1
A Small Debate of Power of
Randomness
Abner Huang
2009-10-16
2
Power of Randomness
M. O. Rabin
The citation for the Turing Award,
awarded in 1976 jointly to Rabin and
Dana Scott for a paper written in 1959,
[1] states that the award was granted:
For their joint paper "Finite Automata
and Their Decision Problem," which
introduced the idea of nondeterministic
machines, which has proved to be an
enormously valuable concept. Their
(Scott & Rabin) classic paper has been
a continuous source of inspiration for
subsequent work in this field
3
Power of Randomness
• Quick Sort: O(n lg n)
– Worst case : O(n^2)
• Randomized Quick Sort
– Expected : O(n lg n)
• C. A. R. Hoare + M. Blum
– Quick Sort + Median : Worst-case O(n lg n)
• Is randomness really helpful?
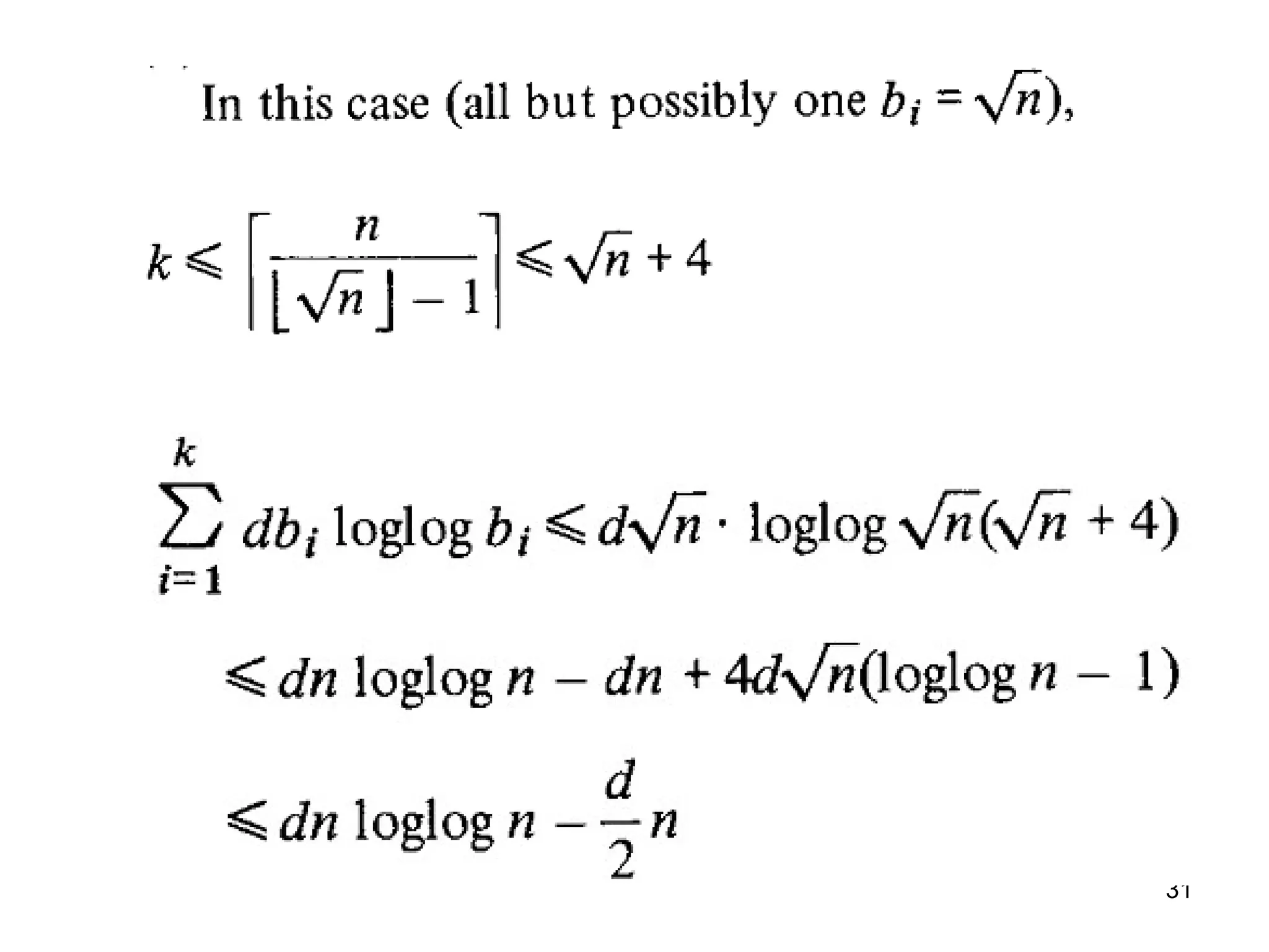
4
P = BPP?
5
The Story Was Originated at
……..
6
Closest pair of points problem
7
Closest pair of points problem
• Classical Result is O(n lg n) by divide-and-
conquer.
• Rabin proposed an expected linear time Las
Vegas randomized algorithm.
– Rabin, M. O., Traub, J. .F. (ed.) Probabilistic algorithms In Algorithms
and Complexity, New Directions and Recent Trends, Academic Press,
1976, 21-39
8
Nearest Neighbor Problem
hash
9
An Example
Let’s sample s
points from
the data set.
And compute
the minimum
distance d
among those
s points.
10
An Example (cont.)
Using the
distance d, we
will partition
the plane into
cells.
Thus each cell
has few points
11
An Example (cont.)
• If we are lucky, the adjacent cells of each
cell will contain few points. Hence we can
check it one by one.
12
However, Rabin’s proof is
complicated!
13
A Simpler Version
• Ref.: Khuller, S. & Matias, Y.
A simple randomized sieve
algorithm for the closest-pair
problem, Information and
Computation, 1995, 118, 34-
37
14
1. Pick a point uniformly at
random.
2. Compute the min. distance d
to all others.
15
3. Partition the plane into cells by
interval d/3.
16
3. Find out the elements whose neighborhood contain more
than itself.
4. If no such element, then we get the termination distance d.
Otherwise we recursive call this procedure on these selected
elements.
5. Use the termination distance d to build a mesh.
17
Suitable interval d is critical.
Key idea of Khuller’s algorithm: Approximate It.
18
Four Facts
19
Proof
Lemma
20
21
Deterministic Algorithm
• Ref.: Fortune, S. & Hopcroft, J. E.
A note on Rabin’s nearest-
neighbor algorithm Information
Processing Letters, 1979, 8, 20-23
• How powerful the
randomness in Rabin’s
algorithm is?
– It breaks the lower
bound!!! John E. Hopcroft
Turing Award in 1986
22
Key idea: re-hash S if
there is one bucket
which has more than
sqrt(n) elements.
23
An Example
Order of
input
sequence
24
An element might
appear in recursive
calls at both two
lines, e.g.,
Note that : the input sequence is
not sorted
B1 B2 B3
25
An Example of Worse Case
Order of
input
sequence
26
• This case occurs when points fall into the
same bucket but are processed by
different levels of line 5-9, where a level is
defined by one iteration of the loop (line 5-
9).
• For a call, since there at most sqrt(n)
levels, there are at most sqrt(n) points in a
bucket at line 19.
27
Its (ideal) recursive partition
Each partition have no more than
sqrt(n) elements.
If all sub-problems are disjoint, then it is easy to
show that this algorithm is in O(n lg (lg n))
28
PROOF
• In a level, after calling FINDINT to
process a non-empty bucket B with b
elements, we will increase (b-1) non-
empty sets after the call.
Let’s also
define it
a level.
29
• If we apply this idea to recursive calls at a
level and all levels, then we have
where k is the number of calls, and bi is
the size of input elements of the i-th call.
• The total cost involved those recursive
calls is bounded by
where d is a big constant.
30
• Since the slop of x log(log x) is strictly
increasing, we have the following property
for r s>2.≧
• It means to get the upper bound, more
large bi are better.
31
32
33
Discuss
• Rabin’s assumption:
– Random number is available.
– Square-Root is constant time operation.
34
Discuss
• Rabin’s assumption:
– Random number is available.
– Square-Root is constant time operation.
– Hashing function, i.e., floor is a constant
time operation.
• It is important! In Rabin’s original paper, it
only achieves O(n lg n) without hashing
method.
• In Hopcroft’s paper, it costs O(n lglg n)
deterministically.
35
Q: Is Unit-Cost Floor Function
Reasonable?
• Recall The Sorting Algorithm.
–Well known lower bound: O(n lg n)
–What does it mean?
36
Q: Is Unit-Cost Floor Function
Reasonable?
• Recall The Sorting Algorithm.
–Well known lower bound: O(n lg n)
–What does it mean?
–We can sort n numbers by c*n lg n
computation steps?
37
Q: Is Unit-Cost Floor Function
Reasonable?
• Recall The Sorting Algorithm.
– Well known lower bound: O(n lg n)
– What does it mean?
– We can sort n numbers by c*n lg n
computation steps?
– Is it reasonable, if the numbers are in the
interval from 2^{n} to 2^{2^{2^{n}}}?
38
Q: Is Unit-Cost Floor Function
Reasonable?
• Recall The Sorting Algorithm.
– Well known lower bound: O(n lg n)
– What does it mean?
– We can sort n numbers by c*n lg n
comparisons.
39
Even x+y, x-y,
xy, x/y are not
in constant
time.
40
Unit-Cost Assumptions
Moore's Law
41
Q: Is Unit-Cost Floor Function
Reasonable in Theory?
• Rabin's randomized algorithm for closest
pairs [1976].
• Schönhage 1979: If we could compute
x+y, x-y, xy, x/y, x
for any real x,y in a single step, then we
could solve NP- and even PSPACE-
complete problems in polynomial time
42
Furthermore
• A few years later, Bertoni et al. [bms-scram-
85] generalized the same approach to the
#P-complete problem #SAT: How
many satisfying assignments does this
Boolean formula have?
• Peter van Emde Boas has a great
discussion of "the unreasonable power of
integer
multiplication" in his survey of models of
computation [e-mms-90].
43
44
We now have a
deterministic O (n lg lg n)
algorithm and an
expected O(n) algorithm.
45
We now have a
deterministic O (n lg n) algorithm
and an
expected O(n) algorithm.
Happy Ending?
46
Curse of Dimensionality!!!
47
A Simple Calculus
• Given: 1 million points in 100-
dimension space.
– Clever algorithm
– 2100
~1030
– 1030
x ( 106
lg 106
)
– Brute-force method
– 106
x 106
48
High Dimensional
Geometry
How to beat the brute-force method?
Indyk, Piotr.; Motwani, Rajeev. (1998). ", Approximate Nearest
Neighbors: Towards Removing the Curse of Dimensionality.".
Proceedings of 30th Symposium on Theory of Computing.
49
It is another story.
50
THANKS FOR YOUR
ATTENTION
51
Ref.
• Rabin, M. O., Traub, J. .F. (ed.) Probabilistic algorithms
In Algorithms and Complexity, New Directions and
Recent Trends, Academic Press, 1976, 21-39
• Khuller, S. & Matias, Y. A simple randomized sieve
algorithm for the closest-pair problem, Information and
Computation, 1995, 118, 34-37
• Fortune, S. & Hopcroft, J. E. A note on Rabin’s nearest-
neighbor algorithm Information Processing Letters, 1979,
8, 20-23
52
Ref.
• Schönhage, A. On the power of random access
machines Automata, Languages and Programming:
Sixth Colloquium, Graz, Austria, July 16–20, 1979, 1979,
71, 520-529
• Bertoni, A.; Mauri, G. & Sabadini, N. Ausiello, G. &
Lucertini, M. (ed.) Simulations Among Classes of
Random Access Machines and Equivalence Among
Numbers Succinctly Represented Analysis and Design
of Algorithms for Combinatorial Problems, North-Holland,
1985, 109, 65 - 89
• van Emde Boas, P. van Leeuwen, J. (ed.) Machine
models and simulation Handbook of Theoretical
Computer Science, Elsevier, 1990, A, 1-66

A small debate of power of randomness

  • 1.
    1 A Small Debateof Power of Randomness Abner Huang 2009-10-16
  • 2.
    2 Power of Randomness M.O. Rabin The citation for the Turing Award, awarded in 1976 jointly to Rabin and Dana Scott for a paper written in 1959, [1] states that the award was granted: For their joint paper "Finite Automata and Their Decision Problem," which introduced the idea of nondeterministic machines, which has proved to be an enormously valuable concept. Their (Scott & Rabin) classic paper has been a continuous source of inspiration for subsequent work in this field
  • 3.
    3 Power of Randomness •Quick Sort: O(n lg n) – Worst case : O(n^2) • Randomized Quick Sort – Expected : O(n lg n) • C. A. R. Hoare + M. Blum – Quick Sort + Median : Worst-case O(n lg n) • Is randomness really helpful?
  • 4.
  • 5.
    5 The Story WasOriginated at ……..
  • 6.
    6 Closest pair ofpoints problem
  • 7.
    7 Closest pair ofpoints problem • Classical Result is O(n lg n) by divide-and- conquer. • Rabin proposed an expected linear time Las Vegas randomized algorithm. – Rabin, M. O., Traub, J. .F. (ed.) Probabilistic algorithms In Algorithms and Complexity, New Directions and Recent Trends, Academic Press, 1976, 21-39
  • 8.
  • 9.
    9 An Example Let’s samples points from the data set. And compute the minimum distance d among those s points.
  • 10.
    10 An Example (cont.) Usingthe distance d, we will partition the plane into cells. Thus each cell has few points
  • 11.
    11 An Example (cont.) •If we are lucky, the adjacent cells of each cell will contain few points. Hence we can check it one by one.
  • 12.
  • 13.
    13 A Simpler Version •Ref.: Khuller, S. & Matias, Y. A simple randomized sieve algorithm for the closest-pair problem, Information and Computation, 1995, 118, 34- 37
  • 14.
    14 1. Pick apoint uniformly at random. 2. Compute the min. distance d to all others.
  • 15.
    15 3. Partition theplane into cells by interval d/3.
  • 16.
    16 3. Find outthe elements whose neighborhood contain more than itself. 4. If no such element, then we get the termination distance d. Otherwise we recursive call this procedure on these selected elements. 5. Use the termination distance d to build a mesh.
  • 17.
    17 Suitable interval dis critical. Key idea of Khuller’s algorithm: Approximate It.
  • 18.
  • 19.
  • 20.
  • 21.
    21 Deterministic Algorithm • Ref.:Fortune, S. & Hopcroft, J. E. A note on Rabin’s nearest- neighbor algorithm Information Processing Letters, 1979, 8, 20-23 • How powerful the randomness in Rabin’s algorithm is? – It breaks the lower bound!!! John E. Hopcroft Turing Award in 1986
  • 22.
    22 Key idea: re-hashS if there is one bucket which has more than sqrt(n) elements.
  • 23.
  • 24.
    24 An element might appearin recursive calls at both two lines, e.g., Note that : the input sequence is not sorted B1 B2 B3
  • 25.
    25 An Example ofWorse Case Order of input sequence
  • 26.
    26 • This caseoccurs when points fall into the same bucket but are processed by different levels of line 5-9, where a level is defined by one iteration of the loop (line 5- 9). • For a call, since there at most sqrt(n) levels, there are at most sqrt(n) points in a bucket at line 19.
  • 27.
    27 Its (ideal) recursivepartition Each partition have no more than sqrt(n) elements. If all sub-problems are disjoint, then it is easy to show that this algorithm is in O(n lg (lg n))
  • 28.
    28 PROOF • In alevel, after calling FINDINT to process a non-empty bucket B with b elements, we will increase (b-1) non- empty sets after the call. Let’s also define it a level.
  • 29.
    29 • If weapply this idea to recursive calls at a level and all levels, then we have where k is the number of calls, and bi is the size of input elements of the i-th call. • The total cost involved those recursive calls is bounded by where d is a big constant.
  • 30.
    30 • Since theslop of x log(log x) is strictly increasing, we have the following property for r s>2.≧ • It means to get the upper bound, more large bi are better.
  • 31.
  • 32.
  • 33.
    33 Discuss • Rabin’s assumption: –Random number is available. – Square-Root is constant time operation.
  • 34.
    34 Discuss • Rabin’s assumption: –Random number is available. – Square-Root is constant time operation. – Hashing function, i.e., floor is a constant time operation. • It is important! In Rabin’s original paper, it only achieves O(n lg n) without hashing method. • In Hopcroft’s paper, it costs O(n lglg n) deterministically.
  • 35.
    35 Q: Is Unit-CostFloor Function Reasonable? • Recall The Sorting Algorithm. –Well known lower bound: O(n lg n) –What does it mean?
  • 36.
    36 Q: Is Unit-CostFloor Function Reasonable? • Recall The Sorting Algorithm. –Well known lower bound: O(n lg n) –What does it mean? –We can sort n numbers by c*n lg n computation steps?
  • 37.
    37 Q: Is Unit-CostFloor Function Reasonable? • Recall The Sorting Algorithm. – Well known lower bound: O(n lg n) – What does it mean? – We can sort n numbers by c*n lg n computation steps? – Is it reasonable, if the numbers are in the interval from 2^{n} to 2^{2^{2^{n}}}?
  • 38.
    38 Q: Is Unit-CostFloor Function Reasonable? • Recall The Sorting Algorithm. – Well known lower bound: O(n lg n) – What does it mean? – We can sort n numbers by c*n lg n comparisons.
  • 39.
    39 Even x+y, x-y, xy,x/y are not in constant time.
  • 40.
  • 41.
    41 Q: Is Unit-CostFloor Function Reasonable in Theory? • Rabin's randomized algorithm for closest pairs [1976]. • Schönhage 1979: If we could compute x+y, x-y, xy, x/y, x for any real x,y in a single step, then we could solve NP- and even PSPACE- complete problems in polynomial time
  • 42.
    42 Furthermore • A fewyears later, Bertoni et al. [bms-scram- 85] generalized the same approach to the #P-complete problem #SAT: How many satisfying assignments does this Boolean formula have? • Peter van Emde Boas has a great discussion of "the unreasonable power of integer multiplication" in his survey of models of computation [e-mms-90].
  • 43.
  • 44.
    44 We now havea deterministic O (n lg lg n) algorithm and an expected O(n) algorithm.
  • 45.
    45 We now havea deterministic O (n lg n) algorithm and an expected O(n) algorithm. Happy Ending?
  • 46.
  • 47.
    47 A Simple Calculus •Given: 1 million points in 100- dimension space. – Clever algorithm – 2100 ~1030 – 1030 x ( 106 lg 106 ) – Brute-force method – 106 x 106
  • 48.
    48 High Dimensional Geometry How tobeat the brute-force method? Indyk, Piotr.; Motwani, Rajeev. (1998). ", Approximate Nearest Neighbors: Towards Removing the Curse of Dimensionality.". Proceedings of 30th Symposium on Theory of Computing.
  • 49.
  • 50.
  • 51.
    51 Ref. • Rabin, M.O., Traub, J. .F. (ed.) Probabilistic algorithms In Algorithms and Complexity, New Directions and Recent Trends, Academic Press, 1976, 21-39 • Khuller, S. & Matias, Y. A simple randomized sieve algorithm for the closest-pair problem, Information and Computation, 1995, 118, 34-37 • Fortune, S. & Hopcroft, J. E. A note on Rabin’s nearest- neighbor algorithm Information Processing Letters, 1979, 8, 20-23
  • 52.
    52 Ref. • Schönhage, A.On the power of random access machines Automata, Languages and Programming: Sixth Colloquium, Graz, Austria, July 16–20, 1979, 1979, 71, 520-529 • Bertoni, A.; Mauri, G. & Sabadini, N. Ausiello, G. & Lucertini, M. (ed.) Simulations Among Classes of Random Access Machines and Equivalence Among Numbers Succinctly Represented Analysis and Design of Algorithms for Combinatorial Problems, North-Holland, 1985, 109, 65 - 89 • van Emde Boas, P. van Leeuwen, J. (ed.) Machine models and simulation Handbook of Theoretical Computer Science, Elsevier, 1990, A, 1-66

Editor's Notes

  • #7 M. I. Shamos and D. Hoey. "Closest-point problems." In Proc. 16th Annual IEEE Symposium on Foundations of Computer Science (FOCS), pp. 151—162, 1975
  • #28 T(n)=sqrt(n)*T(sqrt(n))+O(n) Note that, the term disjoint means the following case does not occur. {This case occurs when points fall into the same bucket but are processed by different rounds of line 5-9} Note that the each sub-problem does not exceed sqrt(n), so it is not like quicksort which has the worst case, T(n)=T(1)+T(n-1)+O(n). In contrast, T(n)=sqrt(n)*T(sqrt(n))+O(n) is worst case indeed.
  • #30 The total cost involved those recursive calls, in the other words, the overhead cost respect to disjoint cases. That’s, if we have a overlap case, then we give it a big overhead d*x*(lg lg x)
  • #41 Thus, it seems fine to assume floor function costs constant units in practical.