Vector Algebra
MATHEMATICS
Nishant Vora
B.Tech - IIT Patna
7+ years Teaching experience
Mentored 5 lac+ students
Teaching Excellence Award
Telegram Channel
Unacademy
Subscription
LIVE Polls & Leaderboard
LIVE Doubt Solving
LIVE Interaction
LIVE Class Environment Performance Analysis
Weekly Test Series
DPPs & Quizzes
India’s BEST Educators Unacademy Subscription
If you want to be the BEST
“Learn” from the BEST
Bratin Mondal
100 %ile
Amaiya singhal
100 %ile
Top Results
NVLIVE
12th / Drop
11th / 9, 10
NVLIVE
Vector and
Scalar
Quantities
Physical Quantities
Scalar Vector
➔ Only magnitude no direction ➔ Magnitude as well as direction
and OBEYs vector law of algebra
1. Force
2. Velocity
3. Displacement
1. Mass
2. Volume
3. Density
4. Speed
Is Current a Vector Is is Is
is current a vector Quantity?
3A
3A
Current
Notation and Representation of Vectors
Vectors are represented by a, b, c and their magnitude (modulus) are
represented by a, b, c or |a|, |b|, |c|.
➝ ➝ ➝
➝
➝
➝
Length of arrow ∝ magnitude
Laws of
Vector
Addition
Addition of Vectors
Triangle law of addition
Addition of Vectors
Parallelogram law of addition
Addition of Vectors
Loop law of addition
Addition of Vectors
Loop law of addition
x = a - b + c - d
➝
x = a + b + c + d
x = a - b - c - d
x = a - b + c + d
➝ ➝ ➝ ➝
➝ ➝ ➝ ➝ ➝
➝ ➝ ➝ ➝ ➝
➝ ➝ ➝ ➝ ➝
A.
B.
C.
D.
a
b
c
d
x
Addition of Vectors
Loop law of addition
x = a + b - c
➝
A.
x = -a + b - c
B.
x = a - b - c
C.
x = -a - b + c
D.
➝ ➝ ➝
➝ ➝ ➝ ➝
➝
➝
➝
➝
➝
➝
➝
➝
a
b
c
x
Types of
Vectors
Kinds of Vectors
Zero or null vector
1
Magnitude = 0
Direction = Any arbitrary direction or No direction
Kinds of Vectors
Magnitude =
➝
Direction =
Unit vector in direction of a =
Unit vector
2
Kinds of Vectors
Unit vector
3
Unit vector in direction of x axis =
Unit vector in direction of y axis =
Unit vector in direction of z axis =
Kinds of Vectors
Free vectors
4
Position Vectors
Position vector of point P is __________
P ( 2, 1, 3)
Address of Point
Cartesian System Vector System
Position Vectors
P.V of point A =
P.V of point B =
AB =
➝
B (3, 2, 1)
A ( 2, 1, 0)
Magnitude of Vectors
Multiplication
of a Vector by
Scalar
Multiplication of a Vector by Scalar
If a = xî + yĵ + zk
̂
Then ka = (kx)î + (ky)ĵ + (kz)k
̂
➝
➝
Properties of scalar multiplication
k ( a + b ) = ka + kb
1
( k + l ) a = k a + l a
2 ➝ ➝ ➝
➝ ➝ ➝ ➝
Collinear
Vectors
Angle between two vectors
Note: Tail to tail should be connected
0° ≤ 𝜃 ≤ 180°
Collinear Vectors or Parallel Vectors
If angle between 2 vectors is either 0o or 180o
1
Collinear Vectors
Collinear Vectors
Like Vectors Unlike Vectors
Collinear Vectors or Parallel Vectors
NOTE: If two vectors are parallel they are proportional
NOTE: If two vectors are collinear then a = λ b
The value of λ when a = 2 - 3 + and b = 8î + λĵ + 4 are parallel is -
A. 4 B. -6
C. -12 D. 1
➝ ➝
^
j
^
^
i k
Coplanar Vectors
Coplanar Vectors
Vectors lying in same plane
Note:
Two vectors are always coplanar
1
3 or more vectors may not be coplanar
2
Dot Product
Dot Product or Scalar Product
Let a and b be two non-zero vectors and θ the angle between them
then its scalar product is denoted as a . b and is defined as
➝ ➝
➝
➝
a . b = |a| |b| cos θ
➝ ➝ ➝ ➝
Dot Product or Scalar Product
î · î = ĵ · ĵ = k
̂ . k
̂ = 1
1
î · ĵ = ĵ · k
̂ = k
̂ . î = 0
2
Dot Product or Scalar Product
If a = a1î + a2ĵ + a3k
̂ and b = b1î + b2ĵ + b3k
̂ then a . b = a1b1 + a2b2 + a3b3
➝ ➝ ➝ ➝
If a = 3i + 2j + k and b = i -2j + 5k then find a.b.
➝ ➝ ➝ ➝
A. 4 B. 5
D. -3
C. 3
Properties
of Dot
Product
Properties of Dot Product
a . b = b . a
1
➝ ➝ ➝ ➝
Properties of Dot Product
a . a = |a|2
2
➝ ➝ ➝
Properties of Dot Product
a . (b + c) = a . b + a . c
3
➝ ➝ ➝ ➝ ➝ ➝ ➝
Properties of Dot Product
-|a| |b| ≤ a . b ≤ |a| |b|
4
➝ ➝ ➝ ➝ ➝ ➝
Properties of Dot Product
a . b =
5
➝ ➝
+
-
0
If θ ∈ [0, 𝝿/2)
If θ ∈ (𝝿/2, 𝝿]
If θ = 𝝿/2
Properties of Dot Product
0 . a = 0
6
➝ ➝
Properties of Dot Product
Angle between 2 vectors a and b cos θ = a.b/|a||b|
7
➝ ➝ ➝ ➝
Properties of Dot Product
If a ⟂ b then a . b = 0 but if a . b = 0 then either a = 0 or
b = 0 or θ = 90°
8 ➝ ➝ ➝ ➝ ➝ ➝
➝
Properties of Dot Product
If b = c then a . b = a . c but if a . b = a . c then a = 0 or
b = c or a ⟂ (b - c)
9 ➝ ➝ ➝ ➝ ➝ ➝ ➝ ➝ ➝ ➝
➝
➝
➝ ➝ ➝ ➝
Properties of Dot Product
Identities
10
a. (a + b)2 = |a|2 + 2 a . b + |b|2
b. (a - b)2 = |a|2 - 2 a . b + |b|2
c. (a + b) . (a - b) = |a|2 - |b|2
d. |a + b| = |a| + |b| ⇒ a || b
e. |a + b|2 = |a|2 + |b|2 ⇒ a ⟂ b
f. |a + b| = |a - b| ⇒ a ⟂ b
➝
➝ ➝ ➝ ➝ ➝
➝
➝
➝
➝
➝
➝
➝ ➝ ➝ ➝ ➝ ➝
➝
➝
➝
➝
➝
➝
➝ ➝ ➝ ➝ ➝ ➝
➝
➝
➝
➝
➝
➝
Questions on
Dot Product
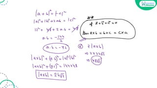
Let a, b, c be three mutually perpendicular vectors of the same
magnitude and equally inclined at an angle θ, with the vector
a + b + c. Then 36 cos2 2θ is equal to _________.
[JEE Main 2021]
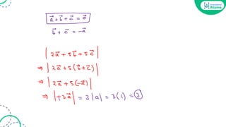
Let a, b & c be three unit vectors such that |a - b|2 + |a - c|2 = 8. Then
|a + 2b|2 + |a + 2c|2 is equal to ________.
[JEE Main 2021]
If a, b and c are unit vectors satisfying
|a - b|2 + |b - c|2 + |c - a|2 = 9, then |2a + 5b + 5c| is
➝➝ ➝
➝ ➝ ➝ ➝ ➝ ➝ ➝ ➝ ➝
[JEE Adv. 2012]
Prove by vector method the following formula of trigonometry
cos(α - β) = cosα cosβ + sinα sinβ
#Power of Vectors
Projection of
a on b
➝
a
➝
b
Projection of a on b
Projection of a on b
The projection of vector i + j + k on the vector i - j + k is-
A. √3 B. 1/√3
C. 2/√3 D. 2√3
^ ^ ^ ^ ^ ^
Angle between two vectors
Find the angle between the vectors 4î + ĵ + 3k
̂ and 2î - 2ĵ - k
̂ .
[JEE Main 2020]
Components
of Vector
[JEE Main 2021]
[JEE Adv. 2015]
Linear
combination
of vectors
A vector r is said to be a linear combination of the vectors a, b, c ….
If ∃ scalars x, y, z, ….. Such that r = xa + yb + zc + …...
➝ ➝ ➝ ➝
➝ ➝ ➝
➝
Linear combination of vectors
Theorem in
Plane
Theorem in plane
If three non-zero, non-collinear vectors are lying in same plane then any one vector can
be represented as linear combination of other two
Let a = î + ĵ + k
̂ , b = î - ĵ + k
̂ and c = î - ĵ - k
̂ be there vectors. A vector
v in the plane of a and b, whose projection on c is 1/√3, is given by
➝ ➝ ➝
➝
A. î - 3ĵ + 3k
̂ B. -3î - 3ĵ - k
̂
C. 3î - ĵ + 3k
̂ D. î + ĵ - 3k
̂ [JEE 2011]
[JEE Main 2021]
Cross
Product
The vector product or cross product of two vectors a and b is defined
as a vector, written as a ⨉ b and is defined as
➝ ➝
➝ ➝
a ⨉ b = |a| |b| sin θ n
^
➝ ➝ ➝ ➝
θ
n
^
➝
a ⨉ b
➝
a
b
➝
➝
Cross product or Vector product
Properties of
Cross Product
In general, a ⨉ b ≠ b ⨉ a. In fact a ⨉ b = -b ⨉ a
1
➝ ➝ ➝ ➝ ➝ ➝ ➝ ➝
Properties of Vector product
For scalar m, ma ⨉ b = m(a ⨉ b) = a ⨉ mb.
2
➝ ➝ ➝ ➝ ➝
➝
Properties of Vector product
a ⨉ (b ± c) = a ⨉ b ± a ⨉ c
3
➝ ➝ ➝ ➝ ➝ ➝ ➝
Properties of Vector product
If a || b then θ = 0 or 𝝿 ⇒ a ⨉ b = 0 (but a ⨉ b = 0 ⇒ a = 0 or b = 0
or a || b). In particular a ⨉ a = 0.
4 ➝ ➝ ➝ ➝ ➝ ➝ ➝ ➝
➝ ➝
➝
➝
Properties of Vector product
If a ⟂ b then a ⨉ b = |a| |b|n (or |a ⨉ b| = |a| |b|)
5
➝ ➝ ➝ ➝ ➝ ➝ ➝ ➝ ➝ ➝
^
Properties of Vector product
î ⨉ î = ĵ ⨉ ĵ = k
̂ ⨉ k
̂ = 0 and î ⨉ ĵ = k
̂ , ĵ ⨉ k
̂ = î and
k
̂ ⨉ î = ĵ (use cyclic system)
6
Properties of Vector product
Vector perpendicular to a and b is given by ± (a ⨉ b)
7
➝ ➝ ➝ ➝
Properties of Vector product
If θ is angle between a and b then sin θ = |a ⨉ b|/|a||b|
8
➝ ➝ ➝ ➝ ➝ ➝
Properties of Vector product
|a ⨉ b|2 + (a . b)2 = |a|2 |b|2 (Lagrange's identity)
9 ➝ ➝ ➝ ➝ ➝ ➝
Properties of Vector product
If a = a1î + a2ĵ + a3k
̂ and b = b1î + b2ĵ + b3k
̂ then
10
➝ ➝
Properties of Vector product
If a = 2i + 2j - k and b = 6i - 3j + 2k then a x b equals
A. 2i - 2j - k B. i - 10j - 18k
C. i + j + k D. 6i - 3j + 2k
^
➝ ^ ^ ^ ^ ^
^ ^ ^ ^ ^ ^
^
^
^
^
^
^
➝ ➝ ➝
[JEE Main 2021]
[JEE Adv. 2011]
[JEE Adv. 2020]
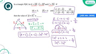
Let △PQr be a triangle. Let a = QR, b = RP and c = PQ. if |a| = 12, |b|
= 4√3, b.c = 24, then which of the following is are) true?
A. B.
C. |a x b + c x a | = 48√3 D. a . b = -72
➝
➝
➝ __ __ __
➝ ➝ ➝
➝ ➝ ➝ ➝ ➝ ➝
[JEE Adv. 2015]
Geometrical
Interpretation of
Cross Product
If two adjacent sides are given
CASE 1
Area of Parallelogram
If diagonal vectors are given
CASE 2
Area of Parallelogram
n If position vectors of vertex are given
CASE 3
Area of Parallelogram
If any two adjacent sides are given
CASE 1
Area of Triangle
If position vectors of vertex are given
CASE 2
Area of Triangle
A
D
C
B
Area of Quadrilateral
Find the area of parallelogram whose two adjacent sides are
represented by a = 3i + j + 2k and b = 2i - 2j + 4k.
^
➝ ^ ^ ^ ^ ^
A. 8√3 B. 2√3
C. √3 D. 4√3
[JEE Adv. 2020]
Collinearity of
3 Points
Three points are collinear if ar(ABC)=0 or AB || BC || CA
Collinearity of three points
If A ≡ (2i + 3j), B ≡ (pi + 9j) and C ≡ (i - j) are collinear, then the
value of p is-
^
A. 1/2 B. 3/2
C. 7/2 D. 5/2
^ ^ ^ ^ ^
Scalar Triple
Product /
Box Product
Scalar Triple Product or Box Product
If
then
Formula for Scalar Triple Product
Geometrical
Interpretation of
Box Product
Volume of Parallelepiped
A(a) C(c)
B(b)
0
➝
➝
➝
Volume of Tetrahedron
If a = 2i - 3j, b = i + j - k and c = 3i -k represent three coterminous
edges of a parallelepiped then the volume of that parallelepiped is
-
A. 2 B. 4
C. 6 D. 10
➝ ➝ ➝
^ ^ ^ ^ ^ ^ ^
Properties of
Box Product
The position of (.) and (⨉) can be interchanged.
i.e. a.(b ⨉ c) = (a ⨉ b).c
1 ➝ ➝ ➝ ➝ ➝ ➝
Properties of Box Product (STP)
[a b c] = -[a c b]
2
➝ ➝ ➝ ➝ ➝➝
Properties of Box Product (STP)
You can rotate a, b, c in cyclic order
3
➝➝➝
Properties of Box Product (STP)
[a b b] = [a b a] = 0
4
➝➝➝ ➝➝➝
Properties of Box Product (STP)
The scalar triple product of three mutually perpendicular unit
vectors is ± 1. Thus [î ĵ k
̂ ] = 1, [î ĵ k
̂ ] = -1
5
Properties of Box Product (STP)
If two of the three vectors a, b, c are parallel then
[a b c] = 0
6 ➝ ➝ ➝
Properties of Box Product (STP)
Three non-zero non-collinear vectors are coplanar if
[a b c] = 0
7 ➝ ➝ ➝
Properties of Box Product (STP)
[a + b c d] = [a c d] + [b c d]
8
➝ ➝ ➝ ➝ ➝ ➝ ➝ ➝ ➝ ➝
Properties of Box Product (STP)
[a + b b + c c + a] = 2[a b c]
9
➝
[a - b b - c c - a] = 0
10
[a ⨉ b b ⨉ c c ⨉ a] = [a b c]2
11
➝ ➝ ➝ ➝ ➝ ➝ ➝ ➝
➝ ➝ ➝ ➝ ➝ ➝
➝ ➝ ➝ ➝ ➝ ➝ ➝ ➝
➝
Properties of Box Product (STP)
➝ ➝ ➝ ➝ ➝
➝ ➝
➝ ➝ ➝ ➝
➝
Properties of Box Product (STP)
For any three vectors a, b, c [a + b, b + c, c + a] equals
A. [a b c] B. 2 [a b c]
C. [a b c]2 D. 0
➝➝ ➝ ➝ ➝ ➝ ➝➝ ➝
➝➝➝
➝➝➝
➝➝➝
Let a, b and c be distinct positive numbers. If the vectors
then c is equal to
A. B.
C. D.
[JEE Main 2021]
Linearly
Dependent vs
Independent
For 2 non zero Vectors
If a || b ⇒ Linearly Dependent
If a ∦ b ⇒ Linearly Independent
➝ ➝
➝
➝
Linearly Dependent v/s Independent Vectors
For 3 non zero Vectors
If [a b c] ≠ 0 ⇒ Linearly Independent
If [a b c] = 0 ⇒ Linearly Dependent
➝➝➝
➝ ➝➝
Linearly Dependent v/s Independent Vectors
4 or more non zero Vectors
Four or more vectors are always Linearly Dependent
Linearly Dependent v/s Independent Vectors
Check whether i - 3j + 2k, 2i - 4j - k and 3i + 2j - k are linearly
independent or dependent?
^ ^ ^ ^ ^ ^ ^ ^ ^
Vector Triple
Product (VTP)
VTP - Definition
Vector triple product is a vector quantity
1
Vector Triple Product (VTP) - Properties
a ⨉ (b ⨉ c) ≠ (a ⨉ b) ⨉ c
2
➝ ➝ ➝ ➝ ➝ ➝
Vector Triple Product (VTP) - Properties
(a ⨉ b) ⨉ c =
3 ➝ ➝ ➝
Vector Triple Product (VTP) - Properties
[a ⨉ b b ⨉ c c ⨉ a] = [a b c]2
4
➝ ➝ ➝ ➝ ➝ ➝ ➝ ➝ ➝
Vector Triple Product (VTP) - Properties
[JEE Main 2021]
[JEE Main 2021]
[JEE Adv. 2010]
Scalar Product of Four Vectors
➝
(a ⨉ b).(c ⨉ d) =
➝ ➝ ➝
Vector Product of Four Vectors
V = (a ⨉ b) ⨉ (c ⨉ d) = [a b d]c - [a b c]d
➝ ➝ ➝ ➝ ➝ ➝ ➝ ➝➝ ➝ ➝ ➝ ➝
If a, b, c and d are unit vectors such that (a x b) . (c x d) = 1 and
a . c = 1/ 2, then
➝ ➝ ➝ ➝ ➝ ➝ ➝
➝ ➝
A. a, b, c are non - coplanar
B. b, c, d are non - coplanar
C. b, d are non - parallel
D. a, d are parallel and b, c are parallel
➝ ➝ ➝
➝
➝
➝
➝ ➝
➝
➝
[JEE Adv. 2009]
Isolating Unknown Vectors
#Hathoda concept
Find vector r if r. a = m and r x b = c where a. b ≠ 0
➝ ➝ ➝ ➝ ➝ ➝ ➝
➝
Telegram Channel
tinyurl.com/specialclassNV10
Unacademy
Subscription
LIVE Polls & Leaderboard
LIVE Doubt Solving
LIVE Interaction
LIVE Class Environment Performance Analysis
Weekly Test Series
DPPs & Quizzes
India’s BEST Educators Unacademy Subscription
If you want to be the BEST
“Learn” from the BEST
Bratin Mondal
100 %ile
Amaiya singhal
100 %ile
Top
Results
NVLIVE
12th / Drop
11th / 9, 10
NVLIVE
Live Classes
Unlimited
Access
Structured
Courses
Weekly Tests
Personal Guidance
Get one on one guidance
from top exam experts
Test Analysis
Get one on one guidance
from top exam experts
Study Material
Specialised Notes & Practice
Sets
Study Planner
Customized study plan
with bi-weekly reviews
Experts' Guidelines
Study booster workshops by
exam experts
ICONIC PLUS
NVLIVE
Vector Algebra One Shot #BounceBack.pdf

Vector Algebra One Shot #BounceBack.pdf

  • 1.
  • 2.
    Nishant Vora B.Tech -IIT Patna 7+ years Teaching experience Mentored 5 lac+ students Teaching Excellence Award
  • 3.
  • 4.
    Unacademy Subscription LIVE Polls &Leaderboard LIVE Doubt Solving LIVE Interaction LIVE Class Environment Performance Analysis Weekly Test Series DPPs & Quizzes
  • 5.
    India’s BEST EducatorsUnacademy Subscription If you want to be the BEST “Learn” from the BEST
  • 6.
    Bratin Mondal 100 %ile Amaiyasinghal 100 %ile Top Results
  • 7.
  • 9.
  • 10.
    Physical Quantities Scalar Vector ➔Only magnitude no direction ➔ Magnitude as well as direction and OBEYs vector law of algebra 1. Force 2. Velocity 3. Displacement 1. Mass 2. Volume 3. Density 4. Speed
  • 11.
    Is Current aVector Is is Is is current a vector Quantity? 3A 3A Current
  • 12.
    Notation and Representationof Vectors Vectors are represented by a, b, c and their magnitude (modulus) are represented by a, b, c or |a|, |b|, |c|. ➝ ➝ ➝ ➝ ➝ ➝ Length of arrow ∝ magnitude
  • 13.
  • 14.
  • 15.
  • 16.
    Addition of Vectors Looplaw of addition
  • 17.
    Addition of Vectors Looplaw of addition x = a - b + c - d ➝ x = a + b + c + d x = a - b - c - d x = a - b + c + d ➝ ➝ ➝ ➝ ➝ ➝ ➝ ➝ ➝ ➝ ➝ ➝ ➝ ➝ ➝ ➝ ➝ ➝ ➝ A. B. C. D. a b c d x
  • 18.
    Addition of Vectors Looplaw of addition x = a + b - c ➝ A. x = -a + b - c B. x = a - b - c C. x = -a - b + c D. ➝ ➝ ➝ ➝ ➝ ➝ ➝ ➝ ➝ ➝ ➝ ➝ ➝ ➝ ➝ a b c x
  • 19.
  • 20.
    Kinds of Vectors Zeroor null vector 1 Magnitude = 0 Direction = Any arbitrary direction or No direction
  • 21.
    Kinds of Vectors Magnitude= ➝ Direction = Unit vector in direction of a = Unit vector 2
  • 22.
    Kinds of Vectors Unitvector 3 Unit vector in direction of x axis = Unit vector in direction of y axis = Unit vector in direction of z axis =
  • 23.
  • 24.
    Position Vectors Position vectorof point P is __________ P ( 2, 1, 3)
  • 25.
    Address of Point CartesianSystem Vector System
  • 26.
    Position Vectors P.V ofpoint A = P.V of point B = AB = ➝ B (3, 2, 1) A ( 2, 1, 0)
  • 27.
  • 28.
  • 29.
    Multiplication of aVector by Scalar If a = xî + yĵ + zk ̂ Then ka = (kx)î + (ky)ĵ + (kz)k ̂ ➝ ➝
  • 30.
    Properties of scalarmultiplication k ( a + b ) = ka + kb 1 ( k + l ) a = k a + l a 2 ➝ ➝ ➝ ➝ ➝ ➝ ➝
  • 31.
  • 32.
    Angle between twovectors Note: Tail to tail should be connected 0° ≤ 𝜃 ≤ 180°
  • 33.
    Collinear Vectors orParallel Vectors If angle between 2 vectors is either 0o or 180o 1
  • 34.
  • 35.
    Collinear Vectors orParallel Vectors NOTE: If two vectors are parallel they are proportional NOTE: If two vectors are collinear then a = λ b
  • 36.
    The value ofλ when a = 2 - 3 + and b = 8î + λĵ + 4 are parallel is - A. 4 B. -6 C. -12 D. 1 ➝ ➝ ^ j ^ ^ i k
  • 37.
  • 38.
    Note: Two vectors arealways coplanar 1 3 or more vectors may not be coplanar 2
  • 39.
  • 40.
    Dot Product orScalar Product Let a and b be two non-zero vectors and θ the angle between them then its scalar product is denoted as a . b and is defined as ➝ ➝ ➝ ➝ a . b = |a| |b| cos θ ➝ ➝ ➝ ➝
  • 41.
    Dot Product orScalar Product î · î = ĵ · ĵ = k ̂ . k ̂ = 1 1 î · ĵ = ĵ · k ̂ = k ̂ . î = 0 2
  • 42.
    Dot Product orScalar Product If a = a1î + a2ĵ + a3k ̂ and b = b1î + b2ĵ + b3k ̂ then a . b = a1b1 + a2b2 + a3b3 ➝ ➝ ➝ ➝
  • 43.
    If a =3i + 2j + k and b = i -2j + 5k then find a.b. ➝ ➝ ➝ ➝ A. 4 B. 5 D. -3 C. 3
  • 44.
  • 45.
    Properties of DotProduct a . b = b . a 1 ➝ ➝ ➝ ➝
  • 46.
    Properties of DotProduct a . a = |a|2 2 ➝ ➝ ➝
  • 47.
    Properties of DotProduct a . (b + c) = a . b + a . c 3 ➝ ➝ ➝ ➝ ➝ ➝ ➝
  • 48.
    Properties of DotProduct -|a| |b| ≤ a . b ≤ |a| |b| 4 ➝ ➝ ➝ ➝ ➝ ➝
  • 49.
    Properties of DotProduct a . b = 5 ➝ ➝ + - 0 If θ ∈ [0, 𝝿/2) If θ ∈ (𝝿/2, 𝝿] If θ = 𝝿/2
  • 50.
    Properties of DotProduct 0 . a = 0 6 ➝ ➝
  • 51.
    Properties of DotProduct Angle between 2 vectors a and b cos θ = a.b/|a||b| 7 ➝ ➝ ➝ ➝
  • 52.
    Properties of DotProduct If a ⟂ b then a . b = 0 but if a . b = 0 then either a = 0 or b = 0 or θ = 90° 8 ➝ ➝ ➝ ➝ ➝ ➝ ➝
  • 53.
    Properties of DotProduct If b = c then a . b = a . c but if a . b = a . c then a = 0 or b = c or a ⟂ (b - c) 9 ➝ ➝ ➝ ➝ ➝ ➝ ➝ ➝ ➝ ➝ ➝ ➝ ➝ ➝ ➝ ➝
  • 54.
    Properties of DotProduct Identities 10 a. (a + b)2 = |a|2 + 2 a . b + |b|2 b. (a - b)2 = |a|2 - 2 a . b + |b|2 c. (a + b) . (a - b) = |a|2 - |b|2 d. |a + b| = |a| + |b| ⇒ a || b e. |a + b|2 = |a|2 + |b|2 ⇒ a ⟂ b f. |a + b| = |a - b| ⇒ a ⟂ b ➝ ➝ ➝ ➝ ➝ ➝ ➝ ➝ ➝ ➝ ➝ ➝ ➝ ➝ ➝ ➝ ➝ ➝ ➝ ➝ ➝ ➝ ➝ ➝ ➝ ➝ ➝ ➝ ➝ ➝ ➝ ➝ ➝ ➝ ➝ ➝
  • 57.
  • 58.
    Let a, b,c be three mutually perpendicular vectors of the same magnitude and equally inclined at an angle θ, with the vector a + b + c. Then 36 cos2 2θ is equal to _________. [JEE Main 2021]
  • 60.
    Let a, b& c be three unit vectors such that |a - b|2 + |a - c|2 = 8. Then |a + 2b|2 + |a + 2c|2 is equal to ________. [JEE Main 2021]
  • 61.
    If a, band c are unit vectors satisfying |a - b|2 + |b - c|2 + |c - a|2 = 9, then |2a + 5b + 5c| is ➝➝ ➝ ➝ ➝ ➝ ➝ ➝ ➝ ➝ ➝ ➝ [JEE Adv. 2012]
  • 63.
    Prove by vectormethod the following formula of trigonometry cos(α - β) = cosα cosβ + sinα sinβ #Power of Vectors
  • 64.
  • 65.
  • 66.
  • 67.
    The projection ofvector i + j + k on the vector i - j + k is- A. √3 B. 1/√3 C. 2/√3 D. 2√3 ^ ^ ^ ^ ^ ^
  • 68.
  • 69.
    Find the anglebetween the vectors 4î + ĵ + 3k ̂ and 2î - 2ĵ - k ̂ .
  • 70.
  • 72.
  • 73.
  • 75.
  • 77.
  • 78.
    A vector ris said to be a linear combination of the vectors a, b, c …. If ∃ scalars x, y, z, ….. Such that r = xa + yb + zc + …... ➝ ➝ ➝ ➝ ➝ ➝ ➝ ➝ Linear combination of vectors
  • 79.
  • 80.
    Theorem in plane Ifthree non-zero, non-collinear vectors are lying in same plane then any one vector can be represented as linear combination of other two
  • 81.
    Let a =î + ĵ + k ̂ , b = î - ĵ + k ̂ and c = î - ĵ - k ̂ be there vectors. A vector v in the plane of a and b, whose projection on c is 1/√3, is given by ➝ ➝ ➝ ➝ A. î - 3ĵ + 3k ̂ B. -3î - 3ĵ - k ̂ C. 3î - ĵ + 3k ̂ D. î + ĵ - 3k ̂ [JEE 2011]
  • 82.
  • 84.
  • 85.
    The vector productor cross product of two vectors a and b is defined as a vector, written as a ⨉ b and is defined as ➝ ➝ ➝ ➝ a ⨉ b = |a| |b| sin θ n ^ ➝ ➝ ➝ ➝ θ n ^ ➝ a ⨉ b ➝ a b ➝ ➝ Cross product or Vector product
  • 86.
  • 87.
    In general, a⨉ b ≠ b ⨉ a. In fact a ⨉ b = -b ⨉ a 1 ➝ ➝ ➝ ➝ ➝ ➝ ➝ ➝ Properties of Vector product
  • 88.
    For scalar m,ma ⨉ b = m(a ⨉ b) = a ⨉ mb. 2 ➝ ➝ ➝ ➝ ➝ ➝ Properties of Vector product
  • 89.
    a ⨉ (b± c) = a ⨉ b ± a ⨉ c 3 ➝ ➝ ➝ ➝ ➝ ➝ ➝ Properties of Vector product
  • 90.
    If a ||b then θ = 0 or 𝝿 ⇒ a ⨉ b = 0 (but a ⨉ b = 0 ⇒ a = 0 or b = 0 or a || b). In particular a ⨉ a = 0. 4 ➝ ➝ ➝ ➝ ➝ ➝ ➝ ➝ ➝ ➝ ➝ ➝ Properties of Vector product
  • 91.
    If a ⟂b then a ⨉ b = |a| |b|n (or |a ⨉ b| = |a| |b|) 5 ➝ ➝ ➝ ➝ ➝ ➝ ➝ ➝ ➝ ➝ ^ Properties of Vector product
  • 92.
    î ⨉ î= ĵ ⨉ ĵ = k ̂ ⨉ k ̂ = 0 and î ⨉ ĵ = k ̂ , ĵ ⨉ k ̂ = î and k ̂ ⨉ î = ĵ (use cyclic system) 6 Properties of Vector product
  • 93.
    Vector perpendicular toa and b is given by ± (a ⨉ b) 7 ➝ ➝ ➝ ➝ Properties of Vector product
  • 94.
    If θ isangle between a and b then sin θ = |a ⨉ b|/|a||b| 8 ➝ ➝ ➝ ➝ ➝ ➝ Properties of Vector product
  • 95.
    |a ⨉ b|2+ (a . b)2 = |a|2 |b|2 (Lagrange's identity) 9 ➝ ➝ ➝ ➝ ➝ ➝ Properties of Vector product
  • 96.
    If a =a1î + a2ĵ + a3k ̂ and b = b1î + b2ĵ + b3k ̂ then 10 ➝ ➝ Properties of Vector product
  • 97.
    If a =2i + 2j - k and b = 6i - 3j + 2k then a x b equals A. 2i - 2j - k B. i - 10j - 18k C. i + j + k D. 6i - 3j + 2k ^ ➝ ^ ^ ^ ^ ^ ^ ^ ^ ^ ^ ^ ^ ^ ^ ^ ^ ^ ➝ ➝ ➝
  • 98.
  • 99.
  • 100.
  • 102.
    Let △PQr bea triangle. Let a = QR, b = RP and c = PQ. if |a| = 12, |b| = 4√3, b.c = 24, then which of the following is are) true? A. B. C. |a x b + c x a | = 48√3 D. a . b = -72 ➝ ➝ ➝ __ __ __ ➝ ➝ ➝ ➝ ➝ ➝ ➝ ➝ ➝ [JEE Adv. 2015]
  • 104.
  • 105.
    If two adjacentsides are given CASE 1 Area of Parallelogram
  • 106.
    If diagonal vectorsare given CASE 2 Area of Parallelogram
  • 107.
    n If positionvectors of vertex are given CASE 3 Area of Parallelogram
  • 108.
    If any twoadjacent sides are given CASE 1 Area of Triangle
  • 109.
    If position vectorsof vertex are given CASE 2 Area of Triangle
  • 110.
  • 111.
    Find the areaof parallelogram whose two adjacent sides are represented by a = 3i + j + 2k and b = 2i - 2j + 4k. ^ ➝ ^ ^ ^ ^ ^ A. 8√3 B. 2√3 C. √3 D. 4√3
  • 112.
  • 114.
  • 115.
    Three points arecollinear if ar(ABC)=0 or AB || BC || CA Collinearity of three points
  • 116.
    If A ≡(2i + 3j), B ≡ (pi + 9j) and C ≡ (i - j) are collinear, then the value of p is- ^ A. 1/2 B. 3/2 C. 7/2 D. 5/2 ^ ^ ^ ^ ^
  • 117.
  • 118.
    Scalar Triple Productor Box Product
  • 119.
  • 121.
  • 122.
  • 123.
  • 124.
    If a =2i - 3j, b = i + j - k and c = 3i -k represent three coterminous edges of a parallelepiped then the volume of that parallelepiped is - A. 2 B. 4 C. 6 D. 10 ➝ ➝ ➝ ^ ^ ^ ^ ^ ^ ^
  • 125.
  • 126.
    The position of(.) and (⨉) can be interchanged. i.e. a.(b ⨉ c) = (a ⨉ b).c 1 ➝ ➝ ➝ ➝ ➝ ➝ Properties of Box Product (STP)
  • 127.
    [a b c]= -[a c b] 2 ➝ ➝ ➝ ➝ ➝➝ Properties of Box Product (STP)
  • 128.
    You can rotatea, b, c in cyclic order 3 ➝➝➝ Properties of Box Product (STP)
  • 129.
    [a b b]= [a b a] = 0 4 ➝➝➝ ➝➝➝ Properties of Box Product (STP)
  • 130.
    The scalar tripleproduct of three mutually perpendicular unit vectors is ± 1. Thus [î ĵ k ̂ ] = 1, [î ĵ k ̂ ] = -1 5 Properties of Box Product (STP)
  • 131.
    If two ofthe three vectors a, b, c are parallel then [a b c] = 0 6 ➝ ➝ ➝ Properties of Box Product (STP)
  • 132.
    Three non-zero non-collinearvectors are coplanar if [a b c] = 0 7 ➝ ➝ ➝ Properties of Box Product (STP)
  • 133.
    [a + bc d] = [a c d] + [b c d] 8 ➝ ➝ ➝ ➝ ➝ ➝ ➝ ➝ ➝ ➝ Properties of Box Product (STP)
  • 134.
    [a + bb + c c + a] = 2[a b c] 9 ➝ [a - b b - c c - a] = 0 10 [a ⨉ b b ⨉ c c ⨉ a] = [a b c]2 11 ➝ ➝ ➝ ➝ ➝ ➝ ➝ ➝ ➝ ➝ ➝ ➝ ➝ ➝ ➝ ➝ ➝ ➝ ➝ ➝ ➝ ➝ ➝ Properties of Box Product (STP)
  • 135.
    ➝ ➝ ➝➝ ➝ ➝ ➝ ➝ ➝ ➝ ➝ ➝ Properties of Box Product (STP)
  • 136.
    For any threevectors a, b, c [a + b, b + c, c + a] equals A. [a b c] B. 2 [a b c] C. [a b c]2 D. 0 ➝➝ ➝ ➝ ➝ ➝ ➝➝ ➝ ➝➝➝ ➝➝➝ ➝➝➝
  • 137.
    Let a, band c be distinct positive numbers. If the vectors then c is equal to A. B. C. D. [JEE Main 2021]
  • 138.
  • 139.
    For 2 nonzero Vectors If a || b ⇒ Linearly Dependent If a ∦ b ⇒ Linearly Independent ➝ ➝ ➝ ➝ Linearly Dependent v/s Independent Vectors
  • 140.
    For 3 nonzero Vectors If [a b c] ≠ 0 ⇒ Linearly Independent If [a b c] = 0 ⇒ Linearly Dependent ➝➝➝ ➝ ➝➝ Linearly Dependent v/s Independent Vectors
  • 141.
    4 or morenon zero Vectors Four or more vectors are always Linearly Dependent Linearly Dependent v/s Independent Vectors
  • 142.
    Check whether i- 3j + 2k, 2i - 4j - k and 3i + 2j - k are linearly independent or dependent? ^ ^ ^ ^ ^ ^ ^ ^ ^
  • 143.
  • 144.
  • 145.
    Vector triple productis a vector quantity 1 Vector Triple Product (VTP) - Properties
  • 146.
    a ⨉ (b⨉ c) ≠ (a ⨉ b) ⨉ c 2 ➝ ➝ ➝ ➝ ➝ ➝ Vector Triple Product (VTP) - Properties
  • 147.
    (a ⨉ b)⨉ c = 3 ➝ ➝ ➝ Vector Triple Product (VTP) - Properties
  • 148.
    [a ⨉ bb ⨉ c c ⨉ a] = [a b c]2 4 ➝ ➝ ➝ ➝ ➝ ➝ ➝ ➝ ➝ Vector Triple Product (VTP) - Properties
  • 149.
  • 151.
  • 153.
  • 155.
    Scalar Product ofFour Vectors ➝ (a ⨉ b).(c ⨉ d) = ➝ ➝ ➝
  • 156.
    Vector Product ofFour Vectors V = (a ⨉ b) ⨉ (c ⨉ d) = [a b d]c - [a b c]d ➝ ➝ ➝ ➝ ➝ ➝ ➝ ➝➝ ➝ ➝ ➝ ➝
  • 157.
    If a, b,c and d are unit vectors such that (a x b) . (c x d) = 1 and a . c = 1/ 2, then ➝ ➝ ➝ ➝ ➝ ➝ ➝ ➝ ➝ A. a, b, c are non - coplanar B. b, c, d are non - coplanar C. b, d are non - parallel D. a, d are parallel and b, c are parallel ➝ ➝ ➝ ➝ ➝ ➝ ➝ ➝ ➝ ➝ [JEE Adv. 2009]
  • 159.
  • 160.
    Find vector rif r. a = m and r x b = c where a. b ≠ 0 ➝ ➝ ➝ ➝ ➝ ➝ ➝ ➝
  • 161.
  • 162.
    Unacademy Subscription LIVE Polls &Leaderboard LIVE Doubt Solving LIVE Interaction LIVE Class Environment Performance Analysis Weekly Test Series DPPs & Quizzes
  • 163.
    India’s BEST EducatorsUnacademy Subscription If you want to be the BEST “Learn” from the BEST
  • 164.
    Bratin Mondal 100 %ile Amaiyasinghal 100 %ile Top Results
  • 165.
  • 167.
    Live Classes Unlimited Access Structured Courses Weekly Tests PersonalGuidance Get one on one guidance from top exam experts Test Analysis Get one on one guidance from top exam experts Study Material Specialised Notes & Practice Sets Study Planner Customized study plan with bi-weekly reviews Experts' Guidelines Study booster workshops by exam experts ICONIC PLUS
  • 168.