Embed presentation
Download to read offline









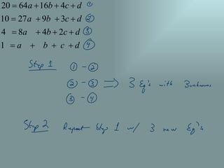
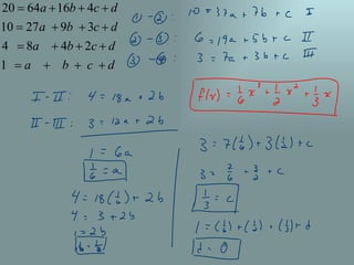
The document discusses finding polynomial models to describe patterns like triangular numbers and tetrahedral numbers. It explains that a polynomial difference theorem can be used to find the polynomial formula for functions where the differences between successive values form a known pattern. Specifically, if the fourth differences are constant, the function is a fourth degree polynomial that can be determined by plugging known points into the general cubic polynomial formula.








