ADDING, SUBTRACTING, & MULTIPLYING POLYNOMIALS
ERROR ANALYSIS A student simplified 6a³ -a³ and got a 6 as a result.  Write an explanation of the student’s error using the words coefficient and like terms.
CHALLANGE A 35-centimeter stick is cut into three pieces so that the two end pieces are each equal in length to one-third of the middle piece.  How long is each piece?
MULTIPLYING POLYNOMIALS 3a(6b + 7) (3a)(6b) + (3a)(7) 18ab + 21a 2x(3x² + x – 4) (2x)(3x²) + (2x)(x) + (2x)(-4) 6x³ + 2x² + -8x
YOUR TURN -4a²(-2a² + 3ab – 2b + 5)
MULTIPLYING BINOMIALS (x + 2)(x + 3) x(x+ 3) + 2(x + 3) (x)( x)+ (x)(3) + 2(x) + 2(3) x² + 3x + 2x + 6 x² + 5x + 6
FOIL METHOD (x + 3)(x + 2)  +  +  + x² + 2x + 3x + 6 x² + 5x+ 6 first 2)  outer (x inside last First x·x Outer x ·2 Inside 3 · x Last 3 · 2
YOUR TURN – USE FOIL METHOD 1. (x + 4)(x  -  3)  2. (2x + 2)(x + 6) 3. (3ab² + b)(-2ab² - b)  4. (4xy + 3)(2x²y + 1)
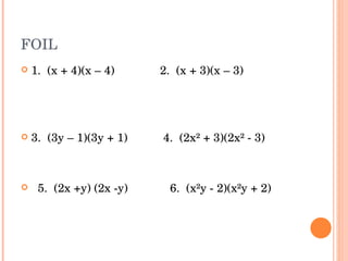
FOIL 1.  (x + 4)(x – 4)  2.  (x + 3)(x – 3) 3.  (3y – 1)(3y + 1)  4.  (2x² + 3)(2x² - 3) 5.  (2x +y) (2x -y)  6.  (x²y - 2)(x²y + 2)
FOIL 1.(y + 1)(y + 1)  2. (x + 2)²  3.  (2x - 3)²  4. .(y² + 1)²  5.(2x – y)²  6. .(2y² - 2x)²
SOME BINOMIAL PRODUCTS APPEAR SO MUCH WE NEED TO RECOGNIZE THE PATTERNS! Sum & Difference  (S&D): (a + b)(a – b) = a 2  – b 2   Example: (x + 3)(x – 3) = x 2  – 9 Square of Binomial: (a + b) 2  = a 2  + 2ab + b 2 (a - b) 2  = a 2  – 2ab + b 2
MULTIPLYING POLYNOMIALS : HORIZONTALLY (3x 2  – 2x – 4)(x – 3) = (3x 2 )(x – 3) + (-2x)(x – 3) + (-4)(x – 3) = (3x 3  – 9x 2 ) + (-2x 2  + 6x) + (-4x + 12) = 3x 3  – 9x 2  – 2x 2  + 6x – 4x +12 = 3x 3  – 11x 2  + 2x + 12
MULTIPLYING POLYNOMIALS: VERTICALLY (-x 2  + 2x + 4)(x – 3)= -x 2  + 2x + 4 *  x – 3   3x 2 – 6x – 12   -x 3  + 2x 2  + 4x_____     -x 3  + 5x 2  – 2x – 12
MULTIPLYING 3 BINOMIALS : (x – 1)(x + 4)(x + 3) =  FOIL the first two:  (x 2  – x +4x – 4)(x + 3) = (x 2  + 3x – 4)(x + 3) = Then multiply the trinomial by the binomial (x 2  + 3x – 4)(x) + (x 2  + 3x – 4)(3) = (x 3  + 3x 2  – 4x) + (3x 2  + 9x – 12) = x 3  + 6x 2  + 5x - 12
LAST PATTERN Cube of a Binomial (a + b) 3  = a 3  + 3a 2 b + 3ab 2  + b 3 (a – b) 3  = a 3  - 3a 2 b + 3ab 2  – b 3
EXAMPLE: (x + 5) 3  = a = x  and b = 5 x 3  + 3(x) 2 (5) + 3(x)(5) 2  + (5) 3  = x 3  + 15x 2  + 75x + 125

Multiplying Polynomials

  • 1.
    ADDING, SUBTRACTING, &MULTIPLYING POLYNOMIALS
  • 2.
    ERROR ANALYSIS Astudent simplified 6a³ -a³ and got a 6 as a result. Write an explanation of the student’s error using the words coefficient and like terms.
  • 3.
    CHALLANGE A 35-centimeterstick is cut into three pieces so that the two end pieces are each equal in length to one-third of the middle piece. How long is each piece?
  • 4.
    MULTIPLYING POLYNOMIALS 3a(6b+ 7) (3a)(6b) + (3a)(7) 18ab + 21a 2x(3x² + x – 4) (2x)(3x²) + (2x)(x) + (2x)(-4) 6x³ + 2x² + -8x
  • 5.
    YOUR TURN -4a²(-2a²+ 3ab – 2b + 5)
  • 6.
    MULTIPLYING BINOMIALS (x+ 2)(x + 3) x(x+ 3) + 2(x + 3) (x)( x)+ (x)(3) + 2(x) + 2(3) x² + 3x + 2x + 6 x² + 5x + 6
  • 7.
    FOIL METHOD (x+ 3)(x + 2) + + + x² + 2x + 3x + 6 x² + 5x+ 6 first 2) outer (x inside last First x·x Outer x ·2 Inside 3 · x Last 3 · 2
  • 8.
    YOUR TURN –USE FOIL METHOD 1. (x + 4)(x - 3) 2. (2x + 2)(x + 6) 3. (3ab² + b)(-2ab² - b) 4. (4xy + 3)(2x²y + 1)
  • 9.
    FOIL 1. (x + 4)(x – 4) 2. (x + 3)(x – 3) 3. (3y – 1)(3y + 1) 4. (2x² + 3)(2x² - 3) 5. (2x +y) (2x -y) 6. (x²y - 2)(x²y + 2)
  • 10.
    FOIL 1.(y +1)(y + 1) 2. (x + 2)² 3. (2x - 3)² 4. .(y² + 1)² 5.(2x – y)² 6. .(2y² - 2x)²
  • 11.
    SOME BINOMIAL PRODUCTSAPPEAR SO MUCH WE NEED TO RECOGNIZE THE PATTERNS! Sum & Difference (S&D): (a + b)(a – b) = a 2 – b 2 Example: (x + 3)(x – 3) = x 2 – 9 Square of Binomial: (a + b) 2 = a 2 + 2ab + b 2 (a - b) 2 = a 2 – 2ab + b 2
  • 12.
    MULTIPLYING POLYNOMIALS :HORIZONTALLY (3x 2 – 2x – 4)(x – 3) = (3x 2 )(x – 3) + (-2x)(x – 3) + (-4)(x – 3) = (3x 3 – 9x 2 ) + (-2x 2 + 6x) + (-4x + 12) = 3x 3 – 9x 2 – 2x 2 + 6x – 4x +12 = 3x 3 – 11x 2 + 2x + 12
  • 13.
    MULTIPLYING POLYNOMIALS: VERTICALLY(-x 2 + 2x + 4)(x – 3)= -x 2 + 2x + 4 * x – 3 3x 2 – 6x – 12 -x 3 + 2x 2 + 4x_____ -x 3 + 5x 2 – 2x – 12
  • 14.
    MULTIPLYING 3 BINOMIALS: (x – 1)(x + 4)(x + 3) = FOIL the first two: (x 2 – x +4x – 4)(x + 3) = (x 2 + 3x – 4)(x + 3) = Then multiply the trinomial by the binomial (x 2 + 3x – 4)(x) + (x 2 + 3x – 4)(3) = (x 3 + 3x 2 – 4x) + (3x 2 + 9x – 12) = x 3 + 6x 2 + 5x - 12
  • 15.
    LAST PATTERN Cubeof a Binomial (a + b) 3 = a 3 + 3a 2 b + 3ab 2 + b 3 (a – b) 3 = a 3 - 3a 2 b + 3ab 2 – b 3
  • 16.
    EXAMPLE: (x +5) 3 = a = x and b = 5 x 3 + 3(x) 2 (5) + 3(x)(5) 2 + (5) 3 = x 3 + 15x 2 + 75x + 125