PROJECTILE MOTION

An important application of two-dimensional kinematic theory is the problem of projectile motion. For a
first treatment of the subject, we neglect aerodynamic drag and earth’s curvature and rotation, and we
assume that the altitude range is small enough so that the acceleration due to gravity can be considered
constant. With these assumptions, rectangular coordinates are useful for the trajectory analysis.
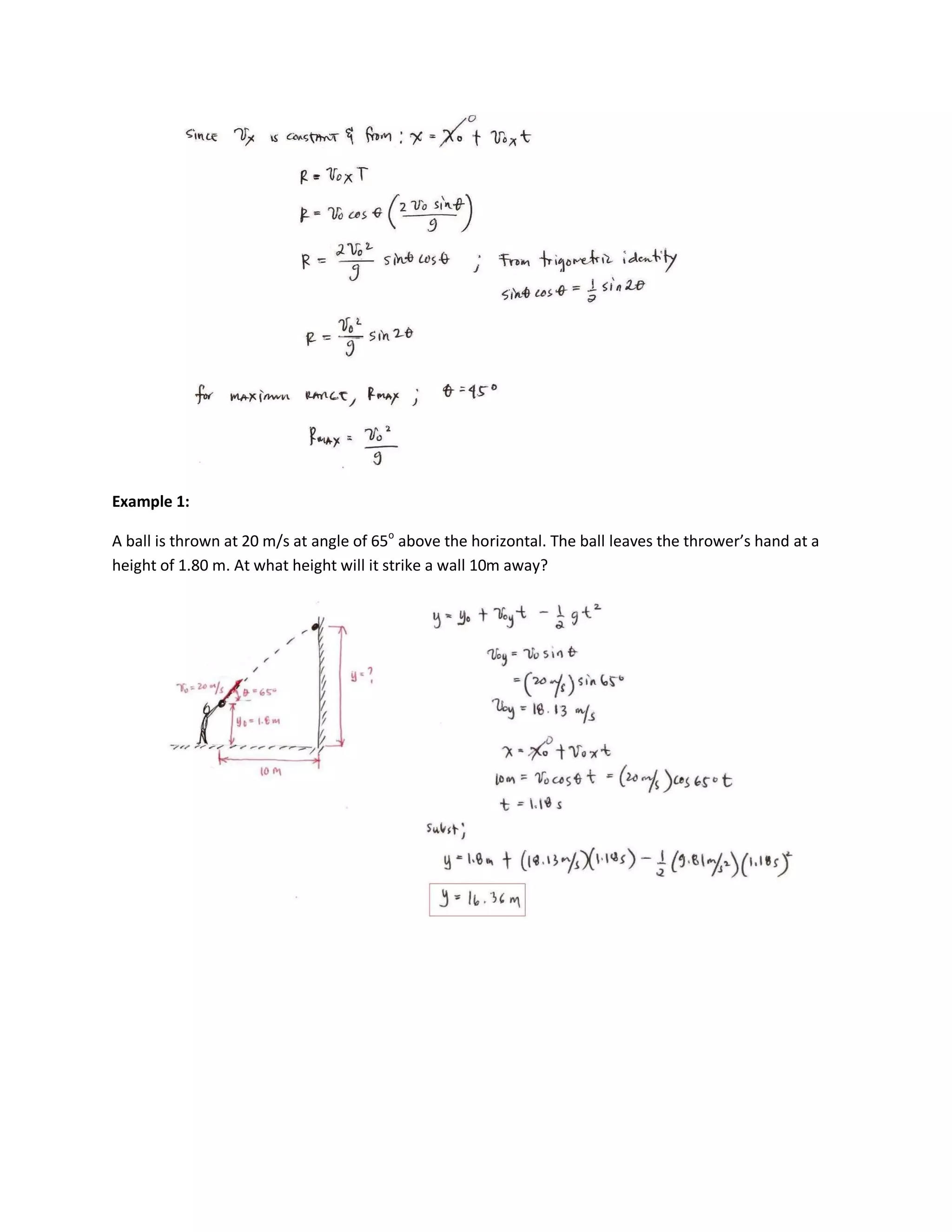
Example 1:

A ball is thrown at 20 m/s at angle of 65o above the horizontal. The ball leaves the thrower’s hand at a
height of 1.80 m. At what height will it strike a wall 10m away?
Example 2:

An arrow leaves a bow at 30 m/s. (a) What is its maximum range? (b) At what angle could the archer
point the arrow if it is to reach a target 70 m away?




Problems:

   1. Find the minimum initial speed of a champagne cork that travels a horizontal distance of 11m.
      [Ans. 10m/s]
   2. Find the range of an arrow that leaves a bow at 50 m/s at an angle of 50 degrees above the
      horizontal.
   3. A football leaves the toe of a punter at an angle of 40 degrees above the horizontal. What is its
      minimum initial speed if it travels 120 ft? [Ans. 62 ft/sec]
   4. A ball is thrown at 20m/s at an angle of 60 degrees above the horizontal. A wind blowing in the
      opposite direction reduces the ball’s horizontal component of velocity by 5.0 m/s. How far away
      doe the ball land?
   5. A blunderbuss can fire a slug by 100m vertically upward. (a) What is the maximum horizontal
      range? (b) With what speeds will the slug strike the ground when fired upward and when fired
      so as to have a maximum range? [Ans. 200 m, 44 m/s]

005 projectile motion

  • 1.
    PROJECTILE MOTION An importantapplication of two-dimensional kinematic theory is the problem of projectile motion. For a first treatment of the subject, we neglect aerodynamic drag and earth’s curvature and rotation, and we assume that the altitude range is small enough so that the acceleration due to gravity can be considered constant. With these assumptions, rectangular coordinates are useful for the trajectory analysis.
  • 2.
    Example 1: A ballis thrown at 20 m/s at angle of 65o above the horizontal. The ball leaves the thrower’s hand at a height of 1.80 m. At what height will it strike a wall 10m away?
  • 3.
    Example 2: An arrowleaves a bow at 30 m/s. (a) What is its maximum range? (b) At what angle could the archer point the arrow if it is to reach a target 70 m away? Problems: 1. Find the minimum initial speed of a champagne cork that travels a horizontal distance of 11m. [Ans. 10m/s] 2. Find the range of an arrow that leaves a bow at 50 m/s at an angle of 50 degrees above the horizontal. 3. A football leaves the toe of a punter at an angle of 40 degrees above the horizontal. What is its minimum initial speed if it travels 120 ft? [Ans. 62 ft/sec] 4. A ball is thrown at 20m/s at an angle of 60 degrees above the horizontal. A wind blowing in the opposite direction reduces the ball’s horizontal component of velocity by 5.0 m/s. How far away doe the ball land? 5. A blunderbuss can fire a slug by 100m vertically upward. (a) What is the maximum horizontal range? (b) With what speeds will the slug strike the ground when fired upward and when fired so as to have a maximum range? [Ans. 200 m, 44 m/s]