Block 3
Completing the Square
What is to be learned?
• How to complete the square
• How to use this to find maximum and
minimum values
Try these
(x + 4)2
x2
+ 8x + 16
(x + 6)2
x2
+ 12x + 36
(x – 3)2
x2
– 6x + 9
Squaring
(x + 5)2
= x2
+ 10x + 25
Reversing x2
+ 14x + 49
= (x + 7)2
x2
– 8x + 16
2
X2 Square
÷ 2 Square Root
x2
+ 6x
x2
+ 6x + 9
= (x + 3)2
Balance by subtracting the square of the
number in brackets!

= – 9
– 9
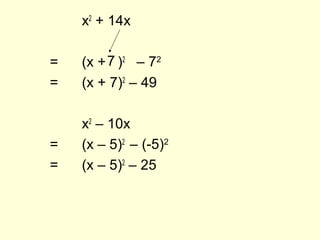
x2
+ 14x
= (x + )2
= (x + 7)2
– 49
x2
– 10x
= (x – 5)2
= (x – 5)2
– 25
7 – 72
– (-5)2
x2
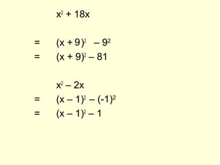
+ 18x
= (x + )2
= (x + 9)2
– 81
x2
– 2x
= (x – 1)2
= (x – 1)2
– 1
9 – 92
– (-1)2
x2
+ 8x
= (x + 4)2
– 16
= (x + 4)2
+ 1
x2
+ 6x
= (x + 3)2
– 9
= (x + 3)2
– 6
+ 17 Troublemaker
+17
+ 3+ 3
+ 3
x2
– 4x
= (x – 2)2
– 4
= (x – 2)2
+ 5
x2
– 10x
= (x – 5)2
– 25
= (x – 5)2
– 22
+ 9
+9
+ 3+ 3
+ 3
x2
+ 8x
= (x + 4)2
– 16
= (x + 4)2
– 19
x2
– 12x
= (x – 6)2
– 36
= (x – 6)2
– 43
– 3
– 3
– 7
– 7
Completing The Square
Ex1 x2
+ 8x + 3
= (x + 4)2
– 16
= (x + 4)2
– 13
Ignore at first
½ of 8 42
+ 3
Completing The Square
Ex.2 x2
– 4x – 11
= (x – 2)2
– 4
= (x – 2)2
– 15
– 11
Key Question
x2
– 8x – 3
= (x – 4)2
– 16
= (x – 4)2
– 19
– 3
Nastier
2x2
+ 4x + 11
Nastier
2x2
+ 4x + 11
= 2(x2
+ 2x)+ 11
Nastier
2x2
+ 4x + 11
= 2(x2
+ 2x)
= 2 (x + 1)2
– 1
= 2(x + 1)2
= 2(x + 1)2
+ 9
+ 11
( )+ 11
– 2 + 11
Nastier
2x2
+ 12x – 13
= 2(x2
+ 6x)
= 2 (x + 3)2
– 9
= 2(x + 3)2
= 2(x + 3)2
– 31
– 13
( ) – 13
– 18 – 13
What is to be learned?
• How to complete the square
• How to use this to find maximum and
minimum values
Minimum Values
y = (x + 3)2
Lowest Value of y?
Try x = 0
y = (0 + 3)2
= 32
= 9
Minimum Values
y = (x + 3)2
Lowest Value of y?
Try x = -3
y = (-3 + 3)2
= 02
= 0
Minimum Value of y = 0,
when x = -3
corresponding
value of x
(x – 4)2
+ 7
Min Value?
Try x = 4
(4 – 4)2
+ 7
= 02
+ 7
= 7
Min Value 7,
Always get bracket bit equal to zero
when x = 4
Maximum Values
12 – (x – 5)2
Try x = 5
12 – 02
= 12
Maximum Value = 12, when x = 5
Often written in form –(x – 5)2
+ 12
Lowest value is zero
Putting it all together
Minimum value of
x2
+ 12x + 47
= (x + 6)2
– 36 + 47
= (x + 6)2
+ 11
Minimum value occurs when x =
Minimum Value is
Always get bracket
bit equal to zero

-6
11
Max and Min Values
Completing the square puts expressions in
form where it is easy to find max or min
value
Tactic is always to make bracket bit = 0
Ex y = x2
+ 10x + 7
= (x + 5)2
– 25 + 7
= (x + 5)2
– 18
so min value occurs when x = -5
y = -18
Key Question
Find the minimum value of expression and
corresponding value of x
y = x2
+ 10x + 7
= (x + 5)2
– 25 + 7
= (x + 5)2
– 18
so min value = -18
when x = -5

Completing the square

  • 1.
  • 2.
    What is tobe learned? • How to complete the square • How to use this to find maximum and minimum values
  • 3.
    Try these (x +4)2 x2 + 8x + 16 (x + 6)2 x2 + 12x + 36 (x – 3)2 x2 – 6x + 9
  • 4.
    Squaring (x + 5)2 =x2 + 10x + 25 Reversing x2 + 14x + 49 = (x + 7)2 x2 – 8x + 16 2 X2 Square ÷ 2 Square Root
  • 5.
    x2 + 6x x2 + 6x+ 9 = (x + 3)2 Balance by subtracting the square of the number in brackets!  = – 9 – 9
  • 6.
    x2 + 14x = (x+ )2 = (x + 7)2 – 49 x2 – 10x = (x – 5)2 = (x – 5)2 – 25 7 – 72 – (-5)2
  • 7.
    x2 + 18x = (x+ )2 = (x + 9)2 – 81 x2 – 2x = (x – 1)2 = (x – 1)2 – 1 9 – 92 – (-1)2
  • 8.
    x2 + 8x = (x+ 4)2 – 16 = (x + 4)2 + 1 x2 + 6x = (x + 3)2 – 9 = (x + 3)2 – 6 + 17 Troublemaker +17 + 3+ 3 + 3
  • 9.
    x2 – 4x = (x– 2)2 – 4 = (x – 2)2 + 5 x2 – 10x = (x – 5)2 – 25 = (x – 5)2 – 22 + 9 +9 + 3+ 3 + 3
  • 10.
    x2 + 8x = (x+ 4)2 – 16 = (x + 4)2 – 19 x2 – 12x = (x – 6)2 – 36 = (x – 6)2 – 43 – 3 – 3 – 7 – 7
  • 11.
    Completing The Square Ex1x2 + 8x + 3 = (x + 4)2 – 16 = (x + 4)2 – 13 Ignore at first ½ of 8 42 + 3
  • 12.
    Completing The Square Ex.2x2 – 4x – 11 = (x – 2)2 – 4 = (x – 2)2 – 15 – 11
  • 13.
    Key Question x2 – 8x– 3 = (x – 4)2 – 16 = (x – 4)2 – 19 – 3
  • 14.
  • 15.
    Nastier 2x2 + 4x +11 = 2(x2 + 2x)+ 11
  • 16.
    Nastier 2x2 + 4x +11 = 2(x2 + 2x) = 2 (x + 1)2 – 1 = 2(x + 1)2 = 2(x + 1)2 + 9 + 11 ( )+ 11 – 2 + 11
  • 17.
    Nastier 2x2 + 12x –13 = 2(x2 + 6x) = 2 (x + 3)2 – 9 = 2(x + 3)2 = 2(x + 3)2 – 31 – 13 ( ) – 13 – 18 – 13
  • 18.
    What is tobe learned? • How to complete the square • How to use this to find maximum and minimum values
  • 19.
    Minimum Values y =(x + 3)2 Lowest Value of y? Try x = 0 y = (0 + 3)2 = 32 = 9
  • 20.
    Minimum Values y =(x + 3)2 Lowest Value of y? Try x = -3 y = (-3 + 3)2 = 02 = 0 Minimum Value of y = 0, when x = -3 corresponding value of x
  • 21.
    (x – 4)2 +7 Min Value? Try x = 4 (4 – 4)2 + 7 = 02 + 7 = 7 Min Value 7, Always get bracket bit equal to zero when x = 4
  • 22.
    Maximum Values 12 –(x – 5)2 Try x = 5 12 – 02 = 12 Maximum Value = 12, when x = 5 Often written in form –(x – 5)2 + 12 Lowest value is zero
  • 23.
    Putting it alltogether Minimum value of x2 + 12x + 47 = (x + 6)2 – 36 + 47 = (x + 6)2 + 11 Minimum value occurs when x = Minimum Value is Always get bracket bit equal to zero  -6 11
  • 24.
    Max and MinValues Completing the square puts expressions in form where it is easy to find max or min value Tactic is always to make bracket bit = 0 Ex y = x2 + 10x + 7 = (x + 5)2 – 25 + 7 = (x + 5)2 – 18 so min value occurs when x = -5 y = -18
  • 25.
    Key Question Find theminimum value of expression and corresponding value of x y = x2 + 10x + 7 = (x + 5)2 – 25 + 7 = (x + 5)2 – 18 so min value = -18 when x = -5