Akshai George Paul
 Lipids may be regarded as organic substances insoluble
in water, soluble in organic solvents.
 Lipids are classified into:
I. Simple lipids
II. Compound lipids
III. Derived lipids
IV. Miscellaneous lipids
Esters of fatty acids with alcohols.
 Fatty acids: Aliphatic carboxylic acid
with hydrocarbon side chain.
General formula
R-CO-OH
 Where COOH – carboxylic group is the functional
group.
 Depending upon the R- group( hydrocarbon chain), the
physical properties of fatty acids are vary.
 Mainly two types:
a) Fats and oils: Esters of fatty acids with glycerol.
b) Waxes : Esters of fatty acids with alcohol other than
glycerol.
 Esters of fatty acids with alcohol containing additional
groups such as phosphate, nitrogenous base,
ceroprotein etc.
1. Phospholipids
2. Glycolipids
3. Lipoprotein
4. Other compound lipids.
 Lipids containing phosphoric acid
 Two main types
a) Glycerophospholipids : Phospholipids containing
glycerol and alcohol.
Eg: lecithin
b) Sphingophospholipids : Spingosin is the alcohol.
Eg: spingomyelin.
 Contains fatty acids, carbohydrates and nitrogenous
base.
 Spingosine is the alcohol.
 Also called glycosphingolipids.
 Glycerol and phosphate are absent.
 Macromolecular complexes of lipids and proteins.
 Sulpholipids
 Aminolipids
 Lipopolysaccharides
 Compounds which are derived from lipids or
precursors of lipids.
 Eg: Fatty acids, steroids eisosanoinds
 Large number of compounds possessing the
characteristics of lipids.
 Eg: carotinoids.
 Fatty acid are included in the gp of derived
lipids.
 Most common component of lipids in the
body
I.Depending on total number of carbon atoms
1. Even chains
2. Odd chains
II. Depending on lengh of hydrocarbon chain
1. short chain with 2-6 carbon atoms
2. medium chain with 8-14 carbon atoms
3. long chain with16-22 carbon atoms
4. very long chain fatty acids (more than
than24 carbon)
III. Depending on the nature of hydrocarbon chain
1. saturated fatty acids
2. unsaturated fatty acids
3. branched chain fatty acids
4. hydroxy fatty acids
 Most of the fattyacids occur in nature are of
even chain carbons(14C-20C)
 Due to the fact that biosynthesis of fattyacids
mainly occurs with the sequential addition of
two carbon units
 Eg: palmitic acid(16C)
 Stearic acid (18C)
 Propionic acid (3C)
 Valeric acid (5C)
 Both saturated and unsaturated fattyacid equally occur in the
natural lipids.
 They have general formula
CH3-(CH2)n-COOH
 Saturated fattyacids do not contain double bonds
 The carbon atoms of fattyacids are numbered as C1, C2 etc
starting from the methyl end the carbon atoms may be
numbered as omega(ω)1 2 3
6 5 4 3 2 1
 CH3-CH2-CH2-CH2-CH2-COOH
ω1 ω2 ω3 ω4 ω5 ω6
They are named by adding the suffix ‘anoic’ after the
hydrocarbon
eg: Caproic acid
 They are named by adding suffix ‘enoic’ after the
systemtic name
 Fattyacids with one double bond are known as
monounsaturated and those with 2 or more double
bonds are collectively known as polyunsaturated
fattyacid(PUFA)
 The general rule is that the total number of atoms are
written first , followed by the number of double bonds
and finally first carbon position of double bond, starting
from the carboxyl end
 Eg: saturated fattyacid palmitic acid is written as 16:0
 Oleic acid 18:1;9
 Arachidonic acid 20:4;5,8,11,14
 The fatty acid that cannot be synthesized by
the body , and therefore should be supplied
in the diet are known as essential
fattyacids(EFA)
 Eg: LINOLEIC ACID
LINOLENIC ACID
 Present in diary products.
 Injurious to health.
 Oils containing PUFA.
 Have high content of TFA.
 Fast food preparations have high TFA contents.
 TFA adversely affect multiple risk factors including
endothelial dysfunction, diabetes and adiposity.
1. Hydrogenation
 Unsaturated fatty acids may be converted
to the corresponding saturated fatty acids by
hydrogenation of the double bonds.
Linolenic +2H Linoleic +2H Oleic +2H Steric
 Hydrogenation of oils can leads to solidification and
saturation
 Eg: vanaspathi
 When treated with halogens under mild conditions the
unsaturated fatty acids can take up two halogen atoms
at each double bond to form the halogenated derivative
of the fatty acid.
 Oleic acid + I2 Di-iodo oleic acid
 The number of halogen atoms takenup will depend on the
number of double bonds and is an index of the degree of
unsaturation.
Increase in chain lengh and degree of saturation
(decrease in number of double bonds)lead to increase in
melting points.
So, long chain fattyacid have high melting points than
medium and short chain fattyacids .
Similarly, saturated fattyacid have higher melting point than
unsaturated fattyacid.
Among the unsaturated fattyacid ,monounsaturated fattyacid
have higher melting point than the polyunsaturated fattyacid.
 Steric acid C18 MP (690C)
 oleic acid (C181;9)MP(130C)
 Saturated and unsaturated fatty acids form salts with
alkali.
 CH3-COOH + NaOH CH3-COONa +H2O
 Sodium and potassium salts of long chain fatty acids
are called soaps .
 Both saturated and unsaturated fatty acids form esters
with alcohols especially with glycerol.
 Fatty acids can form mono, di or tri-esters with alcohol
groups of glycerol.
 Triglycerides or triacylglycerols are also called Neutral
fat.
 Glycerol + fatty acid Monoacylglycerol
 Monoglycerides + fatty acids Diacylglycerol
 Diglyceride + fatty acid TRIGLYCERIDE OR
TRIACYLGLYCEROL
 All fatty acids undergo oxidation in the body to give
energy.
 Beta oxidation is the major process by which acids are
oxidised.
 1.FATS AND OILS (TRIACYL GLYCEROL OR
NEUTRAL FATS)
 2.WAXES
 Neutral fats are also called triacylglycerols(TAG) or
triglycerides(TG)
 Esters of glycerol with fattyacids
O
CH2-O-C-R
HO-CH
CH2OH
O CH2OH
R-C- O-CH
CH2OH
2-Monoacylglycerol1-Monoacylglycerol
O
O CH2-O-C-R1
R2-C- O-CH
CH2OH
O
O CH2-O-C-R1
R2-C- O-CH O
CH2-O-C-R3
1,2- Diacylglycerol Triacylglycerol
CH2-O-CO-R
1
R-CO- O-CH
2
CH2-O-CO-R
3
α (1)
β (2)
α1 (3)
 Monoacylglycerol, diacylglycerol and triacylglycerol
respectively consisting of one , two,three molecules of
fattyacids esterified to a molecule of glycerol.
 The carbon atoms of glycerol are designated as α, β and
α1 as 1,2,3 where R represents the side chain of fatty
acids
 Naturally occuring fats and oils are mixtures of
triglycerides
 If all the three hydroxyl gps of the glycerol are esterified
to the same fattyacid a simple triacyl glycerol is formed
 Eg: Tripalmitin, Triolein etc.
 Amixed TG is formed when different fattyacid are
esterified to the hydroxyl gps of glycerol
 Generally two hydroxyl gps are esterified to similar
fattyacid and the third with a different one
 Eg: 1,3 dipalmitoyl -2 olein ,1 palmitoyl-2,3 distearin
 When a PUFA is present it is commonly esterified to
the second or beta carbon atom.
 They are hydrophobic and insoluble in water
 Oils are Liquids: 20 degree , they are triglycerides
which contain a higher proportion of unsaturated
fattyacids or short chain chain triglycerides oils are
generally of plant origin
 Fats are solids:at room temperature and contain mainly
saturated long chain fatty acids .Fats are mainly of
animal origin.
 When the fattyacids have a higher chain lengh and are
predominantly saturated hard fat is formed
 Eg: pig fat
 Fats containing medium chain TG or unsaturated
fattyacids are soft fats
 Eg:butter, coconut oil
 coconut oil contains mainly medium chain TAG
 The triacylglycerols are the storage form of lipids in
the adipose tissue.
 In a 70kg normal person body stores about 11kg of
triacylglycerol. Which is roughly equivalent to
100,000kcal
 This occurs in the body during digestion of dietary fat
and mobilization of TAG from adipose tissue .
 TG in the body are hydrolysed by enzymes,lipase.
Triacyl glycerol is sequentially hydrolysed to diacyl
glycerol and monoacyl glycerol and finally glycerol
plus 3 fattyacid.
Triacylglycerol
Diacylglycerol
Monoacylglycerol
Glycerol + Fatty acid
Lipase
Lipase
Lipase
H2O
Fatty acid
H2O
Fatty acid
+ H2O
 When TG are hydrolysed by alkali the process is
known as saponification
 The products are glycerol and soaps
CH2-O-CO-R1
CH-O-CO-R2
CH2-O-CO-R3
CH2OH
CHOH
CH2OH
+
3R
COONa
(+)3 NaOH
GlycerolTG
 It is defined as the mg (number) of KOH required to hydrolyse
(saponify) one gram of fat or oil.
 Fatty acids present in TAGs react with alcoholic KOH or NaOH to
produce glycerol and fattyacid salt of alkali metal
 Eg:Pottassium Stearate from stearic acid . Such salts have soaps
like properties .This process of formation of soap is called
 SAPONIFICATION OF FAT
 TRISTEARIN+KOH 3-POTASSIUM
STEARATE+GLYCEROL
 Iodine number of a fat is defined as the number of gms
of iodine taken up by 100 gms of iodine of fat.
 It is an index of the degree of unsaturation and is
directly proportional to the content of unsaturated
fattyacids. Higher the iodine number higher is the
degree of unsaturation
 Ex:I N: of butter is 28
 sunflower oil is 130
 Fats and oils have a tendency to become rancid , the
term rancidity refers to the apperance of an unpleasant
smell and taste for fats and oils
 HYDROLYTIC RANCIDITY
 Due to partial hydrolysis of the TG molecules due to
traces of hydrolytic enzymes present in naturally
occurring fats and oils
 Partial oxidation of unsaturated fattyacids with resultant
formation of epoxides and peroxides of small molecular wt
fattyacids by peroxides and free radicals .
 Many natural fats and oils may contain antioxidants (eg:vit:E)
which prevent the occurrence of oxidative rancidity
 PUFA are more easily oxidised ; so vegetables oils with a high
content of PUFA are usually preserved with adition of
antioxidants.
 Repeated heating of oils would lead to the formation
and polymerization of cyclic hydrocarbons . These will
impart an unpleasant smell taste and colour to the oil
 Coconut oil having medium chain saturated fatty acid
will withstand such polymerization
 They are esters of higher fattyacids with higher
monohydroxy alipatic alcohols and so have long
straight chains of 60- 100 chains
 They are used as the base for the preparation of
cosmatics ointments polishes candles etc.
COMPOUND LIPID
 1. PHOSPHOLIPID
 2. GLYCOLIPID( cerobrosides gangliosides)
 3. LIPOPROTEIN
 4. OTHER COMPLEX LIPID(sulpholipids)
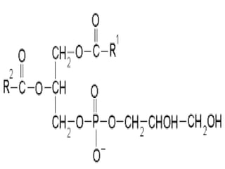
PHOSPHOLIPIDS
1. GLYCEROPHOSPHOLIPID
2. SPHINGOPHOSPHOLIPID
GLYCEROPHOSPHOLIPIDS
1.With nitrogenous base
a.Cephalin
b.Lecithin
c.Phosphatidyl serine
d.Plasmalogens
2.Without nitrogenous base
Phosphatidyl enositol
 These are complex or compound lipids
containing phosphoric acid in addition to
fatty acids nitrogenous base and alcohol
 Phospholipids are the main lipid constituent
occur in biological membrane
 Phospholipids constitute an imp:gp of
compound lipid that perform a wide variety
of funtions
 In association with proteins phospholipids
form the structural components of
membranes and regulate the membrane
permeability
 Phospholipids (lecithin cephalin and
cardiolipin) in the mitochondria are
responsible for maintaining the conformation
 Phospholipids are essential for the synthesis
of different lipoproteins and thus participate
in the transport of lipids
 Accumulation of fat in liver (fatty liver )can be
prevented by phospholipids , hence they are
regarded as lipotropic factors
 Arachidonic acid an unsaturated fattyacid
liberated from phospholipids serves as a
precursor for the synthesis of eicosanoids
(prostaglandins prostacyclins thromboxanes
etc……………..
 Phospholipids (phosphatidyl inositol)are
involved in signal transmisson across
membrane.
 Simplest phospholipid
 Phosphatidic acid is made up of one glycerol
to which two fattyacid residues are esterified
to carbon atoms 1 and 2 .
 The third hydroxyl gp is esterified to a
phosphoric acid
 Most abundant gp of phospholipid in the cell
membrane
 Chemically lecithin (Greek :lekithos-egg yolk)
is a phosphoric acid with choline as the base
 The alpha and beta positions are esterified
with fattyacidS ,Usually the fattyacid attached
to the beta carbon is a PUFA molecule
 The phosphoric acid is added to the third
position to form phosphatidic acid , the
phosphate gp is estrified to nitrogen base
choline
ACTION OF PHOSPHOLIPASES
 Phospholipases are enzymes that
hydrolyse phospholipids
1
2
3 4
1. site of action of phospholipase A1
2. site of action of phospholipase A2
3. site of action of phospholipase C
4. site of action of phospholipase D
 Lecithin lysolecithin + fatty acid
 Lecithin Acyl glycerophosphoryl choline +fatty acid
 Lecithin 1,2 diacyl glycerol + phosphoryl choline
 Lecithin phosphatidic acid + choline
Phospholipase A2
Phospholipase A1
Phospholipase C
Phospholipase D
 Different phospholipases are involved in the
hydrolysis of specfic bonds in lecithin
 Phospholipases A2 acts on an intact lecithin
molecule hydrolying the fattyacid esterified to
the beta (second) carbon atom , the products
are lysolecithin and fattyacid.
 Lysolecithin is a detergent and hemolytic
agent.
 Normal lung function depends on a constant
supply of lung surfactants.
 It is produced by epithelial cells.
 It decreases the surface tension of the
aqueous layer of lung and prevent collapse
of lung alveoli.
 Constituents of surfactants are dipalmitoyl
lecithin, phosphatidyl gycerol, cholesterol and
surfacet proteins A B C.
 During fetal life the lung synthesis
sphingomyelin before 28th week of gestation ;
but us fetus matures , more lecithin is
synthesized.
 The lecithin sphingomyelin (LS) ratio of
amniotic fluid is an index of fetal maturity.
 A ratio of 2 indicates fall lung maturity .

 Low levels of surfactants leads to respiratory
distress syndrome (RDS) which is a common
cause of neonatal morbidity
 RESPIRATORY DISTRESS SYNDROME (RDS)
It is due to a defect in the biosynthesis of
dipalmitoyl lecithin(DPL) is the main
pulmonary surfactants.
Premature infants have a higher incidence of
RDS, because the immature lungs, do not
synthesis enough DPL.
 Cephalin differs from lecithin in that the
nitrogen base ethanol amine is present
instead of choline, cephalin is also found in
biomembrane and possesses amphiphathic
properties.
 When a fattyacid is attached by an ether linkage
at C1 of gycerol in the glycerolphospholipid the
resultant compound is plasmalogen.
 The second OH gp is esterified to a fattyacid the
phosphoric acid is attached to choline or ethanol
amine
Plasmalogens are found in biomembranes brain
and muscle.
 The aminoacid serine is present in this gp of
glycerophospholipids.
 Phosphatidic acid is esterified to inositol is
phosphatidyl inositol
 Bisphosphate or PIP2 is present in
biomembranes
 This compound plays a vital role in the
mediation of hormone action on biomembranes
and acts as a second messenger.
 It is formed by esterification of phosphatidic
acid to glycerol . When 2 molecules of
phosphatidic acid are linked with a molecule
of glycerol ,diphosphatidyl glycerol or
cardiolipin is formed.
 It is the major lipid of mitochondrial
membrane
 Decreased cardiolipin level leads to
mitochondrial dysfuntion.
 The sphingosine containing lipids may be of
3 types
 1. PHOPHOSHINGOSIDES
 2. GLYCOSPHINGOLIPIDS
 3. SULFATIDES
 Sphingosine is an alcohol present in
sphingomyelin
 Sphingosine is attached by an amide linkage
to a fatty acid to produce ceramide.
Contain phosphoric acid group
A common phosphosphingoside present
abundantly in biomembrane-sphingomyelin it
contain choline
 Only sphingomyelin that contain phosphate
and have no sugar moiety.
 Found in large quantities in nervous system .
 Different sphingomyelin may be formed
depending on the fattyacid attached.
common fattyacid are lignoceric acid(24c)
nervonic acid(24c) etc………
 Because of its amphipathic nature
sphingomyelin can act as an emulsifying
agent and detergent
 Relative proportion of lecithin and
sphingomyelin is imp:in biological fluids like
bile amniotic fluid
 Sphingomyelin combined with fattyacid is
called ceramide
 GLYCOSPHINGOLIPIDS(GLYCOLIPIDS)
 Seen widely in nervous tissues .
 Do not contain phosphoric acid
 Instead they contain CHO and ceramide
 Ceramide + glucose glucocerebroside
Ceramide+ galactose galactocerebroside
 They contain 2 or more hexoses or
hexoamines attached to a ceramide molecule
 Ceremide+galactose+glucose lactosyl
 ceramide
 Lactosyl ceramide is a component of
erythrocyte membrane
 They are formed when ceramide oligo-
saccharides have atleast one molecule of
NANA(N-acetyl neuramic acid sialic
acid)attached to them.
 Ceramide –Glucose –Galactose -NANA-
predomintly found in ganglions.
 Lipoproteins are molecular complexes of
lipids with proteins they are the transport
vehicles for lipids in the circulation they are
five types of lipoproteins .
 A lipoprotein basically consists of a neutral
lipid core (with triacylglycerol/cholesteryl
ester sorrounded by a coat shell of
phospholipids apoproteins and cholesterol).
 The polar portions (amphiphilic) of
phospholipids and cholesterol are exposed
on the surface of lipoproteins so that
lipoprotein is soluble in aqueous solution.
 CLASSIFICATION OF LIPOPROTEIN
 Five major classes of lipoproteins are
identified in human plasma, based on their
separation by electrophoresis.
 1.CHYLOMICRONS: They are synthesized in
the intestine and transport dietary TG to
various tissues .
 They consists of higher (99%)quantity of lipid
and lowest (1%)concentration of protein.
 2. VLDL : Produced in liver and intestine
helps in transport of endogenously
synthesized TG.
3. LDL: They are formed from VLDL in the
blood circulation . They transport
cholesterol from liver to other tisssues .
4. HDL: Synthesized in liver .HDL particles
transport cholesterol from peripheral
tissues to liver.
5. Free fatty acid : Free fattyacids in the
circulation are in a bound form to albumin
each molecule of albumin can hold about
20- 30 molecules of free fattyacids.
 Formed when sulfate gps are attached to
ceramide oligosaccharides
 Imp:components of membranes of nervous
tissues .
 Failure of degradation of these compounds
results in accumulation of these complex
lipids in CNS.
 This gp of inbornerrors is known as lipid
storge disease.
 As per definition lipids are insoluble
(hydrophobic in water)
 This is primarily due to the predominant
presence of hydrocarbon gp.
 Some of the lipids possess polar or
hydrophilic gps . Which tend to be soluble
in water
 Molecules which contain both hydrophilic
and hydrophobic gps are known as
amphipathic (Greek :amphi:both-pathos –
passion)
EXAMPLES OF AMPHIPATHIC LIPIDS
Among the lipids ,fattyacids , phospholipids
sphingolipids bilesalts and cholesterol are
amphipathic in nature .
Phospholipids are amphipathic particularly
lecithin .
 Having both hydrophobic and hydrophilic
portion
 The glycerol along with the phosphoric acid
and choline constitute the polar head of a
phospholipid molecule . Where as the
hydrocarbon chains of the fattyacid represent
the non polar tail.
 When the amphipathic lipids are mixed in water
(aqueous phase) the polar gps (head)orient
themselves towards aqueous phase while the non
polar (tails)orient towards the opposite directions
this leads to the formation of micelles.
 They are involved in solubilization of lipids
inaqueous media and help in digestion and
absorbtion.
 They are produced when amphipathic lipids
in aqueous medium are subjected to
sonification.
 Liposome on the other hand, aggregate in a
manner that they enclose an aqueous phase .
In this interior interior aqueous phase , drugs
and other agents can be packed for delivery
to specfic sites for treatment.
 They are of potential use for gene transfer
 The molecules align themselves to form
monolayers with the polar heads pointing in
one direction and the non polar tails in the
opposite direction
 Only fattyacids with more than 6 carbon
atoms form monolayers .
 The self assembly of phospholipids into
bilayers is driven by hydrophobic interaction .
 They also act as detergents and emulsfying
agents.
 Invivo , they act as pulmonary surfacts
 Steroids are the compounds containing a
cyclic steroid nucleus (ring) namely
cyclopentanoperhydrophenanthrene (CPPP)
 It is a fused ring system made up 3
cyclohexane rings designated as A B & C and
a cyclopentane ring D.
 Total 19 carbon atoms .
 The methyl side chains (19 & 18 ) attached to
carbons 10 & 13 , at carbon 17 steroids
usually contain a side chain .
 There are several steroids in biological
system . These include cholesterol , bileacids
vitamin D sex hormones and adrenocortical
hormones.
 If the steroid contains one or more hydroxyl
gps . It is commonly known as sterol (means
solid alcohol).
 Cholesterol is exclusively found in animals
and is the most abundant animal sterol.
 It is widely distributed in all cells and is a
major component of cell membrane and
lipoproteins
 Cholesterol (Greek –chole-bile )was first
isolated from bile.
 Cholesterol literally means solid alcohol from
bile.
 Structure of cholesterol(C27H46O)
 One hydroxyl gp at C3 and a double bond
between C5 $ C6, .An 8 carbon aliphatic
chain is attached to C17.

Lipids agp
Lipids agp
Lipids agp
Lipids agp

Lipids agp

  • 1.
  • 2.
     Lipids maybe regarded as organic substances insoluble in water, soluble in organic solvents.
  • 3.
     Lipids areclassified into: I. Simple lipids II. Compound lipids III. Derived lipids IV. Miscellaneous lipids
  • 4.
    Esters of fattyacids with alcohols.  Fatty acids: Aliphatic carboxylic acid with hydrocarbon side chain. General formula R-CO-OH  Where COOH – carboxylic group is the functional group.
  • 5.
     Depending uponthe R- group( hydrocarbon chain), the physical properties of fatty acids are vary.  Mainly two types: a) Fats and oils: Esters of fatty acids with glycerol. b) Waxes : Esters of fatty acids with alcohol other than glycerol.
  • 6.
     Esters offatty acids with alcohol containing additional groups such as phosphate, nitrogenous base, ceroprotein etc. 1. Phospholipids 2. Glycolipids 3. Lipoprotein 4. Other compound lipids.
  • 7.
     Lipids containingphosphoric acid  Two main types a) Glycerophospholipids : Phospholipids containing glycerol and alcohol. Eg: lecithin b) Sphingophospholipids : Spingosin is the alcohol. Eg: spingomyelin.
  • 8.
     Contains fattyacids, carbohydrates and nitrogenous base.  Spingosine is the alcohol.  Also called glycosphingolipids.  Glycerol and phosphate are absent.
  • 9.
     Macromolecular complexesof lipids and proteins.  Sulpholipids  Aminolipids  Lipopolysaccharides
  • 10.
     Compounds whichare derived from lipids or precursors of lipids.  Eg: Fatty acids, steroids eisosanoinds
  • 11.
     Large numberof compounds possessing the characteristics of lipids.  Eg: carotinoids.
  • 12.
     Fatty acidare included in the gp of derived lipids.  Most common component of lipids in the body
  • 13.
    I.Depending on totalnumber of carbon atoms 1. Even chains 2. Odd chains II. Depending on lengh of hydrocarbon chain 1. short chain with 2-6 carbon atoms 2. medium chain with 8-14 carbon atoms 3. long chain with16-22 carbon atoms 4. very long chain fatty acids (more than than24 carbon)
  • 14.
    III. Depending onthe nature of hydrocarbon chain 1. saturated fatty acids 2. unsaturated fatty acids 3. branched chain fatty acids 4. hydroxy fatty acids
  • 15.
     Most ofthe fattyacids occur in nature are of even chain carbons(14C-20C)  Due to the fact that biosynthesis of fattyacids mainly occurs with the sequential addition of two carbon units  Eg: palmitic acid(16C)  Stearic acid (18C)
  • 16.
     Propionic acid(3C)  Valeric acid (5C)
  • 18.
     Both saturatedand unsaturated fattyacid equally occur in the natural lipids.  They have general formula CH3-(CH2)n-COOH  Saturated fattyacids do not contain double bonds  The carbon atoms of fattyacids are numbered as C1, C2 etc starting from the methyl end the carbon atoms may be numbered as omega(ω)1 2 3
  • 19.
    6 5 43 2 1  CH3-CH2-CH2-CH2-CH2-COOH ω1 ω2 ω3 ω4 ω5 ω6 They are named by adding the suffix ‘anoic’ after the hydrocarbon eg: Caproic acid
  • 21.
     They arenamed by adding suffix ‘enoic’ after the systemtic name  Fattyacids with one double bond are known as monounsaturated and those with 2 or more double bonds are collectively known as polyunsaturated fattyacid(PUFA)
  • 22.
     The generalrule is that the total number of atoms are written first , followed by the number of double bonds and finally first carbon position of double bond, starting from the carboxyl end  Eg: saturated fattyacid palmitic acid is written as 16:0  Oleic acid 18:1;9  Arachidonic acid 20:4;5,8,11,14
  • 23.
     The fattyacid that cannot be synthesized by the body , and therefore should be supplied in the diet are known as essential fattyacids(EFA)  Eg: LINOLEIC ACID LINOLENIC ACID
  • 27.
     Present indiary products.  Injurious to health.  Oils containing PUFA.  Have high content of TFA.
  • 28.
     Fast foodpreparations have high TFA contents.  TFA adversely affect multiple risk factors including endothelial dysfunction, diabetes and adiposity.
  • 29.
    1. Hydrogenation  Unsaturatedfatty acids may be converted to the corresponding saturated fatty acids by hydrogenation of the double bonds. Linolenic +2H Linoleic +2H Oleic +2H Steric  Hydrogenation of oils can leads to solidification and saturation  Eg: vanaspathi
  • 30.
     When treatedwith halogens under mild conditions the unsaturated fatty acids can take up two halogen atoms at each double bond to form the halogenated derivative of the fatty acid.  Oleic acid + I2 Di-iodo oleic acid  The number of halogen atoms takenup will depend on the number of double bonds and is an index of the degree of unsaturation.
  • 31.
    Increase in chainlengh and degree of saturation (decrease in number of double bonds)lead to increase in melting points. So, long chain fattyacid have high melting points than medium and short chain fattyacids .
  • 32.
    Similarly, saturated fattyacidhave higher melting point than unsaturated fattyacid. Among the unsaturated fattyacid ,monounsaturated fattyacid have higher melting point than the polyunsaturated fattyacid.  Steric acid C18 MP (690C)  oleic acid (C181;9)MP(130C)
  • 33.
     Saturated andunsaturated fatty acids form salts with alkali.  CH3-COOH + NaOH CH3-COONa +H2O  Sodium and potassium salts of long chain fatty acids are called soaps .
  • 34.
     Both saturatedand unsaturated fatty acids form esters with alcohols especially with glycerol.  Fatty acids can form mono, di or tri-esters with alcohol groups of glycerol.  Triglycerides or triacylglycerols are also called Neutral fat.
  • 35.
     Glycerol +fatty acid Monoacylglycerol  Monoglycerides + fatty acids Diacylglycerol  Diglyceride + fatty acid TRIGLYCERIDE OR TRIACYLGLYCEROL
  • 36.
     All fattyacids undergo oxidation in the body to give energy.  Beta oxidation is the major process by which acids are oxidised.
  • 37.
     1.FATS ANDOILS (TRIACYL GLYCEROL OR NEUTRAL FATS)  2.WAXES
  • 38.
     Neutral fatsare also called triacylglycerols(TAG) or triglycerides(TG)  Esters of glycerol with fattyacids
  • 39.
  • 40.
    O O CH2-O-C-R1 R2-C- O-CH CH2OH O OCH2-O-C-R1 R2-C- O-CH O CH2-O-C-R3 1,2- Diacylglycerol Triacylglycerol
  • 41.
  • 42.
     Monoacylglycerol, diacylglyceroland triacylglycerol respectively consisting of one , two,three molecules of fattyacids esterified to a molecule of glycerol.  The carbon atoms of glycerol are designated as α, β and α1 as 1,2,3 where R represents the side chain of fatty acids
  • 43.
     Naturally occuringfats and oils are mixtures of triglycerides  If all the three hydroxyl gps of the glycerol are esterified to the same fattyacid a simple triacyl glycerol is formed  Eg: Tripalmitin, Triolein etc.  Amixed TG is formed when different fattyacid are esterified to the hydroxyl gps of glycerol
  • 44.
     Generally twohydroxyl gps are esterified to similar fattyacid and the third with a different one  Eg: 1,3 dipalmitoyl -2 olein ,1 palmitoyl-2,3 distearin  When a PUFA is present it is commonly esterified to the second or beta carbon atom.
  • 45.
     They arehydrophobic and insoluble in water  Oils are Liquids: 20 degree , they are triglycerides which contain a higher proportion of unsaturated fattyacids or short chain chain triglycerides oils are generally of plant origin  Fats are solids:at room temperature and contain mainly saturated long chain fatty acids .Fats are mainly of animal origin.
  • 46.
     When thefattyacids have a higher chain lengh and are predominantly saturated hard fat is formed  Eg: pig fat  Fats containing medium chain TG or unsaturated fattyacids are soft fats  Eg:butter, coconut oil  coconut oil contains mainly medium chain TAG
  • 47.
     The triacylglycerolsare the storage form of lipids in the adipose tissue.  In a 70kg normal person body stores about 11kg of triacylglycerol. Which is roughly equivalent to 100,000kcal
  • 48.
     This occursin the body during digestion of dietary fat and mobilization of TAG from adipose tissue .  TG in the body are hydrolysed by enzymes,lipase. Triacyl glycerol is sequentially hydrolysed to diacyl glycerol and monoacyl glycerol and finally glycerol plus 3 fattyacid.
  • 49.
    Triacylglycerol Diacylglycerol Monoacylglycerol Glycerol + Fattyacid Lipase Lipase Lipase H2O Fatty acid H2O Fatty acid + H2O
  • 50.
     When TGare hydrolysed by alkali the process is known as saponification  The products are glycerol and soaps
  • 51.
  • 52.
     It isdefined as the mg (number) of KOH required to hydrolyse (saponify) one gram of fat or oil.  Fatty acids present in TAGs react with alcoholic KOH or NaOH to produce glycerol and fattyacid salt of alkali metal  Eg:Pottassium Stearate from stearic acid . Such salts have soaps like properties .This process of formation of soap is called  SAPONIFICATION OF FAT  TRISTEARIN+KOH 3-POTASSIUM STEARATE+GLYCEROL
  • 53.
     Iodine numberof a fat is defined as the number of gms of iodine taken up by 100 gms of iodine of fat.  It is an index of the degree of unsaturation and is directly proportional to the content of unsaturated fattyacids. Higher the iodine number higher is the degree of unsaturation  Ex:I N: of butter is 28  sunflower oil is 130
  • 54.
     Fats andoils have a tendency to become rancid , the term rancidity refers to the apperance of an unpleasant smell and taste for fats and oils  HYDROLYTIC RANCIDITY  Due to partial hydrolysis of the TG molecules due to traces of hydrolytic enzymes present in naturally occurring fats and oils
  • 55.
     Partial oxidationof unsaturated fattyacids with resultant formation of epoxides and peroxides of small molecular wt fattyacids by peroxides and free radicals .  Many natural fats and oils may contain antioxidants (eg:vit:E) which prevent the occurrence of oxidative rancidity  PUFA are more easily oxidised ; so vegetables oils with a high content of PUFA are usually preserved with adition of antioxidants.
  • 56.
     Repeated heatingof oils would lead to the formation and polymerization of cyclic hydrocarbons . These will impart an unpleasant smell taste and colour to the oil  Coconut oil having medium chain saturated fatty acid will withstand such polymerization
  • 57.
     They areesters of higher fattyacids with higher monohydroxy alipatic alcohols and so have long straight chains of 60- 100 chains  They are used as the base for the preparation of cosmatics ointments polishes candles etc.
  • 58.
    COMPOUND LIPID  1.PHOSPHOLIPID  2. GLYCOLIPID( cerobrosides gangliosides)  3. LIPOPROTEIN  4. OTHER COMPLEX LIPID(sulpholipids)
  • 59.
    PHOSPHOLIPIDS 1. GLYCEROPHOSPHOLIPID 2. SPHINGOPHOSPHOLIPID GLYCEROPHOSPHOLIPIDS 1.Withnitrogenous base a.Cephalin b.Lecithin c.Phosphatidyl serine d.Plasmalogens 2.Without nitrogenous base Phosphatidyl enositol
  • 60.
     These arecomplex or compound lipids containing phosphoric acid in addition to fatty acids nitrogenous base and alcohol  Phospholipids are the main lipid constituent occur in biological membrane
  • 61.
     Phospholipids constitutean imp:gp of compound lipid that perform a wide variety of funtions  In association with proteins phospholipids form the structural components of membranes and regulate the membrane permeability  Phospholipids (lecithin cephalin and cardiolipin) in the mitochondria are responsible for maintaining the conformation
  • 62.
     Phospholipids areessential for the synthesis of different lipoproteins and thus participate in the transport of lipids  Accumulation of fat in liver (fatty liver )can be prevented by phospholipids , hence they are regarded as lipotropic factors  Arachidonic acid an unsaturated fattyacid liberated from phospholipids serves as a precursor for the synthesis of eicosanoids (prostaglandins prostacyclins thromboxanes etc……………..
  • 63.
     Phospholipids (phosphatidylinositol)are involved in signal transmisson across membrane.
  • 64.
     Simplest phospholipid Phosphatidic acid is made up of one glycerol to which two fattyacid residues are esterified to carbon atoms 1 and 2 .  The third hydroxyl gp is esterified to a phosphoric acid
  • 66.
     Most abundantgp of phospholipid in the cell membrane  Chemically lecithin (Greek :lekithos-egg yolk) is a phosphoric acid with choline as the base  The alpha and beta positions are esterified with fattyacidS ,Usually the fattyacid attached to the beta carbon is a PUFA molecule
  • 68.
     The phosphoricacid is added to the third position to form phosphatidic acid , the phosphate gp is estrified to nitrogen base choline ACTION OF PHOSPHOLIPASES  Phospholipases are enzymes that hydrolyse phospholipids
  • 69.
  • 70.
    1. site ofaction of phospholipase A1 2. site of action of phospholipase A2 3. site of action of phospholipase C 4. site of action of phospholipase D
  • 71.
     Lecithin lysolecithin+ fatty acid  Lecithin Acyl glycerophosphoryl choline +fatty acid  Lecithin 1,2 diacyl glycerol + phosphoryl choline  Lecithin phosphatidic acid + choline Phospholipase A2 Phospholipase A1 Phospholipase C Phospholipase D
  • 72.
     Different phospholipasesare involved in the hydrolysis of specfic bonds in lecithin  Phospholipases A2 acts on an intact lecithin molecule hydrolying the fattyacid esterified to the beta (second) carbon atom , the products are lysolecithin and fattyacid.  Lysolecithin is a detergent and hemolytic agent.
  • 73.
     Normal lungfunction depends on a constant supply of lung surfactants.  It is produced by epithelial cells.  It decreases the surface tension of the aqueous layer of lung and prevent collapse of lung alveoli.
  • 74.
     Constituents ofsurfactants are dipalmitoyl lecithin, phosphatidyl gycerol, cholesterol and surfacet proteins A B C.  During fetal life the lung synthesis sphingomyelin before 28th week of gestation ; but us fetus matures , more lecithin is synthesized.  The lecithin sphingomyelin (LS) ratio of amniotic fluid is an index of fetal maturity.  A ratio of 2 indicates fall lung maturity . 
  • 75.
     Low levelsof surfactants leads to respiratory distress syndrome (RDS) which is a common cause of neonatal morbidity  RESPIRATORY DISTRESS SYNDROME (RDS) It is due to a defect in the biosynthesis of dipalmitoyl lecithin(DPL) is the main pulmonary surfactants. Premature infants have a higher incidence of RDS, because the immature lungs, do not synthesis enough DPL.
  • 76.
     Cephalin differsfrom lecithin in that the nitrogen base ethanol amine is present instead of choline, cephalin is also found in biomembrane and possesses amphiphathic properties.
  • 78.
     When afattyacid is attached by an ether linkage at C1 of gycerol in the glycerolphospholipid the resultant compound is plasmalogen.  The second OH gp is esterified to a fattyacid the phosphoric acid is attached to choline or ethanol amine Plasmalogens are found in biomembranes brain and muscle.
  • 80.
     The aminoacidserine is present in this gp of glycerophospholipids.
  • 82.
     Phosphatidic acidis esterified to inositol is phosphatidyl inositol  Bisphosphate or PIP2 is present in biomembranes  This compound plays a vital role in the mediation of hormone action on biomembranes and acts as a second messenger.
  • 84.
     It isformed by esterification of phosphatidic acid to glycerol . When 2 molecules of phosphatidic acid are linked with a molecule of glycerol ,diphosphatidyl glycerol or cardiolipin is formed.  It is the major lipid of mitochondrial membrane  Decreased cardiolipin level leads to mitochondrial dysfuntion.
  • 86.
     The sphingosinecontaining lipids may be of 3 types  1. PHOPHOSHINGOSIDES  2. GLYCOSPHINGOLIPIDS  3. SULFATIDES
  • 87.
     Sphingosine isan alcohol present in sphingomyelin  Sphingosine is attached by an amide linkage to a fatty acid to produce ceramide.
  • 88.
    Contain phosphoric acidgroup A common phosphosphingoside present abundantly in biomembrane-sphingomyelin it contain choline
  • 90.
     Only sphingomyelinthat contain phosphate and have no sugar moiety.  Found in large quantities in nervous system .  Different sphingomyelin may be formed depending on the fattyacid attached. common fattyacid are lignoceric acid(24c) nervonic acid(24c) etc………
  • 91.
     Because ofits amphipathic nature sphingomyelin can act as an emulsifying agent and detergent  Relative proportion of lecithin and sphingomyelin is imp:in biological fluids like bile amniotic fluid  Sphingomyelin combined with fattyacid is called ceramide
  • 92.
     GLYCOSPHINGOLIPIDS(GLYCOLIPIDS)  Seenwidely in nervous tissues .  Do not contain phosphoric acid  Instead they contain CHO and ceramide
  • 93.
     Ceramide +glucose glucocerebroside Ceramide+ galactose galactocerebroside
  • 94.
     They contain2 or more hexoses or hexoamines attached to a ceramide molecule  Ceremide+galactose+glucose lactosyl  ceramide  Lactosyl ceramide is a component of erythrocyte membrane
  • 95.
     They areformed when ceramide oligo- saccharides have atleast one molecule of NANA(N-acetyl neuramic acid sialic acid)attached to them.  Ceramide –Glucose –Galactose -NANA- predomintly found in ganglions.
  • 96.
     Lipoproteins aremolecular complexes of lipids with proteins they are the transport vehicles for lipids in the circulation they are five types of lipoproteins .  A lipoprotein basically consists of a neutral lipid core (with triacylglycerol/cholesteryl ester sorrounded by a coat shell of phospholipids apoproteins and cholesterol).
  • 97.
     The polarportions (amphiphilic) of phospholipids and cholesterol are exposed on the surface of lipoproteins so that lipoprotein is soluble in aqueous solution.  CLASSIFICATION OF LIPOPROTEIN  Five major classes of lipoproteins are identified in human plasma, based on their separation by electrophoresis.
  • 98.
     1.CHYLOMICRONS: Theyare synthesized in the intestine and transport dietary TG to various tissues .  They consists of higher (99%)quantity of lipid and lowest (1%)concentration of protein.  2. VLDL : Produced in liver and intestine helps in transport of endogenously synthesized TG.
  • 99.
    3. LDL: Theyare formed from VLDL in the blood circulation . They transport cholesterol from liver to other tisssues . 4. HDL: Synthesized in liver .HDL particles transport cholesterol from peripheral tissues to liver. 5. Free fatty acid : Free fattyacids in the circulation are in a bound form to albumin each molecule of albumin can hold about 20- 30 molecules of free fattyacids.
  • 101.
     Formed whensulfate gps are attached to ceramide oligosaccharides  Imp:components of membranes of nervous tissues .  Failure of degradation of these compounds results in accumulation of these complex lipids in CNS.  This gp of inbornerrors is known as lipid storge disease.
  • 102.
     As perdefinition lipids are insoluble (hydrophobic in water)  This is primarily due to the predominant presence of hydrocarbon gp.  Some of the lipids possess polar or hydrophilic gps . Which tend to be soluble in water
  • 103.
     Molecules whichcontain both hydrophilic and hydrophobic gps are known as amphipathic (Greek :amphi:both-pathos – passion) EXAMPLES OF AMPHIPATHIC LIPIDS Among the lipids ,fattyacids , phospholipids sphingolipids bilesalts and cholesterol are amphipathic in nature . Phospholipids are amphipathic particularly lecithin .
  • 104.
     Having bothhydrophobic and hydrophilic portion  The glycerol along with the phosphoric acid and choline constitute the polar head of a phospholipid molecule . Where as the hydrocarbon chains of the fattyacid represent the non polar tail.
  • 105.
     When theamphipathic lipids are mixed in water (aqueous phase) the polar gps (head)orient themselves towards aqueous phase while the non polar (tails)orient towards the opposite directions this leads to the formation of micelles.  They are involved in solubilization of lipids inaqueous media and help in digestion and absorbtion.
  • 106.
     They areproduced when amphipathic lipids in aqueous medium are subjected to sonification.  Liposome on the other hand, aggregate in a manner that they enclose an aqueous phase . In this interior interior aqueous phase , drugs and other agents can be packed for delivery to specfic sites for treatment.  They are of potential use for gene transfer
  • 107.
     The moleculesalign themselves to form monolayers with the polar heads pointing in one direction and the non polar tails in the opposite direction  Only fattyacids with more than 6 carbon atoms form monolayers .  The self assembly of phospholipids into bilayers is driven by hydrophobic interaction .
  • 108.
     They alsoact as detergents and emulsfying agents.  Invivo , they act as pulmonary surfacts
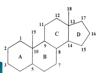
  • 113.
     Steroids arethe compounds containing a cyclic steroid nucleus (ring) namely cyclopentanoperhydrophenanthrene (CPPP)  It is a fused ring system made up 3 cyclohexane rings designated as A B & C and a cyclopentane ring D.  Total 19 carbon atoms .
  • 114.
     The methylside chains (19 & 18 ) attached to carbons 10 & 13 , at carbon 17 steroids usually contain a side chain .  There are several steroids in biological system . These include cholesterol , bileacids vitamin D sex hormones and adrenocortical hormones.  If the steroid contains one or more hydroxyl gps . It is commonly known as sterol (means solid alcohol).
  • 116.
     Cholesterol isexclusively found in animals and is the most abundant animal sterol.  It is widely distributed in all cells and is a major component of cell membrane and lipoproteins  Cholesterol (Greek –chole-bile )was first isolated from bile.  Cholesterol literally means solid alcohol from bile.
  • 117.
     Structure ofcholesterol(C27H46O)  One hydroxyl gp at C3 and a double bond between C5 $ C6, .An 8 carbon aliphatic chain is attached to C17. 