = X1
X = X1
Y = Y1
XEND =
Put a pixel at ( X,Y )
1
1
/* This program is of Line Using "Bresenham Algorithm" */
#include<graphics.h>
#include<dos.h>
#include<math.h>
#include<stdlib.h>
main()
{
initializegraph();
bres_line();
closegraph();
restorecrtmode();
}
initializegraph()
{
int gm,gd=DETECT;
initgraph(&gd,&gm,"c:tcbgi");
}
bres_line()
{
int x1=50,x2=300,y1=300,y2=300;
int dx,dy,x,y,xend,p;
dx=abs(x1-x2);
dy=abs(y1-y2);
p=2*dy-dx;
if(x1>x2)
{
x=x2;
y=y2;
xend=x1;
}
else
{
x=x1;
y=y1;
xend=x2;
}
putpixel(x,y,10);
while(x<xend)
{
x=x+1;
if(p<0)
p=p+2*dy;
else
y=y+1;
p=p+2*(dy-dx);
putpixel(x,y,10);
delay(2);
}
getch();
}
/*Derivate for Bresenham’s Line Algorithm*/
Let (X,Y) be ith
pixel co-ordinate to the line and (xi+1, Yi+1) be (i+1)th
pixel co-ordinate to the line
As m<1
xi+1 = xi + 1
Yi+1 = Yi or Yi+1
If (d1) > (d2)
Yi+1 = Yi
If (d1) < (d2)
Yi+1 = Yi + 1
{ If (d1-d2}<0
Yi+1 = Yi
If (d1-d2}>0
Yi+1 = Yi + 1}
d1 = Y - Yi
d2 = Yi + 1 - Y
(d1 – d2) = Y - Yi – ( Yi + 1) + Y
=2Y – 2Yi – 1
Y= mX + C
X= Xi + 1
(d1 – d2) = 2[m(Xi + 1) + C ] – 2Yi 1
=2mXi – 2Yi + 2m + 2C + 1
(d1 – d2) = 2mXi – 2Yi + K
m = dy/dx
dX (d1 – d2) = 2dY Xi – 2 Yi dX + K dX
since dX be the d1 – d2 will be the same as sign of dX (d1 – d2).
Hence dX (d1 – d2) can be taken as a decision parameter co-ordiante of (Yi +
1)
dX (d1 – d2) = Pi
Pi = 2 dY Xi – 2 Yi dX + K
{If Pi < 0
xi+1 = Xi + 1
Yi+1 = Yi
If Pi > 0
Xi+1 = Xi + 1
Yi+1 = Yi + 1}
Similarly decision variables base on (i+1)th
point
Pi+1 = 2 dY Xi+1 – 2 dX Yi+1 + K
(Pi+1 – P1) = 2 dY (Xi+1 –Xi) – 2 dX (Yi+1 – Yi)
Pi+1 = Pi + 2 dY (Xi+1 –Xi) – 2 dX (Yi+1 – Yi)_____________1
If Pi < 0
xi+1 = Xi + 1
Yi+1 = Yi
Pi = Pi + 2 dY (Xi +1 –Xi) – 2 dX (Yi – Yi)
Pi = Pi +2dY
If Pi>0
xi+1 = Xi + 1
Yi+1 = Yi + 1
Pi = Pi + 2 dY (Xi +1 –Xi) – 2 dX (Yi + 1 – Yi)
Pi = Pi +2dY – 2dX
For Ist
point,
Xi = Xi
Yi = Yi
Pi = 2 dY Xi – 2 dX Yi + K dX
Since Ist
point also on the line
Yi = mXi + C
Pi = 2 dY Xi – 2 dX Yi + dX (2m + 2C – 1)
Pi = 2 dY – dX
│m < 1 m < 1│ │ │
P = 2 dY – dX P = 2 dX – dY
If P ≤ 0 If P ≤ 0
Xi+1 = Xi + 1 xi+1 = Xi
Yi+1 = Yi Yi+1 = Yi + 1
Pi+1 = Pi +2Dy Pi+1 = Pi +2dX
If P > 0 If P > 0
Xi+1 = Xi + 1 Yi+1 = Yi + 1
Yi+1 = Yi + 1 Xi+1 = Xi + 1
Pi = Pi +2dY – 2dX Pi = Pi +2dX – 2dY
INPUT DATA
The X1 co-ordinate of the Initial Point : 50
The Y1 co-ordinate of the Initial Point : 100
The X2 co-ordinate of the Initial Point : 300
The Y2 co-ordinate of the Initial Point : 300
Output :
EXPERIMENT
No. 2
Experiment No. 02
Name of Experiment : Generation of Circle using
Parametric Bresenham’s Principle (Derivation,
Algorithm, Flow Chart, C-Programme and its Output)
CIRCLE USING BRESENHAM’S PRINCIPLE
DERIVATION: Mid point Algorithm for Generation of Circle Using
Bresenham’s Principle.
As m <1
Xi+1 = Xi +1
Yi+1 = Yi or Yi -1
Mid point m (Xm,Ym) = (Xi+1 ,Yi – ½)
If mid point inside the circle
Yi+1 = Yi
Out side the circle
Yi+1 = Yi - 1
Equation of circle = X2
+Y2
= R2
X2
+ Y2
– R2
= 0------I
Substitute the Co-ordinates of the mid point in Equation –1
Pi = Xm
2
+ Ym
2
– R2
If Pi
≤ 0
Xi+1 = Xi +1 (Inside)
Yi = Yi
Else
Pi > 0
Xi+1 = Xi +1
Yi+1 = Yi - 1 (Outside)
Pi = (Xi +1)2
+ (Yi – ½)2
– R2
= Xi
2
+ 2Xi +1 + Yi
2
– Yi + ¼ - R2
Pi = Xi
2
+ 2Xi + Yi
2
– Yi +[ 1 +¼ - R2
]
Pi = Xi
2
+ 2Xi + Yi
2
– Yi + K--------- II
(0,0) xi
xi +1
R
0,0
Radius
Outside Point
Mid point m (Xm
,Ym
) = (Xi+1
,Yi
– ½)
Inside Point
1
2
Slope less than 1
2-Slope greater than 1
yi
yi-1
Where
K = 1 +¼ - R2
.
. . Decision based Variable based on (i+1)th
point
Pi+1 = (Xi +1)2
+ 2(Xi +1) +( Yi+1 ) - Yi+1 +K----III
Subs tract III-II
Pi+1 - Pi = [(Xi +1)2
- Xi
2
] + 2 [(Xi +1) - Xi] + [Yi+1
2
] – [Yi+1 - Yi]
Pi+1 = Pi + --------------------------------IV
If Pi ≤ 0
Xi +1 = Xi +1
Yi+1 = Yi
Substitute in Equation IV ,We get
Pi+1 = Pi +[(Xi +1)2
- Xi
2
] + 2 (Xi +1 - Xi) + Yi
2
- Yi
2
] – [Yi - Yi]
= Pi + [ Xi
2
+ 2Xi +1- Xi
2
+2]
= Pi +2Xi +1+2
Pi+1 = Pi +2Xi + 3------------------------V
If P > 0
Xi +1 = Xi +1
Yi+1 = Yi - 1
Substitute in Equation IV,We get
Pi+1= Pi+[(Xi +1)2
- Xi
2
] + 2 [(Xi +1 - Xi)] + [(Yi - 1)2
- Yi
2
)]- [Yi -1- Yi]
= Pi+[ Xi
2
+ 2Xi +1- Xi
2
+2]+[ Yi
2
- 2 Yi +1- Yi
2
]+1
= Pi+[2Xi+3] + [-2Yi +2]
Pi+1= Pi+2Xi -2 Yi +5
For finding Ist
decision variable point (0,R)
Xi=0 , Yi = R
Pi = Xm
2
+ Ym
2
– R2
=(Xi +1)2
+ (Yi – ½)2
– R2
= (0+1)2
+ (R-1/2)2
– R2
= 1 + R2
– R +1/4 – R2
P = 5/4 – R
P ≈ 1-R
Circle with Centre (Xc,Yc)
X = X + Xc
Y = Y + Yc
ALGORITHM
1) Declaration of variables:
Int (Xc,Yc)- Co-ordinate of Centre of circle
Int R – Radius of Circle
Int P – Decision Variable
Int(x,y) – Current Pixel Position
2) Initialization:
Read (Xc,Yc);
Read R;
3) Calculate:
P = 1-R
X = 0;
Y = R
Loop Plot Circle (X,Y, Xc,Yc ;col)
If P ≤ 0
X = X+1;
Y = Y
P = P+ 2x +3;
Else
P > 0
X = X+1;
Y = Yi - 1;
P = P+2x-2Y + 5
Continue till (X ≤ Y)
Function to plot 8 symmetric point on circle with centre (Xc,Yc):
Put pixel (X+ Xc , Y+ Yc ; col);
Put pixel (-X+ Xc , Y+ Yc ; col);
Put pixel (-X+ Xc , -Y+ Yc ; col);
Put pixel (X+ Xc , -Y+ Yc ; col);
Put pixel (Y+ Xc , Y+ Yc ; col);
Put pixel (-Y+ X1 , X+ Yc ; col);
Put pixel (-Y+ Xc , -X+ Yc ; col);
Put pixel (Y+ X1 , -X+ Yc ; col);
ALGORITHM TO DRAW THE CIRCLE WITH CENTRE AT
ORIGIN USING EQUATION OF CIRCLE
1)Declaration.
Int R-Radius of circle
Float(x,y)-current point on the circle
2) Read R
X=0;
Y=R;
Loop
Plot circle (round (x),round (y); col)
X=x+1
Y= 22 XR −
Continue till (x y≤ )
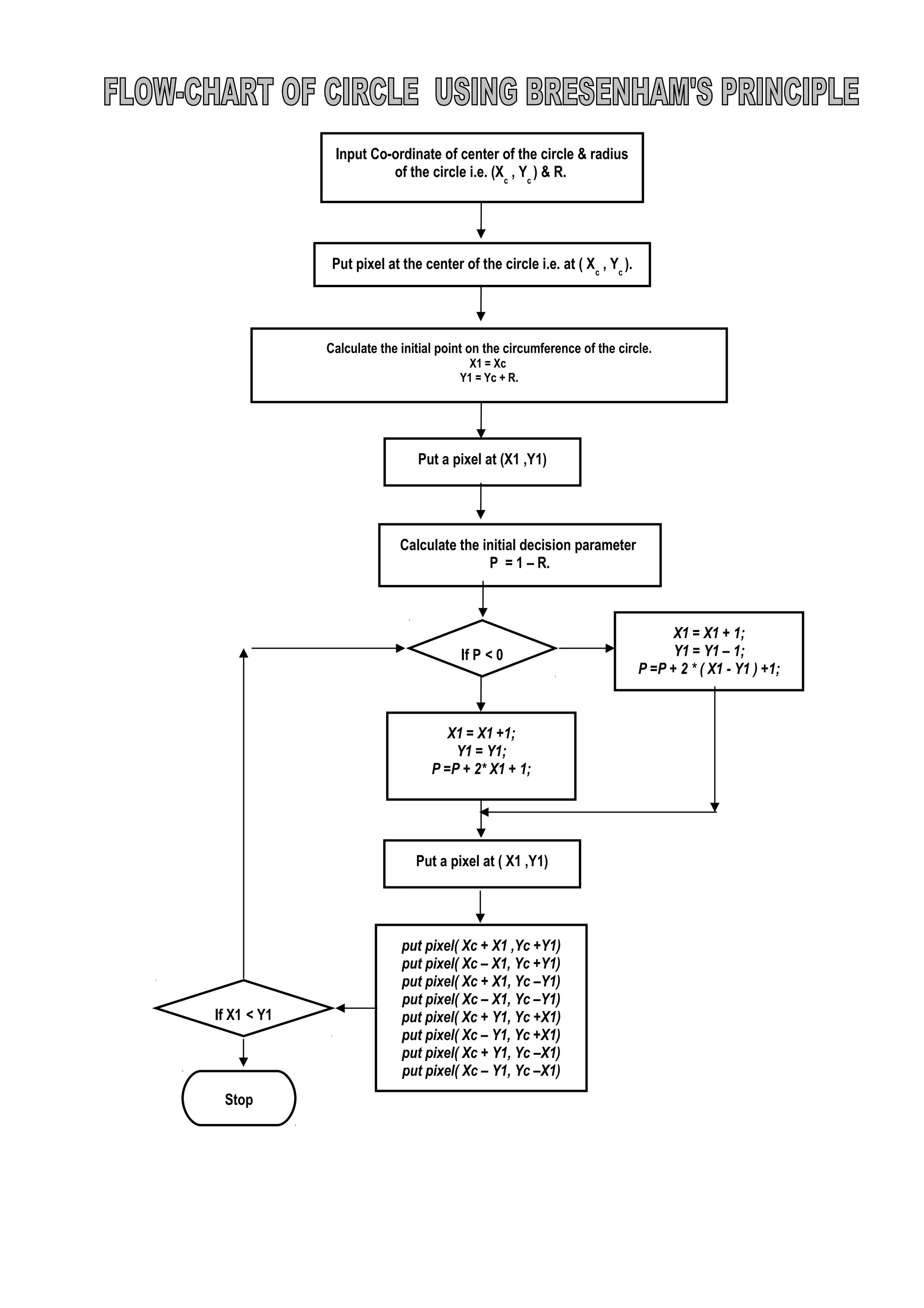
ALGORITHM OF CIRCLE USING BRESENHAM’S PRINCIPLE ALGORITHM:-
1) Input Co-ordinate of center of the circle & radius of the circle i.e. (Xc , Yc )
& R.
2) Put pixel at the center of the circle i.e. at ( Xc , Yc ).
3) Calculate the initial point on the circumference of the circle.
X1 = Xc
Y1 = Yc + R.
4) Put pixel at this point i.e. at ( X1 , Y1 ).
5) Calculate the initial decision parameter
P = 1 – R.
6) Check for the decision parameter
If ( P < 0)
{ X1 = X1 +1;
Y1 = Y1;
P =P + 2* X1 + 1;
}
else
{ X1 = X1 + 1;
Y1 = Y1 – 1;
P =P + 2 * ( X1 - Y1 ) +1;
}
7) Put pixel at new coordinate of the points on the circumference of the circle
i.e. at (X1, Y1).
8) Put pixel on the circumference of the circle using symmetry of the circle as
follows.
0,
0
Radiu
s 1
2
put pixel( Xc + X1 ,Yc +Y1).
put pixel( Xc – X1, Yc +Y1).
put pixel( Xc + X1, Yc –Y1).
put pixel( Xc – X1, Yc –Y1).
put pixel( Xc + Y1, Yc +X1).
put pixel( Xc – Y1, Yc +X1).
put pixel( Xc + Y1, Yc –X1).
put pixel( Xc – Y1, Yc –X1).
9) Repeat the steps 6 to 8 till (X1<Y1)
Put pixel at the center of the circle i.e. at ( Xc
, Yc
).
Calculate the initial point on the circumference of the circle.
X1 = Xc
Y1 = Yc + R.
Input Co-ordinate of center of the circle & radius
of the circle i.e. (Xc
, Yc
) & R.
Calculate the initial decision parameter
P = 1 – R.
If P < 0
Put a pixel at (X1 ,Y1)
put pixel( Xc + X1 ,Yc +Y1)
put pixel( Xc – X1, Yc +Y1)
put pixel( Xc + X1, Yc –Y1)
put pixel( Xc – X1, Yc –Y1)
put pixel( Xc + Y1, Yc +X1)
put pixel( Xc – Y1, Yc +X1)
put pixel( Xc + Y1, Yc –X1)
put pixel( Xc – Y1, Yc –X1)
Stop
X1 = X1 +1;
Y1 = Y1;
P =P + 2* X1 + 1;
Put a pixel at ( X1 ,Y1)
X1 = X1 + 1;
Y1 = Y1 – 1;
P =P + 2 * ( X1 - Y1 ) +1;
If X1 < Y1
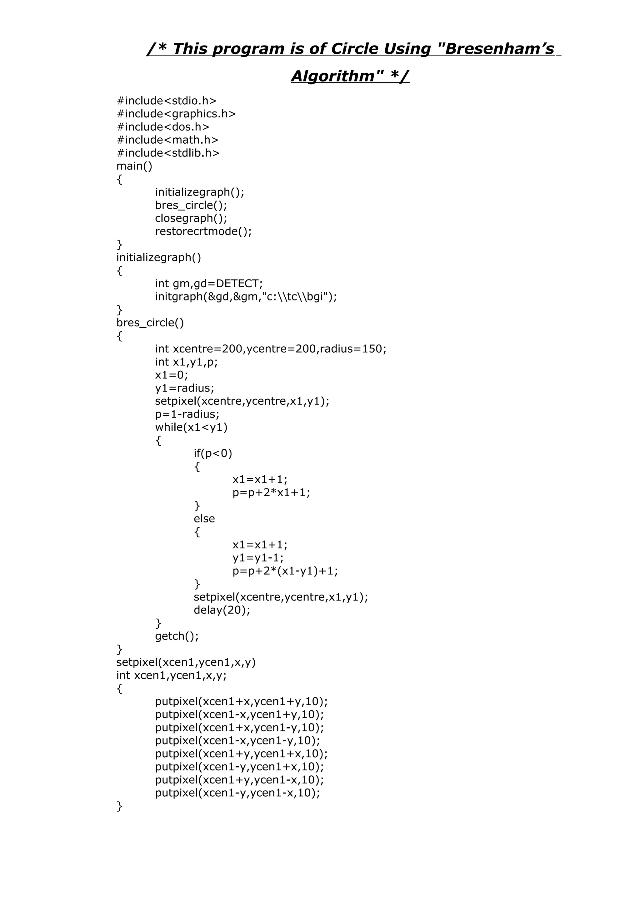
/* This program is of Circle Using "Bresenham’s
Algorithm" */
#include<stdio.h>
#include<graphics.h>
#include<dos.h>
#include<math.h>
#include<stdlib.h>
main()
{
initializegraph();
bres_circle();
closegraph();
restorecrtmode();
}
initializegraph()
{
int gm,gd=DETECT;
initgraph(&gd,&gm,"c:tcbgi");
}
bres_circle()
{
int xcentre=200,ycentre=200,radius=150;
int x1,y1,p;
x1=0;
y1=radius;
setpixel(xcentre,ycentre,x1,y1);
p=1-radius;
while(x1<y1)
{
if(p<0)
{
x1=x1+1;
p=p+2*x1+1;
}
else
{
x1=x1+1;
y1=y1-1;
p=p+2*(x1-y1)+1;
}
setpixel(xcentre,ycentre,x1,y1);
delay(20);
}
getch();
}
setpixel(xcen1,ycen1,x,y)
int xcen1,ycen1,x,y;
{
putpixel(xcen1+x,ycen1+y,10);
putpixel(xcen1-x,ycen1+y,10);
putpixel(xcen1+x,ycen1-y,10);
putpixel(xcen1-x,ycen1-y,10);
putpixel(xcen1+y,ycen1+x,10);
putpixel(xcen1-y,ycen1+x,10);
putpixel(xcen1+y,ycen1-x,10);
putpixel(xcen1-y,ycen1-x,10);
}
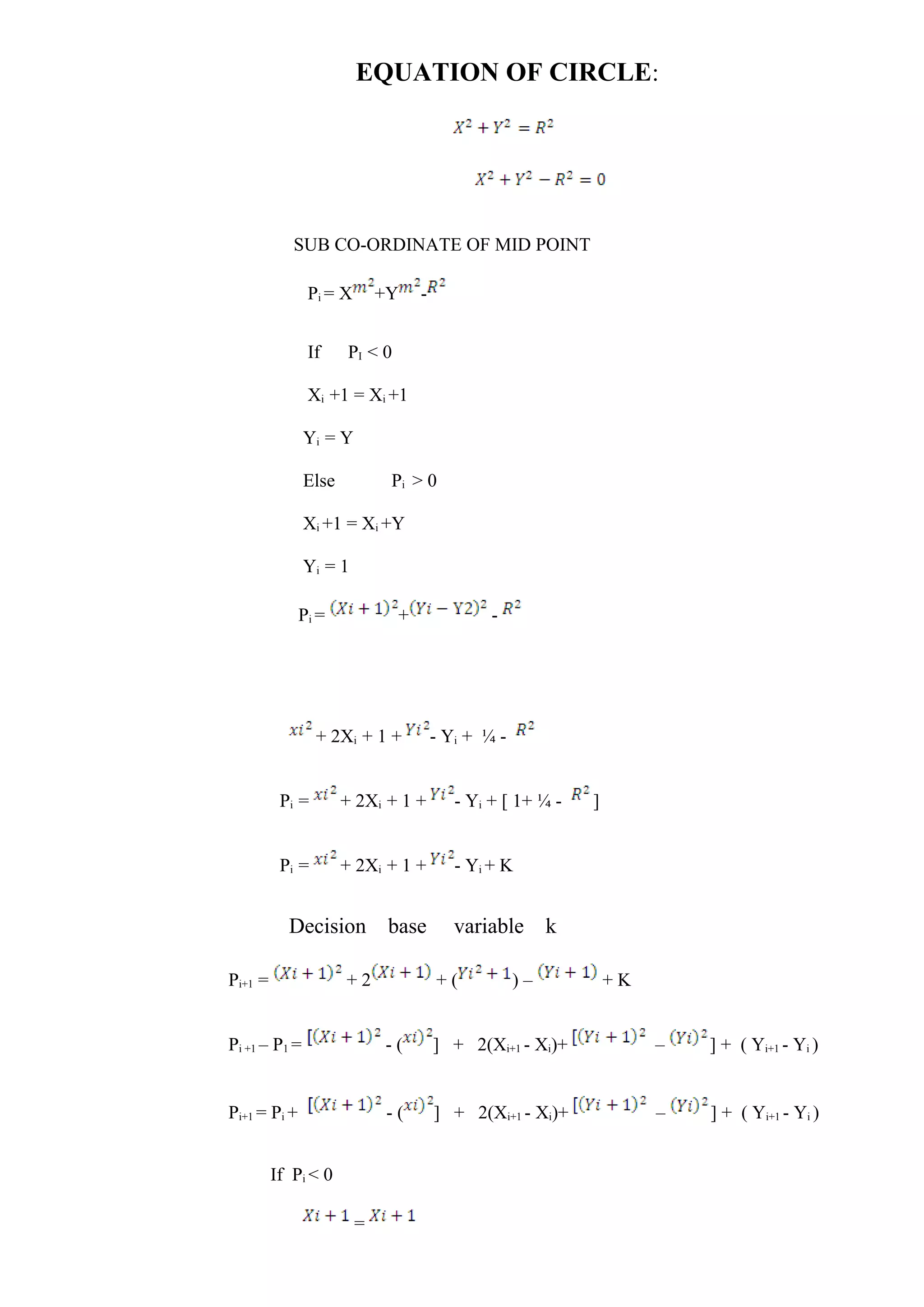
EQUATION OF CIRCLE:
SUB CO-ORDINATE OF MID POINT
Pi = X +Y -
If PI < 0
Xi +1 = Xi +1
Yi = Y
Else Pi > 0
Xi +1 = Xi +Y
Yi = 1
Pi = + -
+ 2Xi + 1 + - Yi + ¼ -
Pi = + 2Xi + 1 + - Yi + [ 1+ ¼ - ]
Pi = + 2Xi + 1 + - Yi + K
Decision base variable k
Pi+1 = + 2 + ( ) – + K
Pi +1 – P1 = - ( ] + 2(Xi+1 - Xi)+ – ] + ( Yi+1 - Yi )
Pi+1 = Pi + - ( ] + 2(Xi+1 - Xi)+ – ] + ( Yi+1 - Yi )
If Pi < 0
=
= Y
Pi+1 = Pi + 2Xi + 1 + 2
Pi+1 = Pi + 2Xi + 3
If P > 0
=
= Y – 1
= Pi+ 2Xi – 2yi + 5
FOR FIND 1st
decision variable
Pt (0 , R )
Xi = 0
Yi = R
P = X +Y -
= + -
= + -
= 1 + - R + ¼ -
P = 5/4 – R
= 1 – R
CRICLE WITH CENTER (Xc , Yc)
X = X+ Xc
Y = Y + Yc
INPUT DATA:
The Radius of Circle : 150.
The X coordinate center of circle : 200.
The Y coordinate center of circle : 200.
Output :
EXPERIMENT
No. 3
Experiment No. 03
Name of Experiment:
Generation of Ellipse and arc using parametric
Equation and Bresenham’s Principle
(Derivation, Algorithm, Flow Chart, C-Programme and
its Output)
ELLIPSE USING BRESENHAM’S PRINCIPLE
DERIVATION:
To draw Ellipse
Due to the symmetry of the ellipse about x,y, exis only first quadrant of the
ellipse shall be drawn,where as remaining will be generated by symmetry as
shown.
Ellipse =
2
2
Rx
X
+
2
2
RY
Y
=1
Ry2
+ Rxy2
–Rx2
Ry2
= 0
Finding the slope of ellipse in Ist
quadrant
2xRy2
dx + 2yRx2
dy = 0
dx
dy
= -
2
2
yRx
xRy
dx
dy
= -1
-1 =
2
2
yRx
xRy−
yRx2
= xRy2
In part (1) Ellipse yRx2
≥ xRy2
-1 <dy/dx < 0 ( 0< dxdy / <0)
Increment x by 1 and calculate y.
In part (2) of Ellipse
-∞ < dy/dx < -1(∞ > dxdy / <1)
Increment y by & calculate x
Drawing part (1) of the ellipse Algorithm.
m = (Xm1 , Ym)
Xm = Xi +1
Ym = Yi – ½
Rx
RY
Decision Variable
Pi = Ry2
x2
+ Rx2
y2
– Rx2
Ry2
Pi = Ry2
xm2
+ Rx2
Ym2
- Rx2
y2
Pi =Ry2
(Xi +1)2
+ Rx2
(Yi – ½)2
- Rx2
Ry2
Pi =Ry2
(Xi
2
+ 2Xi +2) + Rx2
(Yi
2
– Yi +1/4) – Rx2 Ry2
Pi =Ry2
(Xi
2
+ 2Xi ) + Rx2
(Yi
2
– Yi ) + [Ry2
+1 +
4
2Rx
- Rx2
Ry2
]
Pi =Ry2
(Xi
2
+ 2Xi ) + Rx2
(Yi
2
– Yi ) +K-------I
Where K= Ry2
+1 +
4
2Rx
- Rx2
Ry2
+1
Pi+1 = Ry2
( Xi+1
2
+2 Xi+1) + Rx2
(Yi+1
2
- Yi+1) +K---II
Sub Equation II & I
Pi+1 = Pi+ Ry2
{( Xi+1
2
- Xi
2
) + 2(Xi+1 - Xi)}
+ Rx2
{(Yi+1
2
- Yi
2
) – (Yi+1- Yi)}
If Pi 0≤ (midpoint inside)
Xi+1 = Xi+1
Yi+1 = Yi
Pi+1 = Pi+ Ry2
{( Xi+1
2
- Xi
2
) + 2(Xi+1 - Xi)}
+ Rx2
{(Yi
2
- Yi
2
) – (Yi- Yi)}
=Pi+ Ry2
{( Xi
2
+ 2Xi +1) +2}+ Rx2
{0}
Pi+1 = Pi+ Ry2
(2Xi +3)
If Pi > 0 (midpoint outside)
Xi+1 = Xi+1
Yi+1 = Yi-1
Pi+1 =Pi+ Ry2
{( Xi+1
2
- Xi
2
)+2(Xi+1 - Xi)}+Rx2
{( Yi-1)2
- Yi
2
]-[ Yi -1- Yi]
=Pi+ Ry2
{( Xi
2
+ 2Xi +1) +2}+ Rx2
{ Yi
2
-2Yi+1- Yi
2
]-[-1]
Pi+1 =Pi+ Ry2
[2Xi +3]+ Rx2
[-2Yi+2]
First Decision Variable
Xi = 0; Yi=Ry
Substitute in Equation I
Pi= Ry2
(Xi
2
+ 2Xi) + Rx2
(Yi
2
- Yi)+ Ry2
4
2Rx
-Rx2
-Rx2
Ry2
= Ry2
(0) + Rx2
(Ry2
- Ry)+ Ry2
+
4
2Rx
- Rx2
Ry2
=Rx2
Ry2
- Rx2
Ry+ Ry2
+
4
2Rx
- Rx2
Ry2
= Ry2
- Rx2
(Ry-1/4)
P ≈ Ry2
- Rx2
Ry2
ALGORITHM
1) Declaration of Variable
Int (Xc
,Yc
) --- centre of ellipse
Int (x,y) ----Current position of x&y
(0,0) xi
xi +1
R
0,0
Outside Point
Mid point m (Xm
,Ym
) = (Xi+1
,Yi
– ½)
Inside Point
1
2
1-Slope less than 1
2-Slope greater than 1
Int p ----Decision Parameter
Int (Rx,Ry) ---- Radius of X&Y
Plot ellipse (Xc,Yc,x,y)
2) Initialization
Read (Xc
,Yc
)
Read Rx,Ry;
X=0; Y=Ry;
P=Ry2
- Rx2
Ry
Loop plot ellipse
If (Pi 0≤ )
X = x+1;
Y = y;
P = P +y2
(2x+3)
Else (P>0)
X = x+1;
Y = y-1;
P = P Ry2
(2x+3) + Ry2
(-2Y+2)
Continue tiil (Ry2
x ≤ Rx2
y)
X= Rx; Y =0
P = Rx2
- Ry2
Rx
Loop
Plot ellipse (Xc,Yc,x,y)
If (P ≤0)
Y = y+1;
X = x;
P = P+ Rx2
(2Y+3)
Else (P>0)
Y = y+1;
X = x-1;
P = P+ Rx2
(2Y+3)+ Ry2
(-2Y+2)
Continue till (Rx2 ≤ Ry2
x)
Plot ellipse (Xc,Yc,x,y,col);
Put pixel (Xc,Yc,x,y,col);
Put pixel (X+Xc, Y+ Yc, col);
Put pixel (-X+Xc, Y+ Yc, col);
Put pixel (-X+Xc, -Y+ Yc, col);
Put pixel (X+Xc, -Y+ Yc, col);
/* This program is of ELLIPSE Using "Bresenham
Algorithm" */
Function to draw ellipse
Void draw ellipse (int Xc ,int Yc,int Rx,int Ry)
{
Int x,y;
Float p;
Long Sx,Rx,Sy,Ry ;
SqRx=Rx*Rx;
SqRy=Ry*Ry
P=SqRy-SqRx*Ry+SqRx/4
For(x=1;(SqRy*x) <= (SqRx*y); x++)
(
Plotellipse (Xc,Yc,X,Y)
If(p<=0)
P=p+SqRy*(2*x+3) ;
Else
{
y--;
p=p+SqRy*(2*x+3)
}
}
X=rx;
Y=0;
P=SqRx-SqRy*Rx+SqRy*(2-2xy)
For(y=1;(SqRx*y)<=(SqRy*x);y++)
{
Plotellipse (Xc,Yc,x,y)
If(p<=0)
P=p+SqRx*(2*y+3) ;
{
Else
x-- ;
p=p+SqRx*(2*y+3)+SqRx*(2-2*x) ;
}
}
ALGORITHM OF ELLIPSE USING PARAMETRIC EQUATION
THEORY:-
Parametric Equation of the ellipse is as follows
X = Xc + ( Major Axis / 2 ) * cos θ
Y = Yc+ ( Minor Axis / 2 ) * sin θ
In the above equation
Xc = X co ordinate of the center of the ellipse,
Yc = Y co ordinate of the center of the ellipse,
Major Axis = Major Axis of the ellipse.
Minor Axis = Minor Axis of the ellipse.
θ = Parameter,
X = X co ordinate of the point on the circumference of the ellipse,
Y = Y co ordinate of the point on the circumference of the ellipse,
ALGORITHM:-
1) Input Co-ordinate of center of the ellipse , major axis & minor axis of the ellipse i.e. (Xc , Yc),
major_axis, minor_axis.
2) Put pixel at the center of the ellipse i.e. at ( Xc , Yc).
3) Calculate the half of the major axis & minor axis i.e.
major_axis = major_axis / 2.
minor_axis = minor_axis / 2.
4) Set the initial parameter.
θ = 0.
5) Calculate the co ordinates of the point on the circumference of the ellipse
X1 = Xc + major_axis * cos (θ );
Y1 = Yc+ minor_axis * sin(θ );
6) Put pixel at this point i.e. at ( X1 , Y1 ).
7) Put pixel on the circumference of the ellipse using symmetry of the ellipse as follows.
put pixel( Xc + X1 ,Yc +Y1).
put pixel( Xc – X1, Yc +Y1).
put pixel( Xc + X1, Yc –Y1).
put pixel( Xc – X1, Yc –Y1).
8) Increment the parameter
θ = θ + 0.5
9) Repeat the steps 5 to 8 till (θ <= 180).
Put pixel at the center of the ellipse i.e. at ( Xc
, Yc
).
Calculate the half of the major axis & minor axis i.e.
major_axis = major_axis / 2.
minor_axis = minor_axis / 2.
Input Co-ordinate of center of the ellipse , major axis & minor axis of the ellipse i.e.
(Xc , Yc), major_axis, minor_axis.
Set the initial parameter.
θ = 0.
Increment the parameter
θ = θ + 0.5
Stop
Put pixel on the circumference of the ellipse using symmetry of the ellipse as follows.
put pixel( Xc + X1 ,Yc +Y1).
put pixel( Xc – X1, Yc +Y1).
put pixel( Xc + X1, Yc –Y1).
put pixel( Xc – X1, Yc –Y1).
Put a pixel at ( X1 ,Y1)
Calculate the co ordinates of the point on the circumference of the ellipse
X1 = Xc + major_axis * cos( θ )
Y1 = Yc + minor_axis * sin ( θ )
If θ < 180
/* Program for Ellipse Using "Parametric Equation" */
#include<stdio.h>
#include<graphics.h>
#include<dos.h>
#include<math.h>
#include<stdlib.h>
main()
{
initializegraph();
para_Ellipse();
closegraph();
restorecrtmode();
}
initializegraph()
{
int gm,gd=DETECT;
initgraph(&gd,&gm,"c:tcbgi");
}
para_Ellipse()
{
int xcentre=200,ycentre=200,major_axis=150,minor_axis=100;
int x1,y1;
float p;
p=0.5;
while(p<180)
{
x1=major_axis*cos(p);
y1=minor_axis*sin(p);
setpixel(xcentre,ycentre,x1,y1);
p=p+0.5;
delay(20);
}
getch();
}
setpixel(xcen1,ycen1,x,y)
int xcen1,ycen1,x,y;
{
putpixel(xcen1+x,ycen1+y,21);
putpixel(xcen1-x,ycen1+y,21);
putpixel(xcen1+x,ycen1-y,21);
putpixel(xcen1-x,ycen1-y,21);
}
INPUT DATA:
The Major axis of the Ellipse: 150.
The Minor axis of the Ellipse: 100.
The X coordinate of an Ellipse : 200.
The Y coordinate of an Ellipse : 200.
The angle of Ellipse : 300
.
Output :
EXPERIMENT
No. 4
Experiment No.:04
Name of Experiment:
Generation of Hyperbola using Parametric and
Bresnham’s Principle
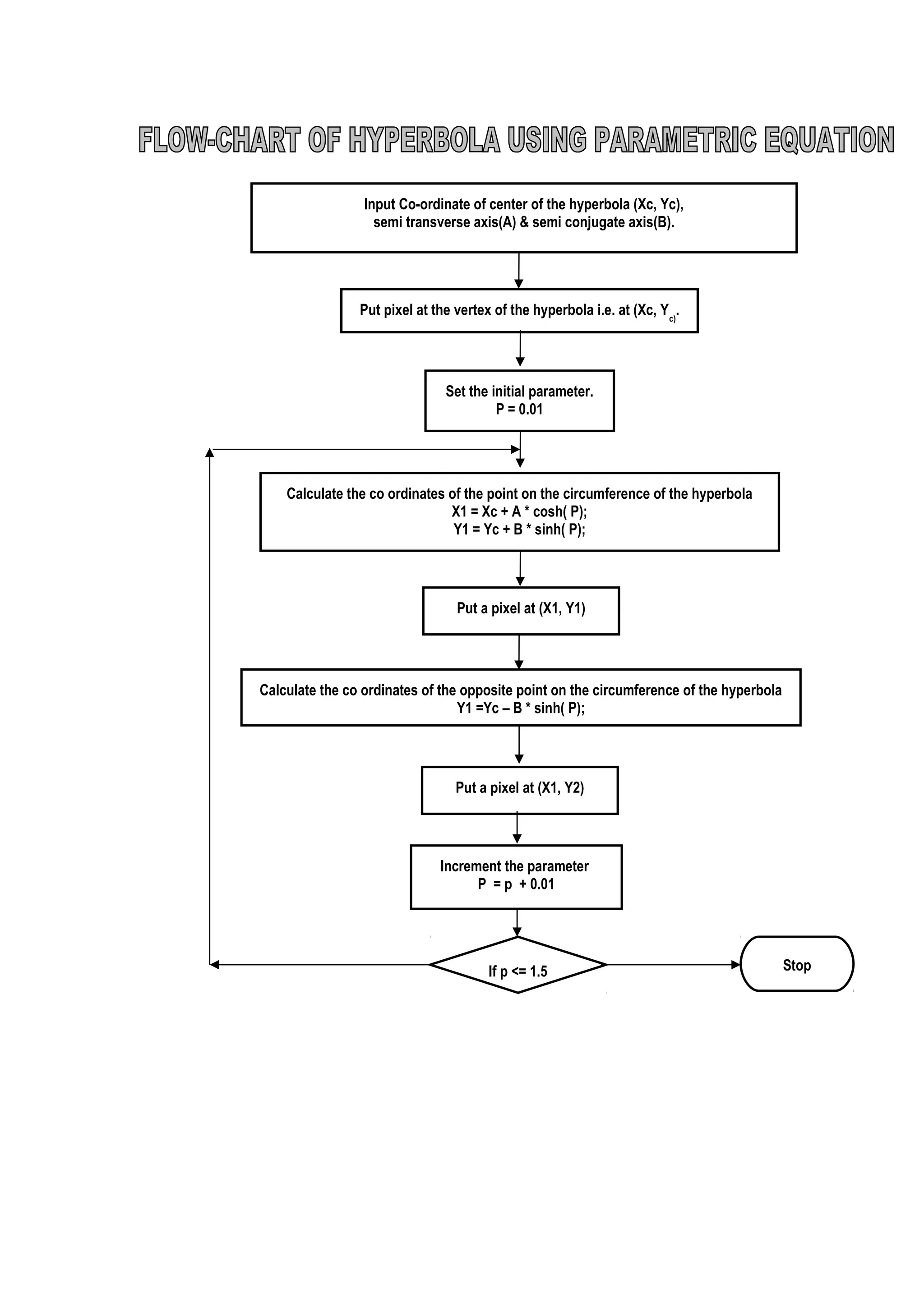
ALGORITHM OF HYPERBOLA USING PARAMETRIC EQUATION
THEORY: -
Parametric Equation of the hyperbola is as follows
X1=Xc +A * cosh(P);
Y1=Yc +B * sinh(P);
In the above equation
Xc = X co ordinate of the center of the hyperbola,
Yc = Y co ordinate of the center of the hyperbola,
P = Parameter,
X1 = X co ordinate of the point on the circumference of the
hyperbola,
Y1 = Y co ordinate of the point on the circumference of the
hyperbola,
A =semi transverse axis
B =semi conjugate axis
ALGORITHM: -
1) Input Co-ordinate of center of the hyperbola (Xc, Yc),semi transverse axis(A) &
semi conjugate axis(B).
2) Set the initial parameter.
P = 0.01
3) Put pixel at the center of the hyperbola i.e. at (Xc, Yc).
4) Calculate the co ordinates of the point on the circumference of the hyperbola
X1 =Xc +A * cosh( P);
Y1 =Yc +B * sinh( P);
5) Put pixel at this point i.e. at (X1, Y1).
6) Calculate the co ordinates of the opposite point on the circumference of the
hyperbola
Y1 =Yc – B * sinh( P);
7) Put pixel at this point i.e. at (X1, Y2).
8) Increment the parameter
P = p + 0.01.
9) Repeat the steps 4 to 7 till (p <=1.5).
Put pixel at the vertex of the hyperbola i.e. at (Xc, Yc)
.
Input Co-ordinate of center of the hyperbola (Xc, Yc),
semi transverse axis(A) & semi conjugate axis(B).
Set the initial parameter.
P = 0.01
Increment the parameter
P = p + 0.01
Stop
Calculate the co ordinates of the opposite point on the circumference of the hyperbola
Y1 =Yc – B * sinh( P);
Put a pixel at (X1, Y1)
Calculate the co ordinates of the point on the circumference of the hyperbola
X1 = Xc + A * cosh( P);
Y1 = Yc + B * sinh( P);
If p <= 1.5
Put a pixel at (X1, Y2)
/* Program for Hyperbola Using "Parametric Equation" */
#include<stdio.h>
#include<graphics.h>
#include<dos.h>
#include<math.h>
#include<stdlib.h>
main()
{
initializegraph();
Hyperbola();
closegraph();
restorecrtmode();
}
initializegraph()
{
int gm,gd=DETECT;
initgraph(&gd,&gm,"c:tcbgi");
}
Hyperbola()
{
int xcentre=200,ycentre=200,a=21,b=17;
int x1,y1,y2;
float p;
p=0.01;
for(p=0.01;p<=1.5;p=p+0.01)
{
x1=xcentre+a*cosh(p);
y1=ycentre+b*sinh(p);
y2=ycentre-b*sinh(p);
putpixel(x1,y1,2);
putpixel(x1,y2,2);
delay(20);
}
getch();
}
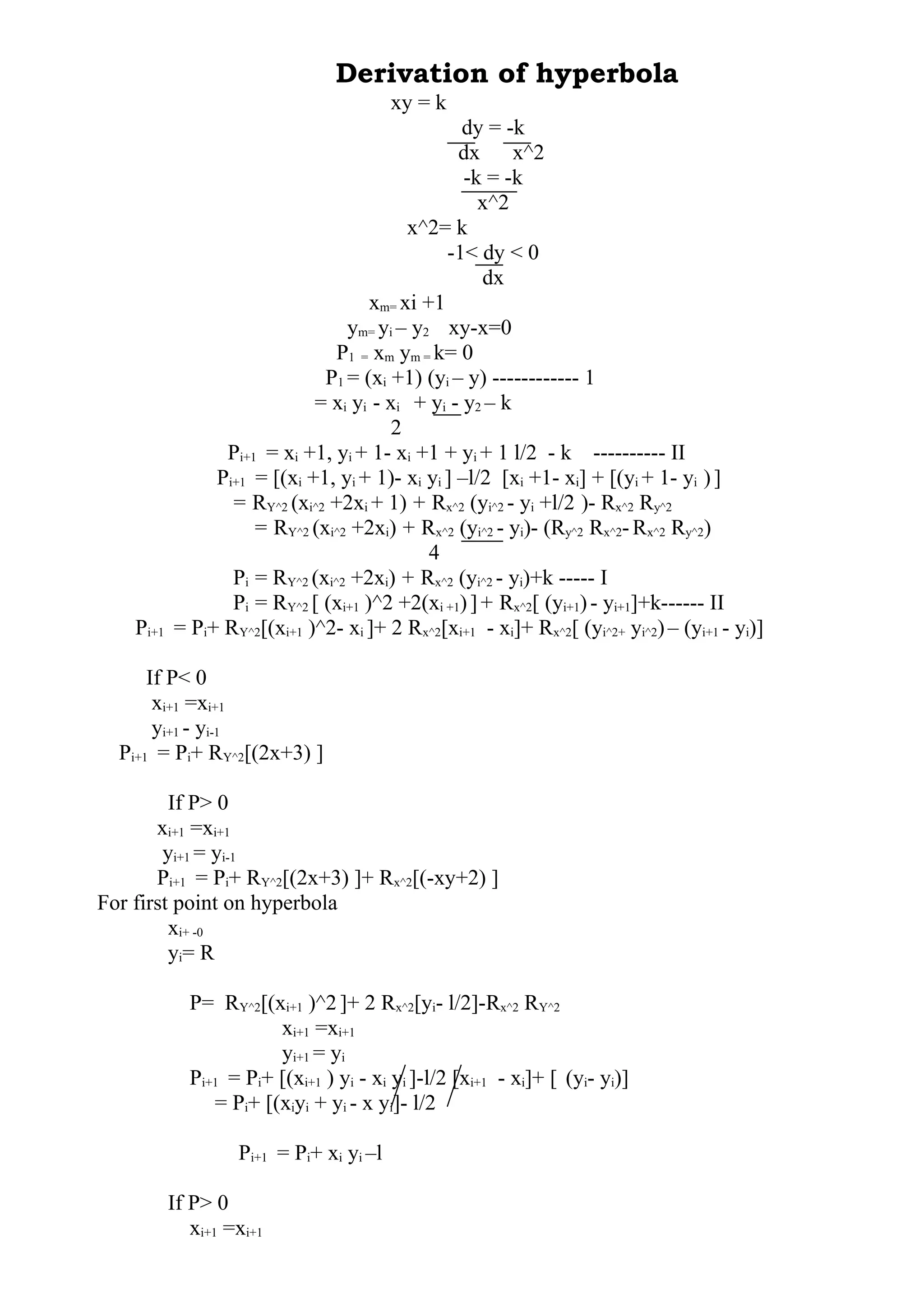
Derivation of hyperbola
xy = k
dy = -k
dx x^2
-k = -k
x^2
x^2= k
-1< dy < 0
dx
xm= xi +1
ym= yi – y2 xy-x=0
P1 = xm ym = k= 0
P1 = (xi +1) (yi – y) ------------ 1
= xi yi - xi + yi - y2 – k
2
Pi+1 = xi +1, yi + 1- xi +1 + yi + 1 l/2 - k ---------- II
Pi+1 = [(xi +1, yi + 1)- xi yi ] –l/2 [xi +1- xi] + [(yi + 1- yi )]
= RY^2 (xi^2 +2xi + 1) + Rx^2 (yi^2 - yi +l/2 )- Rx^2 Ry^2
= RY^2 (xi^2 +2xi) + Rx^2 (yi^2 - yi)- (Ry^2 Rx^2-Rx^2 Ry^2)
4
Pi = RY^2 (xi^2 +2xi) + Rx^2 (yi^2 - yi)+k ----- I
Pi = RY^2 [ (xi+1 )^2 +2(xi +1)]+ Rx^2[ (yi+1)- yi+1]+k------ II
Pi+1 = Pi+ RY^2[(xi+1 )^2- xi ]+ 2 Rx^2[xi+1 - xi]+ Rx^2[ (yi^2+ yi^2)– (yi+1 - yi)]
If P< 0
xi+1 =xi+1
yi+1 - yi-1
Pi+1 = Pi+ RY^2[(2x+3) ]
If P> 0
xi+1 =xi+1
yi+1 = yi-1
Pi+1 = Pi+ RY^2[(2x+3) ]+ Rx^2[(-xy+2) ]
For first point on hyperbola
xi+ -0
yi= R
P= RY^2[(xi+1 )^2 ]+ 2 Rx^2[yi- l/2]-Rx^2 RY^2
xi+1 =xi+1
yi+1 = yi
Pi+1 = Pi+ [(xi+1 ) yi - xi yi ]-l/2 [xi+1 - xi]+ [ (yi- yi)]
= Pi+ [(xiyi + yi - x yi]- l/2
Pi+1 = Pi+ xi yi –l
If P> 0
xi+1 =xi+1
yi+1 = yi-1
sub the total Pi+1
Pi+1 = Pi+ 2Yi^2-2 xi -5
Since ø = l/R
(øs>øe)
øs= øs*  /360
øe= 2+øe*  /360
also(øs<øe)
øs= øs*  /100
øe= øe*  /100
ø= øs
loop x= R*cosø
y= R*sinø
to find first dicision point
xi =√k
yi =√k
P1 = xi yi - xi + yi – l/2– k
2
=2xi yi - xi + 2yi – l-2k
=2√k √k - √k + 2√k – l-2k
=2k - √k + 2√k – l-2k
P1 = √k – l
Output :
EXPERIMENT
No. 5
Experiment No.:05
Name of Experiment:
Generation of Parabola using Parametric and
Bresnhm’s Algorithm
ALGORITHM OF PARABOLA USING PARAMETRIC EQUATION
THEORY:-
Parametric Equation of the parabola is as follows
X = Xc + (distance between focus & vertex * p * p)
Y = Yc + ( 2 * distance between focus & vertex * p)
In the above equation
Xc = X co ordinate of the vertex of the parabola,
Yc = Y co ordinate of the vertex of the parabola,
p = Parameter,
X = X co ordinate of the point on the circumference of the parabola,
Y = Y co ordinate of the point on the circumference of the parabola,
ALGORITHM:-
1) Input Co-ordinate of vertex of the parabola & distance between focus & vertex of
parabola, i.e. (Xc , Yc ), distance between focus & vertex.
2) Set the initial parameter.
p = 0.01
3) Put pixel at the center of the parabola i.e. at ( Xc , Yc ).
4) Calculate the co ordinates of the point on the circumference of the parabola
X1 = Xc + (distance between focus & vertex * p * p)
Y1= Yc + ( 2 * distance between focus & vertex * p)
5) Put pixel at this point i.e. at ( X1 , Y1 ).
6) Calculate the co ordinates of the opposite point on the circumference of the
parabola
X1 = Xc + (distance between focus & vertex * p * p)
Y2 = Yc - (4 * distance between focus & vertex * p)
7) Put pixel at this point i.e. at ( X1 , Y2 ).
8) Increment the parameter
p = p + 0.01
9) Repeat the steps 4 to 7 till (p <= 4).
Put pixel at the vertex of the parabola i.e. at ( Xc
, Yc
).
Input Co-ordinate of vertex of the parabola & distance between focus & vertex of
parabola, i.e. (Xc , Yc ), distance between focus & vertex.
Set the initial parameter.
p = 0.01
Increment the parameter
p = p + 0.01
Stop
Calculate the co ordinates of the opposite point on the circumference of the parabola
X1 = Xc + (distance between focus & vertex * p * p)
Y2 = Yc - (4 * distance between focus & vertex * p)
Put a pixel at ( X1 ,Y1)
Calculate the co ordinates of the point on the circumference of the parabola
X1 = Xc + (distance between focus & vertex * p * p)
Y1= Yc + ( 2 * distance between focus & vertex * p)
If θ < 180
Put a pixel at ( X1 ,Y2)
/* Program for Parabola Using "Parametric Equation" */
#include<stdio.h>
#include<graphics.h>
#include<dos.h>
#include<math.h>
#include<stdlib.h>
main()
{
initializegraph();
parabola();
closegraph();
restorecrtmode();
}
initializegraph()
{
int gm,gd=DETECT;
initgraph(&gd,&gm,"c:tcbgi");
}
parabola()
{
int
xcentre=200,ycentre=200,distance_between_focus_and_vertex=20
;
int x1,y1;
float p;
p=0.01;
for(p=0.01;p<=4;p=p+0.01)
{
x1=xcentre+(distance_between_focus_and_vertex*p*p);
y1=ycentre+(2*distance_between_focus_and_vertex*p);
putpixel(x1,y1,2);
putpixel(x1,y1-
(4*distance_between_focus_and_vertex*p),2);
delay(20);
}
getch();
}
INPUT DATA:
The X coordinate centre= 200,
The Y coordinate centre= 200,
Distance between focus and vertex= 20
Output :
EXPERIMENT
No. 6
Experiment No.:06
Name of Experiment:
Generation of Synthetic Curves (Bezier and B-Spline)
ALGORITHM FOR B-SPLINE CURVES
ALGORITHM: -
1) Initialization of all the required parameters.
2) Enter the co-ordinates of four control point Px(4) and Py(4).
3) For four control points degree (n) is three.
4) Calculate the knot vector as:
0 j<k
Uj = j-k+1 k j n
n-k+2 j>n
where,
0 j n +k
for the range of u,
0 u n – k + 2
5) Calculate the B-spline function for the four control points as
Ni,k(u) = (u-uj) Ni,k-1(u)/(ui,k+1-ui) + (ui+k-u) Ni+1,k-1(u)/(ui+k-ui-1)
Where,
Ni,j = 1, ui u ui+1
O, otherwise
Considering 0/0 = 0 if the denominator in above equation becomes
zero
6) Calculate the corresponding four control points on the B-Spline curve as
P(u)x = Px[0]*N0,4+Px[1]*N1,4+Px[2]*N2,4+Px[3]*N3,4 for 0 u 1
P(u)y = Py[0]*N0,4+Py[1]*N1,4+Py[2]*N2,4+Py[3]*N3,4 for 0 u 1
By incrementing u in small step.
7) Graphics Initilisation.
8) Plot the co-ordinates
/* Program for "B-Spline" */
#include<math.h>
#include<graphics.h>
#include<stdlib.h>
#include<stdio.h>
#include<conio.h>
void main(void)
{
int i,j,n,m,m1,k,x,s,k1;
float Umax,Umin,u,Uk[10],N[20][20],px[4],py[4]={0},X[4]={0},Y[4]={0};
float num1=0,num2=0,deno1=0,deno2=0,Ax[4]={0},Ay[4]={0},sumX=0,sumY=0;
int gdriver = DETECT, gmode, errorcode;
clrscr();
printf("nEnter the number of control point ");
scanf("%d",&k);
printf("nEnter the coordinate of control point ");
for(i=0;i<=k-1;i++)
{
scanf("%f",&px[i]);
scanf("%f",&py[i]);
}
k1=k;
n=k-1;
Umin=0;
Umax=n-k+2;
s=n+k;
for(j=0;j<=n+k;j++)
{
if(j<k)
Uk[j]=0;
else
{
if(j>=k&&j<=n)
Uk[j]=j-k+1;
else
{
if(j>n)
Uk[j]=n-k+2;
}
}
}
for(i=0;i<=n;i++)
{
for(k=1;k<=n;k++)
{
if((i+k)>s)
continue;
else
{
if(Uk[i+k-1]-Uk[i]==0&&Uk[i+k]-Uk[i+1]==0)
{
N[i][k]=0;
}
}
}
}
for(i=0;i<=n;i++)
{
if(u>=Uk[i]||u<=Uk[i+1])
N[i][1]=1;
else
N[i][1]=0;
}
initgraph(&gdriver, &gmode, "");
errorcode = graphresult();
if (errorcode != grOk) /* an error occurred */
{
printf("Graphics error: %sn", grapherrormsg(errorcode));
printf("Press any key to halt:");
getch();
exit(1); /* terminate with an error code */
}
for(u=0;u<=1;u=u+0.01)
{
for(k=2;k<=(n+k)-1;i++)
{
for(i=0;i<=(n+k)-1;i++)
{if((i+k)>s)
break;
else
{
x=i+k-1;
deno1=(Uk[x]-Uk[i]);
deno2=(Uk[i+k]-Uk[i+1]);
num1=((u-Uk[i])*(N[i][k-1]));
num2=((Uk[i+k]-u)*(N[i+1][k-1]));
if(deno1==0)
{num1=0;
}
if(deno2==0)
{
num2=0;
}
N[i][k]=(num1/deno1)+(num2/deno2);
}
}
}
for(m1=0;m1<4;m1++)
{
Ax[m1]=px[m1]*N[m1][k1];
Ay[m1]=py[m1]*N[m1][k1];
sumX=sumX+Ax[m1];
sumY=sumY+Ay[m1];
}
putpixel(50*sumX,50*sumY,3);
sumX=0;
sumY=0;
}
getch();
closegraph();
getch();
}
EXPERIMENT
No. 7
Experiment No.:07
Name of Experiment:
Two Dimensional Transformation (Any Two Numerical)
Q.1: A triangle with vertices at A(0,0),B(8,0),C(0,8) is scaled by
1.2 units in X direction. It is translated by 3.5 units in Y direction
and two units X direction. Find the final position of the triangle.
Show the total transformation on graph paper stepwise.
Ans. The original position of the given ∆ ABC is shown in graph paper.
The final transformation is given as,
P’ = P.TT
Where TT = Total transformation
TT = S.T.
P =










180
108
100
S =










100
00
00
Sy
Sx
=










100
010
002.1
T =










0
010
001
tytx
T =










15.32
010
001
TT = [ ]S X [ ]T
=










100
010
002.1
.










15.32
010
001
TT =










15.30
010
002.1
P’ = [ ]P .[ TT]
=










180
108
100










15.32
010
002.1
P’ =










15.112
15.36.11
15.32
The final position of triangle ABC is shown on graph paper.
Coordinates of ∆ A’B’C are;
A’ (2,3.5)
B’ (11.6,3.5)
C’ (2,11.5)
Q.2: Find the transformation which converts the fig. defined by
vertices
A(3,2),B(2,1) and C(4,1) into another figure which is defined by
Vertices A’(-3,-1),B(-4,-2) and C’(-2,-2).
Ans. Let [P’] – is final position of triangle A’B’C’
[P] - is initial position of triangle ABC
[G] – is transformation matrix.
Given data:
Final position of triangle is
A’(-3,-1)
B’(-4,-2)
C’(-2,-2)
Initial position of triangle is
A(3,2)
B(2,1)
C(4,1)
General expression for determining final position of object is
[P’] = [P] [G]
∴[G] = [P]-1
[P’]……………………………….(1)
Now
Final position [P’] =










−−
−−
−−
122
124
113
And initial position
[P]=










114
112
123
Inverse matrix [P] is given by following generalized equation
[P]-1
=
]det[
][int
P
PofAdjo
……………………….(2)
Co-factor of [P] = -
12
23
14
23
14
12
12
13
14
13
14
12
11
12
11
12
11
11
−
−
=










−−
−−
−
111
511
220
When rows are converted into columns. Adjoint of [P] is determined
∴Adj[P] =










−−
−−
−
111
511
220
Similarly determinant of [P] is determined as det [P] = 3(1-1)-2(2-4)+(2-
4)
= 2
From equation (2)
[P]-1
=
]det[
][int
P
PofAdjo
=
















−−
−−
−
2
1
2
5
1
2
1
2
1
1
2
1
2
1
0
Thus, substituting values of [P]-1
in equation (1)
[G] =
















−−
−−
−
2
1
2
5
1
2
1
2
1
1
2
1
2
1
0










−−
−−
−−
122
124
113
∴[G] =










−− 136
010
001
Check
[P’] = [P] [G]
=










114
112
123










−− 136
010
001
=










−−
−−
−−
122
124
113
Hence verified.
Problem No. 3 :
Determine the transformation matrix to take a reflection of a point @
the line y = 2x – 5.
Solution :
Compare with y = mx + c
& m = 2 & c = -5
m = tan θ = 2
& θ = tan -1
2
θ = 63.4580
(cw)
θ = -63.4350
Total transformation,
TT = T1 * R1 * m * R2 * T2
T1 = Translation matrix,
T1










=
150
010
001
where tx = 0 & ty = 5
R1 = Rotation matrix (cw) @ origin.
R1 =









 −
=










+
−
100
04472.0894.0
0894.04472.0
100
0cossin
0sincos
θθ
θθ
m = Reflection matrix, @ x axis,
m










−=
100
010
001
R2 = Rotation matrix (ccw) @ origin.
R2 =










−
100
04472.0594.0
0594.04472.0
T2 = Translation matrix, (tx = -5)
-5
y = - 2x - 5
y = 2x - 5
T2 =










− 150
010
001
TT =










−
∗










−∗










−∗









 −
∗










150
010
001
000
04472.0894.0
0894.04472.0
100
010
001
100
04472.0894.0
0894.04472.0
150
010
001
TT =










−
−
1005.2995.3
0599.0799.0
0799.0599.0
reqd. total transformation matrix.
Problem 4:
An equilateral ∆ ABC with length of side to units is to be transformed
into an isosceles ∆ ABC. With attitude 2.5 times the altitude of equilateral
triangle co-ordinate of pt1. A (10,5).
Solution :
The transformation can be done as ;
i) Translate the ∆ ABC to origin i.e. tx = -i0, ty = -5,
ii) Scaling the triangle with sx = 1, sy = 2.5,
iii) Taking a reflection @ line y = 0 i.e. x-asix.
iv) Translate the triangle of its original position,
tx = 10, ty = 5.
Total Transformation = TT = T1 * S1 * m * T2
T1 =










−
100
010
001
; s =










100
05.20
001
M =










−
100
010
001
; T2 =










1510
10
001
P
TT =










−
100
010
001
*










100
05.20
001
*










−
100
010
001
*










+
1510
010
001
=










−
15.170
05.20
001
reqd. total transformation matrix.
A A( 0, 5 )
B C
Numerical for Practical:
1. An equilateral triangle ABC with length of side 5 units each is to be
transformed into an isosceles triangle A’ B’ C’ as shown in figure with
altitude 2
2
1
times the altitude of equilateral triangle. Co-ordinate of
point A is (12,6). Determine a transformation matrix. (05)
2. A line having end points (4,3) and (10,8) is reflected about the line
passing equation 42 += XY . Find the final position of line.
3. A line PQ was transformed to P’ Q’ . P’ (10,10),Q(20,20).
Transformation carried out were :
1. Scaling about origin by 2 units.
2. Rotation about origin by 450
.
Find out the co-ordinates of end points of original PQ.
4. A line having end points (4,3) and (10,8) is reflected about the line
passing equation 53 += XY . Find the final position of line.
fig .1
C
B, B’
(10,5)
A,A’
C’
(0,0)
EXPERIMENT
No. 8
Experiment No.:08
Name of Experiment:
Three Dimensional Transformation (Any Two Numerical)
Q.1: Consider a region defined by the position vectors
[ ]X =












1221
1222
1212
1211
D
C
B
A
Relative to the global XYZ axis system. It is rotated by +300
about the X’ axis parallel to X axis and passing through point
(1.5,1.5,1.5,1).Find the final transformation matrix and final
positions of the region.
Ans. The final transformation is carried out as follows.
[ ]'X =












1221
1222
1212
1211
4x4
Steps : (1) We will first translate the object so that rotation axis X’
coincide with the X axis.
(2) Perform rotation about the object so that 300
ccw, (θ = +300
)
(3) Again translate the object so that X’ moves to its original position.
∴ T1 =












1111
0100
0010
0001
tztytx
4x4
tx1 = -1.5, ty1 = -1.5, tz1 = -1.5
T1 =












−−− 15.15.15.1
0100
0010
0001
4x4
∴ Rx =












°°−
°°
1000
030cos30sin0
030sin30cos0
0001
4x4
∴ Rx =












−
1000
0866.05.0
05.866.00
0001
4x4
T2 =












15.15.15.1
0100
0010
0001
4x4
∴ TT = [T1].[ Rx].[T2]
=












−−− 15.15.15.1
0100
0010
0001
x












−
1000
0866.05.0
05.866.00
0001
x












15.15.15.1
0100
0010
0001
∴ TT =












−−−
−
1049.2549.05.1
0866.05.00
05.866.00
0001












15.15.15.1
0100
0010
0001
TT =












−
−
1549.0951.00
0866.05.00
05.0866.00
0001
…..Final Transformation Matrix
4x4
Now we will find final positions of the region.
X’ = [X] [TT]
=












1221
1222
1212
1211












−
−
1549.0951.00
0866.05.00
05.0866.00
0001
4x4 4x4
X’ =












1183.2683.11
1183.2683.12
1683.1817.02
1683.1817.01
4x4
Numerical for Practical:
1. Determine the 4 X 4 transformation matrices for the rotation of 3-D
point in 3-D space.
EXPERIMENT
No. 9
Experiment No.:09
Name of Experiment:
Algorithm and C-Program to generate machine
components
DESIGN STEPS OF SHAFT
1) Power, rpm, support positions, accessories mounted on the shaft,
their position, & their
type viz. Gear, pulley etc.
2) Calculate the forces on the shaft due the various accessories mounted
on the shaft as follows
 SPUR GEAR: - FT = TORQUE / PITCH CIRCLE RADIUS
(Tangential force acting at a right angle to the radial
force)
FR = FT * tan φ
(Here φ is the in volute teeth angle)
 HELICAL GEAR: - FT = TORQUE / PITCH CIRCLE RADIUS
FR = FT * tan φ
FA = FT * tan ψ
(Here ψ is the helix angle)
tan φ = tan φN / tan ψ
( here φN is the plane normal to the helix angle )
 BEVEL GEAR:- FT = TORQUE / MEAN PINION PITCH RADIUS
FP = FT * tan φ * sin γP
FG = FT * tan φ * cos γG
(here γP & γG ARE pinion pitch cone angle & gear pitch
cone angle)
 WORM GEARING:- FTw = TORQUE / PITCH CIRCLE RADIUS OF WORM
FTG = { (1 - µ * tanλ / cosφN) / ( tanλ + µ * cosφN )}
FR = FTw * {(sin φN)/(cosφN * sinλ + µ * cosλ)}
(here λ is lead angle of worm & φn is normal pressure
angle)
 BELT DRIVES:- F1 – F2 = TORQUE / PULLEY RADIUS
FORCE ACTING ON SHAFT = F1 + F2
(here F1 & F2 are tight side & slack side belt tensions)
 CHAIN DRIVE:- FT = TORQUE / PITCH RADIUS OF THE SPROCKET
3) Calculate horizontal & vertical components of above forces.
4) Calculate horizontal & vertical reaction at the supports.
5) Check moments in horizontal & vertical direction should be equal to
zero.
6) Find critical section of the shaft at which bending moment & torque is
maximum.
7) Select the material of the shaft. Calculate the ultimate shear stress
(SUT) & yeild shear stress (SYT) Select the design shear stress as follows
SDS = 0.3 * SYT
Or
SDS = 0.18 * SUT
(Whichever is minimum)
If keyway or splines etc. are on the critical section of the shaft then
reduce the design stress by 25 %
8) Calculate the diameter of the shaft as follows
τ max = (16 *103
/ π * D3
) * { ( KT * T)2
+ [(KB * M) + (∝ * P * D / 8)2
}1/2
Here
τ max = SDS
D = diameter of the shaft.
T = torque to be supplied.
M = net bending moment at the critical section.
KB = combined shock and fatigue factor applied to bending
moment.
KT = combined shock and fatigue factor applied to torque.
∝ = column action factor
P = axial load
9) Select the diameter of the shaft next standard size available in the
market.
/* PROGRAM OF DESIGN OF SHAFT */
#include<stdio.h>
#include<math.h>
#include<stdlib.h>
#include<string.h>
#include<conio.h>
#include<dos.h>
#define PI 3.141592654
#define max_matls 13
#define max_input 4
void main()
{
float Reaction(float,float,float,float,float);
float Diameter(long,long,float,float);
char matl[max_matls][15],matl_in[max_matls][15];
long T,P,M,Me,Te,x;
int i,j,Syt[max_matls]={0},Sut[max_matls]={0},Rho[max_matls]={0};
float Ss,Sd,Ss1,Sd1,x1,x2;
float l,l1,l2,l3,d,d1,d2,d3,d4,Km,Kt,RA,RD,WB,WC,MB,MC,N;
FILE*fp;
clrscr();
fflush(stdin);
printf("nEnter Power[W] : ");
scanf("%ld",&P);
printf("nEnter Speed of The Shaft [RPM] : ");
scanf("%f",&N);
printf("nEnter distance between Bearing and Gear [mm] : ");
scanf("%f",&l1);
printf("nEnter distance between Gear and Pulley [mm] : ");
scanf("%f",&l2);
printf("nEnter distance between Pulley and End Bearing [mm] : ");
scanf("%f",&l3);
printf("Enter the Load Acting on Gear [N] : ");
scanf("%f",&WB);
printf("Enter the Load Acting on Pulley [N] : ");
scanf("%f",&WC);
RD=Reaction(WB,WC,l1,l2,l3);
RA=WB+WC-RD;
MB=RD*(l2+l3);
MC=RD*l3;
if(MB>MC)
M=MB;
else
M=MC;
T=P*60/(2*PI*N);
printf("Enter Combined shock & Fatiuge Factor for Bending : ");
scanf("%f",&Km);
printf("Enter Combined shock & Fatiuge Factor for Torsion : ");
scanf("%f",&Kt);
x=(Km*M*Km*M)+(Kt*T*Kt*T);
Te=sqrt(x);
Me=0.5*(M+Te);
if((fp=fopen("sd1.dat","r"))==NULL)
{
printf("Unable to Openn");
printf("Sorry!!! Please Try Again");
getch();
exit(0);
}
else
{
printf("nfile opened successfully!");
printf("nMaterialtSyttDensity");
for (i=0;i<=max_matls-1;i++)
{
fscanf(fp,"%s%d%d",&matl[i],&Syt[i],&Rho[i]);
printf("n%stt%dt%d",matl[i],Syt[i],Rho[i]);
}
for (i=0;i<=0;i++)
{
printf("nEnter Material No : ");
scanf("%s",&matl_in[i]);
for (j=0;j<=max_matls-1;j++)
{
if ((strcmp(matl_in[i],matl[j]))==0)
{
Ss=Syt[j]/2;
Sd=0.3*Syt[j];
break;
}
else
continue;
}
}
d=Diameter(Te,Me,Ss,Sd);
if(MB>MC)
{
d1=d;
d2=d+3;
d3=d2+3;
d4=d-5;
Ss1=(T*16)/(PI*d4*d4*d4);
if(Ss1<Ss)
printf("nDesign is Safe");
else
printf("Diameter for the Bearing Allocation is to be redesigned");
}
else
{
d2=d;
d1=d-3;
d3=d2+3;
d4=d-5;
Ss1=(T*16)/(PI*d1*d1*d1);
Sd1=(M*32)/(PI*d1*d1*d1);
if(Ss1<Ss||Sd1<Sd)
printf("nDesign is Safe");
else
printf("Diameter for the Bearing and Gear Allocation is to be redesigned");
}
printf("n--------------------------------------------------------");
printf("nRESULT: ");
printf("nSelected Material: %s ",matl_in[0]);
printf("Designed Diameters of Stepped Shaft are nd1= %fnd2= %fnd3= %fnd4=
%f",d1,d2,d3,d4);
}
getch();
fcloseall();
}
float Reaction(float WB,float WC,float l1,float l2,float l3)
{
float RD,l;
l=l1+l2+l3;
RD=(WC*(l1+l2)+(WB*l1))/l;
return(RD);
}
float Diameter(long Te,long Me,float Ss,float Sd)
{
float d1,d2,x1,x2;
x1=(Te*16)/(PI*Ss);
d1=pow(x1,0.3334);
x2=(Me*32)/(PI*Sd);
d2=pow(x2,0.3334);
if(d1>=d2)
return(d1);
else
return(d2);
}
DESIGN STEPS OF SLIDING CONTACT BEARING
DATA INPUT FOR SLIDING CONTACT BEARING DESIGN :-
1) Diameter of the journal
2) Load on the journal
3) Speed of rotation
4) Type of machinery
5) Allowable temperature rise in lubricating oil if any
DESIGN STEPS FOR SLIDING CONTACT BEARIGN :-
1) Select the recommended values of the following as per the application
 Range of L/d ratio
 Maximum bearing pressure (PMAX)
 Minimum bearing modulus (Z * N / P)
 Suitable Viscosity (Z)
 Range of P * V
2) Calculate the rubbing velocity V in m/min.
3) Choose suitable value for the length of the journal L, so that all the three criteria given
below are satisfied
 The L/d ratio is within the recommended range.
 The bearing pressure is within the recommended range.
 P * V value within the given range.
4) Select the suitable bearing material
5) Select the suitable radial clearance C.
6) Select suitable Z * N/P depending upon the variability of load and speed.
7) Calculate the value of Z and select suitable lubricating oil.
8) Calculate the dimensionless value of the Summerfield no.
9) Calculate the coefficient of friction μ.
10) Select the suitable radial clearance C.
11) Calculate the heat generated Hg.
12) Calculate the temperature rise of the oil equating Hg to the heat dissipating capacity
Hd.
13) Calculate the oil temp. Toil & check the value within the given range.
14) Calculate minimum film thickness hmin, & select suitable surface finish for the journal
and the bushing.
15) Calculate the amount of side flow of the lubricant. This is the quantity of oil to be
supplied to the bearing to maintain the fluid flow.
OUTPUT DATA FROM THE PROGRAM :-
1) Length of bearing
2) Bearing material
3) Lubrication oil to be used
4) Quantity of oil to be supplied for maintaining the fluid film
/* Design for Sliding Contact Bearing */
#include<math.h>
#include<stdlib.h>
#include<stdio.h>
#include<conio.h>
#include<string.h>
#define PI 3.141592654
#define max_matls 5
#define max_input 4
void main()
{
float W,to,Z,ta,pmax,p,t,C,c,l,d,R,Ov,Od,K,cd1,u,k,Hg,Hd,V,A,S,m;
int i,j,N;
char matl[max_matls][25],matl_in[max_matls][25],Mtl;
float
visco[max_matls]={0},cd[max_matls]={0},ld[max_matls]={0},ZN_p[max_matls]={0};
FILE *fp;
clrscr();
fflush(stdin);
printf("nEnter load on journal (Newton) ");
scanf("%f",&W);
printf("nEnter speed of journal(rpm) ");
scanf("%d",&N);
printf("nEnter the ambient temp of oil(deg C) ");
scanf("%f",&ta);
printf("nEnter the maximum pressure of bearing(N/mm2) ");
scanf("%f",&pmax);
/*design starts*/
printf("nEnter the assumed dia of journal(mm) ");
scanf("%f",&d);
if((fp=fopen("Bdata.dat","r"))==NULL)
{
printf("Unable to Openn");
printf("Sorry!!! Please Try Again");
getch();
exit(0);
}
else
{
printf("nFile Opened Successfully!");
printf("nApplicationtViscositytZN/pttc/dtl/d");
for(i=0;i<=max_matls;i++)
{
fscanf(fp,"%s%f%f%f%f",&matl[i],&visco[i],&ZN_p[i],&cd[i],&ld[i]);
printf("n%stt%ft%ft%ft%f",matl[i],visco[i],ZN_p[i],cd[i],ld[i]);
}
for(i=0;i<=0;i++)
{
printf("nEnter Material No,%d : ", i+1);
scanf("%s",&matl_in[i]);
for (j=0;j<=max_matls-1;j++)
{
if ((strcmp(matl_in[i],matl[j]))==0)
{
l=ld[j]*d;
p=W/(l*d);
Ov=(visco[j]*N)/p;
K=ZN_p[j]/3;
k=0.002; /*for l/d ratio of 0.75 to 2.8*/
u=(33*Ov/cd[j])/(pow(10,8)) +k;
break;
}
else
{
/*printf("nMaterial is not Present In The List");*/
continue;
}
}
}
}
if(p<pmax)
{
printf("nDimension l and d are Safe: ");
}
else
{
printf("n New Dimension of l and d are to be selected: ");
}
printf("nEnter the Operating Temp of Oil(deg C): ");
scanf("%f",&to);
printf("nBearing Modulus at Minimum Point of Friction ");
if(Ov>K)
{
printf("nBearing will Operate at Hydrodynamic Conditions");
}
else
{
printf("n Bearing will have Metal to Metal Contact");
}
V=(3.1428*d*N)/60000;
Hg=u*W*V;
printf("nEnter Heat Dissipation Coefficient from data book: ");
scanf("%f",&C);
A=l*d/(pow(10,6));
Hd=(C*A*(to-ta))/2;
printf("n Heat dissipation Hd= %f J/s",Hd);
printf("n Heat generated Hg= %f J/s",Hg);
printf("n A= %f m2",A);
if(Hg>Hd)
{
printf("nBearing is to be re-design by taking higher operating temperature(to) ");
printf("nor Bearing should be cooled artificially");
printf("nEnter specific heat of oil: ");
scanf("%f",&S);
printf("nEnter the rise of temp of oil(deg C) ");
scanf("%f",&t);
m=(Hg-Hd)/S*t;
printf("nMass flow rate of oil= %f (kg/s) ",m);
}
else
{
printf( "nNo need for Bearing to be Cooled Artificially");
}
printf("nLength of Bearing= %f mm",l);
printf("nDiameter of Bearing= %f mm",d);
printf("nBearing Pressure= %f N/mm2",p);
printf("nBearing Characteristic Number= %f",Ov);
getch();
}
DESIGN STEPS OF FLYWHEEL
DATA INPUT FOR FLYWHEEL DESIGN :-
1) Data related to fluctuation of speed & energy
2) Material of flywheel
3) Space constraint & Type of application
DESIGN STEPS FOR FLYWHEEL :-
A) Calculate the fluctuation of energy ΔΕ from the given data.
B) Calculate the fluctuation of speed otherwise select the fluctuation of speed as per the
driven machinery & type of the driven arrangement (Ks).
C) Calculate the required moment of inertia as
ΔΕ = I * Ks * ωm
2
Here,
I = moment of inertia
Ks = speed fluctuation coefficient
ωm = mean velocity in rad/sec.
# If the construction of the flywheel is rimmed then 5% of inertia is contributed by the
hub & rim, the remaining inertia is provided by the rim.
D) Calculate the mean diameter of the rim with the help of allowable surface speed (Vs)
Vs = π * Do * N
Here,
N = the r.p.m. of flywheel
Do = mean dia.
Vs =surface speed
E) Calculate the mass of the rim
I = m * K2
Here,
K = radius of gyration
m = mass of rim
F) Calculate height & width of rim as ratio of width & height is
B/H = 0.65 To 2.0
G) Decide the type of construction; cross-section of arms & number of arms
H) Calculate the centrifugal stresses, bending stresses & the resultant stresses in the rim
for the safe range by altering the value of B & H.
I) Calculate the hub diameter, hub length & arm dimensions.
OUTPUT DATA FROM THE PROGRAM :-
1) Width & height of the flywheel rim
2) Type of construction for the flywheel
3) Hub diameter & its length
4) Arm dimensions
/* Program to Design Flywheel */
#include<stdio.h>
#include<math.h>
#include<stdlib.h>
#include<string.h>
#include<conio.h>
#include<dos.h>
#define PI 3.141592654
#define max_matls 13
#define max_input 4
void main(void)
{
float m,t,b,rho,FS,Syt,Sd,DE,Cs,D,Rad,k;
char matl[max_matls][15],matl_in[max_matls][15];
float Rho[max_matls]={0};
int syt[max_matls]={0};
int N,i,j;
FILE *fp;
clrscr();
fflush(stdin);
printf("Enter The Speed of the Shaft (RPM) : ");
scanf("%d",&N);
/*printf("Enter the Ultimate Stress in Tension of Material Selected (N/m2) : ");
scanf("%f",&Syt);
printf("Enter the Density of Material Selected (kg/m3) : ");
scanf("%f",&rho);*/
printf("Enter the Factor of Safty For The Material Selected : ");
scanf("%f",&FS);
printf("Enter the Coefficient of Fluctuation of Speed : ");
scanf("%f",&Cs);
printf("Enter the Fluctuation of Energy : ");
scanf("%f",&DE);
if((fp=fopen("sd1.dat","r"))==NULL)
{
printf("Unable to Openn");
printf("Sorry!!! Please Try Again");
getch();
exit(0);
}
else
{
printf("File Opened Successfully!");
printf("nMatl. tsyttrho");
for(i=0;i<=max_matls;i++)
{
fscanf(fp,"%s %d %f",&matl[i],&syt[i],&Rho[i]);
printf("n %s t%dt%f",matl[i],syt[i],Rho[i]);
}
for(i=0;i<=0;i++)
{
printf("nEnter Material No,%d : ", i+1);
scanf("%s",&matl_in[i]);
for(j=0;j<=max_matls-1;j++)
{
if((strcmp(matl_in[i],matl[j]))==0)
{
Syt=syt[j];
Sd=Syt*1000000/FS;
D=(Sd*3600)/(Rho[j]*PI*PI*N*N);
Rad=(2*PI*N)/60;
m=(4*DE)/(D*D*Rad*Rad*Cs);
k=m/(2*PI*D*Rho[j]*4);
t=sqrt(k);
b=4*t;
break;
}
else
{
/*printf("nMaterial is not Present In The List");
break;*/
continue;
}
}
}
}
clrscr();
printf("You have Selected the Material as %s",matl[0]);
printf("nFor the Entered Data : nDiameter Of The Flywheel is : %f m",D);
printf("nMass of The Flywheel is : %f kg",m);
printf("nThickness of The Flywheel is : %f m",t);
printf("nWidth of The Flywheel is : %f m",b);
getch();
}
DESGIN PROCEDURE OF SPUR GEAR
DATA INPUT FOR SPUR GEAR DESIGN :-
1) Power to be transmitted
2) Gear ratio
3) Space availability
4) Type of application
DESGIN STEPS FOR SPUR GEAR :-
1) CALCULATE THE GEOMETRY OF THE GEAR PINION :-
A) Design power (Pd)
Pd = Pr * Kl
Here,
Pr = Rated Power
Kl = Load Factor
B) Select the proper tooth profile
Tooth profile of the gear selected as
(a) Commonly used profile is 20o
full depths.
(b) For low space availability 20o
stub form is used.
(c) If noise level is to be kept low & there is no space constraint, 14.5o
full depth form is used.
C) Select the number of teeth on pinion (Tp)
Numbers of teeth on pinion is selected for good balance in strength &
wear for hard steel
D) Calculate the Number of teeth on gear (Tg)
Gear Ratio = Tg / Tp
E) Calculate the pitch circle diameter (Dp)
Assume the module of teeth as ‘m’ mm & calculate the pitch circle diameter of
pinion as follows
Dp = Tp * m
F) Calculate the pitch line velocity (Vp)
Vp = π * Dp * Np
Here, Np is the revolution of pinion
G) Calculate the tangential tooth load (Ft)
Ft = Pd / Vp
H) Select the suitable material for the pinion & the corresponding basic stress (So).
I) Select the velocity factor (Cv) Velocity factor Cv is as per
Cv = 0.40 for pinion speed up to 1000 rpm.
Cv = 0.30 for pinion speed in between 1000 – 2000 rpm.
Cv = 0.25 for pinion speed above 2000 rpm.
J) Takethe trial of the face width in terms of module as b = 10m
K) Calculate the modified Lewis factor (γ) as per type of tooth profile
L) Calculate the Bending strength of Gear tooth (FB) as modified Lewis equation as
follows in
terms of module.
FB = S0 * Cv * b * γ * ms
M) Calculate the module m by equating tangential load FT & bending strength FB
FT = FB
N) Select the next standard module (m) available.
O) Calculate the actual value of Dp with the new module from step N
Dp = 2d + 25 for keyed pinion
Dp = d + 25 for internal pinion
 Use the above equation if the shaft diameter is given otherwise
Dp = m * Tp & select Dp such that it should
have higher value.
P) Calculate the actual value of
I. Pitch line velocity (Vp)
II. Velocity fact (Cv)
III. Tangential tooth load (Ft )
IV. Bending strength (FB)
Q) Select the material for the gear & calculate the value of (S0 * γ ) for both pinion
& gear.
R) Take the smaller value of (S0 * γ ) for calculating the face width (b).
S) Calculate face width (b) from the modified Lewis equation.
T) Calculate the face width (minimum) from standard proportion as
b = 8.5 * m
select the bigger value of face width from step S & T
2) DESIGN CHECK FOR DYNAMIC LOAD & LIMITING WEAR STRENGTH.
A) Calculate the dynamic load (Fd)
a) Find out the permissible error in profile as per the pitch line velocity.
b) Decide the class of manufacturing process as the permissible error found
in step a.
c) Find out the probable error in the teeth profile as per module.
d) Calculate the deformation factor “C”. This depends upon the material
of the gear &
pinion along with the type of teeth profile.
Deformation factor
C = a / (1 / Ep + 1 / Eg )
Here,
a is constant ratio as per teeth profile as,
a = 0.107 for 14.50
full depth.
a = 0.107 for 20.00
full depth.
a = 0.107 for 20.00
stub.
Ep = Young’s modulus of Pinion
Eg = Young’s modulus of Gear.
e) Calculate the dynamic load (Fd) as
Fd = Ft + {[21* Vp * (C * e * b + Ft)] / [21 * Vp + ( C * e * b + Ft )½
]}
Here,
Ft = tangential tooth load
Vp = pitch line velocity
C =deformation factor
E = probable error in tooth cutting
B = face width
Fd = dynamic load
B) Calculate the limiting wear strength Fw :-
a) Calculate size factor
Q = 2 * Tp * Tg / (Tp + Tg ) for external gear
Q = 2 * Tp * Tg / (Tp - Tg ) for internal gear
b) Limiting wear strength is as
Fw = Dp * b * K * Q
c) Calculate the load stress factor by equating Fw & Fd
d) Select the suitable hardness as load stress factor
C) Calculate the endurance strength Fen
a) Select the endurance strength as per the material of gear & pinion &
hartness.
b) Calculate the endurance strength Fen
Fen = Seb * b * y * m
D) Check that endurance strength should be more than the dynamic load. If not
then increase the
face width with in the allowable range i.e.
8.5 * m < b < 12.5 * m
Other wise change the material & the material & the hear treatment.
3) DESIGN OF THE GEAR BLANK
A) Construction of gear blank is of three types as
i) Solid construction if
Dp < or = 15 * m + 60 mm
ii) Web construction if
Dp < or = 24 * m + 80 mm
In this case thickness of web is as
W = 1.5 * m + 3
iii) Arms construction if
Dp >24 * m + 80 mm
B) Rim thickness (T) is given as
T = 1.5 * m to 2.0 * m
C) Hub length & hub diameter is calculated as per the type of service & material of
construction.
OUTPUT DATA FROM THE PROGRAM :-
1) Tooth profile
2) Number of teeth on gear
3) Pitch circle diameter of gear & pinion
4) Material of gear & pinion & hardness
5) Face width, module
6) Construction of gear blank.
/* Programme to Design Spur Gear */
#include<stdio.h>
#include<math.h>
#include<stdlib.h>
#include<string.h>
#include<conio.h>
#include<dos.h>
#define PI 3.141592654
#define max_matls 13
#define max_input 4
main()
{
float Yp,Yg,P,VR,fop,fog,Tp,Tg,b,V,Cs,fes,fe,Ep,Eg,Cv,Wt,Ws,Wd,Ww;
float fp,fg,phi,Ks,C,Wi,K,e,Y,Q,m,Dp,Dg,temp;
int Np;
clrscr();
printf("nEnter The Speed of the pinion (RPM) : ");
scanf("%d",&Np);
printf("nEnter The Power to be Transmitted : ");
scanf("%f",&P);
printf("nEnter The Service factor for the Gear (From the Databook) : ");
scanf("%f",&Cs);
/*printf("nEnter The Speed of the Gear : ");
scanf("%f",&V);*/
printf("nEnter The number of Teeth On Gear : ");
scanf("%f",&Tg);
printf("nEnter The number of Teeth On Pinion : ");
scanf("%f",&Tp);
Yp=0.154-(0.912/Tp);
Yg=0.154-(0.912/Tg);
printf("nAllowable Static Streses for Gear : ");
scanf("%f",&fog);
printf("nAllowable Static Streses for Pinion : ");
scanf("%f",&fop);
clrscr();
fp=fog*Yp;
fg=fog*Yg;
V=(PI*Tp*Np)/60;
Wt=(P*Cs)/V;
Cv=4.5/(4.5+V);
if(fp<fg)
{
printf("nDesign will be based on the Pinion");
temp=(Wt/(fop*Cv*14*PI*Yp));
printf("Yp=%f",Yp);
printf("V=%f",V);
printf("Temp=%f",temp);
m=pow(temp,0.333334);
printf("The Module Is = %f",m);
Y=Yp;
b=14*m;
Dp=m*Tp;
Dg=m*Tg;
printf("nThe module of gear & Pinion: %f",m);
printf("nThe Diameter of Gear: %f",Dg);
printf("nThe Diameter of Pinion: %f",Dp);
}
/*else
{
printf("Design will be based on the Gear");
m=sqrt(Wt/(fog*Cv*14*PI*Yg));
Y=Yg;
b=14*m;
Dp=m*Tp;
Dg=m*Tg;
printf("nThe module of gear & pinion: %f",m);
printf("nThe Diameter of Gear: %f",Dg);
printf("nThe Diameter of Pinion: %f",Dp);
}
printf("nthe Face Width Of The Gear & Pinion is : %f",b);
printf("nCheking these Dimensoin for Wear and Endurence Strength"); */
/* Check for wear & endurance strength*/
/*
printf("Enter the Modulus of Elasticity Of the Gear");
scanf("%f",&Eg);
printf("Enter the Modulus of Elasticity Of the Pinion");
scanf("%f",&Ep);
printf("Enter the Pressure angle for the Gear/Pinion");
scanf("%f",&phi);
printf("Enter the Surface Endurence Limit For the Gear/Pinion ");
scanf("%f",&fes);
printf("Enter the Flexural Endurence Limit For the Gear/Pinion ");
scanf("%f",&fe);
printf("Enter the Form factor For Given Gear/Pinion (from the data book) ");
scanf("%f",&K);
printf("Enter the Tooth Error Action For Given Gear/Pinion (in mm) (from the data book) ");
scanf("%f",&e);
VR=Tg/Tp;
Q=(2*VR)/(VR+1); */ /*Q is ratio factor*/
Ks=((fes*fes*sin(phi))/1.4)*((Eg+Ep)/(Ep*Eg));
C=(K*e)/((1/Ep)+(1/Eg));
Wd=Wt+((21*V*(b*C+Wt)))/((21*V)+(sqrt(b*C+Wt)));
Ws=fe*b*PI*m*Y;
Ww=Dp*b*Q*Ks;
if(Ws>Wd&&Ww>Wd)
printf("The Design is safe");
else
printf("Gear is to be Redesigned");
getch();
}
DESIGN STEPS OF RIGID FLANGE COUPLING
DATA INPUT FOR RIGID FLANGE COUPLING DESIGN :-
1) Shaft Diameter to be connected
2) Material of shaft
3) Fitment of bolts
DESIGN STEPS FOR RIGID FLANGE COUPLING :-
1) CALCULATION FOR VAROUS DIMENSIONS OF COUPLING
A) Calculate dimensions of hub dims meter & hub length of the coupling
1) Hub diameter of coupling (dh)
Dh= ( 1.5*D)+25( here D is the di. Of shaft)
3) Hub length of coupling (Lh)
Lh = (1.25*D)+20
B) Calculate the number of bolts requires to connect the coupling flanges (N)
N=(0.02*D)+3
C) Calculate the bolt diameter (Db)
Db= 0.5*D/ (N) 1/2
# Select the nearest higher size available for the bolt diameter.
D) Calculate flange thickness (Tr
)
Tf = Db
E) Calculate the width of flange protector (B)
B= 2.5 * Db
F) Calculate pitch circle diameter (Dp)
Dp = (2* D) = 50
G) Calculate the outer diameter of coupling flange (Do)
Do = ( 2.5 * D) + 75
2) STRENGTH CHECK
A) Calculate the torque capacity of the shaft
a) Find out ultimate strength ( Sut) & yield strength (Syt) of the shaft
material
b) calculate the allowable shear stress in the shaft stress
τall = 0.18*Sut
τall = 0.30*Syt
Take the lower value of allowable shear stress
c) Modify the value of allowable shear for the consideration of keyway as
τall = 0.75* ( Lower value of τall from step b )
d) Torque the bolts for shear failure
T= 16*D3* (Take the value of τall from the step c)
B) Check the bolts for shear failure
a) Calculate the shear stress in the bolt as
τbolt =T*B/ (π*Dp*N) ( T is the torque capacity of the
bolt )
b) Check criteria for crushing failure
τbolt< πall (τbolt is the allowable shear stress from step
2.A.c.)
C) Check the bolts for crushing failure
a) Calculate the crushing stress in the bolt
бer=4*T/( Db * Tf *N*Dp ) ( T is the torque capacity of
the bolt)
b) calculate the allowable crushing stress in the bolt
(бer) all = 2* τall
c) check criteria for safe design
бer < (бer) all
D) Check the flange for shear failure
a) Calculate the shear stress in flange of the coupling
τ = 2 * T/ (π * Tf * Dh * Db )
b) Select the service factor depending upon type of driven & driving
machine
c) Calculate the allowable shear stress in the flange of the coupling
τ = Sut / service factor
d) Check criteria for safe design
τ = or < τall
OUTPUT DATA FROM THE PROGRAM :-
1) Hub diameter & it’s length
2) Bolt diameter & number of bolts, pitch circle diameter
3) Flange thickness, width of flange protector
4) Outer diameter of coupling flange
5) Material of coupling & bolts
/* Program to Design Rigid Flange Coupling */
#include<math.h>
#include<graphics.h>
#include<stdlib.h>
#include<stdio.h>
#include<conio.h>
#define PI 3.141592654
#define max_matls 5
#define max_input 4
void main()
{
float T,fs,fcb,fsf,fsf1,fsf2,d,D,L,l,w,t,fsk,fck,fsk1,fck1,tf;
float D1,d1,D2,i1,fsb,tp;
int n,j,i;
char matl[max_matls][25],matl_in[max_matls][25],Mtl;
float SS[max_matls]={0},CS[max_matls]={0};
FILE *fp;
clrscr();
fflush(stdin);
clrscr();
printf("nEnter value of torque (Newton-mm) ");
scanf("%f",&T);
/*printf("nEnter value of shear stress for shaft (Newton-mm2) ");
scanf("%f",&fs);
printf("nEnter value of shear stress for flange material (Newton-mm2) ");
scanf("%f",&fsf);*/
if((fp=fopen("CPdata.dat","r"))==NULL)
{
printf("Unable to Openn");
printf("Sorry!!! Please Try Again");
getch();
exit(0);
}
else
{
printf("nFile Opened Successfully!");
printf("nMaterialtShear StresstCrushing Stress");
for(i=0;i<=max_matls-1;i++)
{
fscanf(fp,"%s%f%f",&matl[i],&SS[i],&CS[i]);
printf("n%stt%ft%f",matl[i],SS[i],CS[i]);
}
for(i=0;i<=3;i++)
{
if(i==0)
printf("nEnter Material for Shaft : ");
else
{
if(i==1)
printf("nEnter Material for Flange Coupling
EXPERIMENT
No. 10
Experiment No.:10
Name of Experiment:
Generation of any CAD model using CAD software.
CAD MODELING USING CATIA v5
Computer Aided Manufacturing Design
Computer Aided Manufacturing Design

Computer Aided Manufacturing Design

  • 1.
  • 2.
    EXPERIMENT NO. 01 Nameof Experiment : Generation of Line using DDA and Bresnham’s Principle (Derivation, Algorithm, Flow Chart, C- Programme and its Output) LINE USING DIGITAL DIFFERENTIAL ANALYZER DERIVATION (xi , yi )th be the ith point (xi +1 , yi+1) be the (i+1)th point yi = mxi + c ---- I y1+1 = mxi +1 + c --- II yi+1 - yi = m (xi +1 - xi) ---III If m ≤ 1 xi +1 = xi +1 yi+1 - yi = m (xi +1 - xi) yi+1 = yi + m else m > 1 yi+1 = yi + 1 yi + 1 - yi = m (xi +1 - xi) xi +1 = xi +1/m m ≤ 1 dy ≤ dx xi +1 = xi +1 yi+1 = yi + m m > 1 dy > dx yi+1 = yi + 1 xi +1 = xi +1/m if dxdy ≤ (0,0) xi xi +1 yi+1 yi 1 2
  • 3.
    xi +1 =xi + dx dx yi+1 = yi + dx dy else dxdy > yi+1 = yi + dy dy xi +1 = xi + dy dx if dxdy ≤ deno = dx else deno = dy xi +1 = xi + deno dx yi+1 = yi + deno dy
  • 4.
    ALGORITHM Declaration of variable In+ (x1 , y1) ----- Co-ordinates of Ist end point. In + (x2 , y2) ------ Co-ordinates of IInd end point. Float (xy) ------- current pixel position. Float Dx , Dy ------- Differ of x & y. Float deno --------- Common denominator. Int i --------------- loop counter Xincreament - Yincreament ---- Increament of X & Y Read (x1 , y1) Read (x2 , y2) Calculation : Dx = X2 – X1 Dy = Y2 – Y1 If dydx ≤ =Deno dx else Deno= dy Xincr = Dx/Deno Yincr = Dy/Deno Xi = Xi ; Yi = Yi ; i = 0 Loop Put pixel (round (x) , round (y) ; col ); X = X + Xincr Y = Y + Yincr i = i + 1 Continue till i ≤ Deno int round (float a) ; int b (0,0) xi xi +1 yi+1 yi 1 2
  • 5.
    b = a+0.5 ; return b ; LINE BY “DIGITAL DIFFERENTIAL ANALYZER (DDA)” ALGORITHM ALGORITHM: - 1) Input Start Point Coordinate X1, X2 & End Point Coordinate Y1, Y2 of the line 2) Calculate absolute value of horizontal & vertical difference DX = abs(X2 - X1) DY = abs(Y2 - Y1) 3) Set the loop counter. K = 1 4) Check for slope of the line If (DX > DY) Deno = DX Else Deno = DY 5) Calculate xincrement & yincrement Xincrement = abs(DX) / abs(Deno). Yincrement = abs(DY) / abs(Deno). 6) Put pixel at this point i.e. at (X1, Y1). 7) Calculate next point on line X1 = X1+Xincrement. Y1 = Y1+Yincrement. 8) Increment the loop counter K =K + 1. 9) Repeat the steps 6 to 8 till (K <=Deno).
  • 6.
    Calculate absolute valueof horizontal & vertical difference DX = abs(X2 - X1) DY = abs(Y2 - Y1) Set the loop counter. K = 1 K = K + 1 If K < DENO Put a pixel at ( X1,Y1 ) Input Start Point Coordinate X1 , X2 & End Point Coordinate Y1, Y2 of the line If DX> DY DENO = DX DENO = DY Calculate next point on line X1 = X1+Xincrement. Y1 = Y1+Yincrement. STOP
  • 7.
    C- PROGRAM #include< stdio.h> #include<conio.h> #include<math.h> #include<graphics> main c ) { Int driver , mode ; Driver = DETECT, Int graph ( & drive , & mode , “C TC BG I” ) Int X1,Y1,X2,Y2, Deno, Dx, Dy, Float X,Y, Xincr, Yincr; Dx =X2 – X1 ; Dy = Y2 - Y1 ; If ( abs (m) < 1) Deno = abs (Dx) ; Else Deno = abs (Dy); Xincr = Dx/Deno ; Yincr = Dy/Deno ; X =Xi, Y =Yi, For ( I = 0 ; i ≤ Deno ; i+1); { Put pixel ( round (x) ,round (y) ; 9); X = X +Xincr; Y = Y+ Yincr; Close graph (); } Int round (float a); { Int a b = a = 0.5; return b; } }
  • 8.
    /* This programis of Line Using "Digital Differential Analyzer Algorithm" */ #include<stdio.h> #include<graphics.h> #include<dos.h> #include<math.h> #include<stdlib.h> main() { initializegraph(); dda_line(); closegraph(); restorecrtmode(); } initializegraph() { int gm,gd=DETECT; initgraph(&gd,&gm,"c:tcbgi"); } dda_line() { int x1=10,x2=300,y1=20,y2=300; int dx,dy,steps,k; float xincrement,yincrement,x,y; dx=x2-x1; dy=y2-y1; if(abs(dx)>abs(dy)) steps=abs(dx); else steps=abs(dy); xincrement=dx/steps; yincrement=dy/steps; x=x1; y=y1; putpixel(x,y,10); for(k=1;k<=steps;k=++k) { x=x+xincrement; y=y+yincrement; putpixel(x,y,10); delay(2); } getch(); }
  • 9.
    INPUT DATA : Theco-ordinate of the First Point : 10, 20 The co-ordinate of the First Point : 300, 300 Output :
  • 10.
    Generation of Lineusing Bresenham’s Principle (Derivation, Algorithm, Flow Chart, C-Programme and its Output) LINE USING BRESENHAM’S PRINCIPLE DERIVATION: Let (Xi,Yi) be ith pixel closed to the line & (Xi+1, Yi+1) be (i+1)th pixel closed to the line. As m < 1 Xi+1 = Xi + 1 Yi+1 = Yi OR Yi +1 If (d1) ≤ (d2) Yi+1 = Yi +1 If (d1 - d2) ≤0 Yi+1 = Yi Else (d1 - d2) >0 Yi+1 = Yi +1 d1= Y- Yi d2 = (Yi +1)-Y (d1 - d2) = Y- Yi – (Yi+1) +Y Yi+1 = Yi +1 = Y- Yi – Yi -1-Y = 2Y-2Yi -1 Y=mx + c X = Xi + 1 (d1 - d2) =2[m(Xi + 1) + c)]-2Yi -1 (d1 - d2) =2mXi+2m + 2c -2Yi -1 (d1 - d2) =2Yi Xi - 2Yi + (2Yi +2c-1) (d1 - d2)= 2mXi - 2Yi +k Where k = 2m + 2c-1 But m = dy/dx (d1 - d2) =2( dx dy )Xi - 2Yi +k dx(d1 - d2) = 2dyXi - 2Yidx + kdx Since dx is positive sign of (d1 - d2)will be the same as sign of dx (d1 - d2) Hence dx(d1 - d2) can be taken as a decision parameter is to decide co- ordinate of Yi +1 dx(d1 - d2) = Pi Pi = 2dyXi - 2Yidx + k--------I If Pi ≤0 Xi+1 = Xi + 1 Yi+1 = Yi If Pi >0 Xi+1 = Xi + 1 Yi+1 = Yi +1 Similarly decision variable based (i+1)th point Pi+1= 2dyXi+1 -2Yi+1dx +k-----II (0,0) xi xi +1 yi+1 yi 1 2 d1 d2 Xm, Ym
  • 11.
    Subtract Equation II– I (Pi+1- Pi) = 2dy(Xi+1-Xi) - 2dx(Yi+1- Yi)----III If (Pi ≤0) Xi+1 = Xi + 1 Yi+1 = Yi Pi+1= Pi + 2dy(Xi+1-Xi) -2dx(Yi - Yi) Pi+1= Pi + 2dy If (Pi>0) Xi+1 = Xi + 1 Yi+1 = Yi +1 Pi+1= Pi + 2dy(Xi +1- Xi)- 2dx(Yi +1- Yi) Pi+1= Pi + 2dy-2dx For 1st decision variable parameter Xi = xi Yi = yi Pi =2dyXi - 2dxYi + kdx Since Ist point is also on the line Yi=mxi + c Pi =2dyXi - 2dxYi +dx(2m+2c -1) =2dyXi - 2dxYi +dx(2( dx dy )+2c-1) =2dyXi - 2dxYi +2dy+2cdx-dx Yi=mx + c =2dyXi - 2dx(mxi + c)+2dy-xdx-dx We get again sub. m= dy/dx Pi =2dy-x m <1 Xi = xi , Yi = yi Pi =2dy-dx----1st point If (Pi 0≤ ) Xi+1 = Xi + 1 Yi+1 = Yi Pi+1= Pi + 2dy Else (Pi >0) Xi+1 = Xi + 1 Yi+1 = Yi Pi+1= Pi + 2dy-dx m >1 Xi = xi , Yi = yi Pi =2dx-dy---1st point If (Pi 0≤ ) Yi+1 = Yi +1 Xi+1 = Xi Pi+1= Pi + 2dx Else (Pi >0) Yi+1 = Yi +1 Xi+1 = Xi + 1 Pi+1= Pi +dx-dy
  • 12.
    Algorithm 1) Declaration ofvariables Int (X1,Y1) = 1st end co-ordinates of line Int (X2,Y2) = 2nd end co-ordinates of line Int (X,Y) = current point on line Int (Dx,Dy) = Difference of x&y Int P = Decision parameter Sign x,Sign y = variable hold sign of x&y Int i = Loop counter 2) Initialization: Read (X1,Y1) Read (X2,Y2) 3) calculation : Dx = X2- X1; Dy = Y2 - Y1; If Dx 0≤ Sign x = -1 Else Sign x = +1 If Dy 0≤ Sign Y = -1 Else Sign Y =+1 X = X1; Y = Yi ; i = 0; If ( Dx > Dy ) * 1)( <m * P = 2 Dy - Dx Loop Put pixel (x,y,col) If P 0≤ X=X+signx Y =y P = P +2 Dy Else P>0 X=X+signx Y =Y+signy P = P+ Dy - Dx i = i+1 continue till (i ≤ Dx else ( Dy )Dx≥ */ m >1/* P =2 Dy - Dx Loop Put pixel (X,Y,col) If (P 0≤ ) Y =Y+signy X = x; P = P +2 Dx Else (P>0) Y =Y+signy X=X+signx P = P+2 Dx -2 Dy i = i+1 continue till (i Dy≤ c- program voil dr –line data (int x1,int y1,int x2,int x2) int x,y,dx,dy,sign x,sing y,p,i; dx = x2-x1;
  • 13.
    dy = y2-y1; If(dx 0≤ ) Sign x= -1; Else Sign x =-1 Else sign y =+1 X=x1; Y=y1; If ((dx* signx)>(dy * signy)) { P=(2* dy * signy)-( dx* signx) For (i=0; ≤*signx; i++) { Put pixel (x,(ymax-y),14); If(P ≤0) { X= x+signx; P = P+(2*dy * signy); } Else { X = x+signx; Y = y+signy; P = P+(2*dy*signy)-(2*dx*signx); } } } Else { P = (2*dx*signx)-( 2*dy*signy); For (i=0; ≤dy*signy;i++) { Put pixel (x,(Ymax-y),col); If (p ≤0) { Y=Y+signy P= p+2*dx*signx; } Else { Y=Y+signy; X = x+signx; P=p+(2*dx*signx)-( 2*dy*signy) } } }
  • 14.
    Calculate absolute valueof horizontal & vertical difference DX = abs(X2 - X1) DY = abs(Y2 - Y1) C1 = 2 * DY C2 = 2 * (DY - DX) Calculate the initial decision parameter P = 2 * DY - DX P =P +C2 Y=Y+1 X = X + 1 If P < 0 Put a pixel at ( X,Y ) P = P + C1 Y = Y If X<XEND Stop Input Start Point Coordinate X1 , X2 & End Point Coordinate Y1, Y2 of the line If X1 > X2 X = X2 Y = Y2 XEND = X1 X = X1 Y = Y1 XEND = Put a pixel at ( X,Y ) 1 1
  • 15.
    /* This programis of Line Using "Bresenham Algorithm" */ #include<graphics.h> #include<dos.h> #include<math.h> #include<stdlib.h> main() { initializegraph(); bres_line(); closegraph(); restorecrtmode(); } initializegraph() { int gm,gd=DETECT; initgraph(&gd,&gm,"c:tcbgi"); } bres_line() { int x1=50,x2=300,y1=300,y2=300; int dx,dy,x,y,xend,p; dx=abs(x1-x2); dy=abs(y1-y2); p=2*dy-dx; if(x1>x2) { x=x2; y=y2; xend=x1; } else { x=x1; y=y1; xend=x2; } putpixel(x,y,10); while(x<xend) { x=x+1; if(p<0) p=p+2*dy; else y=y+1; p=p+2*(dy-dx); putpixel(x,y,10); delay(2); } getch(); } /*Derivate for Bresenham’s Line Algorithm*/ Let (X,Y) be ith pixel co-ordinate to the line and (xi+1, Yi+1) be (i+1)th pixel co-ordinate to the line
  • 16.
    As m<1 xi+1 =xi + 1 Yi+1 = Yi or Yi+1 If (d1) > (d2) Yi+1 = Yi If (d1) < (d2) Yi+1 = Yi + 1 { If (d1-d2}<0 Yi+1 = Yi If (d1-d2}>0 Yi+1 = Yi + 1} d1 = Y - Yi d2 = Yi + 1 - Y (d1 – d2) = Y - Yi – ( Yi + 1) + Y =2Y – 2Yi – 1 Y= mX + C X= Xi + 1 (d1 – d2) = 2[m(Xi + 1) + C ] – 2Yi 1 =2mXi – 2Yi + 2m + 2C + 1 (d1 – d2) = 2mXi – 2Yi + K m = dy/dx dX (d1 – d2) = 2dY Xi – 2 Yi dX + K dX since dX be the d1 – d2 will be the same as sign of dX (d1 – d2). Hence dX (d1 – d2) can be taken as a decision parameter co-ordiante of (Yi + 1) dX (d1 – d2) = Pi Pi = 2 dY Xi – 2 Yi dX + K {If Pi < 0 xi+1 = Xi + 1 Yi+1 = Yi If Pi > 0 Xi+1 = Xi + 1 Yi+1 = Yi + 1} Similarly decision variables base on (i+1)th point Pi+1 = 2 dY Xi+1 – 2 dX Yi+1 + K (Pi+1 – P1) = 2 dY (Xi+1 –Xi) – 2 dX (Yi+1 – Yi) Pi+1 = Pi + 2 dY (Xi+1 –Xi) – 2 dX (Yi+1 – Yi)_____________1 If Pi < 0 xi+1 = Xi + 1 Yi+1 = Yi Pi = Pi + 2 dY (Xi +1 –Xi) – 2 dX (Yi – Yi) Pi = Pi +2dY If Pi>0 xi+1 = Xi + 1 Yi+1 = Yi + 1 Pi = Pi + 2 dY (Xi +1 –Xi) – 2 dX (Yi + 1 – Yi) Pi = Pi +2dY – 2dX For Ist point,
  • 17.
    Xi = Xi Yi= Yi Pi = 2 dY Xi – 2 dX Yi + K dX Since Ist point also on the line Yi = mXi + C Pi = 2 dY Xi – 2 dX Yi + dX (2m + 2C – 1) Pi = 2 dY – dX │m < 1 m < 1│ │ │ P = 2 dY – dX P = 2 dX – dY If P ≤ 0 If P ≤ 0 Xi+1 = Xi + 1 xi+1 = Xi Yi+1 = Yi Yi+1 = Yi + 1 Pi+1 = Pi +2Dy Pi+1 = Pi +2dX If P > 0 If P > 0 Xi+1 = Xi + 1 Yi+1 = Yi + 1 Yi+1 = Yi + 1 Xi+1 = Xi + 1 Pi = Pi +2dY – 2dX Pi = Pi +2dX – 2dY INPUT DATA The X1 co-ordinate of the Initial Point : 50 The Y1 co-ordinate of the Initial Point : 100 The X2 co-ordinate of the Initial Point : 300 The Y2 co-ordinate of the Initial Point : 300 Output :
  • 19.
  • 20.
    Name of Experiment: Generation of Circle using Parametric Bresenham’s Principle (Derivation, Algorithm, Flow Chart, C-Programme and its Output) CIRCLE USING BRESENHAM’S PRINCIPLE DERIVATION: Mid point Algorithm for Generation of Circle Using Bresenham’s Principle. As m <1 Xi+1 = Xi +1 Yi+1 = Yi or Yi -1 Mid point m (Xm,Ym) = (Xi+1 ,Yi – ½) If mid point inside the circle Yi+1 = Yi Out side the circle Yi+1 = Yi - 1 Equation of circle = X2 +Y2 = R2 X2 + Y2 – R2 = 0------I Substitute the Co-ordinates of the mid point in Equation –1 Pi = Xm 2 + Ym 2 – R2 If Pi ≤ 0 Xi+1 = Xi +1 (Inside) Yi = Yi Else Pi > 0 Xi+1 = Xi +1 Yi+1 = Yi - 1 (Outside) Pi = (Xi +1)2 + (Yi – ½)2 – R2 = Xi 2 + 2Xi +1 + Yi 2 – Yi + ¼ - R2 Pi = Xi 2 + 2Xi + Yi 2 – Yi +[ 1 +¼ - R2 ] Pi = Xi 2 + 2Xi + Yi 2 – Yi + K--------- II (0,0) xi xi +1 R 0,0 Radius Outside Point Mid point m (Xm ,Ym ) = (Xi+1 ,Yi – ½) Inside Point 1 2 Slope less than 1 2-Slope greater than 1 yi yi-1
  • 21.
    Where K = 1+¼ - R2 . . . Decision based Variable based on (i+1)th point Pi+1 = (Xi +1)2 + 2(Xi +1) +( Yi+1 ) - Yi+1 +K----III Subs tract III-II Pi+1 - Pi = [(Xi +1)2 - Xi 2 ] + 2 [(Xi +1) - Xi] + [Yi+1 2 ] – [Yi+1 - Yi] Pi+1 = Pi + --------------------------------IV If Pi ≤ 0 Xi +1 = Xi +1 Yi+1 = Yi Substitute in Equation IV ,We get Pi+1 = Pi +[(Xi +1)2 - Xi 2 ] + 2 (Xi +1 - Xi) + Yi 2 - Yi 2 ] – [Yi - Yi] = Pi + [ Xi 2 + 2Xi +1- Xi 2 +2] = Pi +2Xi +1+2 Pi+1 = Pi +2Xi + 3------------------------V If P > 0 Xi +1 = Xi +1 Yi+1 = Yi - 1 Substitute in Equation IV,We get Pi+1= Pi+[(Xi +1)2 - Xi 2 ] + 2 [(Xi +1 - Xi)] + [(Yi - 1)2 - Yi 2 )]- [Yi -1- Yi] = Pi+[ Xi 2 + 2Xi +1- Xi 2 +2]+[ Yi 2 - 2 Yi +1- Yi 2 ]+1 = Pi+[2Xi+3] + [-2Yi +2] Pi+1= Pi+2Xi -2 Yi +5 For finding Ist decision variable point (0,R) Xi=0 , Yi = R Pi = Xm 2 + Ym 2 – R2 =(Xi +1)2 + (Yi – ½)2 – R2 = (0+1)2 + (R-1/2)2 – R2 = 1 + R2 – R +1/4 – R2 P = 5/4 – R P ≈ 1-R Circle with Centre (Xc,Yc) X = X + Xc Y = Y + Yc ALGORITHM 1) Declaration of variables: Int (Xc,Yc)- Co-ordinate of Centre of circle Int R – Radius of Circle
  • 22.
    Int P –Decision Variable Int(x,y) – Current Pixel Position 2) Initialization: Read (Xc,Yc); Read R; 3) Calculate: P = 1-R X = 0; Y = R Loop Plot Circle (X,Y, Xc,Yc ;col) If P ≤ 0 X = X+1; Y = Y P = P+ 2x +3; Else P > 0 X = X+1; Y = Yi - 1; P = P+2x-2Y + 5 Continue till (X ≤ Y) Function to plot 8 symmetric point on circle with centre (Xc,Yc): Put pixel (X+ Xc , Y+ Yc ; col); Put pixel (-X+ Xc , Y+ Yc ; col); Put pixel (-X+ Xc , -Y+ Yc ; col); Put pixel (X+ Xc , -Y+ Yc ; col); Put pixel (Y+ Xc , Y+ Yc ; col); Put pixel (-Y+ X1 , X+ Yc ; col); Put pixel (-Y+ Xc , -X+ Yc ; col); Put pixel (Y+ X1 , -X+ Yc ; col);
  • 23.
    ALGORITHM TO DRAWTHE CIRCLE WITH CENTRE AT ORIGIN USING EQUATION OF CIRCLE 1)Declaration. Int R-Radius of circle Float(x,y)-current point on the circle 2) Read R X=0; Y=R; Loop Plot circle (round (x),round (y); col) X=x+1 Y= 22 XR − Continue till (x y≤ ) ALGORITHM OF CIRCLE USING BRESENHAM’S PRINCIPLE ALGORITHM:- 1) Input Co-ordinate of center of the circle & radius of the circle i.e. (Xc , Yc ) & R. 2) Put pixel at the center of the circle i.e. at ( Xc , Yc ). 3) Calculate the initial point on the circumference of the circle. X1 = Xc Y1 = Yc + R. 4) Put pixel at this point i.e. at ( X1 , Y1 ). 5) Calculate the initial decision parameter P = 1 – R. 6) Check for the decision parameter If ( P < 0) { X1 = X1 +1; Y1 = Y1; P =P + 2* X1 + 1; } else { X1 = X1 + 1; Y1 = Y1 – 1; P =P + 2 * ( X1 - Y1 ) +1; } 7) Put pixel at new coordinate of the points on the circumference of the circle i.e. at (X1, Y1). 8) Put pixel on the circumference of the circle using symmetry of the circle as follows. 0, 0 Radiu s 1 2
  • 24.
    put pixel( Xc+ X1 ,Yc +Y1). put pixel( Xc – X1, Yc +Y1). put pixel( Xc + X1, Yc –Y1). put pixel( Xc – X1, Yc –Y1). put pixel( Xc + Y1, Yc +X1). put pixel( Xc – Y1, Yc +X1). put pixel( Xc + Y1, Yc –X1). put pixel( Xc – Y1, Yc –X1). 9) Repeat the steps 6 to 8 till (X1<Y1)
  • 25.
    Put pixel atthe center of the circle i.e. at ( Xc , Yc ). Calculate the initial point on the circumference of the circle. X1 = Xc Y1 = Yc + R. Input Co-ordinate of center of the circle & radius of the circle i.e. (Xc , Yc ) & R. Calculate the initial decision parameter P = 1 – R. If P < 0 Put a pixel at (X1 ,Y1) put pixel( Xc + X1 ,Yc +Y1) put pixel( Xc – X1, Yc +Y1) put pixel( Xc + X1, Yc –Y1) put pixel( Xc – X1, Yc –Y1) put pixel( Xc + Y1, Yc +X1) put pixel( Xc – Y1, Yc +X1) put pixel( Xc + Y1, Yc –X1) put pixel( Xc – Y1, Yc –X1) Stop X1 = X1 +1; Y1 = Y1; P =P + 2* X1 + 1; Put a pixel at ( X1 ,Y1) X1 = X1 + 1; Y1 = Y1 – 1; P =P + 2 * ( X1 - Y1 ) +1; If X1 < Y1
  • 26.
    /* This programis of Circle Using "Bresenham’s Algorithm" */ #include<stdio.h> #include<graphics.h> #include<dos.h> #include<math.h> #include<stdlib.h> main() { initializegraph(); bres_circle(); closegraph(); restorecrtmode(); } initializegraph() { int gm,gd=DETECT; initgraph(&gd,&gm,"c:tcbgi"); } bres_circle() { int xcentre=200,ycentre=200,radius=150; int x1,y1,p; x1=0; y1=radius; setpixel(xcentre,ycentre,x1,y1); p=1-radius; while(x1<y1) { if(p<0) { x1=x1+1; p=p+2*x1+1; } else { x1=x1+1; y1=y1-1; p=p+2*(x1-y1)+1; } setpixel(xcentre,ycentre,x1,y1); delay(20); } getch(); } setpixel(xcen1,ycen1,x,y) int xcen1,ycen1,x,y; { putpixel(xcen1+x,ycen1+y,10); putpixel(xcen1-x,ycen1+y,10); putpixel(xcen1+x,ycen1-y,10); putpixel(xcen1-x,ycen1-y,10); putpixel(xcen1+y,ycen1+x,10); putpixel(xcen1-y,ycen1+x,10); putpixel(xcen1+y,ycen1-x,10); putpixel(xcen1-y,ycen1-x,10); }
  • 27.
    EQUATION OF CIRCLE: SUBCO-ORDINATE OF MID POINT Pi = X +Y - If PI < 0 Xi +1 = Xi +1 Yi = Y Else Pi > 0 Xi +1 = Xi +Y Yi = 1 Pi = + - + 2Xi + 1 + - Yi + ¼ - Pi = + 2Xi + 1 + - Yi + [ 1+ ¼ - ] Pi = + 2Xi + 1 + - Yi + K Decision base variable k Pi+1 = + 2 + ( ) – + K Pi +1 – P1 = - ( ] + 2(Xi+1 - Xi)+ – ] + ( Yi+1 - Yi ) Pi+1 = Pi + - ( ] + 2(Xi+1 - Xi)+ – ] + ( Yi+1 - Yi ) If Pi < 0 =
  • 28.
    = Y Pi+1 =Pi + 2Xi + 1 + 2 Pi+1 = Pi + 2Xi + 3 If P > 0 = = Y – 1 = Pi+ 2Xi – 2yi + 5 FOR FIND 1st decision variable Pt (0 , R ) Xi = 0 Yi = R P = X +Y - = + - = + - = 1 + - R + ¼ - P = 5/4 – R = 1 – R CRICLE WITH CENTER (Xc , Yc) X = X+ Xc Y = Y + Yc
  • 29.
    INPUT DATA: The Radiusof Circle : 150. The X coordinate center of circle : 200. The Y coordinate center of circle : 200. Output :
  • 30.
  • 31.
    Experiment No. 03 Nameof Experiment: Generation of Ellipse and arc using parametric Equation and Bresenham’s Principle (Derivation, Algorithm, Flow Chart, C-Programme and its Output) ELLIPSE USING BRESENHAM’S PRINCIPLE DERIVATION: To draw Ellipse Due to the symmetry of the ellipse about x,y, exis only first quadrant of the ellipse shall be drawn,where as remaining will be generated by symmetry as shown. Ellipse = 2 2 Rx X + 2 2 RY Y =1 Ry2 + Rxy2 –Rx2 Ry2 = 0 Finding the slope of ellipse in Ist quadrant 2xRy2 dx + 2yRx2 dy = 0 dx dy = - 2 2 yRx xRy dx dy = -1 -1 = 2 2 yRx xRy− yRx2 = xRy2 In part (1) Ellipse yRx2 ≥ xRy2 -1 <dy/dx < 0 ( 0< dxdy / <0) Increment x by 1 and calculate y. In part (2) of Ellipse -∞ < dy/dx < -1(∞ > dxdy / <1) Increment y by & calculate x Drawing part (1) of the ellipse Algorithm. m = (Xm1 , Ym) Xm = Xi +1 Ym = Yi – ½ Rx RY
  • 32.
    Decision Variable Pi =Ry2 x2 + Rx2 y2 – Rx2 Ry2 Pi = Ry2 xm2 + Rx2 Ym2 - Rx2 y2 Pi =Ry2 (Xi +1)2 + Rx2 (Yi – ½)2 - Rx2 Ry2 Pi =Ry2 (Xi 2 + 2Xi +2) + Rx2 (Yi 2 – Yi +1/4) – Rx2 Ry2 Pi =Ry2 (Xi 2 + 2Xi ) + Rx2 (Yi 2 – Yi ) + [Ry2 +1 + 4 2Rx - Rx2 Ry2 ] Pi =Ry2 (Xi 2 + 2Xi ) + Rx2 (Yi 2 – Yi ) +K-------I Where K= Ry2 +1 + 4 2Rx - Rx2 Ry2 +1 Pi+1 = Ry2 ( Xi+1 2 +2 Xi+1) + Rx2 (Yi+1 2 - Yi+1) +K---II Sub Equation II & I Pi+1 = Pi+ Ry2 {( Xi+1 2 - Xi 2 ) + 2(Xi+1 - Xi)} + Rx2 {(Yi+1 2 - Yi 2 ) – (Yi+1- Yi)} If Pi 0≤ (midpoint inside) Xi+1 = Xi+1 Yi+1 = Yi Pi+1 = Pi+ Ry2 {( Xi+1 2 - Xi 2 ) + 2(Xi+1 - Xi)} + Rx2 {(Yi 2 - Yi 2 ) – (Yi- Yi)} =Pi+ Ry2 {( Xi 2 + 2Xi +1) +2}+ Rx2 {0} Pi+1 = Pi+ Ry2 (2Xi +3) If Pi > 0 (midpoint outside) Xi+1 = Xi+1 Yi+1 = Yi-1 Pi+1 =Pi+ Ry2 {( Xi+1 2 - Xi 2 )+2(Xi+1 - Xi)}+Rx2 {( Yi-1)2 - Yi 2 ]-[ Yi -1- Yi] =Pi+ Ry2 {( Xi 2 + 2Xi +1) +2}+ Rx2 { Yi 2 -2Yi+1- Yi 2 ]-[-1] Pi+1 =Pi+ Ry2 [2Xi +3]+ Rx2 [-2Yi+2] First Decision Variable Xi = 0; Yi=Ry Substitute in Equation I Pi= Ry2 (Xi 2 + 2Xi) + Rx2 (Yi 2 - Yi)+ Ry2 4 2Rx -Rx2 -Rx2 Ry2 = Ry2 (0) + Rx2 (Ry2 - Ry)+ Ry2 + 4 2Rx - Rx2 Ry2 =Rx2 Ry2 - Rx2 Ry+ Ry2 + 4 2Rx - Rx2 Ry2 = Ry2 - Rx2 (Ry-1/4) P ≈ Ry2 - Rx2 Ry2 ALGORITHM 1) Declaration of Variable Int (Xc ,Yc ) --- centre of ellipse Int (x,y) ----Current position of x&y (0,0) xi xi +1 R 0,0 Outside Point Mid point m (Xm ,Ym ) = (Xi+1 ,Yi – ½) Inside Point 1 2 1-Slope less than 1 2-Slope greater than 1
  • 33.
    Int p ----DecisionParameter Int (Rx,Ry) ---- Radius of X&Y Plot ellipse (Xc,Yc,x,y) 2) Initialization Read (Xc ,Yc ) Read Rx,Ry; X=0; Y=Ry; P=Ry2 - Rx2 Ry Loop plot ellipse If (Pi 0≤ ) X = x+1; Y = y; P = P +y2 (2x+3) Else (P>0) X = x+1; Y = y-1; P = P Ry2 (2x+3) + Ry2 (-2Y+2) Continue tiil (Ry2 x ≤ Rx2 y) X= Rx; Y =0 P = Rx2 - Ry2 Rx Loop Plot ellipse (Xc,Yc,x,y) If (P ≤0) Y = y+1; X = x; P = P+ Rx2 (2Y+3) Else (P>0) Y = y+1; X = x-1; P = P+ Rx2 (2Y+3)+ Ry2 (-2Y+2) Continue till (Rx2 ≤ Ry2 x) Plot ellipse (Xc,Yc,x,y,col); Put pixel (Xc,Yc,x,y,col); Put pixel (X+Xc, Y+ Yc, col); Put pixel (-X+Xc, Y+ Yc, col); Put pixel (-X+Xc, -Y+ Yc, col); Put pixel (X+Xc, -Y+ Yc, col);
  • 34.
    /* This programis of ELLIPSE Using "Bresenham Algorithm" */ Function to draw ellipse Void draw ellipse (int Xc ,int Yc,int Rx,int Ry) { Int x,y; Float p; Long Sx,Rx,Sy,Ry ; SqRx=Rx*Rx; SqRy=Ry*Ry P=SqRy-SqRx*Ry+SqRx/4 For(x=1;(SqRy*x) <= (SqRx*y); x++) ( Plotellipse (Xc,Yc,X,Y) If(p<=0) P=p+SqRy*(2*x+3) ; Else { y--; p=p+SqRy*(2*x+3) } } X=rx; Y=0; P=SqRx-SqRy*Rx+SqRy*(2-2xy) For(y=1;(SqRx*y)<=(SqRy*x);y++) { Plotellipse (Xc,Yc,x,y) If(p<=0) P=p+SqRx*(2*y+3) ; { Else x-- ; p=p+SqRx*(2*y+3)+SqRx*(2-2*x) ; } }
  • 35.
    ALGORITHM OF ELLIPSEUSING PARAMETRIC EQUATION THEORY:- Parametric Equation of the ellipse is as follows X = Xc + ( Major Axis / 2 ) * cos θ Y = Yc+ ( Minor Axis / 2 ) * sin θ In the above equation Xc = X co ordinate of the center of the ellipse, Yc = Y co ordinate of the center of the ellipse, Major Axis = Major Axis of the ellipse. Minor Axis = Minor Axis of the ellipse. θ = Parameter, X = X co ordinate of the point on the circumference of the ellipse, Y = Y co ordinate of the point on the circumference of the ellipse, ALGORITHM:- 1) Input Co-ordinate of center of the ellipse , major axis & minor axis of the ellipse i.e. (Xc , Yc), major_axis, minor_axis. 2) Put pixel at the center of the ellipse i.e. at ( Xc , Yc). 3) Calculate the half of the major axis & minor axis i.e. major_axis = major_axis / 2. minor_axis = minor_axis / 2. 4) Set the initial parameter. θ = 0. 5) Calculate the co ordinates of the point on the circumference of the ellipse X1 = Xc + major_axis * cos (θ ); Y1 = Yc+ minor_axis * sin(θ ); 6) Put pixel at this point i.e. at ( X1 , Y1 ). 7) Put pixel on the circumference of the ellipse using symmetry of the ellipse as follows. put pixel( Xc + X1 ,Yc +Y1). put pixel( Xc – X1, Yc +Y1). put pixel( Xc + X1, Yc –Y1). put pixel( Xc – X1, Yc –Y1). 8) Increment the parameter θ = θ + 0.5 9) Repeat the steps 5 to 8 till (θ <= 180).
  • 36.
    Put pixel atthe center of the ellipse i.e. at ( Xc , Yc ). Calculate the half of the major axis & minor axis i.e. major_axis = major_axis / 2. minor_axis = minor_axis / 2. Input Co-ordinate of center of the ellipse , major axis & minor axis of the ellipse i.e. (Xc , Yc), major_axis, minor_axis. Set the initial parameter. θ = 0. Increment the parameter θ = θ + 0.5 Stop Put pixel on the circumference of the ellipse using symmetry of the ellipse as follows. put pixel( Xc + X1 ,Yc +Y1). put pixel( Xc – X1, Yc +Y1). put pixel( Xc + X1, Yc –Y1). put pixel( Xc – X1, Yc –Y1). Put a pixel at ( X1 ,Y1) Calculate the co ordinates of the point on the circumference of the ellipse X1 = Xc + major_axis * cos( θ ) Y1 = Yc + minor_axis * sin ( θ ) If θ < 180
  • 37.
    /* Program forEllipse Using "Parametric Equation" */ #include<stdio.h> #include<graphics.h> #include<dos.h> #include<math.h> #include<stdlib.h> main() { initializegraph(); para_Ellipse(); closegraph(); restorecrtmode(); } initializegraph() { int gm,gd=DETECT; initgraph(&gd,&gm,"c:tcbgi"); } para_Ellipse() { int xcentre=200,ycentre=200,major_axis=150,minor_axis=100; int x1,y1; float p; p=0.5; while(p<180) { x1=major_axis*cos(p); y1=minor_axis*sin(p); setpixel(xcentre,ycentre,x1,y1); p=p+0.5; delay(20); } getch(); } setpixel(xcen1,ycen1,x,y) int xcen1,ycen1,x,y; { putpixel(xcen1+x,ycen1+y,21); putpixel(xcen1-x,ycen1+y,21); putpixel(xcen1+x,ycen1-y,21); putpixel(xcen1-x,ycen1-y,21); } INPUT DATA: The Major axis of the Ellipse: 150.
  • 38.
    The Minor axisof the Ellipse: 100. The X coordinate of an Ellipse : 200. The Y coordinate of an Ellipse : 200. The angle of Ellipse : 300 . Output :
  • 39.
  • 40.
    Experiment No.:04 Name ofExperiment: Generation of Hyperbola using Parametric and Bresnham’s Principle ALGORITHM OF HYPERBOLA USING PARAMETRIC EQUATION THEORY: - Parametric Equation of the hyperbola is as follows X1=Xc +A * cosh(P); Y1=Yc +B * sinh(P); In the above equation Xc = X co ordinate of the center of the hyperbola, Yc = Y co ordinate of the center of the hyperbola, P = Parameter, X1 = X co ordinate of the point on the circumference of the hyperbola, Y1 = Y co ordinate of the point on the circumference of the hyperbola, A =semi transverse axis B =semi conjugate axis ALGORITHM: - 1) Input Co-ordinate of center of the hyperbola (Xc, Yc),semi transverse axis(A) & semi conjugate axis(B). 2) Set the initial parameter. P = 0.01 3) Put pixel at the center of the hyperbola i.e. at (Xc, Yc). 4) Calculate the co ordinates of the point on the circumference of the hyperbola X1 =Xc +A * cosh( P); Y1 =Yc +B * sinh( P); 5) Put pixel at this point i.e. at (X1, Y1). 6) Calculate the co ordinates of the opposite point on the circumference of the hyperbola Y1 =Yc – B * sinh( P); 7) Put pixel at this point i.e. at (X1, Y2). 8) Increment the parameter P = p + 0.01. 9) Repeat the steps 4 to 7 till (p <=1.5).
  • 41.
    Put pixel atthe vertex of the hyperbola i.e. at (Xc, Yc) . Input Co-ordinate of center of the hyperbola (Xc, Yc), semi transverse axis(A) & semi conjugate axis(B). Set the initial parameter. P = 0.01 Increment the parameter P = p + 0.01 Stop Calculate the co ordinates of the opposite point on the circumference of the hyperbola Y1 =Yc – B * sinh( P); Put a pixel at (X1, Y1) Calculate the co ordinates of the point on the circumference of the hyperbola X1 = Xc + A * cosh( P); Y1 = Yc + B * sinh( P); If p <= 1.5 Put a pixel at (X1, Y2)
  • 42.
    /* Program forHyperbola Using "Parametric Equation" */ #include<stdio.h> #include<graphics.h> #include<dos.h> #include<math.h> #include<stdlib.h> main() { initializegraph(); Hyperbola(); closegraph(); restorecrtmode(); } initializegraph() { int gm,gd=DETECT; initgraph(&gd,&gm,"c:tcbgi"); } Hyperbola() { int xcentre=200,ycentre=200,a=21,b=17; int x1,y1,y2; float p; p=0.01; for(p=0.01;p<=1.5;p=p+0.01) { x1=xcentre+a*cosh(p); y1=ycentre+b*sinh(p); y2=ycentre-b*sinh(p); putpixel(x1,y1,2); putpixel(x1,y2,2); delay(20); } getch(); }
  • 43.
    Derivation of hyperbola xy= k dy = -k dx x^2 -k = -k x^2 x^2= k -1< dy < 0 dx xm= xi +1 ym= yi – y2 xy-x=0 P1 = xm ym = k= 0 P1 = (xi +1) (yi – y) ------------ 1 = xi yi - xi + yi - y2 – k 2 Pi+1 = xi +1, yi + 1- xi +1 + yi + 1 l/2 - k ---------- II Pi+1 = [(xi +1, yi + 1)- xi yi ] –l/2 [xi +1- xi] + [(yi + 1- yi )] = RY^2 (xi^2 +2xi + 1) + Rx^2 (yi^2 - yi +l/2 )- Rx^2 Ry^2 = RY^2 (xi^2 +2xi) + Rx^2 (yi^2 - yi)- (Ry^2 Rx^2-Rx^2 Ry^2) 4 Pi = RY^2 (xi^2 +2xi) + Rx^2 (yi^2 - yi)+k ----- I Pi = RY^2 [ (xi+1 )^2 +2(xi +1)]+ Rx^2[ (yi+1)- yi+1]+k------ II Pi+1 = Pi+ RY^2[(xi+1 )^2- xi ]+ 2 Rx^2[xi+1 - xi]+ Rx^2[ (yi^2+ yi^2)– (yi+1 - yi)] If P< 0 xi+1 =xi+1 yi+1 - yi-1 Pi+1 = Pi+ RY^2[(2x+3) ] If P> 0 xi+1 =xi+1 yi+1 = yi-1 Pi+1 = Pi+ RY^2[(2x+3) ]+ Rx^2[(-xy+2) ] For first point on hyperbola xi+ -0 yi= R P= RY^2[(xi+1 )^2 ]+ 2 Rx^2[yi- l/2]-Rx^2 RY^2 xi+1 =xi+1 yi+1 = yi Pi+1 = Pi+ [(xi+1 ) yi - xi yi ]-l/2 [xi+1 - xi]+ [ (yi- yi)] = Pi+ [(xiyi + yi - x yi]- l/2 Pi+1 = Pi+ xi yi –l If P> 0 xi+1 =xi+1
  • 44.
    yi+1 = yi-1 subthe total Pi+1 Pi+1 = Pi+ 2Yi^2-2 xi -5 Since ø = l/R (øs>øe) øs= øs*  /360 øe= 2+øe*  /360 also(øs<øe) øs= øs*  /100 øe= øe*  /100 ø= øs loop x= R*cosø y= R*sinø to find first dicision point xi =√k yi =√k P1 = xi yi - xi + yi – l/2– k 2 =2xi yi - xi + 2yi – l-2k =2√k √k - √k + 2√k – l-2k =2k - √k + 2√k – l-2k P1 = √k – l Output :
  • 46.
  • 47.
    Experiment No.:05 Name ofExperiment: Generation of Parabola using Parametric and Bresnhm’s Algorithm ALGORITHM OF PARABOLA USING PARAMETRIC EQUATION THEORY:- Parametric Equation of the parabola is as follows X = Xc + (distance between focus & vertex * p * p) Y = Yc + ( 2 * distance between focus & vertex * p) In the above equation Xc = X co ordinate of the vertex of the parabola, Yc = Y co ordinate of the vertex of the parabola, p = Parameter, X = X co ordinate of the point on the circumference of the parabola, Y = Y co ordinate of the point on the circumference of the parabola, ALGORITHM:- 1) Input Co-ordinate of vertex of the parabola & distance between focus & vertex of parabola, i.e. (Xc , Yc ), distance between focus & vertex. 2) Set the initial parameter. p = 0.01 3) Put pixel at the center of the parabola i.e. at ( Xc , Yc ). 4) Calculate the co ordinates of the point on the circumference of the parabola X1 = Xc + (distance between focus & vertex * p * p) Y1= Yc + ( 2 * distance between focus & vertex * p) 5) Put pixel at this point i.e. at ( X1 , Y1 ). 6) Calculate the co ordinates of the opposite point on the circumference of the parabola X1 = Xc + (distance between focus & vertex * p * p) Y2 = Yc - (4 * distance between focus & vertex * p) 7) Put pixel at this point i.e. at ( X1 , Y2 ). 8) Increment the parameter p = p + 0.01 9) Repeat the steps 4 to 7 till (p <= 4). Put pixel at the vertex of the parabola i.e. at ( Xc , Yc ). Input Co-ordinate of vertex of the parabola & distance between focus & vertex of parabola, i.e. (Xc , Yc ), distance between focus & vertex. Set the initial parameter. p = 0.01 Increment the parameter p = p + 0.01 Stop Calculate the co ordinates of the opposite point on the circumference of the parabola X1 = Xc + (distance between focus & vertex * p * p) Y2 = Yc - (4 * distance between focus & vertex * p) Put a pixel at ( X1 ,Y1) Calculate the co ordinates of the point on the circumference of the parabola X1 = Xc + (distance between focus & vertex * p * p) Y1= Yc + ( 2 * distance between focus & vertex * p) If θ < 180 Put a pixel at ( X1 ,Y2)
  • 49.
    /* Program forParabola Using "Parametric Equation" */ #include<stdio.h> #include<graphics.h> #include<dos.h> #include<math.h> #include<stdlib.h> main() { initializegraph(); parabola(); closegraph(); restorecrtmode(); } initializegraph() { int gm,gd=DETECT; initgraph(&gd,&gm,"c:tcbgi"); } parabola() { int xcentre=200,ycentre=200,distance_between_focus_and_vertex=20 ; int x1,y1; float p; p=0.01; for(p=0.01;p<=4;p=p+0.01) { x1=xcentre+(distance_between_focus_and_vertex*p*p); y1=ycentre+(2*distance_between_focus_and_vertex*p); putpixel(x1,y1,2); putpixel(x1,y1- (4*distance_between_focus_and_vertex*p),2); delay(20); } getch(); }
  • 50.
    INPUT DATA: The Xcoordinate centre= 200, The Y coordinate centre= 200, Distance between focus and vertex= 20 Output :
  • 51.
  • 52.
    Experiment No.:06 Name ofExperiment: Generation of Synthetic Curves (Bezier and B-Spline) ALGORITHM FOR B-SPLINE CURVES ALGORITHM: - 1) Initialization of all the required parameters. 2) Enter the co-ordinates of four control point Px(4) and Py(4). 3) For four control points degree (n) is three. 4) Calculate the knot vector as: 0 j<k Uj = j-k+1 k j n n-k+2 j>n where, 0 j n +k for the range of u, 0 u n – k + 2 5) Calculate the B-spline function for the four control points as Ni,k(u) = (u-uj) Ni,k-1(u)/(ui,k+1-ui) + (ui+k-u) Ni+1,k-1(u)/(ui+k-ui-1) Where, Ni,j = 1, ui u ui+1 O, otherwise Considering 0/0 = 0 if the denominator in above equation becomes zero 6) Calculate the corresponding four control points on the B-Spline curve as P(u)x = Px[0]*N0,4+Px[1]*N1,4+Px[2]*N2,4+Px[3]*N3,4 for 0 u 1 P(u)y = Py[0]*N0,4+Py[1]*N1,4+Py[2]*N2,4+Py[3]*N3,4 for 0 u 1 By incrementing u in small step. 7) Graphics Initilisation. 8) Plot the co-ordinates
  • 53.
    /* Program for"B-Spline" */ #include<math.h> #include<graphics.h> #include<stdlib.h> #include<stdio.h> #include<conio.h> void main(void) { int i,j,n,m,m1,k,x,s,k1; float Umax,Umin,u,Uk[10],N[20][20],px[4],py[4]={0},X[4]={0},Y[4]={0}; float num1=0,num2=0,deno1=0,deno2=0,Ax[4]={0},Ay[4]={0},sumX=0,sumY=0; int gdriver = DETECT, gmode, errorcode; clrscr(); printf("nEnter the number of control point "); scanf("%d",&k); printf("nEnter the coordinate of control point "); for(i=0;i<=k-1;i++) { scanf("%f",&px[i]); scanf("%f",&py[i]); } k1=k; n=k-1; Umin=0; Umax=n-k+2; s=n+k; for(j=0;j<=n+k;j++) { if(j<k) Uk[j]=0; else { if(j>=k&&j<=n) Uk[j]=j-k+1; else { if(j>n) Uk[j]=n-k+2; } } } for(i=0;i<=n;i++) { for(k=1;k<=n;k++) { if((i+k)>s) continue; else { if(Uk[i+k-1]-Uk[i]==0&&Uk[i+k]-Uk[i+1]==0) { N[i][k]=0; } } } } for(i=0;i<=n;i++) { if(u>=Uk[i]||u<=Uk[i+1]) N[i][1]=1; else N[i][1]=0; }
  • 54.
    initgraph(&gdriver, &gmode, ""); errorcode= graphresult(); if (errorcode != grOk) /* an error occurred */ { printf("Graphics error: %sn", grapherrormsg(errorcode)); printf("Press any key to halt:"); getch(); exit(1); /* terminate with an error code */ } for(u=0;u<=1;u=u+0.01) { for(k=2;k<=(n+k)-1;i++) { for(i=0;i<=(n+k)-1;i++) {if((i+k)>s) break; else { x=i+k-1; deno1=(Uk[x]-Uk[i]); deno2=(Uk[i+k]-Uk[i+1]); num1=((u-Uk[i])*(N[i][k-1])); num2=((Uk[i+k]-u)*(N[i+1][k-1])); if(deno1==0) {num1=0; } if(deno2==0) { num2=0; } N[i][k]=(num1/deno1)+(num2/deno2); } } } for(m1=0;m1<4;m1++) { Ax[m1]=px[m1]*N[m1][k1]; Ay[m1]=py[m1]*N[m1][k1]; sumX=sumX+Ax[m1]; sumY=sumY+Ay[m1]; } putpixel(50*sumX,50*sumY,3); sumX=0; sumY=0; } getch(); closegraph(); getch(); }
  • 55.
  • 56.
    Experiment No.:07 Name ofExperiment: Two Dimensional Transformation (Any Two Numerical) Q.1: A triangle with vertices at A(0,0),B(8,0),C(0,8) is scaled by 1.2 units in X direction. It is translated by 3.5 units in Y direction and two units X direction. Find the final position of the triangle. Show the total transformation on graph paper stepwise. Ans. The original position of the given ∆ ABC is shown in graph paper. The final transformation is given as, P’ = P.TT Where TT = Total transformation TT = S.T. P =           180 108 100 S =           100 00 00 Sy Sx =           100 010 002.1 T =           0 010 001 tytx T =           15.32 010 001 TT = [ ]S X [ ]T =           100 010 002.1 .           15.32 010 001 TT =           15.30 010 002.1 P’ = [ ]P .[ TT] =           180 108 100           15.32 010 002.1
  • 57.
    P’ =           15.112 15.36.11 15.32 The finalposition of triangle ABC is shown on graph paper. Coordinates of ∆ A’B’C are; A’ (2,3.5) B’ (11.6,3.5) C’ (2,11.5) Q.2: Find the transformation which converts the fig. defined by vertices A(3,2),B(2,1) and C(4,1) into another figure which is defined by Vertices A’(-3,-1),B(-4,-2) and C’(-2,-2). Ans. Let [P’] – is final position of triangle A’B’C’ [P] - is initial position of triangle ABC [G] – is transformation matrix. Given data: Final position of triangle is A’(-3,-1) B’(-4,-2) C’(-2,-2) Initial position of triangle is A(3,2) B(2,1) C(4,1) General expression for determining final position of object is [P’] = [P] [G] ∴[G] = [P]-1 [P’]……………………………….(1) Now Final position [P’] =           −− −− −− 122 124 113 And initial position [P]=           114 112 123 Inverse matrix [P] is given by following generalized equation [P]-1 = ]det[ ][int P PofAdjo ……………………….(2)
  • 58.
    Co-factor of [P]= - 12 23 14 23 14 12 12 13 14 13 14 12 11 12 11 12 11 11 − − =           −− −− − 111 511 220 When rows are converted into columns. Adjoint of [P] is determined ∴Adj[P] =           −− −− − 111 511 220 Similarly determinant of [P] is determined as det [P] = 3(1-1)-2(2-4)+(2- 4) = 2 From equation (2) [P]-1 = ]det[ ][int P PofAdjo =                 −− −− − 2 1 2 5 1 2 1 2 1 1 2 1 2 1 0 Thus, substituting values of [P]-1 in equation (1) [G] =                 −− −− − 2 1 2 5 1 2 1 2 1 1 2 1 2 1 0           −− −− −− 122 124 113 ∴[G] =           −− 136 010 001 Check [P’] = [P] [G] =           114 112 123           −− 136 010 001
  • 59.
    =           −− −− −− 122 124 113 Hence verified. Problem No.3 : Determine the transformation matrix to take a reflection of a point @ the line y = 2x – 5. Solution : Compare with y = mx + c & m = 2 & c = -5 m = tan θ = 2 & θ = tan -1 2 θ = 63.4580 (cw) θ = -63.4350 Total transformation, TT = T1 * R1 * m * R2 * T2 T1 = Translation matrix, T1           = 150 010 001 where tx = 0 & ty = 5 R1 = Rotation matrix (cw) @ origin. R1 =           − =           + − 100 04472.0894.0 0894.04472.0 100 0cossin 0sincos θθ θθ m = Reflection matrix, @ x axis, m           −= 100 010 001 R2 = Rotation matrix (ccw) @ origin. R2 =           − 100 04472.0594.0 0594.04472.0 T2 = Translation matrix, (tx = -5) -5 y = - 2x - 5 y = 2x - 5
  • 60.
    T2 =           − 150 010 001 TT=           − ∗           −∗           −∗           − ∗           150 010 001 000 04472.0894.0 0894.04472.0 100 010 001 100 04472.0894.0 0894.04472.0 150 010 001 TT =           − − 1005.2995.3 0599.0799.0 0799.0599.0 reqd. total transformation matrix. Problem 4: An equilateral ∆ ABC with length of side to units is to be transformed into an isosceles ∆ ABC. With attitude 2.5 times the altitude of equilateral triangle co-ordinate of pt1. A (10,5).
  • 61.
    Solution : The transformationcan be done as ; i) Translate the ∆ ABC to origin i.e. tx = -i0, ty = -5, ii) Scaling the triangle with sx = 1, sy = 2.5, iii) Taking a reflection @ line y = 0 i.e. x-asix. iv) Translate the triangle of its original position, tx = 10, ty = 5. Total Transformation = TT = T1 * S1 * m * T2 T1 =           − 100 010 001 ; s =           100 05.20 001 M =           − 100 010 001 ; T2 =           1510 10 001 P TT =           − 100 010 001 *           100 05.20 001 *           − 100 010 001 *           + 1510 010 001 =           − 15.170 05.20 001 reqd. total transformation matrix. A A( 0, 5 ) B C
  • 62.
    Numerical for Practical: 1.An equilateral triangle ABC with length of side 5 units each is to be transformed into an isosceles triangle A’ B’ C’ as shown in figure with altitude 2 2 1 times the altitude of equilateral triangle. Co-ordinate of point A is (12,6). Determine a transformation matrix. (05) 2. A line having end points (4,3) and (10,8) is reflected about the line passing equation 42 += XY . Find the final position of line. 3. A line PQ was transformed to P’ Q’ . P’ (10,10),Q(20,20). Transformation carried out were : 1. Scaling about origin by 2 units. 2. Rotation about origin by 450 . Find out the co-ordinates of end points of original PQ. 4. A line having end points (4,3) and (10,8) is reflected about the line passing equation 53 += XY . Find the final position of line. fig .1 C B, B’ (10,5) A,A’ C’ (0,0)
  • 63.
  • 64.
    Experiment No.:08 Name ofExperiment: Three Dimensional Transformation (Any Two Numerical) Q.1: Consider a region defined by the position vectors [ ]X =             1221 1222 1212 1211 D C B A Relative to the global XYZ axis system. It is rotated by +300 about the X’ axis parallel to X axis and passing through point (1.5,1.5,1.5,1).Find the final transformation matrix and final positions of the region. Ans. The final transformation is carried out as follows. [ ]'X =             1221 1222 1212 1211 4x4 Steps : (1) We will first translate the object so that rotation axis X’ coincide with the X axis. (2) Perform rotation about the object so that 300 ccw, (θ = +300 ) (3) Again translate the object so that X’ moves to its original position. ∴ T1 =             1111 0100 0010 0001 tztytx 4x4 tx1 = -1.5, ty1 = -1.5, tz1 = -1.5 T1 =             −−− 15.15.15.1 0100 0010 0001 4x4 ∴ Rx =             °°− °° 1000 030cos30sin0 030sin30cos0 0001 4x4 ∴ Rx =             − 1000 0866.05.0 05.866.00 0001 4x4
  • 65.
    T2 =             15.15.15.1 0100 0010 0001 4x4 ∴ TT= [T1].[ Rx].[T2] =             −−− 15.15.15.1 0100 0010 0001 x             − 1000 0866.05.0 05.866.00 0001 x             15.15.15.1 0100 0010 0001 ∴ TT =             −−− − 1049.2549.05.1 0866.05.00 05.866.00 0001             15.15.15.1 0100 0010 0001 TT =             − − 1549.0951.00 0866.05.00 05.0866.00 0001 …..Final Transformation Matrix 4x4 Now we will find final positions of the region. X’ = [X] [TT] =             1221 1222 1212 1211             − − 1549.0951.00 0866.05.00 05.0866.00 0001 4x4 4x4 X’ =             1183.2683.11 1183.2683.12 1683.1817.02 1683.1817.01 4x4 Numerical for Practical: 1. Determine the 4 X 4 transformation matrices for the rotation of 3-D point in 3-D space.
  • 66.
  • 67.
    Experiment No.:09 Name ofExperiment: Algorithm and C-Program to generate machine components DESIGN STEPS OF SHAFT 1) Power, rpm, support positions, accessories mounted on the shaft, their position, & their type viz. Gear, pulley etc. 2) Calculate the forces on the shaft due the various accessories mounted on the shaft as follows  SPUR GEAR: - FT = TORQUE / PITCH CIRCLE RADIUS (Tangential force acting at a right angle to the radial force) FR = FT * tan φ (Here φ is the in volute teeth angle)  HELICAL GEAR: - FT = TORQUE / PITCH CIRCLE RADIUS FR = FT * tan φ FA = FT * tan ψ (Here ψ is the helix angle) tan φ = tan φN / tan ψ ( here φN is the plane normal to the helix angle )  BEVEL GEAR:- FT = TORQUE / MEAN PINION PITCH RADIUS FP = FT * tan φ * sin γP FG = FT * tan φ * cos γG (here γP & γG ARE pinion pitch cone angle & gear pitch cone angle)  WORM GEARING:- FTw = TORQUE / PITCH CIRCLE RADIUS OF WORM FTG = { (1 - µ * tanλ / cosφN) / ( tanλ + µ * cosφN )} FR = FTw * {(sin φN)/(cosφN * sinλ + µ * cosλ)} (here λ is lead angle of worm & φn is normal pressure angle)  BELT DRIVES:- F1 – F2 = TORQUE / PULLEY RADIUS FORCE ACTING ON SHAFT = F1 + F2 (here F1 & F2 are tight side & slack side belt tensions)  CHAIN DRIVE:- FT = TORQUE / PITCH RADIUS OF THE SPROCKET 3) Calculate horizontal & vertical components of above forces. 4) Calculate horizontal & vertical reaction at the supports.
  • 68.
    5) Check momentsin horizontal & vertical direction should be equal to zero. 6) Find critical section of the shaft at which bending moment & torque is maximum. 7) Select the material of the shaft. Calculate the ultimate shear stress (SUT) & yeild shear stress (SYT) Select the design shear stress as follows SDS = 0.3 * SYT Or SDS = 0.18 * SUT (Whichever is minimum) If keyway or splines etc. are on the critical section of the shaft then reduce the design stress by 25 % 8) Calculate the diameter of the shaft as follows τ max = (16 *103 / π * D3 ) * { ( KT * T)2 + [(KB * M) + (∝ * P * D / 8)2 }1/2 Here τ max = SDS D = diameter of the shaft. T = torque to be supplied. M = net bending moment at the critical section. KB = combined shock and fatigue factor applied to bending moment. KT = combined shock and fatigue factor applied to torque. ∝ = column action factor P = axial load 9) Select the diameter of the shaft next standard size available in the market.
  • 69.
    /* PROGRAM OFDESIGN OF SHAFT */ #include<stdio.h> #include<math.h> #include<stdlib.h> #include<string.h> #include<conio.h> #include<dos.h> #define PI 3.141592654 #define max_matls 13 #define max_input 4 void main() { float Reaction(float,float,float,float,float); float Diameter(long,long,float,float); char matl[max_matls][15],matl_in[max_matls][15]; long T,P,M,Me,Te,x; int i,j,Syt[max_matls]={0},Sut[max_matls]={0},Rho[max_matls]={0}; float Ss,Sd,Ss1,Sd1,x1,x2; float l,l1,l2,l3,d,d1,d2,d3,d4,Km,Kt,RA,RD,WB,WC,MB,MC,N; FILE*fp; clrscr(); fflush(stdin); printf("nEnter Power[W] : "); scanf("%ld",&P); printf("nEnter Speed of The Shaft [RPM] : "); scanf("%f",&N); printf("nEnter distance between Bearing and Gear [mm] : "); scanf("%f",&l1); printf("nEnter distance between Gear and Pulley [mm] : "); scanf("%f",&l2); printf("nEnter distance between Pulley and End Bearing [mm] : "); scanf("%f",&l3); printf("Enter the Load Acting on Gear [N] : "); scanf("%f",&WB); printf("Enter the Load Acting on Pulley [N] : "); scanf("%f",&WC); RD=Reaction(WB,WC,l1,l2,l3); RA=WB+WC-RD; MB=RD*(l2+l3); MC=RD*l3; if(MB>MC) M=MB; else M=MC; T=P*60/(2*PI*N); printf("Enter Combined shock & Fatiuge Factor for Bending : "); scanf("%f",&Km); printf("Enter Combined shock & Fatiuge Factor for Torsion : "); scanf("%f",&Kt); x=(Km*M*Km*M)+(Kt*T*Kt*T); Te=sqrt(x); Me=0.5*(M+Te); if((fp=fopen("sd1.dat","r"))==NULL) { printf("Unable to Openn"); printf("Sorry!!! Please Try Again"); getch(); exit(0); } else
  • 70.
    { printf("nfile opened successfully!"); printf("nMaterialtSyttDensity"); for(i=0;i<=max_matls-1;i++) { fscanf(fp,"%s%d%d",&matl[i],&Syt[i],&Rho[i]); printf("n%stt%dt%d",matl[i],Syt[i],Rho[i]); } for (i=0;i<=0;i++) { printf("nEnter Material No : "); scanf("%s",&matl_in[i]); for (j=0;j<=max_matls-1;j++) { if ((strcmp(matl_in[i],matl[j]))==0) { Ss=Syt[j]/2; Sd=0.3*Syt[j]; break; } else continue; } } d=Diameter(Te,Me,Ss,Sd); if(MB>MC) { d1=d; d2=d+3; d3=d2+3; d4=d-5; Ss1=(T*16)/(PI*d4*d4*d4); if(Ss1<Ss) printf("nDesign is Safe"); else printf("Diameter for the Bearing Allocation is to be redesigned"); } else { d2=d; d1=d-3; d3=d2+3; d4=d-5; Ss1=(T*16)/(PI*d1*d1*d1); Sd1=(M*32)/(PI*d1*d1*d1); if(Ss1<Ss||Sd1<Sd) printf("nDesign is Safe"); else printf("Diameter for the Bearing and Gear Allocation is to be redesigned"); } printf("n--------------------------------------------------------"); printf("nRESULT: "); printf("nSelected Material: %s ",matl_in[0]); printf("Designed Diameters of Stepped Shaft are nd1= %fnd2= %fnd3= %fnd4= %f",d1,d2,d3,d4); } getch(); fcloseall(); } float Reaction(float WB,float WC,float l1,float l2,float l3) { float RD,l;
  • 71.
    l=l1+l2+l3; RD=(WC*(l1+l2)+(WB*l1))/l; return(RD); } float Diameter(long Te,longMe,float Ss,float Sd) { float d1,d2,x1,x2; x1=(Te*16)/(PI*Ss); d1=pow(x1,0.3334); x2=(Me*32)/(PI*Sd); d2=pow(x2,0.3334); if(d1>=d2) return(d1); else return(d2); }
  • 72.
    DESIGN STEPS OFSLIDING CONTACT BEARING DATA INPUT FOR SLIDING CONTACT BEARING DESIGN :- 1) Diameter of the journal 2) Load on the journal 3) Speed of rotation 4) Type of machinery 5) Allowable temperature rise in lubricating oil if any DESIGN STEPS FOR SLIDING CONTACT BEARIGN :- 1) Select the recommended values of the following as per the application  Range of L/d ratio  Maximum bearing pressure (PMAX)  Minimum bearing modulus (Z * N / P)  Suitable Viscosity (Z)  Range of P * V 2) Calculate the rubbing velocity V in m/min. 3) Choose suitable value for the length of the journal L, so that all the three criteria given below are satisfied  The L/d ratio is within the recommended range.  The bearing pressure is within the recommended range.  P * V value within the given range. 4) Select the suitable bearing material 5) Select the suitable radial clearance C. 6) Select suitable Z * N/P depending upon the variability of load and speed. 7) Calculate the value of Z and select suitable lubricating oil. 8) Calculate the dimensionless value of the Summerfield no. 9) Calculate the coefficient of friction μ. 10) Select the suitable radial clearance C. 11) Calculate the heat generated Hg. 12) Calculate the temperature rise of the oil equating Hg to the heat dissipating capacity Hd. 13) Calculate the oil temp. Toil & check the value within the given range. 14) Calculate minimum film thickness hmin, & select suitable surface finish for the journal and the bushing. 15) Calculate the amount of side flow of the lubricant. This is the quantity of oil to be supplied to the bearing to maintain the fluid flow. OUTPUT DATA FROM THE PROGRAM :- 1) Length of bearing 2) Bearing material 3) Lubrication oil to be used 4) Quantity of oil to be supplied for maintaining the fluid film /* Design for Sliding Contact Bearing */
  • 73.
    #include<math.h> #include<stdlib.h> #include<stdio.h> #include<conio.h> #include<string.h> #define PI 3.141592654 #definemax_matls 5 #define max_input 4 void main() { float W,to,Z,ta,pmax,p,t,C,c,l,d,R,Ov,Od,K,cd1,u,k,Hg,Hd,V,A,S,m; int i,j,N; char matl[max_matls][25],matl_in[max_matls][25],Mtl; float visco[max_matls]={0},cd[max_matls]={0},ld[max_matls]={0},ZN_p[max_matls]={0}; FILE *fp; clrscr(); fflush(stdin); printf("nEnter load on journal (Newton) "); scanf("%f",&W); printf("nEnter speed of journal(rpm) "); scanf("%d",&N); printf("nEnter the ambient temp of oil(deg C) "); scanf("%f",&ta); printf("nEnter the maximum pressure of bearing(N/mm2) "); scanf("%f",&pmax); /*design starts*/ printf("nEnter the assumed dia of journal(mm) "); scanf("%f",&d); if((fp=fopen("Bdata.dat","r"))==NULL) { printf("Unable to Openn"); printf("Sorry!!! Please Try Again"); getch(); exit(0); } else { printf("nFile Opened Successfully!"); printf("nApplicationtViscositytZN/pttc/dtl/d"); for(i=0;i<=max_matls;i++) { fscanf(fp,"%s%f%f%f%f",&matl[i],&visco[i],&ZN_p[i],&cd[i],&ld[i]); printf("n%stt%ft%ft%ft%f",matl[i],visco[i],ZN_p[i],cd[i],ld[i]); } for(i=0;i<=0;i++) { printf("nEnter Material No,%d : ", i+1); scanf("%s",&matl_in[i]); for (j=0;j<=max_matls-1;j++) {
  • 74.
    if ((strcmp(matl_in[i],matl[j]))==0) { l=ld[j]*d; p=W/(l*d); Ov=(visco[j]*N)/p; K=ZN_p[j]/3; k=0.002; /*forl/d ratio of 0.75 to 2.8*/ u=(33*Ov/cd[j])/(pow(10,8)) +k; break; } else { /*printf("nMaterial is not Present In The List");*/ continue; } } } } if(p<pmax) { printf("nDimension l and d are Safe: "); } else { printf("n New Dimension of l and d are to be selected: "); } printf("nEnter the Operating Temp of Oil(deg C): "); scanf("%f",&to); printf("nBearing Modulus at Minimum Point of Friction "); if(Ov>K) { printf("nBearing will Operate at Hydrodynamic Conditions"); } else { printf("n Bearing will have Metal to Metal Contact"); } V=(3.1428*d*N)/60000; Hg=u*W*V; printf("nEnter Heat Dissipation Coefficient from data book: "); scanf("%f",&C); A=l*d/(pow(10,6)); Hd=(C*A*(to-ta))/2; printf("n Heat dissipation Hd= %f J/s",Hd); printf("n Heat generated Hg= %f J/s",Hg); printf("n A= %f m2",A); if(Hg>Hd) { printf("nBearing is to be re-design by taking higher operating temperature(to) "); printf("nor Bearing should be cooled artificially"); printf("nEnter specific heat of oil: ");
  • 75.
    scanf("%f",&S); printf("nEnter the riseof temp of oil(deg C) "); scanf("%f",&t); m=(Hg-Hd)/S*t; printf("nMass flow rate of oil= %f (kg/s) ",m); } else { printf( "nNo need for Bearing to be Cooled Artificially"); } printf("nLength of Bearing= %f mm",l); printf("nDiameter of Bearing= %f mm",d); printf("nBearing Pressure= %f N/mm2",p); printf("nBearing Characteristic Number= %f",Ov); getch(); }
  • 76.
    DESIGN STEPS OFFLYWHEEL DATA INPUT FOR FLYWHEEL DESIGN :- 1) Data related to fluctuation of speed & energy 2) Material of flywheel 3) Space constraint & Type of application DESIGN STEPS FOR FLYWHEEL :- A) Calculate the fluctuation of energy ΔΕ from the given data. B) Calculate the fluctuation of speed otherwise select the fluctuation of speed as per the driven machinery & type of the driven arrangement (Ks). C) Calculate the required moment of inertia as ΔΕ = I * Ks * ωm 2 Here, I = moment of inertia Ks = speed fluctuation coefficient ωm = mean velocity in rad/sec. # If the construction of the flywheel is rimmed then 5% of inertia is contributed by the hub & rim, the remaining inertia is provided by the rim. D) Calculate the mean diameter of the rim with the help of allowable surface speed (Vs) Vs = π * Do * N Here, N = the r.p.m. of flywheel Do = mean dia. Vs =surface speed E) Calculate the mass of the rim I = m * K2 Here, K = radius of gyration m = mass of rim F) Calculate height & width of rim as ratio of width & height is B/H = 0.65 To 2.0 G) Decide the type of construction; cross-section of arms & number of arms H) Calculate the centrifugal stresses, bending stresses & the resultant stresses in the rim for the safe range by altering the value of B & H. I) Calculate the hub diameter, hub length & arm dimensions. OUTPUT DATA FROM THE PROGRAM :- 1) Width & height of the flywheel rim 2) Type of construction for the flywheel 3) Hub diameter & its length 4) Arm dimensions
  • 77.
    /* Program toDesign Flywheel */ #include<stdio.h> #include<math.h> #include<stdlib.h> #include<string.h> #include<conio.h> #include<dos.h> #define PI 3.141592654 #define max_matls 13 #define max_input 4 void main(void) { float m,t,b,rho,FS,Syt,Sd,DE,Cs,D,Rad,k; char matl[max_matls][15],matl_in[max_matls][15]; float Rho[max_matls]={0}; int syt[max_matls]={0}; int N,i,j; FILE *fp; clrscr(); fflush(stdin); printf("Enter The Speed of the Shaft (RPM) : "); scanf("%d",&N); /*printf("Enter the Ultimate Stress in Tension of Material Selected (N/m2) : "); scanf("%f",&Syt); printf("Enter the Density of Material Selected (kg/m3) : "); scanf("%f",&rho);*/ printf("Enter the Factor of Safty For The Material Selected : "); scanf("%f",&FS); printf("Enter the Coefficient of Fluctuation of Speed : "); scanf("%f",&Cs); printf("Enter the Fluctuation of Energy : "); scanf("%f",&DE); if((fp=fopen("sd1.dat","r"))==NULL) { printf("Unable to Openn"); printf("Sorry!!! Please Try Again"); getch(); exit(0); } else { printf("File Opened Successfully!"); printf("nMatl. tsyttrho"); for(i=0;i<=max_matls;i++) { fscanf(fp,"%s %d %f",&matl[i],&syt[i],&Rho[i]); printf("n %s t%dt%f",matl[i],syt[i],Rho[i]); } for(i=0;i<=0;i++) { printf("nEnter Material No,%d : ", i+1); scanf("%s",&matl_in[i]); for(j=0;j<=max_matls-1;j++) { if((strcmp(matl_in[i],matl[j]))==0) { Syt=syt[j]; Sd=Syt*1000000/FS; D=(Sd*3600)/(Rho[j]*PI*PI*N*N); Rad=(2*PI*N)/60;
  • 78.
    m=(4*DE)/(D*D*Rad*Rad*Cs); k=m/(2*PI*D*Rho[j]*4); t=sqrt(k); b=4*t; break; } else { /*printf("nMaterial is notPresent In The List"); break;*/ continue; } } } } clrscr(); printf("You have Selected the Material as %s",matl[0]); printf("nFor the Entered Data : nDiameter Of The Flywheel is : %f m",D); printf("nMass of The Flywheel is : %f kg",m); printf("nThickness of The Flywheel is : %f m",t); printf("nWidth of The Flywheel is : %f m",b); getch(); }
  • 79.
    DESGIN PROCEDURE OFSPUR GEAR DATA INPUT FOR SPUR GEAR DESIGN :- 1) Power to be transmitted 2) Gear ratio 3) Space availability 4) Type of application DESGIN STEPS FOR SPUR GEAR :- 1) CALCULATE THE GEOMETRY OF THE GEAR PINION :- A) Design power (Pd) Pd = Pr * Kl Here, Pr = Rated Power Kl = Load Factor B) Select the proper tooth profile Tooth profile of the gear selected as (a) Commonly used profile is 20o full depths. (b) For low space availability 20o stub form is used. (c) If noise level is to be kept low & there is no space constraint, 14.5o full depth form is used. C) Select the number of teeth on pinion (Tp) Numbers of teeth on pinion is selected for good balance in strength & wear for hard steel D) Calculate the Number of teeth on gear (Tg) Gear Ratio = Tg / Tp E) Calculate the pitch circle diameter (Dp) Assume the module of teeth as ‘m’ mm & calculate the pitch circle diameter of pinion as follows Dp = Tp * m F) Calculate the pitch line velocity (Vp) Vp = π * Dp * Np Here, Np is the revolution of pinion G) Calculate the tangential tooth load (Ft) Ft = Pd / Vp H) Select the suitable material for the pinion & the corresponding basic stress (So). I) Select the velocity factor (Cv) Velocity factor Cv is as per Cv = 0.40 for pinion speed up to 1000 rpm. Cv = 0.30 for pinion speed in between 1000 – 2000 rpm. Cv = 0.25 for pinion speed above 2000 rpm. J) Takethe trial of the face width in terms of module as b = 10m K) Calculate the modified Lewis factor (γ) as per type of tooth profile L) Calculate the Bending strength of Gear tooth (FB) as modified Lewis equation as follows in terms of module. FB = S0 * Cv * b * γ * ms
  • 80.
    M) Calculate themodule m by equating tangential load FT & bending strength FB FT = FB N) Select the next standard module (m) available. O) Calculate the actual value of Dp with the new module from step N Dp = 2d + 25 for keyed pinion Dp = d + 25 for internal pinion  Use the above equation if the shaft diameter is given otherwise Dp = m * Tp & select Dp such that it should have higher value. P) Calculate the actual value of I. Pitch line velocity (Vp) II. Velocity fact (Cv) III. Tangential tooth load (Ft ) IV. Bending strength (FB) Q) Select the material for the gear & calculate the value of (S0 * γ ) for both pinion & gear. R) Take the smaller value of (S0 * γ ) for calculating the face width (b). S) Calculate face width (b) from the modified Lewis equation. T) Calculate the face width (minimum) from standard proportion as b = 8.5 * m select the bigger value of face width from step S & T 2) DESIGN CHECK FOR DYNAMIC LOAD & LIMITING WEAR STRENGTH. A) Calculate the dynamic load (Fd) a) Find out the permissible error in profile as per the pitch line velocity. b) Decide the class of manufacturing process as the permissible error found in step a. c) Find out the probable error in the teeth profile as per module. d) Calculate the deformation factor “C”. This depends upon the material of the gear & pinion along with the type of teeth profile. Deformation factor C = a / (1 / Ep + 1 / Eg ) Here, a is constant ratio as per teeth profile as, a = 0.107 for 14.50 full depth. a = 0.107 for 20.00 full depth. a = 0.107 for 20.00 stub. Ep = Young’s modulus of Pinion Eg = Young’s modulus of Gear. e) Calculate the dynamic load (Fd) as Fd = Ft + {[21* Vp * (C * e * b + Ft)] / [21 * Vp + ( C * e * b + Ft )½ ]} Here, Ft = tangential tooth load Vp = pitch line velocity C =deformation factor E = probable error in tooth cutting B = face width Fd = dynamic load B) Calculate the limiting wear strength Fw :- a) Calculate size factor Q = 2 * Tp * Tg / (Tp + Tg ) for external gear
  • 81.
    Q = 2* Tp * Tg / (Tp - Tg ) for internal gear b) Limiting wear strength is as Fw = Dp * b * K * Q c) Calculate the load stress factor by equating Fw & Fd d) Select the suitable hardness as load stress factor C) Calculate the endurance strength Fen a) Select the endurance strength as per the material of gear & pinion & hartness. b) Calculate the endurance strength Fen Fen = Seb * b * y * m D) Check that endurance strength should be more than the dynamic load. If not then increase the face width with in the allowable range i.e. 8.5 * m < b < 12.5 * m Other wise change the material & the material & the hear treatment. 3) DESIGN OF THE GEAR BLANK A) Construction of gear blank is of three types as i) Solid construction if Dp < or = 15 * m + 60 mm ii) Web construction if Dp < or = 24 * m + 80 mm In this case thickness of web is as W = 1.5 * m + 3 iii) Arms construction if Dp >24 * m + 80 mm B) Rim thickness (T) is given as T = 1.5 * m to 2.0 * m C) Hub length & hub diameter is calculated as per the type of service & material of construction. OUTPUT DATA FROM THE PROGRAM :- 1) Tooth profile 2) Number of teeth on gear 3) Pitch circle diameter of gear & pinion 4) Material of gear & pinion & hardness 5) Face width, module 6) Construction of gear blank. /* Programme to Design Spur Gear */ #include<stdio.h> #include<math.h> #include<stdlib.h> #include<string.h> #include<conio.h> #include<dos.h> #define PI 3.141592654 #define max_matls 13
  • 82.
    #define max_input 4 main() { floatYp,Yg,P,VR,fop,fog,Tp,Tg,b,V,Cs,fes,fe,Ep,Eg,Cv,Wt,Ws,Wd,Ww; float fp,fg,phi,Ks,C,Wi,K,e,Y,Q,m,Dp,Dg,temp; int Np; clrscr(); printf("nEnter The Speed of the pinion (RPM) : "); scanf("%d",&Np); printf("nEnter The Power to be Transmitted : "); scanf("%f",&P); printf("nEnter The Service factor for the Gear (From the Databook) : "); scanf("%f",&Cs); /*printf("nEnter The Speed of the Gear : "); scanf("%f",&V);*/ printf("nEnter The number of Teeth On Gear : "); scanf("%f",&Tg); printf("nEnter The number of Teeth On Pinion : "); scanf("%f",&Tp); Yp=0.154-(0.912/Tp); Yg=0.154-(0.912/Tg); printf("nAllowable Static Streses for Gear : "); scanf("%f",&fog); printf("nAllowable Static Streses for Pinion : "); scanf("%f",&fop); clrscr(); fp=fog*Yp; fg=fog*Yg; V=(PI*Tp*Np)/60; Wt=(P*Cs)/V; Cv=4.5/(4.5+V); if(fp<fg) { printf("nDesign will be based on the Pinion"); temp=(Wt/(fop*Cv*14*PI*Yp)); printf("Yp=%f",Yp); printf("V=%f",V); printf("Temp=%f",temp); m=pow(temp,0.333334); printf("The Module Is = %f",m); Y=Yp; b=14*m; Dp=m*Tp; Dg=m*Tg; printf("nThe module of gear & Pinion: %f",m); printf("nThe Diameter of Gear: %f",Dg); printf("nThe Diameter of Pinion: %f",Dp); } /*else { printf("Design will be based on the Gear"); m=sqrt(Wt/(fog*Cv*14*PI*Yg)); Y=Yg; b=14*m; Dp=m*Tp; Dg=m*Tg; printf("nThe module of gear & pinion: %f",m); printf("nThe Diameter of Gear: %f",Dg); printf("nThe Diameter of Pinion: %f",Dp); } printf("nthe Face Width Of The Gear & Pinion is : %f",b); printf("nCheking these Dimensoin for Wear and Endurence Strength"); */
  • 83.
    /* Check forwear & endurance strength*/ /* printf("Enter the Modulus of Elasticity Of the Gear"); scanf("%f",&Eg); printf("Enter the Modulus of Elasticity Of the Pinion"); scanf("%f",&Ep); printf("Enter the Pressure angle for the Gear/Pinion"); scanf("%f",&phi); printf("Enter the Surface Endurence Limit For the Gear/Pinion "); scanf("%f",&fes); printf("Enter the Flexural Endurence Limit For the Gear/Pinion "); scanf("%f",&fe); printf("Enter the Form factor For Given Gear/Pinion (from the data book) "); scanf("%f",&K); printf("Enter the Tooth Error Action For Given Gear/Pinion (in mm) (from the data book) "); scanf("%f",&e); VR=Tg/Tp; Q=(2*VR)/(VR+1); */ /*Q is ratio factor*/ Ks=((fes*fes*sin(phi))/1.4)*((Eg+Ep)/(Ep*Eg)); C=(K*e)/((1/Ep)+(1/Eg)); Wd=Wt+((21*V*(b*C+Wt)))/((21*V)+(sqrt(b*C+Wt))); Ws=fe*b*PI*m*Y; Ww=Dp*b*Q*Ks; if(Ws>Wd&&Ww>Wd) printf("The Design is safe"); else printf("Gear is to be Redesigned"); getch(); }
  • 84.
    DESIGN STEPS OFRIGID FLANGE COUPLING DATA INPUT FOR RIGID FLANGE COUPLING DESIGN :- 1) Shaft Diameter to be connected 2) Material of shaft 3) Fitment of bolts DESIGN STEPS FOR RIGID FLANGE COUPLING :- 1) CALCULATION FOR VAROUS DIMENSIONS OF COUPLING A) Calculate dimensions of hub dims meter & hub length of the coupling 1) Hub diameter of coupling (dh) Dh= ( 1.5*D)+25( here D is the di. Of shaft) 3) Hub length of coupling (Lh) Lh = (1.25*D)+20 B) Calculate the number of bolts requires to connect the coupling flanges (N) N=(0.02*D)+3 C) Calculate the bolt diameter (Db) Db= 0.5*D/ (N) 1/2 # Select the nearest higher size available for the bolt diameter. D) Calculate flange thickness (Tr ) Tf = Db E) Calculate the width of flange protector (B) B= 2.5 * Db F) Calculate pitch circle diameter (Dp) Dp = (2* D) = 50 G) Calculate the outer diameter of coupling flange (Do) Do = ( 2.5 * D) + 75 2) STRENGTH CHECK A) Calculate the torque capacity of the shaft a) Find out ultimate strength ( Sut) & yield strength (Syt) of the shaft material b) calculate the allowable shear stress in the shaft stress τall = 0.18*Sut τall = 0.30*Syt Take the lower value of allowable shear stress c) Modify the value of allowable shear for the consideration of keyway as τall = 0.75* ( Lower value of τall from step b ) d) Torque the bolts for shear failure T= 16*D3* (Take the value of τall from the step c) B) Check the bolts for shear failure a) Calculate the shear stress in the bolt as τbolt =T*B/ (π*Dp*N) ( T is the torque capacity of the bolt ) b) Check criteria for crushing failure τbolt< πall (τbolt is the allowable shear stress from step 2.A.c.)
  • 85.
    C) Check thebolts for crushing failure a) Calculate the crushing stress in the bolt бer=4*T/( Db * Tf *N*Dp ) ( T is the torque capacity of the bolt) b) calculate the allowable crushing stress in the bolt (бer) all = 2* τall c) check criteria for safe design бer < (бer) all D) Check the flange for shear failure a) Calculate the shear stress in flange of the coupling τ = 2 * T/ (π * Tf * Dh * Db ) b) Select the service factor depending upon type of driven & driving machine c) Calculate the allowable shear stress in the flange of the coupling τ = Sut / service factor d) Check criteria for safe design τ = or < τall OUTPUT DATA FROM THE PROGRAM :- 1) Hub diameter & it’s length 2) Bolt diameter & number of bolts, pitch circle diameter 3) Flange thickness, width of flange protector 4) Outer diameter of coupling flange 5) Material of coupling & bolts /* Program to Design Rigid Flange Coupling */ #include<math.h> #include<graphics.h> #include<stdlib.h>
  • 86.
    #include<stdio.h> #include<conio.h> #define PI 3.141592654 #definemax_matls 5 #define max_input 4 void main() { float T,fs,fcb,fsf,fsf1,fsf2,d,D,L,l,w,t,fsk,fck,fsk1,fck1,tf; float D1,d1,D2,i1,fsb,tp; int n,j,i; char matl[max_matls][25],matl_in[max_matls][25],Mtl; float SS[max_matls]={0},CS[max_matls]={0}; FILE *fp; clrscr(); fflush(stdin); clrscr(); printf("nEnter value of torque (Newton-mm) "); scanf("%f",&T); /*printf("nEnter value of shear stress for shaft (Newton-mm2) "); scanf("%f",&fs); printf("nEnter value of shear stress for flange material (Newton-mm2) "); scanf("%f",&fsf);*/ if((fp=fopen("CPdata.dat","r"))==NULL) { printf("Unable to Openn"); printf("Sorry!!! Please Try Again"); getch(); exit(0); } else { printf("nFile Opened Successfully!"); printf("nMaterialtShear StresstCrushing Stress"); for(i=0;i<=max_matls-1;i++) { fscanf(fp,"%s%f%f",&matl[i],&SS[i],&CS[i]); printf("n%stt%ft%f",matl[i],SS[i],CS[i]); } for(i=0;i<=3;i++) { if(i==0) printf("nEnter Material for Shaft : "); else { if(i==1) printf("nEnter Material for Flange Coupling
  • 87.
  • 88.
    Experiment No.:10 Name ofExperiment: Generation of any CAD model using CAD software. CAD MODELING USING CATIA v5