If you were a flower, would you rather be planted in a
garden at someone's house or at a park? Explain.

                                Carlos
                        Wednesday        Max        Linder
                        May 2, 2012
                                         Angel
                                                    Cameron
                               Jose         Brian
                                    Alan G                 Ramon
                               Gia
                              David          Andres       Johnny
                               Emma           Cincere
                                       Natalie        Elizabeth
                                  Alan R    Brianna
                              Adolfo
                                  Joshua
                                  Roxana Ricardo       Ryan
                             Christian
                                       Christopher
                                Sualee
                                                       Nyashia
                                      Mitzy
                             Massire          Matthew
                                                            Joey
Morning Writing
The first full week in May
is Be Kind to Animals
Week. Write a poem or
a paragraph that
expresses the
importance of animals in
your life.
 Write neatly, skipping a line, and use loose­leaf (lined)
 paper. Hand in once you are finished. The work will be
 graded.
Reading ­ Juanita and the Cornstalk (p. 544)

Dictionary
Use a dictionary when you
want to check a Word Origin.
The definition may include
information about the word.
For example, the dictionary
entry for bedlam explains the
word comes from a 16th
century hospital in London
that treated people with
mental illness. (see pull)
  bed­lam [bed­luhm]

                                               pull
  Origin: a popular name for the Hospital of
  St. Mary of Bethlehem in London, which
  served as a lunatic asylum.
Reading



A shortage occurs when there is not enough
of something.

Bedlam is a state of wild uproar and
confusion.

An outcast is a person not accepted by
other people.
Reading



Reflected can refer to light rays or sounds
that strike a surface and bounce back.

A strategy is a plan for achieving a goal.

Something that is traditional is passed down
from parents to their children.
Reading



Civilization is an advanced stage of human
organization and culture.

Something complex is difficult to understand
or do.
Reading ­ Juanita and the Cornstalk (p. 544)

Reading Homework
Use Vocabulary Words in a
sentence.
Math ­ Multiply Mixed Numbers (p. 310)
How to Multiply Mixed
Numbers

Step 1:
Rename the mixed number as
an improper fraction.

Step 2:
Cross reduce, if possible

Step 3:
Multiply numerators and
denominators

Step 4:
Simplify
Math ­ Multiply Mixed Numbers (p. 310)
How to Multiply Mixed
Numbers

Step 1:
Rename the mixed number as
an improper fraction.

Step 2:
Cross reduce, if possible

Step 3:
Multiply numerators and
denominators

Step 4:
Simplify
Math ­ Multiply Mixed Numbers (p. 310)
How to Multiply Mixed
Numbers

Step 1:
Rename the mixed number as
an improper fraction.

Step 2:
Cross reduce, if possible

Step 3:
Multiply numerators and
denominators

Step 4:
Simplify
Math ­ Multiply Mixed Numbers (p. 310)
How to Multiply Mixed
Numbers

Step 1:
Rename the mixed number as
an improper fraction.

Step 2:
Cross reduce, if possible

Step 3:
Multiply numerators and
denominators

Step 4:
Simplify
Math ­ Multiply Mixed Numbers (p. 310)

Math Homework
Practice book, page 68
Spelling ­ Pretest

1. sweet             11. pier
2. peel              12. waist
3. peer              13. currant
4. pole              14. presents
5. poll              15. counsel
6. peal              16. presence
7. waste             17. council
8. manner            18. stationary
9. current           19. stationery
10. manor            20. suite
Spelling ­ Word Meanings
1. Wesley used the leaves of his plant to make ___________ for writing
letters.
2. The fruit in Weslandia was yellow in color and tasted ___________.
3. Wesley helped the plant grow around a __________ to keep it from
falling down.
4. Wesley used everything that grew in Weslandia, so there was never
any __________.
5. Wesley's parents heard a _________ of laughter coming from behind
the plant.
6. Busy in the world of Weslandia, Wesley lost track of __________ events.
7. Wesley used to be scared in the ____________ of older boys.
8. The boys in the neighborhood wanted to help form a ____________ for
Weslandia.
9. Before creating Weslandia, Wesley always acted in a shy, quite
___________.
10. In his swing, Wesley was able to __________ around the corner without
being seen.
Spelling ­ Word Definitions
Complete each sentence with the correct spelling word.




   1. Wesley used the leaves of his plant to
           stationery
   make _______________ for writing letters.




               Write (or type) spelling word above
Spelling ­ Word Definitions
Complete each sentence with the correct spelling word.




    2. The fruit in Weslandia was yellow in
                              Sweet
    color and tasted ___________.




               Write (or type) spelling word above
Spelling ­ Word Definitions
Complete each sentence with the correct spelling word.




 3. Wesley helped the plant grow around
 a __________ to keep it from falling down.
     Pole




               Write (or type) spelling word above
Spelling ­ Word Definitions
Complete each sentence with the correct spelling word.



   4. Wesley used everything that grew in
   Weslandia, so there was never any
     waste
   __________.




               Write (or type) spelling word above
Spelling ­ Word Definitions
Complete each sentence with the correct spelling word.




  5. Wesley's parents heard a _________ of
                                peal
  laughter coming from behind the plant.




               Write (or type) spelling word above
Spelling ­ Word Definitions
Complete each sentence with the correct spelling word.




  6. Busy in the world of Weslandia, Wesley
                 current
  lost track of __________ events.




               Write (or type) spelling word above
Spelling ­ Word Definitions
Complete each sentence with the correct spelling word.




      7. Wesley used to be scared in the
      ____________ of older boys.
        presence




               Write (or type) spelling word above
Spelling ­ Word Definitions
Complete each sentence with the correct spelling word.




 8. The boys in the neighborhood wanted
 to help form a council
                 ____________ for Weslandia.




               Write (or type) spelling word above
Spelling ­ Word Definitions
Complete each sentence with the correct spelling word.




 9. Before creating Weslandia, Wesley
 always acted in a shy, quite manner
                              ___________.




               Write (or type) spelling word above
Spelling ­ Word Definitions
Complete each sentence with the correct spelling word.



   10. In his swing, Wesley was able to
        peer
   __________ around the corner without
   being see.




               Write (or type) spelling word above
Spelling ­ Word Definitions


Spelling Homework
ABC order ten times each.
Language Arts ­ Prepositional Phrases (p. 430)

RULES
A prepositional phrase is a group of
words that begins with a
preposition and ends with a noun or
pronoun.

The heart is an organ in the body.

The object of a preposition is the
noun or pronoun that follows the
preposition.

The heart is an organ in the body.
Language Arts ­ Prepositional Phrases (p. 430)

A prepositional phrase can be at the beginning, in the
middle, or at the end of a sentences. A phrase is a group
of words that does not have a subject and a predicate.

Beginning      During exercise, our heart beats faster.

Middle         The heart inside your body beats regularly.

End            Swimming and running are examples of
               exercise.
Language Arts ­ Prepositional Phrases (p. 430)


Class Work
Extra Practice 1­25 on page 495.

Write each sentence and draw one line
under each prepositional phrase.
Language Arts ­ Prepositional Phrases (p. 430)
Underline the prepositional phrase in each sentence.

1. There was a town that did without television.

2. Most people in the town stopped watching TV.

3. They did not watch television for a whole week.

4. During that week, their lives changed.

5. Some of the families started doing things together.
Language Arts ­ Prepositional Phrases (p. 430)
Underline the prepositional phrase in each sentence.

6. Some families went to museums.

7. Other families worked together around the house.

8. People talked with one another more often.

9. Families sat at the dinner table and talked.

10. Parents learned about school activities.
Language Arts ­ Prepositional Phrases (p. 430)
Underline the prepositional phrase in each sentence.

11. Children went into their rooms and did homework.

12. After one week, the townspeople watched TV again.

13. Almost everyone waited until the last day.

14. Today they look at the good television programs.

15. However, they also do things away from the TV.
Social Studies ­ Colonists Speak Out (p. 230)

Class Work
• Define Vocabulary Words
• Read pages 231­236
• Questions 1­4 (p. 236)


Homework
Reading Check questions:
• page 231
• page 233
• page 234
• page 236
Homework Summary ­ Wednesday, May 2, 2012

Reading
1. Use Vocabulary Words in a sentence

Math
1. Practice book, page 68

Spelling
1. ABC order ten times each

Social Studies
Reading Check questions:
• page 231
• page 233
• page 234
• page 236
5   Reward
    10
    8­9
    7
    6
    4­5
          Pizza Party
          Wheel of Fun
          Spelling
          BrainPOP
          Class Work
    2­3   Silent Snack
    1     No Snack
Attachments



     imgres

     948869

5.2.12 classwork wednesday

  • 1.
    If you werea flower, would you rather be planted in a garden at someone's house or at a park? Explain. Carlos Wednesday Max Linder May 2, 2012 Angel Cameron Jose Brian Alan G Ramon Gia David Andres Johnny Emma Cincere Natalie Elizabeth Alan R Brianna Adolfo Joshua Roxana Ricardo Ryan Christian Christopher Sualee Nyashia Mitzy Massire Matthew Joey
  • 2.
    Morning Writing The firstfull week in May is Be Kind to Animals Week. Write a poem or a paragraph that expresses the importance of animals in your life. Write neatly, skipping a line, and use loose­leaf (lined) paper. Hand in once you are finished. The work will be graded.
  • 3.
    Reading ­ Juanitaand the Cornstalk (p. 544) Dictionary Use a dictionary when you want to check a Word Origin. The definition may include information about the word. For example, the dictionary entry for bedlam explains the word comes from a 16th century hospital in London that treated people with mental illness. (see pull) bed­lam [bed­luhm] pull Origin: a popular name for the Hospital of St. Mary of Bethlehem in London, which served as a lunatic asylum.
  • 4.
    Reading A shortage occurswhen there is not enough of something. Bedlam is a state of wild uproar and confusion. An outcast is a person not accepted by other people.
  • 5.
    Reading Reflected can referto light rays or sounds that strike a surface and bounce back. A strategy is a plan for achieving a goal. Something that is traditional is passed down from parents to their children.
  • 6.
    Reading Civilization is anadvanced stage of human organization and culture. Something complex is difficult to understand or do.
  • 7.
    Reading ­ Juanitaand the Cornstalk (p. 544) Reading Homework Use Vocabulary Words in a sentence.
  • 8.
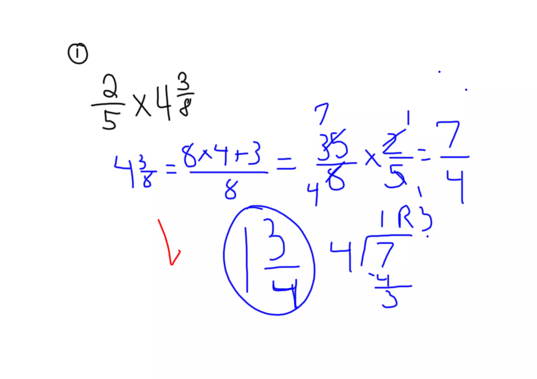
    Math ­ MultiplyMixed Numbers (p. 310) How to Multiply Mixed Numbers Step 1: Rename the mixed number as an improper fraction. Step 2: Cross reduce, if possible Step 3: Multiply numerators and denominators Step 4: Simplify
  • 9.
    Math ­ MultiplyMixed Numbers (p. 310) How to Multiply Mixed Numbers Step 1: Rename the mixed number as an improper fraction. Step 2: Cross reduce, if possible Step 3: Multiply numerators and denominators Step 4: Simplify
  • 10.
    Math ­ MultiplyMixed Numbers (p. 310) How to Multiply Mixed Numbers Step 1: Rename the mixed number as an improper fraction. Step 2: Cross reduce, if possible Step 3: Multiply numerators and denominators Step 4: Simplify
  • 11.
    Math ­ MultiplyMixed Numbers (p. 310) How to Multiply Mixed Numbers Step 1: Rename the mixed number as an improper fraction. Step 2: Cross reduce, if possible Step 3: Multiply numerators and denominators Step 4: Simplify
  • 16.
    Math ­ MultiplyMixed Numbers (p. 310) Math Homework Practice book, page 68
  • 17.
    Spelling ­ Pretest 1.sweet 11. pier 2. peel 12. waist 3. peer 13. currant 4. pole 14. presents 5. poll 15. counsel 6. peal 16. presence 7. waste 17. council 8. manner 18. stationary 9. current 19. stationery 10. manor 20. suite
  • 18.
    Spelling ­ WordMeanings 1. Wesley used the leaves of his plant to make ___________ for writing letters. 2. The fruit in Weslandia was yellow in color and tasted ___________. 3. Wesley helped the plant grow around a __________ to keep it from falling down. 4. Wesley used everything that grew in Weslandia, so there was never any __________. 5. Wesley's parents heard a _________ of laughter coming from behind the plant. 6. Busy in the world of Weslandia, Wesley lost track of __________ events. 7. Wesley used to be scared in the ____________ of older boys. 8. The boys in the neighborhood wanted to help form a ____________ for Weslandia. 9. Before creating Weslandia, Wesley always acted in a shy, quite ___________. 10. In his swing, Wesley was able to __________ around the corner without being seen.
  • 19.
    Spelling ­ WordDefinitions Complete each sentence with the correct spelling word. 1. Wesley used the leaves of his plant to stationery make _______________ for writing letters. Write (or type) spelling word above
  • 20.
    Spelling ­ WordDefinitions Complete each sentence with the correct spelling word. 2. The fruit in Weslandia was yellow in Sweet color and tasted ___________. Write (or type) spelling word above
  • 21.
    Spelling ­ WordDefinitions Complete each sentence with the correct spelling word. 3. Wesley helped the plant grow around a __________ to keep it from falling down. Pole Write (or type) spelling word above
  • 22.
    Spelling ­ WordDefinitions Complete each sentence with the correct spelling word. 4. Wesley used everything that grew in Weslandia, so there was never any waste __________. Write (or type) spelling word above
  • 23.
    Spelling ­ WordDefinitions Complete each sentence with the correct spelling word. 5. Wesley's parents heard a _________ of peal laughter coming from behind the plant. Write (or type) spelling word above
  • 24.
    Spelling ­ WordDefinitions Complete each sentence with the correct spelling word. 6. Busy in the world of Weslandia, Wesley current lost track of __________ events. Write (or type) spelling word above
  • 25.
    Spelling ­ WordDefinitions Complete each sentence with the correct spelling word. 7. Wesley used to be scared in the ____________ of older boys. presence Write (or type) spelling word above
  • 26.
    Spelling ­ WordDefinitions Complete each sentence with the correct spelling word. 8. The boys in the neighborhood wanted to help form a council ____________ for Weslandia. Write (or type) spelling word above
  • 27.
    Spelling ­ WordDefinitions Complete each sentence with the correct spelling word. 9. Before creating Weslandia, Wesley always acted in a shy, quite manner ___________. Write (or type) spelling word above
  • 28.
    Spelling ­ WordDefinitions Complete each sentence with the correct spelling word. 10. In his swing, Wesley was able to peer __________ around the corner without being see. Write (or type) spelling word above
  • 29.
    Spelling ­ WordDefinitions Spelling Homework ABC order ten times each.
  • 30.
    Language Arts ­Prepositional Phrases (p. 430) RULES A prepositional phrase is a group of words that begins with a preposition and ends with a noun or pronoun. The heart is an organ in the body. The object of a preposition is the noun or pronoun that follows the preposition. The heart is an organ in the body.
  • 31.
    Language Arts ­Prepositional Phrases (p. 430) A prepositional phrase can be at the beginning, in the middle, or at the end of a sentences. A phrase is a group of words that does not have a subject and a predicate. Beginning During exercise, our heart beats faster. Middle The heart inside your body beats regularly. End Swimming and running are examples of exercise.
  • 32.
    Language Arts ­Prepositional Phrases (p. 430) Class Work Extra Practice 1­25 on page 495. Write each sentence and draw one line under each prepositional phrase.
  • 33.
    Language Arts ­Prepositional Phrases (p. 430) Underline the prepositional phrase in each sentence. 1. There was a town that did without television. 2. Most people in the town stopped watching TV. 3. They did not watch television for a whole week. 4. During that week, their lives changed. 5. Some of the families started doing things together.
  • 34.
    Language Arts ­Prepositional Phrases (p. 430) Underline the prepositional phrase in each sentence. 6. Some families went to museums. 7. Other families worked together around the house. 8. People talked with one another more often. 9. Families sat at the dinner table and talked. 10. Parents learned about school activities.
  • 35.
    Language Arts ­Prepositional Phrases (p. 430) Underline the prepositional phrase in each sentence. 11. Children went into their rooms and did homework. 12. After one week, the townspeople watched TV again. 13. Almost everyone waited until the last day. 14. Today they look at the good television programs. 15. However, they also do things away from the TV.
  • 36.
    Social Studies ­Colonists Speak Out (p. 230) Class Work • Define Vocabulary Words • Read pages 231­236 • Questions 1­4 (p. 236) Homework Reading Check questions: • page 231 • page 233 • page 234 • page 236
  • 37.
    Homework Summary ­Wednesday, May 2, 2012 Reading 1. Use Vocabulary Words in a sentence Math 1. Practice book, page 68 Spelling 1. ABC order ten times each Social Studies Reading Check questions: • page 231 • page 233 • page 234 • page 236
  • 38.
    5 Reward 10 8­9 7 6 4­5 Pizza Party Wheel of Fun Spelling BrainPOP Class Work 2­3 Silent Snack 1 No Snack
  • 39.
    Attachments imgres 948869