VSB Method
• VSB – Vestigial Side Band – Compromise between DSB & SSB
• In VSB method, the desired sideband is allowed completely and just a small
portion (trace/vestige) of the undesired sideband is allowed
• The transmitted vestige of undesired sideband component compensates for
the loss of wanted sideband
• Bandwidth and power requirement is greater than SSB and lesser than DSB
• Filters doesn’t require sharp cutoff frequency
• Used in transmission of picture signal in TV
VSB Modulator
• To generate the VSB signal, first generate the DSB-SC signal and send it to the
sideband filter
• The modulating signal x(t) is applied to a product modulator
• The output of the carrier oscillator is also applied to the other input of the
product modulator
VSB Modulator
• The output of the product modulator is given as
m(t)  x(t).c(t)
m(t) Vc cos2fct.x(t)    (1)
Applying fourier transform on both sides
• This DSB-SC signal is given to SSB filter which pass the wanted
sideband and vestige of unwanted sideband
• Let the transfer function of the filter be H(f)
• Hence, the spectrum of the VSB modulated signal is given as
2
S( f ) 
V
[X ( f  fc )  X ( f  fc )]H ( f )    (3)
c
2
M( f )
V
[X ( f  fc )  X ( f  fc )]    (2)
c
S( f )  M( f ) H( f )
Spectrum of VSB signal
Spectrum of message signal
Spectrum of VSB signal
• The transmission bandwidth of the VSB modulated wave is given as
BW  fm  fv
fm = Message bandwidth
fv = Width of the vestigial sideband
VSB Demodulator
• The VSB modulated wave is passed through a product modulator
where it is multiplied with the locally generated synchronous carrier
VSB Demodulator
• The output of the product modulator is given as
m(t)  s(t).c(t)
m(t) Vc cos2fct.s(t)    (1)
• Taking Fourier transform on both sides, we get
• Sub Eq.(3) in Eq.(2)
2
S( f ) 
V
[X ( f  fc )  X ( f  fc )]H ( f )    (3)
c
VSB Demodulator
4
2
M ( f ) 
 c
{X ( f )[H( f  fc )  H( f  fc )}   (4)
c c c c
X ( f  2 f )H( f  f )  X ( f  2 f )H( f  f )
c
V2
• The first term in the above expression represents the VSB modulated wave,
corresponding to a carrier frequency of 2fc
• This term will be eliminated by the filter to produce output vo(t)
• The second term in the above expression for M(f) represents the spectrum of
demodulated VSB output
4
V0 ( f )  c
{X ( f )[H( f  fc )  H( f  fc )}   (5)
V2
V2
VSB Demodulator
In order to obtain the undistorted message signal x(t) at the output of
the demodulator, Vo(f) should be a scaled version of X(f) .
For this the transfer function H(f) should satisfy the following conditions :
Where H( fc) is constant .
VSB Modulation − Advantages
 Highly efficient.
 Reduction in bandwidth.
 Filter design is easy as high accuracy is not needed.
 The transmission of low frequency components is possible, without
difficulty.
 Possesses good phase characteristics.
VSB Modulation − Disadvantages
 Bandwidth when compared to SSB is greater.
 Demodulation is complex.
VSB Modulation − Application
 The most prominent and standard application of VSB is for the transmission
of television signals.
 Also, this is the most convenient and efficient technique when bandwidth usage is
considered.
8 VSB_Generation_and_Detection.pdf
8 VSB_Generation_and_Detection.pdf
8 VSB_Generation_and_Detection.pdf
8 VSB_Generation_and_Detection.pdf

8 VSB_Generation_and_Detection.pdf

  • 1.
    VSB Method • VSB– Vestigial Side Band – Compromise between DSB & SSB • In VSB method, the desired sideband is allowed completely and just a small portion (trace/vestige) of the undesired sideband is allowed • The transmitted vestige of undesired sideband component compensates for the loss of wanted sideband • Bandwidth and power requirement is greater than SSB and lesser than DSB • Filters doesn’t require sharp cutoff frequency • Used in transmission of picture signal in TV
  • 2.
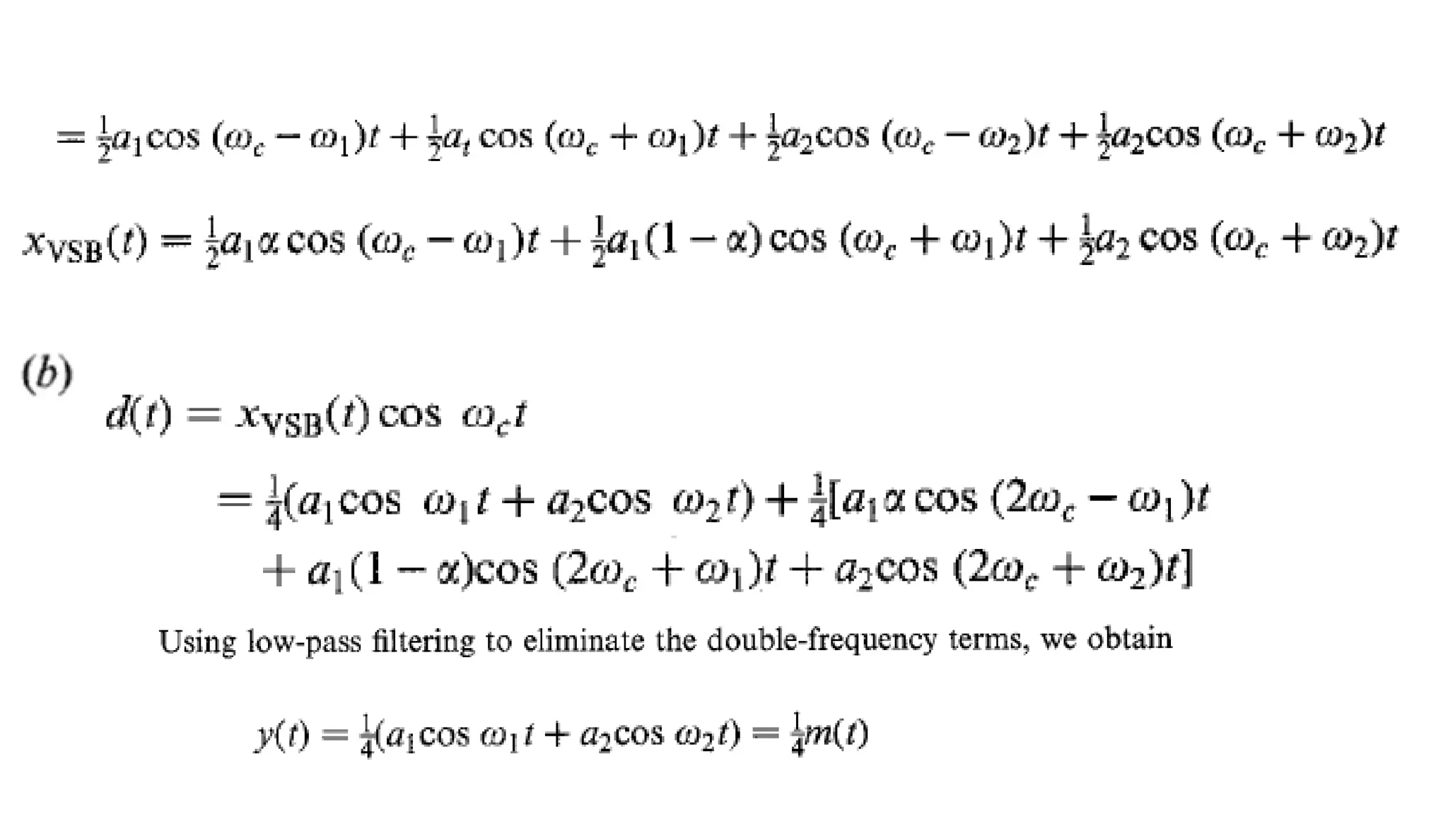
    VSB Modulator • Togenerate the VSB signal, first generate the DSB-SC signal and send it to the sideband filter • The modulating signal x(t) is applied to a product modulator • The output of the carrier oscillator is also applied to the other input of the product modulator
  • 3.
    VSB Modulator • Theoutput of the product modulator is given as m(t)  x(t).c(t) m(t) Vc cos2fct.x(t)    (1) Applying fourier transform on both sides • This DSB-SC signal is given to SSB filter which pass the wanted sideband and vestige of unwanted sideband • Let the transfer function of the filter be H(f) • Hence, the spectrum of the VSB modulated signal is given as 2 S( f )  V [X ( f  fc )  X ( f  fc )]H ( f )    (3) c 2 M( f ) V [X ( f  fc )  X ( f  fc )]    (2) c S( f )  M( f ) H( f )
  • 4.
    Spectrum of VSBsignal Spectrum of message signal Spectrum of VSB signal • The transmission bandwidth of the VSB modulated wave is given as BW  fm  fv fm = Message bandwidth fv = Width of the vestigial sideband
  • 5.
    VSB Demodulator • TheVSB modulated wave is passed through a product modulator where it is multiplied with the locally generated synchronous carrier
  • 6.
    VSB Demodulator • Theoutput of the product modulator is given as m(t)  s(t).c(t) m(t) Vc cos2fct.s(t)    (1) • Taking Fourier transform on both sides, we get • Sub Eq.(3) in Eq.(2) 2 S( f )  V [X ( f  fc )  X ( f  fc )]H ( f )    (3) c
  • 7.
    VSB Demodulator 4 2 M (f )   c {X ( f )[H( f  fc )  H( f  fc )}   (4) c c c c X ( f  2 f )H( f  f )  X ( f  2 f )H( f  f ) c V2 • The first term in the above expression represents the VSB modulated wave, corresponding to a carrier frequency of 2fc • This term will be eliminated by the filter to produce output vo(t) • The second term in the above expression for M(f) represents the spectrum of demodulated VSB output 4 V0 ( f )  c {X ( f )[H( f  fc )  H( f  fc )}   (5) V2 V2
  • 8.
    VSB Demodulator In orderto obtain the undistorted message signal x(t) at the output of the demodulator, Vo(f) should be a scaled version of X(f) . For this the transfer function H(f) should satisfy the following conditions : Where H( fc) is constant .
  • 9.
    VSB Modulation −Advantages  Highly efficient.  Reduction in bandwidth.  Filter design is easy as high accuracy is not needed.  The transmission of low frequency components is possible, without difficulty.  Possesses good phase characteristics.
  • 10.
    VSB Modulation −Disadvantages  Bandwidth when compared to SSB is greater.  Demodulation is complex.
  • 11.
    VSB Modulation −Application  The most prominent and standard application of VSB is for the transmission of television signals.  Also, this is the most convenient and efficient technique when bandwidth usage is considered.