Variational Autoencoders for Speech
Dmytro Bielievtsov
2018
Log magnitude spectrograms, linear and mel
Interpreting spectrograms
from home.cc.umanitoba.ca/~robh/cursol.html
Generative models
Generative models model the distribution of high-dimensional
objects like images, audio, etc.
They model these distributions either by allowing you to
sample from the distribution or by computing likelihoods
Three families of generative model dominate the deep learning
landscape today: autoregressive, GANs, and VAEs
Generative model comparison
Autoregressive models can be very accurate (WaveNet) but
are slow to generate (but cf. Distilled WaveNet), and produce
no latent representation of the data
GANs produce a latent representation of the data but are
finicky to train and don’t give likelihoods (at least in their
pure form)
VAEs lack the disadvantages of autoregressive models and
GANs, but in their basic form are prone to producing blurry
samples
Disentangled representations
Each latent controls one “factor of variation”. You don’t have
one latent controlling, e.g., pitch + volume and another pitch
- volume
The factor of variation each latent controls is independent of
the setting of the other latents
VAE model definition
VAE model definition
Latent variable models, easy things to do
Drawing samples is easy: z ∼ pθ(z), x ∼ pθ(x | z)
As is computing joint likelihoods
Latent variable models, hard things to do
To train the model, we need to maximize pθ(x)
We also need pθ(x) if we want to find likelihoods of samples
To find latent codes of samples (e.g., to do morphing), we
need to know pθ(z | x)
Unfortunately, pθ(x) and pθ(z | x) are intractible
Latent variable models, intractable integrals
pθ(x) = pθ(z)pθ(x | z) dz
pθ(z | x) = pθ(z)pθ(x | z)/pθ(x)
Since z is high-dimensional, pθ(x) and pθ(z | x) are intractable
By the way, from now on we will drop θ from our notation for less
clutter
The idea of an encoder
For fixed x, for almost all values of z, p(z | x) will be very
nearly zero
If we could somehow train a network to approximate p(z | x),
maybe we could estimate p(x) much more efficiently by
sampling z values that are likely to generate something close
to x
The encoder network
The encoder network
Instead of using fixed variances, as with the decoder network,
the encoder network also produces variances
Intuitively, we want the network to find an efficient
representation of the data, so we penalize it for outputting
very small variances
The fundamental VAE equation
Start with the definition of KL-divergence and then use Bayes’ Law:
D (q(z | x) p(z | x))
= Ez∼q(z|x)[log q(z | x) − log p(z | x)]
= Ez∼q(z|x)[log q(z | x) − log p(x | z) − log p(z)] + log p(x)
Rearranging terms and using the definition of KL-divergence,
OELBO
:= log p(x) − D (q(z | x) p(z | x))
= Ez∼q(z|x)[log p(x | z)]
tractable to optimize
− D (q(z | x) p(z))
tractable to optimize
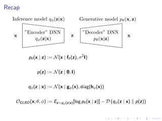
Recap
pθ(x | z) := N(x | fθ(z), σ2
I)
p(z) := N(z | 0, I)
qφ(z | x) := N(x | gφ(x), diag(hφ(x))
OELBO(x; θ, φ) := Ez∼qφ(z|x)[log pθ(x | z)] − D (qφ(z | x) p(z))
A picture, and the reparameterization trick
Interpretability of latent variables
Latent variables produced by vanilla VAE’s are usually meaningless
when considered individually.
Adapted from Higgins et al. 2017
Disentangling variables
Simple approaches to encourage disentangled latent variables:
β-VAE
factor-VAE
Disentangling variables: β-VAE
Original objective function (ELBO):
OELBO = Ez∼q(z|x)[log p(x | z)] − D (q(z | x) p(z))
Disentangling variables: β-VAE
Original objective function (ELBO):
OELBO = Ez∼q(z|x)[log p(x | z)] − D (q(z | x) p(z))
New objective function:
Oβ = Ez∼q(z|x)[log p(x | z)] − β D (q(z | x) p(z))
Disentangling variables: β-VAE
Adapted from Higgins et al. 2017
Disentangling variables: factor-VAE
Upon closer inspection, β-VAE creates some tradeoff between
disentanglement and reconstruction:
β-VAE objective:
Oβ = Ez∼q(z|x)[log p(x | z)] − β D (q(z | x) p(z))
Disentangling variables: factor-VAE
Upon closer inspection, β-VAE creates some tradeoff between
disentanglement and reconstruction:
β-VAE objective:
Oβ = Ez∼q(z|x)[log p(x | z)] − β D (q(z | x) p(z))
Let’s look closer at that regularizer:
Ex∼pdata(x)[D (q(z | x) p(z))] = Ienc(x; z) + D (q(z) p(z))
Disentangling variables: factor-VAE
Upon closer inspection, β-VAE creates some tradeoff between
disentanglement and reconstruction:
β-VAE objective:
Oβ = Ez∼q(z|x)[log p(x | z)] − β D (q(z | x) p(z))
Let’s look closer at that regularizer:
Ex∼pdata(x)[D (q(z | x) p(z))] = Ienc(x; z) + D (q(z) p(z))
We don’t want to hurt that mutual information term!
Disentangling variables: factor-VAE
Yet another variation on the ELBO objective:
Oγ = OELBO − γD (q(z) ¯q(z))
Disentangling variables: factor-VAE
Yet another variation on the ELBO objective:
Oγ = OELBO − γD (q(z) ¯q(z))
Adapted from Kim et al. 2018
Disentangling variables: factor-VAE
Yet another variation on the ELBO objective:
Oγ = OELBO − γD (q(z) ¯q(z))
Adapted from Kim et al. 2018
VQ-VAE, quick look
Adapted from Oord et al. 2017
References
Doersch, Carl. “Tutorial on Variational Autoencoders.” ArXiv:1606.05908 [Cs, Stat], June 19, 2016.
http://arxiv.org/abs/1606.05908.
Higgins, Irina, Loic Matthey, Arka Pal, Christopher Burgess, Xavier Glorot, Matthew Botvinick, Shakir
Mohamed, and Alexander Lerchner. “β-VAE: LEARNING BASIC VISUAL CONCEPTS WITH A
CONSTRAINED VARIATIONAL FRAMEWORK,” 2017, 22.
Hsu, Wei-Ning, Yu Zhang, and James Glass. “Learning Latent Representations for Speech Generation and
Transformation.” ArXiv:1704.04222 [Cs, Stat], April 13, 2017. http://arxiv.org/abs/1704.04222.
———. “Unsupervised Learning of Disentangled and Interpretable Representations from Sequential Data.”
ArXiv:1709.07902 [Cs, Eess, Stat], September 22, 2017. http://arxiv.org/abs/1709.07902.
Kim, Hyunjik, and Andriy Mnih. “Disentangling by Factorising.” ArXiv:1802.05983 [Cs, Stat], February 16,
2018. http://arxiv.org/abs/1802.05983.
Kingma, Diederik P., and Max Welling. “Auto-Encoding Variational Bayes.” ArXiv:1312.6114 [Cs, Stat],
December 20, 2013. http://arxiv.org/abs/1312.6114.
Oord, Aaron van den, Oriol Vinyals, and Koray Kavukcuoglu. “Neural Discrete Representation Learning.”
ArXiv:1711.00937 [Cs], November 2, 2017. http://arxiv.org/abs/1711.00937.

Variational autoencoders for speech processing d.bielievtsov dataconf 21 04 18

  • 1.
    Variational Autoencoders forSpeech Dmytro Bielievtsov 2018
  • 2.
  • 3.
  • 4.
    Generative models Generative modelsmodel the distribution of high-dimensional objects like images, audio, etc. They model these distributions either by allowing you to sample from the distribution or by computing likelihoods Three families of generative model dominate the deep learning landscape today: autoregressive, GANs, and VAEs
  • 5.
    Generative model comparison Autoregressivemodels can be very accurate (WaveNet) but are slow to generate (but cf. Distilled WaveNet), and produce no latent representation of the data GANs produce a latent representation of the data but are finicky to train and don’t give likelihoods (at least in their pure form) VAEs lack the disadvantages of autoregressive models and GANs, but in their basic form are prone to producing blurry samples
  • 6.
    Disentangled representations Each latentcontrols one “factor of variation”. You don’t have one latent controlling, e.g., pitch + volume and another pitch - volume The factor of variation each latent controls is independent of the setting of the other latents
  • 7.
  • 8.
  • 9.
    Latent variable models,easy things to do Drawing samples is easy: z ∼ pθ(z), x ∼ pθ(x | z) As is computing joint likelihoods
  • 10.
    Latent variable models,hard things to do To train the model, we need to maximize pθ(x) We also need pθ(x) if we want to find likelihoods of samples To find latent codes of samples (e.g., to do morphing), we need to know pθ(z | x) Unfortunately, pθ(x) and pθ(z | x) are intractible
  • 11.
    Latent variable models,intractable integrals pθ(x) = pθ(z)pθ(x | z) dz pθ(z | x) = pθ(z)pθ(x | z)/pθ(x) Since z is high-dimensional, pθ(x) and pθ(z | x) are intractable By the way, from now on we will drop θ from our notation for less clutter
  • 12.
    The idea ofan encoder For fixed x, for almost all values of z, p(z | x) will be very nearly zero If we could somehow train a network to approximate p(z | x), maybe we could estimate p(x) much more efficiently by sampling z values that are likely to generate something close to x
  • 13.
  • 14.
    The encoder network Insteadof using fixed variances, as with the decoder network, the encoder network also produces variances Intuitively, we want the network to find an efficient representation of the data, so we penalize it for outputting very small variances
  • 15.
    The fundamental VAEequation Start with the definition of KL-divergence and then use Bayes’ Law: D (q(z | x) p(z | x)) = Ez∼q(z|x)[log q(z | x) − log p(z | x)] = Ez∼q(z|x)[log q(z | x) − log p(x | z) − log p(z)] + log p(x) Rearranging terms and using the definition of KL-divergence, OELBO := log p(x) − D (q(z | x) p(z | x)) = Ez∼q(z|x)[log p(x | z)] tractable to optimize − D (q(z | x) p(z)) tractable to optimize
  • 16.
    Recap pθ(x | z):= N(x | fθ(z), σ2 I) p(z) := N(z | 0, I) qφ(z | x) := N(x | gφ(x), diag(hφ(x)) OELBO(x; θ, φ) := Ez∼qφ(z|x)[log pθ(x | z)] − D (qφ(z | x) p(z))
  • 17.
    A picture, andthe reparameterization trick
  • 18.
    Interpretability of latentvariables Latent variables produced by vanilla VAE’s are usually meaningless when considered individually. Adapted from Higgins et al. 2017
  • 19.
    Disentangling variables Simple approachesto encourage disentangled latent variables: β-VAE factor-VAE
  • 20.
    Disentangling variables: β-VAE Originalobjective function (ELBO): OELBO = Ez∼q(z|x)[log p(x | z)] − D (q(z | x) p(z))
  • 21.
    Disentangling variables: β-VAE Originalobjective function (ELBO): OELBO = Ez∼q(z|x)[log p(x | z)] − D (q(z | x) p(z)) New objective function: Oβ = Ez∼q(z|x)[log p(x | z)] − β D (q(z | x) p(z))
  • 22.
  • 23.
    Disentangling variables: factor-VAE Uponcloser inspection, β-VAE creates some tradeoff between disentanglement and reconstruction: β-VAE objective: Oβ = Ez∼q(z|x)[log p(x | z)] − β D (q(z | x) p(z))
  • 24.
    Disentangling variables: factor-VAE Uponcloser inspection, β-VAE creates some tradeoff between disentanglement and reconstruction: β-VAE objective: Oβ = Ez∼q(z|x)[log p(x | z)] − β D (q(z | x) p(z)) Let’s look closer at that regularizer: Ex∼pdata(x)[D (q(z | x) p(z))] = Ienc(x; z) + D (q(z) p(z))
  • 25.
    Disentangling variables: factor-VAE Uponcloser inspection, β-VAE creates some tradeoff between disentanglement and reconstruction: β-VAE objective: Oβ = Ez∼q(z|x)[log p(x | z)] − β D (q(z | x) p(z)) Let’s look closer at that regularizer: Ex∼pdata(x)[D (q(z | x) p(z))] = Ienc(x; z) + D (q(z) p(z)) We don’t want to hurt that mutual information term!
  • 26.
    Disentangling variables: factor-VAE Yetanother variation on the ELBO objective: Oγ = OELBO − γD (q(z) ¯q(z))
  • 27.
    Disentangling variables: factor-VAE Yetanother variation on the ELBO objective: Oγ = OELBO − γD (q(z) ¯q(z)) Adapted from Kim et al. 2018
  • 28.
    Disentangling variables: factor-VAE Yetanother variation on the ELBO objective: Oγ = OELBO − γD (q(z) ¯q(z)) Adapted from Kim et al. 2018
  • 29.
    VQ-VAE, quick look Adaptedfrom Oord et al. 2017
  • 30.
    References Doersch, Carl. “Tutorialon Variational Autoencoders.” ArXiv:1606.05908 [Cs, Stat], June 19, 2016. http://arxiv.org/abs/1606.05908. Higgins, Irina, Loic Matthey, Arka Pal, Christopher Burgess, Xavier Glorot, Matthew Botvinick, Shakir Mohamed, and Alexander Lerchner. “β-VAE: LEARNING BASIC VISUAL CONCEPTS WITH A CONSTRAINED VARIATIONAL FRAMEWORK,” 2017, 22. Hsu, Wei-Ning, Yu Zhang, and James Glass. “Learning Latent Representations for Speech Generation and Transformation.” ArXiv:1704.04222 [Cs, Stat], April 13, 2017. http://arxiv.org/abs/1704.04222. ———. “Unsupervised Learning of Disentangled and Interpretable Representations from Sequential Data.” ArXiv:1709.07902 [Cs, Eess, Stat], September 22, 2017. http://arxiv.org/abs/1709.07902. Kim, Hyunjik, and Andriy Mnih. “Disentangling by Factorising.” ArXiv:1802.05983 [Cs, Stat], February 16, 2018. http://arxiv.org/abs/1802.05983. Kingma, Diederik P., and Max Welling. “Auto-Encoding Variational Bayes.” ArXiv:1312.6114 [Cs, Stat], December 20, 2013. http://arxiv.org/abs/1312.6114. Oord, Aaron van den, Oriol Vinyals, and Koray Kavukcuoglu. “Neural Discrete Representation Learning.” ArXiv:1711.00937 [Cs], November 2, 2017. http://arxiv.org/abs/1711.00937.