HEAT TRANSFER
Course Contents
1. Method of heat exchange
2. Flow of heat
3. Methods of heat transfer
- Convection
- Conduction
- Radiation
4. Factors affecting heat transfer
- Temperature
- Thermal resistance
5. Heat transfer coefficient
6. Overall heat transfer coefficient
Course Contents
7. Heat transfer equipment
- Exchanger
- Cooler
- Condenser
8. Fired process equipment
- Heater
- Steam generator
- Combustion of liquid and gaseous fuels
9. Fouling
10. Causes of fouling
11. Tips to reduce maintenance
Heat Exchange
Two methods of heat exchange
1. Indirect transfer
• The transfer of heat through a tube wall is called indirect
transfer.
• Examples – heat exchangers, furnaces, boilers
2. Direct transfer
• Another method by which heat exchange can be
accomplished is without the benefit of transfer surface. The
type of heating/cooling is called direct transfer and brought
about by intermingling the hot and cold fluids.
• Examples – fractionators, cooling towers, strippers
Heat Exchange
Flow of heat
1. Steady state
• Rate of heat transfer remain constant and is unaffected by
time
2. Unsteady state
• Rate of heat transfer at any point varies with time
• Examples – batch process, cooling and heating of
materials, certain types of regeneration, curing or activation
process.
Heat Transfer
Methods of Heat Transfer
1. Convection
2. Conduction
3. Radiation
Heat Transfer
Convection – transports heat by carrying hot portions of a fluid from
one place to another
Example – home water heater
Q = U * A * (t2 – t1)
Heat Transfer
Convection (con’t)
• All system of heating and ventilating depend upon what are called
convection currents, which, in turn, depend upon the expansion of
liquids and gases.
• Any gas or liquid expands when heated, volume increases, density
decreases.
• In a convection current, the lighter fluid is pushed upward by the
heavier surrounding fluid.
• Since the rising part of a convection current is warmer than the
returning part there is a transfer of heat from the heat source to the
cooler parts of the fluid at the top.
Heat Transfer
Conduction – the passage of heat from one part of a substance to
another part of the same substance or from one
substance to another in physical contact with it,
without the movement of particles of either
substance.
Example – metal spoon in hot coffee
Q = K/L * A * (t2-t1)
Heat Transfer
Conduction (con’t)
• There are some substances, such as wood, wool, cork which are poor
conductor of heat. They are called heat insulators
• All metals such as silver, copper, brass, iron are good conductor as
compared to non-metals.
• Metals vary in their respective abilities to conduct heat. This ability or
inability is referred to as conductivity. This physical property to conduct
heat is called coefficient of thermal conductivity of the materials.
Heat Transfer
Radiation – the transfer of heat through space by heat waves that
travel in straight lines.
Example – heat from an electrical light bulb
Q = σ eA * (T4r1 –T4 r2)
Heat Transfer
Radiation (con’t)
If an iron ball is heated and hung up in the room the heat can be felt
when the hand is held under the ball.
– this cannot be due to convection because hot air currents rise
– It cannot be due to conduction because gases are poor conductors
A lighted electric bulb feels hot if the hand is held near it, but when the
light is turned off, the sensation stops very quickly
- the glass in the bulb is a poor conductor and there is very little air in
the bulb
- Therefore, the sensation, of heat cannot be due neither to convection
or conduction
Heat Transfer
Radiation (con’t)
- if a book or screen is placed between heat source and the
hand the sensation immediately ceases.
These effects are caused by the travel of heat waves in
straight lines through the atmosphere similar to light. Radiation
is the transfer of heat through space by heat waves that travel
in straight lines.
Factors Affecting Heat Transfer
Factors that effect the transfer of heat energy from one substance to another
1. Temperature
• Transfer of heat is proportional to its driving force – temperature
difference.
• Heat is always transmitted from a warmer body to a colder one
• The greater the difference in temperature of the 2 bodies, the greater the
amount of heat exchanged
2. Thermal Resistance
• Transfer of heat is opposed by a factor called thermal resistance
• Opposition is caused by the material of the container (heat exchanger)
stagnant films, scale or dirt on the tube wall.
3. Thermal Resistance
1. Stagnant Film
• In indirect heat transfer, flow of heat is initially being accompished
by convection. However, as the tube wall is approached the effect
of convection is steadily reduced until heat is transmitted through
the stagnant fluid film by conduction almost exclusively. Since
liquids or gases are relatively poor conductor, the flow of heat is
impeded.
• Heat transfer by conduction is inversely proportional to the
thickness through which it flows. Decreasing the stagnant film
thickness is the only means by which greater heat flow can be
effected.
• This can be done by increasing the speed or velocity at which the
fluid is passing over the tube wall.
Thermal Resistance
2. Scale
• After passing through the stagnant fluid film, heat encounters its
second resistance – scale (crust formation).
• Here mechanism is heat flow by conduction.
• Since scale is relatively porous it is a good insulator, not a
conductor.
• There are no means of reducing the scale thickness on the run.
Steps must be taken to reduce the tendency of scale formation and
periodically clean the tube surface.
Thermal Resistance
3. Tube wall
• Thermal resistance offered by the tube wall is very often
very negligible compared with resistance offered by the
stagnant films and scales
• Heat flow through the tube wall is dependent upon
conduction, this means heat transfer is improved by reduced
thickness of impeding material. It is for this reason that thin-
walled tubes are used in heat exchangers.
• Selection of better conductor for tube material can help
reduce this resistance.
4. Heat Transfer Coefficient
• In the study of heat exchange and the design of heat transfer
equipment there must be a means of evaluating the performance of a
given exchanger.
• In heat transfer work, this evaluating factor is called the overall heat
transfer coefficient
• It indicates the amount of heat an exchanger can interchange during
a given period of time for a given amount of surface and with a given
temperature difference between the hot and cold fluids.
• In engineering practice this value is referred us “U”
• Unit of measure is BTU/Hr/Ft2/oF.
Overall Heat transfer Coefficient
Months in operations
U
Clean coefficient U = 90
(100 % efficiency)
U = 63 after 3 months ops
70 % efficiency
Overall Heat Transfer Coefficient
Fouling Factor:
• After heat transfer equipment has been in service for some time, dirt
or scale may form on the heat transfer surfaces, causing additional
resistance to the flow of heat
• To compensate for this, a resistance called dirt, scale or fouling
factor is included in determining an overall coefficient of heat
transfer
5. Heat Transfer Equipment
The 3 general categories of heat transfer equipment are:
1. Exchangers – transfer heat from a hot process stream to a cold
process stream.
2. Cooler – transfer heat from a hot medium to cooling water
or air.
3. Condenser – condense vapor
Heat Transfer Equipment
Exchanger used as reboiler
Heat Transfer Equipment
Cooler – Finned fan
Heat Transfer Equipment
Condenser
Heat Transfer Equipment
Process use:
1. Exchangers – conserve heat that would otherwise be wasted i.e.
taking heat from one liquid that needs cooling and giving it to
another which needs heating
2. Coolers – to cool materials leaving a unit to a temperature which
is safe for storage or loading.
3. Condensers – remove heat from vapors, condense these vapor
and heat the cooling water
Heat Transfer Equipment
As a background in the use of heat transfer equipment, an
understanding of the various types of equipment on the market is
helpful.
1. Double pipe heat exchanger
In this type, one fluid flows in the small, inner pipe and the other
fluid in the space between the small, inner pipe and the larger,
outer pipe.
Finned tubes are often used to improve the heat transfer
efficiency of a unit
2. Air cooled Heat Exchanger
This is an air cooled heat exchanger in which the hot fluid is
cooled by air blown past the tubes by the fan below
Heat Transfer Equipment
3. Shell and Tube heat Exchanger
The majority of heat transfer equipment is the shell-and-tube type
of heat exchanger.
A shell and tube exchanger consists of a number of parallel tubes
enclosed in a cylindrical shell.
One fluid flows inside the tubes and is called the tube side fluid
The other fluid flows outside the tubes and is called the shell side
fluid.
All shell and tube heat transfer equipment is composed of the
same basic parts, but some of these parts are arranged in such a
way as to produce the desired results.
Shell and Tube Exchange
Shell and Tube Exchanger
Parts Identification
2, 2 heat exchangers
Baffles
Baffles are used to increase the rate of heat
transfer by increasing the velocity of the shell side
fluid.
• Two (2) general types of baffles
1. Transverse
2. Longitudinal
• In order to be effective, baffles must be installed so that there is a
minimum of by-passing around baffles. This is done by reducing to a
minimum the clearance between the baffles and the shell side fluid.
Baffle Arrangements in Exchangers
Fired Process Equipment
Fired process equipment classification:
1. Direct fired
- Direct fired combustion equipment is that in which the flame
and/or products of combustion are used to achieve the desired
result by direct contact with another material.
Examples:
rotary kilns, open hearth furnaces.
2. Indirect fired
- Indirect fired combustion equipment is that in which the flame
and products of combustion are separated from any contact with
the principal material in the process by metallic or refractory
walls.
Examples:
steam boilers, fired heaters
Fired Process Equipment
Indirect Fired Process Equipment
We will concentrate our course with indirect fired process
equipment for chemical process industries.
- Fired heaters
- Steam generators
Fired Process Equipment
1. Fired Heaters
Process industry requirements for fired heaters are divided into 6
general service categories namely:
1. Column reboilers
2. Fractionating column feed preheaters
3. Reactor feed preheaters
4. Heat supplied to heat transfer media
5. Heat supplied to viscous fluid
6. Fired reactors
Fired Process Equipment
Classification of fired heaters
- The principal classification of fired heaters relates to the
orientation of the heating coils in the radiant section.
A. Vertical cylindrical; all radiant
Fired Process Equipment
B. Vertical cylindrical; helical coil
Fired Process Equipment
C. Vertical cylindrical with cross flow convection
Fired Process Equipment
D. Vertical cylindrical with integral convection
Fired Process Equipment
E. Arbor or wicket
Fired Process Equipment
F. Vertical tube; double fired
Fired Process Equipment
G. Horizontal tube cabin
Fired Process Equipment
G. Two cell horizontal tube box
Fired Process Equipment
G. Horizontal tube cabin with dividing bridgewall
Fired Process Equipment
H. End fired horizontal tube box
Fired Process Equipment
I. End fired horizontal tube box with side mounted convection
section
Fired Process Equipment
J. Horizontal tube double fire
Fired Process Equipment
2. Steam Generators
Steam generators are designed to produce steam for:
- Process requirements
- For process needs with electrical power generation
- Solely for electrical power generation.
Fired Process Equipment
How a Boiler Makes Steam
Variation of temperature in different parts of a boiler causes an
upset of hydraulic thermal equilibrium resulting circulation
(convection current).
Convection current is caused by the water at high temperature
weighing less than the water at low temperature. The water at low
temperature sinks to the bottom of the containing vessel pushing
the high temperature water up to the top.
Fired Process Equipment
How a boiler makes steam
Convection Current
Fired Process Equipment
How a Boiler Makes Steam (con’t)
In a boiler, particles of water in contact with the metal is heated
until it is changed into steam, first appearing as a small bubble
which for a time clings to the metal.
The size of the bubble gradually increases by the addition of more
steam, formed from the surrounding water until it finally disengages
itself from the metal.
Since the bubble of steam is much lighter than the water, it quickly
rises and burst on reaching the surface, allowing the steam to
escape to the atmosphere.
Fired Process Equipment
How a boiler makes steam
Formation of steam showing what happens to each bubbles
Fired Process Equipment
General Classification of steam generators
All boilers may be classed broadly as:
1. With respect to service
a. Stationary
b. Locomotive
c. Marine
2. According to form of construction
a. Fire tube (shell)
b. Water tube
Fired Process Equipment
Fire tube (shell)
- Boilers in which the products of combustion pass though the tube
which is surrounded by water.
Fired Process Equipment
Water tube
- Boilers which is surrounded by the products of combustion,
the water being inside the tube.
Fired Process Equipment
Steam Generator
Difference between Fire tube and water tube boilers
Fired Process Equipment
Side elevation of a water tube boiler
Fired Process Equipment
The most common source of heat for fired equipment are
- Combustion of liquid fuels
- Combustion of gaseous fuels.
Fired Process Equipment
Combustion of liquid fuels
Burners for liquid fuels
1. Vaporizing burners – reflected heat continually converts liquid fuel
into vapor, sustaining the flame.
example – blow torches, kerosene lamps,
cigarette lighters.
2. Atomizing oil burner – spray fuel at high pressure or atomize it
with air or steam.
Fired Process Equipment
Principal types of oil burners
1. Pressure type vaporizing burner
- oil travels through coil of pipe. Uses kerosene or
gasoline. For blowtorch, lamps.
Fired Process Equipment
Principal types of oil burners
High pressure steam or air atomizing burner
Injection or venturi type – uses all grades of oil (1 to 6)
with heavy oil heated to flow.
Fired Process Equipment
Principal types of oil burners
Low pressure air atomizing burner – uses all grades of oil
(1 to 6). Primary air pressure constant, Secondary air
pressure – varies.
Fired Process Equipment
Principal types of oil burners
Mechanical 0r oil pressure atomizing burner, return
flow type showing general operating principle and
typical design. Uses all types of fuel oil and heated
heavy oil.
Fired Process Equipment
Principal types of oil burners
Horizontal rotary cup atomizing oil burner. Uses all
grades of fuel and heated heavy oil. Used for automatic
fired boilers.
Fired Process Equipment
Principal types of oil burners
Complete mechanical or oil pressure atomizing burner
unit. Air supplied by natural draft of low pressure blower.
Fired Process Equipment
Combustion of gaseous fuels
Combustion of gas takes place in two ways depend upon when gas
and air are mixed.
1. When gas and air are mixed before ignition, burning proceeds by
hydroxylation. The hydrocarbon and oxygen form hydroxylated
compounds which becomes aldehydes; the addition of heat and
additional oxygen breaks the aldehydes to H2. CO, CO2, and
H2O. As carbon is converted to aldehydes in the initial stages of
mixing, no soot can be developed even if the flame is quench.
Fired Process Equipment
Combustion of gaseous fuels (con’t):
2. “Cracking” occurs when oxygen is added to hydrocarbon after they
have been heated, decomposing the hydrocarbon into carbon
and hydrogen, which when combined with sufficient oxygen, form
CO2 and H2O. Soot and carbon black are formed if insufficient
oxygen is present or if the combustion process is arrested before
completion.
Fired Process Equipment
Combustion of gaseous fuels (con’t):
Gas Burners
Gas burners are used for the combustion of gaseous fuels.
A gas burner is primarily a proportioner and mixing device.
In industrial furnaces in which long “lazy” flames are essential, slow
and gradual mixing of air and gas is necessary. When a short, bushy
flame is needed, the burner should be designed to achieve rapid and
thorough mixing of air and gas.
Fired Process Equipment
Types of Gas Burners
1. Premix burners
Premix burners burn by hydroxylation and are used for
many natural draft applications when accurate furnace
conditions must be maintained.
example – bunsen burner
2. Nozzle-mix burners
Mixed air and gas at burner tile
Fired Process Equipment
Nozzle mix burners
Ways of mixing gas and air – Blunt pipe
Fired Process Equipment
Nozzle mix burners
Ways of mixing gas and air – Small ring
Fired Process Equipment
Nozzle mix burners
Ways of mixing gas and air - Turbine
Fired Process Equipment
Nozzle mix burners
Ways of mixing air and gas – Large ring
Fouling
Causes of Fouling
• Fouling of a heat exchanger may result from scale, or particles
lodging in the exchanger.
• Water residue may foul the tubes of coolers and condensers.
• Usually, oil side fouling material cannot be readily removed short of
mechanical means. When this is necessary, the tube bundle must
be removed.
However, water residue can be removed without pulling the tube
bundle from the shell. Water residue may be dirt, mud, silt, and/or
scale.
Fouling
Scale fouling material removal
IF THE FOULING MATERIAL IS DIRT:
• The use of backwash connections can substantially improve
operating efficiency
• By reversing the direction of flow momentarily, the force of the water
will knock the adhering trash from the tube ends and remove some
mud and silt from the tube walls.
• Such an arrangement makes it possible to regain a degree of design
performance without a shutdown
Causes of Fouling
Scale/fouling material removal (con’t)
Water scale formation can be removed without dismantling the
exchanger by utilizing chemical cleaning. Water residue is removed
mechanically and is accomplished by water jets or by drilling
through which water passes as a scavenging agent.
Mechanical cleaning of oil side scale can be done in a number of ways.
Drilling, steaming, and sandblasting are used to clean the tube side.
The shell side scales are usually hand sawed and washed with high
pressure water. It is also possible to chemically remove oil scales.
Tips to Reduce Maintenance
OPERATION TECHNICIANS ARE IN A POSITION TO MAKE A
SUBSTANTIAL CONTRIBUTION TO REDUCE MAINTENANCE
AND IMPROVED OPERATING EFFICIENCY. By RECOGNIZING
PROPER OPERATING PROCEDURES AND REALIZING THE
EFFECT OF INCORRECT PROCEDURES ON EQUIPMENT LIFE,
HE/SHE CAN PREVENT MATERIAL FAILURE AND EQUIPMENT
INOPERABILITY
Some example of recommended procedures by which we can help
reduce maintenance and extend the life and efficiency of
exchangers:
• Maintain proper cooling water outlet temperature (not in excess of
125oF)
Tips to Reduce Maintenance
Failure to observe this recommendation may result in:
1. excessive scaling of tube wall.
2. accelerated corrosion of exchanger parts.
3. mechanical failure of exchanger in tube rolls.
• Avoid introducing a high temperature stream into an exchanger
before circulation of the cooling medium has been established. This
is to prevent undue stress on the metal.
• Maintain adequate flow rates through exchangers to wash fouling
media from the bundle and maintain heating rates within the limits of
thermal design to prevent overheating.
• Operate within mechanical design limits to prevent overstress of
metals.
Tips to Reduce Maintenance
• Utilize steam traps on steam heaters to maintain maximum steam
pressure within exchanger. By passing traps results in excessive
steam consumption and reduced overall transfer coefficient.
• Guard against the use of superheated steam in exchangers
designed for saturated steam heat. Superheated steam in such tube
bundles reduces the overall transfer rate 10 times and may results in
over heated equipment.
81
Check Your Understanding 2
Two identical cubes have the same temperature. One of them,
however, is cut in two and the pieces are separated (see the
drawing). What is true about the radiant energy emitted in a
given time?
82
a.The cube cut into two pieces emits twice as much radiant
energy as does the uncut cube;
b.The cube cut into two pieces emits more radiant energy than
does the uncut cube according to
c.The cube cut into two pieces emits the same amount of radiant
energy as does the uncut cube;
d.The cube cut into two pieces emits one-half the radiant energy
emitted by the uncut cube;
e.The cube cut into two pieces emits less radiant energy than does
the uncut cube according to
(b)
83
Applications
The picture can't be displayed.
Insulation inhibits convection between inner and outer walls
and minimizes heat transfer by conduction. With respect to
conduction, the logic behind home insulation ratings comes
directly from Equation
The term L/k in the denominator is called the R value of
the insulation. Larger R values reduce the heat per unit
time flowing through the material and, therefore, mean
better insulation.
kL
TA
t
Q
/
∆
=
84
A thermos bottle minimizes energy transfer due to
convection, conduction, and radiation.
85
In a halogen cooktop, quartz-iodine lamps emit a large
amount of electromagnetic energy that is absorbed
directly by a pot or pan.
86
Concepts & Calculations
Example 7. Boiling Water
Two pots are identical, except that in one case the flat
bottom is aluminum and in the other it is copper. Each pot
contains the same amount of boiling water and sits on a
heating element that has a temperature of 155 °C. In the
aluminum-bottom pot, the water boils away completely in
360 s. How long does it take the water in the copper-bottom
pot to boil away completely?
87
88
Concepts & Calculations
Example 8. Freezing Water
One half of a kilogram of liquid water at 273 K (0 °C) is
placed outside on a day when the temperature is 261 K (–
12 °C). Assume that heat is lost from the water only by
means of radiation and that the emissivity of the radiating
surface is 0.60. How long does it take for the water to freeze
into ice at 0 °C when the surface area from which the
radiation occurs is (a) 0.035 m2 (as it could be in a cup) and
(b) 1.5 m2 (as it could be if the water were spilled out to
form a thin sheet)?
89
(a) Smaller area
(b) Larger area
90
Problem 1
REASONING AND SOLUTION According to Equation
13.1, the heat per second lost is
Q
t
=
kA ∆T
L
=
[0.040 J/(s⋅m⋅ Co
)] (1.6 m2
)(25 Co
)
2.0 ×10 –3
m
= 8.0 ×102
J/s
91
Problem 2
92
REASONING To find the total heat conducted, we will apply Equation
13.1 to the steel portion and the iron portion of the rod. In so doing, we
use the area of a square for the cross section of the steel. The area of the
iron is the area of the circle minus the area of the square. The radius of
the circle is one half the length of the diagonal of the square.
SOLUTION In preparation for applying Equation 13.1, we need the area of
the steel and the area of the iron. For the steel, the area is simply ASteel = L2,
where L is the length of a side of the square. For the iron, the area is
AIron = πR2 – L2. To find the radius R, we use the Pythagorean theorem,
which indicates that the length D of the diagonal is related to the length of
the sides according to D2 = L2 + L2. Therefore, the radius of the circle
is . For the iron, then, the area isR D L= =/ /2 2 2
22
2
22
1
22
2
LL
L
LRAIron 





−=−







=−=
π
ππ
93
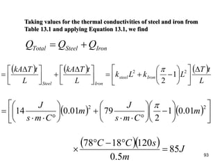
Taking values for the thermal conductivities of steel and iron from
Table 13.1 and applying Equation 13.1, we find
IronSteelTotal QQQ +=
( ) ( ) ( )
L
tT
LkLk
L
tTkA
L
tTkA
Ironsteel
IronSteel
∆












−+=




 ∆
+




 ∆
= 22
1
2
π
( ) ( ) 











−





°⋅⋅
+





°⋅⋅
=
22
01.01
2
7901.014 m
Cms
J
m
Cms
J π
( )( ) J
m
sCC
85
5.0
1201878
=
°−°
×
94
Problem 3
REASONING AND SOLUTION
a. The radiant power lost by the body is
PL = e T4A = (0.80)[5.67 *10–8 J/(s⋅m2⋅K4)](307 K)4(1.5 m2) = 604 Wσ
The radiant power gained by the body from the room is
Pg = (0.80)[5.67 * 10–8 J/(s⋅m2⋅K4)](298 K)4(1.5 m2) = 537 W
The net loss of radiant power is P = PL - Pg = 67 W
b. The net energy lost by the body is
1Calorie
(67 W)(3600 s) 58 Calories
4186 J
Q Pt
 
= = = 
 
95
Problem 4
REASONING AND SOLUTION The rate at which energy is
gained through the refrigerator walls is
Therefore, the amount of heat per second that must be
removed from the unit to keep it cool is 42 / sJ
[ ] sJ
m
CmCmsJ
L
TkA
t
Q
/42
075.0
)100.2)(3.5()/(03.0 12
=
°×°⋅⋅
=
∆
=
96
Problem 5
97
L
Tk
At
Q ∆
=





REASONING AND SOLUTION Using Equation 13.1, Q kA T t L= ( ) /∆
Before Equation (1) can be applied to the ice-aluminum combination, the
temperature T at the interface must be determined. We find the
temperature at the interface by noting that the heat conducted through
the ice must be equal to the heat conducted through the aluminum: Qice
= Qaluminum. Applying Equation 13.1 to this condition, we have
2.2 J / (s m C ) C) T
m
240 J / (s m C ) C)
.0015 m
⋅ ⋅ ° − ° −
=
⋅ ⋅ ° − − °A t A T t( .
.
( .10 0
0 0050
25 0
0
umaluice L
TtkA
L
TtkA
min





 ∆
=




 ∆
98
The factors A and t can be eliminated algebraically. Solving for T
gives T = –24.959 °C for the temperature at the interface
a. Applying Equation (1) to the ice leads to
=
⋅ ⋅ ° − ° − − °
= × ⋅3 2
C
6.58 10 J / (s m )
[ . ( . )
.
2 2 24 959
0 0050
J / (s m C )] ( 10.0 C)
m
Since heat is not building up in the materials, the rate of heat transfer per
unit area is the same throughout the ice-aluminum combination. Thus,
this must be the heat per second per square meter that is conducted
through the ice-aluminum combination.
b. Applying Equation (1) to the aluminum in the absence of any ice
gives:
K=
⋅ ⋅ ° − ° − − °
= × ⋅6 2
[240 J / (s m C )] ( 10.0 C) ( 25.0 C)
0.0015 m
2.40 10 J / (s m )
iceAt
Q






AlAt
Q






Any Questions or Additions
THANK YOU
 Define the following terms:
[Convection, conduction, radiation, etc]
Respond to the following questions:
Give a detailed account of ………………
Explain in details the process of …………..
Describe in details with examples the…………
With examples, illustrate the pharmaceutical applications of ……………
Group work discussional questions:
Explain in details the process of………
Describe with examples in details the…………..
With examples, illustrate the pharmaceutical applications of…….

15 heat transfer

  • 2.
  • 3.
    Course Contents 1. Methodof heat exchange 2. Flow of heat 3. Methods of heat transfer - Convection - Conduction - Radiation 4. Factors affecting heat transfer - Temperature - Thermal resistance 5. Heat transfer coefficient 6. Overall heat transfer coefficient
  • 4.
    Course Contents 7. Heattransfer equipment - Exchanger - Cooler - Condenser 8. Fired process equipment - Heater - Steam generator - Combustion of liquid and gaseous fuels 9. Fouling 10. Causes of fouling 11. Tips to reduce maintenance
  • 5.
    Heat Exchange Two methodsof heat exchange 1. Indirect transfer • The transfer of heat through a tube wall is called indirect transfer. • Examples – heat exchangers, furnaces, boilers 2. Direct transfer • Another method by which heat exchange can be accomplished is without the benefit of transfer surface. The type of heating/cooling is called direct transfer and brought about by intermingling the hot and cold fluids. • Examples – fractionators, cooling towers, strippers
  • 6.
    Heat Exchange Flow ofheat 1. Steady state • Rate of heat transfer remain constant and is unaffected by time 2. Unsteady state • Rate of heat transfer at any point varies with time • Examples – batch process, cooling and heating of materials, certain types of regeneration, curing or activation process.
  • 7.
    Heat Transfer Methods ofHeat Transfer 1. Convection 2. Conduction 3. Radiation
  • 8.
    Heat Transfer Convection –transports heat by carrying hot portions of a fluid from one place to another Example – home water heater Q = U * A * (t2 – t1)
  • 9.
    Heat Transfer Convection (con’t) •All system of heating and ventilating depend upon what are called convection currents, which, in turn, depend upon the expansion of liquids and gases. • Any gas or liquid expands when heated, volume increases, density decreases. • In a convection current, the lighter fluid is pushed upward by the heavier surrounding fluid. • Since the rising part of a convection current is warmer than the returning part there is a transfer of heat from the heat source to the cooler parts of the fluid at the top.
  • 10.
    Heat Transfer Conduction –the passage of heat from one part of a substance to another part of the same substance or from one substance to another in physical contact with it, without the movement of particles of either substance. Example – metal spoon in hot coffee Q = K/L * A * (t2-t1)
  • 11.
    Heat Transfer Conduction (con’t) •There are some substances, such as wood, wool, cork which are poor conductor of heat. They are called heat insulators • All metals such as silver, copper, brass, iron are good conductor as compared to non-metals. • Metals vary in their respective abilities to conduct heat. This ability or inability is referred to as conductivity. This physical property to conduct heat is called coefficient of thermal conductivity of the materials.
  • 12.
    Heat Transfer Radiation –the transfer of heat through space by heat waves that travel in straight lines. Example – heat from an electrical light bulb Q = σ eA * (T4r1 –T4 r2)
  • 13.
    Heat Transfer Radiation (con’t) Ifan iron ball is heated and hung up in the room the heat can be felt when the hand is held under the ball. – this cannot be due to convection because hot air currents rise – It cannot be due to conduction because gases are poor conductors A lighted electric bulb feels hot if the hand is held near it, but when the light is turned off, the sensation stops very quickly - the glass in the bulb is a poor conductor and there is very little air in the bulb - Therefore, the sensation, of heat cannot be due neither to convection or conduction
  • 14.
    Heat Transfer Radiation (con’t) -if a book or screen is placed between heat source and the hand the sensation immediately ceases. These effects are caused by the travel of heat waves in straight lines through the atmosphere similar to light. Radiation is the transfer of heat through space by heat waves that travel in straight lines.
  • 15.
    Factors Affecting HeatTransfer Factors that effect the transfer of heat energy from one substance to another 1. Temperature • Transfer of heat is proportional to its driving force – temperature difference. • Heat is always transmitted from a warmer body to a colder one • The greater the difference in temperature of the 2 bodies, the greater the amount of heat exchanged 2. Thermal Resistance • Transfer of heat is opposed by a factor called thermal resistance • Opposition is caused by the material of the container (heat exchanger) stagnant films, scale or dirt on the tube wall.
  • 16.
    3. Thermal Resistance 1.Stagnant Film • In indirect heat transfer, flow of heat is initially being accompished by convection. However, as the tube wall is approached the effect of convection is steadily reduced until heat is transmitted through the stagnant fluid film by conduction almost exclusively. Since liquids or gases are relatively poor conductor, the flow of heat is impeded. • Heat transfer by conduction is inversely proportional to the thickness through which it flows. Decreasing the stagnant film thickness is the only means by which greater heat flow can be effected. • This can be done by increasing the speed or velocity at which the fluid is passing over the tube wall.
  • 17.
    Thermal Resistance 2. Scale •After passing through the stagnant fluid film, heat encounters its second resistance – scale (crust formation). • Here mechanism is heat flow by conduction. • Since scale is relatively porous it is a good insulator, not a conductor. • There are no means of reducing the scale thickness on the run. Steps must be taken to reduce the tendency of scale formation and periodically clean the tube surface.
  • 18.
    Thermal Resistance 3. Tubewall • Thermal resistance offered by the tube wall is very often very negligible compared with resistance offered by the stagnant films and scales • Heat flow through the tube wall is dependent upon conduction, this means heat transfer is improved by reduced thickness of impeding material. It is for this reason that thin- walled tubes are used in heat exchangers. • Selection of better conductor for tube material can help reduce this resistance.
  • 19.
    4. Heat TransferCoefficient • In the study of heat exchange and the design of heat transfer equipment there must be a means of evaluating the performance of a given exchanger. • In heat transfer work, this evaluating factor is called the overall heat transfer coefficient • It indicates the amount of heat an exchanger can interchange during a given period of time for a given amount of surface and with a given temperature difference between the hot and cold fluids. • In engineering practice this value is referred us “U” • Unit of measure is BTU/Hr/Ft2/oF.
  • 20.
    Overall Heat transferCoefficient Months in operations U Clean coefficient U = 90 (100 % efficiency) U = 63 after 3 months ops 70 % efficiency
  • 21.
    Overall Heat TransferCoefficient Fouling Factor: • After heat transfer equipment has been in service for some time, dirt or scale may form on the heat transfer surfaces, causing additional resistance to the flow of heat • To compensate for this, a resistance called dirt, scale or fouling factor is included in determining an overall coefficient of heat transfer
  • 22.
    5. Heat TransferEquipment The 3 general categories of heat transfer equipment are: 1. Exchangers – transfer heat from a hot process stream to a cold process stream. 2. Cooler – transfer heat from a hot medium to cooling water or air. 3. Condenser – condense vapor
  • 23.
  • 24.
  • 25.
  • 26.
    Heat Transfer Equipment Processuse: 1. Exchangers – conserve heat that would otherwise be wasted i.e. taking heat from one liquid that needs cooling and giving it to another which needs heating 2. Coolers – to cool materials leaving a unit to a temperature which is safe for storage or loading. 3. Condensers – remove heat from vapors, condense these vapor and heat the cooling water
  • 27.
    Heat Transfer Equipment Asa background in the use of heat transfer equipment, an understanding of the various types of equipment on the market is helpful. 1. Double pipe heat exchanger In this type, one fluid flows in the small, inner pipe and the other fluid in the space between the small, inner pipe and the larger, outer pipe. Finned tubes are often used to improve the heat transfer efficiency of a unit 2. Air cooled Heat Exchanger This is an air cooled heat exchanger in which the hot fluid is cooled by air blown past the tubes by the fan below
  • 28.
    Heat Transfer Equipment 3.Shell and Tube heat Exchanger The majority of heat transfer equipment is the shell-and-tube type of heat exchanger. A shell and tube exchanger consists of a number of parallel tubes enclosed in a cylindrical shell. One fluid flows inside the tubes and is called the tube side fluid The other fluid flows outside the tubes and is called the shell side fluid. All shell and tube heat transfer equipment is composed of the same basic parts, but some of these parts are arranged in such a way as to produce the desired results.
  • 29.
  • 30.
    Shell and TubeExchanger Parts Identification
  • 31.
    2, 2 heatexchangers
  • 32.
    Baffles Baffles are usedto increase the rate of heat transfer by increasing the velocity of the shell side fluid. • Two (2) general types of baffles 1. Transverse 2. Longitudinal • In order to be effective, baffles must be installed so that there is a minimum of by-passing around baffles. This is done by reducing to a minimum the clearance between the baffles and the shell side fluid.
  • 33.
  • 34.
    Fired Process Equipment Firedprocess equipment classification: 1. Direct fired - Direct fired combustion equipment is that in which the flame and/or products of combustion are used to achieve the desired result by direct contact with another material. Examples: rotary kilns, open hearth furnaces. 2. Indirect fired - Indirect fired combustion equipment is that in which the flame and products of combustion are separated from any contact with the principal material in the process by metallic or refractory walls. Examples: steam boilers, fired heaters
  • 35.
    Fired Process Equipment IndirectFired Process Equipment We will concentrate our course with indirect fired process equipment for chemical process industries. - Fired heaters - Steam generators
  • 36.
    Fired Process Equipment 1.Fired Heaters Process industry requirements for fired heaters are divided into 6 general service categories namely: 1. Column reboilers 2. Fractionating column feed preheaters 3. Reactor feed preheaters 4. Heat supplied to heat transfer media 5. Heat supplied to viscous fluid 6. Fired reactors
  • 37.
    Fired Process Equipment Classificationof fired heaters - The principal classification of fired heaters relates to the orientation of the heating coils in the radiant section. A. Vertical cylindrical; all radiant
  • 38.
    Fired Process Equipment B.Vertical cylindrical; helical coil
  • 39.
    Fired Process Equipment C.Vertical cylindrical with cross flow convection
  • 40.
    Fired Process Equipment D.Vertical cylindrical with integral convection
  • 41.
  • 42.
    Fired Process Equipment F.Vertical tube; double fired
  • 43.
    Fired Process Equipment G.Horizontal tube cabin
  • 44.
    Fired Process Equipment G.Two cell horizontal tube box
  • 45.
    Fired Process Equipment G.Horizontal tube cabin with dividing bridgewall
  • 46.
    Fired Process Equipment H.End fired horizontal tube box
  • 47.
    Fired Process Equipment I.End fired horizontal tube box with side mounted convection section
  • 48.
    Fired Process Equipment J.Horizontal tube double fire
  • 49.
    Fired Process Equipment 2.Steam Generators Steam generators are designed to produce steam for: - Process requirements - For process needs with electrical power generation - Solely for electrical power generation.
  • 50.
    Fired Process Equipment Howa Boiler Makes Steam Variation of temperature in different parts of a boiler causes an upset of hydraulic thermal equilibrium resulting circulation (convection current). Convection current is caused by the water at high temperature weighing less than the water at low temperature. The water at low temperature sinks to the bottom of the containing vessel pushing the high temperature water up to the top.
  • 51.
    Fired Process Equipment Howa boiler makes steam Convection Current
  • 52.
    Fired Process Equipment Howa Boiler Makes Steam (con’t) In a boiler, particles of water in contact with the metal is heated until it is changed into steam, first appearing as a small bubble which for a time clings to the metal. The size of the bubble gradually increases by the addition of more steam, formed from the surrounding water until it finally disengages itself from the metal. Since the bubble of steam is much lighter than the water, it quickly rises and burst on reaching the surface, allowing the steam to escape to the atmosphere.
  • 53.
    Fired Process Equipment Howa boiler makes steam Formation of steam showing what happens to each bubbles
  • 54.
    Fired Process Equipment GeneralClassification of steam generators All boilers may be classed broadly as: 1. With respect to service a. Stationary b. Locomotive c. Marine 2. According to form of construction a. Fire tube (shell) b. Water tube
  • 55.
    Fired Process Equipment Firetube (shell) - Boilers in which the products of combustion pass though the tube which is surrounded by water.
  • 56.
    Fired Process Equipment Watertube - Boilers which is surrounded by the products of combustion, the water being inside the tube.
  • 57.
    Fired Process Equipment SteamGenerator Difference between Fire tube and water tube boilers
  • 58.
    Fired Process Equipment Sideelevation of a water tube boiler
  • 59.
    Fired Process Equipment Themost common source of heat for fired equipment are - Combustion of liquid fuels - Combustion of gaseous fuels.
  • 60.
    Fired Process Equipment Combustionof liquid fuels Burners for liquid fuels 1. Vaporizing burners – reflected heat continually converts liquid fuel into vapor, sustaining the flame. example – blow torches, kerosene lamps, cigarette lighters. 2. Atomizing oil burner – spray fuel at high pressure or atomize it with air or steam.
  • 61.
    Fired Process Equipment Principaltypes of oil burners 1. Pressure type vaporizing burner - oil travels through coil of pipe. Uses kerosene or gasoline. For blowtorch, lamps.
  • 62.
    Fired Process Equipment Principaltypes of oil burners High pressure steam or air atomizing burner Injection or venturi type – uses all grades of oil (1 to 6) with heavy oil heated to flow.
  • 63.
    Fired Process Equipment Principaltypes of oil burners Low pressure air atomizing burner – uses all grades of oil (1 to 6). Primary air pressure constant, Secondary air pressure – varies.
  • 64.
    Fired Process Equipment Principaltypes of oil burners Mechanical 0r oil pressure atomizing burner, return flow type showing general operating principle and typical design. Uses all types of fuel oil and heated heavy oil.
  • 65.
    Fired Process Equipment Principaltypes of oil burners Horizontal rotary cup atomizing oil burner. Uses all grades of fuel and heated heavy oil. Used for automatic fired boilers.
  • 66.
    Fired Process Equipment Principaltypes of oil burners Complete mechanical or oil pressure atomizing burner unit. Air supplied by natural draft of low pressure blower.
  • 67.
    Fired Process Equipment Combustionof gaseous fuels Combustion of gas takes place in two ways depend upon when gas and air are mixed. 1. When gas and air are mixed before ignition, burning proceeds by hydroxylation. The hydrocarbon and oxygen form hydroxylated compounds which becomes aldehydes; the addition of heat and additional oxygen breaks the aldehydes to H2. CO, CO2, and H2O. As carbon is converted to aldehydes in the initial stages of mixing, no soot can be developed even if the flame is quench.
  • 68.
    Fired Process Equipment Combustionof gaseous fuels (con’t): 2. “Cracking” occurs when oxygen is added to hydrocarbon after they have been heated, decomposing the hydrocarbon into carbon and hydrogen, which when combined with sufficient oxygen, form CO2 and H2O. Soot and carbon black are formed if insufficient oxygen is present or if the combustion process is arrested before completion.
  • 69.
    Fired Process Equipment Combustionof gaseous fuels (con’t): Gas Burners Gas burners are used for the combustion of gaseous fuels. A gas burner is primarily a proportioner and mixing device. In industrial furnaces in which long “lazy” flames are essential, slow and gradual mixing of air and gas is necessary. When a short, bushy flame is needed, the burner should be designed to achieve rapid and thorough mixing of air and gas.
  • 70.
    Fired Process Equipment Typesof Gas Burners 1. Premix burners Premix burners burn by hydroxylation and are used for many natural draft applications when accurate furnace conditions must be maintained. example – bunsen burner 2. Nozzle-mix burners Mixed air and gas at burner tile
  • 71.
    Fired Process Equipment Nozzlemix burners Ways of mixing gas and air – Blunt pipe
  • 72.
    Fired Process Equipment Nozzlemix burners Ways of mixing gas and air – Small ring
  • 73.
    Fired Process Equipment Nozzlemix burners Ways of mixing gas and air - Turbine
  • 74.
    Fired Process Equipment Nozzlemix burners Ways of mixing air and gas – Large ring
  • 75.
    Fouling Causes of Fouling •Fouling of a heat exchanger may result from scale, or particles lodging in the exchanger. • Water residue may foul the tubes of coolers and condensers. • Usually, oil side fouling material cannot be readily removed short of mechanical means. When this is necessary, the tube bundle must be removed. However, water residue can be removed without pulling the tube bundle from the shell. Water residue may be dirt, mud, silt, and/or scale.
  • 76.
    Fouling Scale fouling materialremoval IF THE FOULING MATERIAL IS DIRT: • The use of backwash connections can substantially improve operating efficiency • By reversing the direction of flow momentarily, the force of the water will knock the adhering trash from the tube ends and remove some mud and silt from the tube walls. • Such an arrangement makes it possible to regain a degree of design performance without a shutdown
  • 77.
    Causes of Fouling Scale/foulingmaterial removal (con’t) Water scale formation can be removed without dismantling the exchanger by utilizing chemical cleaning. Water residue is removed mechanically and is accomplished by water jets or by drilling through which water passes as a scavenging agent. Mechanical cleaning of oil side scale can be done in a number of ways. Drilling, steaming, and sandblasting are used to clean the tube side. The shell side scales are usually hand sawed and washed with high pressure water. It is also possible to chemically remove oil scales.
  • 78.
    Tips to ReduceMaintenance OPERATION TECHNICIANS ARE IN A POSITION TO MAKE A SUBSTANTIAL CONTRIBUTION TO REDUCE MAINTENANCE AND IMPROVED OPERATING EFFICIENCY. By RECOGNIZING PROPER OPERATING PROCEDURES AND REALIZING THE EFFECT OF INCORRECT PROCEDURES ON EQUIPMENT LIFE, HE/SHE CAN PREVENT MATERIAL FAILURE AND EQUIPMENT INOPERABILITY Some example of recommended procedures by which we can help reduce maintenance and extend the life and efficiency of exchangers: • Maintain proper cooling water outlet temperature (not in excess of 125oF)
  • 79.
    Tips to ReduceMaintenance Failure to observe this recommendation may result in: 1. excessive scaling of tube wall. 2. accelerated corrosion of exchanger parts. 3. mechanical failure of exchanger in tube rolls. • Avoid introducing a high temperature stream into an exchanger before circulation of the cooling medium has been established. This is to prevent undue stress on the metal. • Maintain adequate flow rates through exchangers to wash fouling media from the bundle and maintain heating rates within the limits of thermal design to prevent overheating. • Operate within mechanical design limits to prevent overstress of metals.
  • 80.
    Tips to ReduceMaintenance • Utilize steam traps on steam heaters to maintain maximum steam pressure within exchanger. By passing traps results in excessive steam consumption and reduced overall transfer coefficient. • Guard against the use of superheated steam in exchangers designed for saturated steam heat. Superheated steam in such tube bundles reduces the overall transfer rate 10 times and may results in over heated equipment.
  • 81.
    81 Check Your Understanding2 Two identical cubes have the same temperature. One of them, however, is cut in two and the pieces are separated (see the drawing). What is true about the radiant energy emitted in a given time?
  • 82.
    82 a.The cube cutinto two pieces emits twice as much radiant energy as does the uncut cube; b.The cube cut into two pieces emits more radiant energy than does the uncut cube according to c.The cube cut into two pieces emits the same amount of radiant energy as does the uncut cube; d.The cube cut into two pieces emits one-half the radiant energy emitted by the uncut cube; e.The cube cut into two pieces emits less radiant energy than does the uncut cube according to (b)
  • 83.
    83 Applications The picture can'tbe displayed. Insulation inhibits convection between inner and outer walls and minimizes heat transfer by conduction. With respect to conduction, the logic behind home insulation ratings comes directly from Equation The term L/k in the denominator is called the R value of the insulation. Larger R values reduce the heat per unit time flowing through the material and, therefore, mean better insulation. kL TA t Q / ∆ =
  • 84.
    84 A thermos bottleminimizes energy transfer due to convection, conduction, and radiation.
  • 85.
    85 In a halogencooktop, quartz-iodine lamps emit a large amount of electromagnetic energy that is absorbed directly by a pot or pan.
  • 86.
    86 Concepts & Calculations Example7. Boiling Water Two pots are identical, except that in one case the flat bottom is aluminum and in the other it is copper. Each pot contains the same amount of boiling water and sits on a heating element that has a temperature of 155 °C. In the aluminum-bottom pot, the water boils away completely in 360 s. How long does it take the water in the copper-bottom pot to boil away completely?
  • 87.
  • 88.
    88 Concepts & Calculations Example8. Freezing Water One half of a kilogram of liquid water at 273 K (0 °C) is placed outside on a day when the temperature is 261 K (– 12 °C). Assume that heat is lost from the water only by means of radiation and that the emissivity of the radiating surface is 0.60. How long does it take for the water to freeze into ice at 0 °C when the surface area from which the radiation occurs is (a) 0.035 m2 (as it could be in a cup) and (b) 1.5 m2 (as it could be if the water were spilled out to form a thin sheet)?
  • 89.
  • 90.
    90 Problem 1 REASONING ANDSOLUTION According to Equation 13.1, the heat per second lost is Q t = kA ∆T L = [0.040 J/(s⋅m⋅ Co )] (1.6 m2 )(25 Co ) 2.0 ×10 –3 m = 8.0 ×102 J/s
  • 91.
  • 92.
    92 REASONING To findthe total heat conducted, we will apply Equation 13.1 to the steel portion and the iron portion of the rod. In so doing, we use the area of a square for the cross section of the steel. The area of the iron is the area of the circle minus the area of the square. The radius of the circle is one half the length of the diagonal of the square. SOLUTION In preparation for applying Equation 13.1, we need the area of the steel and the area of the iron. For the steel, the area is simply ASteel = L2, where L is the length of a side of the square. For the iron, the area is AIron = πR2 – L2. To find the radius R, we use the Pythagorean theorem, which indicates that the length D of the diagonal is related to the length of the sides according to D2 = L2 + L2. Therefore, the radius of the circle is . For the iron, then, the area isR D L= =/ /2 2 2 22 2 22 1 22 2 LL L LRAIron       −=−        =−= π ππ
  • 93.
    93 Taking values forthe thermal conductivities of steel and iron from Table 13.1 and applying Equation 13.1, we find IronSteelTotal QQQ += ( ) ( ) ( ) L tT LkLk L tTkA L tTkA Ironsteel IronSteel ∆             −+=      ∆ +      ∆ = 22 1 2 π ( ) ( )             −      °⋅⋅ +      °⋅⋅ = 22 01.01 2 7901.014 m Cms J m Cms J π ( )( ) J m sCC 85 5.0 1201878 = °−° ×
  • 94.
    94 Problem 3 REASONING ANDSOLUTION a. The radiant power lost by the body is PL = e T4A = (0.80)[5.67 *10–8 J/(s⋅m2⋅K4)](307 K)4(1.5 m2) = 604 Wσ The radiant power gained by the body from the room is Pg = (0.80)[5.67 * 10–8 J/(s⋅m2⋅K4)](298 K)4(1.5 m2) = 537 W The net loss of radiant power is P = PL - Pg = 67 W b. The net energy lost by the body is 1Calorie (67 W)(3600 s) 58 Calories 4186 J Q Pt   = = =   
  • 95.
    95 Problem 4 REASONING ANDSOLUTION The rate at which energy is gained through the refrigerator walls is Therefore, the amount of heat per second that must be removed from the unit to keep it cool is 42 / sJ [ ] sJ m CmCmsJ L TkA t Q /42 075.0 )100.2)(3.5()/(03.0 12 = °×°⋅⋅ = ∆ =
  • 96.
  • 97.
    97 L Tk At Q ∆ =      REASONING ANDSOLUTION Using Equation 13.1, Q kA T t L= ( ) /∆ Before Equation (1) can be applied to the ice-aluminum combination, the temperature T at the interface must be determined. We find the temperature at the interface by noting that the heat conducted through the ice must be equal to the heat conducted through the aluminum: Qice = Qaluminum. Applying Equation 13.1 to this condition, we have 2.2 J / (s m C ) C) T m 240 J / (s m C ) C) .0015 m ⋅ ⋅ ° − ° − = ⋅ ⋅ ° − − °A t A T t( . . ( .10 0 0 0050 25 0 0 umaluice L TtkA L TtkA min       ∆ =      ∆
  • 98.
    98 The factors Aand t can be eliminated algebraically. Solving for T gives T = –24.959 °C for the temperature at the interface a. Applying Equation (1) to the ice leads to = ⋅ ⋅ ° − ° − − ° = × ⋅3 2 C 6.58 10 J / (s m ) [ . ( . ) . 2 2 24 959 0 0050 J / (s m C )] ( 10.0 C) m Since heat is not building up in the materials, the rate of heat transfer per unit area is the same throughout the ice-aluminum combination. Thus, this must be the heat per second per square meter that is conducted through the ice-aluminum combination. b. Applying Equation (1) to the aluminum in the absence of any ice gives: K= ⋅ ⋅ ° − ° − − ° = × ⋅6 2 [240 J / (s m C )] ( 10.0 C) ( 25.0 C) 0.0015 m 2.40 10 J / (s m ) iceAt Q       AlAt Q      
  • 99.
  • 100.
  • 101.
     Define thefollowing terms: [Convection, conduction, radiation, etc] Respond to the following questions: Give a detailed account of ……………… Explain in details the process of ………….. Describe in details with examples the………… With examples, illustrate the pharmaceutical applications of ……………
  • 102.
    Group work discussionalquestions: Explain in details the process of……… Describe with examples in details the………….. With examples, illustrate the pharmaceutical applications of…….