EXTRACTION
Extraction Theory
Extraction
• It is the removal of soluble material from insoluble solid or
liquid by treatment with a liquid solvent.
• The extraction rate depends on:
The diffusion rate of solute through liquid boundary layer.
I. Solid - liquid extraction (leaching)
• The extraction of a soluble constituent from a solid by
means of a solvent.
1.The extraction of fixed oils from seeds,
Alkaloids as strychnine from Nux vomica
or quinine from cinchona bark,
2. The isolation of enzymes as rennin, hormones as insulin.
• Leaching is usually operated as a batch process.. WHY?
• It involves the processing of high cost materials present in
relatively small quantities.
• Frequent changes of material may be made, creating problems
of cleaning & contamination.
Leaching is performed in one of two ways:
By percolation:
• The raw material is placed in a vessel, form a
permeable bed through which the solvent
(menstrum) percolates.
• The dissolution of the wanted constituents occurs and
the solution issues from the bottom of the bed.
• This liquid is (miscella) and the exhausted solids are
(marc).
By immersion:
• The raw material is immersed in the solvent and
stirred frequently.
• After a suitable period of time, solid and liquid are
separated by filtration.
Factors affecting the rate of leaching
1. Particle Size:
• Small particle size is attained by milling  higher extraction
rates.. WHY?
1. Milling causes rupturing of cell wall (the main barrier to be crossed).
2. The smaller the size
 The greater the interfacial area between solid and liquid.
 The smaller the distance the solute must diffuse within solid.
2. The Solvent:
A. Selective
B. Of a sufficiently low viscosity to circulate freely.
C. A relatively pure solvent will be used initially, but as the extraction
proceeds, the concentration of solute will increase and the rate of extraction
will decrease.. WHY?
1. The concentration gradient will be reduced.
2. The solution will become more viscous.
3. The Temperature:
1. The increase in temperature will lead to:
a. ↑ drug solubility  ↑ extraction rate.
b. ↑ diffusion coefficient.
2. The upper limit of temperature is determined by
secondary considerations.
Eg. The necessity of preventing enzyme action during
extraction of solutes like sugar.
4. The Agitation of the solvent:
↑ Eddy diffusion  ↑ transfer of material from the surface of the
particles to bulk of solution.
Beyond a certain limit, increasing the rate of agitation will not
further affect the rate of extraction.. WHY?
• Because the controlling resistance will be found in the diffusion
of the solute from the cell matrix itself to outside.
A. Leaching by percolation
• When the solids form an open, permeable
mass throughout the leaching operation,
solvent may be percolated through an
unagitated bed of solids.
• The solid bed may be:
1. Stationary: batch operation
Eg. Batch percolator
2. Moving: continuous operation
Eg. Bollman Extractor).
Bollman Extractor
• It is a vertical chamber
having a number of baskets
with perforated metal
bottoms rotating clockwise
in a chain over 2 wheels.
The ascending column of
baskets:
1. The baskets move
upwards (containing the
herb) and then sprayed with
the pure solvent (counter-
current),
2. The solvent percolates
downwards to be collected at
the bottom as half miscella.
The descending column of
baskets:
• As the baskets move up, they
are inverted to get ride of the
marc and filled again with fresh
one.
• The baskets are then sprayed in
this side with the half miscella
coming from the left side (parallel
flow).
• The half miscella percolate
downward through the fresh herb
so it is collected at the bottom as
full miscella.
• Used for extraction of oils
Batch percolator
• It is a tank with a
perforated false bottom to
support solids and permit
solvent drainage.
• The solids are loaded into
the tank, sprayed with solvent
until their solute content is
reduced to economical
minimum, and exhausted.
• The extractor body may be
jacketed to give control of the
extraction temperature.
• The packing of the coarsely ground
material must be even otherwise, solvent
will preferentially flow through a limited
volume of bed and leaching will be
inefficient.
• The leach liquids pass to an evaporator
working at a reduced pressure  The
vapour leaving the evaporator is
condensed and is redirected to the
extractor.
• Extraction is stopped when leach liquid
is free from wanted constituents.
• Used for: extraction of alkaloids
Disadvantages:
1. Require large amounts of solvent.
2. Yield dilute extracts
extraction  evaporation.
B. Leaching by Immersion
Is carried out in simple tanks, which may be
agitated by turbines or paddles.
• If the solids are adequately suspended, intimate
contact between phases promote efficient extraction.
• Advantages:
1. Incomplete extraction due to channeling is avoided
2. Difficulties due to swelling will not arise.
• Separation of the phases depends on:
The nature of the extracted materials.
1. Finely divided solids:
By continuous centrifugation.
2. Coarse, compressible solids:
When agitation ceases,
The solids will settle
The leach liquid is siphoned or pumped off.
The sediment will contain a ↑ volume of miscella
recovered by:
1. re-suspending solids in fresh solvent.
2. re-separating.
* Alternatively, cake filtration may be used.
II. Liquid – Liquid Extraction
Principles of the extraction towers:
1. Towers are operated with the 2 liquid phases flow
counter- current to each other.
The heavy phase introduced at top & flows downward,
The lighter phase introduced at bottom & flows
upward.
2. The gravitational force controls the counter-current
motion and separation of the two phases.
Applications:
1- Refining of vegetable oils using furfural.
2- Manufacture of pharmaceuticals as antibiotics.
Spray Towers
• They are empty towers,
without packing or baffles .
• One liquid fills the whole tower
as a continuous phase,
• Other phase is dispersed
through it by spraying.
• Contacting effectiveness is
low.. WHY?
1. Re-circulation of continuous
phase.
2. Coalescence of dispersed
phase.
• High columns are required for
efficient extraction
Baffle Plate column
• The horizontal baffles are
used to direct the flow of
liquids in a zigzag path as
they pass either up or down
to the tower.
Advantages:
• Contain no holes to be
clogged or enlarged by
corrosion.
• Suitable for dirty solution
contain suspended solids.
• Valuable for liquids that can
emulsify easily.
Packed Tower
• The use of packing
increase the area of
contact between phases.
• Empty column is filled
with a material (metal,
stone and porcelain) and
cut in the form of rings
called “Raschig rings”
 a large surface area
wetted by the liquid.
• The packing is
supported on an open
screen  not offer any
resistance to flow.
Liquid-liquid extraction is a useful method to separate components
(compounds) of a mixture
Let's see an example.
Suppose that you have a mixture of sugar in vegetable oil (it tastes
sweet!) and you want to separate the sugar from the oil. You
observe that the sugar particles are too tiny to filter and you
suspect that the sugar is partially dissolved in the vegetable oil.
What will you do?
How about shaking the mixture
with water
Will it separate the sugar from the
oil? Sugar is much more soluble in
water than in vegetable oil, and,
as you know, water is immiscible
(=not soluble) with oil.
Did you see the result?The water
phase is the bottom layer andthe oil
phase is the top layer, because
water is denser than oil.
*You have not shaken the mixture
yet, so sugar is still in the oil phase.
By shaking the layers (phases) well, you
increase the contact area between the
two phases.The sugar will move to the
phase in which it is most soluble: the
water layer
Now the water phase tastes
sweet, because the sugar is moved to
the water phase upon shaking.**You
extracted sugar from the oil with
water.**In this example,water was
the extraction solvent ;the original
oil-sugar mixture was the solution to
be extracted; and sugar was the
compound extracted from one phase
to another. Separating the two layers
accomplishes the separation of the
sugar from the vegetable oil
Did you get it? .....the concept of liquid-liquid extraction?
Liquid-liquid extraction is based on the transfer of a solute
substance from one liquid phase into another liquid phase according
to the solubility.Extraction becomes a very useful tool if you choose
a suitable extraction solvent. You can use extraction to separate a
substance selectively from a mixture, or to remove unwanted
impurities from a solution.In the practical use, usually one phase is a
water or water-based (aqueous) solution and the other an organic
solvent which is immiscible with water.
The success of this method depends upon the difference in solubility
of a compound in various solvents. For a given compound, solubility
differences between solvents is quantified as the "distribution
coefficient"
Partition Coefficient Kp (Distribution Coefficient Kd)
When a compound is shaken in a separatory funnel with two immiscible
solvents, the compound will distribute itself between the two solvents.
Normally one solvent is water
and the other solvent is a
water-immiscible organic
solvent.
Most organic compounds are
more soluble in organic solvents,
while some organic compounds
are more soluble in water.
Here is the universal rule:
At a certain temperature, the ratio of concentrations of a solute
in each solvent is always constant.ハAnd this ratio is called the
distribution coefficient, K.
(when solvent1 and solvent2 are immiscible liquids
For example,Suppose the
compound has a distribution
coefficient K = 2 between
solvent1 and solvent2
By convention the organic
solvent is (1) and waater is
(2)
(1) If there are 30 particles
of compound , these are
distributed between equal
volumes of solvent1 and solvent2..
(2) If there are 300
particles of compound , the
same distribution ratio is
observed in solvents 1 and 2
(3) When you double the
volume of solvent2 (i.e., 200
mL of solvent2 and 100 mL of
solvent1), the 300 particles of
compound distribute as shown
If you use a larger amount of extraction solvent, more solute is
extracted
What happens if you extract twice with 100 mL of solvent2 ?
In this case, the amount of extraction solvent is the same volume as was
used in Figure 3, but the total volume is divided into two portions and
you extract with each.
As seen previously, with 200 mL
of solvent2 you extracted 240
particles of compound . One
extraction with 200 mL gave a
TOTAL of 240 particles
You still have 100 mL of solvent1,
containing 100 particles. Now you
add a second 100 mL volume of
fresh solvent2. According to the
distribution coefficient K=2, you
can extract 67 more particles
from the remaining solution
An additional 67 particles are
extracted with the second portion
of extraction solvent
(solvent2).The total number of
particles extracted from the first
(200 particles) and second (67
particles) volumes of extraction
solvent is 267.This is a greater
number of particles than the
single extraction (240 particles)
using one 200 mL portion of
solvent2!
It is more efficient to carry out
two extractions with 1/2 volume
of extraction solvent than one
large volume!
If you extract twice with 1/2 the volume, the extraction is more
efficient than if you extract once with a full volume. Likewise,
extraction three times with 1/3 the volume is even more efficient….
four times with 1/4 the volume is more efficient….five times with 1/5
the volume is more efficient…ad infinitum
The greater the number of small extractions, the greater the
quantity of solute removed. However for maximum efficiency the
rule of thumb is to extract three times with 1/3 volume
Chemically active (acid-base) extraction
Can you change the solubility property of a compound? How?
Most organic compounds are more
soluble in organic solvents than in
water,usually by the distribution
coefficient K > 4
However, specific classes of
organic compounds can be
reversibly altered chemically to
become more water-soluble.
This is a powerful technique and allows you to separate organic
compounds from a mixture -- if they belong to different solubility
classes
What type of organic compounds can be made water-soluble?
Compounds belonging to the following solubility classes can be
converted to their water-soluble salt form
(1) Organic acids include carboxylic acids (strong organic acids)
and phenols (weak organic acids).
(2) Organic bases includes amines
How can organic acids or bases be converted to a water-solubleform?
1. Organic Acids can be converted to their salt form when treated with an
aqueous solution of inorganic base (e.g., NaOH (sodium hydroxide) and
NaHCO3 (sodium bicarbonate)).Salts are ionic, and in general, ions are
soluble in water but not soluble in water-immiscible organic
solvents.Remember: water is a very polar solvent thus salts (i.e., ionic
species) are well dissolved in it.
A. Carboxylic Acids are
converted to the salt form
with 5% NaOH aqueous
solution. NaOH is a strong
inorganic base.
Carboxylic acids are strong
organic acids (pKa = 3 to 4),
so they can also be ionized
with weak inorganic bases
(e.g., NaHCO3 (sodium
bicarbonate)) aqueous
solution.
Let's try a sample problem.
Here is a mixture of naphthalene and benzoic acid, dissolved in
dichloromethane.
You want to separate
these two compounds.
What will you do?
You may use an aqueous solution of
either 5% NaOH or sat. NaHCO3, to
extract benzoic acid as a salt form
B. Phenols are considered to be weak organic acids. Phenol, the parent
compound, is partially water-soluble (1 g will dissolve in 15 mL of water),
whereas substituted phenols are not.Sodium bicarbonate (NaHCO3) aqueous
solution, a weak inorganic base, will not deprotonate phenols to make it
ionic, because it is not strong enough.However, treatment with NaOH, a
strong inorganic base, can change phenol to its ionic (salt) form.
Let's try a another sample problem.
Here is a mixture of benzoic acid and p-methoxyphenol, dissolved in
dichloromethane.
You want to separate
these two compounds.
What will you do?
You cannot use 5% NaOH to separate these two
compounds. NaOH will react with both benzoic acid and p-
methoxyphenol, thus both compounds will be extracted into the
aqueous layer.
Let's try this problem again.
Here is another mixture of benzoic acid and p-methoxyphenol, dissolved in
dichloromethane.
Strong organic acids such as benzoic acid would be
deprotonated and ionized, while weak organic acids such
as phenols would NOT be deprotonated
NaOH was too strong a base,
thus it does not differentiate
the strong and weak organic
acids. Use of weak inorganic
base such as NaHCO3 will
differentiate between the
compounds
2. Organic Bases (amines) can be converted to their salt form when treated
with an aqueous solution of an inorganic acid such as HCl (hydrochloric acid).
Recall that salts are ionic and generally soluble in water but not soluble in
water-immiscible organic solvents.
Let's try a third sample problem.
Here is a mixture of benzoic acid and p-chloroaniline, dissolved in
dichloromethane.
You want to separate
these two compounds.
What will you do?
You may use an aqueous solution of
either 5% HCl, to extract the amine as
a salt form and benzoic acid has
remained in the organic layer
You can separate four different classes of compounds from a mixture based on
differing solubility properties. The four classes are:1.Amines (organic
base)2.Carboxylic acids (strong acid)3.Phenols (weak acid)4.Neutral
compounds.
After the separation of the mixture of four components, we will have four
solutions: each solution contains one component.
The first three compounds are chemically altered, existing in their salt form
dissolved in aqueous solution. The fourth compound is not chemically altered,
but it is dissolved in an organic solvent.We now want to recover each compound
in its original state (i.e., in the non-ionic form) to complete the experiment. We
call this step isolation or recovery.
Let's see, one by one, how to recover each compound obtained from the
separation process
Isolation (Recovery) of amines
An amine is a basic compound. It is protonated in the presence of excess HCl
forming a salt that is soluble in aqueous solution. This is how you separated the
amine from the original mixture containing it.
An amine is soluble in acidic aqueous
solution because it forms a salt, an
ionic form.
However, if you change the pH
of the solution to basic the
amine can no longer stay
dissolved because it is no longer
ionic! This process is called
basification.
Basification is done by carefully
adding concentrated NaOH
solution to the solution containing
the amine salt until it becomes
basic.
・In the basification step, you use
concentrated NaOH solution to
minimize the volume of the final
solution. Recall that a dilute
solution of HCl was used to
extract the amine as its water-
soluble salt (see the picture on
the right side).
・Basification must be done
carefully, portion by portion, with
swirling each time because the
acid-base neutralization reaction
is exothermic.
・Check the pH of the solution to
ensure that it is basic. (~pH 10)
Isolation (Recovery) of Acids
There are two different groups of organic acids: carboxylic acids (strong acids) and
phenols (weak acids).In the separation procedure, acids were extracted using (weak or
strong) basic aqueous solutions
Both acids can be returned to the original form in the same
manner! Organic acids are currently dissolved in a basic aqueous
solution, because the acid forms a salt, an ionic form. When you
make the aqueous solution acidic, the organic acids no longer
remain dissolved because they are no longer ionic and usually
precipitate out of solution. This process is called acidification.
Acidification is done by carefully adding
concentrated HCl solution until the mixture
becomes acidic,
When the weak base, NaHCO3, was the
extracting solution, CO2 gas will evolve
during acidification.
・The recovery of organic acids
requires acidification with
concentrated HCl solution. Recall
that in the extraction step for
the separation of an organic acid
either dilute NaHCO3 or NaOH
was used. Concentrated HCl will
now help minimize the volume of
the final aqueous solution
・Acidification must be done
carefully, portion by portion, with
swirling each time because the
acid-base neutralization reaction
is exothermic.
・Check the pH of the solution to
ensure that it is acidic. (~pH 3)
Separatory Funnel Extraction Procedure
Separatory funnels are designed to facilitate the mixing of immiscible liquids
Separatory Funnel Extraction Procedure
1. Support the
separatory funnel in a
ring on a ringstand.
Make sure stopcock is
closed
2. Pour in liquid to
be extracted
3. Add extraction
solvent
4. Add ground glass
Stopper (well greased)
Separatory Funnel Extraction Procedure
Pick up the separatory
funnel with the stopper in
palce and the stopcock
closed, and rock it once
gently.
Then, point the stem up and slowly open the
stopcock to release excess pressure. Close the
stopcock. Repeat this procedure until only a small
amount of pressure is released when it is vented
Shake the separatory funnel.
Separatory Funnel Extraction Procedure
Shake the separatory funnel vigorously.
Now, shake the funnel vigorously for a few seconds. Release
the pressure, then again shake vigorously. About 30 sec
total vigorous shaking is usually sufficient to allow solutes to
come to equilibrium between the two solvents.
Vent frequently to prevent pressure buildup,
which can cause the stopcock and perhaps
hazardous chemicals from blowing out. Take
special care when washing acidic solutions with
bicarbonate or carbonate since this produces a
large volume of CO2 gas
Separatory Funnel Extraction Procedure
Separate the layers.
Let the funnel rest
undisturbed until the layers
are clearly separated
While waiting, remove the
stopper and place a beaker
or flask under the sep
funnel.
Carefully open the stopcock and
allow the lower layer to drain
into the flask. Drain just to the
point that the upper liquid
barely reaches the stopcock
LIQUID EXTRACTION
• Liquid extraction, sometimes called solvent extraction, is
the separation of the constituents of a liquid solution by
contact with another insoluble liquid.
• If the substances constituting the original solution
distribute themselves differently between two liquid
phases, a certain degree of separation will result.
The separation can be enhanced by the use of
multistage contacts or their equivalents in the
manner of gas absorption & distillation.
• Feed: Solution which is to be extracted.
(F=A+C)
• Solvent:Liquid with which feed is contacted.
(B)
• Extract: Solvent reach product. (B+C)
• Raffinate: Residual liquid from which solute
has been removed. (A+C)
M
FEE
D
SOLVE
NT
MIXER
RAFFINAT
E
EXTRACT
SETTL
ER
IMPORTANT REQUIREMENTS
A) Insolubility of extract & raffinate
phases.
B) Density difference between extract &
raffinate phases.
• Limitations:
A) Like gas absorption, pure products are
not obtained. Hence, other separation
techniques like distillation are to be
used for obtaining pure products.
FIELDS OF USEFULNESS
A) Competition with other mass transfer
operations—relative costs* will decide
the separation technique, i.e.,
i) Dilute aqueous solutions, e.g., acetic
acid-water mixtures, e.g., selected solvent
will
reduce distillation load and/or improve
relative
volatility.
ii) Substitution of high vacuum distillation
operation
*Cost includes both direct & indirect costs
B) Substitution for chemical methods—
avoids consumption of chemicals & disposal
problems, e.g., metal separations such as
uranium- vanadium, hafnium-zirconium, etc.
Also, purification of copper, phosphoric acid,
boric acid, etc.
C) Separation where other methods do
not
give desired products:
i) Separation of mixture with same
molecular weight (near B.P.)
II) Pharmaceutical products like
penicillin
Choice of solvent
There is usually wide choice of liquids to be used as solvent. It is unlikely
that any particular liquid will possess all the properties considered
desirable for extraction & some compromise is usually necessary.
Following properties should be considered while making a choice:
1.SELECTIVITY: IS MEASURED BY COMPAIRING THE RATIO OF C TO A IN THE B-
RICH PHASE (EXRACT) TO THAT IN THE A-RICH PHASE(RAFFINATE) AT
EQUILIBRIUM. ANALOGOUS TO RELATIVE VOLATILITY:
β= (Wt. fraction C in E/ Wt. fraction A in E)
(Wt. fraction C in R/ Wt. fraction A in R)
= (Wt. fraction A in R) ×y*E
(Wt. fraction A in E)×xR1
>1,higher value desirable
=1- no separation
2. Distribution coefficient: y*/x at equilibrium. Not
necessary that y*/x should be > 1. However, higher
values are desirable since less solvent will be
required for extraction.
3. Insolubility of solvent: For both diagrams shown, only
those A-C mixtures between D & A can be separated
by use of solvent B or B‘. Since mixtures richer in C
will not form two liquid phases with the solvent and
no separation will take place. Clearly, solvent B is
more useful.
4)Recoverability: It is always necessary to recover the
solvent for reuse. It is usually recovered by
distillation. This requires:
A) high relative volatility between solvent & solute
(less
no. of theoretical stages) .
B) Smaller quantity of material should be more volatile
(less vapor rate* & consequently less heat load**).
C) Low heats of vaporization (less heat load).
D) No azeotrope formation with solute.
* Small column diameter ** Small reboiler & condenser
& also low utility requirements.
5) Density: differences are a must between
extract & raffinate phases. Larger the
difference, better & quicker is the separation.
6) Interfacial Tension: Larger the interfacial
tension, the more readily coalescence of
emulsion takes place.
7) Chemical Reactivity: Solvent should be
stable
chemically & inert towards other components
of
the system & common materials of
construction.
8) Viscosity, Vapor Pressure & Freezing
Point: Low value will help in ease of
handling & storage.
9) Solvent should be non toxic, non
inflammable & of low cost.
Liquid extraction requires two
immiscible
phases to intimately mix to accomplish
mass transfer & then separate
System of three liquids-
one pair partially miscible.
This is the most common type of system
in extraction. Typical examples are:
• Water (A)-Chloroform (B)-Acetone (C)
• Benzene (A)-Water (B)-Acetic acid (C)
Triangular co ordinates are used as isotherms.
Liquid C dissolves completely in A & B,
respectively. But A & B dissolve only to a
limited extent in each other to give rise to the
saturated
liquid solution at L (A rich) & K (B rich).
System of three liquids, A and B
partially miscible
More insoluble A & B, L & K will be near
apex points of triangle. A binary mixture
at J will separate into two liquids of
composition at L & K.
Curve LRPEK is the binodal solubility
curve, indicating the change of solubility
of A rich & B rich phases upon addition
of C.
• Any mixture outside this curve would be
a homogeneous liquid of one phase
(i.e., no separation). Any ternary
mixture, such as M, will form two
insoluble, saturated liquid phases of
equilibrium composition as indicated by
R(A rich) and E(B rich). The line RE
joining these equilibrium compositions is
a tie line, which must necessarily pass
through point M representing the
mixture as a whole.
• There are an infinite number of tie lines
in the two phase region & only a few are
shown. They are rarely parallel &
usually
• change slope in one direction as shown.
Point P, the plait point, the last of the tie
lines & the point where the A-rich & B-
rich
• solubility curves merge, is ordinarily not
at the maximum value of C on the
• The % of C in solution E is clearly greater
than that in R, and it is said that in this case
the distribution of C favors the B rich phase.
This is conveniently shown on the distribution
diagram (Fig. 10.3), where the point (E,R) lies
above the diagonal y=x. The ratio y*/x, the
distribution coefficient, is in this case greater
than unity. The concentrations of C at ends of
the tie lines, when plotted against each other
, gives rise to the distribution curve shown.
EFFECT OF TEMPERATURE
• For most systems, the mutual solubility
of A & B increases with temperature,
and above certain critical temperature, t4
, they dissolve completely. The
increased solubility at higher
temperature influences the ternary
equilibrium considerably. At higher
temperatures,
• i) Area of heterogeneity decreases
ii) Slope of tie line may change.
• Liquid extraction operations, which
depend upon the formation of insoluble
liquid phases, must be carried out at
temperatures below t4.
SINGLE STAGE EXTRACTION
F+S1 = M1 =E1+ R1 ----(1)
FxF +S1yS = MxM1 ----(2)
xM1= (FxF +S1yS)/M1 ---(3)
WHERE F+S1 = M1.
This allows computation of xM1.
FxF +S1yS =(F+S1) xM1
F(xF- xM1) = S1 (xM1-yS)
S1/F = (xF- xM1)/ (xM1-yS) ---(4)
This allows computation of solvent for given
location of M1.
E1y1 +R1x1 =M1xM1 ---(5)
E1y1 = M1xM1- x1(M1-E1)
E1= M1 (xM1-x1)/ (y1-x1) --(6)
• Since two immiscible phases must form for an
extraction operation, point M1 must lie within
the heterogeneous liquid area as shown. The
minimum amount of solvent is thus found by
locating M1 at D, which would then provide an
infinitesimal extract at G, and the maximum
amount of solvent is found by locating M1 at
K, which provides an infinitesimal amount of
raffinate at L. Point L also represents the
raffinate with the lowest possible C
concentration.
SINGLE STAGE CONTACT OF
IMMISCIBLE LIQUIDS
• If A & B are completely immiscible, then there
is no need to use triangular diagrams. C will
distribute between B & A
• and equilibrium concentrations will be given
by plot of y( concentration of solute in extract
) vs. x ( concentration of solute in raffinate ).
• AxF=Ax1 + Sy1 Alt. y1 / (x1 -xF) = -A/S
• This line passes through (xF,0) & has slope of
• -A/S. It intersects equilibrium curve at point
(x,y)
Other Co-0rdinates
• Because the equilibrium relations can rarely
be expressed algebraically with any
convenience, extraction computation must
usually be made graphically on a phase
diagram.
The co-ordinates scales of an equilateral
triangles are necessarily always the same,
and in order to be able to expand one
concentration scale relative to other,
rectangular co ordinates could be used.
• One of these is formed by plotting
concentration of B as abscissa against
concentration of C (x &y) as ordinate as
shown in fig.10.9. Unequal scales can
be used in order to expand the plot as
desired. Equation given below applies,
regardless of inequality of the scales.
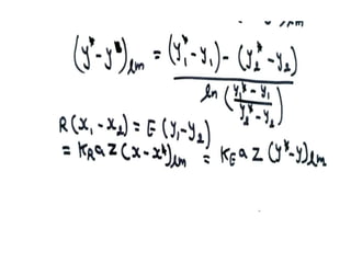
• R/E= (xE-xM)/ (xM-xR)
Multistage cross – current
operations
1 2 3
Solvent
S1, ys
S2
,ys
S3,
ys
R1,
x
1
R
2
x
2
R3
x
3
E1,
y1
E2,
y2
E3,
y3
fee
dF,
xF
Extract of
all stages
Fig. shows a
three stage
cross current
extraction
operations
where the
raffinate
from any stage is
the feed for the
next stage
For any stage n,
Overall mass balance:
Rn-1 +Sn = Rn + En= Mn
Solute balance:
Rn-1 xn-1 + Sn yn = xn Rn + yn En
= xMn Mn
For stage 1, Rn-1= F, xn-1 = xF
From 1 and 2
xMn =( Rn-1 xn-1 + Sn yn )/ (Rn-1 + Sn )
(1)
(2)
(3
)
• En= {Mn(xMn - xn)}/( yn –xn)
Graphical representation of various
streams is shown in fig.
(4)
• The solvent S1, S2 and S3 have the
same compositions and are represented
by point S. The points F, M1, S1 and R1
are located as in the case of single
stage operation. The point R1 now
represents the feed to stage2. M2 lies on
line R1S at mass fraction of C =xM2 . R2.
and E2 are the ends.
Completely immiscible A & B
• If the feed contain “A” Kg of A and the solvent
contain “B” Kg of B, then all raffinate contain “A”
Kg of A and all the extract will contain “B” Kg of
B. thus solute balance for any stage n:
Ax’n-1+ Bn y’s = Bn y’n + Ax’n ----------(5)
or -(A/ Bn) = { (y’s- y’n) }/ {x’n-1 - x’n} --- (6)
• Equation(6) represent the operating line of stage
“n” of slope –A/Bn and passing through (x’n-1 ,y’s)
and (x’n,y’n). Graphical representation is as
shown:
• Ex. Water –dioxane solutions
forms a minimum boiling
azeotrope at atmosphere
pressure and cannot be
separated by ordinary
distillation methods. Benzene
forms no azeotropic with
dioxane and may be used as
an extraction solvent. At 25
deg c , equilibrium distribution
of dioxane between water and
benzene is as follow:
•
Wt
%in
H2O
5.1 18.9 25.2
Wt
%in
C6H6
5.2 22.5 32
At these concentrations, water and benzene are
substantially insoluble 1000Kg of a 25%
dioxane –water solution is to be extracted
with benzene to remove 95% of dioxane.
Benzene is dioxane free.Calculate:
• Benzene requirement for single batch
operation
• if extraction were done with equal amount of
solvent in 3 cross-current stages, how much
solvent would be required?
• Basis:1000Kg dioxane-water
solution.
A-water B- Benzene C- Dioxane
Feed: A-750Kg , C=250 Kg
x’F = (250/750) = 0.333
Since water and benzene are
substantially insoluble, the solute
conc. In the extract and raffinate
phases are expressed on a ‘c’
free basis
• The raffinate will contain750 Kg
water and all extract will contain
‘B’ Kg of B
X’ 0.0537 0.233 0.337
Y’ 0.0548 0.290 0.470
• A) since 95% dioxane is recovered, the final raffinate
will contain 5% of dioxane in feed.
Dioxane in raffinate= 0.05 x 250
= 12.5 Kg
X’ = (12.5/ 750)=0.01557
Now extract and reffinate phase leave in equilibrium
y’ = 0.0170
Now, (-A/B) = {(y’s-y’s)/x’F-x’
(-750/B)={(0-0.0170)/(0.333-0.01557)}
B=14,004Kg
• Since equal amount of solvent in
each stage the operating line for all
stages have the same slope. The
equilibrium values for stage 1(x’1
,y’1), for the stage 2 through (x’2,
y’2) and for the stage 3 through (x’3,
y’3) respectively, which lies on the
equilibrium curve
• x’F = 0.333, y’s = 0
x’3 = 0.01557, y’3 =0.017
Slope = - (A/B) = 0.5
B= 2 A = 1500 Kg
}by trial and
error method
Solvent required = 3x1500=4500Kg
conc. Of dioxane = {(250-12.5)/(4500)} =0.05277
Multi stage counter-current
extraction
• For immiscible liquids, equilibrium curve is st.
line and solvent is pure, i.e.
y’s =0 and y’=mx’, s1= s2 = s3= B
(-A/ Bn) = {(y’s – y’n)/(x’n-1 – x’n)}
Becomes (-A/ B) = -{(y’n)/(x’n-1 – x’n)}
B y’n = A (x’n-1 – x’n)
mBx1’ = A (x’F – x’1)
(A+ mB) x’1= A x’F
• x’1= {A/(A+mB)} x’F
Similarly x’2= {A/(A+mB)} x’1
x’2 = {A/(A+mB)}2 x’F
By extension, x’n= {A/(A+mB)}n x’F
n= {ln (x’n/x’F)/ln(A/mB)} recast earlier
example & find solvent requirement
• Another rectangular coordinate system
involves plotting as abscissa the weight
fraction C on a B free basis, X and Y in
the A-rich and B-rich phases,
respectively, against N, the B-
concentration on a B-free basis, as
ordinate, as shown in the upper part of
fig. 10.10. This has been plotted for a
system of two partly miscible pairs, such
as that of fig. 10.5
Liquid-Liquid Extraction
Here is what you will learn in this chapter.
5.1 Introduction to Extraction Processes
5.2 Equilibrium Relations in Extraction
5.3 Single- Stage Equilibrium Extraction
5.4 Equipment for Liquid-Liquid Extraction
5.5 Continuous Multistage Countercurrent
Extraction
135
5.1 Introduction to Extraction Processes
“When separation by distillation is ineffective or very difficult e.g. close-
boiling mixture, liquid extraction is one of the main alternative to
consider.”
What is Liquid-liquid extraction (or solvent extraction)?
Liquid-Liquid extraction is a mass transfer operation in which a liquid
solution (feed) is contacted with an immiscible or nearly immiscible liquid
(solvent) that exhibits preferential affinity or selectivity towards one or
more of the components in the feed. Two streams result from this contact:
a) Extract is the solvent rich solution containing the
desired extracted solute.
b) Raffinate is the residual feed solution containing little solute.
136
Liquid-liquid extraction principle
When Liquid-liquid extraction is carried out in a test tube or flask the
two immiscible phases are shaken together to allow molecules to
partition (dissolve) into the preferred solvent phase.
5.1 Introduction to Extraction Processes
137
An example of extraction:
5.1 Introduction to Extraction processes
Acetic acid in H2O
+
Ethyl acetate
Extract
Organic layer contains most of acetic acid in
ethyl acetate with a small amount of water.
Raffinate
Aqueous layer contains a weak acetic acid
solution with a small amount of ethyl
acetate.
The amount of water in the extract and ethyl acetate in the raffinate
depends upon their solubilites in one another.
138
Equilateral triangular diagram
(A and B are partially miscible.)
Triangular coordinates and equilibrium data
Each of the three corners
represents a pure component A,
B, or C.
Point M represents a mixture of
A, B, and C.
The perpendicular distance from
the point M to the base AB
represents the mass fraction xC.
The distance to the base CB
represents xA, and the distance
to base AC represents xB.
xA + xB + xC = 0.4 + 0.2 + 0.4 = 1
xB = 1.0 - xA - xC
yB = 1.0 - yA - yC
5.2 Single-stage liquid-liquid extraction processes
139
Liquid C dissolves completely in A or in B.
Liquid A is only slightly soluble in B and B slightly soluble in A.
The two-phase region is included inside below the curved envelope.
An original mixture of composition M will separate into two phases a and b which are on
the equilibrium tie line through point M.
The two phases are identical at point P, the Plait point.
Liquid-Liquid phase diagram where components A and B are partially
miscible.
140
141
Point A = 100% Water
Point B = 100% Ethylene Glycol
Point C = 100% Furfural
Point M = 30% glycol, 40% water, 30% furfural
Point E = 41.8% glycol, 10% water, 48.2% furfural
Point R = 11.5% glycol, 81.5% water, 7% furfural
The miscibility limits for the furfural-water binary
system are at point D and G.
Point P (Plait point), the two liquid phases have
identical compositions.
DEPRG is saturation curve; for example, if feed
50% solution of furfural and glycol, the second
phase occurs when mixture composition is 10%
water, 45% furfural, 45% glycol or on the
saturation curve.
Liquid-Liquid equilibrium, ethylene glycol-furfural-water, 25ºC,101 kPa.
Ex 5.1 Define the composition of point A, B, C, M, E, R, P and DEPRG in
the ternary-mixture.
142
Equilibrium data on rectangular coordinates
The system acetic acid (A) –
water (B) – isopropyl ether
solvent (C). The solvent pair B
and C are partially miscible.
xB = 1.0 - xA - xC
yB = 1.0 - yA - yC
Liquid-liquid phase diagram
143
EX 5.2 An original mixture weighing 100 kg and containing 30 kg of
isopropyl ether (C), 10 kg of acetic acid (A), and 60 kg water (B) is
equilibrated and the equilibrium phases separated. What are the
compositions of the two equilibrium phases?
Solution:
Composition of original mixture is xc= 0.3, xA = 0.10, and xB = 0.60.
144
Liquid-liquid phase diagram
1. Composition of xC = 0.30, xA
= 0.10 is plotted as point h.
2. The tie line gi is drawn
through point h by trial and
error.
3. The composition of the
extract (ether) layer at g is yA
= 0.04, yC = 0.94, and yB =
1.00 - 0.04 - 0.94 = 0.02
mass fraction.
4. The raffinate (water) layer
composition at i is xA = 0.12,
xC = 0.02, and xB = 1.00 –
0.12 – 0.02 = 0.86.
145
“The solvent pairs B and C and also A and C are partially miscible.”
Phase diagram where the solvent pairs B-C and A-C are partially miscible.
146
Derivation of lever-arm rule for graphical addition
5.3 Single-Stage Equilibrium Extraction
MLV =+An overall mass balance:
MCCC MxLxVy =+
AMAA MxLxVy =+A balance on A:
A balance on C:
5.1
5.2
5.3
Where xAM is the mass fraction of A in the M stream.
147
Derivation of lever-arm rule for graphical addition
AAM
AMA
xx
xy
V
L
−
−
=
AMC
MCC
xx
xy
V
L
−
−
=
AAM
CMC
AMA
MCC
yx
yx
xx
xx
−
−
=
−
−
ML
MV
kgV
kgL
=
)(
)(
VL
MV
kgM
kgL
=
)(
)(
(5.4)
(5.5)
(5.6)
Sub 5.1 into 5.2
Sub 5.1 into 5.3
Sub 5.1 into 5.3
(5.7)
(5.8)
Lever arm’s rule
Eqn. 5.6 shows that points L, M, and V must lie on a straight line.
148
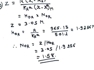
Ex 5.3 The compositions of the two equilibrium layers in Example 5.1 are for
the extract layer (V) yA = 0.04, yB = 0.02, and yC = 0.94, and for the raffinate
layer (L) xA = 0.12, xB = 0.86, and xC = 0.02. The original mixture contained
100 kg and xAM = 0.10. Determine the amounts of V and L.
Solution: Substituting into eq. 5.1
Substituting into eq. 5.2, where M = 100 kg and xAM = 0.10,
Solving the two equations simultaneously, L = 75.0 and V = 25.0. Alternatively, using
the lever-arm rule, the distance hg in Figure below is measured as 4.2 units and gi
as 5.8 units. Then by eq. 5.8,
Solving, L = 72.5 kg and V = 27.5 kg, which is a reasonably close check on the
material-balance method.
100==+ MLV
)10.0(100)12.0()04.0( =+ LV
8.5
2.4
100
===
ig
ghL
M
L
149
5.2 Single-stage liquid-liquid extraction processes
Single-state equilibrium extraction
MVLVL =+=+ 1120
AMAAAA MxyVxLyVxL =+=+ 11112200
MCCCCC MxyVxLyVxL =+=+ 11112200
We now study the separation of A from a mixture of A and B by a solvent C in a single equilibrium
stage.
0.1=++ CBA xxx
An overall mass balance:
A balance on A:
A balance on C:
5.9
5.10
5.11
150
To solve the three equations, the equilibrium-phase-diagram is used.
1. L0 and V2 are known.
2. We calculate M, xAM, and xCM by
using equation 5.9-5.11.
3. Plot L0, V2, M in the Figure.
4. Using trial and error a tie line is
drawn through the point M, which
locates the compositions of L1 and V1.
5. The amounts of L1 and V1 can be
determined by substitution in
Equation 5.9-5.11 or by using lever-
arm rule.
151
Ex 5.4 A mixture weighing 1000 kg contains 23.5 wt% acetic acid (A) and
76.5 wt% water (B) and is to be extracted by 500 kg isopropyl ether (C) in a
single-stage extraction. Determine the amounts and compositions of the
extract and raffinate phases.
Solution Given: kgVandkgL 5001000 20 ==
AMx)1500()0)(500()235.0)(1000( =+
kgMVL 1500500100020 ==+=+
0.1765.0,235.0 200 === ABA yandxx
Given:
157.0=AMx
MCCC MxyVxL =+ 2200
Given: 0765.0235.00.11 000 =−−=−−= BAc xxx
AMAA MxyVxL =+ 2200
MCx)1500()1)(500()0)(1000( =+
33.0=CMx 152
M
V2 (0,1) = (yA2, yC2)
V1 (0.1,0.89) = (yA1, yC1)
L1(0.2,0.03) = (xA1, xC1)
L0(0.235,0) = (xA0, xC0)
M(0.157,0.33) = (xAM, xCM)
153
(1)
AMAA MxyVxL =+ 1111
MCCC MxyVxL =+ 1111
)157.0)(1500()1.0()2.0( 11 =+VL
)33.0)(1500()89.0()03.0( 11 =+VL
From the graph: xC1 = 0.03 and yC1 = 0.89;
From the graph: xA1 = 0.2 and yA1 = 0.1;
(2)
5.177,15.0 11 =+ VL
500,1667.29 11 =+ VL
Solving eq(2) and eq(3) to get L1 and V1;
kgVandkgL 28.52586.914 11 ==
89.003.0,1.0,2.0 1111 ==== CCAA yandxyx Answer
154
5.3 Equipment for Liquid-Liquid Extraction
Introduction and Equipment Types
As in the separation processes of distillation, the two phases in liquid-
liquid extraction must be brought into intimate contact with a high
degree of turbulence in order to obtain high mass-transfer rates.
Distillation: Rapid and easy because of the large difference in
density (Vapor-Liquid).
Liquid extraction: Density difference between the two phases is not
large and separation is more difficult.
Liquid extraction equipment
Mixing by mechanical
agitation
Mixing by fluid flow
themselves
155
Mixer-Settles for Extraction
Separate mixer-settler Combined mixer-settler
156
Plate and Agitated Tower Contactors for Extraction
Perforated plate tower Agitated extraction tower
157
Packed and Spray Extraction Towers
Spray-type extraction tower Packed extraction tower
158
5.4 Continuous multistage countercurrent extraction
Countercurrent process and overall balance
MVLVL NN =+=+ + 110
MCCNCNNCNC MxyVxLyVxL =+=+ ++ 111100
1
11
10
1100
VL
yVxL
VL
yVxL
x
N
CNCN
N
NCNC
MC
+
+
=
+
+
=
+
++
1
11
10
1100
VL
yVxL
VL
yVxL
x
N
AANN
N
ANNA
MA
+
+
=
+
+
=
+
++
An overall mass balance:
A balance on C:
Combining 5.12 and 5.13
Balance on component A gives
5.12
5.13
5.14
5.15
159
5.4 Continuous multistage countercurrent extraction
Countercurrent process and overall balance
1. Usually, L0 and VN+1 are known and
the desired exit composition xAN is set.
2. Plot points L0, VN+1, and M as in the
figure, a straight line must connect these
three points.
3. LN, M, and V1 must lie on one line.
Also, LN and V1 must also lie on the
phase envelope.
160
Ex 5.5 Pure solvent isopropyl ether at the rate of VN+1 = 600 kg/h is being
used to extract an aqueous solution of L0=200 kg/h containing 30 wt% acetic
acid (A) by countercurrent multistage extraction. The desired exit acetic acid
concentration in the aqueous phase is 4%. Calculate the compositions and
amounts of the ether extract V1 and the aqueous raffinate LN. Use equilibrium
data from the table.
Solution: The given values are VN+1 = 600kg/h, yAN+1 = 0, yCN+1 = 1.0, L0 = 200kg/h,
xA0 = 0.30, xB0 = 0.70, xC0 = 0, and xAN = 0.04.
In figure below, VN+1 and L0 are plotted. Also, since LN is on the phase
boundary, it can be plotted at xAN = 0.04. For the mixture point M,
substituting into eqs. below,
75.0
600200
)0.1(600)0(200
10
1100
=
+
+
=
+
+
=
+
++
N
NCNC
MC
VL
yVxL
x
075.0
600200
)0(600)30.0(200
10
1100
=
+
+
=
+
+
=
+
++
N
ANNA
MA
VL
yVxL
x
161
Using these coordinates,
1) Point M is plotted in Figure below.
2) We locate V1 by drawing a line from LN through M and extending it until
it intersects the phase boundary. This gives yA1 = 0.08 and yC1 = 0.90.
3) For LN a value of xCN = 0.017 is obtained. By substituting into Eqs. 5.12
and 5.13 and solving, LN = 136 kg/h and V1 = 664 kg/h.
162
Stage-to-stage calculations for countercurrent extraction.
1120 VLVL +=+
nnnn VLVL +=+ +− 11
∆=−=− 2110 VLVL
....1110 =−=−=−=∆ ++ NNnn VLVLVL
...11111100 =−=−=−=∆ ++++∆ NNNNnnnn yVxLyVxLyVxLx
Total mass balance on stage 1
Total mass balance on stage n
From 5.16 obtain difference Δ in flows
5.16
5.17
5.18
5.19
5.20
Δ is constant and for all stages
163
Stage-to-stage calculations for countercurrent extraction.
1
11
1
11
10
1100
+
++
+
++
∆
−
−
=
−
−
=
−
−
=
NN
NNNN
nn
nnnn
VL
yVxL
VL
yVxL
VL
yVxL
x
10 VL +∆= 1++∆= nn VL 1++∆= NN VL
5.21
5.22
Δx is the x coordinate of point Δ
5.18 and 5.19 can be written as
164
Stage-to-stage calculations for countercurrent extraction.
1. Δ is a point common to all streams passing each
other, such as L0 and V1, Ln and Vn+1, Ln and Vn+1,
LN and VN+1, and so on.
2. This coordinates to locate this Δ operating point
are given for x cΔ and x AΔ in eqn. 5.21. Since the
end points VN+1, LN or V1, and L0 are known, xΔ can
be calculated and point Δ located.
3. Alternatively, the Δ point is located graphically in
the figure as the intersection of lines L0 V1 and LN
VN+1.
4. In order to step off the number of stages using
eqn. 5.22 we start at L0 and draw the line L0Δ,
which locates V1 on the phase boundary.
5. Next a tie line through V1 locates L1, which is in
equilibrium with V1.
6. Then line L1Δ is drawn giving V2. The tie line
V2L2 is drawn. This stepwise procedure is
repeated until the desired raffinate composition LN
is reached. The number of stages N is obtained to
perform the extraction.
165
Ex 5.6 Pure isopropyl ether of 450 kg/h is being used to extract an aqueous
solution of 150 kg/h with 30 wt% acetic acid (A) by countercurrent multistage
extraction. The exit acid concentration in the aqueous phase is 10 wt%.
Calculate the number of stages required.
Solution: The known values are VN+1 = 450, yAN+1 = 0, yCN+1 = 1.0, L0 = 150, xA0 =
0.30, xB0 = 0.70, xC0 = 0, and xAN = 0.10.
1. The points VN+1, L0, and LN are plotted in Fig. below. For the mixture point M,
substituting into eqs. 5.12 and 5.13, xCM = 0.75 and xAM = 0.075.
2. The point M is plotted and V1 is located at the intersection of line LNM with the
phase boundary to give yA1 = 0.072 and yC1 = 0.895. This construction is not shown.
3. The lines L0V1 and LNVN+1 are drawn and the intersection is the operating point Δ
as shown.
166
167
1. Alternatively, the coordinates of Δ can
be calculated from eq. 5.21 to locate
point Δ.
2. Starting at L0 we draw line L0 Δ, which
locates V1. Then a tie line through V1
locates L1 in equilibrium with V1. (The
tie-line data are obtained from an
enlarged plot.)
3. Line L1 Δ is next drawn locating V2. A tie
line through V2 gives L2.
4. A line L2 Δ is next drawn locating V2. A
tie line through V2 gives L2.
5. A line L2 Δ gives V3.
6. A final tie line gives L3, which has gone
beyond the desired LN. Hence, about
2.5 theoretical stages are needed.
5.4 Continuous multistage countercurrent extraction
Countercurrent-Stage Extraction with Immiscible Liquids






−
′+





−
′=





−
′+





−
′
+
+
1
1
1
1
0
0
1111 y
y
V
x
x
L
y
y
V
x
x
L
N
N
N
N






−
′+





−
′=





−
′+





−
′
+
+
1
1
1
1
0
0
1111 y
y
V
x
x
L
y
y
V
x
x
L
n
n
n
n
If the solvent stream VN+1 contains components A and C and the feed stream L0
contains A and B and components B and C are relatively immiscible in each other, the
stage calculations are made more easily. The solute A is relatively dilute and is being
transferred from L0 to VN+1.
Where L/ = kg inert B/h, V/ = kg inert C/h, y = mass fraction A in V stream, and x =
mass fraction A in L stream. (5.24) is an operating-line equation whose slope ≈ L//V/.
If y and x are quite dilute, the line will be straight when plotted on an xy diagram.
5.23
5.24
168
Ex 5.7 An inlet water solution of 100 kg/h containing 0.010 wt fraction
nicotine (A) in water is stripped with a kerosene stream of 200 kg/h
containing 0.0005 wt fraction nicotine in a countercurrent stage tower. The
water and kerosene are essentially immiscible in each other. It is desired to
reduce the concentration of the exit water to 0.0010 wt fraction nicotine.
Determine the theoretical number of stages needed. The equilibrium data are
as follows (C5), with x the weight fraction of nicotine in the water solution and
y in the kerosene.
X y x y
0.001010 0.000806 0.00746 0.00682
0.00246 0.001959 0.00988 0.00904
0.00500 0.00454 0.0202 0.0185
169
Solution: The given values are L0 = 100 kg/h, x0 = 0.010, VN+1 = 200 kg/h, yN+1 =
0.0005, xN = 0.0010. The inert streams are
hrwaterkgxLxLL /0.99)010.01(100)1()1( 00 =−=−=−=′
hrosenekgyVyVV NN /ker9.199)0005.01(200)1()1( 11
/
=−=−=−= ++
Making an overall balance on A using eq. 5.23 and solving, y1 = 0.00497.
These end points on the operating line are plotted in Fig. below. Since the
solutions are quite dilute, the line is straight. The equilibrium line is also
shown. The number of stages are stepped off, giving N = 3.8 theoretical
stages.
170
171
Any Questions or Additions
THANK YOU
 Define the following terms:
[Extraction, etc]
Respond to the following questions:
Give a detailed account of ………………
Explain in details the process of …………..
Describe in details with examples the…………
With examples, illustrate the pharmaceutical applications of ……………
Group work discussional questions:
Explain in details the process of………
Describe with examples in details the…………..
With examples, illustrate the pharmaceutical applications of…….
176
Homework No.9
1. A single-stage extraction is performed in which 400 kg of a solution
containing 35 wt% acetic acid in water is contacted with 400 kg of pure
isopropyl ether. Calculate the amounts and compositions of the extract
and raffinate layers. Solve for the amounts both algebraically and by
the lever-arm rule. What percent of the acetic acid is removed?
177
Homework No.10
1. Pure water is to be used to extract acetic acid from 400 kg of a feed
solution containing 25 wt% acetic acid in isopropyl ether.
(a) If 400 kg of water is used, calculate the percent recovery in the water
solution in a one-stage process.
(b) If a multiple four-stage system is used and 100 kg fresh water is used
in each stage, calculate the overall percent recovery of the acid in the
total outlet water. (Hint: First, calculate the outlet extract and raffinate
streams for the first stage using 400 kg of feed solution and 100 kg of
water. For the second stage, 100 kg of water contacts the outlet organic
phase from the first stage. For the third stage, 100 kg of water contacts
the outlet organic phase from the first stage. For the third stage, 100 kg
of water contacts the outlet organic phase from the second stage, and
so on.)

15 extraction

  • 2.
  • 3.
  • 4.
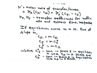
    Extraction • It isthe removal of soluble material from insoluble solid or liquid by treatment with a liquid solvent. • The extraction rate depends on: The diffusion rate of solute through liquid boundary layer. I. Solid - liquid extraction (leaching) • The extraction of a soluble constituent from a solid by means of a solvent. 1.The extraction of fixed oils from seeds, Alkaloids as strychnine from Nux vomica or quinine from cinchona bark, 2. The isolation of enzymes as rennin, hormones as insulin. • Leaching is usually operated as a batch process.. WHY? • It involves the processing of high cost materials present in relatively small quantities. • Frequent changes of material may be made, creating problems of cleaning & contamination.
  • 5.
    Leaching is performedin one of two ways: By percolation: • The raw material is placed in a vessel, form a permeable bed through which the solvent (menstrum) percolates. • The dissolution of the wanted constituents occurs and the solution issues from the bottom of the bed. • This liquid is (miscella) and the exhausted solids are (marc). By immersion: • The raw material is immersed in the solvent and stirred frequently. • After a suitable period of time, solid and liquid are separated by filtration.
  • 6.
    Factors affecting therate of leaching 1. Particle Size: • Small particle size is attained by milling  higher extraction rates.. WHY? 1. Milling causes rupturing of cell wall (the main barrier to be crossed). 2. The smaller the size  The greater the interfacial area between solid and liquid.  The smaller the distance the solute must diffuse within solid. 2. The Solvent: A. Selective B. Of a sufficiently low viscosity to circulate freely. C. A relatively pure solvent will be used initially, but as the extraction proceeds, the concentration of solute will increase and the rate of extraction will decrease.. WHY? 1. The concentration gradient will be reduced. 2. The solution will become more viscous.
  • 7.
    3. The Temperature: 1.The increase in temperature will lead to: a. ↑ drug solubility  ↑ extraction rate. b. ↑ diffusion coefficient. 2. The upper limit of temperature is determined by secondary considerations. Eg. The necessity of preventing enzyme action during extraction of solutes like sugar. 4. The Agitation of the solvent: ↑ Eddy diffusion  ↑ transfer of material from the surface of the particles to bulk of solution. Beyond a certain limit, increasing the rate of agitation will not further affect the rate of extraction.. WHY? • Because the controlling resistance will be found in the diffusion of the solute from the cell matrix itself to outside.
  • 8.
    A. Leaching bypercolation • When the solids form an open, permeable mass throughout the leaching operation, solvent may be percolated through an unagitated bed of solids. • The solid bed may be: 1. Stationary: batch operation Eg. Batch percolator 2. Moving: continuous operation Eg. Bollman Extractor).
  • 9.
    Bollman Extractor • Itis a vertical chamber having a number of baskets with perforated metal bottoms rotating clockwise in a chain over 2 wheels. The ascending column of baskets: 1. The baskets move upwards (containing the herb) and then sprayed with the pure solvent (counter- current), 2. The solvent percolates downwards to be collected at the bottom as half miscella.
  • 10.
    The descending columnof baskets: • As the baskets move up, they are inverted to get ride of the marc and filled again with fresh one. • The baskets are then sprayed in this side with the half miscella coming from the left side (parallel flow). • The half miscella percolate downward through the fresh herb so it is collected at the bottom as full miscella. • Used for extraction of oils
  • 11.
    Batch percolator • Itis a tank with a perforated false bottom to support solids and permit solvent drainage. • The solids are loaded into the tank, sprayed with solvent until their solute content is reduced to economical minimum, and exhausted. • The extractor body may be jacketed to give control of the extraction temperature.
  • 12.
    • The packingof the coarsely ground material must be even otherwise, solvent will preferentially flow through a limited volume of bed and leaching will be inefficient. • The leach liquids pass to an evaporator working at a reduced pressure  The vapour leaving the evaporator is condensed and is redirected to the extractor. • Extraction is stopped when leach liquid is free from wanted constituents. • Used for: extraction of alkaloids Disadvantages: 1. Require large amounts of solvent. 2. Yield dilute extracts extraction  evaporation.
  • 13.
    B. Leaching byImmersion Is carried out in simple tanks, which may be agitated by turbines or paddles. • If the solids are adequately suspended, intimate contact between phases promote efficient extraction. • Advantages: 1. Incomplete extraction due to channeling is avoided 2. Difficulties due to swelling will not arise.
  • 14.
    • Separation ofthe phases depends on: The nature of the extracted materials. 1. Finely divided solids: By continuous centrifugation. 2. Coarse, compressible solids: When agitation ceases, The solids will settle The leach liquid is siphoned or pumped off. The sediment will contain a ↑ volume of miscella recovered by: 1. re-suspending solids in fresh solvent. 2. re-separating. * Alternatively, cake filtration may be used.
  • 15.
    II. Liquid –Liquid Extraction Principles of the extraction towers: 1. Towers are operated with the 2 liquid phases flow counter- current to each other. The heavy phase introduced at top & flows downward, The lighter phase introduced at bottom & flows upward. 2. The gravitational force controls the counter-current motion and separation of the two phases. Applications: 1- Refining of vegetable oils using furfural. 2- Manufacture of pharmaceuticals as antibiotics.
  • 16.
    Spray Towers • Theyare empty towers, without packing or baffles . • One liquid fills the whole tower as a continuous phase, • Other phase is dispersed through it by spraying. • Contacting effectiveness is low.. WHY? 1. Re-circulation of continuous phase. 2. Coalescence of dispersed phase. • High columns are required for efficient extraction
  • 17.
    Baffle Plate column •The horizontal baffles are used to direct the flow of liquids in a zigzag path as they pass either up or down to the tower. Advantages: • Contain no holes to be clogged or enlarged by corrosion. • Suitable for dirty solution contain suspended solids. • Valuable for liquids that can emulsify easily.
  • 18.
    Packed Tower • Theuse of packing increase the area of contact between phases. • Empty column is filled with a material (metal, stone and porcelain) and cut in the form of rings called “Raschig rings”  a large surface area wetted by the liquid. • The packing is supported on an open screen  not offer any resistance to flow.
  • 19.
    Liquid-liquid extraction isa useful method to separate components (compounds) of a mixture
  • 20.
    Let's see anexample. Suppose that you have a mixture of sugar in vegetable oil (it tastes sweet!) and you want to separate the sugar from the oil. You observe that the sugar particles are too tiny to filter and you suspect that the sugar is partially dissolved in the vegetable oil. What will you do?
  • 21.
    How about shakingthe mixture with water Will it separate the sugar from the oil? Sugar is much more soluble in water than in vegetable oil, and, as you know, water is immiscible (=not soluble) with oil. Did you see the result?The water phase is the bottom layer andthe oil phase is the top layer, because water is denser than oil. *You have not shaken the mixture yet, so sugar is still in the oil phase.
  • 22.
    By shaking thelayers (phases) well, you increase the contact area between the two phases.The sugar will move to the phase in which it is most soluble: the water layer Now the water phase tastes sweet, because the sugar is moved to the water phase upon shaking.**You extracted sugar from the oil with water.**In this example,water was the extraction solvent ;the original oil-sugar mixture was the solution to be extracted; and sugar was the compound extracted from one phase to another. Separating the two layers accomplishes the separation of the sugar from the vegetable oil
  • 23.
    Did you getit? .....the concept of liquid-liquid extraction? Liquid-liquid extraction is based on the transfer of a solute substance from one liquid phase into another liquid phase according to the solubility.Extraction becomes a very useful tool if you choose a suitable extraction solvent. You can use extraction to separate a substance selectively from a mixture, or to remove unwanted impurities from a solution.In the practical use, usually one phase is a water or water-based (aqueous) solution and the other an organic solvent which is immiscible with water. The success of this method depends upon the difference in solubility of a compound in various solvents. For a given compound, solubility differences between solvents is quantified as the "distribution coefficient"
  • 24.
    Partition Coefficient Kp(Distribution Coefficient Kd) When a compound is shaken in a separatory funnel with two immiscible solvents, the compound will distribute itself between the two solvents. Normally one solvent is water and the other solvent is a water-immiscible organic solvent. Most organic compounds are more soluble in organic solvents, while some organic compounds are more soluble in water.
  • 25.
    Here is theuniversal rule: At a certain temperature, the ratio of concentrations of a solute in each solvent is always constant.ハAnd this ratio is called the distribution coefficient, K. (when solvent1 and solvent2 are immiscible liquids For example,Suppose the compound has a distribution coefficient K = 2 between solvent1 and solvent2 By convention the organic solvent is (1) and waater is (2)
  • 26.
    (1) If thereare 30 particles of compound , these are distributed between equal volumes of solvent1 and solvent2.. (2) If there are 300 particles of compound , the same distribution ratio is observed in solvents 1 and 2 (3) When you double the volume of solvent2 (i.e., 200 mL of solvent2 and 100 mL of solvent1), the 300 particles of compound distribute as shown If you use a larger amount of extraction solvent, more solute is extracted
  • 27.
    What happens ifyou extract twice with 100 mL of solvent2 ? In this case, the amount of extraction solvent is the same volume as was used in Figure 3, but the total volume is divided into two portions and you extract with each. As seen previously, with 200 mL of solvent2 you extracted 240 particles of compound . One extraction with 200 mL gave a TOTAL of 240 particles You still have 100 mL of solvent1, containing 100 particles. Now you add a second 100 mL volume of fresh solvent2. According to the distribution coefficient K=2, you can extract 67 more particles from the remaining solution
  • 28.
    An additional 67particles are extracted with the second portion of extraction solvent (solvent2).The total number of particles extracted from the first (200 particles) and second (67 particles) volumes of extraction solvent is 267.This is a greater number of particles than the single extraction (240 particles) using one 200 mL portion of solvent2! It is more efficient to carry out two extractions with 1/2 volume of extraction solvent than one large volume!
  • 29.
    If you extracttwice with 1/2 the volume, the extraction is more efficient than if you extract once with a full volume. Likewise, extraction three times with 1/3 the volume is even more efficient…. four times with 1/4 the volume is more efficient….five times with 1/5 the volume is more efficient…ad infinitum The greater the number of small extractions, the greater the quantity of solute removed. However for maximum efficiency the rule of thumb is to extract three times with 1/3 volume
  • 30.
    Chemically active (acid-base)extraction Can you change the solubility property of a compound? How? Most organic compounds are more soluble in organic solvents than in water,usually by the distribution coefficient K > 4 However, specific classes of organic compounds can be reversibly altered chemically to become more water-soluble. This is a powerful technique and allows you to separate organic compounds from a mixture -- if they belong to different solubility classes
  • 31.
    What type oforganic compounds can be made water-soluble? Compounds belonging to the following solubility classes can be converted to their water-soluble salt form (1) Organic acids include carboxylic acids (strong organic acids) and phenols (weak organic acids). (2) Organic bases includes amines
  • 32.
    How can organicacids or bases be converted to a water-solubleform? 1. Organic Acids can be converted to their salt form when treated with an aqueous solution of inorganic base (e.g., NaOH (sodium hydroxide) and NaHCO3 (sodium bicarbonate)).Salts are ionic, and in general, ions are soluble in water but not soluble in water-immiscible organic solvents.Remember: water is a very polar solvent thus salts (i.e., ionic species) are well dissolved in it. A. Carboxylic Acids are converted to the salt form with 5% NaOH aqueous solution. NaOH is a strong inorganic base. Carboxylic acids are strong organic acids (pKa = 3 to 4), so they can also be ionized with weak inorganic bases (e.g., NaHCO3 (sodium bicarbonate)) aqueous solution.
  • 33.
    Let's try asample problem. Here is a mixture of naphthalene and benzoic acid, dissolved in dichloromethane. You want to separate these two compounds. What will you do? You may use an aqueous solution of either 5% NaOH or sat. NaHCO3, to extract benzoic acid as a salt form
  • 34.
    B. Phenols areconsidered to be weak organic acids. Phenol, the parent compound, is partially water-soluble (1 g will dissolve in 15 mL of water), whereas substituted phenols are not.Sodium bicarbonate (NaHCO3) aqueous solution, a weak inorganic base, will not deprotonate phenols to make it ionic, because it is not strong enough.However, treatment with NaOH, a strong inorganic base, can change phenol to its ionic (salt) form.
  • 35.
    Let's try aanother sample problem. Here is a mixture of benzoic acid and p-methoxyphenol, dissolved in dichloromethane. You want to separate these two compounds. What will you do? You cannot use 5% NaOH to separate these two compounds. NaOH will react with both benzoic acid and p- methoxyphenol, thus both compounds will be extracted into the aqueous layer.
  • 36.
    Let's try thisproblem again. Here is another mixture of benzoic acid and p-methoxyphenol, dissolved in dichloromethane. Strong organic acids such as benzoic acid would be deprotonated and ionized, while weak organic acids such as phenols would NOT be deprotonated NaOH was too strong a base, thus it does not differentiate the strong and weak organic acids. Use of weak inorganic base such as NaHCO3 will differentiate between the compounds
  • 37.
    2. Organic Bases(amines) can be converted to their salt form when treated with an aqueous solution of an inorganic acid such as HCl (hydrochloric acid). Recall that salts are ionic and generally soluble in water but not soluble in water-immiscible organic solvents.
  • 38.
    Let's try athird sample problem. Here is a mixture of benzoic acid and p-chloroaniline, dissolved in dichloromethane. You want to separate these two compounds. What will you do? You may use an aqueous solution of either 5% HCl, to extract the amine as a salt form and benzoic acid has remained in the organic layer
  • 39.
    You can separatefour different classes of compounds from a mixture based on differing solubility properties. The four classes are:1.Amines (organic base)2.Carboxylic acids (strong acid)3.Phenols (weak acid)4.Neutral compounds.
  • 40.
    After the separationof the mixture of four components, we will have four solutions: each solution contains one component. The first three compounds are chemically altered, existing in their salt form dissolved in aqueous solution. The fourth compound is not chemically altered, but it is dissolved in an organic solvent.We now want to recover each compound in its original state (i.e., in the non-ionic form) to complete the experiment. We call this step isolation or recovery. Let's see, one by one, how to recover each compound obtained from the separation process
  • 41.
    Isolation (Recovery) ofamines An amine is a basic compound. It is protonated in the presence of excess HCl forming a salt that is soluble in aqueous solution. This is how you separated the amine from the original mixture containing it. An amine is soluble in acidic aqueous solution because it forms a salt, an ionic form. However, if you change the pH of the solution to basic the amine can no longer stay dissolved because it is no longer ionic! This process is called basification. Basification is done by carefully adding concentrated NaOH solution to the solution containing the amine salt until it becomes basic.
  • 42.
    ・In the basificationstep, you use concentrated NaOH solution to minimize the volume of the final solution. Recall that a dilute solution of HCl was used to extract the amine as its water- soluble salt (see the picture on the right side). ・Basification must be done carefully, portion by portion, with swirling each time because the acid-base neutralization reaction is exothermic. ・Check the pH of the solution to ensure that it is basic. (~pH 10)
  • 43.
    Isolation (Recovery) ofAcids There are two different groups of organic acids: carboxylic acids (strong acids) and phenols (weak acids).In the separation procedure, acids were extracted using (weak or strong) basic aqueous solutions Both acids can be returned to the original form in the same manner! Organic acids are currently dissolved in a basic aqueous solution, because the acid forms a salt, an ionic form. When you make the aqueous solution acidic, the organic acids no longer remain dissolved because they are no longer ionic and usually precipitate out of solution. This process is called acidification. Acidification is done by carefully adding concentrated HCl solution until the mixture becomes acidic, When the weak base, NaHCO3, was the extracting solution, CO2 gas will evolve during acidification.
  • 44.
    ・The recovery oforganic acids requires acidification with concentrated HCl solution. Recall that in the extraction step for the separation of an organic acid either dilute NaHCO3 or NaOH was used. Concentrated HCl will now help minimize the volume of the final aqueous solution ・Acidification must be done carefully, portion by portion, with swirling each time because the acid-base neutralization reaction is exothermic. ・Check the pH of the solution to ensure that it is acidic. (~pH 3)
  • 45.
    Separatory Funnel ExtractionProcedure Separatory funnels are designed to facilitate the mixing of immiscible liquids
  • 46.
    Separatory Funnel ExtractionProcedure 1. Support the separatory funnel in a ring on a ringstand. Make sure stopcock is closed 2. Pour in liquid to be extracted 3. Add extraction solvent 4. Add ground glass Stopper (well greased)
  • 47.
    Separatory Funnel ExtractionProcedure Pick up the separatory funnel with the stopper in palce and the stopcock closed, and rock it once gently. Then, point the stem up and slowly open the stopcock to release excess pressure. Close the stopcock. Repeat this procedure until only a small amount of pressure is released when it is vented Shake the separatory funnel.
  • 48.
    Separatory Funnel ExtractionProcedure Shake the separatory funnel vigorously. Now, shake the funnel vigorously for a few seconds. Release the pressure, then again shake vigorously. About 30 sec total vigorous shaking is usually sufficient to allow solutes to come to equilibrium between the two solvents. Vent frequently to prevent pressure buildup, which can cause the stopcock and perhaps hazardous chemicals from blowing out. Take special care when washing acidic solutions with bicarbonate or carbonate since this produces a large volume of CO2 gas
  • 49.
    Separatory Funnel ExtractionProcedure Separate the layers. Let the funnel rest undisturbed until the layers are clearly separated While waiting, remove the stopper and place a beaker or flask under the sep funnel. Carefully open the stopcock and allow the lower layer to drain into the flask. Drain just to the point that the upper liquid barely reaches the stopcock
  • 50.
    LIQUID EXTRACTION • Liquidextraction, sometimes called solvent extraction, is the separation of the constituents of a liquid solution by contact with another insoluble liquid. • If the substances constituting the original solution distribute themselves differently between two liquid phases, a certain degree of separation will result.
  • 51.
    The separation canbe enhanced by the use of multistage contacts or their equivalents in the manner of gas absorption & distillation. • Feed: Solution which is to be extracted. (F=A+C) • Solvent:Liquid with which feed is contacted. (B) • Extract: Solvent reach product. (B+C) • Raffinate: Residual liquid from which solute has been removed. (A+C)
  • 52.
  • 53.
    IMPORTANT REQUIREMENTS A) Insolubilityof extract & raffinate phases. B) Density difference between extract & raffinate phases. • Limitations: A) Like gas absorption, pure products are not obtained. Hence, other separation techniques like distillation are to be used for obtaining pure products.
  • 54.
    FIELDS OF USEFULNESS A)Competition with other mass transfer operations—relative costs* will decide the separation technique, i.e., i) Dilute aqueous solutions, e.g., acetic acid-water mixtures, e.g., selected solvent will reduce distillation load and/or improve relative volatility. ii) Substitution of high vacuum distillation operation *Cost includes both direct & indirect costs
  • 55.
    B) Substitution forchemical methods— avoids consumption of chemicals & disposal problems, e.g., metal separations such as uranium- vanadium, hafnium-zirconium, etc. Also, purification of copper, phosphoric acid, boric acid, etc.
  • 56.
    C) Separation whereother methods do not give desired products: i) Separation of mixture with same molecular weight (near B.P.) II) Pharmaceutical products like penicillin
  • 57.
    Choice of solvent Thereis usually wide choice of liquids to be used as solvent. It is unlikely that any particular liquid will possess all the properties considered desirable for extraction & some compromise is usually necessary. Following properties should be considered while making a choice: 1.SELECTIVITY: IS MEASURED BY COMPAIRING THE RATIO OF C TO A IN THE B- RICH PHASE (EXRACT) TO THAT IN THE A-RICH PHASE(RAFFINATE) AT EQUILIBRIUM. ANALOGOUS TO RELATIVE VOLATILITY: β= (Wt. fraction C in E/ Wt. fraction A in E) (Wt. fraction C in R/ Wt. fraction A in R) = (Wt. fraction A in R) ×y*E (Wt. fraction A in E)×xR1 >1,higher value desirable =1- no separation
  • 58.
    2. Distribution coefficient:y*/x at equilibrium. Not necessary that y*/x should be > 1. However, higher values are desirable since less solvent will be required for extraction. 3. Insolubility of solvent: For both diagrams shown, only those A-C mixtures between D & A can be separated by use of solvent B or B‘. Since mixtures richer in C will not form two liquid phases with the solvent and no separation will take place. Clearly, solvent B is more useful.
  • 60.
    4)Recoverability: It isalways necessary to recover the solvent for reuse. It is usually recovered by distillation. This requires: A) high relative volatility between solvent & solute (less no. of theoretical stages) . B) Smaller quantity of material should be more volatile (less vapor rate* & consequently less heat load**). C) Low heats of vaporization (less heat load). D) No azeotrope formation with solute. * Small column diameter ** Small reboiler & condenser & also low utility requirements.
  • 61.
    5) Density: differencesare a must between extract & raffinate phases. Larger the difference, better & quicker is the separation. 6) Interfacial Tension: Larger the interfacial tension, the more readily coalescence of emulsion takes place. 7) Chemical Reactivity: Solvent should be stable chemically & inert towards other components of the system & common materials of construction.
  • 62.
    8) Viscosity, VaporPressure & Freezing Point: Low value will help in ease of handling & storage. 9) Solvent should be non toxic, non inflammable & of low cost. Liquid extraction requires two immiscible phases to intimately mix to accomplish mass transfer & then separate
  • 63.
    System of threeliquids- one pair partially miscible. This is the most common type of system in extraction. Typical examples are: • Water (A)-Chloroform (B)-Acetone (C) • Benzene (A)-Water (B)-Acetic acid (C) Triangular co ordinates are used as isotherms. Liquid C dissolves completely in A & B, respectively. But A & B dissolve only to a limited extent in each other to give rise to the saturated liquid solution at L (A rich) & K (B rich).
  • 64.
    System of threeliquids, A and B partially miscible
  • 65.
    More insoluble A& B, L & K will be near apex points of triangle. A binary mixture at J will separate into two liquids of composition at L & K. Curve LRPEK is the binodal solubility curve, indicating the change of solubility of A rich & B rich phases upon addition of C.
  • 66.
    • Any mixtureoutside this curve would be a homogeneous liquid of one phase (i.e., no separation). Any ternary mixture, such as M, will form two insoluble, saturated liquid phases of equilibrium composition as indicated by R(A rich) and E(B rich). The line RE joining these equilibrium compositions is a tie line, which must necessarily pass through point M representing the mixture as a whole.
  • 67.
    • There arean infinite number of tie lines in the two phase region & only a few are shown. They are rarely parallel & usually • change slope in one direction as shown. Point P, the plait point, the last of the tie lines & the point where the A-rich & B- rich • solubility curves merge, is ordinarily not at the maximum value of C on the
  • 68.
    • The %of C in solution E is clearly greater than that in R, and it is said that in this case the distribution of C favors the B rich phase. This is conveniently shown on the distribution diagram (Fig. 10.3), where the point (E,R) lies above the diagonal y=x. The ratio y*/x, the distribution coefficient, is in this case greater than unity. The concentrations of C at ends of the tie lines, when plotted against each other , gives rise to the distribution curve shown.
  • 69.
    EFFECT OF TEMPERATURE •For most systems, the mutual solubility of A & B increases with temperature, and above certain critical temperature, t4 , they dissolve completely. The increased solubility at higher temperature influences the ternary equilibrium considerably. At higher temperatures, • i) Area of heterogeneity decreases ii) Slope of tie line may change.
  • 70.
    • Liquid extractionoperations, which depend upon the formation of insoluble liquid phases, must be carried out at temperatures below t4.
  • 71.
  • 72.
    F+S1 = M1=E1+ R1 ----(1) FxF +S1yS = MxM1 ----(2) xM1= (FxF +S1yS)/M1 ---(3) WHERE F+S1 = M1. This allows computation of xM1. FxF +S1yS =(F+S1) xM1 F(xF- xM1) = S1 (xM1-yS) S1/F = (xF- xM1)/ (xM1-yS) ---(4) This allows computation of solvent for given location of M1.
  • 73.
    E1y1 +R1x1 =M1xM1---(5) E1y1 = M1xM1- x1(M1-E1) E1= M1 (xM1-x1)/ (y1-x1) --(6)
  • 74.
    • Since twoimmiscible phases must form for an extraction operation, point M1 must lie within the heterogeneous liquid area as shown. The minimum amount of solvent is thus found by locating M1 at D, which would then provide an infinitesimal extract at G, and the maximum amount of solvent is found by locating M1 at K, which provides an infinitesimal amount of raffinate at L. Point L also represents the raffinate with the lowest possible C concentration.
  • 75.
    SINGLE STAGE CONTACTOF IMMISCIBLE LIQUIDS • If A & B are completely immiscible, then there is no need to use triangular diagrams. C will distribute between B & A • and equilibrium concentrations will be given by plot of y( concentration of solute in extract ) vs. x ( concentration of solute in raffinate ). • AxF=Ax1 + Sy1 Alt. y1 / (x1 -xF) = -A/S • This line passes through (xF,0) & has slope of • -A/S. It intersects equilibrium curve at point (x,y)
  • 76.
    Other Co-0rdinates • Becausethe equilibrium relations can rarely be expressed algebraically with any convenience, extraction computation must usually be made graphically on a phase diagram. The co-ordinates scales of an equilateral triangles are necessarily always the same, and in order to be able to expand one concentration scale relative to other, rectangular co ordinates could be used.
  • 77.
    • One ofthese is formed by plotting concentration of B as abscissa against concentration of C (x &y) as ordinate as shown in fig.10.9. Unequal scales can be used in order to expand the plot as desired. Equation given below applies, regardless of inequality of the scales. • R/E= (xE-xM)/ (xM-xR)
  • 79.
    Multistage cross –current operations 1 2 3 Solvent S1, ys S2 ,ys S3, ys R1, x 1 R 2 x 2 R3 x 3 E1, y1 E2, y2 E3, y3 fee dF, xF Extract of all stages Fig. shows a three stage cross current extraction operations where the raffinate from any stage is the feed for the next stage
  • 80.
    For any stagen, Overall mass balance: Rn-1 +Sn = Rn + En= Mn Solute balance: Rn-1 xn-1 + Sn yn = xn Rn + yn En = xMn Mn For stage 1, Rn-1= F, xn-1 = xF From 1 and 2 xMn =( Rn-1 xn-1 + Sn yn )/ (Rn-1 + Sn ) (1) (2) (3 )
  • 81.
    • En= {Mn(xMn- xn)}/( yn –xn) Graphical representation of various streams is shown in fig. (4)
  • 82.
    • The solventS1, S2 and S3 have the same compositions and are represented by point S. The points F, M1, S1 and R1 are located as in the case of single stage operation. The point R1 now represents the feed to stage2. M2 lies on line R1S at mass fraction of C =xM2 . R2. and E2 are the ends.
  • 83.
    Completely immiscible A& B • If the feed contain “A” Kg of A and the solvent contain “B” Kg of B, then all raffinate contain “A” Kg of A and all the extract will contain “B” Kg of B. thus solute balance for any stage n: Ax’n-1+ Bn y’s = Bn y’n + Ax’n ----------(5) or -(A/ Bn) = { (y’s- y’n) }/ {x’n-1 - x’n} --- (6) • Equation(6) represent the operating line of stage “n” of slope –A/Bn and passing through (x’n-1 ,y’s) and (x’n,y’n). Graphical representation is as shown:
  • 85.
    • Ex. Water–dioxane solutions forms a minimum boiling azeotrope at atmosphere pressure and cannot be separated by ordinary distillation methods. Benzene forms no azeotropic with dioxane and may be used as an extraction solvent. At 25 deg c , equilibrium distribution of dioxane between water and benzene is as follow: • Wt %in H2O 5.1 18.9 25.2 Wt %in C6H6 5.2 22.5 32
  • 86.
    At these concentrations,water and benzene are substantially insoluble 1000Kg of a 25% dioxane –water solution is to be extracted with benzene to remove 95% of dioxane. Benzene is dioxane free.Calculate: • Benzene requirement for single batch operation • if extraction were done with equal amount of solvent in 3 cross-current stages, how much solvent would be required?
  • 87.
    • Basis:1000Kg dioxane-water solution. A-waterB- Benzene C- Dioxane Feed: A-750Kg , C=250 Kg x’F = (250/750) = 0.333 Since water and benzene are substantially insoluble, the solute conc. In the extract and raffinate phases are expressed on a ‘c’ free basis • The raffinate will contain750 Kg water and all extract will contain ‘B’ Kg of B X’ 0.0537 0.233 0.337 Y’ 0.0548 0.290 0.470
  • 88.
    • A) since95% dioxane is recovered, the final raffinate will contain 5% of dioxane in feed. Dioxane in raffinate= 0.05 x 250 = 12.5 Kg X’ = (12.5/ 750)=0.01557 Now extract and reffinate phase leave in equilibrium y’ = 0.0170 Now, (-A/B) = {(y’s-y’s)/x’F-x’ (-750/B)={(0-0.0170)/(0.333-0.01557)} B=14,004Kg
  • 89.
    • Since equalamount of solvent in each stage the operating line for all stages have the same slope. The equilibrium values for stage 1(x’1 ,y’1), for the stage 2 through (x’2, y’2) and for the stage 3 through (x’3, y’3) respectively, which lies on the equilibrium curve
  • 90.
    • x’F =0.333, y’s = 0 x’3 = 0.01557, y’3 =0.017 Slope = - (A/B) = 0.5 B= 2 A = 1500 Kg }by trial and error method Solvent required = 3x1500=4500Kg conc. Of dioxane = {(250-12.5)/(4500)} =0.05277
  • 91.
    Multi stage counter-current extraction •For immiscible liquids, equilibrium curve is st. line and solvent is pure, i.e. y’s =0 and y’=mx’, s1= s2 = s3= B (-A/ Bn) = {(y’s – y’n)/(x’n-1 – x’n)} Becomes (-A/ B) = -{(y’n)/(x’n-1 – x’n)} B y’n = A (x’n-1 – x’n) mBx1’ = A (x’F – x’1) (A+ mB) x’1= A x’F
  • 92.
    • x’1= {A/(A+mB)}x’F Similarly x’2= {A/(A+mB)} x’1 x’2 = {A/(A+mB)}2 x’F By extension, x’n= {A/(A+mB)}n x’F n= {ln (x’n/x’F)/ln(A/mB)} recast earlier example & find solvent requirement
  • 131.
    • Another rectangularcoordinate system involves plotting as abscissa the weight fraction C on a B free basis, X and Y in the A-rich and B-rich phases, respectively, against N, the B- concentration on a B-free basis, as ordinate, as shown in the upper part of fig. 10.10. This has been plotted for a system of two partly miscible pairs, such as that of fig. 10.5
  • 134.
  • 135.
    Here is whatyou will learn in this chapter. 5.1 Introduction to Extraction Processes 5.2 Equilibrium Relations in Extraction 5.3 Single- Stage Equilibrium Extraction 5.4 Equipment for Liquid-Liquid Extraction 5.5 Continuous Multistage Countercurrent Extraction 135
  • 136.
    5.1 Introduction toExtraction Processes “When separation by distillation is ineffective or very difficult e.g. close- boiling mixture, liquid extraction is one of the main alternative to consider.” What is Liquid-liquid extraction (or solvent extraction)? Liquid-Liquid extraction is a mass transfer operation in which a liquid solution (feed) is contacted with an immiscible or nearly immiscible liquid (solvent) that exhibits preferential affinity or selectivity towards one or more of the components in the feed. Two streams result from this contact: a) Extract is the solvent rich solution containing the desired extracted solute. b) Raffinate is the residual feed solution containing little solute. 136
  • 137.
    Liquid-liquid extraction principle WhenLiquid-liquid extraction is carried out in a test tube or flask the two immiscible phases are shaken together to allow molecules to partition (dissolve) into the preferred solvent phase. 5.1 Introduction to Extraction Processes 137
  • 138.
    An example ofextraction: 5.1 Introduction to Extraction processes Acetic acid in H2O + Ethyl acetate Extract Organic layer contains most of acetic acid in ethyl acetate with a small amount of water. Raffinate Aqueous layer contains a weak acetic acid solution with a small amount of ethyl acetate. The amount of water in the extract and ethyl acetate in the raffinate depends upon their solubilites in one another. 138
  • 139.
    Equilateral triangular diagram (Aand B are partially miscible.) Triangular coordinates and equilibrium data Each of the three corners represents a pure component A, B, or C. Point M represents a mixture of A, B, and C. The perpendicular distance from the point M to the base AB represents the mass fraction xC. The distance to the base CB represents xA, and the distance to base AC represents xB. xA + xB + xC = 0.4 + 0.2 + 0.4 = 1 xB = 1.0 - xA - xC yB = 1.0 - yA - yC 5.2 Single-stage liquid-liquid extraction processes 139
  • 140.
    Liquid C dissolvescompletely in A or in B. Liquid A is only slightly soluble in B and B slightly soluble in A. The two-phase region is included inside below the curved envelope. An original mixture of composition M will separate into two phases a and b which are on the equilibrium tie line through point M. The two phases are identical at point P, the Plait point. Liquid-Liquid phase diagram where components A and B are partially miscible. 140
  • 141.
  • 142.
    Point A =100% Water Point B = 100% Ethylene Glycol Point C = 100% Furfural Point M = 30% glycol, 40% water, 30% furfural Point E = 41.8% glycol, 10% water, 48.2% furfural Point R = 11.5% glycol, 81.5% water, 7% furfural The miscibility limits for the furfural-water binary system are at point D and G. Point P (Plait point), the two liquid phases have identical compositions. DEPRG is saturation curve; for example, if feed 50% solution of furfural and glycol, the second phase occurs when mixture composition is 10% water, 45% furfural, 45% glycol or on the saturation curve. Liquid-Liquid equilibrium, ethylene glycol-furfural-water, 25ºC,101 kPa. Ex 5.1 Define the composition of point A, B, C, M, E, R, P and DEPRG in the ternary-mixture. 142
  • 143.
    Equilibrium data onrectangular coordinates The system acetic acid (A) – water (B) – isopropyl ether solvent (C). The solvent pair B and C are partially miscible. xB = 1.0 - xA - xC yB = 1.0 - yA - yC Liquid-liquid phase diagram 143
  • 144.
    EX 5.2 Anoriginal mixture weighing 100 kg and containing 30 kg of isopropyl ether (C), 10 kg of acetic acid (A), and 60 kg water (B) is equilibrated and the equilibrium phases separated. What are the compositions of the two equilibrium phases? Solution: Composition of original mixture is xc= 0.3, xA = 0.10, and xB = 0.60. 144
  • 145.
    Liquid-liquid phase diagram 1.Composition of xC = 0.30, xA = 0.10 is plotted as point h. 2. The tie line gi is drawn through point h by trial and error. 3. The composition of the extract (ether) layer at g is yA = 0.04, yC = 0.94, and yB = 1.00 - 0.04 - 0.94 = 0.02 mass fraction. 4. The raffinate (water) layer composition at i is xA = 0.12, xC = 0.02, and xB = 1.00 – 0.12 – 0.02 = 0.86. 145
  • 146.
    “The solvent pairsB and C and also A and C are partially miscible.” Phase diagram where the solvent pairs B-C and A-C are partially miscible. 146
  • 147.
    Derivation of lever-armrule for graphical addition 5.3 Single-Stage Equilibrium Extraction MLV =+An overall mass balance: MCCC MxLxVy =+ AMAA MxLxVy =+A balance on A: A balance on C: 5.1 5.2 5.3 Where xAM is the mass fraction of A in the M stream. 147
  • 148.
    Derivation of lever-armrule for graphical addition AAM AMA xx xy V L − − = AMC MCC xx xy V L − − = AAM CMC AMA MCC yx yx xx xx − − = − − ML MV kgV kgL = )( )( VL MV kgM kgL = )( )( (5.4) (5.5) (5.6) Sub 5.1 into 5.2 Sub 5.1 into 5.3 Sub 5.1 into 5.3 (5.7) (5.8) Lever arm’s rule Eqn. 5.6 shows that points L, M, and V must lie on a straight line. 148
  • 149.
    Ex 5.3 Thecompositions of the two equilibrium layers in Example 5.1 are for the extract layer (V) yA = 0.04, yB = 0.02, and yC = 0.94, and for the raffinate layer (L) xA = 0.12, xB = 0.86, and xC = 0.02. The original mixture contained 100 kg and xAM = 0.10. Determine the amounts of V and L. Solution: Substituting into eq. 5.1 Substituting into eq. 5.2, where M = 100 kg and xAM = 0.10, Solving the two equations simultaneously, L = 75.0 and V = 25.0. Alternatively, using the lever-arm rule, the distance hg in Figure below is measured as 4.2 units and gi as 5.8 units. Then by eq. 5.8, Solving, L = 72.5 kg and V = 27.5 kg, which is a reasonably close check on the material-balance method. 100==+ MLV )10.0(100)12.0()04.0( =+ LV 8.5 2.4 100 === ig ghL M L 149
  • 150.
    5.2 Single-stage liquid-liquidextraction processes Single-state equilibrium extraction MVLVL =+=+ 1120 AMAAAA MxyVxLyVxL =+=+ 11112200 MCCCCC MxyVxLyVxL =+=+ 11112200 We now study the separation of A from a mixture of A and B by a solvent C in a single equilibrium stage. 0.1=++ CBA xxx An overall mass balance: A balance on A: A balance on C: 5.9 5.10 5.11 150
  • 151.
    To solve thethree equations, the equilibrium-phase-diagram is used. 1. L0 and V2 are known. 2. We calculate M, xAM, and xCM by using equation 5.9-5.11. 3. Plot L0, V2, M in the Figure. 4. Using trial and error a tie line is drawn through the point M, which locates the compositions of L1 and V1. 5. The amounts of L1 and V1 can be determined by substitution in Equation 5.9-5.11 or by using lever- arm rule. 151
  • 152.
    Ex 5.4 Amixture weighing 1000 kg contains 23.5 wt% acetic acid (A) and 76.5 wt% water (B) and is to be extracted by 500 kg isopropyl ether (C) in a single-stage extraction. Determine the amounts and compositions of the extract and raffinate phases. Solution Given: kgVandkgL 5001000 20 == AMx)1500()0)(500()235.0)(1000( =+ kgMVL 1500500100020 ==+=+ 0.1765.0,235.0 200 === ABA yandxx Given: 157.0=AMx MCCC MxyVxL =+ 2200 Given: 0765.0235.00.11 000 =−−=−−= BAc xxx AMAA MxyVxL =+ 2200 MCx)1500()1)(500()0)(1000( =+ 33.0=CMx 152
  • 153.
    M V2 (0,1) =(yA2, yC2) V1 (0.1,0.89) = (yA1, yC1) L1(0.2,0.03) = (xA1, xC1) L0(0.235,0) = (xA0, xC0) M(0.157,0.33) = (xAM, xCM) 153
  • 154.
    (1) AMAA MxyVxL =+1111 MCCC MxyVxL =+ 1111 )157.0)(1500()1.0()2.0( 11 =+VL )33.0)(1500()89.0()03.0( 11 =+VL From the graph: xC1 = 0.03 and yC1 = 0.89; From the graph: xA1 = 0.2 and yA1 = 0.1; (2) 5.177,15.0 11 =+ VL 500,1667.29 11 =+ VL Solving eq(2) and eq(3) to get L1 and V1; kgVandkgL 28.52586.914 11 == 89.003.0,1.0,2.0 1111 ==== CCAA yandxyx Answer 154
  • 155.
    5.3 Equipment forLiquid-Liquid Extraction Introduction and Equipment Types As in the separation processes of distillation, the two phases in liquid- liquid extraction must be brought into intimate contact with a high degree of turbulence in order to obtain high mass-transfer rates. Distillation: Rapid and easy because of the large difference in density (Vapor-Liquid). Liquid extraction: Density difference between the two phases is not large and separation is more difficult. Liquid extraction equipment Mixing by mechanical agitation Mixing by fluid flow themselves 155
  • 156.
    Mixer-Settles for Extraction Separatemixer-settler Combined mixer-settler 156
  • 157.
    Plate and AgitatedTower Contactors for Extraction Perforated plate tower Agitated extraction tower 157
  • 158.
    Packed and SprayExtraction Towers Spray-type extraction tower Packed extraction tower 158
  • 159.
    5.4 Continuous multistagecountercurrent extraction Countercurrent process and overall balance MVLVL NN =+=+ + 110 MCCNCNNCNC MxyVxLyVxL =+=+ ++ 111100 1 11 10 1100 VL yVxL VL yVxL x N CNCN N NCNC MC + + = + + = + ++ 1 11 10 1100 VL yVxL VL yVxL x N AANN N ANNA MA + + = + + = + ++ An overall mass balance: A balance on C: Combining 5.12 and 5.13 Balance on component A gives 5.12 5.13 5.14 5.15 159
  • 160.
    5.4 Continuous multistagecountercurrent extraction Countercurrent process and overall balance 1. Usually, L0 and VN+1 are known and the desired exit composition xAN is set. 2. Plot points L0, VN+1, and M as in the figure, a straight line must connect these three points. 3. LN, M, and V1 must lie on one line. Also, LN and V1 must also lie on the phase envelope. 160
  • 161.
    Ex 5.5 Puresolvent isopropyl ether at the rate of VN+1 = 600 kg/h is being used to extract an aqueous solution of L0=200 kg/h containing 30 wt% acetic acid (A) by countercurrent multistage extraction. The desired exit acetic acid concentration in the aqueous phase is 4%. Calculate the compositions and amounts of the ether extract V1 and the aqueous raffinate LN. Use equilibrium data from the table. Solution: The given values are VN+1 = 600kg/h, yAN+1 = 0, yCN+1 = 1.0, L0 = 200kg/h, xA0 = 0.30, xB0 = 0.70, xC0 = 0, and xAN = 0.04. In figure below, VN+1 and L0 are plotted. Also, since LN is on the phase boundary, it can be plotted at xAN = 0.04. For the mixture point M, substituting into eqs. below, 75.0 600200 )0.1(600)0(200 10 1100 = + + = + + = + ++ N NCNC MC VL yVxL x 075.0 600200 )0(600)30.0(200 10 1100 = + + = + + = + ++ N ANNA MA VL yVxL x 161
  • 162.
    Using these coordinates, 1)Point M is plotted in Figure below. 2) We locate V1 by drawing a line from LN through M and extending it until it intersects the phase boundary. This gives yA1 = 0.08 and yC1 = 0.90. 3) For LN a value of xCN = 0.017 is obtained. By substituting into Eqs. 5.12 and 5.13 and solving, LN = 136 kg/h and V1 = 664 kg/h. 162
  • 163.
    Stage-to-stage calculations forcountercurrent extraction. 1120 VLVL +=+ nnnn VLVL +=+ +− 11 ∆=−=− 2110 VLVL ....1110 =−=−=−=∆ ++ NNnn VLVLVL ...11111100 =−=−=−=∆ ++++∆ NNNNnnnn yVxLyVxLyVxLx Total mass balance on stage 1 Total mass balance on stage n From 5.16 obtain difference Δ in flows 5.16 5.17 5.18 5.19 5.20 Δ is constant and for all stages 163
  • 164.
    Stage-to-stage calculations forcountercurrent extraction. 1 11 1 11 10 1100 + ++ + ++ ∆ − − = − − = − − = NN NNNN nn nnnn VL yVxL VL yVxL VL yVxL x 10 VL +∆= 1++∆= nn VL 1++∆= NN VL 5.21 5.22 Δx is the x coordinate of point Δ 5.18 and 5.19 can be written as 164
  • 165.
    Stage-to-stage calculations forcountercurrent extraction. 1. Δ is a point common to all streams passing each other, such as L0 and V1, Ln and Vn+1, Ln and Vn+1, LN and VN+1, and so on. 2. This coordinates to locate this Δ operating point are given for x cΔ and x AΔ in eqn. 5.21. Since the end points VN+1, LN or V1, and L0 are known, xΔ can be calculated and point Δ located. 3. Alternatively, the Δ point is located graphically in the figure as the intersection of lines L0 V1 and LN VN+1. 4. In order to step off the number of stages using eqn. 5.22 we start at L0 and draw the line L0Δ, which locates V1 on the phase boundary. 5. Next a tie line through V1 locates L1, which is in equilibrium with V1. 6. Then line L1Δ is drawn giving V2. The tie line V2L2 is drawn. This stepwise procedure is repeated until the desired raffinate composition LN is reached. The number of stages N is obtained to perform the extraction. 165
  • 166.
    Ex 5.6 Pureisopropyl ether of 450 kg/h is being used to extract an aqueous solution of 150 kg/h with 30 wt% acetic acid (A) by countercurrent multistage extraction. The exit acid concentration in the aqueous phase is 10 wt%. Calculate the number of stages required. Solution: The known values are VN+1 = 450, yAN+1 = 0, yCN+1 = 1.0, L0 = 150, xA0 = 0.30, xB0 = 0.70, xC0 = 0, and xAN = 0.10. 1. The points VN+1, L0, and LN are plotted in Fig. below. For the mixture point M, substituting into eqs. 5.12 and 5.13, xCM = 0.75 and xAM = 0.075. 2. The point M is plotted and V1 is located at the intersection of line LNM with the phase boundary to give yA1 = 0.072 and yC1 = 0.895. This construction is not shown. 3. The lines L0V1 and LNVN+1 are drawn and the intersection is the operating point Δ as shown. 166
  • 167.
    167 1. Alternatively, thecoordinates of Δ can be calculated from eq. 5.21 to locate point Δ. 2. Starting at L0 we draw line L0 Δ, which locates V1. Then a tie line through V1 locates L1 in equilibrium with V1. (The tie-line data are obtained from an enlarged plot.) 3. Line L1 Δ is next drawn locating V2. A tie line through V2 gives L2. 4. A line L2 Δ is next drawn locating V2. A tie line through V2 gives L2. 5. A line L2 Δ gives V3. 6. A final tie line gives L3, which has gone beyond the desired LN. Hence, about 2.5 theoretical stages are needed.
  • 168.
    5.4 Continuous multistagecountercurrent extraction Countercurrent-Stage Extraction with Immiscible Liquids       − ′+      − ′=      − ′+      − ′ + + 1 1 1 1 0 0 1111 y y V x x L y y V x x L N N N N       − ′+      − ′=      − ′+      − ′ + + 1 1 1 1 0 0 1111 y y V x x L y y V x x L n n n n If the solvent stream VN+1 contains components A and C and the feed stream L0 contains A and B and components B and C are relatively immiscible in each other, the stage calculations are made more easily. The solute A is relatively dilute and is being transferred from L0 to VN+1. Where L/ = kg inert B/h, V/ = kg inert C/h, y = mass fraction A in V stream, and x = mass fraction A in L stream. (5.24) is an operating-line equation whose slope ≈ L//V/. If y and x are quite dilute, the line will be straight when plotted on an xy diagram. 5.23 5.24 168
  • 169.
    Ex 5.7 Aninlet water solution of 100 kg/h containing 0.010 wt fraction nicotine (A) in water is stripped with a kerosene stream of 200 kg/h containing 0.0005 wt fraction nicotine in a countercurrent stage tower. The water and kerosene are essentially immiscible in each other. It is desired to reduce the concentration of the exit water to 0.0010 wt fraction nicotine. Determine the theoretical number of stages needed. The equilibrium data are as follows (C5), with x the weight fraction of nicotine in the water solution and y in the kerosene. X y x y 0.001010 0.000806 0.00746 0.00682 0.00246 0.001959 0.00988 0.00904 0.00500 0.00454 0.0202 0.0185 169
  • 170.
    Solution: The givenvalues are L0 = 100 kg/h, x0 = 0.010, VN+1 = 200 kg/h, yN+1 = 0.0005, xN = 0.0010. The inert streams are hrwaterkgxLxLL /0.99)010.01(100)1()1( 00 =−=−=−=′ hrosenekgyVyVV NN /ker9.199)0005.01(200)1()1( 11 / =−=−=−= ++ Making an overall balance on A using eq. 5.23 and solving, y1 = 0.00497. These end points on the operating line are plotted in Fig. below. Since the solutions are quite dilute, the line is straight. The equilibrium line is also shown. The number of stages are stepped off, giving N = 3.8 theoretical stages. 170
  • 171.
  • 172.
  • 173.
  • 174.
     Define thefollowing terms: [Extraction, etc] Respond to the following questions: Give a detailed account of ……………… Explain in details the process of ………….. Describe in details with examples the………… With examples, illustrate the pharmaceutical applications of ……………
  • 175.
    Group work discussionalquestions: Explain in details the process of……… Describe with examples in details the………….. With examples, illustrate the pharmaceutical applications of…….
  • 176.
    176 Homework No.9 1. Asingle-stage extraction is performed in which 400 kg of a solution containing 35 wt% acetic acid in water is contacted with 400 kg of pure isopropyl ether. Calculate the amounts and compositions of the extract and raffinate layers. Solve for the amounts both algebraically and by the lever-arm rule. What percent of the acetic acid is removed?
  • 177.
    177 Homework No.10 1. Purewater is to be used to extract acetic acid from 400 kg of a feed solution containing 25 wt% acetic acid in isopropyl ether. (a) If 400 kg of water is used, calculate the percent recovery in the water solution in a one-stage process. (b) If a multiple four-stage system is used and 100 kg fresh water is used in each stage, calculate the overall percent recovery of the acid in the total outlet water. (Hint: First, calculate the outlet extract and raffinate streams for the first stage using 400 kg of feed solution and 100 kg of water. For the second stage, 100 kg of water contacts the outlet organic phase from the first stage. For the third stage, 100 kg of water contacts the outlet organic phase from the first stage. For the third stage, 100 kg of water contacts the outlet organic phase from the second stage, and so on.)