Types of communication
Question: Discuss various types of communication process?
Fig: Types of Communication
Classification according to commutation method:
1. Written Communication:
 Avoid the distortion of meaning.
Chapter -4
Communication
Communication
Method
Flow of
Information
Organizational
Relationship
Transmission
of Information
Function
Written
Comm.
Oral
Comm.
Non -
verbal
Comm.
Visual
Audio
Visual
Passive
Means
Graph
Metho
d
Vertical
Gesture
Method
Up
ward
Horizontal
Down
ward
Formal
Informal
Internal External
Organizational
comm.
Routine Comm. Promotional
comm.
Specialized
comm.
 Presentation of complicated method.
 Easy to understand.
 Permanent reference.
 Reducing wastage of time.
 Removing risk.
Example: Guide line, Prospectus, Notice, Memorandum, Organizational chart, Formal letter.
1. Oral Communication:
 Easy Method.
 Easy response.
 To create motivation.
 Maintaining secrecy.
 Settlement of dispute.
Example: Conversation, Interview, Group discussion, Speech, Work shop, Seminar, Telephone
conversation, Radio, Television.
2. Non-verbal communication:
 Only use symbolic method.
There are various types of communication. They are discussing below:
 Visual : Communication will be map or graph in this method.
Example: Global Positioning system (GPS).
 Audio Visual: Communication will be reality show& back ground sound.
Example: Radio, Television.
 Gesture method: Communication will be physical expression.
Example: Traffic signal (Traffic use hand to control vehicle).
 Passive means: Communication will be facial expression.
Example: Soft facial, angry facial (various facial expression).
 Graph Method: Communication will be written graphic, signal & draw graph.
Example: Various charts, bar diagram.
 Communication Classification According To the Flow of Information:
1. Downward:
 Information flow from upward to downward.
 Superior gives the direction to supervisor.
Example:
Fig: Downward Communication
2. Upward:
 Information flow from downward to upward.
 Supervisor provides information about work to their superior.
Example:
Fig: Upward Communication
3.Horizontal:
 Communicate the same level employee.
 They transfer information their level.
 Solve problem by asking their level.
Example:
Fig: Horizontal/same level communication
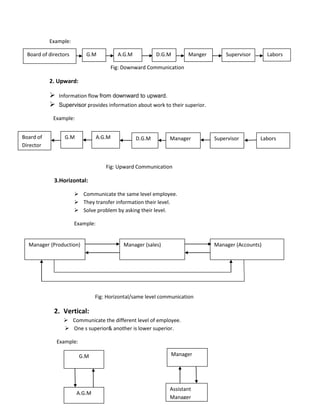
2. Vertical:
 Communicate the different level of employee.
 One s superior& another is lower superior.
Example:
Manager (Production) Manager (sales) Manager (Accounts)
G.M
A.G.M
D.G.MBoard of directors G.M A.G.M Manger Supervisor Labors
G.M A.G.M Manager LaborsBoard of
Director
SupervisorD.G.M
Manager
Assistant
Manager
Fig: Vertical/ Different level Communication.
 According To Transmission of Information:
1. Internal:
 Communicate with internal employee.
 Communicate with internal employee.
Example: Upward, Downward, Horizontal, and Vertical.
2. External:
 Communicate with external employee of organization.
 Communicate with outside of organization.
Example: Transforming formal letter, Agreement.
 Communication with organizational Relationship:
1. Formal Communication:
 Communication in the dept. to dept in the official formation.
 It is the posses of one side Communication.
Example: Report discriminate, Meeting time, Memorandum.
2. Informal Communication:
 Communication in which is not official formation onside of the organization.
 It is the posses of outside Communication.
Example: Meeting with dinner table.
 According to function:
1. Organizational Communication:
 Set mission, vision by top level.
 Set budget of organization.
 Set the process how develop organizational production.
Example :(A.G.M)- Annual general meeting.
2. Routine Communication:
 It is a chain communication
 Where daily basis work are reported
 Controlling daily basis
 Monitoring everyday’s work
 It is the process to provide guide line to employee over telephone.
 Example: Give direction/ information to employee, staying outside the origination.
3.Specialized/Horizontal communication:
 Communicate other department specially
 Work has divided by department to department
 Monitor this department’s specially
 Provide written information.
Example: Written report discriminates.
4.Promotional communication:
 Social development by organization.
 Telecast advertising.
 Distribute leaflet of organization.
Example: Publicity.

Chapter 4:Types of Communication

  • 1.
    Types of communication Question:Discuss various types of communication process? Fig: Types of Communication Classification according to commutation method: 1. Written Communication:  Avoid the distortion of meaning. Chapter -4 Communication Communication Method Flow of Information Organizational Relationship Transmission of Information Function Written Comm. Oral Comm. Non - verbal Comm. Visual Audio Visual Passive Means Graph Metho d Vertical Gesture Method Up ward Horizontal Down ward Formal Informal Internal External Organizational comm. Routine Comm. Promotional comm. Specialized comm.
  • 2.
     Presentation ofcomplicated method.  Easy to understand.  Permanent reference.  Reducing wastage of time.  Removing risk. Example: Guide line, Prospectus, Notice, Memorandum, Organizational chart, Formal letter. 1. Oral Communication:  Easy Method.  Easy response.  To create motivation.  Maintaining secrecy.  Settlement of dispute. Example: Conversation, Interview, Group discussion, Speech, Work shop, Seminar, Telephone conversation, Radio, Television. 2. Non-verbal communication:  Only use symbolic method. There are various types of communication. They are discussing below:  Visual : Communication will be map or graph in this method. Example: Global Positioning system (GPS).  Audio Visual: Communication will be reality show& back ground sound. Example: Radio, Television.  Gesture method: Communication will be physical expression. Example: Traffic signal (Traffic use hand to control vehicle).  Passive means: Communication will be facial expression. Example: Soft facial, angry facial (various facial expression).  Graph Method: Communication will be written graphic, signal & draw graph. Example: Various charts, bar diagram.  Communication Classification According To the Flow of Information: 1. Downward:  Information flow from upward to downward.  Superior gives the direction to supervisor.
  • 3.
    Example: Fig: Downward Communication 2.Upward:  Information flow from downward to upward.  Supervisor provides information about work to their superior. Example: Fig: Upward Communication 3.Horizontal:  Communicate the same level employee.  They transfer information their level.  Solve problem by asking their level. Example: Fig: Horizontal/same level communication 2. Vertical:  Communicate the different level of employee.  One s superior& another is lower superior. Example: Manager (Production) Manager (sales) Manager (Accounts) G.M A.G.M D.G.MBoard of directors G.M A.G.M Manger Supervisor Labors G.M A.G.M Manager LaborsBoard of Director SupervisorD.G.M Manager Assistant Manager
  • 4.
    Fig: Vertical/ Differentlevel Communication.  According To Transmission of Information: 1. Internal:  Communicate with internal employee.  Communicate with internal employee. Example: Upward, Downward, Horizontal, and Vertical. 2. External:  Communicate with external employee of organization.  Communicate with outside of organization. Example: Transforming formal letter, Agreement.  Communication with organizational Relationship: 1. Formal Communication:  Communication in the dept. to dept in the official formation.  It is the posses of one side Communication. Example: Report discriminate, Meeting time, Memorandum. 2. Informal Communication:  Communication in which is not official formation onside of the organization.  It is the posses of outside Communication. Example: Meeting with dinner table.  According to function: 1. Organizational Communication:  Set mission, vision by top level.  Set budget of organization.  Set the process how develop organizational production. Example :(A.G.M)- Annual general meeting. 2. Routine Communication:  It is a chain communication  Where daily basis work are reported  Controlling daily basis  Monitoring everyday’s work
  • 5.
     It isthe process to provide guide line to employee over telephone.  Example: Give direction/ information to employee, staying outside the origination. 3.Specialized/Horizontal communication:  Communicate other department specially  Work has divided by department to department  Monitor this department’s specially  Provide written information. Example: Written report discriminates. 4.Promotional communication:  Social development by organization.  Telecast advertising.  Distribute leaflet of organization. Example: Publicity.