UNIT - I
Base Band Transmission
*Digital Communication
*Contents..
* Base band transmission
* Wave form representation of binary digits
* PCM, DPCM, DM, ADM systems
* Detection of signals in Gaussian noise
* Matched filter - Application of matched filter
* Error probability performance of binary signaling
* Multilevel base band transmission
* Inter symbol interference
* Eye pattern
* Companding
* A law and μ law
* Correlation receiver
*Base Band Transmission
Block Diagram
Information
source and input
transducer
Source
Encoding
Channel
Encoding
Carrier
Digital
Modulator
Information
source and input
transducer
Source
Encoding
Channel
Encoding
Carrier
Digital
Modulator
Transmitte
r
Receiver
Analog or
Digital
Digital Signal
as output
*Functions of Block Diagram
*Information source and input transducer
*Non electrical signal into electrical signal
*(Audio, Video, Image etc. to Voltage )
* May be Analog or Digital
*Cont..
*Source Encoding – ( Digital Signal as output)
*(Source Code - 010101) (6 bits)
*It is used to reduce the redundancy bits
*It is utilized to use Bandwidth effectively
input type
* Analog –
 PCM – Pulse Code Modulation
 DM – Delta Modulation
 ADM – Adaptive Delta Modulation
* Digital (Data Compression )
 Huffman Coding
 Shannon Fano Coding
*Cont..
*Source Encoding – ( Digital Signal as output)
*Sampling
Sampling is defined as, “The process of measuring the instantaneous
values of continuous-time signal in a discrete form
*Different level of Sampling
*Different level of Sampling
*Different level of Quantizer
Quantization is representing the sampled values of the amplitude by a finite
set of levels, which means converting a continuous-amplitude sample into a
discrete-time signal.
*Different level of Quantizer
*Cont..
*Channel Encoding
*(Channel Code – 111010101) (9 bits)
*It is used to provide noise immunity to the system
*By adding redundancy bit
*eg:-
*Block Code
*Cyclic Code
*Convolution Code
*Cont..
*Digital Modulator
*Convert low frequency signal into high frequency modulated signal
* ASK
* FSK
* PSK
*Receiver section is opposite to transmitter section
*Advantage
*Storing Capability
*Large Data can store in small disk (Memory)
*Inexpensive
*(Cost is less )
*Privacy and security through encryption
*Advantage
*Use of repeaters
*(to regenerate signals without loss)
*Advantage
*Data compression, error detection and error correction is
possible
*(1010101 - 10101)
*(10101 – 10100 - 10101)
*Flexible hardware implementation
*(Eg – VLSI tech.)
*Faster and efficient multiplexing by TDMA and CDMA
*Disadvantage
* Bandwidth is high for channel
* Synchronization is compulsory
* High power consumption due to multiple stages
* Complex circuit
*Block Diagram
*Formatting and Transmission of Baseband
Signal
*Format Analog Signals
* To transform an analog waveform into a form that is
compatible
* with a digital communication, the following steps are
taken:
* Sampling
* Quantization and encoding
* Baseband transmission
*Baseband Transmission
Line codes: (a) Bits, (b) NRZ, (c) NRZI,
(d) Manchester, (e) Bipolar or AMI.
*Bandpass Transmission
(a) Binary signal. (b) Amplitude shift keying.
(c) Frequency shift keying. (d) Phase shift keying.
*Bandpass Transmission
(a) QPSK. (b) QAM-16. (c) QAM-64.
*Waveform representation of binary digits
* Using PCM, analog waveforms are transformed into binary
digits.
* Binary digits will be represented with electrical pulse in
order to transmit through a baseband channel.
*Waveform representation of binary digits
Code word is a 4 bit representation of each quantized sample.
*Pulse Code Modulation And Demodulation
* Pulse code modulation is a method that is used to convert
an analog signal into a digital signal, so that modified analog
signal can be transmitted through the digital communication
network.
* PCM is in binary form, so there will be only two possible states
high and low (0 and 1).
* (We can also get back our analog signal by demodulation)
* The Pulse Code Modulation process is done in three steps
* Sampling,
* Quantization and
* Coding.
* There are two specific types of pulse code modulations such as
differential pulse code modulation (DPCM) and adaptive
differential pulse code modulation (ADPCM)
*PCM Standard
*There are two standards of PCM namely
* The European Standard
* The AmericanStandard
*They differ slightly in the detail of their working but the
principles are the same.
* European - PCM = 30 channels
* North American - PCM = 24 channels
* Japanese - PCM = 24 channels
*In India we follow the European PCM of 30 channels system
working.
*PCM Standard
*PCM Standard
*Difference between PCM24 and PCM30
systems.
Specifications PCM24 PCM30
Sampling Frequency (KHz) 8 8
Duration of time slot (µS) 5.2 3.9
Bit Width (µS) 0.65 0.49
Bit Transfer Rate (Mbps) 1.544 2.048
Frame Period (µS) 125 125
No. of bits per word 8 8
Multiframe period (ms) 1.5 2
Frame alignment signal in Odd frames Even Frames
*PCM - Block Diagram
Transmitter
source of
continuous
message
PCM
Signal
Low
pass
Filter
Sampler Quantizer Encoder
Message Channel
Input
Reconstruction
Filter Circuit
Decoder
Regeneration
Circuit
Regeneration
Circuit
Regeneration
Circuit
Regenerated
PCM signal
applied to the
receiver
Distorted PCM
signal produced
at channel output
Transmission path
Receiver
*Conversion
In sampling we are using PAM sampler that is Pulse Amplitude Modulation sampler
which converts continuous amplitude signal into Discrete - time- continuous signal
(PAM pulses).
The difference between the original analog signal and the translated digital signal is called
quantizing error.
Sampling Quantizing Encoding
Discretize time Discretize value Digitize value
*Nyquist rate
An analog signal of bandwidth B Hz can be completely reconstructed from its
samples by filtering if the sampling rate is larger than 2B samples per second
fS > 2B, T < 1/2B
2B is called Nyquist rate
If a signal is sampled at regular intervals at a rate higher than twice the highest
signal frequency, the samples contain all the information of the original signal
• Voice data limited to below 4000 Hz
• Require 8000 samples per second
• Analog samples called PAM
• Pulse amplitude modulation
*Conversion
*Sampling
* Analog signal is sampled every TSsec.
* Tsis referred to as the sampling interval (time).
* fs= 1/Tsis called the sampling rate or sampling frequency.
There are 3 sampling methods:
*Ideal - an impulse at each sampling instant
*Natural - a pulse of short width with varying amplitude
*Flattop - sample and hold, like natural but with single amplitude value
*Types of Sampling
*Quantizing
 The process of measuring the numerical values of the samples in
a suitable scale
 The finite number of amplitude intervals is called the „quantizing
interval‟ like quantizing interval.
 Quantization intervals are coded in binary form, and so the
quantization intervals will be in powers of 2.
 In PCM, 8 bit code is used and so we have 256 intervals for
quantizing (128 levels in the positive direction and 128 levels in
negative direction).
*Encoder
The digitization of analog signal is done by the encoder. It designates
each quantized level by a binary code. The sampling done here is the
sample-and-hold process.
These three sections LPF, Sampler, and Quantizer LPF, Sampler, and
Quantizer will act as an analog to digital converter. Encoding
minimizes the bandwidth used.
*PCM – Encoding
*Regenerative Repeater
This section increases the signal strength. The output of the channel
also has one regenerative repeater circuit, to compensate the signal
loss and reconstruct the signal, and also to increase its strength.
The decoder circuit decodes the pulse coded waveform to reproduce
the original signal. This circuit acts as the demodulator.
*Decoder
*Reconstruction Filter
*After the digital-to-analog conversion is done by the regenerative
circuit and the decoder, a low-pass filter is employed, called as the
reconstruction filter to get back the original signal.
*Hence, the Pulse Code Modulator circuit digitizes the given analog
signal, codes it and samples it, and then transmits it in an analog
form. This whole process is repeated in a reverse pattern to obtain
the original signal.
*Bit Rate And Bandwidth Requirements of
PCM
*The bit rate of a PCM signal can be calculated form the number of
bits per sample x sampling rate
*Bit rate = nbx fs
*The bandwidth required to transmit this signal depends on the
type of line encoding used.
*A digitized signal will always need more bandwidth than the
original analog signal. Because of robustness and other features of
digital transmission.
*PCM Advantages
*The PCM signal is more resistant to interference than normal signal.
*Analog signal can be transmitted over a high - speed
digital communication system.
- Uniform Transmission Quality
*Probability of occurring error will reduce by the use of appropriate coding
methods.
- Good Performance over Very poor Transmission Paths
*PCM is used in Telecom system, digital audio recording, digitized video
special effects, digital video, voice mail.
- Compatibility of different classes of Traffic in the Network
*PCM is also used in Radio control units as transmitter and also receiver for
remote controlled cars, boats, planes.
- Low Manufacturing Cost
*Disadvantages
 Large Bandwidth required for Transmission
 Noise and crosstalk leaves low but rises attenuation
 An integrated Digital network can only be realized be a gradual
extension of Noise
*What is Line Coding?
*A line code is the code used for data transmission of a digital signal
over a transmission line.
*This process of coding is chosen so as to avoid overlap and distortion
of signal such as inter-symbol interference.
*Mapping of binary information sequence that enters the channel.
*Ex. “1” maps to +A pulse; “0” to –A pulse
 Information: Fundamentally discrete in nature.
 Transmitted over band-limited channel: Signal gets Dispersed.
 Causes: Overlap and Distortion.
 Distortion: Intersymbol Interference(ISI).
*Introduction to line coding
• Binary Data: 1 and 0
• Line Coding: A group of binary data to represent symbols.
There are 2 major categories: return–to–zero (RZ) and nonreturn–to–zero (NRZ).
With RZ coding, the waveform returns to a zero–volt level for a portion (usually one–half)
of the bit interval.
*Why Line Coding?
*Line code selected to meet system requirements:
*Transmitted power : Power consumption
*Bit timing : Transitions in signal help timing
recovery
*Bandwidth efficiency : Reduce excessive transitions wastes
*Low frequency content : Some channels block low frequencies
*long periods of +A or of –A causes signal to “droop”
*Waveform should not have low - frequency content
*Error detection : Ability to detect errors
*Complexity/cost : Code implementable in chip at high
speed?
*Properties of Line Coding:
* Transmission Bandwidth: more bits transmit on a single signal
* Power Efficiency: given BWand probability of error
* Error Detection and Correction capability:
* Favorable power spectral density: dc=0
* Adequate timing content: Extract timing from pulses
* Transparency: Prevent of 0s or 1s
*Types of Line Coding:
Signal Types
1. Non-Return to Zero (NRZ)
2. Return to Zero (RZ)
*Types of Line Coding:
*Signaling:
• NRZ – L – Non Return to Zero - Level
• NRZ – M – Non Return to Zero - Mark (0no change, 1  change)
• NRZ – S – Non Return to Zero - Space (1no change, 0  change)
*Signaling:
• Bipolar Return to Zero
• AMI – Alternate Mark Inversion (zero  zero, 1 alternating pulse)
*Unipolar & Polar
Non-Return-to-Zero (NRZ)
Unipolar NRZ (Single voltage)
(On-Off keying (i.e. OOK)
• “1” maps to +A pulse
• “0” maps to no pulse
• Long strings of A or 0
– Poor timing
– Low-frequency content
• Simple
Polar NRZ (Two voltage)
• “1” maps to +A/2 pulse
• “0” maps to –A/2 pulse
• Long strings of +A/2 or –A/2
– Poor timing
– Low-frequency content
• Simple
1 0 1 0 1 1 0 01
Unipolar NRZ
Polar NRZ
*Unipolar Non-Return to Zero (NRZ):
• Duration of the MARK pulse (Ƭ ) is equal to the duration (To)of the
symbol slot. A Low in data input has no pulse.
*Unipolar NRZ
*Advantages:
•Simple in implementation
•Require a less bandwidth for transmission.
*Disadvantages:
•Presence of DC level (indicated by spectral line at 0 Hz).
•Contains low frequency components. Causes “Signal Droop”
•Does not have any error correction capability.
•Does not possess any clocking component for synchronization.
*Unipolar Return to Zero (RZ):
A High in data, though represented by a Mark pulse, its
duration T0 is less than the symbol bit duration.
Half of the bit duration remains high but it immediately returns to
zero and shows the absence of pulse during the remaining half of the
bit duration.
*Unipolar RZ
Advantages:
• Simple in implementation
• spectral line present at the symbol rate can be used as a clock.
Disadvantages:
* No error correction.
* Occupies twice the bandwidth as unipolar NRZ.
* The signal droop is caused at the places where signal is non-
zero at 0 Hz.
*droop
*droop
*Polar NRZ
Non-Return-to-Zero (NRZ):
In polar NRZ encoding, we use two levels of voltage amplitude.
 In this type of Polar signaling, a High in data is represented by a
positive pulse, while a Low in data is represented by a negative
pulse.
 If there is no change, the bit is 0; if there is a change, the bit is 1.
*Polar
*Polar NRZ
Advantages
*It is simple.
*No low-frequency components are present.
Disadvantages
*Receiver decision is biggest problrm
*No error correction.
*No clock is present.
*The signal droop is caused at the places where the signal is non-zero at 0 Hz.
*Polar RZ
Return-to-Zero (RZ):
*The main problem with NRZ encoding occurs when the sender and receiver
clocks are not synchronized. The receiver does not know when one bit has ended
and the next bit is starting.
*One solution is the return-to-zero (RZ) scheme, which uses three values: positive,
negative, and zero.
*In RZ, the signal changes not between bits but during the bit. In the following
figure, we see that the signal goes to 0 in the middle of each bit.
*It remains there until the beginning of the next bit. Proper synchronization.
*Polar RZ
Dis. Adv. : Occupies twice the bandwidth of Polar NRZ.
*Bipolar Code
• In bipolar encoding (sometimes called multilevel binary), there are
three voltage levels (1, 0, -1),
– positive,
– negative and
– zero.
• Even in this method, we have two types.
Bipolar NRZ
Bipolar RZ
• The voltage level for one data element is at zero, while the voltage
level for the other element alternates between positive and
negative.
*Bipolar Code
• Three signal levels: {-A, 0, +A}
• “1” maps to +A or –A in alternation
• “0” maps to no pulse
– Every +pulse matched by –pulse so little content at low frequencies
• String of 1s produces a square wave
1 0 1 0 1 1 0 01
Bipolar
Encoding
*Bipolar Code
*Bipolar Code
Advantages
• It is simple.
• No low-frequency components are present.
• Occupies low bandwidth than unipolar and polar NRZ
schemes.
• This technique is suitable for transmission over AC coupled
lines, as signal drooping doesn‟t occur here.
• A single error detection capability is present in this.
Disadvantages
• No clock is present.
• Long strings of data causes loss of synchronization.
*Split Phase Manchester
• In Manchester encoding, the duration of the bit is divided into two halves.
• The voltage remains at one level during the first half and moves to the other
level during the second half.
A ‘One’ is +ve in 1st half and -ve in 2nd half.
A ‘Zero’ is -ve in 1st half and +ve in 2nd half.
Note: Some books use different conventions.
1
0
-ve
0
+ve
+ve
0
-ve
*Split Phase Manchester
1 0 1 1 0 0 1 0
1 1
 has transition in middle of each bit period
 used by IEEE 802.3 (Ethernet) LAN standard
*Split Phase Manchester
 Advantages
 synchronization on mid bit transition (self clocking codes)
 has no dc component
 has error detection capability (the absence of an expected transition can be
used to detect errors)
 Disadvantages
 at least one transition per bit time and possibly two
 maximum modulation rate is twice NRZ
 requires more bandwidth
elementssignalperbitsofnumberL
bpsRateDataRbaudrateModulationD
L
R
D
:
];[,:];[,:

*Differential Coding
*Comparison
Code Bandwidth Timing DC value
Unipolar NRZ Low bandwidth
No timing
information
High DC
component
Bipolar NRZ Lower bandwidth
No timing
information
No DC component
Differential NRZ Lower bandwidth
No timing
information
Little or no DC
component
Manchester High bandwidth
Good clock
recovery
No DC component
Differential
Manchester
Moderate
bandwidth
Good clock
recovery
No DC Component
*Companding
*The word Companding is a combination of Compressing and
Expanding, which means that it does both.
*This is a non-linear technique used in PCM which compresses the
data at the transmitter and expands the same data at the receiver.
* The effects of noise and crosstalk are reduced by using this
technique.
*There are two types of Companding techniques.
*They are −
*A-law Companding Technique
*µ-law Companding Technique
*PCM – Companding
Compress Channel Expand
Input
signal
Outpu
t
signal
Si Sx Sy So
m
Compressor
Si
Sx
m
Channel
Sy
Sx
Expander
Sy
So
*Companding in PCM
A-law Companding Technique
*Uniform quantization is achieved at A = 1, where the characteristic curve is
linear and no compression is done.
*A-law has mid-rise at the origin.
*Hence, it contains a non-zero value.
*A-law companding is used for PCM telephone systems.
µ-law Companding Technique
*Uniform quantization is achieved at µ = 0, where the characteristic curve is
linear and no compression is done.
*µ-law has mid-tread at the origin.
*Hence, it contains a zero value.
*µ-law companding is used for speech and music signals.
*µ-law is used in North America and Japan.
*DPCM Transmitter
*The DPCM Transmitter consists of
*Quantizer and
*Predictor with
*two summer circuits.
*DPCM Transmitter
*When the input is sampled at the rate higher than the nyquist rate,
the successive samples become more correlated.
*Their exist a very little difference between the amplitude with
successive samples.
*When all these samples are quantized and encoded their exist more
redundant bit during transmitted signal.
*But in DPCM, to achieve more compression, the redundant
information is reduced in transmitting
*Transmitting only the quantized error (i.e. difference between the
successive samples ).
*Sampling levels
*Quantizing levels
*More levels more number of bits
*Eg 28 = 10101010
* (256 levels)
• Less levels less number of bits
– Eg 25 = 10101
– (32 levels )
*Quantization Error
What is quantitation error?
*For any system, during its functioning, there is always a difference
in the values of its input and output.
*The processing of the system results in an error, which is the
difference of those values.
*The difference between an input value and its quantized value is
called a Quantization Error.
*DPCM Transmitter
Encoder
DPCM
O/P
b(nTs)
*DPCM Transmitter
*The signals at each point are named as −
*x(nTs) - is the sampled input
*e(nTs) - is the difference of sampled input and predicted output,
often called as prediction error
*v(nTs) - is the quantized output
*u(nTs) - is the predictor input which is actually the summer output
of the predictor output and the quantizer output
*x^(nTs) - is the predicted sample
*The predictor produces the assumed samples from the previous outputs of the
transmitter circuit. The input to this predictor is the quantized versions of the
input signal x(nTs)x(nTs).
*DPCM Transmitter
*Quantizer Output is represented as −
* v(nTs) = Q (e(nTs)) = e(nTs)+qe(nTs) - 1
*Where qe(nTs) is the quantization error
*Predictor input is the sum of quantizer output and predictor output,
*e(nTs) = x(nTs) - x^(nTs) - 2
*u(nTs) = v(nTs) + x^(nTs) - 3
*u(nTs) = e(nTs) + qe(nTs) + x^(nTs)
*u(nTs) = x(nTs) - x^(nTs) + qe(nTs) + x^(nTs)
*u(nTs) = x(nTs) + qe(nTs) - 4
The same predictor circuit is used in the decoder to reconstruct the original input.
*DPCM Receiver
*The block diagram of DPCM Receiver consists of a decoder, a predictor, and a
summer circuit.
*In the absence of noise, the encoded receiver input will be the same as the
encoded transmitter output.
*the predictor assumes a value, based on the previous outputs. The input given to
the decoder is processed and that output is summed up with the output of the
predictor, to obtain a better output.
*The sampling rate of a signal should be higher than the Nyquist rate, to achieve
better sampling.
* If this sampling interval in Differential PCM is reduced considerably, the sample-
to-sample amplitude difference is very small, as if the difference is 1-bit
quantization, then the step-size will be very small i.e., Δ delta.
*DPCM Receiver
u(nTs)= v(nTs) + x^(nTs)
LPF
*Assume first order prediction filter
X(n) x^(n) = Xq (n-1) e(n) eq(n) u(nTs) = x^(nTs) + v(nTs)
2.1 0 2.1 2 0+2 = 2
2.2 2 0.2 0 2+0 =2
2.3 2 0.3 0 2+0 =2
2.6 2 0.6 1 2+1 = 3
2.7 3 -0.3 0 3+0 =3
2.8 3 -0.2 0 3+0 =3
e(n) = X(n) – X^(n)
Transmitted bit = 2, 0, 0,1, 0 , 0
*Receiver filter
eq(n) x^(n) = Xq (n-1) u(nTs) = x^(nTs) + eq(n)
2 0 0+2 = 2
0 2 2+0 =2
0 2 2+0 =2
1 2 2+1 = 3
0 3 3+0 =3
0 3 3+0 =3
e(n) = X(n) – X^(n)
Transmitted bit = 2, 0, 0,1, 0 , 0
PCM DPCM DM
All samples are
encoded
Difference
between the
consecutive
samples
Encoded the error signal
X(t) Vs X^(t)
Bandwidth saving 1 bit quantitation
*Comparison
• To reduce the transmitted bit 1 bit Quantizer is used in Delta Modulation.
*Delta Modulation
Where the sampling rate is much higher and the step size after quantization
is of a smaller value Δ, such a modulation is termed as delta modulation. It is also
known as 1-bit Quantizer.
Features of Delta Modulation
* An over-sampled input is taken to make full use of the signal correlation.
* The quantization design is simple.
* The input sequence is much higher than the Nyquist rate.
* The quality is moderate.
* The step-size is very small, i.e., Δ delta.
* Delta Modulation is a simplified form of DPCM technique, also viewed as 1-bit
DPCM scheme.
* As the sampling interval is reduced, the signal correlation will be higher.
*Delta Modulator
The Delta Modulator comprises of a 1-bit Quantizer and a delay circuit along with
two summer circuits.
*Delta Modulator
*From the above diagram, we have the notations as −
*x(nTs) = over sampled input
*ep(nTs) = summer output and quantizer input
*eq(nTs) = quantizer output = v(nTs)
*x^(nTs) = output of delay circuit
*u(nTs) = input of delay circuit
*Delta Modulator
*Using these notations, now we shall try to figure out the process of delta
modulation.
ep(nTs) = x(nTs)−x^(nTs) -eq. 1
𝑖𝑓 x(nTs) > x^(nTs) = ∆
else
x(nTs) < x^(nTs) = −∆
= x(nTs)−u([n−1]Ts)
= x(nTs)−[x^[[n−1]Ts]+v[[n−1]Ts]] -eq. 2
*Further,
v(nTs) = eq(nTs) -eq. 3
u(nTs) = xˆ(nTs)+eq(nTs)
*Delta Modulator
*Where,
x^(nTs) = the previous value of the delay circuit
eq(nTs) = Quantizer output = v(nTs)
*Hence,
u(nTs)=u([n−1]Ts)+v(nTs) ---------equation 4
Which means,
The present input of the delay unit
= The previous output of the delay unit
+ the present Quantizer output
*Delta Modulator
* A Stair-case approximated waveform will be the output of the
delta modulator with the step-size as delta (Δ).
* To get the original signal at the receiver, the received signal is
passed through the integrator followed by a LPF.
*Delta Modulation – Example
*Granular noise = (+ ∆, -∆, + ∆, −∆, + ∆, -∆,)
* we need to decrease the step size.
*Slope over distortion = (+ ∆, +∆, + ∆, +∆, + ∆, +∆) or (- ∆, −∆, − ∆, −∆, - ∆, −∆)
* we need to increase the step size.
*Delta Demodulator
* The delta demodulator comprises of a low pass filter, a summer, and a
delay circuit.
* The predictor circuit is eliminated here and hence no assumed input is
given to the demodulator.
A binary sequence will be given as an input to the demodulator. The stair-case
approximated output is given to the LPF.
*Advantages of DM Over DPCM
* 1-bit Quantizer
* Very easy design of the modulator and the demodulator
However, there exists some noise in DM.
* Slope Over load distortion (when Δ is small)
* Granular noise (when Δ is large)
*Adaptive Delta Modulation
* This Modulation is the refined form of delta modulation. This
method was introduced to solve the granular noise and slope
overload error caused during Delta modulation.
* This Modulation method is similar to Delta modulation except
that the step size is variable according to the input signal in
Adaptive Delta Modulation whereas it is a fixed value in delta
modulation.
*Adaptive Delta Modulation
* In Adaptive Delta Modulation, the step size of the staircase signal
is not fixed and changes depending upon the input signal. Here
first the difference between the present sample value and previous
approximation is calculated.
* This error is quantized i.e. if the present sample is smaller than the
previous approximation, quantized value is high or else it is low.
The output of the one-bit Quantizer is given to the Logic step size
control circuit where the step size is decided.
*Adaptive Delta Modulation
*Adaptive Delta Modulation
Step logic
control
*Adaptive Delta Modulation
∆𝒏 = ∆ 𝒏 − 𝟏 𝒆(𝒏) + ∆ 𝟎 𝒆(𝒏 − 𝟏)
𝒆(𝒏) = current step size value, n = current step value
e(n-1) = past step value
If error is positive send +1, if error is negative send -1
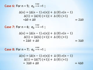
Case 1:
For n = 0; e0
+𝑣𝑒
+1;
∆ 0 = ∆0 𝑁𝑜 𝑃𝑎𝑠𝑡 𝑜𝑢𝑡𝑝𝑢𝑡
Case 2: if input signal is less than staircase signal then error (e0)is -ve.
For n = 1; e0
−𝑣𝑒
-1 ;
∆ 𝑛 = ∆ 𝑛 − 1 𝑒(𝑛) + ∆ 0 𝑒 𝑛 − 1
∆ 1 = ∆ 0 (−1) + ∆ 0 𝑒(+1)
= - ∆𝟎 + ∆0 = 0
*Adaptive Delta Modulation
Case 3: For n = 2; e0
−𝑣𝑒
-1 ;
∆ 𝑛 = ∆ 𝑛 − 1 𝑒(𝑛) + ∆ 0 𝑒 𝑛 − 1
∆ 1 = ∆ 1 (−1) + ∆ 0 (−1)
= - 𝟎 − ∆0 = −∆0
Case 4: For n = 3; e0
+𝑣𝑒
+1 ;
∆ 𝑛 = ∆ 𝑛 − 1 𝑒(𝑛) + ∆ 0 𝑒 𝑛 − 1
∆ 1 = ∆ 2 (+1) + ∆ 0 (−1)
= − ∆𝟎 − ∆0 = 0
Case 5: For n = 4; e0
+𝑣𝑒
+1 ;
∆ 𝑛 = ∆ 𝑛 − 1 𝑒(𝑛) + ∆ 0 𝑒 𝑛 − 1
∆ 1 = ∆ 3 (+1) + ∆ 0 (+1)
= 𝟎 + ∆0 = ∆0
Case 6: For n = 5; e0
+𝑣𝑒
+1 ;
∆ 𝑛 = ∆ 𝑛 − 1 𝑒(𝑛) + ∆ 0 𝑒 𝑛 − 1
∆ 1 = ∆ 4 (+1) + ∆ 0 (+1)
=∆0 + ∆0 = 2∆0
Case 7: For n = 6; e0
+𝑣𝑒
+1 ;
∆ 𝑛 = ∆ 𝑛 − 1 𝑒(𝑛) + ∆ 0 𝑒 𝑛 − 1
∆ 1 = ∆ 6 (+1) + ∆ 0 (+1)
= 2∆0 + ∆0 = 3∆0
Case 8: For n = 7; e0
+𝑣𝑒
+1 ;
∆ 𝑛 = ∆ 𝑛 − 1 𝑒(𝑛) + ∆ 0 𝑒 𝑛 − 1
∆ 1 = ∆ 7 (+1) + ∆ 0 (+1)
= 3∆0 + ∆0 = 4∆0
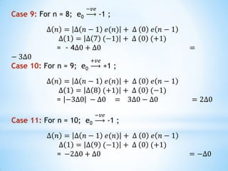
Case 9: For n = 8; e0
−𝑣𝑒
-1 ;
∆ 𝑛 = ∆ 𝑛 − 1 𝑒(𝑛) + ∆ 0 𝑒 𝑛 − 1
∆ 1 = ∆ 7 (−1) + ∆ 0 (+1)
= - 4∆0 + ∆0 =
− 3∆0
Case 10: For n = 9; e0
+𝑣𝑒
+1 ;
∆ 𝑛 = ∆ 𝑛 − 1 𝑒(𝑛) + ∆ 0 𝑒 𝑛 − 1
∆ 1 = ∆ 8 (+1) + ∆ 0 (−1)
= −3∆0 − ∆0 = 3∆0 − ∆0 = 2∆0
Case 11: For n = 10; e0
−𝑣𝑒
-1 ;
∆ 𝑛 = ∆ 𝑛 − 1 𝑒(𝑛) + ∆ 0 𝑒 𝑛 − 1
∆ 1 = ∆ 9 (−1) + ∆ 0 (+1)
= −2∆0 + ∆0 = −∆0
Parameters DM ADM
Number of bits Use one bit sample
Use one bit sample
Transmission
bandwidth
Low bandwidth is
required
Low bandwidth is
required
Level of step size
Step size is fixed, not
varied
Step size is varied
according to signal
variation
Quantization and
distortion
Slope over and granular Only quantization noise
Feedback
Feedback exist in
transmitter
Feedback exist
Complexity System is simple Include step logic control
*Inter Symbol Interference
* Transmission of digital data (bit stream) over a noisy
baseband channel typically suffers two channel imperfections
 Intersymbol interference (ISI)
 Background noise (e.g., AWGN)
* These two interferences/noises often occur simultaneously.
* However, for simplicity, they are often separately considered in
analysis.
 Matched filter is a device for the optimal detection of a digital pulse.
Because the impulse response of the matched filter matches the
pulse shape.
 System model without ISI channel
* Intersymbol interference (ISI) occurs when a pulse spreads out in
such a way that it interferes with adjacent pulses at the sample
instant.
* Example: assume polar NRZ line code. The channel outputs are
shown as spreaded (width Tb becomes 2Tb) pulses shown
(Spreading due to bandlimited channel characteristics).
Data 1
bT 0 bT0bT bT
Data 0
bT 0 bT0bT bT
Channel Input
Pulse width Tb
Channel Output
Pulse width Tb
*Matched Filter
• Transmission of digital data over a baseband transmission
(without modulation)
• Major problem in baseband transmission is
• Each received pulse is affected by adjacent pulse and give rise to
interference called ISI
• ISI is the major source of bit errors in the received data stream at
the receiver output.
Low pass channel
Dispersive in nature
Inter-Symbol Interference
(ISI)
* The matched filter is the optimal linear filter for maximizing the
signal to noise ratio (SNR) in the presence of additive stochastic
noise.
* Matched filters are commonly used in radar, in which a signal is
sent out, and we measure the reflected signals, looking for
something similar to what was sent out.
Application
* Matched filters are commonly used in radar,
* Two-dimensional matched filters are commonly used in image
processing,
*Matched Filter
*General representation for a matched filter
*Cont..
• The filter input x(t) consists of a pulse signal g(t) corrupted by additive channel
noise w(t), as shown by
• where T is an arbitrary observation interval. The pulse signal g(t) may represent a
binary symbol I or 0 in a digital communication system.
• The w(t) is the sample function of a white noise process of zero mean and power
spectral density No/2.
• The source of uncertainty lies in the noise w(t).
• The function of the receiver is to detect the pulse signal g(t) in an optimum
manner, given the received signal x(t).
• To satisfy this requirement, we have to optimize the design of the filter so as to
minimize the effects of noise at the filter output in some statistical sense, and
thereby enhance the detection of the pulse signal g(t).
• Since the filter is linear, the resulting output y(t) may be expressed as
• where go(t) and n(t) are produced by the signal and noise components of the input
x(t), respectively.
• A simple way of describing the requirement that the output signal component go(t)
be considerably greater than the output noise component n(t) is to have the filter
make the instantaneous power in the output signal go(t), measured at time t = T, as
large as possible compared with the average power of the output noise n(t). This is
equivalent to maximizing the peak pulse signal-to-noise ratio, defined as
• The channel noise is modeled as additive white Gaussian noise w(t) of zero mean
and power spectral density NO/2; the Gaussian assumption is needed for later
calculations. In the signaling interval O < t < Tb the received signal written as:
• where Tb is the bit duration, and A is the transmitted pulse amplitude.
• The receiver has acquired knowledge of the starting and ending times of each
transmitted pulse;
• Given the noisy signal x(t), the receiver is required to make a decision in each
signaling interval as to whether the transmitted symbol is a 1 or a 0.
*Cont..
• The structure of the receiver used to perform this decision-making process is shown
in Figure 3.3. It consists of a matched filter followed by a sampler, and then finally a
decision device.
FIGURE 3.3 Receiver for baseband transmission of binary-encoded
• PCM wave using polar NRZ signaling.
• The filter is matched to a rectangular pulse of amplitude A and duration Tb,
exploiting the bit-timing information available to the receiver.
• The resulting matched filter output is sampled at the end of each signaling
interval.
• The presence of channel noise w(t) adds randomness to the matched filter output.
*Cont..

Base band transmission

  • 1.
    UNIT - I BaseBand Transmission *Digital Communication
  • 2.
    *Contents.. * Base bandtransmission * Wave form representation of binary digits * PCM, DPCM, DM, ADM systems * Detection of signals in Gaussian noise * Matched filter - Application of matched filter * Error probability performance of binary signaling * Multilevel base band transmission * Inter symbol interference * Eye pattern * Companding * A law and μ law * Correlation receiver
  • 3.
    *Base Band Transmission BlockDiagram Information source and input transducer Source Encoding Channel Encoding Carrier Digital Modulator Information source and input transducer Source Encoding Channel Encoding Carrier Digital Modulator Transmitte r Receiver Analog or Digital Digital Signal as output
  • 4.
    *Functions of BlockDiagram *Information source and input transducer *Non electrical signal into electrical signal *(Audio, Video, Image etc. to Voltage ) * May be Analog or Digital
  • 5.
    *Cont.. *Source Encoding –( Digital Signal as output) *(Source Code - 010101) (6 bits) *It is used to reduce the redundancy bits *It is utilized to use Bandwidth effectively input type * Analog –  PCM – Pulse Code Modulation  DM – Delta Modulation  ADM – Adaptive Delta Modulation * Digital (Data Compression )  Huffman Coding  Shannon Fano Coding
  • 6.
    *Cont.. *Source Encoding –( Digital Signal as output)
  • 7.
    *Sampling Sampling is definedas, “The process of measuring the instantaneous values of continuous-time signal in a discrete form
  • 8.
  • 9.
  • 10.
    *Different level ofQuantizer Quantization is representing the sampled values of the amplitude by a finite set of levels, which means converting a continuous-amplitude sample into a discrete-time signal.
  • 11.
  • 12.
    *Cont.. *Channel Encoding *(Channel Code– 111010101) (9 bits) *It is used to provide noise immunity to the system *By adding redundancy bit *eg:- *Block Code *Cyclic Code *Convolution Code
  • 13.
    *Cont.. *Digital Modulator *Convert lowfrequency signal into high frequency modulated signal * ASK * FSK * PSK *Receiver section is opposite to transmitter section
  • 14.
    *Advantage *Storing Capability *Large Datacan store in small disk (Memory) *Inexpensive *(Cost is less ) *Privacy and security through encryption
  • 15.
    *Advantage *Use of repeaters *(toregenerate signals without loss)
  • 16.
    *Advantage *Data compression, errordetection and error correction is possible *(1010101 - 10101) *(10101 – 10100 - 10101) *Flexible hardware implementation *(Eg – VLSI tech.) *Faster and efficient multiplexing by TDMA and CDMA
  • 17.
    *Disadvantage * Bandwidth ishigh for channel * Synchronization is compulsory * High power consumption due to multiple stages * Complex circuit
  • 18.
  • 19.
    *Formatting and Transmissionof Baseband Signal
  • 20.
    *Format Analog Signals *To transform an analog waveform into a form that is compatible * with a digital communication, the following steps are taken: * Sampling * Quantization and encoding * Baseband transmission
  • 21.
    *Baseband Transmission Line codes:(a) Bits, (b) NRZ, (c) NRZI, (d) Manchester, (e) Bipolar or AMI.
  • 22.
    *Bandpass Transmission (a) Binarysignal. (b) Amplitude shift keying. (c) Frequency shift keying. (d) Phase shift keying.
  • 23.
    *Bandpass Transmission (a) QPSK.(b) QAM-16. (c) QAM-64.
  • 24.
    *Waveform representation ofbinary digits * Using PCM, analog waveforms are transformed into binary digits. * Binary digits will be represented with electrical pulse in order to transmit through a baseband channel.
  • 25.
    *Waveform representation ofbinary digits Code word is a 4 bit representation of each quantized sample.
  • 26.
    *Pulse Code ModulationAnd Demodulation * Pulse code modulation is a method that is used to convert an analog signal into a digital signal, so that modified analog signal can be transmitted through the digital communication network. * PCM is in binary form, so there will be only two possible states high and low (0 and 1). * (We can also get back our analog signal by demodulation) * The Pulse Code Modulation process is done in three steps * Sampling, * Quantization and * Coding. * There are two specific types of pulse code modulations such as differential pulse code modulation (DPCM) and adaptive differential pulse code modulation (ADPCM)
  • 27.
    *PCM Standard *There aretwo standards of PCM namely * The European Standard * The AmericanStandard *They differ slightly in the detail of their working but the principles are the same. * European - PCM = 30 channels * North American - PCM = 24 channels * Japanese - PCM = 24 channels *In India we follow the European PCM of 30 channels system working.
  • 28.
  • 29.
  • 30.
    *Difference between PCM24and PCM30 systems. Specifications PCM24 PCM30 Sampling Frequency (KHz) 8 8 Duration of time slot (µS) 5.2 3.9 Bit Width (µS) 0.65 0.49 Bit Transfer Rate (Mbps) 1.544 2.048 Frame Period (µS) 125 125 No. of bits per word 8 8 Multiframe period (ms) 1.5 2 Frame alignment signal in Odd frames Even Frames
  • 31.
    *PCM - BlockDiagram Transmitter source of continuous message PCM Signal Low pass Filter Sampler Quantizer Encoder Message Channel Input Reconstruction Filter Circuit Decoder Regeneration Circuit Regeneration Circuit Regeneration Circuit Regenerated PCM signal applied to the receiver Distorted PCM signal produced at channel output Transmission path Receiver
  • 32.
    *Conversion In sampling weare using PAM sampler that is Pulse Amplitude Modulation sampler which converts continuous amplitude signal into Discrete - time- continuous signal (PAM pulses). The difference between the original analog signal and the translated digital signal is called quantizing error. Sampling Quantizing Encoding Discretize time Discretize value Digitize value
  • 33.
    *Nyquist rate An analogsignal of bandwidth B Hz can be completely reconstructed from its samples by filtering if the sampling rate is larger than 2B samples per second fS > 2B, T < 1/2B 2B is called Nyquist rate If a signal is sampled at regular intervals at a rate higher than twice the highest signal frequency, the samples contain all the information of the original signal • Voice data limited to below 4000 Hz • Require 8000 samples per second • Analog samples called PAM • Pulse amplitude modulation
  • 34.
  • 35.
    *Sampling * Analog signalis sampled every TSsec. * Tsis referred to as the sampling interval (time). * fs= 1/Tsis called the sampling rate or sampling frequency. There are 3 sampling methods: *Ideal - an impulse at each sampling instant *Natural - a pulse of short width with varying amplitude *Flattop - sample and hold, like natural but with single amplitude value
  • 36.
  • 37.
    *Quantizing  The processof measuring the numerical values of the samples in a suitable scale  The finite number of amplitude intervals is called the „quantizing interval‟ like quantizing interval.  Quantization intervals are coded in binary form, and so the quantization intervals will be in powers of 2.  In PCM, 8 bit code is used and so we have 256 intervals for quantizing (128 levels in the positive direction and 128 levels in negative direction).
  • 38.
    *Encoder The digitization ofanalog signal is done by the encoder. It designates each quantized level by a binary code. The sampling done here is the sample-and-hold process. These three sections LPF, Sampler, and Quantizer LPF, Sampler, and Quantizer will act as an analog to digital converter. Encoding minimizes the bandwidth used.
  • 39.
  • 40.
    *Regenerative Repeater This sectionincreases the signal strength. The output of the channel also has one regenerative repeater circuit, to compensate the signal loss and reconstruct the signal, and also to increase its strength. The decoder circuit decodes the pulse coded waveform to reproduce the original signal. This circuit acts as the demodulator. *Decoder
  • 41.
    *Reconstruction Filter *After thedigital-to-analog conversion is done by the regenerative circuit and the decoder, a low-pass filter is employed, called as the reconstruction filter to get back the original signal. *Hence, the Pulse Code Modulator circuit digitizes the given analog signal, codes it and samples it, and then transmits it in an analog form. This whole process is repeated in a reverse pattern to obtain the original signal.
  • 42.
    *Bit Rate AndBandwidth Requirements of PCM *The bit rate of a PCM signal can be calculated form the number of bits per sample x sampling rate *Bit rate = nbx fs *The bandwidth required to transmit this signal depends on the type of line encoding used. *A digitized signal will always need more bandwidth than the original analog signal. Because of robustness and other features of digital transmission.
  • 43.
    *PCM Advantages *The PCMsignal is more resistant to interference than normal signal. *Analog signal can be transmitted over a high - speed digital communication system. - Uniform Transmission Quality *Probability of occurring error will reduce by the use of appropriate coding methods. - Good Performance over Very poor Transmission Paths *PCM is used in Telecom system, digital audio recording, digitized video special effects, digital video, voice mail. - Compatibility of different classes of Traffic in the Network *PCM is also used in Radio control units as transmitter and also receiver for remote controlled cars, boats, planes. - Low Manufacturing Cost
  • 44.
    *Disadvantages  Large Bandwidthrequired for Transmission  Noise and crosstalk leaves low but rises attenuation  An integrated Digital network can only be realized be a gradual extension of Noise
  • 45.
    *What is LineCoding? *A line code is the code used for data transmission of a digital signal over a transmission line. *This process of coding is chosen so as to avoid overlap and distortion of signal such as inter-symbol interference. *Mapping of binary information sequence that enters the channel. *Ex. “1” maps to +A pulse; “0” to –A pulse  Information: Fundamentally discrete in nature.  Transmitted over band-limited channel: Signal gets Dispersed.  Causes: Overlap and Distortion.  Distortion: Intersymbol Interference(ISI).
  • 46.
    *Introduction to linecoding • Binary Data: 1 and 0 • Line Coding: A group of binary data to represent symbols. There are 2 major categories: return–to–zero (RZ) and nonreturn–to–zero (NRZ). With RZ coding, the waveform returns to a zero–volt level for a portion (usually one–half) of the bit interval.
  • 47.
    *Why Line Coding? *Linecode selected to meet system requirements: *Transmitted power : Power consumption *Bit timing : Transitions in signal help timing recovery *Bandwidth efficiency : Reduce excessive transitions wastes *Low frequency content : Some channels block low frequencies *long periods of +A or of –A causes signal to “droop” *Waveform should not have low - frequency content *Error detection : Ability to detect errors *Complexity/cost : Code implementable in chip at high speed?
  • 48.
    *Properties of LineCoding: * Transmission Bandwidth: more bits transmit on a single signal * Power Efficiency: given BWand probability of error * Error Detection and Correction capability: * Favorable power spectral density: dc=0 * Adequate timing content: Extract timing from pulses * Transparency: Prevent of 0s or 1s
  • 49.
    *Types of LineCoding: Signal Types 1. Non-Return to Zero (NRZ) 2. Return to Zero (RZ)
  • 50.
  • 51.
    *Signaling: • NRZ –L – Non Return to Zero - Level • NRZ – M – Non Return to Zero - Mark (0no change, 1  change) • NRZ – S – Non Return to Zero - Space (1no change, 0  change)
  • 52.
    *Signaling: • Bipolar Returnto Zero • AMI – Alternate Mark Inversion (zero  zero, 1 alternating pulse)
  • 53.
    *Unipolar & Polar Non-Return-to-Zero(NRZ) Unipolar NRZ (Single voltage) (On-Off keying (i.e. OOK) • “1” maps to +A pulse • “0” maps to no pulse • Long strings of A or 0 – Poor timing – Low-frequency content • Simple Polar NRZ (Two voltage) • “1” maps to +A/2 pulse • “0” maps to –A/2 pulse • Long strings of +A/2 or –A/2 – Poor timing – Low-frequency content • Simple 1 0 1 0 1 1 0 01 Unipolar NRZ Polar NRZ
  • 54.
    *Unipolar Non-Return toZero (NRZ): • Duration of the MARK pulse (Ƭ ) is equal to the duration (To)of the symbol slot. A Low in data input has no pulse.
  • 55.
    *Unipolar NRZ *Advantages: •Simple inimplementation •Require a less bandwidth for transmission. *Disadvantages: •Presence of DC level (indicated by spectral line at 0 Hz). •Contains low frequency components. Causes “Signal Droop” •Does not have any error correction capability. •Does not possess any clocking component for synchronization.
  • 56.
    *Unipolar Return toZero (RZ): A High in data, though represented by a Mark pulse, its duration T0 is less than the symbol bit duration. Half of the bit duration remains high but it immediately returns to zero and shows the absence of pulse during the remaining half of the bit duration.
  • 57.
    *Unipolar RZ Advantages: • Simplein implementation • spectral line present at the symbol rate can be used as a clock. Disadvantages: * No error correction. * Occupies twice the bandwidth as unipolar NRZ. * The signal droop is caused at the places where signal is non- zero at 0 Hz.
  • 58.
  • 59.
  • 60.
    *Polar NRZ Non-Return-to-Zero (NRZ): Inpolar NRZ encoding, we use two levels of voltage amplitude.  In this type of Polar signaling, a High in data is represented by a positive pulse, while a Low in data is represented by a negative pulse.  If there is no change, the bit is 0; if there is a change, the bit is 1.
  • 61.
  • 62.
    *Polar NRZ Advantages *It issimple. *No low-frequency components are present. Disadvantages *Receiver decision is biggest problrm *No error correction. *No clock is present. *The signal droop is caused at the places where the signal is non-zero at 0 Hz.
  • 63.
    *Polar RZ Return-to-Zero (RZ): *Themain problem with NRZ encoding occurs when the sender and receiver clocks are not synchronized. The receiver does not know when one bit has ended and the next bit is starting. *One solution is the return-to-zero (RZ) scheme, which uses three values: positive, negative, and zero. *In RZ, the signal changes not between bits but during the bit. In the following figure, we see that the signal goes to 0 in the middle of each bit. *It remains there until the beginning of the next bit. Proper synchronization.
  • 64.
    *Polar RZ Dis. Adv.: Occupies twice the bandwidth of Polar NRZ.
  • 65.
    *Bipolar Code • Inbipolar encoding (sometimes called multilevel binary), there are three voltage levels (1, 0, -1), – positive, – negative and – zero. • Even in this method, we have two types. Bipolar NRZ Bipolar RZ • The voltage level for one data element is at zero, while the voltage level for the other element alternates between positive and negative.
  • 66.
    *Bipolar Code • Threesignal levels: {-A, 0, +A} • “1” maps to +A or –A in alternation • “0” maps to no pulse – Every +pulse matched by –pulse so little content at low frequencies • String of 1s produces a square wave 1 0 1 0 1 1 0 01 Bipolar Encoding
  • 67.
  • 68.
    *Bipolar Code Advantages • Itis simple. • No low-frequency components are present. • Occupies low bandwidth than unipolar and polar NRZ schemes. • This technique is suitable for transmission over AC coupled lines, as signal drooping doesn‟t occur here. • A single error detection capability is present in this. Disadvantages • No clock is present. • Long strings of data causes loss of synchronization.
  • 69.
    *Split Phase Manchester •In Manchester encoding, the duration of the bit is divided into two halves. • The voltage remains at one level during the first half and moves to the other level during the second half. A ‘One’ is +ve in 1st half and -ve in 2nd half. A ‘Zero’ is -ve in 1st half and +ve in 2nd half. Note: Some books use different conventions. 1 0 -ve 0 +ve +ve 0 -ve
  • 70.
    *Split Phase Manchester 10 1 1 0 0 1 0 1 1  has transition in middle of each bit period  used by IEEE 802.3 (Ethernet) LAN standard
  • 71.
    *Split Phase Manchester Advantages  synchronization on mid bit transition (self clocking codes)  has no dc component  has error detection capability (the absence of an expected transition can be used to detect errors)  Disadvantages  at least one transition per bit time and possibly two  maximum modulation rate is twice NRZ  requires more bandwidth elementssignalperbitsofnumberL bpsRateDataRbaudrateModulationD L R D : ];[,:];[,: 
  • 72.
  • 73.
    *Comparison Code Bandwidth TimingDC value Unipolar NRZ Low bandwidth No timing information High DC component Bipolar NRZ Lower bandwidth No timing information No DC component Differential NRZ Lower bandwidth No timing information Little or no DC component Manchester High bandwidth Good clock recovery No DC component Differential Manchester Moderate bandwidth Good clock recovery No DC Component
  • 74.
    *Companding *The word Compandingis a combination of Compressing and Expanding, which means that it does both. *This is a non-linear technique used in PCM which compresses the data at the transmitter and expands the same data at the receiver. * The effects of noise and crosstalk are reduced by using this technique. *There are two types of Companding techniques. *They are − *A-law Companding Technique *µ-law Companding Technique
  • 75.
    *PCM – Companding CompressChannel Expand Input signal Outpu t signal Si Sx Sy So m Compressor Si Sx m Channel Sy Sx Expander Sy So
  • 76.
    *Companding in PCM A-lawCompanding Technique *Uniform quantization is achieved at A = 1, where the characteristic curve is linear and no compression is done. *A-law has mid-rise at the origin. *Hence, it contains a non-zero value. *A-law companding is used for PCM telephone systems. µ-law Companding Technique *Uniform quantization is achieved at µ = 0, where the characteristic curve is linear and no compression is done. *µ-law has mid-tread at the origin. *Hence, it contains a zero value. *µ-law companding is used for speech and music signals. *µ-law is used in North America and Japan.
  • 77.
    *DPCM Transmitter *The DPCMTransmitter consists of *Quantizer and *Predictor with *two summer circuits.
  • 78.
    *DPCM Transmitter *When theinput is sampled at the rate higher than the nyquist rate, the successive samples become more correlated. *Their exist a very little difference between the amplitude with successive samples. *When all these samples are quantized and encoded their exist more redundant bit during transmitted signal. *But in DPCM, to achieve more compression, the redundant information is reduced in transmitting *Transmitting only the quantized error (i.e. difference between the successive samples ).
  • 79.
  • 80.
    *Quantizing levels *More levelsmore number of bits *Eg 28 = 10101010 * (256 levels) • Less levels less number of bits – Eg 25 = 10101 – (32 levels )
  • 81.
    *Quantization Error What isquantitation error? *For any system, during its functioning, there is always a difference in the values of its input and output. *The processing of the system results in an error, which is the difference of those values. *The difference between an input value and its quantized value is called a Quantization Error.
  • 82.
  • 83.
    *DPCM Transmitter *The signalsat each point are named as − *x(nTs) - is the sampled input *e(nTs) - is the difference of sampled input and predicted output, often called as prediction error *v(nTs) - is the quantized output *u(nTs) - is the predictor input which is actually the summer output of the predictor output and the quantizer output *x^(nTs) - is the predicted sample *The predictor produces the assumed samples from the previous outputs of the transmitter circuit. The input to this predictor is the quantized versions of the input signal x(nTs)x(nTs).
  • 84.
    *DPCM Transmitter *Quantizer Outputis represented as − * v(nTs) = Q (e(nTs)) = e(nTs)+qe(nTs) - 1 *Where qe(nTs) is the quantization error *Predictor input is the sum of quantizer output and predictor output, *e(nTs) = x(nTs) - x^(nTs) - 2 *u(nTs) = v(nTs) + x^(nTs) - 3 *u(nTs) = e(nTs) + qe(nTs) + x^(nTs) *u(nTs) = x(nTs) - x^(nTs) + qe(nTs) + x^(nTs) *u(nTs) = x(nTs) + qe(nTs) - 4 The same predictor circuit is used in the decoder to reconstruct the original input.
  • 85.
    *DPCM Receiver *The blockdiagram of DPCM Receiver consists of a decoder, a predictor, and a summer circuit. *In the absence of noise, the encoded receiver input will be the same as the encoded transmitter output. *the predictor assumes a value, based on the previous outputs. The input given to the decoder is processed and that output is summed up with the output of the predictor, to obtain a better output. *The sampling rate of a signal should be higher than the Nyquist rate, to achieve better sampling. * If this sampling interval in Differential PCM is reduced considerably, the sample- to-sample amplitude difference is very small, as if the difference is 1-bit quantization, then the step-size will be very small i.e., Δ delta.
  • 86.
  • 87.
    *Assume first orderprediction filter X(n) x^(n) = Xq (n-1) e(n) eq(n) u(nTs) = x^(nTs) + v(nTs) 2.1 0 2.1 2 0+2 = 2 2.2 2 0.2 0 2+0 =2 2.3 2 0.3 0 2+0 =2 2.6 2 0.6 1 2+1 = 3 2.7 3 -0.3 0 3+0 =3 2.8 3 -0.2 0 3+0 =3 e(n) = X(n) – X^(n) Transmitted bit = 2, 0, 0,1, 0 , 0
  • 88.
    *Receiver filter eq(n) x^(n)= Xq (n-1) u(nTs) = x^(nTs) + eq(n) 2 0 0+2 = 2 0 2 2+0 =2 0 2 2+0 =2 1 2 2+1 = 3 0 3 3+0 =3 0 3 3+0 =3 e(n) = X(n) – X^(n) Transmitted bit = 2, 0, 0,1, 0 , 0
  • 89.
    PCM DPCM DM Allsamples are encoded Difference between the consecutive samples Encoded the error signal X(t) Vs X^(t) Bandwidth saving 1 bit quantitation *Comparison • To reduce the transmitted bit 1 bit Quantizer is used in Delta Modulation.
  • 90.
    *Delta Modulation Where thesampling rate is much higher and the step size after quantization is of a smaller value Δ, such a modulation is termed as delta modulation. It is also known as 1-bit Quantizer. Features of Delta Modulation * An over-sampled input is taken to make full use of the signal correlation. * The quantization design is simple. * The input sequence is much higher than the Nyquist rate. * The quality is moderate. * The step-size is very small, i.e., Δ delta. * Delta Modulation is a simplified form of DPCM technique, also viewed as 1-bit DPCM scheme. * As the sampling interval is reduced, the signal correlation will be higher.
  • 91.
    *Delta Modulator The DeltaModulator comprises of a 1-bit Quantizer and a delay circuit along with two summer circuits.
  • 92.
    *Delta Modulator *From theabove diagram, we have the notations as − *x(nTs) = over sampled input *ep(nTs) = summer output and quantizer input *eq(nTs) = quantizer output = v(nTs) *x^(nTs) = output of delay circuit *u(nTs) = input of delay circuit
  • 93.
    *Delta Modulator *Using thesenotations, now we shall try to figure out the process of delta modulation. ep(nTs) = x(nTs)−x^(nTs) -eq. 1 𝑖𝑓 x(nTs) > x^(nTs) = ∆ else x(nTs) < x^(nTs) = −∆ = x(nTs)−u([n−1]Ts) = x(nTs)−[x^[[n−1]Ts]+v[[n−1]Ts]] -eq. 2 *Further, v(nTs) = eq(nTs) -eq. 3 u(nTs) = xˆ(nTs)+eq(nTs)
  • 94.
    *Delta Modulator *Where, x^(nTs) =the previous value of the delay circuit eq(nTs) = Quantizer output = v(nTs) *Hence, u(nTs)=u([n−1]Ts)+v(nTs) ---------equation 4 Which means, The present input of the delay unit = The previous output of the delay unit + the present Quantizer output
  • 95.
    *Delta Modulator * AStair-case approximated waveform will be the output of the delta modulator with the step-size as delta (Δ). * To get the original signal at the receiver, the received signal is passed through the integrator followed by a LPF.
  • 97.
    *Delta Modulation –Example *Granular noise = (+ ∆, -∆, + ∆, −∆, + ∆, -∆,) * we need to decrease the step size. *Slope over distortion = (+ ∆, +∆, + ∆, +∆, + ∆, +∆) or (- ∆, −∆, − ∆, −∆, - ∆, −∆) * we need to increase the step size.
  • 98.
    *Delta Demodulator * Thedelta demodulator comprises of a low pass filter, a summer, and a delay circuit. * The predictor circuit is eliminated here and hence no assumed input is given to the demodulator.
  • 100.
    A binary sequencewill be given as an input to the demodulator. The stair-case approximated output is given to the LPF.
  • 101.
    *Advantages of DMOver DPCM * 1-bit Quantizer * Very easy design of the modulator and the demodulator However, there exists some noise in DM. * Slope Over load distortion (when Δ is small) * Granular noise (when Δ is large)
  • 102.
    *Adaptive Delta Modulation *This Modulation is the refined form of delta modulation. This method was introduced to solve the granular noise and slope overload error caused during Delta modulation. * This Modulation method is similar to Delta modulation except that the step size is variable according to the input signal in Adaptive Delta Modulation whereas it is a fixed value in delta modulation.
  • 103.
    *Adaptive Delta Modulation *In Adaptive Delta Modulation, the step size of the staircase signal is not fixed and changes depending upon the input signal. Here first the difference between the present sample value and previous approximation is calculated. * This error is quantized i.e. if the present sample is smaller than the previous approximation, quantized value is high or else it is low. The output of the one-bit Quantizer is given to the Logic step size control circuit where the step size is decided.
  • 104.
  • 105.
  • 106.
    *Adaptive Delta Modulation ∆𝒏= ∆ 𝒏 − 𝟏 𝒆(𝒏) + ∆ 𝟎 𝒆(𝒏 − 𝟏) 𝒆(𝒏) = current step size value, n = current step value e(n-1) = past step value If error is positive send +1, if error is negative send -1 Case 1: For n = 0; e0 +𝑣𝑒 +1; ∆ 0 = ∆0 𝑁𝑜 𝑃𝑎𝑠𝑡 𝑜𝑢𝑡𝑝𝑢𝑡 Case 2: if input signal is less than staircase signal then error (e0)is -ve. For n = 1; e0 −𝑣𝑒 -1 ; ∆ 𝑛 = ∆ 𝑛 − 1 𝑒(𝑛) + ∆ 0 𝑒 𝑛 − 1 ∆ 1 = ∆ 0 (−1) + ∆ 0 𝑒(+1) = - ∆𝟎 + ∆0 = 0
  • 107.
    *Adaptive Delta Modulation Case3: For n = 2; e0 −𝑣𝑒 -1 ; ∆ 𝑛 = ∆ 𝑛 − 1 𝑒(𝑛) + ∆ 0 𝑒 𝑛 − 1 ∆ 1 = ∆ 1 (−1) + ∆ 0 (−1) = - 𝟎 − ∆0 = −∆0 Case 4: For n = 3; e0 +𝑣𝑒 +1 ; ∆ 𝑛 = ∆ 𝑛 − 1 𝑒(𝑛) + ∆ 0 𝑒 𝑛 − 1 ∆ 1 = ∆ 2 (+1) + ∆ 0 (−1) = − ∆𝟎 − ∆0 = 0 Case 5: For n = 4; e0 +𝑣𝑒 +1 ; ∆ 𝑛 = ∆ 𝑛 − 1 𝑒(𝑛) + ∆ 0 𝑒 𝑛 − 1 ∆ 1 = ∆ 3 (+1) + ∆ 0 (+1) = 𝟎 + ∆0 = ∆0
  • 108.
    Case 6: Forn = 5; e0 +𝑣𝑒 +1 ; ∆ 𝑛 = ∆ 𝑛 − 1 𝑒(𝑛) + ∆ 0 𝑒 𝑛 − 1 ∆ 1 = ∆ 4 (+1) + ∆ 0 (+1) =∆0 + ∆0 = 2∆0 Case 7: For n = 6; e0 +𝑣𝑒 +1 ; ∆ 𝑛 = ∆ 𝑛 − 1 𝑒(𝑛) + ∆ 0 𝑒 𝑛 − 1 ∆ 1 = ∆ 6 (+1) + ∆ 0 (+1) = 2∆0 + ∆0 = 3∆0 Case 8: For n = 7; e0 +𝑣𝑒 +1 ; ∆ 𝑛 = ∆ 𝑛 − 1 𝑒(𝑛) + ∆ 0 𝑒 𝑛 − 1 ∆ 1 = ∆ 7 (+1) + ∆ 0 (+1) = 3∆0 + ∆0 = 4∆0
  • 109.
    Case 9: Forn = 8; e0 −𝑣𝑒 -1 ; ∆ 𝑛 = ∆ 𝑛 − 1 𝑒(𝑛) + ∆ 0 𝑒 𝑛 − 1 ∆ 1 = ∆ 7 (−1) + ∆ 0 (+1) = - 4∆0 + ∆0 = − 3∆0 Case 10: For n = 9; e0 +𝑣𝑒 +1 ; ∆ 𝑛 = ∆ 𝑛 − 1 𝑒(𝑛) + ∆ 0 𝑒 𝑛 − 1 ∆ 1 = ∆ 8 (+1) + ∆ 0 (−1) = −3∆0 − ∆0 = 3∆0 − ∆0 = 2∆0 Case 11: For n = 10; e0 −𝑣𝑒 -1 ; ∆ 𝑛 = ∆ 𝑛 − 1 𝑒(𝑛) + ∆ 0 𝑒 𝑛 − 1 ∆ 1 = ∆ 9 (−1) + ∆ 0 (+1) = −2∆0 + ∆0 = −∆0
  • 111.
    Parameters DM ADM Numberof bits Use one bit sample Use one bit sample Transmission bandwidth Low bandwidth is required Low bandwidth is required Level of step size Step size is fixed, not varied Step size is varied according to signal variation Quantization and distortion Slope over and granular Only quantization noise Feedback Feedback exist in transmitter Feedback exist Complexity System is simple Include step logic control
  • 112.
    *Inter Symbol Interference *Transmission of digital data (bit stream) over a noisy baseband channel typically suffers two channel imperfections  Intersymbol interference (ISI)  Background noise (e.g., AWGN) * These two interferences/noises often occur simultaneously. * However, for simplicity, they are often separately considered in analysis.
  • 113.
     Matched filteris a device for the optimal detection of a digital pulse. Because the impulse response of the matched filter matches the pulse shape.  System model without ISI channel
  • 114.
    * Intersymbol interference(ISI) occurs when a pulse spreads out in such a way that it interferes with adjacent pulses at the sample instant. * Example: assume polar NRZ line code. The channel outputs are shown as spreaded (width Tb becomes 2Tb) pulses shown (Spreading due to bandlimited channel characteristics). Data 1 bT 0 bT0bT bT Data 0 bT 0 bT0bT bT Channel Input Pulse width Tb Channel Output Pulse width Tb
  • 115.
    *Matched Filter • Transmissionof digital data over a baseband transmission (without modulation) • Major problem in baseband transmission is • Each received pulse is affected by adjacent pulse and give rise to interference called ISI • ISI is the major source of bit errors in the received data stream at the receiver output. Low pass channel Dispersive in nature Inter-Symbol Interference (ISI)
  • 116.
    * The matchedfilter is the optimal linear filter for maximizing the signal to noise ratio (SNR) in the presence of additive stochastic noise. * Matched filters are commonly used in radar, in which a signal is sent out, and we measure the reflected signals, looking for something similar to what was sent out. Application * Matched filters are commonly used in radar, * Two-dimensional matched filters are commonly used in image processing, *Matched Filter
  • 117.
  • 118.
    *Cont.. • The filterinput x(t) consists of a pulse signal g(t) corrupted by additive channel noise w(t), as shown by • where T is an arbitrary observation interval. The pulse signal g(t) may represent a binary symbol I or 0 in a digital communication system. • The w(t) is the sample function of a white noise process of zero mean and power spectral density No/2. • The source of uncertainty lies in the noise w(t). • The function of the receiver is to detect the pulse signal g(t) in an optimum manner, given the received signal x(t). • To satisfy this requirement, we have to optimize the design of the filter so as to minimize the effects of noise at the filter output in some statistical sense, and thereby enhance the detection of the pulse signal g(t).
  • 119.
    • Since thefilter is linear, the resulting output y(t) may be expressed as • where go(t) and n(t) are produced by the signal and noise components of the input x(t), respectively. • A simple way of describing the requirement that the output signal component go(t) be considerably greater than the output noise component n(t) is to have the filter make the instantaneous power in the output signal go(t), measured at time t = T, as large as possible compared with the average power of the output noise n(t). This is equivalent to maximizing the peak pulse signal-to-noise ratio, defined as
  • 120.
    • The channelnoise is modeled as additive white Gaussian noise w(t) of zero mean and power spectral density NO/2; the Gaussian assumption is needed for later calculations. In the signaling interval O < t < Tb the received signal written as: • where Tb is the bit duration, and A is the transmitted pulse amplitude. • The receiver has acquired knowledge of the starting and ending times of each transmitted pulse; • Given the noisy signal x(t), the receiver is required to make a decision in each signaling interval as to whether the transmitted symbol is a 1 or a 0. *Cont..
  • 121.
    • The structureof the receiver used to perform this decision-making process is shown in Figure 3.3. It consists of a matched filter followed by a sampler, and then finally a decision device. FIGURE 3.3 Receiver for baseband transmission of binary-encoded • PCM wave using polar NRZ signaling. • The filter is matched to a rectangular pulse of amplitude A and duration Tb, exploiting the bit-timing information available to the receiver. • The resulting matched filter output is sampled at the end of each signaling interval. • The presence of channel noise w(t) adds randomness to the matched filter output. *Cont..