Pretend that you are shopping at a garage sale when
suddenly you hear a toy doll speaking to you. Write
about what happens next.
                      Monday
                     May 14, 2012

                            Johnny   Max Cincere Ricardo
                                                        Linder
                                       Brianna         Angel
                            Gia
                            Ramon      Ryan Christopher
                                 David          Alan G
                            Alan R        Brian Jose Andres
                             Christian
                               Adolfo
                                             Elizabeth Nyashia
                                           Emma
         Cameron              Sualee
                                                       Joey
                             Roxana          Natalie

                           Matthew        Joshua
                           Massire        Mitzy
                                                      Carlos
Morning Writing
Imagine that your family is
preparing for a garage sale to
get rid of any unwanted
household items. Your parent
has told you that you must
select at least three items
from your room to sell. What
three items would you sell?
Explain.

 Write neatly, skipping a line, and use loose­leaf (lined)
 paper. Hand in once you are finished. The work will be
 graded.
Reading ­ Learning From Nature (p. 567)

Talk About It
What can people gain
by learning about
nature?


Instill means "to put in or
introduce little by little."

Combined means "being joined together or
united."
Reading ­ Learning From Nature (p. 567)



A naturalist is a person who studies things in
nature, especially plants and animals.

Vacant means "empty."

Diverse means "different from one another."
Reading ­ Learning From Nature (p. 567)

Reading Homework
Practice book, page 163
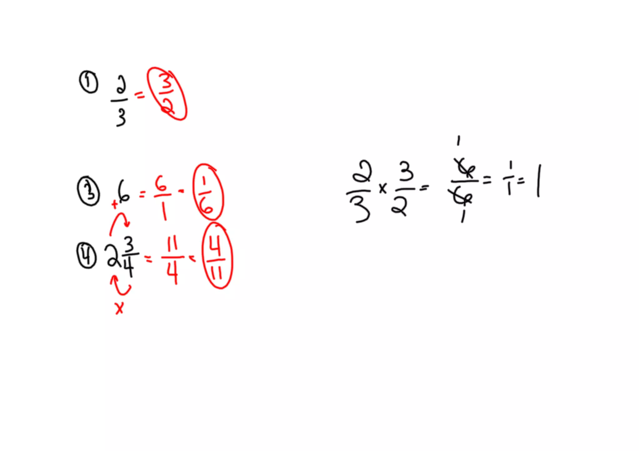
Math ­ Divide Mixed Numbers (p. 326)
How to Divide Mixed
Numbers:

Step 1
Write both numbers as
fractions.
Step 2
Multiply the dividend by
the reciprocal of the
divisor.
Step 3
Simplify
Math ­ Divide Mixed Numbers (p. 326)
How to Divide Mixed
Numbers:

Step 1
Write both numbers as
fractions.
Step 2
Multiply the dividend by
the reciprocal of the
divisor.
Step 3
Simplify
Math ­ Divide Mixed Numbers (p. 326)
How to Divide Mixed
Numbers:

Step 1
Write both numbers as
fractions.
Step 2
Multiply the dividend by
the reciprocal of the
divisor.
Step 3
Simplify
Math ­ Divide Mixed Numbers (p. 326)


Math Homework
Practice book, page 74
Spelling
Spelling ­ Pretest

1. prewash           11. misjudge
2. disable           12. discomfort
3. discolor          13. dismount
4. mistaken          14. misunderstand
5. preheats          15. disobey
6. mistrust          16. dishonest
7. incorrect         17. injustice
8. disconnect        18. disapprove
9. preview           19. inexpensive
10. prejudge         20. indefinite
Spelling ­ Word Meanings
Write the spelling word that has the same, or almost the same, meaning.

1. wrong incorrect                 6. go against the rules disobey
2. lying dishonest                 7. staindiscolor
3. unsure; unclear indefinite      8. uneasiness discomfort
4. cheap inexpensive               9. divide disconnect
5. frown ondisapprove              10. get down or get off
                                                               dismount
Spelling ­ Word Meanings
Complete each sentence using the correct spelling word.
                                      mistaken
11. Due to her haircut, she often was _____________ for her.

12. Since Lewis and Clark had no map, it was easy to
 misjudge
____________ distances.

                                              preview
13. When Clark first saw the ocean, he had a ____________
of what we see today.
Spelling ­ Word Meanings
Complete each sentence using the correct spelling word.
                                  disable
14. Joseph Andrews once tried to ___________ the
machines that chop down trees.

15. The destruction of our natural environment is a real
     injustice
_____________.

16. We began to ___________ him when he continued to lie
                mistrust
to us.
Spelling ­ Word Meanings
Complete each sentence using the correct spelling word.
17. When you ____________ your clothes, you use up more
               Prewash
water.

18. His mother preheats the oven before cooking
               ____________
dinner.
Language Arts ­ Commas with Introductory Prepositional
Phrases and Interjections (p. 438)
RULES
Use a comma after a
prepositional phrase at the
beginning of a sentence.

For protection against
sunburn, I wear sunscreen.

Use a comma after a mild
interjection.

My, this sunburn is
uncomfortable.
Language Arts ­ Commas with Introductory Prepositional
Phrases and Interjections (p. 438)
 Use a comma to invert the order of a sentence that has
 a prepositional phrase.

 Original:    Our skin can be damaged from the sun.

 Inverted:    From the sun, our skin can be damaged.

Think and Write
Why is it important to know how to use
commas with prepositional phrases and
interjections? Write your ideas in your
notebook.
Language Arts ­ Commas with Introductory Prepositional
Phrases and Interjections (p. 438)
Guided Practice
Name the prepositional phrase or the interjection in each sentence.


1. In the shade, you can still get a sunburn.

2. After a sunburn, our skin is tender.

3. Gee, sunscreen can protect our skin.

4. Before outdoor activity, put on sunscreen.

5. Oh, wear a hat to protect the skin, too.
Language Arts ­ Commas with Introductory Prepositional
Phrases and Interjections (p. 438)
Guided Practice
Name the prepositional phrase or the interjection in each sentence.


6. Why, Darla! Apply sunscreen before you play tennis.

7. Below the eyes, the skin is very delicate.

8. With your fingers, apply the cream.

9. Yuck! I hate the smell!

10. On hot days, wear white.
Language Arts ­ Commas with Introductory Prepositional
Phrases and Interjections (p. 438)
More Practice
Complete exercise 11­25.

Writing Activity ­ A Story
Write a story about someone who gets a sunburn on the
first day of vacation. Be sure your story has a strong
beginning, middle, and end.
APPLY MECHANICS AND USAGE: Draw one line
under each prepositional phrase and two lines under
each interjections.
Language Arts ­ Commas with Introductory Prepositional
Phrases and Interjections (p. 438)

Language Arts
Homework
Textbook, page 499, 1­10
Religion ­ Chapter 17 Review

Class Work
• Read pages 196­203
• Define ALL Key Words
• Copy the statements:
1. Jesus heals those who are sick
2. Jesus' Apostles preach and heal in
his name.
3. The Church continues Jesus'
healing ministry.
4. We are called to care for those
who are sick.

Homework
• Study for quiz on Tuesday
Homework Summary ­ Monday, May 14, 2012

Reading
1. Practice book, page 163

Math
1. Practice book, page 74

Language Arts
1. Textbook, page 499, 1­10

Religion
1. Study for quiz
Range:

     Mode:




4
    Median:

     Mean:
    Reward
    10    Pizza Party
    8­9   Wheel of Fun
    7     Spelling
    6     BrainPOP
    4­5   Silent Snack
    2­3   Class Work
    1     No Snack
Attachments



     imgres

     948869

5.14.12 classwork monday

  • 1.
    Pretend that youare shopping at a garage sale when suddenly you hear a toy doll speaking to you. Write about what happens next. Monday May 14, 2012 Johnny Max Cincere Ricardo Linder Brianna Angel Gia Ramon Ryan Christopher David Alan G Alan R Brian Jose Andres Christian Adolfo Elizabeth Nyashia Emma Cameron Sualee Joey Roxana Natalie Matthew Joshua Massire Mitzy Carlos
  • 2.
    Morning Writing Imagine thatyour family is preparing for a garage sale to get rid of any unwanted household items. Your parent has told you that you must select at least three items from your room to sell. What three items would you sell? Explain. Write neatly, skipping a line, and use loose­leaf (lined) paper. Hand in once you are finished. The work will be graded.
  • 3.
    Reading ­ LearningFrom Nature (p. 567) Talk About It What can people gain by learning about nature? Instill means "to put in or introduce little by little." Combined means "being joined together or united."
  • 4.
    Reading ­ LearningFrom Nature (p. 567) A naturalist is a person who studies things in nature, especially plants and animals. Vacant means "empty." Diverse means "different from one another."
  • 5.
    Reading ­ LearningFrom Nature (p. 567) Reading Homework Practice book, page 163
  • 6.
    Math ­ DivideMixed Numbers (p. 326) How to Divide Mixed Numbers: Step 1 Write both numbers as fractions. Step 2 Multiply the dividend by the reciprocal of the divisor. Step 3 Simplify
  • 7.
    Math ­ DivideMixed Numbers (p. 326) How to Divide Mixed Numbers: Step 1 Write both numbers as fractions. Step 2 Multiply the dividend by the reciprocal of the divisor. Step 3 Simplify
  • 8.
    Math ­ DivideMixed Numbers (p. 326) How to Divide Mixed Numbers: Step 1 Write both numbers as fractions. Step 2 Multiply the dividend by the reciprocal of the divisor. Step 3 Simplify
  • 10.
    Math ­ DivideMixed Numbers (p. 326) Math Homework Practice book, page 74
  • 11.
  • 12.
    Spelling ­ Pretest 1.prewash 11. misjudge 2. disable 12. discomfort 3. discolor 13. dismount 4. mistaken 14. misunderstand 5. preheats 15. disobey 6. mistrust 16. dishonest 7. incorrect 17. injustice 8. disconnect 18. disapprove 9. preview 19. inexpensive 10. prejudge 20. indefinite
  • 13.
    Spelling ­ WordMeanings Write the spelling word that has the same, or almost the same, meaning. 1. wrong incorrect 6. go against the rules disobey 2. lying dishonest 7. staindiscolor 3. unsure; unclear indefinite 8. uneasiness discomfort 4. cheap inexpensive 9. divide disconnect 5. frown ondisapprove 10. get down or get off dismount
  • 14.
    Spelling ­ WordMeanings Complete each sentence using the correct spelling word. mistaken 11. Due to her haircut, she often was _____________ for her. 12. Since Lewis and Clark had no map, it was easy to misjudge ____________ distances. preview 13. When Clark first saw the ocean, he had a ____________ of what we see today.
  • 15.
    Spelling ­ WordMeanings Complete each sentence using the correct spelling word. disable 14. Joseph Andrews once tried to ___________ the machines that chop down trees. 15. The destruction of our natural environment is a real injustice _____________. 16. We began to ___________ him when he continued to lie mistrust to us.
  • 16.
    Spelling ­ WordMeanings Complete each sentence using the correct spelling word. 17. When you ____________ your clothes, you use up more Prewash water. 18. His mother preheats the oven before cooking ____________ dinner.
  • 17.
    Language Arts ­Commas with Introductory Prepositional Phrases and Interjections (p. 438) RULES Use a comma after a prepositional phrase at the beginning of a sentence. For protection against sunburn, I wear sunscreen. Use a comma after a mild interjection. My, this sunburn is uncomfortable.
  • 18.
    Language Arts ­Commas with Introductory Prepositional Phrases and Interjections (p. 438) Use a comma to invert the order of a sentence that has a prepositional phrase. Original: Our skin can be damaged from the sun. Inverted: From the sun, our skin can be damaged. Think and Write Why is it important to know how to use commas with prepositional phrases and interjections? Write your ideas in your notebook.
  • 19.
    Language Arts ­Commas with Introductory Prepositional Phrases and Interjections (p. 438) Guided Practice Name the prepositional phrase or the interjection in each sentence. 1. In the shade, you can still get a sunburn. 2. After a sunburn, our skin is tender. 3. Gee, sunscreen can protect our skin. 4. Before outdoor activity, put on sunscreen. 5. Oh, wear a hat to protect the skin, too.
  • 20.
    Language Arts ­Commas with Introductory Prepositional Phrases and Interjections (p. 438) Guided Practice Name the prepositional phrase or the interjection in each sentence. 6. Why, Darla! Apply sunscreen before you play tennis. 7. Below the eyes, the skin is very delicate. 8. With your fingers, apply the cream. 9. Yuck! I hate the smell! 10. On hot days, wear white.
  • 21.
    Language Arts ­Commas with Introductory Prepositional Phrases and Interjections (p. 438) More Practice Complete exercise 11­25. Writing Activity ­ A Story Write a story about someone who gets a sunburn on the first day of vacation. Be sure your story has a strong beginning, middle, and end. APPLY MECHANICS AND USAGE: Draw one line under each prepositional phrase and two lines under each interjections.
  • 22.
    Language Arts ­Commas with Introductory Prepositional Phrases and Interjections (p. 438) Language Arts Homework Textbook, page 499, 1­10
  • 23.
    Religion ­ Chapter17 Review Class Work • Read pages 196­203 • Define ALL Key Words • Copy the statements: 1. Jesus heals those who are sick 2. Jesus' Apostles preach and heal in his name. 3. The Church continues Jesus' healing ministry. 4. We are called to care for those who are sick. Homework • Study for quiz on Tuesday
  • 24.
    Homework Summary ­Monday, May 14, 2012 Reading 1. Practice book, page 163 Math 1. Practice book, page 74 Language Arts 1. Textbook, page 499, 1­10 Religion 1. Study for quiz
  • 25.
    Range: Mode: 4 Median: Mean: Reward 10 Pizza Party 8­9 Wheel of Fun 7 Spelling 6 BrainPOP 4­5 Silent Snack 2­3 Class Work 1 No Snack
  • 26.
    Attachments imgres 948869