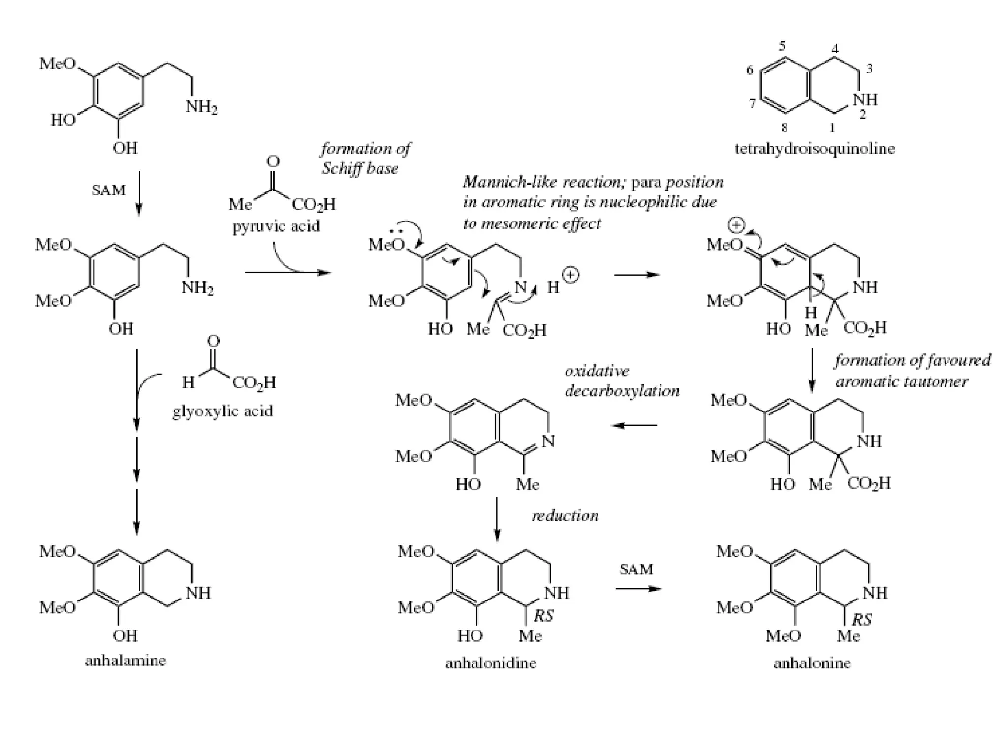
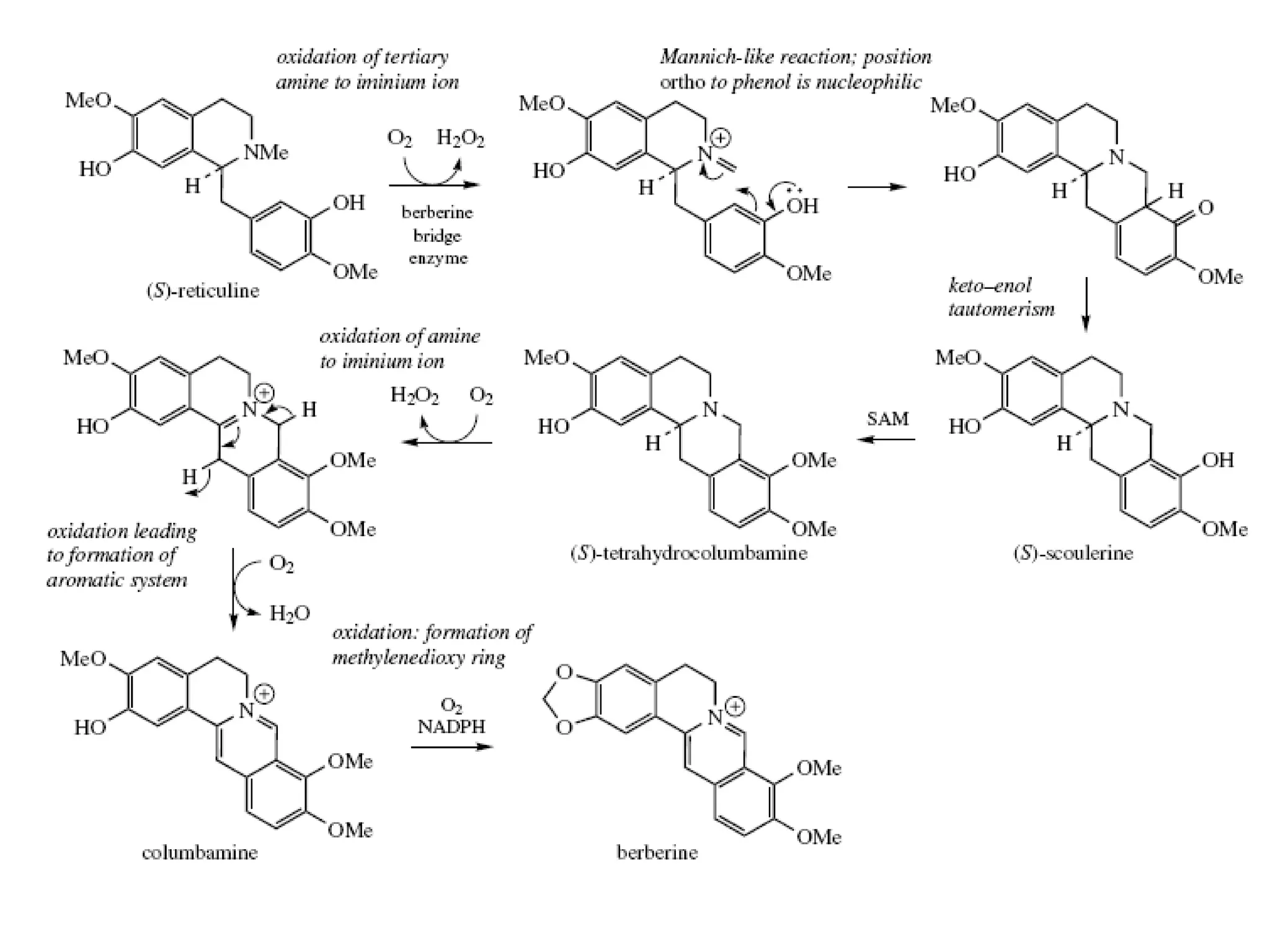
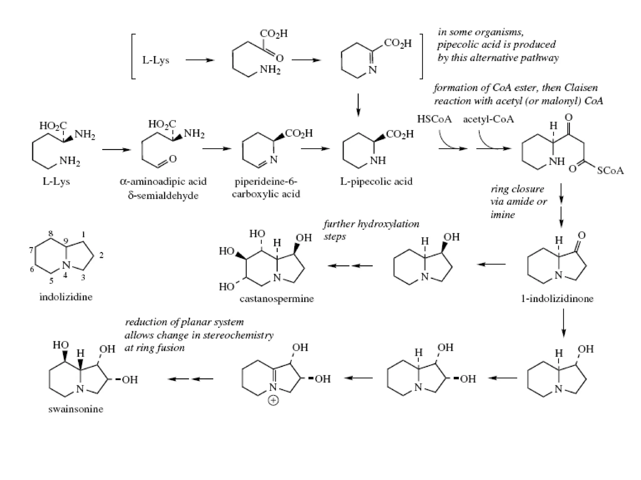
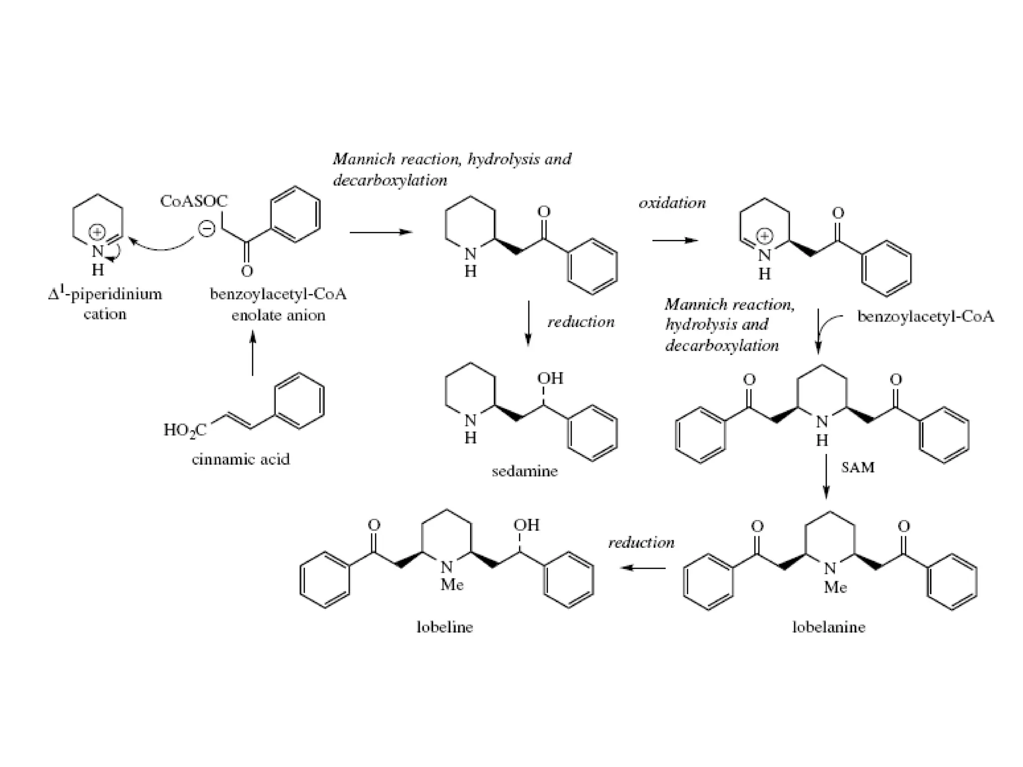
Biosynthesis of some
alkaloids
Piperine
indole
Isolation and Identification
Indole Alkaloids
1- Ergot Alkaloids
• Occurrence:
Ergot is the dried sclerotium of a fungus, Claviceps purpurea (Fam.
Hypocreacea) that arise on the ovaries of the rye plant (Secale cereale,
Fam. Gramineae).
• Consumption of flour contaminated with Ergot led to many serious
intoxications known as (Ergotism- Ignis Fire) in Europe.
• Ergot can be detected in flour by using UV light where contaminated flour
will show violet spots.
• Classification of Ergot Alkaloids:
A- Clavine Type Alkaloids:
Simple water soluble bases with little medicinal value. All end
with “clavine: e.g. Agroclavine.
B- Lysergic acid Amides:
They are all derivatives of (l)-Lysergic acid and subclassified
into:
1- Simple lysergic acid amides:
Composed of Lysergic acid and simple amines.
2- Polypeptide Alkaloids:
Composed of Lysergic acid and at least 3 amino acids.
• General Characters:
 Ergot alkaloids are N-monosubstituted amide derivatives of both
lysergic acid and its isomer isolysergic acid that differ only in
configuration at C-8.
 On treatment with ammonia lysergic and isolysergic acids give the
corresponding amides ergine and isoergine respectively.
 Members related to lysergic acid (e.g. ergotamine and ergometrine)
are levorotatory, more active and designated by suffix “ine”.
 Members related to isolysergic acid (e.g. ergotaminine and
ergometrinine), are dextrorotatory, less active and designated by
suffix “inine”.
N
H
N CH3
COOH
10
8
N
H
N CH3
COOH
N
H
N CH3
CONH2
Lysergic acid Isolysergic acid Ergine
1- Simple Lysergic acid amides
• Characters:
1- Composed of Lysergic acid and simple amines.
2- Low molecular weight. 3- Water Soluble.
Ergonovine (Ergometrine)
 Composed of (l)-lysergic acid and 2-aminopropanol.
 Its (d) isomer is called Ergometrinine.
• Uses:
It causes vigorous contraction of the uterus.
It is mainly used as an oxytocic in order to aid
delivery or to prevent postpartum hemorrhage.
N
H
N CH3
COHNHCH2C
10
8
CH3OH
Ergonovine (l) (Ergometrine)
Ergonovinine (d) (Ergometrinine)
=
=
Lysergic acid diethylamide (LSD)
• It is a semisynthetic product.
• LSD has potent CNS stimulant effect.
• LSD is one of the abused drugs.
N
H
N CH3
CON
10
8
C2H5
C2H5
2- Polypeptide Alkaloids
• Characters:
 They are derivatives of Lysergic acid with a complex
polypeptides of at least 3 amino acids.
 They have high molecular weight.
 They are insoluble in water.
 This class include medicinally important members.
Ergotamine
• Characters:
 Its (d) isomer is called Ergotaminine.
 The peptide moiety is composed of 3 amino acids:
α-Hydroxyalanine
Proline
Phenylalanine
• Uses:
Treatment of migraine as it constricts
the peripheral blood vessels.
Has some oxytocic (ecobolic) activity.
N
H
N CH3
CO
O
N
N
OH
CH3
CH2
O
O
10
8
9
 Structure Activity Relationship:
• Lysergic acid must be in the (l) form. The (d)
isomers are inactive.
• Saturation of the 9- 10 double bond of Ergotamine
gives Dihydroergotamine, a compound with
antimigraine effect but no oxytocic effect.
N
H
N CH3
CO
O
N
N
OH
CH3
CH2
O
O
10
8
9
 Stability:
• The active (l) form convert to the (d) isomer by the effect of
Alkalis or prolonged storage in alcohol.
• Addition of water to the 9- 10 double bond takes place in
aqueous acidic solutions, upon exposure to day or UV light.
The resulted Lumi alkaloids are inactive.
N CH3
C
O
N CH3
C
N CH3
C
O
10
8
10
8
10
8
H H
R RR
HO
(l) form (d) form
N CH3
C
O
10
8
H
R
HO
• Tests for identification:
 Van-Urk's Reagent (p-dimethyl aminobenzaldehyde (PDAB) in 15%
H2SO4, containing traces of FeCl3) + Alkaloid → Deep blue color.
 Erlich Reagent (p-dimethyl aminobenzaldehyde (PDAB) in H2SO4) +
Alkaloid → Deep blue colour.
 Keller’s test: Solution of the alkaloids in acetic acid with traces of FeCl3
+ concentrated H2SO4 on the wall of the test tube → blue layer is formed
between the two phases.
2- Vinca (Catharanthus) Alkaloids
Occurrence:Occurrence:
Catharanthus or Vinca is the dried whole plant ofCatharanthus or Vinca is the dried whole plant of
Catharanthus roseusCatharanthus roseus G. Don (orG. Don (or Vinca roseaVinca rosea L), Fam.L), Fam.
Apocynaceae.Apocynaceae.
It contains about 150 alkaloids, the most importantIt contains about 150 alkaloids, the most important
are vinblastine and vincristine.are vinblastine and vincristine.
• Classification:
1- Monomeric Alkaloids:
These are alkaloids that contain either indole or
indoline:
 Indole monomers e.g. Catharanthine
 Indoline monomers e.g. Vindoline and Vincamine.
2- Dimeric Alkaloids:
 Homogenic dimmers: Composed of two indole or
indoline monomers.
 Mixed dimmers: One indole and one indoline
monomers e.g. Vincristine and Vinblastine.
1- Monomeric Alkaloids:
• Vincamine
Enhances the cerebral blood flow, facilitate cerebral
circulation metabolism and increase general activity.
Vincamine is used in cerebral vascular deficiency and
atherosclerosis in elderly patients.
N
N
H
C2H5OH
H3COOC
N
N
H
H3COOC
C2H5
N
N
CH3
COOCH3
OH
H3COOC
Vincamine Catharanthine Vindoline
2- Dimeric Alkaloids:
Mixed dimmers
• These are dimeric alkaloids having indole and indoline
(dihydro-indole) nuclei e.g. Vinblastine and Vincristine
• Vinblastine and Vincristine
 They occur in very minute amounts in Vinca (0.003- 0.005); 500 Kg of
the plant yield only 1 gm of vincristine.
 They are very important for cancer treatment.
 Vincristine is more active but isolated in smaller amounts than
Vinblastine. Vinblastine can be converted to vincristine chemically or
by microbial transformation using Streptomyces albogriseolu .
Structures:
• Vinblastine (Vincaleukoblastine) is produced by coupling of Catharanthine
and Vindoline.
• Vincristine (leurocristine) has CHO istead of CH3 in the vindoline part of
Vinblastine.
N
N
R
COOCH3
OH
H3COOC
N
N
H
H3COOC HO
R=CH3 Vinblastine
R=CHO Vincristine
• Tests for identification:
 1-Vanillin /HCl reagent gives with:
Vinblastine a pink color.
Vincristine an orange-yellow color.
 2-Van-Urk's reagent:
→ Reddish-brown color.
• Uses :
 Vinblastine is used for treatment of Hodgkin's disease
(Pseudoleukemia or Lymphatic anaemia) and carcinoma
resistant to other therapy.
 Vincristine has a cytotoxic effect .It is useful in the
treatment of leukemia in children, small cell lung cancer,
cervical and vaginal cancers.
• Mechanism:
 Both alkaloids are Antimetabolites interfere with the syntheses
of Desoxyribonucleic acids.
 Semisynthetic derivatives:
• Vindesine:
It is used for treatment of acute lymphoid
leukemia in children.
• Vinorelbine:
It is an oral anticancer with broader activity
and lower neurotoxicity than vinblastine.
N
N
CH3
COOCH3
OH
H2NOC
N
N
H
H3COOC HO
N
N
CH3
COOCH3
OH
H3COOC
N
N
H
H3COOC HO
3- Physostigma (Calabar beans) Alkaloids
• Source: Physostigma venenosum.
• Constituents: Physostigmine (Eserine).
• Properties:
 It is a tertiary base, possessing an ester linkage.
 Contains 3 Nitrogen atoms.
 Eserine on alkaline hydrolysis → Eseroline +
Methylamine + CO2
N
N
O
Me
Me
Eserine
Me
H
O
Me-HN
N
N
HO
Me
Me
Eseroline
Me
H
+ CH3NH2 + CO2
Alkaline
Hydrolyses
 Eserine upon oxidation, in presence of trace of alkali e.g. NaOH, or
traces of metals is transformed to rubreserine (red compound).
Therefore, it could be affected by the alkalinity of glass containers
during storage.
• Tests for identification:
 Eserine blue test: Eserine + strong ammonia solution → Yellowish
red color , evaporation → Bluish residue soluble in alcohol (eserine
blue).
 Eserine + alkali hydroxides → Red color.
N
N
HO
Me
Me
Me
H
Eseroline
N
N
O
Me
Me
Me
H
O
Rubreserine
oxidation
• Uses:
 It has a cholinergic effect and stimulates glands’ secretion
(c.f. atropine) act by inhibition of choline-esterase. So used
in poisoning by Solanaceous Alkaloids.
 Treatment of Alzheimer’s disease due to cholinergic effect .
 Eserine is mainly used as a myotic drug in the treatment of
glaucoma.
 Diaphoretic in cases of kidney dysfunction.
4- Nux-Vomica Alkaloids
• Source:
– Seeds of Strychnose nux vomica and Ignatus beans.
• Constituents: 5% Alkaloids mainly Strychnine and
Brucine.
• Properties:
 Brucine is the dimethoxy derivative of Strychnine.
 Both alkaloids contains 2 Nitrogen atoms.
 Hemitoxiferine is a degradation product of
strychnine. Dimerization of hemitoxiferine produces
a valuable skeletal muscle relaxant Toxiferine.
N
N
OO
R
R
R= H Strychnine
R= OCH3 Brucine
• Tests for identification:
• Nitric acid test:
Drops of concentrated nitric + few crystals of the alkaloids:
Strychnine gives a faint yellow color that on
evaporation turns to yellow color
Brucine gives an intense red color, that on evaporation
and addition of SnCl2 solution turns to violet.
• Tests for strychnine:
 Sulfuric acid-dichromate test:
Few crystals of strychnine + drops concentrated H2SO4 +
few crystals of K2Cr2O7 → deep blue streaks → violet →
purplish red → orange → yellow.
 Test with Mandalin's reagent:
Strychnine gives Deep violet blue color, add water → red
→ cherry-red.
• Uses:
Strychnine is extremely toxic.
 It is used in veterinary medicine as CNS stimulant and tonic.
 It is used as antidote in barbiturate poisoning.
 It is also used as rodenticide.
Brucine is less toxic than strychnine.
 It is sometimes used as CNS stimulant,
 Commercially it is used as alcohol and oil denaturant
Vincristine
OverviewOverview
• I. Physical PropertiesI. Physical Properties
• II. SynthesisII. Synthesis
• III. CharacterizationIII. Characterization
• IV. History and UsesIV. History and Uses
• V. How it worksV. How it works
General InformationGeneral Information22
• CAS Number: 57-22-7CAS Number: 57-22-7
• Molecular Formula: CMolecular Formula: C4646HH5656NN44OO1010
• Molecular Weight: 824.97Molecular Weight: 824.97
• Melting Point: 218-220Melting Point: 218-220°C°C
• Clear liquidClear liquid
(taken by injection)(taken by injection)
Synthesis from a NaturalSynthesis from a Natural
SourceSource
• Vincristine has two natural sources:Vincristine has two natural sources:
Catharanthus roseus (Vinca rosea), theCatharanthus roseus (Vinca rosea), the
Madagascar periwinkle, andMadagascar periwinkle, and
Tabernaemontana pachysiphonTabernaemontana pachysiphon
• This yield from the Madagascar periwinkleThis yield from the Madagascar periwinkle
is less than 1is less than 1μμg/g (.0003%)g/g (.0003%)66
Synthesis from vinblastineSynthesis from vinblastine
H2CrO4
Ethyl Acetate
2 hours, -83- -25°C
80-90% yield5
• This is the easiest and most common method of
synthesis, as well as one can give high yields
Synthetic ProductionSynthetic Production
Discovered in 2004
First route to make synthetic
vincristine6
SpectroscopySpectroscopy
• Mass SpectrumMass Spectrum44
: M+1=825: M+1=825
• UV SpectrumUV Spectrum11
: 220, 255, 296 nm: 220, 255, 296 nm
• IR SpectrumIR Spectrum66
: 3445, 2924, 2852, 1740,: 3445, 2924, 2852, 1740,
1681, 1597, 1498, 1458, 1369, 1230,1681, 1597, 1498, 1458, 1369, 1230,
1033, 747 cm-11033, 747 cm-1
History and UsesHistory and Uses
• Discovered in 1953 by Robert L. Noble,Discovered in 1953 by Robert L. Noble,
and cleared by the FDA in 1963 asand cleared by the FDA in 1963 as
Oncovin, marketed by Eli Lilly and Co.Oncovin, marketed by Eli Lilly and Co.
• Used to treat acute leukemias and allUsed to treat acute leukemias and all
lymphomaslymphomas
• Side effects include nervous systemSide effects include nervous system
damage and constipationdamage and constipation
• Work is being done to develop moreWork is being done to develop more
effective derivatives with fewer sideeffective derivatives with fewer side
effectseffects88
How it worksHow it works
• Stops division of cellsStops division of cells
• Enters cell during mitosis and blocksEnters cell during mitosis and blocks
formation of microtubules of the mitoticformation of microtubules of the mitotic
spindle during metaphasespindle during metaphase3,73,7
BibliographyBibliography
• (1) Anonymous Vincristine. In(1) Anonymous Vincristine. In The Merck index: an encyclopedia of chemicals, drugs,The Merck index: an encyclopedia of chemicals, drugs,
and biologicals;and biologicals; O'Neil, M. J., Ed.; Merck: Whitehouse Station, NJ, 2006; pp 1717-O'Neil, M. J., Ed.; Merck: Whitehouse Station, NJ, 2006; pp 1717-
1718.1718.
• (2) Anonymous Chemfinder.com Database and Internet Searching.(2) Anonymous Chemfinder.com Database and Internet Searching.
http://chemfinder.cambridgesoft.comhttp://chemfinder.cambridgesoft.com (accessed Jan. 22, 2007).(accessed Jan. 22, 2007).
• (3) Anonymous Overview: The Mitotic Spindle.(3) Anonymous Overview: The Mitotic Spindle.
http://www.sinauer.com/pdf/nsp-cellcycle-6-0.pdfhttp://www.sinauer.com/pdf/nsp-cellcycle-6-0.pdf (accessed Apr. 15, 2007).(accessed Apr. 15, 2007).
• (4) Choi, Y. H.; Kim, J.; Yoo, K. Supercritical Fluid Extraction and Liquid(4) Choi, Y. H.; Kim, J.; Yoo, K. Supercritical Fluid Extraction and Liquid
Chromatography-Electrospray Mass Analysis of Vinblastine fromChromatography-Electrospray Mass Analysis of Vinblastine from CatharanthusCatharanthus
roseusroseus.. Chem. Pharm. Bull.Chem. Pharm. Bull. 20022002, 50, 1294--1296., 50, 1294--1296.
• (5) Huhtikangas, A.; Laakso, I.; Seppaenen-Laakso, T.; Verma, A. Patent Application(5) Huhtikangas, A.; Laakso, I.; Seppaenen-Laakso, T.; Verma, A. Patent Application
Country: Application: FI; Patent Country: FI Patent 107924, 2001.Country: Application: FI; Patent Country: FI Patent 107924, 2001.
• (6) Kuboyama, T.; Yokoshima, S.; Tokuyama, H.; Fukuyama, T. Stereocontrolled total(6) Kuboyama, T.; Yokoshima, S.; Tokuyama, H.; Fukuyama, T. Stereocontrolled total
synthesis of (+)-vincristine.synthesis of (+)-vincristine. Proc. Natl. Acad. Sci. U. S. A.Proc. Natl. Acad. Sci. U. S. A. 20042004, 101, 11966-11970., 101, 11966-11970.
• (7) Lurie, P. M.; Manaster, J.; Stryckmans, P. A.; Vamecq, G. Mode of Action of(7) Lurie, P. M.; Manaster, J.; Stryckmans, P. A.; Vamecq, G. Mode of Action of
ChemotherapyChemotherapy in vivoin vivo on Human Acute Leukemia--II. Vincristine.on Human Acute Leukemia--II. Vincristine. Europ. J. CancerEurop. J. Cancer
19731973, 9, 613--620., 9, 613--620.
• (8) Szabo, L.; Bolcskei, H.; Eszter, B.; Mak, M.; Szantay, C. Synthesis of vinca(8) Szabo, L.; Bolcskei, H.; Eszter, B.; Mak, M.; Szantay, C. Synthesis of vinca
alkaloids and related compounds, Part XCV: Nitration study of vinblastine-typealkaloids and related compounds, Part XCV: Nitration study of vinblastine-type
bisindole alkaloids.bisindole alkaloids. Arch. Pharm. Pharm. Med. Chem.Arch. Pharm. Pharm. Med. Chem. 20012001, 334, 339--405., 334, 339--405.
Quinoline
Quinoline Alkaloids
Cinchona Alkaloids
• Cinchona bark contain many alkaloids the majors are:
1- Quinine and Quinidine.
2- Cinchonine and Cinchonidine.
• Cinchona alkaloids are present
as salts with Quinic and
Cinchotannic acids.
• They are diacidic bases form two types of salts:
1- Neutral salts (Monoacidic) (less water soluble.
2- Acidic salts (Diacidic) water soluble.
OHHO
OH
HO COOH
Quinic acid
• Both Quinine and Quinidine, Cinchonine and Cinchonidine
are Diastereoisomers. Each pair differs in the
stereochemistry at C-8 and C-9.
N
N
H3CO
HO
H H
N
N
H3CO
HO
H H
89
Quinine Quinidine
Properties:
• Quinine is very slightly soluble in H2O, soluble in
ethanol, chloroform, ether, benzene and other organic
solvents.
• Quinine is a diacidic base. It forms 2 types of sulfates:
– Quinine monosulfate (neutral and H2O insoluble).
– Quinine bisulfate (acidic and H2O soluble).
• Quinine (l-isomer) gives quinidine (d-isomer) among
other products when warmed with KOH in amyl
alcohol.
• Quinine is levorotatory, while quinidine is dextrorotatory.
Separation of the 4 Alkaloids
Powdered Bark
- Alk. CaO + NaOH + H2O
- Reflux with benzene &
- Filtration while hot
Benzene filtrate (Alkaloidal bases)
dilute H2SO4
Acidic aqueous layer(Alkaloidal bisulphates)
pH to 6.5 with Na2CO3
Precipitate
Quinine quinidine,
cinchonine & cinchonidineHot water, Na2CO3
Quinine NaOH, ether
Aqueous layerEther layer
CinchonineQuinidine & Cinchonidine
-HCl PH=7, Na, K Tart. salt
- filter
Precipitate Filtrate
Cinchonidine tartrate Quinidine tartrate
Aqueous solution (Monosulphates)(monosulphate)
• Tests for identification
1- Fluorescence test:
Solution of the alkaloid in oxygenated acids (e.g H2SO4, HNO3 or phosphoric
acid)  blue fluorescence (+ ve with quinine and quinidine).
2- Thalleoquine test:
Aqueous solution of the alkaloidal salt + Br2 /H2O (few drops till the
appearance of yellow color) + NH4OH  emerald green color
(+ ve with quinine and quinidine).
3- Rosequin test (Erythroquinine test):
Aqueous solution of the alkaloidal salt + dil HCl + Br2 /H2O (few drops till the
appearance of yellow color) + CHCl3 + pot. Ferrocyanide + NH4OH 
red color in the CHCl3 layer (+ ve with quinine and quinidine).
 Uses:
• Quinine is used mainly as anti-malarial in a dose
of 2g of quinine sulfate or other salt for 14 days.
• Quinidine is used as a cardiac depressant
(anti-arrhythmic), particularly to inhibit auricular
fibrillation in a dose of 0.6-1.6 g of quinidine
sulfate daily.
• Cinchonine and cinchonidine are used as anti-
inflammatory.
Isoquinoline Alkaloids
1- Ipecacuanha Alkaloids
• Occurrence:
Ipecac is the dried roots and rhizomes of Cephalis ipecacuanha (Brazilian
ipecacuanha) or Cephalis acuminata (Cartagena or Panama ipecacuanha)
Fam. Rubiaceae.
It contains several alkaloids (2 –2.5 %), mainly emetine (50- 70 % of total
alkaloids), with cephaline and psychotrine.
N
MeO
RO
N
OMe
OMe
H
H
R = Me Emetine
R = H Cephaline
N
MeO
HO
N
OMe
OMe
H
Psychotrine
• Emetine:
It is non phenolic and levorotatory.
It contains 2 basic nitrogens.
• Cephaline:
It is phenolic and levorotatory.
It gives emetine on methylation with (CH3)2 SO4.
• Psychotrine:
Occurs as yellow prisms.
It is phenolic and gives cephaline on reduction.
It gives emetine on reduction followed by methylation.
 Isolation of Ipeca alkaloids:
Powdered root and rhizome
- Ext. alcohol,Conc., lead acetate.
- Filtration
Filtrate Residue
Non-alkaloidal sub.
- Evap., dil. HCl & Filtration
Alkaloidal bases and salts
Filtrate (Alkaloidal HCl salts)
- Alk. with NaOH & Ext. with ether
Ether layer
Emetine
(Phenolic alkaloids)
- HCl (Alkaloidal salts)
- Alk. NH4OH Ext. ether
Aqueous layer Ether layer
(Psychotrine) (Cephaline)
Aq.alk. solution
 Tests for identification of Ipeca alkaloids:
• Alkaloidal solution in HCl + Ca hypochlorite  orange color.
• Emetine and cephaline + Froehd's reagent: dirty green color (the
color with emetine fades by addition of HCl).
• Psychotrine + Froehd's reagent: pale green color.
• Cephaline and psychotrine + p-nitrodiazobenzene  dye soluble in
NaOH  purple color.
• Psychotrine + conc. H2SO4 + HNO3  cherry red color.
• Emetine + Liebermann's reagent  black color.
 Uses:
• Emetine and cephaeline have antitumour and antiviral
activity, but are too toxic for therapeutic use.
• Emetine and psychotrine are mainly used as emetic
drugs.
• The crude drug is used as expectorant (due to its saponin
content) .
• Emetine HCl and Dehydroemetine (DHE) have an
antiamoebic effect, and are used for the treatment of
amoebic dysentry and Fasciola.
• Ipeca alkaloids are diaphoretic, alone or in combination with
opium (e.g. Dover's powder).
2- Curare Alkaloids
• Occurrence:
• Curare or South American arrow poison is the dried crude extract, obtained
mainly from Chondrodendron tomentosum (Menispermaceae) and certain
Strychnos species, (Loganiaceae).
• Curare contains several alkaloids (4-7%), the most important is d-tubocurarine.
N
OH
MeO
N
H
H
Me
OMe
O
OH
O
Me
+
Me
• Properties:
d-tubocurarine (4ary alkaloid) is freely soluble in H2O. It is a phenolic
dextrorotatory alkaloid. It is a bis-benzyltetrahydroisoquinoline
alkaloid.
• Tests:
 Saturated aqueous solution + FeCl3  faint green color  green color.
 Solution of the alkaloidal HC1 + Na2CO 3  yellow brown precipitate.
• Uses:
 Tubocurarine chloride is mainly used by i.m. or i.v. routes as
skeletal muscle relaxant.
 It is used to control and reduce convulsions of strychnine
poisoning and of tetanus.
 It is used as a diagnostic aid in myasthenia gravis.

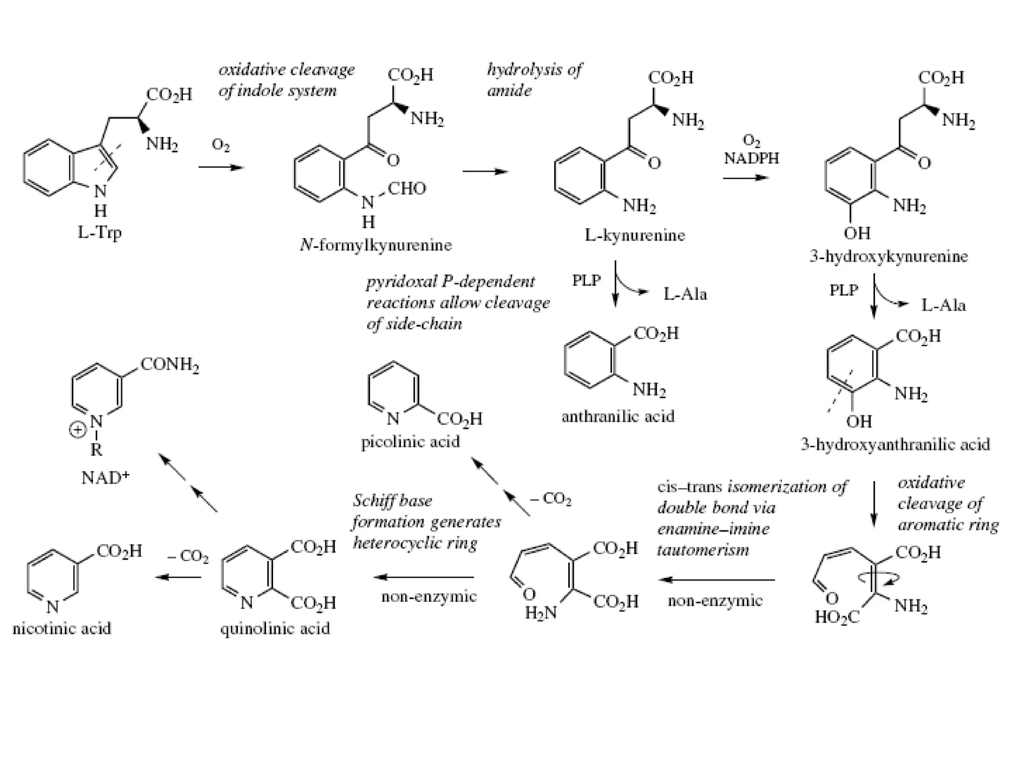
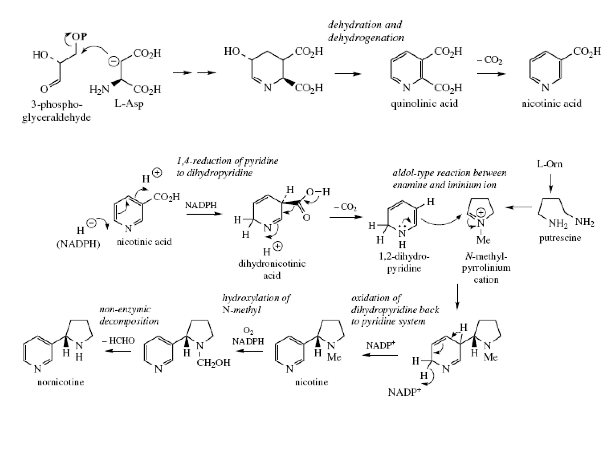
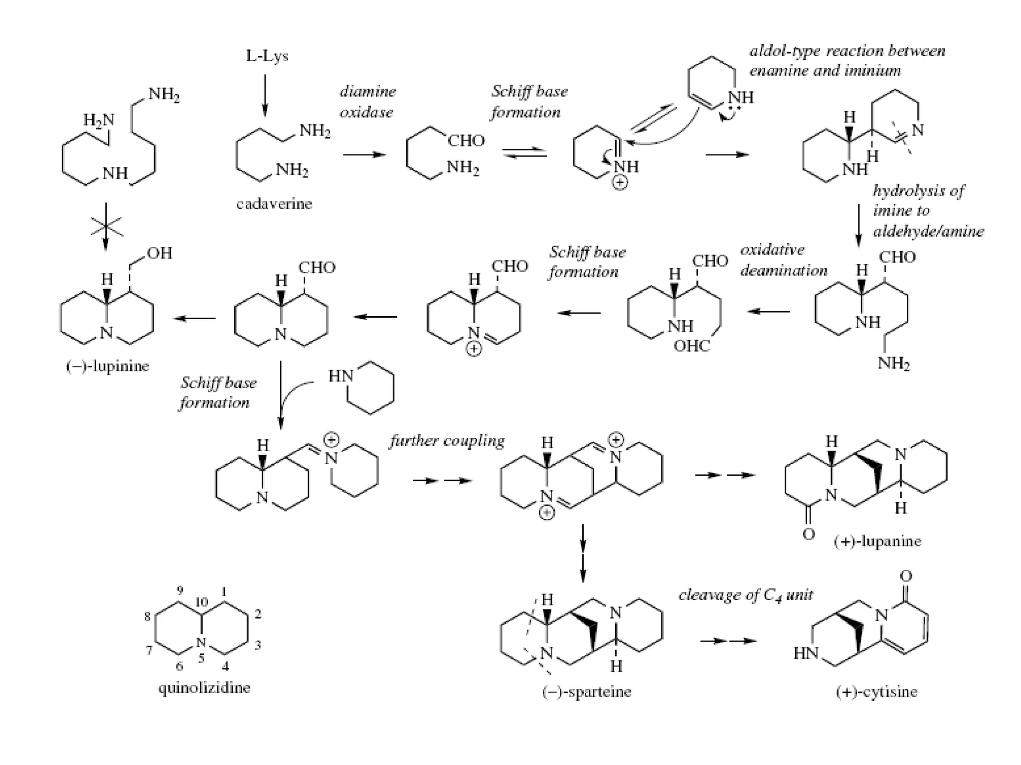
Biosynthesis isolation and example for some alkaloids

  • 1.
  • 2.
  • 11.
  • 12.
  • 13.
    Indole Alkaloids 1- ErgotAlkaloids • Occurrence: Ergot is the dried sclerotium of a fungus, Claviceps purpurea (Fam. Hypocreacea) that arise on the ovaries of the rye plant (Secale cereale, Fam. Gramineae). • Consumption of flour contaminated with Ergot led to many serious intoxications known as (Ergotism- Ignis Fire) in Europe. • Ergot can be detected in flour by using UV light where contaminated flour will show violet spots.
  • 15.
    • Classification ofErgot Alkaloids: A- Clavine Type Alkaloids: Simple water soluble bases with little medicinal value. All end with “clavine: e.g. Agroclavine. B- Lysergic acid Amides: They are all derivatives of (l)-Lysergic acid and subclassified into: 1- Simple lysergic acid amides: Composed of Lysergic acid and simple amines. 2- Polypeptide Alkaloids: Composed of Lysergic acid and at least 3 amino acids.
  • 16.
    • General Characters: Ergot alkaloids are N-monosubstituted amide derivatives of both lysergic acid and its isomer isolysergic acid that differ only in configuration at C-8.  On treatment with ammonia lysergic and isolysergic acids give the corresponding amides ergine and isoergine respectively.  Members related to lysergic acid (e.g. ergotamine and ergometrine) are levorotatory, more active and designated by suffix “ine”.  Members related to isolysergic acid (e.g. ergotaminine and ergometrinine), are dextrorotatory, less active and designated by suffix “inine”. N H N CH3 COOH 10 8 N H N CH3 COOH N H N CH3 CONH2 Lysergic acid Isolysergic acid Ergine
  • 17.
    1- Simple Lysergicacid amides • Characters: 1- Composed of Lysergic acid and simple amines. 2- Low molecular weight. 3- Water Soluble. Ergonovine (Ergometrine)  Composed of (l)-lysergic acid and 2-aminopropanol.  Its (d) isomer is called Ergometrinine. • Uses: It causes vigorous contraction of the uterus. It is mainly used as an oxytocic in order to aid delivery or to prevent postpartum hemorrhage. N H N CH3 COHNHCH2C 10 8 CH3OH Ergonovine (l) (Ergometrine) Ergonovinine (d) (Ergometrinine) = =
  • 18.
    Lysergic acid diethylamide(LSD) • It is a semisynthetic product. • LSD has potent CNS stimulant effect. • LSD is one of the abused drugs. N H N CH3 CON 10 8 C2H5 C2H5
  • 19.
    2- Polypeptide Alkaloids •Characters:  They are derivatives of Lysergic acid with a complex polypeptides of at least 3 amino acids.  They have high molecular weight.  They are insoluble in water.  This class include medicinally important members.
  • 20.
    Ergotamine • Characters:  Its(d) isomer is called Ergotaminine.  The peptide moiety is composed of 3 amino acids: α-Hydroxyalanine Proline Phenylalanine • Uses: Treatment of migraine as it constricts the peripheral blood vessels. Has some oxytocic (ecobolic) activity. N H N CH3 CO O N N OH CH3 CH2 O O 10 8 9
  • 21.
     Structure ActivityRelationship: • Lysergic acid must be in the (l) form. The (d) isomers are inactive. • Saturation of the 9- 10 double bond of Ergotamine gives Dihydroergotamine, a compound with antimigraine effect but no oxytocic effect. N H N CH3 CO O N N OH CH3 CH2 O O 10 8 9
  • 22.
     Stability: • Theactive (l) form convert to the (d) isomer by the effect of Alkalis or prolonged storage in alcohol. • Addition of water to the 9- 10 double bond takes place in aqueous acidic solutions, upon exposure to day or UV light. The resulted Lumi alkaloids are inactive. N CH3 C O N CH3 C N CH3 C O 10 8 10 8 10 8 H H R RR HO (l) form (d) form N CH3 C O 10 8 H R HO
  • 23.
    • Tests foridentification:  Van-Urk's Reagent (p-dimethyl aminobenzaldehyde (PDAB) in 15% H2SO4, containing traces of FeCl3) + Alkaloid → Deep blue color.  Erlich Reagent (p-dimethyl aminobenzaldehyde (PDAB) in H2SO4) + Alkaloid → Deep blue colour.  Keller’s test: Solution of the alkaloids in acetic acid with traces of FeCl3 + concentrated H2SO4 on the wall of the test tube → blue layer is formed between the two phases.
  • 24.
    2- Vinca (Catharanthus)Alkaloids Occurrence:Occurrence: Catharanthus or Vinca is the dried whole plant ofCatharanthus or Vinca is the dried whole plant of Catharanthus roseusCatharanthus roseus G. Don (orG. Don (or Vinca roseaVinca rosea L), Fam.L), Fam. Apocynaceae.Apocynaceae. It contains about 150 alkaloids, the most importantIt contains about 150 alkaloids, the most important are vinblastine and vincristine.are vinblastine and vincristine.
  • 25.
    • Classification: 1- MonomericAlkaloids: These are alkaloids that contain either indole or indoline:  Indole monomers e.g. Catharanthine  Indoline monomers e.g. Vindoline and Vincamine. 2- Dimeric Alkaloids:  Homogenic dimmers: Composed of two indole or indoline monomers.  Mixed dimmers: One indole and one indoline monomers e.g. Vincristine and Vinblastine.
  • 26.
    1- Monomeric Alkaloids: •Vincamine Enhances the cerebral blood flow, facilitate cerebral circulation metabolism and increase general activity. Vincamine is used in cerebral vascular deficiency and atherosclerosis in elderly patients. N N H C2H5OH H3COOC N N H H3COOC C2H5 N N CH3 COOCH3 OH H3COOC Vincamine Catharanthine Vindoline
  • 27.
    2- Dimeric Alkaloids: Mixeddimmers • These are dimeric alkaloids having indole and indoline (dihydro-indole) nuclei e.g. Vinblastine and Vincristine • Vinblastine and Vincristine  They occur in very minute amounts in Vinca (0.003- 0.005); 500 Kg of the plant yield only 1 gm of vincristine.  They are very important for cancer treatment.  Vincristine is more active but isolated in smaller amounts than Vinblastine. Vinblastine can be converted to vincristine chemically or by microbial transformation using Streptomyces albogriseolu .
  • 28.
    Structures: • Vinblastine (Vincaleukoblastine)is produced by coupling of Catharanthine and Vindoline. • Vincristine (leurocristine) has CHO istead of CH3 in the vindoline part of Vinblastine. N N R COOCH3 OH H3COOC N N H H3COOC HO R=CH3 Vinblastine R=CHO Vincristine
  • 29.
    • Tests foridentification:  1-Vanillin /HCl reagent gives with: Vinblastine a pink color. Vincristine an orange-yellow color.  2-Van-Urk's reagent: → Reddish-brown color.
  • 30.
    • Uses : Vinblastine is used for treatment of Hodgkin's disease (Pseudoleukemia or Lymphatic anaemia) and carcinoma resistant to other therapy.  Vincristine has a cytotoxic effect .It is useful in the treatment of leukemia in children, small cell lung cancer, cervical and vaginal cancers. • Mechanism:  Both alkaloids are Antimetabolites interfere with the syntheses of Desoxyribonucleic acids.
  • 31.
     Semisynthetic derivatives: •Vindesine: It is used for treatment of acute lymphoid leukemia in children. • Vinorelbine: It is an oral anticancer with broader activity and lower neurotoxicity than vinblastine. N N CH3 COOCH3 OH H2NOC N N H H3COOC HO N N CH3 COOCH3 OH H3COOC N N H H3COOC HO
  • 32.
    3- Physostigma (Calabarbeans) Alkaloids • Source: Physostigma venenosum.
  • 33.
    • Constituents: Physostigmine(Eserine). • Properties:  It is a tertiary base, possessing an ester linkage.  Contains 3 Nitrogen atoms.  Eserine on alkaline hydrolysis → Eseroline + Methylamine + CO2 N N O Me Me Eserine Me H O Me-HN N N HO Me Me Eseroline Me H + CH3NH2 + CO2 Alkaline Hydrolyses
  • 34.
     Eserine uponoxidation, in presence of trace of alkali e.g. NaOH, or traces of metals is transformed to rubreserine (red compound). Therefore, it could be affected by the alkalinity of glass containers during storage. • Tests for identification:  Eserine blue test: Eserine + strong ammonia solution → Yellowish red color , evaporation → Bluish residue soluble in alcohol (eserine blue).  Eserine + alkali hydroxides → Red color. N N HO Me Me Me H Eseroline N N O Me Me Me H O Rubreserine oxidation
  • 35.
    • Uses:  Ithas a cholinergic effect and stimulates glands’ secretion (c.f. atropine) act by inhibition of choline-esterase. So used in poisoning by Solanaceous Alkaloids.  Treatment of Alzheimer’s disease due to cholinergic effect .  Eserine is mainly used as a myotic drug in the treatment of glaucoma.  Diaphoretic in cases of kidney dysfunction.
  • 36.
    4- Nux-Vomica Alkaloids •Source: – Seeds of Strychnose nux vomica and Ignatus beans.
  • 37.
    • Constituents: 5%Alkaloids mainly Strychnine and Brucine. • Properties:  Brucine is the dimethoxy derivative of Strychnine.  Both alkaloids contains 2 Nitrogen atoms.  Hemitoxiferine is a degradation product of strychnine. Dimerization of hemitoxiferine produces a valuable skeletal muscle relaxant Toxiferine. N N OO R R R= H Strychnine R= OCH3 Brucine
  • 38.
    • Tests foridentification: • Nitric acid test: Drops of concentrated nitric + few crystals of the alkaloids: Strychnine gives a faint yellow color that on evaporation turns to yellow color Brucine gives an intense red color, that on evaporation and addition of SnCl2 solution turns to violet. • Tests for strychnine:  Sulfuric acid-dichromate test: Few crystals of strychnine + drops concentrated H2SO4 + few crystals of K2Cr2O7 → deep blue streaks → violet → purplish red → orange → yellow.  Test with Mandalin's reagent: Strychnine gives Deep violet blue color, add water → red → cherry-red.
  • 39.
    • Uses: Strychnine isextremely toxic.  It is used in veterinary medicine as CNS stimulant and tonic.  It is used as antidote in barbiturate poisoning.  It is also used as rodenticide. Brucine is less toxic than strychnine.  It is sometimes used as CNS stimulant,  Commercially it is used as alcohol and oil denaturant
  • 40.
  • 42.
    OverviewOverview • I. PhysicalPropertiesI. Physical Properties • II. SynthesisII. Synthesis • III. CharacterizationIII. Characterization • IV. History and UsesIV. History and Uses • V. How it worksV. How it works
  • 43.
    General InformationGeneral Information22 •CAS Number: 57-22-7CAS Number: 57-22-7 • Molecular Formula: CMolecular Formula: C4646HH5656NN44OO1010 • Molecular Weight: 824.97Molecular Weight: 824.97 • Melting Point: 218-220Melting Point: 218-220°C°C • Clear liquidClear liquid (taken by injection)(taken by injection)
  • 44.
    Synthesis from aNaturalSynthesis from a Natural SourceSource • Vincristine has two natural sources:Vincristine has two natural sources: Catharanthus roseus (Vinca rosea), theCatharanthus roseus (Vinca rosea), the Madagascar periwinkle, andMadagascar periwinkle, and Tabernaemontana pachysiphonTabernaemontana pachysiphon • This yield from the Madagascar periwinkleThis yield from the Madagascar periwinkle is less than 1is less than 1μμg/g (.0003%)g/g (.0003%)66
  • 45.
    Synthesis from vinblastineSynthesisfrom vinblastine H2CrO4 Ethyl Acetate 2 hours, -83- -25°C 80-90% yield5 • This is the easiest and most common method of synthesis, as well as one can give high yields
  • 46.
    Synthetic ProductionSynthetic Production Discoveredin 2004 First route to make synthetic vincristine6
  • 47.
    SpectroscopySpectroscopy • Mass SpectrumMassSpectrum44 : M+1=825: M+1=825 • UV SpectrumUV Spectrum11 : 220, 255, 296 nm: 220, 255, 296 nm • IR SpectrumIR Spectrum66 : 3445, 2924, 2852, 1740,: 3445, 2924, 2852, 1740, 1681, 1597, 1498, 1458, 1369, 1230,1681, 1597, 1498, 1458, 1369, 1230, 1033, 747 cm-11033, 747 cm-1
  • 48.
    History and UsesHistoryand Uses • Discovered in 1953 by Robert L. Noble,Discovered in 1953 by Robert L. Noble, and cleared by the FDA in 1963 asand cleared by the FDA in 1963 as Oncovin, marketed by Eli Lilly and Co.Oncovin, marketed by Eli Lilly and Co. • Used to treat acute leukemias and allUsed to treat acute leukemias and all lymphomaslymphomas • Side effects include nervous systemSide effects include nervous system damage and constipationdamage and constipation • Work is being done to develop moreWork is being done to develop more effective derivatives with fewer sideeffective derivatives with fewer side effectseffects88
  • 49.
    How it worksHowit works • Stops division of cellsStops division of cells • Enters cell during mitosis and blocksEnters cell during mitosis and blocks formation of microtubules of the mitoticformation of microtubules of the mitotic spindle during metaphasespindle during metaphase3,73,7
  • 50.
    BibliographyBibliography • (1) AnonymousVincristine. In(1) Anonymous Vincristine. In The Merck index: an encyclopedia of chemicals, drugs,The Merck index: an encyclopedia of chemicals, drugs, and biologicals;and biologicals; O'Neil, M. J., Ed.; Merck: Whitehouse Station, NJ, 2006; pp 1717-O'Neil, M. J., Ed.; Merck: Whitehouse Station, NJ, 2006; pp 1717- 1718.1718. • (2) Anonymous Chemfinder.com Database and Internet Searching.(2) Anonymous Chemfinder.com Database and Internet Searching. http://chemfinder.cambridgesoft.comhttp://chemfinder.cambridgesoft.com (accessed Jan. 22, 2007).(accessed Jan. 22, 2007). • (3) Anonymous Overview: The Mitotic Spindle.(3) Anonymous Overview: The Mitotic Spindle. http://www.sinauer.com/pdf/nsp-cellcycle-6-0.pdfhttp://www.sinauer.com/pdf/nsp-cellcycle-6-0.pdf (accessed Apr. 15, 2007).(accessed Apr. 15, 2007). • (4) Choi, Y. H.; Kim, J.; Yoo, K. Supercritical Fluid Extraction and Liquid(4) Choi, Y. H.; Kim, J.; Yoo, K. Supercritical Fluid Extraction and Liquid Chromatography-Electrospray Mass Analysis of Vinblastine fromChromatography-Electrospray Mass Analysis of Vinblastine from CatharanthusCatharanthus roseusroseus.. Chem. Pharm. Bull.Chem. Pharm. Bull. 20022002, 50, 1294--1296., 50, 1294--1296. • (5) Huhtikangas, A.; Laakso, I.; Seppaenen-Laakso, T.; Verma, A. Patent Application(5) Huhtikangas, A.; Laakso, I.; Seppaenen-Laakso, T.; Verma, A. Patent Application Country: Application: FI; Patent Country: FI Patent 107924, 2001.Country: Application: FI; Patent Country: FI Patent 107924, 2001. • (6) Kuboyama, T.; Yokoshima, S.; Tokuyama, H.; Fukuyama, T. Stereocontrolled total(6) Kuboyama, T.; Yokoshima, S.; Tokuyama, H.; Fukuyama, T. Stereocontrolled total synthesis of (+)-vincristine.synthesis of (+)-vincristine. Proc. Natl. Acad. Sci. U. S. A.Proc. Natl. Acad. Sci. U. S. A. 20042004, 101, 11966-11970., 101, 11966-11970. • (7) Lurie, P. M.; Manaster, J.; Stryckmans, P. A.; Vamecq, G. Mode of Action of(7) Lurie, P. M.; Manaster, J.; Stryckmans, P. A.; Vamecq, G. Mode of Action of ChemotherapyChemotherapy in vivoin vivo on Human Acute Leukemia--II. Vincristine.on Human Acute Leukemia--II. Vincristine. Europ. J. CancerEurop. J. Cancer 19731973, 9, 613--620., 9, 613--620. • (8) Szabo, L.; Bolcskei, H.; Eszter, B.; Mak, M.; Szantay, C. Synthesis of vinca(8) Szabo, L.; Bolcskei, H.; Eszter, B.; Mak, M.; Szantay, C. Synthesis of vinca alkaloids and related compounds, Part XCV: Nitration study of vinblastine-typealkaloids and related compounds, Part XCV: Nitration study of vinblastine-type bisindole alkaloids.bisindole alkaloids. Arch. Pharm. Pharm. Med. Chem.Arch. Pharm. Pharm. Med. Chem. 20012001, 334, 339--405., 334, 339--405.
  • 51.
  • 52.
    Quinoline Alkaloids Cinchona Alkaloids •Cinchona bark contain many alkaloids the majors are: 1- Quinine and Quinidine. 2- Cinchonine and Cinchonidine. • Cinchona alkaloids are present as salts with Quinic and Cinchotannic acids. • They are diacidic bases form two types of salts: 1- Neutral salts (Monoacidic) (less water soluble. 2- Acidic salts (Diacidic) water soluble. OHHO OH HO COOH Quinic acid
  • 54.
    • Both Quinineand Quinidine, Cinchonine and Cinchonidine are Diastereoisomers. Each pair differs in the stereochemistry at C-8 and C-9. N N H3CO HO H H N N H3CO HO H H 89 Quinine Quinidine
  • 55.
    Properties: • Quinine isvery slightly soluble in H2O, soluble in ethanol, chloroform, ether, benzene and other organic solvents. • Quinine is a diacidic base. It forms 2 types of sulfates: – Quinine monosulfate (neutral and H2O insoluble). – Quinine bisulfate (acidic and H2O soluble). • Quinine (l-isomer) gives quinidine (d-isomer) among other products when warmed with KOH in amyl alcohol. • Quinine is levorotatory, while quinidine is dextrorotatory.
  • 56.
    Separation of the4 Alkaloids Powdered Bark - Alk. CaO + NaOH + H2O - Reflux with benzene & - Filtration while hot Benzene filtrate (Alkaloidal bases) dilute H2SO4 Acidic aqueous layer(Alkaloidal bisulphates) pH to 6.5 with Na2CO3 Precipitate Quinine quinidine, cinchonine & cinchonidineHot water, Na2CO3 Quinine NaOH, ether Aqueous layerEther layer CinchonineQuinidine & Cinchonidine -HCl PH=7, Na, K Tart. salt - filter Precipitate Filtrate Cinchonidine tartrate Quinidine tartrate Aqueous solution (Monosulphates)(monosulphate)
  • 57.
    • Tests foridentification 1- Fluorescence test: Solution of the alkaloid in oxygenated acids (e.g H2SO4, HNO3 or phosphoric acid)  blue fluorescence (+ ve with quinine and quinidine). 2- Thalleoquine test: Aqueous solution of the alkaloidal salt + Br2 /H2O (few drops till the appearance of yellow color) + NH4OH  emerald green color (+ ve with quinine and quinidine). 3- Rosequin test (Erythroquinine test): Aqueous solution of the alkaloidal salt + dil HCl + Br2 /H2O (few drops till the appearance of yellow color) + CHCl3 + pot. Ferrocyanide + NH4OH  red color in the CHCl3 layer (+ ve with quinine and quinidine).
  • 58.
     Uses: • Quinineis used mainly as anti-malarial in a dose of 2g of quinine sulfate or other salt for 14 days. • Quinidine is used as a cardiac depressant (anti-arrhythmic), particularly to inhibit auricular fibrillation in a dose of 0.6-1.6 g of quinidine sulfate daily. • Cinchonine and cinchonidine are used as anti- inflammatory.
  • 59.
    Isoquinoline Alkaloids 1- IpecacuanhaAlkaloids • Occurrence: Ipecac is the dried roots and rhizomes of Cephalis ipecacuanha (Brazilian ipecacuanha) or Cephalis acuminata (Cartagena or Panama ipecacuanha) Fam. Rubiaceae. It contains several alkaloids (2 –2.5 %), mainly emetine (50- 70 % of total alkaloids), with cephaline and psychotrine. N MeO RO N OMe OMe H H R = Me Emetine R = H Cephaline N MeO HO N OMe OMe H Psychotrine
  • 61.
    • Emetine: It isnon phenolic and levorotatory. It contains 2 basic nitrogens. • Cephaline: It is phenolic and levorotatory. It gives emetine on methylation with (CH3)2 SO4. • Psychotrine: Occurs as yellow prisms. It is phenolic and gives cephaline on reduction. It gives emetine on reduction followed by methylation.
  • 62.
     Isolation ofIpeca alkaloids: Powdered root and rhizome - Ext. alcohol,Conc., lead acetate. - Filtration Filtrate Residue Non-alkaloidal sub. - Evap., dil. HCl & Filtration Alkaloidal bases and salts Filtrate (Alkaloidal HCl salts) - Alk. with NaOH & Ext. with ether Ether layer Emetine (Phenolic alkaloids) - HCl (Alkaloidal salts) - Alk. NH4OH Ext. ether Aqueous layer Ether layer (Psychotrine) (Cephaline) Aq.alk. solution
  • 63.
     Tests foridentification of Ipeca alkaloids: • Alkaloidal solution in HCl + Ca hypochlorite  orange color. • Emetine and cephaline + Froehd's reagent: dirty green color (the color with emetine fades by addition of HCl). • Psychotrine + Froehd's reagent: pale green color. • Cephaline and psychotrine + p-nitrodiazobenzene  dye soluble in NaOH  purple color. • Psychotrine + conc. H2SO4 + HNO3  cherry red color. • Emetine + Liebermann's reagent  black color.
  • 64.
     Uses: • Emetineand cephaeline have antitumour and antiviral activity, but are too toxic for therapeutic use. • Emetine and psychotrine are mainly used as emetic drugs. • The crude drug is used as expectorant (due to its saponin content) . • Emetine HCl and Dehydroemetine (DHE) have an antiamoebic effect, and are used for the treatment of amoebic dysentry and Fasciola. • Ipeca alkaloids are diaphoretic, alone or in combination with opium (e.g. Dover's powder).
  • 65.
    2- Curare Alkaloids •Occurrence: • Curare or South American arrow poison is the dried crude extract, obtained mainly from Chondrodendron tomentosum (Menispermaceae) and certain Strychnos species, (Loganiaceae). • Curare contains several alkaloids (4-7%), the most important is d-tubocurarine. N OH MeO N H H Me OMe O OH O Me + Me
  • 66.
    • Properties: d-tubocurarine (4aryalkaloid) is freely soluble in H2O. It is a phenolic dextrorotatory alkaloid. It is a bis-benzyltetrahydroisoquinoline alkaloid. • Tests:  Saturated aqueous solution + FeCl3  faint green color  green color.  Solution of the alkaloidal HC1 + Na2CO 3  yellow brown precipitate. • Uses:  Tubocurarine chloride is mainly used by i.m. or i.v. routes as skeletal muscle relaxant.  It is used to control and reduce convulsions of strychnine poisoning and of tetanus.  It is used as a diagnostic aid in myasthenia gravis.

Editor's Notes

  • #45 Vinca rosea is where “vincristine” comes from.
  • #46 You can use a variety of oxidizing agents and solvents, this is one of the better processes Vinblastine give better yields from the periwinkle. Because vinblastine can be isolated naturally in greater amounts
  • #47 First total synthesis completed in 2004
  • #48 Hard to find spectra
  • #49 Used alone, can put 50% ALL patients in remission.
  • #50 Green things are microtubules, attached to centrosomes