Antenna Array
Content
• Introduction - Array
• 2 Element Isotropic Array
– Array Factor
– Radiation pattern calculation (pattern shaping)
• N Element Uniform Linear Isotropic Array
– Scanning Array
– Broadside Array
– End-Fire Array
• N Element Non-Uniform Linear Broadside Isotropic Array
– Binomial Array
– Chebyshev Array
• NxN Square Planar Chebyshev Array
Need for the Array Antenna
Single
Antenna
Array Antenna
Radiation Pattern Wide Directive
Directivity and Gain Low High
Ways to increase the Gain of an Antenna:
1. Increasing the electrical size of the antenna
2. Array: Form an assembly of identical radiating elements
(antenna) in an electrical and geometrical configuration
(without increasing the size of the individual elements)
Single Antenna Vs Array Antenna
Limitation of Single Antenna: Radiation pattern of a single antenna
is relatively wide, so provides low values of directivity and gain.
Higher directivity is the basic requirement in point-to-point
communication, radars and space applications. So directivity of
antenna should be increased.
Ways to Increase Gain of a Single Antenna:
(i) Increasing the electrical size of the antenna Increasing the
electrical size of the antenna. This is not a preferred approach.
(ii) Assemblage of antennas, called an array can be used
How Directivity can increased using Array: Fields from the
elements of the array interfere constructively (add) in the desired
directions and interfere destructively (cancel each other) in the
remaining space.
Definition of Array Antenna: An antenna array is a set of N spatially
separated antennas (monopole or dipole or dish or Yagi). The
number of antennas in an array can be as small as 2, or as large as
several thousand.
Shaping the Pattern of Array
• The total field of the array is determined by the vector
addition of the fields radiated by the individual elements.
• Fields from the elements of the array interfere
constructively (add) in the desired directions and interfere
destructively (cancel each other) in the remaining space
[neglecting coupling]
• Approaches to control the shape of the beam
1. the geometrical configuration of the overall array
2. the relative displacement between the elements
3. the excitation amplitude of the individual elements
4. the excitation phase of the individual elements
5. the relative pattern of the individual elements
• Assume that the antenna under investigation is an array of two
infinitesimal horizontal dipoles positioned along the z-axis.
• Let’s calculate the total field due to the two dipoles at ‘P’
• β=difference in phase excitation between the elements
• k=wave number
I. 2 - Element Linear Dipole Array
P
dipole 1
dipole 2
0
Electric field due single infinitesimal dipole
along 'y' axis (horizontal
cos
4
)
jkr
I dl jk
E e
r
  


 
  
 
Array Factor of 2 Element Array
The total field radiated
Assuming far-field observations
Total field due to 'N' nonsotropic array of sources = Field of a single non-isotropic element at origin x
Arrayfactor of 'N' isotropic sources
For the two-element array of constant
amplitude, the array factor is given by
Pattern Multiplication
Radiation patterns of an array of N identical antennas =
[element pattern Fe (pattern of one of the antennas)] X [the array pattern Fa]
where Fa is the pattern obtained upon replacing all of the actual
antennas with isotropic sources.
Solve:
Consider a two Hz dipole element array, where d=λ/4 and the normalized field is given
by
E=cos (𝜃element) cos (1/2[kdcos 𝜃array+β]).
Calculate the approximate pattern using principle of pattern multiplication for the cases
β=0,+90,-90.
To construct the pattern approximately calculate the nulls of the array.
Applying Pattern Multiplication: Array to 2 Hz Dipoles
cos (𝜃element) X cos (𝜋/4cos 𝜃array).
(i) β=0; d=λ/4
E=cos (𝜃element) cos(1/2[kdcos 𝜃array+β]).
cos (𝜃element) X cos (𝜋/4 cos 𝜃array+ 𝜋/4).
(ii) β=+90; d=λ/4
E=cos (𝜃element) cos(1/2[kdcos 𝜃array+β]).
cos (𝜃element) X cos (𝜋/4cos 𝜃array - 𝜋/4).
(iii) β=-90; d=λ/4
E=cos (𝜃element) cos(1/2[kdcos 𝜃array+β])
• An array of identical elements all of identical
magnitude and each with a progressive phase is
referred to as a uniform array.
• Consider array with ‘N’ elements.
• All the elements have identical amplitudes but each
succeeding element has a (𝛽) progressive phase lead
current excitation relative to the preceding one.
• The array factor can be obtained by considering the
elements to be point sources. If the actual elements are
not isotropic sources, the total field can be formed by
multiplying the array factor of the isotropic sources by
the field of a single element.
𝜓= progressive relative phase between elements
II. N - Element Uniform Array
Multiplying both sides of above eqn. by ej𝜓,
If the reference point is the physical center of the array, the array factor is
The maximum value is equal to N. By
normalize the array factors so that the
maximum value of each is equal to
unity,
(Array factor for N element Array)
(Normalized Array factor
for N element Array)
k=2π/λ; d=separation between elements; θ=angle measured from array axis;
𝛽= progressive phase; N=number of elements in the array
II. N - Element Uniform Array
Array Classification (based of phase and amplitude)
• Uniform Array: Uniform Amplitude and Spacing
– Case 1. Scanning or Phased Array
Maximum radiation can be oriented in any direction 𝜃0
𝛽 = −kd cos 𝜃0
– Case 2. Broadside Array
Maximum radiation is directed normal to the axis of the array 𝜃0 = 90°
𝛽 =0° (Sources are in Phase )
– Case 3. Ordinary End-Fire Array
Maximum radiation of an array directed along the axis of the array 𝜃0 = 0 or 180◦
𝛽 = −kd for 𝜃0 = 0 and 𝛽 = +kd or 180◦
• Non-Uniform Array: Uniform Spacing and Nonuniform Amplitude
– Technique 1: Binomial Array
– Technique 2: Tchebyscheff or Chebyshev Array
1
1
max
1
minor
1
HPBW
HPBW max
cos
cos
2
cos
2
3
cos
2 2
2.782
cos
2 2
2 | |
null
h
kd
d Nd
d
d Nd
d Nd
 
 





 


 

 
  




 

 
 
 
 

 
  
 

 
 
 
 

 
 
 
 
 
II. N - Element Uniform Array
Case 1. Scanning Array [Array with Maximum Field in an Arbitrary Direction]
Example: Consider a array with 20 isotropic radiators, each separated by 0.5
wavelength and have phase difference of -156 degree. Calculate the angle of (i) max
(ii) null (iii) HPBW (iv) minor lobe.
II. N - Element Uniform Array
Case 1. Scanning Array
β=-156°; N=20; d=0.5 λ;
=30°
=15°
=44°
=2(30-24.36)=11.28°
1
h
h
2.782
cos
2 2
24.36
d Nd
 

 

 
 
 
 
 

• If the maximum radiation of an array directed normal to the
axis of the array [broadside; 𝜃0 = 90◦]
• Now let us calculate the condition for broadside radiation.
• First maximum of the array factor occurs when
𝜓 = kd cos 𝜃 + 𝛽 = 0
• Since it is desired to have the first maximum directed toward
𝜃0 = 90, then
𝜓 = kd cos 𝜃 + 𝛽 |𝜃=90◦ = 𝛽 = 0
• Thus to have the maximum of the array factor of a uniform
linear array directed broadside to the axis of the array, it is
necessary that all the elements have the same phase
excitation (in addition to the same amplitude excitation).
II. N - Element Uniform Array
Case 2. Broadside Array
“Grating lobe”
• The principal maxima in other than the preferred direction (𝜃0 = 90)
are referred to as grating lobes.
• Grating lobe occurs when, d = nλ, n = 1, 2, 3,… and 𝛽 = 0, then
• Thus for a uniform array with 𝛽 = 0 and d = nλ, in addition to having
the maxima of the array factor directed broadside (𝜃0 = 90) to the
axis of the array, there are additional maxima directed along the axis
(𝜃0 = 0◦, 180◦) of the array (end-fire radiation).
• Condition to avoid grating lobe is dmax < λ
II. N - Element Uniform Array
Case 2. Broadside Array
The only maximum occurs
at broadside (𝜃0 = 90◦).
Maximum at 𝜃0 =90◦,
additional maxima directed toward 𝜃0 = 0◦, 180◦.
“Grating lobe”
II. N - Element Uniform Array
Case 2. Broadside Array
II. N - Element Uniform Array
Case 2. Broadside Array
1
max
1
minor
1
HPBW
1
FNBW
0
cos
90
3
cos
2
1.391
2 cos
2
2 cos
2
2
null
Nd
Nd
Nd
Nd
d
D N





 


 






 
 
 
 

 
 
 
 
 
 
  
 
 
 
 
 
   
 
 
 
 
  
 
• If the maximum radiation of an array directed along the axis of the array
[broadside; 𝜃0 = 0 or 180◦]
• Now let us calculate the condition for broadside radiation.
• First maximum of the array factor occurs when
𝜓 = kd cos 𝜃 + 𝛽 = 0
• To direct the first maximum toward 𝜃0 = 0
𝜓 = kd cos 𝜃 + 𝛽|𝜃=0◦ = kd + 𝛽 = 0
𝛽 = −kd
• To direct the first maximum toward 𝜃0 = 180
𝜓 = kd cos 𝜃 + 𝛽|𝜃=180◦ = −kd + 𝛽 = 0
𝛽 = kd
• If the element separation is d = λ∕2, end-fire radiation exists
simultaneously in both directions (𝜃0 = 0 and 𝜃0 = 180).
• To avoid any grating lobes dmax < λ∕2.
II. N - Element Uniform Array
Case 3. End-fire Array
II. N - Element Uniform Array
Case 3. End-fire Array
N - Element Linear Array: Uniform Amplitude and Spacing
End-fire Array
1
max
1
minor
1
HPBW
1
FNBW
0
cos 1
0
3
cos 1
2
1.391
2cos 1
2cos 1
2
null
Nd
Nd
Nd
Nd
d
D N















 
 
 
 

 
 
 
 
 

 
 
 
 
 
 
 
  
 
Solve: Design a linear uniform end-fire array which has major lobe along 0° which has
10 isotropic radiators, each separated by 0.25 wavelength. Calculate the angle of (i) β
(ii) null (iii) max (iv) HPBW (v) minor lobe (vi) directivity of the array factor..
1
max
1
minor
1
HPBW
1
FNBW
0
cos 1
0
3
cos 1
2
1.391
2cos 1
2cos 1
2
null
Nd
Nd
Nd
Nd
d
D N















 
 
 
 

 
 
 
 
 

 
 
 
 
 
 
 
  
 
Maxima
θm=0 deg
Null
θn=53 deg
HPBW
ϴHPBW=69.4 deg
First Minor
Lobe
θs=65.3 deg
β=-90°
D0=10 (dimensionless)=10log(10)=10 dB
1
max
1
minor
1
HPBW
1
FNBW
0
cos 1
0
3
cos 1
2
1.391
2cos 1
2cos 1
2
null
Nd
Nd
Nd
Nd
d
D N















 
 
 
 

 
 
 
 
 

 
 
 
 
 
 
 
  
 
1
max
1
minor
1
HPBW
1
FNBW
0
cos
90
3
cos
2
1.391
2 cos
2
2 cos
2
2
null
Nd
Nd
Nd
Nd
d
D N





 


 






 
 
 
 

 
 
 
 
 
 
  
 
 
 
 
 
   
 
 
 
 
  
 
End-Fire
𝛽 = −kd for 𝜃0 = 0
Broadside Array
𝛽 = 0 ; 𝜃0 = 90
Scanning Array
𝛽 = −kd cos 𝜃0
1
1
max
1
minor
1
h
HPBW max
cos
2
cos
2
3
cos
2 2
1.391
cos
2
2 | |
null
h
d Nd
d
d Nd
d Nd
 





 


 

 
  





 
 
 
 

 
  
 

 
 
 
 

 
 
 
 
 
Uniform Linear Array - Formulas
Uniform Vs Non-Uniform Linear Array
• Uniform linear array
– Uniform spacing, uniform amplitude, and progressive phase
– As the array length is increased to increase the directivity,
the side lobes also occurs.
• Non-uniform array
– Uniform spacing but non-uniform amplitude distribution
– Radiating source in the centre of the broadside array
radiated more strongly than the radiating sources at the
edges
– Posses smallest side lobe
Technique to reduce side lobe (Amplitude Tapering)
• Centre source radiate more strongly than the end sources.
• The tapering may follow
– Coefficients of Binomial Series
– Chebyshev Polynomial
HPBW
(smallest to largest)
1. Uniform (largest directivity)
2. Tschebyscheff
3. binomial
Side Lobe
(smallest to largest)
1. Binomial
2. Tschebyscheff
3. Uniform
“Compromise between Side Lobe Level and Beam width”
Array Factor of N-Element Linear Array: Uniform
Spacing, Nonuniform Amplitude
• An array of an even number of isotropic
elements 2M (where M is an integer) is
positioned symmetrically along the z-axis, as
shown in Figure.
• The separation between the elements is d, and
M elements are placed on each side of the
origin.
• Assuming that the amplitude excitation is
symmetrical about the origin, the array factor for
a nonuniform amplitude broadside array
To determine the values of the excitation coefficients (an’s), Binomial expansion or
Tschebyscheff polynomials.
Array Factor of N-Element Linear Array: Uniform
Spacing, Nonuniform Amplitude
• An array of an odd number of isotropic elements
2M+1 (where M is an integer) is positioned
symmetrically along the z-axis, as shown in
Figure.
• The separation between the elements is d, and
M elements are placed on each side of the
origin.
• Assuming that the amplitude excitation is
symmetrical about the origin, the array factor for
a nonuniform amplitude broadside array
The amplitude excitation of the center element is 2a1.
To determine the values of the excitation coefficients (an’s), Binomial expansion or
Tschebyscheff polynomials.
1. Binomial Array Antenna: Broadside
• Uniform spacing but nonuniform amplitude distribution.
• Array of linear non-uniform amplitudes in which the amplitude of the radiating sources
is arranged according to the coefficient of successive terms of a binomial series.
Pascal’s
Triangle
m- no.
elements
of array
coefficients of the expansion
represent the relative
amplitudes of the elements
• Because the magnitude distribution is monotonically decreasing from the center toward
the edges and the magnitude of the extreme elements is negligible compared to those
toward the center, a very low side lobe level is expected.
• Binomial arrays with element spacing equal or less than λ∕2 have no side lobes.
1. Binomial Array Antenna: Broadside
Referring to above Array
Factor equation and
Pascal’s triangle, the
amplitude coefficients for
the following arrays are:
HPBW and Maximum directivity for the d = λ∕2 spacing Binomial Array
These expressions can be used effectively to design binomial arrays with a desired half-power
beamwidth or directivity.
Where, L =overall length of the array= (N − 1)d
N=No of elements in the array
d=spacing between the elements
Limitation of Binomial Array
• Major practical disadvantage of binomial arrays is the wide variations
between the amplitudes of the different elements of an array, especially for
an array with a large number of elements. This leads to very low
efficiencies for the feed network, and it makes the method not very
desirable in practice.
Example: For a 10-element binomial array with a spacing of λ∕2 between the elements, determine
the half-power beamwidth (in degrees) and the maximum directivity (in dB).
2. Dolph-Chebyshev or Chebyshev:
Broadside Array
• Reduction in side lobe can’t achieved without the sacrifice of
directivity.
• Chebyshev array compromises between uniform and binomial
array.
• Its excitation coefficients are related to Chebyshev polynomials.
• It produces narrowest beam-width for given side lobe level and
vice versa.
• With Dolph narrow beam antenna with side lobes of -20 to -30 dB
can be designed.
Array factor on N element nonuniform array:
Referring to above equation, the array factor of an array of even or odd number of elements
with symmetric amplitude excitation is nothing more than a summation of M or M + 1 cosine
terms.
Series expansion for cos(mu) function:
Let
z = cos u
Chebyshev polynomial Tm(z).
Relations between the cosine functions and the Tschebyscheff polynomials
Cosine Function
The order m of the
Tschebyscheff polynomial is always one
less than the total number of elements.
Example: Design a broadside Tschebyscheff array of 10 elements with
spacing d between the elements and with a major-to-minor lobe ratio of
26 dB. Find the excitation coefficients and form the array factor.
1. The array factor for even number of elements
3. Replace cos(u), cos(3u), cos(5u), cos(7u), and cos(9u) by their series expansions
(AF)10=a1cos(u) +a2 cos(3u) +a3 cos(5u) +a4 cos(7u) +a5 cos(9u)
(AF)10=
a1cos(u) +
a2 {4 cos3 u − 3 cos u }+
a3 {16 cos5 u − 20 cos3 u + 5 cos u }+
a4 {64 cos7 u − 112 cos5 u + 56 cos3 u − 7 cos u }+
a5 {256 cos9 u − 576 cos7 u + 432 cos5 u − 120 cos3 u + 9 cos u }
Given: 2M=10 & M= 5
2. Expand the array factor.
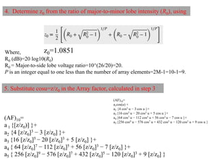
4. Determine z0 from the ratio of major-to-minor lobe intensity (R0), using
Where,
R0 (dB)=20 log10(R0)
R0 = Major-to-side lobe voltage ratio=10^(26/20)=20.
P is an integer equal to one less than the number of array elements=2M-1=10-1=9.
5. Substitute cosu=z/z0 in the Array factor, calculated in step 3
(AF)10=
a 1 {[z/z0)] }+
a2 {4 [z/z0]3 − 3 [z/z0] }+
a3 {16 [z/z0]5 − 20 [z/z0]3 + 5 [z/z0] }+
a4 { 64 [z/z0]7 − 112 [z/z0]5 + 56 [z/z0]3 − 7 [z/z0] }+
a5 { 256 [z/z0]9 − 576 [z/z0]7 + 432 [z/z0]5 − 120 [z/z0]3 + 9 [z/z0] }
(AF)10=
a1cos(u) +
a2 {4 cos3 u − 3 cos u }+
a3 {16 cos5 u − 20 cos3 u + 5 cos u }+
a4 {64 cos7 u − 112 cos5 u + 56 cos3 u − 7 cos u }+
a5 {256 cos9 u − 576 cos7 u + 432 cos5 u − 120 cos3 u + 9 cos u }
z0=1.0851
6. To determine the excitation coefficients (an’s),
Equate the array factor calculated in Step 5, with Chebyshev polynomial Tm(z)
Where, m=(2M)-1=10-1=9.
….(A)
….(B)
Equate (A) and (B)
(AF)10=
a 1 {[z/z0)] }+
a2 {4 [z/z0]3 − 3 [z/z0] }+
a3 {16 [z/z0]5 − 20 [z/z0]3 + 5 [z/z0] }+
a4 { 64 [z/z0]7 − 112 [z/z0]5 + 56 [z/z0]3 − 7 [z/z0] }+
a5 { 256 [z/z0]9 − 576 [z/z0]7 + 432 [z/z0]5 − 120 [z/z0]3 + 9 [z/z0] }
Tschebyscheff
polynomial of
order 9
Equate (A) and (B)
Replace, z0=1.0851
The first (left) set is normalized with respect to
the amplitude of the elements at the edge while
the other (right) is normalized with respect to
the amplitude of the center element.
7. The Chebyshev Array factor is
Chebyshev Broadside Linear Array
Beamwidth and Directivity
• Maximum spacing between the elements dmax
• Directivity of large Dolph-Tschebyscheff arrays, scanned near broadside, with side lobes in
the −20 to −60 dB range.
Where beam broadening factor f
• The directivity of a Dolph-Tschebyscheff array, with a given side lobe level, increases as
the array size or number of elements increases.
• 3-dB beamwidth Θd (in degrees) of Chebyshev array is
1
HPBW(uniform broadside)
1.391
2 cos
2 Nd
 



 
 
  
 
 
 
HPBW of the linear Chebyshev array =HPBW of uniform linear array * beam broadening
factor.
θHPBW(linear chebyshev)= θHPBW(uniform linear broadside)*f
# of Elements = 8; θ0=0°; d=λ/2
Element # 1 2 3 4 5 6 7 8
Gain
(dB)
3 dB BW
SLL
(dB)
Phase 0 0 0 0 0 0 0 0
Uniform Array 1 1 1 1 1 1 1 1 9 12.8° 12.8
Amplitude (Binomial) 0.02 0.2 0.6 1 1 0.6 0.2 0.03 6.78 22.9° -
Amplitude(Chebyshev) 0.26 0.52 0.81 1 1 0.81 0.52 0.26 8.28 16.4° 30
Linear Vs Planar Array
• Individual radiators can be positioned along a rectangular grid to
form a rectangular or planar array.
• Used to scan the main beam of the antenna toward any point in
space.
N=20;
Chebyshev (30 dB SLL);
d=0.25λ
N=20x20;
Chebyshev (30 dB SLL);
d=0.25λ
Linear Array Planar Array
N=2;
Chebyshev (30 dB SLL);
d=0.25λ
Linear Array
Planar Array – Array Factor
Im - the excitation coefficient of each element
d - Spacing
𝛽 - progressive phase shift between the elements
The array factor of the planar array has been derived
assuming that each element is an isotropic source.
In compact form
If it is desired to have only one main beam that is directed along 𝜃 =𝜃0 and 𝜙 =𝜙0, the
progressive phase shift between the elements in the x- and y-directions must be equal to
Planar Array – Condition to avoid Grating Lobe
• Grating lobe: “a lobe, other than the main lobe, produced by an
array antenna when the inter element spacing is sufficiently large
to permit the in-phase addition of radiated fields in more than one
direction.”
• To avoid grating lobes in the x-z and y-z planes, the spacing
between the elements in the x- and y-directions, respectively,
must be less than λ/2
(dx < λ∕2 and dy < λ/2).
Square Planar Chebyshev Array - Directivity and HPBW
• HPBW of Square Chebyshev Array is
• HPBW of Linear Broadside Chebyshev Array is
• HPBW Ψh, in the plane that is perpendicular to the 𝜙 = 𝜙0 elevation
• Beam solid angle ΩA
• Directivity
1
HPBW(uniform linear broadside)
1.391
2 cos
2 Nd
 



 
 
  
 
 
 
θHPBW(linear chebyshev)= θHPBW(uniform linear broadside)*f
HPBW of the linear Chebyshev array =HPBW of uniform linear array * beam broadening factor.
θHPBW(square chebyshev)= θHPBW(linear chebyshev)*secθ0
HPBW(squarechebyshev) HPBW(linearchebyshev)
*
A  
 
(in degree)
θHPBW(linear chebyshev)
Example: Compute the half-power beamwidths, beam solid angle,
and directivity of a planar square array of 100 isotropic elements
(10 × 10). Assume a Chebyshev distribution, λ∕2 spacing between the
elements, −26 dB side lobe level, and the maximum oriented along 𝜃0
= 30◦, 𝜙0 = 45◦.
HPBW of a Chebyshev array
f = 1.079
R0 = 26 dB➱R0 = 20 (voltage ratio)
1
HPBW(uniform linear broadside)
1.391
2 cos 10.17
2 Nd
 



 
 
 
 
 
 
 
θHPBW(linear chebyshev)= θHPBW(uniform linear broadside)*f
θHPBW(linear chebyshev)= 10.17*1.079=10.97°
• HPBW of square Chebyshev Array is
• HPBW in the plane that is perpendicular to the 𝜙 = 𝜙0 elevation
• Beam solid angle ΩA
• Directivity
θHPBW(square chebyshev)= 10.97*sec(30)=12.67°
θHPBW(linear chebyshev)= 10.97°
2
HPBW(square chebyshev) HPBW(linear chebyshev)
* 12.67*10.97 138.96 degree
A  
   
3_Antenna Array [Modlue 4] (1).pdf

3_Antenna Array [Modlue 4] (1).pdf

  • 1.
  • 2.
    Content • Introduction -Array • 2 Element Isotropic Array – Array Factor – Radiation pattern calculation (pattern shaping) • N Element Uniform Linear Isotropic Array – Scanning Array – Broadside Array – End-Fire Array • N Element Non-Uniform Linear Broadside Isotropic Array – Binomial Array – Chebyshev Array • NxN Square Planar Chebyshev Array
  • 3.
    Need for theArray Antenna Single Antenna Array Antenna Radiation Pattern Wide Directive Directivity and Gain Low High Ways to increase the Gain of an Antenna: 1. Increasing the electrical size of the antenna 2. Array: Form an assembly of identical radiating elements (antenna) in an electrical and geometrical configuration (without increasing the size of the individual elements)
  • 4.
    Single Antenna VsArray Antenna Limitation of Single Antenna: Radiation pattern of a single antenna is relatively wide, so provides low values of directivity and gain. Higher directivity is the basic requirement in point-to-point communication, radars and space applications. So directivity of antenna should be increased. Ways to Increase Gain of a Single Antenna: (i) Increasing the electrical size of the antenna Increasing the electrical size of the antenna. This is not a preferred approach. (ii) Assemblage of antennas, called an array can be used How Directivity can increased using Array: Fields from the elements of the array interfere constructively (add) in the desired directions and interfere destructively (cancel each other) in the remaining space. Definition of Array Antenna: An antenna array is a set of N spatially separated antennas (monopole or dipole or dish or Yagi). The number of antennas in an array can be as small as 2, or as large as several thousand.
  • 5.
    Shaping the Patternof Array • The total field of the array is determined by the vector addition of the fields radiated by the individual elements. • Fields from the elements of the array interfere constructively (add) in the desired directions and interfere destructively (cancel each other) in the remaining space [neglecting coupling] • Approaches to control the shape of the beam 1. the geometrical configuration of the overall array 2. the relative displacement between the elements 3. the excitation amplitude of the individual elements 4. the excitation phase of the individual elements 5. the relative pattern of the individual elements
  • 6.
    • Assume thatthe antenna under investigation is an array of two infinitesimal horizontal dipoles positioned along the z-axis. • Let’s calculate the total field due to the two dipoles at ‘P’ • β=difference in phase excitation between the elements • k=wave number I. 2 - Element Linear Dipole Array P dipole 1 dipole 2 0 Electric field due single infinitesimal dipole along 'y' axis (horizontal cos 4 ) jkr I dl jk E e r            
  • 7.
    Array Factor of2 Element Array The total field radiated Assuming far-field observations Total field due to 'N' nonsotropic array of sources = Field of a single non-isotropic element at origin x Arrayfactor of 'N' isotropic sources For the two-element array of constant amplitude, the array factor is given by
  • 8.
    Pattern Multiplication Radiation patternsof an array of N identical antennas = [element pattern Fe (pattern of one of the antennas)] X [the array pattern Fa] where Fa is the pattern obtained upon replacing all of the actual antennas with isotropic sources.
  • 9.
    Solve: Consider a twoHz dipole element array, where d=λ/4 and the normalized field is given by E=cos (𝜃element) cos (1/2[kdcos 𝜃array+β]). Calculate the approximate pattern using principle of pattern multiplication for the cases β=0,+90,-90. To construct the pattern approximately calculate the nulls of the array.
  • 10.
    Applying Pattern Multiplication:Array to 2 Hz Dipoles cos (𝜃element) X cos (𝜋/4cos 𝜃array). (i) β=0; d=λ/4 E=cos (𝜃element) cos(1/2[kdcos 𝜃array+β]).
  • 11.
    cos (𝜃element) Xcos (𝜋/4 cos 𝜃array+ 𝜋/4). (ii) β=+90; d=λ/4 E=cos (𝜃element) cos(1/2[kdcos 𝜃array+β]).
  • 12.
    cos (𝜃element) Xcos (𝜋/4cos 𝜃array - 𝜋/4). (iii) β=-90; d=λ/4 E=cos (𝜃element) cos(1/2[kdcos 𝜃array+β])
  • 13.
    • An arrayof identical elements all of identical magnitude and each with a progressive phase is referred to as a uniform array. • Consider array with ‘N’ elements. • All the elements have identical amplitudes but each succeeding element has a (𝛽) progressive phase lead current excitation relative to the preceding one. • The array factor can be obtained by considering the elements to be point sources. If the actual elements are not isotropic sources, the total field can be formed by multiplying the array factor of the isotropic sources by the field of a single element. 𝜓= progressive relative phase between elements II. N - Element Uniform Array
  • 14.
    Multiplying both sidesof above eqn. by ej𝜓, If the reference point is the physical center of the array, the array factor is The maximum value is equal to N. By normalize the array factors so that the maximum value of each is equal to unity, (Array factor for N element Array) (Normalized Array factor for N element Array) k=2π/λ; d=separation between elements; θ=angle measured from array axis; 𝛽= progressive phase; N=number of elements in the array II. N - Element Uniform Array
  • 15.
    Array Classification (basedof phase and amplitude) • Uniform Array: Uniform Amplitude and Spacing – Case 1. Scanning or Phased Array Maximum radiation can be oriented in any direction 𝜃0 𝛽 = −kd cos 𝜃0 – Case 2. Broadside Array Maximum radiation is directed normal to the axis of the array 𝜃0 = 90° 𝛽 =0° (Sources are in Phase ) – Case 3. Ordinary End-Fire Array Maximum radiation of an array directed along the axis of the array 𝜃0 = 0 or 180◦ 𝛽 = −kd for 𝜃0 = 0 and 𝛽 = +kd or 180◦ • Non-Uniform Array: Uniform Spacing and Nonuniform Amplitude – Technique 1: Binomial Array – Technique 2: Tchebyscheff or Chebyshev Array
  • 16.
    1 1 max 1 minor 1 HPBW HPBW max cos cos 2 cos 2 3 cos 2 2 2.782 cos 22 2 | | null h kd d Nd d d Nd d Nd                                                                 II. N - Element Uniform Array Case 1. Scanning Array [Array with Maximum Field in an Arbitrary Direction]
  • 17.
    Example: Consider aarray with 20 isotropic radiators, each separated by 0.5 wavelength and have phase difference of -156 degree. Calculate the angle of (i) max (ii) null (iii) HPBW (iv) minor lobe. II. N - Element Uniform Array Case 1. Scanning Array β=-156°; N=20; d=0.5 λ; =30° =15° =44° =2(30-24.36)=11.28° 1 h h 2.782 cos 2 2 24.36 d Nd                 
  • 18.
    • If themaximum radiation of an array directed normal to the axis of the array [broadside; 𝜃0 = 90◦] • Now let us calculate the condition for broadside radiation. • First maximum of the array factor occurs when 𝜓 = kd cos 𝜃 + 𝛽 = 0 • Since it is desired to have the first maximum directed toward 𝜃0 = 90, then 𝜓 = kd cos 𝜃 + 𝛽 |𝜃=90◦ = 𝛽 = 0 • Thus to have the maximum of the array factor of a uniform linear array directed broadside to the axis of the array, it is necessary that all the elements have the same phase excitation (in addition to the same amplitude excitation). II. N - Element Uniform Array Case 2. Broadside Array
  • 19.
    “Grating lobe” • Theprincipal maxima in other than the preferred direction (𝜃0 = 90) are referred to as grating lobes. • Grating lobe occurs when, d = nλ, n = 1, 2, 3,… and 𝛽 = 0, then • Thus for a uniform array with 𝛽 = 0 and d = nλ, in addition to having the maxima of the array factor directed broadside (𝜃0 = 90) to the axis of the array, there are additional maxima directed along the axis (𝜃0 = 0◦, 180◦) of the array (end-fire radiation). • Condition to avoid grating lobe is dmax < λ II. N - Element Uniform Array Case 2. Broadside Array
  • 20.
    The only maximumoccurs at broadside (𝜃0 = 90◦). Maximum at 𝜃0 =90◦, additional maxima directed toward 𝜃0 = 0◦, 180◦. “Grating lobe” II. N - Element Uniform Array Case 2. Broadside Array
  • 21.
    II. N -Element Uniform Array Case 2. Broadside Array 1 max 1 minor 1 HPBW 1 FNBW 0 cos 90 3 cos 2 1.391 2 cos 2 2 cos 2 2 null Nd Nd Nd Nd d D N                                                                    
  • 22.
    • If themaximum radiation of an array directed along the axis of the array [broadside; 𝜃0 = 0 or 180◦] • Now let us calculate the condition for broadside radiation. • First maximum of the array factor occurs when 𝜓 = kd cos 𝜃 + 𝛽 = 0 • To direct the first maximum toward 𝜃0 = 0 𝜓 = kd cos 𝜃 + 𝛽|𝜃=0◦ = kd + 𝛽 = 0 𝛽 = −kd • To direct the first maximum toward 𝜃0 = 180 𝜓 = kd cos 𝜃 + 𝛽|𝜃=180◦ = −kd + 𝛽 = 0 𝛽 = kd • If the element separation is d = λ∕2, end-fire radiation exists simultaneously in both directions (𝜃0 = 0 and 𝜃0 = 180). • To avoid any grating lobes dmax < λ∕2. II. N - Element Uniform Array Case 3. End-fire Array
  • 23.
    II. N -Element Uniform Array Case 3. End-fire Array
  • 24.
    N - ElementLinear Array: Uniform Amplitude and Spacing End-fire Array 1 max 1 minor 1 HPBW 1 FNBW 0 cos 1 0 3 cos 1 2 1.391 2cos 1 2cos 1 2 null Nd Nd Nd Nd d D N                                                      
  • 25.
    Solve: Design alinear uniform end-fire array which has major lobe along 0° which has 10 isotropic radiators, each separated by 0.25 wavelength. Calculate the angle of (i) β (ii) null (iii) max (iv) HPBW (v) minor lobe (vi) directivity of the array factor.. 1 max 1 minor 1 HPBW 1 FNBW 0 cos 1 0 3 cos 1 2 1.391 2cos 1 2cos 1 2 null Nd Nd Nd Nd d D N                                                      
  • 26.
    Maxima θm=0 deg Null θn=53 deg HPBW ϴHPBW=69.4deg First Minor Lobe θs=65.3 deg β=-90° D0=10 (dimensionless)=10log(10)=10 dB
  • 27.
    1 max 1 minor 1 HPBW 1 FNBW 0 cos 1 0 3 cos 1 2 1.391 2cos1 2cos 1 2 null Nd Nd Nd Nd d D N                                                       1 max 1 minor 1 HPBW 1 FNBW 0 cos 90 3 cos 2 1.391 2 cos 2 2 cos 2 2 null Nd Nd Nd Nd d D N                                                                     End-Fire 𝛽 = −kd for 𝜃0 = 0 Broadside Array 𝛽 = 0 ; 𝜃0 = 90 Scanning Array 𝛽 = −kd cos 𝜃0 1 1 max 1 minor 1 h HPBW max cos 2 cos 2 3 cos 2 2 1.391 cos 2 2 | | null h d Nd d d Nd d Nd                                                             Uniform Linear Array - Formulas
  • 28.
    Uniform Vs Non-UniformLinear Array • Uniform linear array – Uniform spacing, uniform amplitude, and progressive phase – As the array length is increased to increase the directivity, the side lobes also occurs. • Non-uniform array – Uniform spacing but non-uniform amplitude distribution – Radiating source in the centre of the broadside array radiated more strongly than the radiating sources at the edges – Posses smallest side lobe
  • 29.
    Technique to reduceside lobe (Amplitude Tapering) • Centre source radiate more strongly than the end sources. • The tapering may follow – Coefficients of Binomial Series – Chebyshev Polynomial HPBW (smallest to largest) 1. Uniform (largest directivity) 2. Tschebyscheff 3. binomial Side Lobe (smallest to largest) 1. Binomial 2. Tschebyscheff 3. Uniform “Compromise between Side Lobe Level and Beam width”
  • 30.
    Array Factor ofN-Element Linear Array: Uniform Spacing, Nonuniform Amplitude • An array of an even number of isotropic elements 2M (where M is an integer) is positioned symmetrically along the z-axis, as shown in Figure. • The separation between the elements is d, and M elements are placed on each side of the origin. • Assuming that the amplitude excitation is symmetrical about the origin, the array factor for a nonuniform amplitude broadside array To determine the values of the excitation coefficients (an’s), Binomial expansion or Tschebyscheff polynomials.
  • 31.
    Array Factor ofN-Element Linear Array: Uniform Spacing, Nonuniform Amplitude • An array of an odd number of isotropic elements 2M+1 (where M is an integer) is positioned symmetrically along the z-axis, as shown in Figure. • The separation between the elements is d, and M elements are placed on each side of the origin. • Assuming that the amplitude excitation is symmetrical about the origin, the array factor for a nonuniform amplitude broadside array The amplitude excitation of the center element is 2a1. To determine the values of the excitation coefficients (an’s), Binomial expansion or Tschebyscheff polynomials.
  • 32.
    1. Binomial ArrayAntenna: Broadside • Uniform spacing but nonuniform amplitude distribution. • Array of linear non-uniform amplitudes in which the amplitude of the radiating sources is arranged according to the coefficient of successive terms of a binomial series. Pascal’s Triangle m- no. elements of array coefficients of the expansion represent the relative amplitudes of the elements • Because the magnitude distribution is monotonically decreasing from the center toward the edges and the magnitude of the extreme elements is negligible compared to those toward the center, a very low side lobe level is expected. • Binomial arrays with element spacing equal or less than λ∕2 have no side lobes.
  • 33.
    1. Binomial ArrayAntenna: Broadside Referring to above Array Factor equation and Pascal’s triangle, the amplitude coefficients for the following arrays are:
  • 34.
    HPBW and Maximumdirectivity for the d = λ∕2 spacing Binomial Array These expressions can be used effectively to design binomial arrays with a desired half-power beamwidth or directivity. Where, L =overall length of the array= (N − 1)d N=No of elements in the array d=spacing between the elements
  • 35.
    Limitation of BinomialArray • Major practical disadvantage of binomial arrays is the wide variations between the amplitudes of the different elements of an array, especially for an array with a large number of elements. This leads to very low efficiencies for the feed network, and it makes the method not very desirable in practice.
  • 36.
    Example: For a10-element binomial array with a spacing of λ∕2 between the elements, determine the half-power beamwidth (in degrees) and the maximum directivity (in dB).
  • 37.
    2. Dolph-Chebyshev orChebyshev: Broadside Array • Reduction in side lobe can’t achieved without the sacrifice of directivity. • Chebyshev array compromises between uniform and binomial array. • Its excitation coefficients are related to Chebyshev polynomials. • It produces narrowest beam-width for given side lobe level and vice versa. • With Dolph narrow beam antenna with side lobes of -20 to -30 dB can be designed.
  • 38.
    Array factor onN element nonuniform array: Referring to above equation, the array factor of an array of even or odd number of elements with symmetric amplitude excitation is nothing more than a summation of M or M + 1 cosine terms. Series expansion for cos(mu) function:
  • 39.
    Let z = cosu Chebyshev polynomial Tm(z). Relations between the cosine functions and the Tschebyscheff polynomials Cosine Function The order m of the Tschebyscheff polynomial is always one less than the total number of elements.
  • 40.
    Example: Design abroadside Tschebyscheff array of 10 elements with spacing d between the elements and with a major-to-minor lobe ratio of 26 dB. Find the excitation coefficients and form the array factor. 1. The array factor for even number of elements 3. Replace cos(u), cos(3u), cos(5u), cos(7u), and cos(9u) by their series expansions (AF)10=a1cos(u) +a2 cos(3u) +a3 cos(5u) +a4 cos(7u) +a5 cos(9u) (AF)10= a1cos(u) + a2 {4 cos3 u − 3 cos u }+ a3 {16 cos5 u − 20 cos3 u + 5 cos u }+ a4 {64 cos7 u − 112 cos5 u + 56 cos3 u − 7 cos u }+ a5 {256 cos9 u − 576 cos7 u + 432 cos5 u − 120 cos3 u + 9 cos u } Given: 2M=10 & M= 5 2. Expand the array factor.
  • 41.
    4. Determine z0from the ratio of major-to-minor lobe intensity (R0), using Where, R0 (dB)=20 log10(R0) R0 = Major-to-side lobe voltage ratio=10^(26/20)=20. P is an integer equal to one less than the number of array elements=2M-1=10-1=9. 5. Substitute cosu=z/z0 in the Array factor, calculated in step 3 (AF)10= a 1 {[z/z0)] }+ a2 {4 [z/z0]3 − 3 [z/z0] }+ a3 {16 [z/z0]5 − 20 [z/z0]3 + 5 [z/z0] }+ a4 { 64 [z/z0]7 − 112 [z/z0]5 + 56 [z/z0]3 − 7 [z/z0] }+ a5 { 256 [z/z0]9 − 576 [z/z0]7 + 432 [z/z0]5 − 120 [z/z0]3 + 9 [z/z0] } (AF)10= a1cos(u) + a2 {4 cos3 u − 3 cos u }+ a3 {16 cos5 u − 20 cos3 u + 5 cos u }+ a4 {64 cos7 u − 112 cos5 u + 56 cos3 u − 7 cos u }+ a5 {256 cos9 u − 576 cos7 u + 432 cos5 u − 120 cos3 u + 9 cos u } z0=1.0851
  • 42.
    6. To determinethe excitation coefficients (an’s), Equate the array factor calculated in Step 5, with Chebyshev polynomial Tm(z) Where, m=(2M)-1=10-1=9. ….(A) ….(B) Equate (A) and (B) (AF)10= a 1 {[z/z0)] }+ a2 {4 [z/z0]3 − 3 [z/z0] }+ a3 {16 [z/z0]5 − 20 [z/z0]3 + 5 [z/z0] }+ a4 { 64 [z/z0]7 − 112 [z/z0]5 + 56 [z/z0]3 − 7 [z/z0] }+ a5 { 256 [z/z0]9 − 576 [z/z0]7 + 432 [z/z0]5 − 120 [z/z0]3 + 9 [z/z0] } Tschebyscheff polynomial of order 9
  • 43.
    Equate (A) and(B) Replace, z0=1.0851 The first (left) set is normalized with respect to the amplitude of the elements at the edge while the other (right) is normalized with respect to the amplitude of the center element.
  • 44.
    7. The ChebyshevArray factor is
  • 45.
    Chebyshev Broadside LinearArray Beamwidth and Directivity • Maximum spacing between the elements dmax • Directivity of large Dolph-Tschebyscheff arrays, scanned near broadside, with side lobes in the −20 to −60 dB range. Where beam broadening factor f • The directivity of a Dolph-Tschebyscheff array, with a given side lobe level, increases as the array size or number of elements increases. • 3-dB beamwidth Θd (in degrees) of Chebyshev array is 1 HPBW(uniform broadside) 1.391 2 cos 2 Nd                   HPBW of the linear Chebyshev array =HPBW of uniform linear array * beam broadening factor. θHPBW(linear chebyshev)= θHPBW(uniform linear broadside)*f
  • 46.
    # of Elements= 8; θ0=0°; d=λ/2 Element # 1 2 3 4 5 6 7 8 Gain (dB) 3 dB BW SLL (dB) Phase 0 0 0 0 0 0 0 0 Uniform Array 1 1 1 1 1 1 1 1 9 12.8° 12.8 Amplitude (Binomial) 0.02 0.2 0.6 1 1 0.6 0.2 0.03 6.78 22.9° - Amplitude(Chebyshev) 0.26 0.52 0.81 1 1 0.81 0.52 0.26 8.28 16.4° 30
  • 47.
    Linear Vs PlanarArray • Individual radiators can be positioned along a rectangular grid to form a rectangular or planar array. • Used to scan the main beam of the antenna toward any point in space.
  • 48.
    N=20; Chebyshev (30 dBSLL); d=0.25λ N=20x20; Chebyshev (30 dB SLL); d=0.25λ Linear Array Planar Array N=2; Chebyshev (30 dB SLL); d=0.25λ Linear Array
  • 49.
    Planar Array –Array Factor Im - the excitation coefficient of each element d - Spacing 𝛽 - progressive phase shift between the elements The array factor of the planar array has been derived assuming that each element is an isotropic source. In compact form If it is desired to have only one main beam that is directed along 𝜃 =𝜃0 and 𝜙 =𝜙0, the progressive phase shift between the elements in the x- and y-directions must be equal to
  • 50.
    Planar Array –Condition to avoid Grating Lobe • Grating lobe: “a lobe, other than the main lobe, produced by an array antenna when the inter element spacing is sufficiently large to permit the in-phase addition of radiated fields in more than one direction.” • To avoid grating lobes in the x-z and y-z planes, the spacing between the elements in the x- and y-directions, respectively, must be less than λ/2 (dx < λ∕2 and dy < λ/2).
  • 51.
    Square Planar ChebyshevArray - Directivity and HPBW • HPBW of Square Chebyshev Array is • HPBW of Linear Broadside Chebyshev Array is • HPBW Ψh, in the plane that is perpendicular to the 𝜙 = 𝜙0 elevation • Beam solid angle ΩA • Directivity 1 HPBW(uniform linear broadside) 1.391 2 cos 2 Nd                   θHPBW(linear chebyshev)= θHPBW(uniform linear broadside)*f HPBW of the linear Chebyshev array =HPBW of uniform linear array * beam broadening factor. θHPBW(square chebyshev)= θHPBW(linear chebyshev)*secθ0 HPBW(squarechebyshev) HPBW(linearchebyshev) * A     (in degree) θHPBW(linear chebyshev)
  • 52.
    Example: Compute thehalf-power beamwidths, beam solid angle, and directivity of a planar square array of 100 isotropic elements (10 × 10). Assume a Chebyshev distribution, λ∕2 spacing between the elements, −26 dB side lobe level, and the maximum oriented along 𝜃0 = 30◦, 𝜙0 = 45◦. HPBW of a Chebyshev array f = 1.079 R0 = 26 dB➱R0 = 20 (voltage ratio) 1 HPBW(uniform linear broadside) 1.391 2 cos 10.17 2 Nd                    θHPBW(linear chebyshev)= θHPBW(uniform linear broadside)*f θHPBW(linear chebyshev)= 10.17*1.079=10.97°
  • 53.
    • HPBW ofsquare Chebyshev Array is • HPBW in the plane that is perpendicular to the 𝜙 = 𝜙0 elevation • Beam solid angle ΩA • Directivity θHPBW(square chebyshev)= 10.97*sec(30)=12.67° θHPBW(linear chebyshev)= 10.97° 2 HPBW(square chebyshev) HPBW(linear chebyshev) * 12.67*10.97 138.96 degree A      