DISCOVER . LEARN . EMPOWER
AU4-UNIVERSITY INSTITUTE OF
ENGINEERING
COMPUTER SCIENCE ENGINEERING
22SMT-121 MATHEMATICS-1
22BCS401, 22BCS402 & 22BCS416
DISCOVER . LEARN . EMPOWER
Dr. P. BASKER, M.Sc., M.Phil., Ph.D.,
(Teaching Experience: 13 Years & 2 Months)
ASSOCIATE PROFESSOR OF MATHEMATICS
Academic Unit-4
University Institute of Engineering
Chandigarh University
Punjab-140 413.
MATRICES
UNIT - I
Matrices, Types of Matrices: Orthogonal Matrices, Rank of
matrices, Elementary transformation, reduction to normal
form, Consistency and solution of homogenous and non-
homogeneous algebraic equations, Eigen values & Eigen
Vectors, Linear dependence and independence of vectors,
Cayley Hamilton Theorem (without proof).
Syllabus for UNIT-I : MATRICES
A matrix is a Rectangular Array (or)
Arrangement of Entries (or) Elements
displayed in Rows and Columns put within a
Square Bracket [ ]
In general, the entries of a matrix may be Real or Complex
Numbers or Functions of one variable (such as Polynomials,
Trigonometric functions or a combination of them) or more
variables or any other object.
Usually, matrices are denoted by CAPITAL LETTERS A, B, C, ... etc
1. Matrices
General form of a Matrix
General form of a Matrix
Note: m and n are positive integers
Examples of a Matrix
In a matrix,
•HORIZONTAL LINES of elements
are known as ROWS
•VERTICAL LINES of elements are
known as COLUMNS.
Thus
A has 3 rows and 3 columns,
B has 3 rows and 4 columns, and
C has 4 rows and 3 columns
Order of a Matrix
Generally, a MATRIX is nothing but a Rectangular Array of
objects.
These matrices can be Visualised in Day-To-Day
Applications where we use matrices to represent a Military
Parade, School Assembly, Vegetation, Class room etc.
1. APPLICATIONS OF MATRICES
Vegetation
Military Parade
School Assembly
Classroom
13
Engineering & Technology
In Cryptography: In encryption, we use it to very sensitive data for
security purposes to Encode And To Decode this data we need matrices.
There is a key that helps encode and decode data which is generated by
matrices.
In Animation: It can help make animations more PRECISE AND
PERFECT.
In Games Especially 3D: They use it to ALTER THE OBJECT, in 3D
space. They use the 3D Matrix to 2D Matrix to convert it into the different
objects as per requirement.
14
Engineering & Technology
In IT companies: Use Matrices as Data Structures to Track
User Information, perform Search Queries, and Manage
Databases. In the world of information security, many systems
are designed to work with matrices.
Matrices are very important and absolutely
necessary in handling system of linear equations which
arise as mathematical models of real-world problems.
Mathematicians Gauss, Jordan, Cayley, and
Hamilton have developed the THEORY OF MATRICES
which has been used in investigating solutions of
Systems of Linear Equations.
Example:
18
TYPES OF MATRICES
Row Matrix
A matrix having only one row is called a row matrix.
19
Column Matrix
A matrix having only one column is called a column matrix.
20
Zero Matrix
21
Square Matrix
22
Principle diagonal
23
Diagonal Matrix
24
Scalar Matrix
25
Unit Matrix
26
Upper Triangular Matrix
27
Lower Triangular Matrix
28
Triangular Matrix
29
Problems based on Matrix Addition,
Subtraction and Multiplication
Problem-1
30
Problem-2
31
Problem-3
32
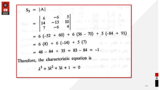
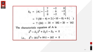
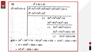
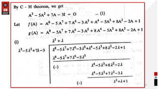
Characteristic Equations
2. CAYLEY HAMILTON THEOREM
33
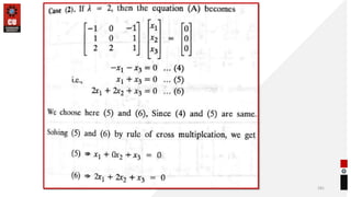
Problem-1
Solution:
34
Problem-2
Solution:
35
36
Home Works
37
Cayley Hamilton Theorem
Statement:
Every Square matrix satisfies its own characteristic equations
38
Uses of Cayley Hamilton Theorem
1. To calculate the positive integral power of matrix A.
2. To calculate the inverse of a non-singular matrix A.
39
Problem-3
40
41
42
Problem-4
Verify Cayley Hamilton Theorem find 𝐴4
and 𝐴−1
when
43
44
45
46
47
48
49
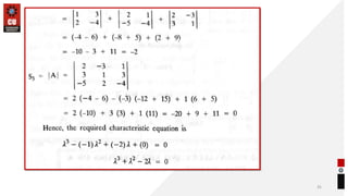
Problem-5
50
51
52
53
Problem-6
54
55
56
57
Problem-7
58
59
60
61
62
63
Problem-8
64
65
66
67
68
Home Work
69
70
71
3. ORTHOGONAL MATRICES
Definition:
72
Orthogonal Matrix Properties
 We can get the orthogonal matrix if the given matrix
should be a square matrix.
 The orthogonal matrix has all real elements in it.
 All identity matrices are orthogonal matrices.
 The product of two orthogonal matrices is also an
orthogonal matrix.
 The collection of the orthogonal matrix of order n x n,
in a group, is called an orthogonal group and is
denoted by ‘O’.
73
 The transpose of the orthogonal matrix is also orthogonal.
Thus, if matrix A is orthogonal, then is AT is also an
orthogonal matrix.
 In the same way, the inverse of the orthogonal matrix,
which is A-1 is also an orthogonal matrix.
 The determinant of the orthogonal matrix has a value of ±1.
 It is symmetric in nature
 If the matrix is orthogonal, then its transpose and inverse
are equal
 The eigenvalues of the orthogonal matrix also have a value
of ±1, and its eigenvectors would also be orthogonal and
real.
74
Problem-1
Solution:
Hence,
A is an orthogonal
matrix.
75
Problem-2
76
Problem-3
77
Problem-4
78
79
Problem-5
80
81
Home Work
82
4. ELEMENTARY TRANSFORMATIONS
83
Problem-1
84
85
Problem-2
86
Solution:
87
Home Work
Reduce the following matrices into an identity matrix.
1.
2.
88
5. REDUCTION TO NORMAL FORM
89
Problem-1
90
Solution:
91
92
93
94
95
Problem-2
96
Solution:
97
98
99
100
101
102
Problem-3
103
Answer
104
Problem-4
Reduce to normal form of the
following matrix
105
RANK OF A MATRIX BY NORMAL FORM
6. RANK OF A MATRIX
106
RANK OF A MATRIX BY NORMAL
FORM
The number 𝑟 so obtained is called the rank of a 𝐴, and we write 𝜌 𝐴 = 𝑟.
107
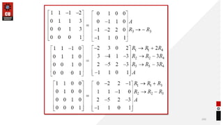
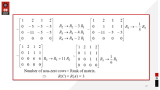
Problem-1
Reduce the matrix A to its normal form, and hence find rank of 𝐴.
108
Solution:
109
110
111
112
To find rank of 𝑨:
We know that, The number 𝑟 so obtained is called the rank of a 𝐴, here
𝑟 = 3
∴ 𝜌 𝐴 = 𝑟 = 3.
113
Problem-2
114
Solution:
115
116
117
118
119
To find rank of 𝑨:
We know that, The number 𝑟 so
obtained is called the rank of a 𝐴,
here 𝑟 = 3
∴ 𝜌 𝐴 = 𝑟 = 3.
120
Problem-3
121
Answer
The rank of 𝐴 is 𝜌 𝐴 = 𝑟 = 3.
122
RANK OF A MATRIX BY TRIANGULAR FORM
123
Problem-1
124
Solution:
Rank = Number of non zero rows = 2.
125
Problem-2
Use elementary transformation to reduce the following matrix 𝐴
to triangular from and hence find the rank of 𝐴.
126
Solution:
127
128
RANK OF A MATRIX BY DETERMINANT METHOD
129
Problem 1:
130
Solution:
131
132
Problem 2:
133
Solution:
134
Home Work for Practice
135
7. CONSISTENCY AND SOLUTION OF
LINEAR ALGEBRAIC EQUATIONS
136
Consistency of a system of linear
equations
137
138
Problem-1
139
140
Problem-2
141
142
143
144
Problem-3
145
146
147
Problem-4
148
149
150
Problem-5
151
152
153
154
Problem-6
155
156
157
Home Work
158
8. HOMOGENEOUS EQUATIONS
159
160
Problem-1
161
162
Problem-2
163
164
165
Working Procedure
9. EIGEN VALUES AND EIGEN VECTORS
166
Problem-1
Non-Symmetric Matrices with Non-Repeated Eigenvalues
167
168
169
170
171
172
173
174
175
Problem-2
176
177
178
179
180
181
182
183
184
185
Non-Symmetric Matrices with Repeated Eigenvalues
Problem-1
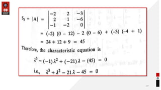
Find all the Eigen values and Eigen vectors of the Matrix
−2 2 −3
2 1 −6
−1 −2 0
186
Solution:
Given:
−2 2 −3
2 1 −6
−1 −2 0
187
188
189
190
191
192
193
194
195
196
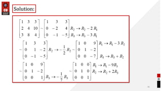
Problem-2
197
198
199
200
201
202
203
Symmetric Matrices with Non-Repeated Eigenvalues
Problem-1
204
205
206
207
208
209
210
211
Symmetric Matrices with Repeated Eigenvalues
Problem-1
212
213
214
215
216
217
218
219
220
Home Work
221
222
223
10. LINEAR DEPENDENCE AND INDEPENDENCE
OF VECTORS
224
Problem-1
Examine the following vectors for linear dependence and
find the relation if it exists.
225
226
227
228
Problem-2
229
230
231
232
233
Problem-1
234
235
236
237
Problem-2
238
Problem-3
239
240
241
Home Work
242
11. MATRIX INVERSION METHOD TO
FIND THE INVERSE OF A MATRIX
The elementary transformations are to be
transformed so that the property of being
symmetric is preserved.
This requires that the transformations occur in
pairs, a row transformation must be followed
immediately by the same column transformation.
243
Problem-1
244
245
246
247
Problem-2
248
249
250
251
252
Home Work
1
2
3

UNIT-1 MATRICES (All the Topics).pdf