Chapter-4
Types of Communication
Figure: Types of Communication
Classification according to Communication Method:
There are three communication methods. They are described below:
1. Written communication:
 Communication by means of written symbols (either printed or handwritten).
 Involves any type of interaction that makes use of the written word.
 Essential journal for research on the study of writing in all its symbolic forms.
 It mainly consists of diagrams, pictures, graphs, etc. Reports, policies, rules, orders, instructions,
agreements, etc.
Examples: Guideline, Prospectus, Notice, Memorandum, Organizational chart/structure, formal letter,
electronic mail, Internet Web sites, proposals, telegrams, faxes, postcards, contracts, advertisements,
brochures, and news releases.
Features or Advantages:
 It also reduces the risk of distortion in meaning Presentation of complicated matter
 Receiver sees the letter, so it’s very understandable.
 It’s presented complicated subject matter to non-expert audiences.
 Permanent reference is created.
 Any time don’t waste.
 In this communication, communicatee removes the risk.
2. Oral communication:
 Any type of inter-action that makes use of spoken words.
 It is a vital, integral part of the modern business world.
 Herta A. Murphy and Herbert W. Hildebrandt wrote in their book Effective Business
Communications, "The ability to communicate effectively through speaking as well as in
writing is highly valued, and demanded, in business."
Examples: Conversation, interview, group discussion, speech, lectures, workshop, seminar,
presentation, telephone conversation, face-to-face meetings, radio, television, teleconferences, or
videoconferences.
Advantages:
 It’s very easy to use.
 Communicatee response very early.
 Both are motivated.
 It’s very easy to establish any secrete.
 Two groups maintain the mutual understanding.
3. Non-verbal communication:
 Nonverbal communication is talking without speaking a word.
 Basically it is sending and receiving messages in a variety of ways without the use of
verbal codes (words).
 The saying, “Actions speak louder than words.”
 It is both intentional and unintentional.
 Nonverbal communication includes our facial expressions, body movements, gestures,
posture, touch, glance, eye contact (gaze), volume, vocal nuance, proximity, pause
(silence), intonation, dress, smell, word choice and syntax, sounds (paralanguage) and
tone of voice.
i. Visual:
 Visual communication contains image aspects.
 The interpretation of images is subjective
 To understand the depth of meaning or multiple meanings, communicated in an image requires
analysis.
Such as, posture, GPS: Global Positioning System.
ii. Audio visual:
 Giving concept of message by documentary.
Such as, documentary, short film.
iii. Gesture method:
 Deliberate movements and signals are an important way to communicate meaning without
words.
 Common gestures include waving, pointing, and using fingers to indicate numeric amounts.
 Other gestures are arbitrary and related to culture.
Example: Winning symbol, touch, glance, eye contact (gaze), volume, vocal nuance.
iv. Passive means:
 The human face is extremely expressive.
 Able to express countless emotions without saying a word.
 The facial expressions for happiness, sadness, anger, surprise, fear, and disgust are the same
across cultures.
Example: Facial expressions, tone of voice.
v. Graphic method:
 It is the process of creating, producing, and distributing material incorporating words and
images to convey data, concepts, and emotions.
Such as: Drawings, photographs, slides, diagram, transparencies and sketches, sending information
by graph, model.
Classification according to Flow of Inflation:
According to flow of information communication are divided in four types:
I. Upward:
1) Upward communication is the communication that flows up the chain of command: reports,
concerns, questions, statuses, and general communication.
2) Process of information flowing from the lower levels of a hierarchy to the upper levels.
3) Flow of information from subordinates to superiors, or from employees to management.
Figure: Upward communication
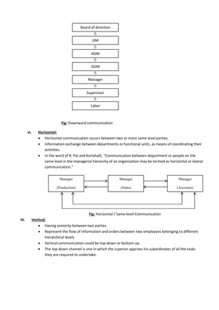
II. Downward:
1) Downward communication is the communication that flows down the chain of command: orders,
directives, coaching, counseling, disciplinary actions, and general information.
2) Communication flow from higher level to one or more lower level in the organization.
3) Downward communication generally provides enabling information - which allows a subordinate to
do something.
Board of direction
Labor
GM
AGM
DGM
Manager
Supervisor
Fig: Downward communication
vi. Horizontal:
 Horizontal communication occurs between two or more same level parties.
 Information exchange between departments or functional units, as means of coordinating their
activities.
 In the word of R. Pal and Korlahalli, “Communication between department or people on the
same level in the managerial hierarchy of an organization may be termed as horizontal or lateral
communication.”
Fig: Horizontal / Same level Communication
III. Vertical:
 Having seniority between two parties
 Represent the flow of information and orders between two employees belonging to different
hierarchical levels
 Vertical communication could be top-down or bottom-up.
 The top-down channel is one in which the superior apprises his subordinates of all the tasks
they are required to undertake.
Manager
(Production)
Manager
(Sales)
Manager
(Accounts)
Board of direction
Labor
GM
AGM
DGM
Manager
Supervisor
Example:
Fig: Vertical/ Different level Communication.
Classification according to transmission of information:
1) Internal:
 Internal communication (IC) is the function responsible for effective communication among
participants within an organization.
 Communication among the employers in an organization.
 Internal Communication, in a business context, is the dialogic process between employees and
employer, and employees and employees.
Examples: Same level/ horizontal, vertical, upward, downward communication.
2) External:
 External communication covers how a provider interacts with those outside their own
organization.
 Among the employers in different organization.
 The exchange of information and messages between an organization and other organizations,
groups, or individuals outside its formal structure.
 The goals of external communication are to facilitate cooperation with groups such as suppliers,
investors, and stockholders.
Examples: sending letter or massage to different organizational publics.
Classification according to organizational relationship:
a) Formal:
 Formal Communication is the easiest way to communicate in the workplace.
 Because it's all predefined by the organizational structure.
 A formal setting where communication efforts are ‘dressed’ up in order to impress.
 The organizational chart lays out the reporting structure, lines of authority and channels of
communication.
b) Informal:
1) Informal communication comes from communication activities outside of those formally learned at
home through discipline
2) Informal communication is casual and spontaneous,
3) Informal interactions allow authentic relationships to be built and alternative methods to create
meaning in the organization.
Examples: meeting with dinner table, to see suddenly etc.
c) Internal:
 Internal communications (IC) is the function responsible for effective communication among
participants within an organization.
G.M
A.G.M
Manager
Assistant
Manager
 Communication among the employers in an organization.
 Internal Communication, in a business context, is the dialogic process between employees and
employer, and employees and employees.
Examples: Same level/ horizontal, vertical, upward, downward communication.
Classification according to Function:
i. Organizational communication:
 To communicate by maintaining organizational rules & regulations.
 On the basis of organizational vision & mission.
Example: Communicating by maintaining organizational rules-regulations & vision-mission.
ii. Routine communication:
 Routine communication is the monitoring of organizational daily work.
 Suggestion of the boss for daily task.
 It may written or oral like phone call.
Example: check out the files, doing the daily task.
iii. Promotional communication:
 To communicate for organizational development.
 Publicity by advertising or sponsor.
Example: Advertising, publicity, sponsors.
iv. Socialized communication:
 Communication occurs between two or more same level parties.
 Holding same level position.
Example: Horizontal/same level communication.
Media or Method of written communication:
1) Employee bulletin
2) Booklets for employee
3) Annual report
4) Wall newspaper
5) Pay-roll envelop
6) Memorandum
7) Job description
8) Complain box
The media or method of written communication are described below-
1. Employee bulletin:
 To inform any information to the employees as soon as possible.
 To publish hand to hand or to hang on notice board.
Example: Official notice, promotional notice.
2. Booklets for employee:
 To inform the employees the history of organization, workings types.
 Informing about whole organizational activities.
Example: Prospectus, booklets, outlines.
3. Annual report:
 Report on profits-losses, income-expenses, success of last year.
Example: To make the chart of annual income & expenses of different banks.
4. Wall newspaper:
 Organizational matter, information are published on the wall newspaper.
 Employees can express their talent, intellect & art.
Example: Magazine, pay roll envelope.
5. Pay-roll envelop:
 Any matter regarding salary.
 To show the order of salary deduction for over absent in pay roll envelops.
 Also show causes why not reduce salary.
Example: In AUST lecturers can get 33 days leaves in a year. If any lecturer had gotten more than 33
days he or she is given the pay roll envelop of showing with cause of salary deduction.
6. Memorandum:
 A memorandum is a short speech of writing generally used by the officers of an
organization for communicating among themselves.
 Inside of the organization to inform the employees by memorandum.
 Also inform the change of superior’s decision, explanation or suggestion.
7. Job description:
 Employee get the job responsibility list.
 Employees working description, working time & others responsibilities are given.
Example: When an employee joins in an organization job description is given.
8. Complain box:
 Employee put their complain letter in a specific complain box.
 Boss and managing board take decisions after screening that in a particular time.
Example: Different organizational specific complain box.

Chapter 4: Types of Communication

  • 1.
    Chapter-4 Types of Communication Figure:Types of Communication Classification according to Communication Method: There are three communication methods. They are described below: 1. Written communication:  Communication by means of written symbols (either printed or handwritten).  Involves any type of interaction that makes use of the written word.  Essential journal for research on the study of writing in all its symbolic forms.  It mainly consists of diagrams, pictures, graphs, etc. Reports, policies, rules, orders, instructions, agreements, etc. Examples: Guideline, Prospectus, Notice, Memorandum, Organizational chart/structure, formal letter, electronic mail, Internet Web sites, proposals, telegrams, faxes, postcards, contracts, advertisements, brochures, and news releases.
  • 2.
    Features or Advantages: It also reduces the risk of distortion in meaning Presentation of complicated matter  Receiver sees the letter, so it’s very understandable.  It’s presented complicated subject matter to non-expert audiences.  Permanent reference is created.  Any time don’t waste.  In this communication, communicatee removes the risk. 2. Oral communication:  Any type of inter-action that makes use of spoken words.  It is a vital, integral part of the modern business world.  Herta A. Murphy and Herbert W. Hildebrandt wrote in their book Effective Business Communications, "The ability to communicate effectively through speaking as well as in writing is highly valued, and demanded, in business." Examples: Conversation, interview, group discussion, speech, lectures, workshop, seminar, presentation, telephone conversation, face-to-face meetings, radio, television, teleconferences, or videoconferences. Advantages:  It’s very easy to use.  Communicatee response very early.  Both are motivated.  It’s very easy to establish any secrete.  Two groups maintain the mutual understanding. 3. Non-verbal communication:  Nonverbal communication is talking without speaking a word.  Basically it is sending and receiving messages in a variety of ways without the use of verbal codes (words).  The saying, “Actions speak louder than words.”  It is both intentional and unintentional.  Nonverbal communication includes our facial expressions, body movements, gestures, posture, touch, glance, eye contact (gaze), volume, vocal nuance, proximity, pause (silence), intonation, dress, smell, word choice and syntax, sounds (paralanguage) and tone of voice. i. Visual:  Visual communication contains image aspects.  The interpretation of images is subjective  To understand the depth of meaning or multiple meanings, communicated in an image requires analysis. Such as, posture, GPS: Global Positioning System. ii. Audio visual:  Giving concept of message by documentary. Such as, documentary, short film. iii. Gesture method:  Deliberate movements and signals are an important way to communicate meaning without words.  Common gestures include waving, pointing, and using fingers to indicate numeric amounts.
  • 3.
     Other gesturesare arbitrary and related to culture. Example: Winning symbol, touch, glance, eye contact (gaze), volume, vocal nuance. iv. Passive means:  The human face is extremely expressive.  Able to express countless emotions without saying a word.  The facial expressions for happiness, sadness, anger, surprise, fear, and disgust are the same across cultures. Example: Facial expressions, tone of voice. v. Graphic method:  It is the process of creating, producing, and distributing material incorporating words and images to convey data, concepts, and emotions. Such as: Drawings, photographs, slides, diagram, transparencies and sketches, sending information by graph, model. Classification according to Flow of Inflation: According to flow of information communication are divided in four types: I. Upward: 1) Upward communication is the communication that flows up the chain of command: reports, concerns, questions, statuses, and general communication. 2) Process of information flowing from the lower levels of a hierarchy to the upper levels. 3) Flow of information from subordinates to superiors, or from employees to management. Figure: Upward communication II. Downward: 1) Downward communication is the communication that flows down the chain of command: orders, directives, coaching, counseling, disciplinary actions, and general information. 2) Communication flow from higher level to one or more lower level in the organization. 3) Downward communication generally provides enabling information - which allows a subordinate to do something. Board of direction Labor GM AGM DGM Manager Supervisor
  • 4.
    Fig: Downward communication vi.Horizontal:  Horizontal communication occurs between two or more same level parties.  Information exchange between departments or functional units, as means of coordinating their activities.  In the word of R. Pal and Korlahalli, “Communication between department or people on the same level in the managerial hierarchy of an organization may be termed as horizontal or lateral communication.” Fig: Horizontal / Same level Communication III. Vertical:  Having seniority between two parties  Represent the flow of information and orders between two employees belonging to different hierarchical levels  Vertical communication could be top-down or bottom-up.  The top-down channel is one in which the superior apprises his subordinates of all the tasks they are required to undertake. Manager (Production) Manager (Sales) Manager (Accounts) Board of direction Labor GM AGM DGM Manager Supervisor
  • 5.
    Example: Fig: Vertical/ Differentlevel Communication. Classification according to transmission of information: 1) Internal:  Internal communication (IC) is the function responsible for effective communication among participants within an organization.  Communication among the employers in an organization.  Internal Communication, in a business context, is the dialogic process between employees and employer, and employees and employees. Examples: Same level/ horizontal, vertical, upward, downward communication. 2) External:  External communication covers how a provider interacts with those outside their own organization.  Among the employers in different organization.  The exchange of information and messages between an organization and other organizations, groups, or individuals outside its formal structure.  The goals of external communication are to facilitate cooperation with groups such as suppliers, investors, and stockholders. Examples: sending letter or massage to different organizational publics. Classification according to organizational relationship: a) Formal:  Formal Communication is the easiest way to communicate in the workplace.  Because it's all predefined by the organizational structure.  A formal setting where communication efforts are ‘dressed’ up in order to impress.  The organizational chart lays out the reporting structure, lines of authority and channels of communication. b) Informal: 1) Informal communication comes from communication activities outside of those formally learned at home through discipline 2) Informal communication is casual and spontaneous, 3) Informal interactions allow authentic relationships to be built and alternative methods to create meaning in the organization. Examples: meeting with dinner table, to see suddenly etc. c) Internal:  Internal communications (IC) is the function responsible for effective communication among participants within an organization. G.M A.G.M Manager Assistant Manager
  • 6.
     Communication amongthe employers in an organization.  Internal Communication, in a business context, is the dialogic process between employees and employer, and employees and employees. Examples: Same level/ horizontal, vertical, upward, downward communication. Classification according to Function: i. Organizational communication:  To communicate by maintaining organizational rules & regulations.  On the basis of organizational vision & mission. Example: Communicating by maintaining organizational rules-regulations & vision-mission. ii. Routine communication:  Routine communication is the monitoring of organizational daily work.  Suggestion of the boss for daily task.  It may written or oral like phone call. Example: check out the files, doing the daily task. iii. Promotional communication:  To communicate for organizational development.  Publicity by advertising or sponsor. Example: Advertising, publicity, sponsors. iv. Socialized communication:  Communication occurs between two or more same level parties.  Holding same level position. Example: Horizontal/same level communication. Media or Method of written communication: 1) Employee bulletin 2) Booklets for employee 3) Annual report 4) Wall newspaper 5) Pay-roll envelop 6) Memorandum 7) Job description 8) Complain box The media or method of written communication are described below- 1. Employee bulletin:  To inform any information to the employees as soon as possible.  To publish hand to hand or to hang on notice board. Example: Official notice, promotional notice. 2. Booklets for employee:  To inform the employees the history of organization, workings types.  Informing about whole organizational activities. Example: Prospectus, booklets, outlines. 3. Annual report:  Report on profits-losses, income-expenses, success of last year. Example: To make the chart of annual income & expenses of different banks.
  • 7.
    4. Wall newspaper: Organizational matter, information are published on the wall newspaper.  Employees can express their talent, intellect & art. Example: Magazine, pay roll envelope. 5. Pay-roll envelop:  Any matter regarding salary.  To show the order of salary deduction for over absent in pay roll envelops.  Also show causes why not reduce salary. Example: In AUST lecturers can get 33 days leaves in a year. If any lecturer had gotten more than 33 days he or she is given the pay roll envelop of showing with cause of salary deduction. 6. Memorandum:  A memorandum is a short speech of writing generally used by the officers of an organization for communicating among themselves.  Inside of the organization to inform the employees by memorandum.  Also inform the change of superior’s decision, explanation or suggestion. 7. Job description:  Employee get the job responsibility list.  Employees working description, working time & others responsibilities are given. Example: When an employee joins in an organization job description is given. 8. Complain box:  Employee put their complain letter in a specific complain box.  Boss and managing board take decisions after screening that in a particular time. Example: Different organizational specific complain box.