3. LIPIDS
Maria Gul
Lecturer
jips
definition
The lipids are a heterogeneous group of compounds, including fats,
oils, steroids, waxes, and related compounds, that are related more by
their physical properties than by their chemical properties.
They have the common property of being
(1) relatively insoluble in water and
(2) soluble in nonpolar solvents such as ether and chloroform.
Functions
• Can be stored in the body in almost unlimited amount
in contrast to carbohydrates.
• lipids around internal organs like kidney, etc. may
provide padding and protect the organs.
• Lipids supply so called Essential fatty acids (EFA),
which cannot be synthesized in the body and are
essential in the diet for normal health and growth.
Three polyunsaturated fatty acids, linoleic acid,
linolenic acid and arachidonic acid
• Fat is stored in adipose tissue, where it also serves as a
thermal insulator in the subcutaneous tissues and around
certain organs.
• Nonpolar lipids act as electrical conductors, allowing rapid
propagation of depolarization waves along myelinated
nerves.
• Combinations of lipid and protein (lipoproteins) serve as
the means of transporting lipids in the blood.
• lipid biochemistry is necessary in understanding many
important biomedical areas, e.g, obesity, diabetes mellitus,
atherosclerosis, and the role of various polyunsaturated
fatty acids in nutrition and health.
Classification
LIPIDS ARE CLASSIFIED AS SIMPLE OR COMPLEX
1. Simple lipids: Esters of fatty acids with various alcohols.
a. Fats: Esters of fatty acids with glycerol. Oils are fats in the liquid state.
b. Waxes: Esters of fatty acids with higher molecular weight monohydric
alcohols.
2. Complex lipids: Esters of fatty acids containing groups in addition to an
alcohol and a fatty acid.
a. Phospholipids: Lipids containing, in addition to fatty acids +alcohol+
phosphoric acid, nitrogen containing bases and other substituents,
e.g, in glycerophospholipids the alcohol is glycerol and
in sphingophospholipids the alcohol is sphingosine.
b. Glycolipids (glycosphingolipids): Lipids containing a fatty acid, sphingosine,
and carbohydrate e.g sphingomyelin.
3. Precursor and derived lipids: These include fatty acids, glycerol,
steroids, other alcohols, fatty aldehydes, ketone bodies hydrocarbons,
lipid-soluble vitamins, and hormones.
Because they are uncharged, acylglycerols (glycerides), cholesterol, and
cholesteryl esters are termed as neutral lipids.
fatty acid
• A fatty acid (FA) may be defined as
• an organic acid that occurs in a natural triglyceride
and is a monocarboxylic acid ranging in chain length
from C4 to about 24 carbon atoms. FA are obtained
from hydrolysis of fats.
FATTY ACIDS
ALIPHATIC CARBOXYLIC ACIDS
• Fatty acids occur in the body mainly as esters in natural fats and oils, but are found
in the unesterified form as free fatty acids, a transported in the plasma.
• Fatty acids that occur in natural fats usually contain an even number of carbon
atoms.
• The chain may be
• saturated (containing no double bonds) or
• unsaturated (containing one or more double bonds).
Fatty Acids are named after corresponding hydrocarbons
• The most frequently used systematic nomenclature names the fatty acid after the
hydrocarbon with the same number and arrangement of carbon atoms, with -oic
being substituted for the final (Genevan system).
• Thus, saturated acids end in -anoic, eg, octanoic acid, and
• unsaturated acids with double bonds end in -enoic, eg, octadecenoic acid (oleic
acid).
• R-COOH general formula
• Carbon atoms are numbered from the carboxyl carbon (carbon
No. 1). The carbon atoms adjacent to the carboxyl carbon
(Nos. 2, 3, and 4) are also known as the α,β and γ carbons,
respectively, and the terminal methyl carbon is known as the
ω- or n-carbon.
• Various conventions use for indicating the number and
position of the double bonds. E.g, 9 indicates a double bond
between carbons 9 and 10 of the fatty acid; ω9 indicates a
double bond on the ninth carbon counting from the ω -carbon.
In animals, additional double bonds are introduced only
between the existing double bond (e.g 9, 6, or 3) and the
carboxyl carbon, leading to three series of fatty acids known
as the 9, 6, and 3 families, respectively.
Oleic acid
Saturated fatty acids
• Without double bonds.
• Saturated fatty acids may be investaged as based on acetic
acid (CH3 —COOH) as the first member of the series in which
—CH2— is progressively added between the terminal CH3 —
and —COOH groups.
• Other higher members of the series are known to occur,
particularly in waxes.
Unsaturated fatty acids
Unsaturated Fatty Acids Contain One or More Double Bonds.
Unsaturated fatty acids may be further subdivided as follows:
• Monounsaturated (monoenoic) acids, containing one double
bond.
• Polyunsaturated (polyenoic) acids, containing two or more double
bonds.
• Eicosanoids: These compounds derived from eicosa (20-carbon)
polyenoic fatty acids.
Types: the prostanoids, leukotrienes (LTs), and lipoxins (LXs).
Prostanoids include prostaglandins (PGs), prostacyclin's (PGIs), and
thromboxanes (TXs).
Physical and Physiologic Properties of Fatty Acids Reflect Chain
Length and Degree of Unsaturation
• The melting points of even-numbered carbon fatty acids
increase with chain length and decrease according to
unsaturation.
• A triacylglycerol containing three saturated fatty acids of 12
carbons or more is solid at body temperature, whereas if the
fatty acid residues are 18:2, it is liquid to below 0C.
• The membrane lipids, which must be fluid at all environmental
temperatures, are more unsaturated than storage lipids.
• Solubility
Ratio of hydrophilic carboxyl group to non-polar hydrophobic residue.
Acetic acid miscible with water because it contain only one
hydrophobic ;methyl group
Isomerism in fatty acid
chemical properties
• Salt formation
Salt of Sodium, potassium calcium are soup
• Formation of esters
In combination with alcohol fatty acids form esters
• Hydrogenation
Production of saturated fatty acids
• Halogenation
• Halogenation of readily added to double bond.
• Oxidation
• Unsaturated fatty acids are more easily oxidize than satured fatty
acids
fats
Esters of glycerols
TRIACYLGLYCEROLS (TRIGLYCERIDES)*
THE MAIN STORAGE FORMS OF FATTY ACIDS
• The triacylglycerols are esters of the trihydric alcohol glycerol and
fatty acids. Mono- and diacylglycerols, where in one or two fatty
acids are esterified with glycerol, are also found in the tissues.
These are of particular significance in the synthesis and hydrolysis
of triacylglycerols.
PHYSICAL PROPERTIES
• Neutral fats are colourless, odourless and tasteless substances. The
colour and taste of some of the naturally occurring fats is due to
extraneous substances.
• Solubility: They are insoluble in water but soluble in organic
solvents.
• Specific gravity: The specific gravity of all fats is less than 1.0,
consequently all fats float in water (weight of substance/weight of
equal volume of water done by pycnometer)
• Emulsification: Emulsions of fat may be made by shaking vigorously
in water and by emulsifying agents such as gums, soaps and
proteins which produce more stable emulsions.
Chemical properties
• Hydrolysis ; Super heated steam, By acids, or alkali, or
• By the specific fat splitting enzymes lipases
SOAPONIFACTION
• Saponification: Hydrolysis of a fat by an alkali is called saponification. The
resultant products are glycerol and the alkali salts of the fatty acids, which are
called “soaps”. the no of gram of KOH required to neutralize fatty acids
liberated from 1gm of fat. Short chains have high saponification no than long
chain fatty acids butter fat have high saponification no that is 220 to 230
which rich in short chain fatty acid
•The amount of alkali needed to saponify a given
quantity of fat will depend upon the number of –COOH
group present.
•Thus fats containing short chain fatty acids will have
more –COOH groups per gram than long chain fatty
acids and this will take up more alkali and hence will
have higher saponification number.
Additive Reactions
• The unsaturated fatty acids present in neutral fat exhibits all the
additive reactions, i.e. hydrogenation, halogenation, etc. Oils
which are liquid at ordinary room temperature, on
hydrogenation become solidified. This is the basis of vanaspati
(Dalda) or vegetable ghee and margarines. where inedible and
cheap oils like cotton seed oil are hydrogenated and converted to
edible solid fat.
• The degree of halogenation is an index of unsaturated fatty acids
content of fat
• The no gram of iodine which will be absorbed by 100 grams of
fat is termed as iodine number.
Fat Iodine number
Coconut oil 6-10
Butter fat 26-28
Beef fat 35-42
Human Fat 65--69
Olive oil 79-88
Cotton seed oil 103-111
Rancidity
• The unpleasant odour and taste developed by most natural fats on
aging is referred to as rancidity.
• Cause of rancidity: Rancidity may be caused by the following:
• Hydrolysis of fat yields free fatty acids and glycerol and/or mono
and diglycerides.
• oxidative processes; oxidation of double bonds of unsaturated
glycerides may form peroxides”, which then decompose to form
aldehydes of objectionable odour and taste. The process is greatly
enhanced by exposure to light.
• Prevention of rancidity: Vegetable fats contain certain substances
like vitamin E, phenols, hydroquinones, tannins and others which
are antioxidants and prevents development of rancidity. Hence
vegetable fats preserve for longer periods than animal fats.
Waxes
• Ester of fatty acid with cetyl alcohol or other high molecular weight
alcohol
• Myristic acid and palmitic acids are combine with alcohol contain
Carbon 12 -30
e.g beeswax, lanolin and spermaceti
• beeswax is structural component of honeycomb
• Lanolin derived from wool used as base of for many ointment and cream
• Spermaceti is derived from sperm whale used in cosmetics,
pharmaceutical and in manufacture of candle.
• Waxes cannot be hydrolyzed by lipase no nutritional importance
Compound lipids
1. Glycolipids
2. Gangliosides
3. Phospholipids
A. Sphingophospholipid
B. glycerophospholipids
I. PHOSPHATIDIC ACIDS
II. Phosphatidylcholines (Lecithins)
III. Cephalins
IV. Plasmalogens
Glycolipids
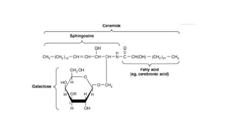
•Sphingosine (18c) and fatty acid
(22-26c ) are called ceramide
•Glycolipid containing one sugar
unit called Cerebrosides
•Cerebrosides occur in large
amounts in the white matter
•brain and in the myelin sheaths
of nerve
Various glycolipids
•Kerasin: Contains normal lignoceric acid (24c)
•Cerebron (Phrenosin): Contains hydroxy lignoceric acid
•Nervon: Contains an unsaturated homologue of
lignoceric acid
•Oxynervon: Contains hydroxy derivative of nervonic
acid.
Gangliosides
Klenk, in 1942, isolated from beef brain, a new class of carbohydrate rich
glycolipids which he called as gangliosides.
Ceramide-glucose-galactose-N-actyl galactosamine and N-
acetyl neuraminic acid (acidic amino sugar with 9 carbons)
• Gangliosides have been isolated from ganglion cells, neuronal bodies and
dendrites, spleen and RBC stroma.
• The highest concentrations are found in gray matter of brain.
•types
• The simplest and common ganglioside found in tissues is GM3,
• Gm1 is a to be the receptor in human intestine for cholera toxin
Phospholipids
• Phospholipids are compound lipids, they contain in addition to fatty
acids and glycerol/or other alcohol, a phosphoric acid residue,
nitrogen containing base and other substituents.
• 1. sphingophospholipids 2. glycerophospholipids
1. sphingophospholipids (sphingomyelin)
• Ceramide-phosphorcholine or ceramide-phosphorethanolamine
• sphingomyelin present in large amount in brain and nerve tissue
• In small amount in other tissues and blood
Glycerophospholipids
•Phospholipids containing glycerol, fatty acids
and H3po4
•They are important constituent of cellular
structure and they do not undergo
mobilization during starvation as neutral
fats.
1. PHOSPHATIDIC ACIDS
THE MAIN LIPID CONSTITUENTS OF MEMBRANES
• Phospholipids may be regarded as derivatives of
phosphatidic acid, in which the phosphate is esterified with
the —OH of a suitable alcohol.
• Phosphatidic acid is important as an intermediate in the
synthesis of triacylglycerols. Present in cells in small amount.
2. Phosphatidylcholines (Lecithins) Occur in Cell Membranes
• Phosphatidic acid + choline = lecithins
• Phosphoacylglycerols containing choline are the most abundant
phospholipids of the cell membrane and represent a large proportion of
the body's store of choline.
• Choline is important in nervous transmission, as acetylcholine.
Types of Phospholipases
• Phospholipase ‘A’ (A1): This is found in human and other mammalian
tissues. The enzyme produces degradation of lecithin. Also isolated from
cobra venom.
• Phospholipase ‘B’: This is found in association with ‘A’ and found in
mammalian tissues. Also it is isolated from certain fungus like Aspergillus
sp. and penicillium notatum.
Cephalins
• Cephalins occur in high concentration in brain
• They also take part in clotting of blood
Plasmalogens
• Skeletal muscle, heart, brain, as 10% of the phospholipids of brain.
and liver and platelets.
• Plasmalogens appear to be resistant to phospholipase
• It stimulates the aggregation of platelets.
7. STEROIDS PLAY MANY PHYSIOLOGICALLY IMPORTANT ROLES
• Cholesterol is probably the best known steroid because of its association with
atherosclerosis and heart disease. However, biochemically it is also of significance
because it is the precursor of a large number of equally important steroids that
include the bile acids, adrenocortical hormones, sex hormones (estrogen and
testosterone), D vitamins (cholecalciferol), cardiac glycosides (digoxin and digitoxin),
sitosterols of the plant kingdom, and some alkaloids.
• All steroids have a similar cyclic nucleus resembling phenanthrene (rings A, B, and C)
to which a cyclopentane ring (D) is attached. It is important to realize that in
structural formulas of steroids, a simple hexagonal ring denotes a completely
saturated six-carbon ring with all valences satisfied by hydrogen bonds unless shown
otherwise; ie, it is not a benzene ring. These occur typically at positions 10 and 13
(constituting C atoms 19 and 18). A side chain at position 17 is usual (as in
cholesterol). If the compound has one or more hydroxyl groups and no carbonyl or
carboxyl groups, it is a sterol, and the name terminates in -ol
Cholesterol Is a Significant Constituent of Many Tissues
Cholesterol is widely distributed in all cells of the body but particularly
in nervous tissue. It is a major constituent of the plasma membrane
and of plasma lipoproteins. It is often found as cholesteryl ester,
• where the hydroxyl group on position 3 is esterified with a long-chain
fatty acid. It occurs in animals but not in plants or bacteria.
Ergosterol Is a Precursor of Vitamin D
Ergosterol occurs in plants and yeast and is important
as a precursor of vitamin D. When irradiated with
ultraviolet light, ring B is opened to form vitamin D2 in
a process similar to that which forms vitamin D3 from
7-dehydrocholesterol in the skin
Eicosanoids:
•These compounds derived from eicosa (20c)
polyenoic fatty acids.
Types:
prostanoids, leukotrienes (LTs), and lipoxins (LXs).
Prostanoids include prostaglandins (PGs),
prostacyclin's (PGIs), and thromboxanes (TXs).
5. Prostaglandins:
• Exist in virtually every mammalian tissue, acting as
local hormones
• They have important physiologic and pharmacologic
activities. They are synthesized in vivo by cyclization of
the center of the carbon chain of 20-carbon (eicosanoic)
polyunsaturated fatty acids (e. g, arachidonic acid) to
form a cyclopentane ring.
Prostanoids
prostaglandins mediators of inflammatory and anaphylactic reactions
thromboxanes (mediators of vasoconstriction, coagulation)
prostacyclin's (active in the resolution phase of inflammation)
Leukotrienes
lipoxin
mediators of inflammatory
Resolve inflammatory response
Bile acids /salt
•The main difference between bile salts and bile pigments is
that bile salts are cholesterol derivatives whereas bile
pigments are by-products of the breakdown
of hemoglobin in red blood cells.
•Bile salts and bile pigments are two components of bile.
Cholic acid and chenodeoxycholic acid are the primary bile
acids in humans
• bilirubin and biliverdin are bile pigments.
•bile salts solubilize lipids in the food, improving chemical
digestion
ANTIOXIDANTS
To control and reduce lipid peroxidation, both humans use
antioxidants.
• Propyl gallate,
• butylated hydroxyanisole (BHA),
• butylated hydroxytoluene (BHT)
are antioxidants used as food additives. Naturally occurring
antioxidants include vitamin E (tocopherol), which is lipid soluble, and
vitamin C, which are water-soluble.

Biochem lec 19 25 lipids

  • 1.
  • 2.
    definition The lipids area heterogeneous group of compounds, including fats, oils, steroids, waxes, and related compounds, that are related more by their physical properties than by their chemical properties. They have the common property of being (1) relatively insoluble in water and (2) soluble in nonpolar solvents such as ether and chloroform.
  • 3.
    Functions • Can bestored in the body in almost unlimited amount in contrast to carbohydrates. • lipids around internal organs like kidney, etc. may provide padding and protect the organs. • Lipids supply so called Essential fatty acids (EFA), which cannot be synthesized in the body and are essential in the diet for normal health and growth. Three polyunsaturated fatty acids, linoleic acid, linolenic acid and arachidonic acid
  • 4.
    • Fat isstored in adipose tissue, where it also serves as a thermal insulator in the subcutaneous tissues and around certain organs. • Nonpolar lipids act as electrical conductors, allowing rapid propagation of depolarization waves along myelinated nerves. • Combinations of lipid and protein (lipoproteins) serve as the means of transporting lipids in the blood. • lipid biochemistry is necessary in understanding many important biomedical areas, e.g, obesity, diabetes mellitus, atherosclerosis, and the role of various polyunsaturated fatty acids in nutrition and health.
  • 5.
    Classification LIPIDS ARE CLASSIFIEDAS SIMPLE OR COMPLEX 1. Simple lipids: Esters of fatty acids with various alcohols. a. Fats: Esters of fatty acids with glycerol. Oils are fats in the liquid state. b. Waxes: Esters of fatty acids with higher molecular weight monohydric alcohols. 2. Complex lipids: Esters of fatty acids containing groups in addition to an alcohol and a fatty acid. a. Phospholipids: Lipids containing, in addition to fatty acids +alcohol+ phosphoric acid, nitrogen containing bases and other substituents, e.g, in glycerophospholipids the alcohol is glycerol and in sphingophospholipids the alcohol is sphingosine. b. Glycolipids (glycosphingolipids): Lipids containing a fatty acid, sphingosine, and carbohydrate e.g sphingomyelin.
  • 6.
    3. Precursor andderived lipids: These include fatty acids, glycerol, steroids, other alcohols, fatty aldehydes, ketone bodies hydrocarbons, lipid-soluble vitamins, and hormones. Because they are uncharged, acylglycerols (glycerides), cholesterol, and cholesteryl esters are termed as neutral lipids.
  • 7.
    fatty acid • Afatty acid (FA) may be defined as • an organic acid that occurs in a natural triglyceride and is a monocarboxylic acid ranging in chain length from C4 to about 24 carbon atoms. FA are obtained from hydrolysis of fats.
  • 8.
    FATTY ACIDS ALIPHATIC CARBOXYLICACIDS • Fatty acids occur in the body mainly as esters in natural fats and oils, but are found in the unesterified form as free fatty acids, a transported in the plasma. • Fatty acids that occur in natural fats usually contain an even number of carbon atoms. • The chain may be • saturated (containing no double bonds) or • unsaturated (containing one or more double bonds). Fatty Acids are named after corresponding hydrocarbons • The most frequently used systematic nomenclature names the fatty acid after the hydrocarbon with the same number and arrangement of carbon atoms, with -oic being substituted for the final (Genevan system). • Thus, saturated acids end in -anoic, eg, octanoic acid, and • unsaturated acids with double bonds end in -enoic, eg, octadecenoic acid (oleic acid).
  • 9.
    • R-COOH generalformula • Carbon atoms are numbered from the carboxyl carbon (carbon No. 1). The carbon atoms adjacent to the carboxyl carbon (Nos. 2, 3, and 4) are also known as the α,β and γ carbons, respectively, and the terminal methyl carbon is known as the ω- or n-carbon. • Various conventions use for indicating the number and position of the double bonds. E.g, 9 indicates a double bond between carbons 9 and 10 of the fatty acid; ω9 indicates a double bond on the ninth carbon counting from the ω -carbon. In animals, additional double bonds are introduced only between the existing double bond (e.g 9, 6, or 3) and the carboxyl carbon, leading to three series of fatty acids known as the 9, 6, and 3 families, respectively.
  • 10.
  • 11.
    Saturated fatty acids •Without double bonds. • Saturated fatty acids may be investaged as based on acetic acid (CH3 —COOH) as the first member of the series in which —CH2— is progressively added between the terminal CH3 — and —COOH groups. • Other higher members of the series are known to occur, particularly in waxes.
  • 13.
    Unsaturated fatty acids UnsaturatedFatty Acids Contain One or More Double Bonds. Unsaturated fatty acids may be further subdivided as follows: • Monounsaturated (monoenoic) acids, containing one double bond. • Polyunsaturated (polyenoic) acids, containing two or more double bonds. • Eicosanoids: These compounds derived from eicosa (20-carbon) polyenoic fatty acids. Types: the prostanoids, leukotrienes (LTs), and lipoxins (LXs). Prostanoids include prostaglandins (PGs), prostacyclin's (PGIs), and thromboxanes (TXs).
  • 15.
    Physical and PhysiologicProperties of Fatty Acids Reflect Chain Length and Degree of Unsaturation • The melting points of even-numbered carbon fatty acids increase with chain length and decrease according to unsaturation. • A triacylglycerol containing three saturated fatty acids of 12 carbons or more is solid at body temperature, whereas if the fatty acid residues are 18:2, it is liquid to below 0C. • The membrane lipids, which must be fluid at all environmental temperatures, are more unsaturated than storage lipids.
  • 16.
    • Solubility Ratio ofhydrophilic carboxyl group to non-polar hydrophobic residue. Acetic acid miscible with water because it contain only one hydrophobic ;methyl group Isomerism in fatty acid
  • 17.
    chemical properties • Saltformation Salt of Sodium, potassium calcium are soup • Formation of esters In combination with alcohol fatty acids form esters • Hydrogenation Production of saturated fatty acids • Halogenation • Halogenation of readily added to double bond. • Oxidation • Unsaturated fatty acids are more easily oxidize than satured fatty acids
  • 18.
  • 19.
    TRIACYLGLYCEROLS (TRIGLYCERIDES)* THE MAINSTORAGE FORMS OF FATTY ACIDS • The triacylglycerols are esters of the trihydric alcohol glycerol and fatty acids. Mono- and diacylglycerols, where in one or two fatty acids are esterified with glycerol, are also found in the tissues. These are of particular significance in the synthesis and hydrolysis of triacylglycerols.
  • 20.
    PHYSICAL PROPERTIES • Neutralfats are colourless, odourless and tasteless substances. The colour and taste of some of the naturally occurring fats is due to extraneous substances. • Solubility: They are insoluble in water but soluble in organic solvents. • Specific gravity: The specific gravity of all fats is less than 1.0, consequently all fats float in water (weight of substance/weight of equal volume of water done by pycnometer) • Emulsification: Emulsions of fat may be made by shaking vigorously in water and by emulsifying agents such as gums, soaps and proteins which produce more stable emulsions.
  • 21.
    Chemical properties • Hydrolysis; Super heated steam, By acids, or alkali, or • By the specific fat splitting enzymes lipases
  • 22.
    SOAPONIFACTION • Saponification: Hydrolysisof a fat by an alkali is called saponification. The resultant products are glycerol and the alkali salts of the fatty acids, which are called “soaps”. the no of gram of KOH required to neutralize fatty acids liberated from 1gm of fat. Short chains have high saponification no than long chain fatty acids butter fat have high saponification no that is 220 to 230 which rich in short chain fatty acid
  • 23.
    •The amount ofalkali needed to saponify a given quantity of fat will depend upon the number of –COOH group present. •Thus fats containing short chain fatty acids will have more –COOH groups per gram than long chain fatty acids and this will take up more alkali and hence will have higher saponification number.
  • 24.
    Additive Reactions • Theunsaturated fatty acids present in neutral fat exhibits all the additive reactions, i.e. hydrogenation, halogenation, etc. Oils which are liquid at ordinary room temperature, on hydrogenation become solidified. This is the basis of vanaspati (Dalda) or vegetable ghee and margarines. where inedible and cheap oils like cotton seed oil are hydrogenated and converted to edible solid fat. • The degree of halogenation is an index of unsaturated fatty acids content of fat • The no gram of iodine which will be absorbed by 100 grams of fat is termed as iodine number.
  • 25.
    Fat Iodine number Coconutoil 6-10 Butter fat 26-28 Beef fat 35-42 Human Fat 65--69 Olive oil 79-88 Cotton seed oil 103-111
  • 26.
    Rancidity • The unpleasantodour and taste developed by most natural fats on aging is referred to as rancidity. • Cause of rancidity: Rancidity may be caused by the following: • Hydrolysis of fat yields free fatty acids and glycerol and/or mono and diglycerides. • oxidative processes; oxidation of double bonds of unsaturated glycerides may form peroxides”, which then decompose to form aldehydes of objectionable odour and taste. The process is greatly enhanced by exposure to light. • Prevention of rancidity: Vegetable fats contain certain substances like vitamin E, phenols, hydroquinones, tannins and others which are antioxidants and prevents development of rancidity. Hence vegetable fats preserve for longer periods than animal fats.
  • 27.
    Waxes • Ester offatty acid with cetyl alcohol or other high molecular weight alcohol • Myristic acid and palmitic acids are combine with alcohol contain Carbon 12 -30 e.g beeswax, lanolin and spermaceti • beeswax is structural component of honeycomb • Lanolin derived from wool used as base of for many ointment and cream • Spermaceti is derived from sperm whale used in cosmetics, pharmaceutical and in manufacture of candle. • Waxes cannot be hydrolyzed by lipase no nutritional importance
  • 28.
    Compound lipids 1. Glycolipids 2.Gangliosides 3. Phospholipids A. Sphingophospholipid B. glycerophospholipids I. PHOSPHATIDIC ACIDS II. Phosphatidylcholines (Lecithins) III. Cephalins IV. Plasmalogens
  • 29.
    Glycolipids •Sphingosine (18c) andfatty acid (22-26c ) are called ceramide •Glycolipid containing one sugar unit called Cerebrosides •Cerebrosides occur in large amounts in the white matter •brain and in the myelin sheaths of nerve
  • 31.
    Various glycolipids •Kerasin: Containsnormal lignoceric acid (24c) •Cerebron (Phrenosin): Contains hydroxy lignoceric acid •Nervon: Contains an unsaturated homologue of lignoceric acid •Oxynervon: Contains hydroxy derivative of nervonic acid.
  • 32.
    Gangliosides Klenk, in 1942,isolated from beef brain, a new class of carbohydrate rich glycolipids which he called as gangliosides. Ceramide-glucose-galactose-N-actyl galactosamine and N- acetyl neuraminic acid (acidic amino sugar with 9 carbons) • Gangliosides have been isolated from ganglion cells, neuronal bodies and dendrites, spleen and RBC stroma. • The highest concentrations are found in gray matter of brain. •types • The simplest and common ganglioside found in tissues is GM3, • Gm1 is a to be the receptor in human intestine for cholera toxin
  • 33.
    Phospholipids • Phospholipids arecompound lipids, they contain in addition to fatty acids and glycerol/or other alcohol, a phosphoric acid residue, nitrogen containing base and other substituents. • 1. sphingophospholipids 2. glycerophospholipids 1. sphingophospholipids (sphingomyelin) • Ceramide-phosphorcholine or ceramide-phosphorethanolamine • sphingomyelin present in large amount in brain and nerve tissue • In small amount in other tissues and blood
  • 34.
    Glycerophospholipids •Phospholipids containing glycerol,fatty acids and H3po4 •They are important constituent of cellular structure and they do not undergo mobilization during starvation as neutral fats.
  • 35.
    1. PHOSPHATIDIC ACIDS THEMAIN LIPID CONSTITUENTS OF MEMBRANES • Phospholipids may be regarded as derivatives of phosphatidic acid, in which the phosphate is esterified with the —OH of a suitable alcohol. • Phosphatidic acid is important as an intermediate in the synthesis of triacylglycerols. Present in cells in small amount.
  • 36.
    2. Phosphatidylcholines (Lecithins)Occur in Cell Membranes • Phosphatidic acid + choline = lecithins • Phosphoacylglycerols containing choline are the most abundant phospholipids of the cell membrane and represent a large proportion of the body's store of choline. • Choline is important in nervous transmission, as acetylcholine. Types of Phospholipases • Phospholipase ‘A’ (A1): This is found in human and other mammalian tissues. The enzyme produces degradation of lecithin. Also isolated from cobra venom. • Phospholipase ‘B’: This is found in association with ‘A’ and found in mammalian tissues. Also it is isolated from certain fungus like Aspergillus sp. and penicillium notatum.
  • 37.
    Cephalins • Cephalins occurin high concentration in brain • They also take part in clotting of blood
  • 38.
    Plasmalogens • Skeletal muscle,heart, brain, as 10% of the phospholipids of brain. and liver and platelets. • Plasmalogens appear to be resistant to phospholipase • It stimulates the aggregation of platelets.
  • 39.
    7. STEROIDS PLAYMANY PHYSIOLOGICALLY IMPORTANT ROLES • Cholesterol is probably the best known steroid because of its association with atherosclerosis and heart disease. However, biochemically it is also of significance because it is the precursor of a large number of equally important steroids that include the bile acids, adrenocortical hormones, sex hormones (estrogen and testosterone), D vitamins (cholecalciferol), cardiac glycosides (digoxin and digitoxin), sitosterols of the plant kingdom, and some alkaloids. • All steroids have a similar cyclic nucleus resembling phenanthrene (rings A, B, and C) to which a cyclopentane ring (D) is attached. It is important to realize that in structural formulas of steroids, a simple hexagonal ring denotes a completely saturated six-carbon ring with all valences satisfied by hydrogen bonds unless shown otherwise; ie, it is not a benzene ring. These occur typically at positions 10 and 13 (constituting C atoms 19 and 18). A side chain at position 17 is usual (as in cholesterol). If the compound has one or more hydroxyl groups and no carbonyl or carboxyl groups, it is a sterol, and the name terminates in -ol
  • 41.
    Cholesterol Is aSignificant Constituent of Many Tissues Cholesterol is widely distributed in all cells of the body but particularly in nervous tissue. It is a major constituent of the plasma membrane and of plasma lipoproteins. It is often found as cholesteryl ester, • where the hydroxyl group on position 3 is esterified with a long-chain fatty acid. It occurs in animals but not in plants or bacteria.
  • 42.
    Ergosterol Is aPrecursor of Vitamin D Ergosterol occurs in plants and yeast and is important as a precursor of vitamin D. When irradiated with ultraviolet light, ring B is opened to form vitamin D2 in a process similar to that which forms vitamin D3 from 7-dehydrocholesterol in the skin
  • 43.
    Eicosanoids: •These compounds derivedfrom eicosa (20c) polyenoic fatty acids. Types: prostanoids, leukotrienes (LTs), and lipoxins (LXs). Prostanoids include prostaglandins (PGs), prostacyclin's (PGIs), and thromboxanes (TXs).
  • 44.
    5. Prostaglandins: • Existin virtually every mammalian tissue, acting as local hormones • They have important physiologic and pharmacologic activities. They are synthesized in vivo by cyclization of the center of the carbon chain of 20-carbon (eicosanoic) polyunsaturated fatty acids (e. g, arachidonic acid) to form a cyclopentane ring.
  • 45.
    Prostanoids prostaglandins mediators ofinflammatory and anaphylactic reactions thromboxanes (mediators of vasoconstriction, coagulation) prostacyclin's (active in the resolution phase of inflammation) Leukotrienes lipoxin mediators of inflammatory Resolve inflammatory response
  • 47.
    Bile acids /salt •Themain difference between bile salts and bile pigments is that bile salts are cholesterol derivatives whereas bile pigments are by-products of the breakdown of hemoglobin in red blood cells. •Bile salts and bile pigments are two components of bile. Cholic acid and chenodeoxycholic acid are the primary bile acids in humans • bilirubin and biliverdin are bile pigments. •bile salts solubilize lipids in the food, improving chemical digestion
  • 49.
    ANTIOXIDANTS To control andreduce lipid peroxidation, both humans use antioxidants. • Propyl gallate, • butylated hydroxyanisole (BHA), • butylated hydroxytoluene (BHT) are antioxidants used as food additives. Naturally occurring antioxidants include vitamin E (tocopherol), which is lipid soluble, and vitamin C, which are water-soluble.