WIRELESS COMMUNICATION
SERIES
Log Distance and Log Normal
Shadowing
Lecture Videos are available for this slides
at
www.youtube.com/gurukula
Support by Subscribing to my
Channel
• There are 2 approaches for formulating a path loss model.
• Analytical Approach – Modelled using mathematical Equations and
Assumptions
• Empirical Approach – Modelled by physical measurements and fitting a
curve by considering all know and unknown parameters.
• It is equally important to validate the model in various environments
with required frequency of transmission.
• The path loss models also enable us to predict / calculate the
important transmission parameter such as SNR, Noise Floor, and
capacity in spread spectrums.
• Pure analytical approach path loss models are inaccurate because of
Many immature assumptions made to reduce the derivation
complexity.
• This actually necessitates the modelling of a Path Loss model
considering the practical scenarios in to account.
• Eliminating the drawbacks of Previous models a realistic path loss models
can be developed in 2 ways
•Log distance Path Loss Model.
•Log Normal Shadowing Path loss model.
When we consider the path loss models formulated so far, it is clearly noted that the Received Signal power
decreases Logarithmically over distance.
𝑷𝑳 𝒅𝑩 = 𝟏𝟎 𝐥𝐨𝐠
𝑷 𝒕
𝑷 𝒓
= −𝟏𝟎𝐥𝐨𝐠
𝝀
𝟒𝝅𝑫
𝟐
𝑷𝑳 𝒅𝑩 = 𝟏𝟎 𝐥𝐨𝐠
𝑷 𝒕
𝑷 𝒓
= 10𝑙𝑜𝑔
𝒅 𝟒
𝑮 𝒕 𝑮 𝒓 𝒉 𝒕 𝒉 𝒓
𝟐
Thus the general path loss equation with respect to T-R Separation is given by
𝑃𝐿 𝑑 ∝
𝑑
𝑑 𝑜
𝑛
𝑷𝑳(𝒅) = 𝑷𝑳(𝒅 𝒐) + 𝟏𝟎 𝒏 𝐥𝐨𝐠
𝒅
𝒅 𝟎
𝑃𝐿 − 𝐸𝑛𝑠𝑒𝑚𝑏𝑙𝑒𝑑 𝐴𝑣𝑒𝑟𝑎𝑔𝑒 𝑉𝑎𝑙𝑢𝑒𝑠
𝑑 𝑜 − 𝑅𝑒𝑓𝑒𝑟𝑒𝑛𝑐𝑒 𝐷𝑖𝑠𝑡𝑎𝑛𝑐𝑒 𝑜𝑟 𝐶𝑙𝑜𝑠𝑒 𝐼𝑛 𝑑𝑖𝑠𝑡𝑎𝑛𝑐𝑒
𝑛 − 𝑃𝑎𝑡ℎ 𝐿𝑜𝑠𝑠 𝐸𝑥𝑝𝑜𝑛𝑒𝑛𝑡
• From this model it can be concluded that the path loss
exponent depends on the specific environment.
• It is also important to choose a reference value do i.e 1km
(for Out door) and 1m to 100m (for Indoor)
Environment
Path Loss
Exponent Value
Free Space 2
Urban Area 2.7 – 3.5
Shadowed Urban Region 3 – 5
In Building with Los 1.6 – 1.8
Obstructed Building 4 – 6
Obstructed Factories 2 - 3
• The log distance model did not consider the surrounding environment clutter
• Empirical methods have shown that this environment clutter be vastly
different at two different locations having the same T- R Separation.
• The log normal distribution describes the random shadowing effects which
occurs over a large number of measurement locations which have same T-R
Separation, but have different levels of clutter on the propagation path.
• This phenomenon is referred to as Log Normal Shadowing.
• Log Normal Shadowing model proposes that at any value of d, the path loss
PL(d) is RANDOM and Distributed LOG NORMALLY about mean distance
dependent
𝑃𝐿 𝑑𝐵 = 𝑃𝐿(𝑑) + 𝑿 𝝈 𝑷𝑳(𝒅) = 𝑷𝑳(𝒅 𝒐) + 𝟏𝟎 𝒏 𝐥𝐨𝐠
𝒅
𝒅 𝟎
+ 𝑿 𝝈
𝑿 𝝈 − 𝑍𝑒𝑟𝑜 𝑀𝑒𝑎𝑛 𝐺𝑎𝑢𝑠𝑠𝑖𝑎𝑛 𝐷𝑖𝑠𝑡𝑟𝑖𝑏𝑢𝑡𝑒𝑑 𝑅𝑎𝑛𝑑𝑜𝑚 𝑉𝑎𝑟𝑖𝑎𝑏𝑙𝑒 𝑤𝑖𝑡ℎ 𝑆𝑡𝑎𝑛𝑑𝑎𝑟𝑑 𝐷𝑒𝑣𝑖𝑎𝑡𝑖𝑜𝑛
In general, The close In reference distance, Path Loss Exponent , and Standard Deviation are fed to the
computer simulation to calculate the Received power at different locations
In Practice, The values of Path Loss Exponent and Standard Deviation are computed from measured data by
using linear regression. Doing so will reduce the error between the Measured and Estimated Path
Loss.
As per the log Normal Shadowing, the Path Loss is a Random variable thus it can Either be Estimated or
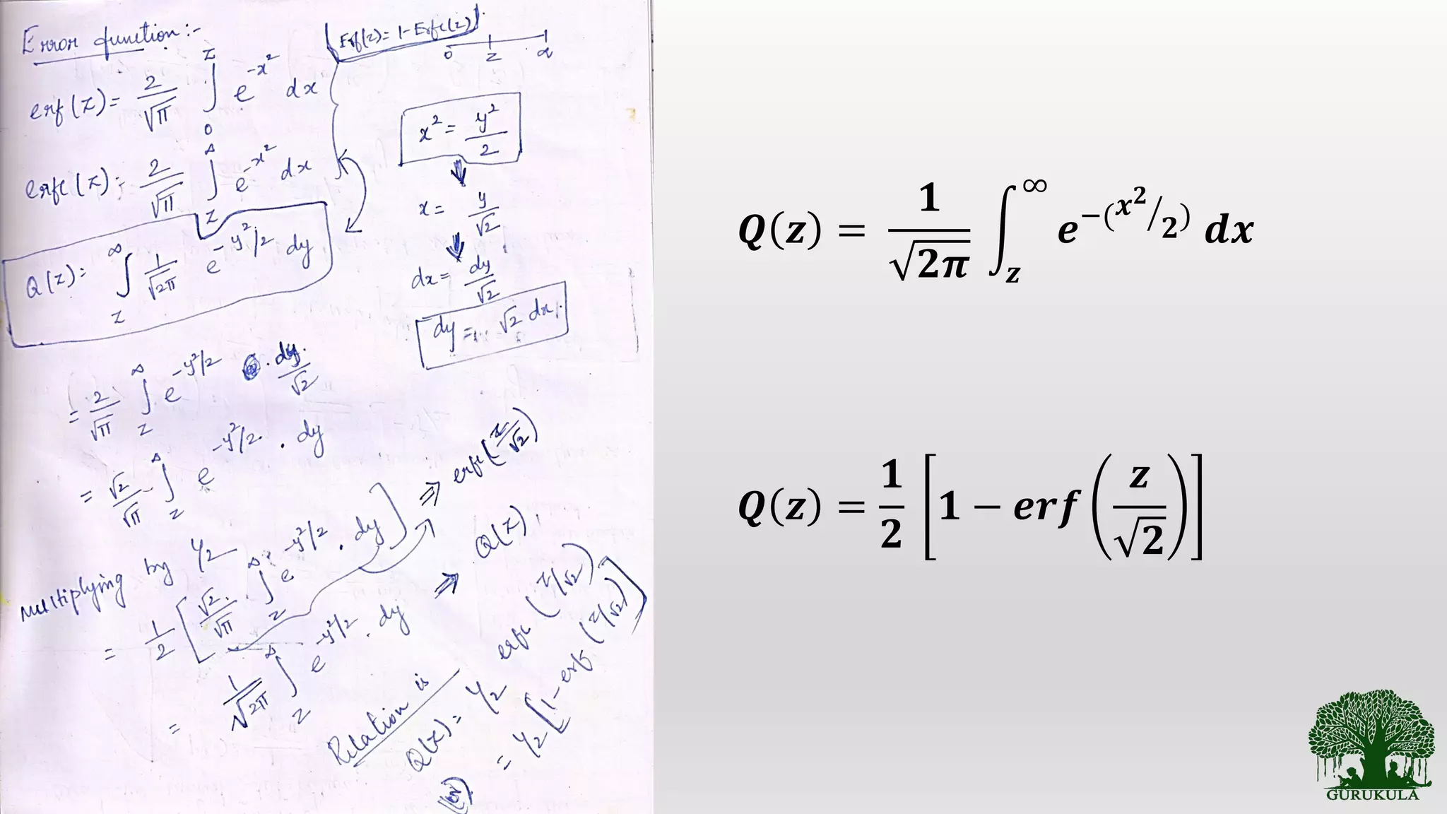
Predicted. Thus the Received Power is expressed in terms of Q Function and Error Function.
𝑸 𝒛 =
𝟏
𝟐𝝅 𝒛
∞
𝒆−( 𝒙 𝟐
𝟐)
𝒅𝒙 𝑸 𝒛 =
𝟏
𝟐
𝟏 − 𝒆𝒓𝒇
𝒛
𝟐
The Probability that the received signal level will exceed a certain value 𝛾 can be calculated from the
cumulative density function as
Similarly, the probability that the received signal level will be below 𝛾 is given by
𝑷𝒓 𝑷 𝒓 𝒅 < 𝜸 = 𝑸
𝜸 − 𝑷 𝒓(𝒅)
𝝈
𝑷𝒓 𝑷 𝒓 𝒅 < 𝜸 = 𝑸
𝑷 𝒓(𝒅) − 𝜸
𝝈
𝑷𝑳(𝒅) = 𝑷𝑳(𝒅 𝒐) + 𝟏𝟎 𝒏 𝐥𝐨𝐠
𝒅
𝒅 𝟎
+ 𝑿 𝝈
𝑿 𝝈 − 𝑍𝑒𝑟𝑜 𝑀𝑒𝑎𝑛 𝐺𝑎𝑢𝑠𝑠𝑖𝑎𝑛 𝐷𝑖𝑠𝑡𝑟𝑖𝑏𝑢𝑡𝑒𝑑 𝑅𝑎𝑛𝑑𝑜𝑚 𝑉𝑎𝑟𝑖𝑎𝑏𝑙𝑒 𝑤𝑖𝑡ℎ 𝑆𝑡𝑎𝑛𝑑𝑎𝑟𝑑 𝐷𝑒𝑣𝑖𝑎𝑡𝑖𝑜𝑛
𝑷𝒓 𝑷 𝒓 𝒅 < 𝜸 = 𝑸
𝜸 − 𝑷 𝒓(𝒅)
𝝈
𝑷𝒓 𝑷 𝒓 𝒅 < 𝜸 = 𝑸
𝑷 𝒓(𝒅) − 𝜸
𝝈
𝑸 𝒛 =
𝟏
𝟐𝝅 𝒛
∞
𝒆−( 𝒙 𝟐
𝟐)
𝒅𝒙
𝑸 𝒛 =
𝟏
𝟐
𝟏 − 𝒆𝒓𝒇
𝒛
𝟐

7. log distance and log normal shadowing

  • 1.
  • 2.
    Lecture Videos areavailable for this slides at www.youtube.com/gurukula Support by Subscribing to my Channel
  • 3.
    • There are2 approaches for formulating a path loss model. • Analytical Approach – Modelled using mathematical Equations and Assumptions • Empirical Approach – Modelled by physical measurements and fitting a curve by considering all know and unknown parameters. • It is equally important to validate the model in various environments with required frequency of transmission. • The path loss models also enable us to predict / calculate the important transmission parameter such as SNR, Noise Floor, and capacity in spread spectrums. • Pure analytical approach path loss models are inaccurate because of Many immature assumptions made to reduce the derivation complexity. • This actually necessitates the modelling of a Path Loss model considering the practical scenarios in to account.
  • 4.
    • Eliminating thedrawbacks of Previous models a realistic path loss models can be developed in 2 ways •Log distance Path Loss Model. •Log Normal Shadowing Path loss model.
  • 5.
    When we considerthe path loss models formulated so far, it is clearly noted that the Received Signal power decreases Logarithmically over distance. 𝑷𝑳 𝒅𝑩 = 𝟏𝟎 𝐥𝐨𝐠 𝑷 𝒕 𝑷 𝒓 = −𝟏𝟎𝐥𝐨𝐠 𝝀 𝟒𝝅𝑫 𝟐 𝑷𝑳 𝒅𝑩 = 𝟏𝟎 𝐥𝐨𝐠 𝑷 𝒕 𝑷 𝒓 = 10𝑙𝑜𝑔 𝒅 𝟒 𝑮 𝒕 𝑮 𝒓 𝒉 𝒕 𝒉 𝒓 𝟐 Thus the general path loss equation with respect to T-R Separation is given by 𝑃𝐿 𝑑 ∝ 𝑑 𝑑 𝑜 𝑛 𝑷𝑳(𝒅) = 𝑷𝑳(𝒅 𝒐) + 𝟏𝟎 𝒏 𝐥𝐨𝐠 𝒅 𝒅 𝟎 𝑃𝐿 − 𝐸𝑛𝑠𝑒𝑚𝑏𝑙𝑒𝑑 𝐴𝑣𝑒𝑟𝑎𝑔𝑒 𝑉𝑎𝑙𝑢𝑒𝑠 𝑑 𝑜 − 𝑅𝑒𝑓𝑒𝑟𝑒𝑛𝑐𝑒 𝐷𝑖𝑠𝑡𝑎𝑛𝑐𝑒 𝑜𝑟 𝐶𝑙𝑜𝑠𝑒 𝐼𝑛 𝑑𝑖𝑠𝑡𝑎𝑛𝑐𝑒 𝑛 − 𝑃𝑎𝑡ℎ 𝐿𝑜𝑠𝑠 𝐸𝑥𝑝𝑜𝑛𝑒𝑛𝑡 • From this model it can be concluded that the path loss exponent depends on the specific environment. • It is also important to choose a reference value do i.e 1km (for Out door) and 1m to 100m (for Indoor) Environment Path Loss Exponent Value Free Space 2 Urban Area 2.7 – 3.5 Shadowed Urban Region 3 – 5 In Building with Los 1.6 – 1.8 Obstructed Building 4 – 6 Obstructed Factories 2 - 3
  • 6.
    • The logdistance model did not consider the surrounding environment clutter • Empirical methods have shown that this environment clutter be vastly different at two different locations having the same T- R Separation. • The log normal distribution describes the random shadowing effects which occurs over a large number of measurement locations which have same T-R Separation, but have different levels of clutter on the propagation path. • This phenomenon is referred to as Log Normal Shadowing. • Log Normal Shadowing model proposes that at any value of d, the path loss PL(d) is RANDOM and Distributed LOG NORMALLY about mean distance dependent 𝑃𝐿 𝑑𝐵 = 𝑃𝐿(𝑑) + 𝑿 𝝈 𝑷𝑳(𝒅) = 𝑷𝑳(𝒅 𝒐) + 𝟏𝟎 𝒏 𝐥𝐨𝐠 𝒅 𝒅 𝟎 + 𝑿 𝝈 𝑿 𝝈 − 𝑍𝑒𝑟𝑜 𝑀𝑒𝑎𝑛 𝐺𝑎𝑢𝑠𝑠𝑖𝑎𝑛 𝐷𝑖𝑠𝑡𝑟𝑖𝑏𝑢𝑡𝑒𝑑 𝑅𝑎𝑛𝑑𝑜𝑚 𝑉𝑎𝑟𝑖𝑎𝑏𝑙𝑒 𝑤𝑖𝑡ℎ 𝑆𝑡𝑎𝑛𝑑𝑎𝑟𝑑 𝐷𝑒𝑣𝑖𝑎𝑡𝑖𝑜𝑛
  • 7.
    In general, Theclose In reference distance, Path Loss Exponent , and Standard Deviation are fed to the computer simulation to calculate the Received power at different locations In Practice, The values of Path Loss Exponent and Standard Deviation are computed from measured data by using linear regression. Doing so will reduce the error between the Measured and Estimated Path Loss. As per the log Normal Shadowing, the Path Loss is a Random variable thus it can Either be Estimated or Predicted. Thus the Received Power is expressed in terms of Q Function and Error Function. 𝑸 𝒛 = 𝟏 𝟐𝝅 𝒛 ∞ 𝒆−( 𝒙 𝟐 𝟐) 𝒅𝒙 𝑸 𝒛 = 𝟏 𝟐 𝟏 − 𝒆𝒓𝒇 𝒛 𝟐 The Probability that the received signal level will exceed a certain value 𝛾 can be calculated from the cumulative density function as Similarly, the probability that the received signal level will be below 𝛾 is given by 𝑷𝒓 𝑷 𝒓 𝒅 < 𝜸 = 𝑸 𝜸 − 𝑷 𝒓(𝒅) 𝝈 𝑷𝒓 𝑷 𝒓 𝒅 < 𝜸 = 𝑸 𝑷 𝒓(𝒅) − 𝜸 𝝈
  • 8.
    𝑷𝑳(𝒅) = 𝑷𝑳(𝒅𝒐) + 𝟏𝟎 𝒏 𝐥𝐨𝐠 𝒅 𝒅 𝟎 + 𝑿 𝝈 𝑿 𝝈 − 𝑍𝑒𝑟𝑜 𝑀𝑒𝑎𝑛 𝐺𝑎𝑢𝑠𝑠𝑖𝑎𝑛 𝐷𝑖𝑠𝑡𝑟𝑖𝑏𝑢𝑡𝑒𝑑 𝑅𝑎𝑛𝑑𝑜𝑚 𝑉𝑎𝑟𝑖𝑎𝑏𝑙𝑒 𝑤𝑖𝑡ℎ 𝑆𝑡𝑎𝑛𝑑𝑎𝑟𝑑 𝐷𝑒𝑣𝑖𝑎𝑡𝑖𝑜𝑛 𝑷𝒓 𝑷 𝒓 𝒅 < 𝜸 = 𝑸 𝜸 − 𝑷 𝒓(𝒅) 𝝈 𝑷𝒓 𝑷 𝒓 𝒅 < 𝜸 = 𝑸 𝑷 𝒓(𝒅) − 𝜸 𝝈
  • 9.
    𝑸 𝒛 = 𝟏 𝟐𝝅𝒛 ∞ 𝒆−( 𝒙 𝟐 𝟐) 𝒅𝒙 𝑸 𝒛 = 𝟏 𝟐 𝟏 − 𝒆𝒓𝒇 𝒛 𝟐