RISET OPERASI & T.P KEPUTUSAN
RANGKUMAN
RISET OPERASI
NAMA : ANDRE AURIZT
N P M : 1434 021 283
FAKULTAS : EKONOMI (MANAGEMENT) P2K SSK 205
SEMESTER : 5 (LIMA) SESI 2
MATA KULIAH : RISET OPERASI & T.P KEPUTUSAN
DOSEN : Dr. EDDY SANUSI, SE, MM
UNIVERSITAS KRISNADWIPAYANA
BEKASI
2017
RISET OPERASI & T.P KEPUTUSAN
KATA PENGANTAR
Puji dan syukur saya panjatkan kepada Tuhan Yang Maha Esa karena berkat
limpahan rahmat dan karunianya sehingga saya dapat menyusun rangkuman materi
perkuliahan riset operasi tepat pada waktunya.
Dalam penyelesaian rangkuman ini, saya banyak mengalami kesulitan namun,
berkat bimbingan dan bantuan dari berbagai pihak akhirnya rangkuman ini dapat
terselesaikan dengan cukup baik. Karena itu saya ucapkan terima kasih kepada
semua pihak yang telah membantu dan membimbing dalam penyusunan rangkuman
ini.
Saya sadar bahwa rangkuman ini jauh dari kesempurnaan, oleh karena itu
saya mengharapkan kritik dan saran positif yang membangun, agar penulisan
rangkuman yang akan datang lebih baik lagi.
Saya berharap semoga rangkuman sederhana ini dapat memberi manfaat bagi
kita sekalian.
Jakarta, Juni 2017
Penulis
(ANDRE AURIZT)
RISET OPERASI & T.P KEPUTUSAN
DAFTAR ISI
Kata Pengantar . . . . . . . . . . . . . . . . . . . . . . . . . . . . . . . . . . . . . . . . . . . . . . . . . . . . . . . i
Daftar Isi . . . . . . . . . . . . . . . . . . . . . . . . . . . . . . . . . . . . . . . . . . . . . . . . . . . . . . . . . . . . ii
BAB I
ASAL-USUL RISET OPERASI (OPERATION RESEARCH) . . . . . . . . . . . . . . . . . . . . 1
1.1 SEJARAH SINGKAT RISET OPERASI . . . . . . . . . . . . . . . . . . . . . . . . . . . . . . . 1
1.2 SIFAT DARI RISET OPERASI . . . . . . . . . . . . . . . . . . . . . . . . . . . . . . . . . . . . . . 2
1.3 TAHAPAN-TAHAPAN DARI RISET OPERASI . . . . . . . . . . . . . . . . . . . . . . . . . 3
1.3.1 Pedoman umum untuk melakukan riset operasi . . . . . . . . . . . . . . . . . . . 4
1.3.2 Kontribusi dari pendekatan riset operasi yang sifatnya pendekatan
sIstem terletak pada ciri-cirinya . . . . . . . . . . . . . . . . . . . . . . . . . . . . . . . 4
1.4 DAMPAK DARI RISET OPERASI . . . . . . . . . . . . . . . . . . . . . . . . . . . . . . . . . . . 5
1.4.1 Training untuk Karier dalam Riset Operasi . . . . . . . . . . . . . . . . . . . . . . 5
1.4.2 Beberapa contoh persoalan yang memerlukan teknik riset operasi . . . . 6
1.4.3 Perumusan persoalan (masalah) umumnya . . . . . . . . . . . . . . . . . . . . . . 7
BAB II
BIAYA, PRODUK, DAN ANALISIS LABA . . . . . . . . . . . . . . . . . . . . . . . . . . . . . . . . . . 8
2.1 HUBUNGAN ANTARA BIAYA, PRODUK, DAN LABA . . . . . . . . . . . . . . . . . . . 8
2.1.1 Jumlah Penerimaan Sebagai Hasil Penjualan . . . . . . . . . . . . . . . . . . . . . 8
2.1.2 Biaya Variabel dan Tetap . . . . . . . . . . . . . . . . . . . . . . . . . . . . . . . . . . . . . 9
2.1.3 Output, Kontribusi, dan Refinement . . . . . . . . . . . . . . . . . . . . . . . . . . . . . 9
RISET OPERASI & T.P KEPUTUSAN
2.2 PENDEKATAN MANAJEMEN DENGAN ANALISIS BIAYA, PRODUK, DAN
LABA . . . . . . . . . . . . . . . . . . . . . . . . . . . . . . . . . . . . . . . . . . . . . . . . . . . . . . . . 10
2.2.1 Pendekatan Aljabar . . . . . . . . . . . . . . . . . . . . . . . . . . . . . . . . . . . . . . . . 11
2.2.2 Pendekatan Dengan Grafik Bruto (Gross Graphic) . . . . . . . . . . . . . . . . 12
2.2.3 Pendekatan Dengan Inverted Graphic . . . . . . . . . . . . . . . . . . . . . . . . . .12
2.3 TIGA VARIABEL YANG MEMENGARUHI LABA . . . . . . . . . . . . . . . . . . . . . . . 13
2.4 ANALISIS UNTUK PEMBUATAN KEPUTUSAN . . . . . . . . . . . . . . . . . . . . . . . .14
2.4.1 Perencanaan produk . . . . . . . . . . . . . . . . . . . . . . . . . . . . . . . . . . . . . . . .14
BAB III
PERUMUSAN PERSOALAN DAN PEMBUATAN MODEL . . . . . . . . . . . . . . . . . . . . 17
3.1 PENTINGNYA PERUMUSAN PERSOALAN . . . . . . . . . . . . . . . . . . . . . . . . . . 17
3.2 PERIODE ORIENTASI . . . . . . . . . . . . . . . . . . . . . . . . . . . . . . . . . . . . . . . . . . . 17
3.3 KOMPONEN PERSOALAN . . . . . . . . . . . . . . . . . . . . . . . . . . . . . . . . . . . . . . . 17
3.4 PERSOALAN RISET . . . . . . . . . . . . . . . . . . . . . . . . . . . . . . . . . . . . . . . . . . . . 18
3.5 ARTI DAN PENTINGNYA MODEL . . . . . . . . . . . . . . . . . . . . . . . . . . . . . . . . . . 18
3.6 PEMBENTUKAN MODEL SIMBOLIS . . . . . . . . . . . . . . . . . . . . . . . . . . . . . . . . 20
3.6.1 Komponen Dalam Sistem Pembiayaan . . . . . . . . . . . . . . . . . . . . . . . . . 20
3.6.2 Penggabungan Atau Pemecahan Komponen Serta Penggantian
Simbol . . . . . . . . . . . . . . . . . . . . . . . . . . . . . . . . . . . . . . . . . . . . . . . . . . 20
3.7 BERBAGAI PERSOALAN YANG HARUS DIPECAHKAN DENGAN
MENGGUNAKAN MODEL DAN TEKNIK RISET OPERASI . . . . . . . . . . . . . . 21
RISET OPERASI & T.P KEPUTUSAN
BAB IV
PENJADWALAN PROYEK DENGAN PERT-CPM . . . . . . . . . . . . . . . . . . . . . . . . . . 23
4.1 PEMBENTUKAN DIAGRAM ANAK PANAH . . . . . . . . . . . . . . . . . . . . . . . . . . 25
4.2 ARTI DAN KEGUNAAN JARINGAN KERJA ATAU NETWORK . . . . . . . . . . . 27
4.3 ANALISIS JARINGAN KERJA DAN PERHITUNGAN JALUR KRITIS . . . . . . . 28
4.4 CARA MENENTUKAN JALUR KRITIS . . . . . . . . . . . . . . . . . . . . . . . . . . . . . . . 29
4.5 PENENTUAN WAKTU MENGAMBANG . . . . . . . . . . . . . . . . . . . . . . . . . . . . . 31
4.6 PEMBENTUKAN TIME CHART DAN RESOURCE LEVELING . . . . . . . . . . . . 31
4.7 PERTIMBANGAN PROBABILITA DAN BIAYA DALAM PENJADWALAN
PROYEK . . . . . . . . . . . . . . . . . . . . . . . . . . . . . . . . . . . . . . . . . . . . . . . . . . . . . . 33
4.7.1 Pertimbangan Probabilita . . . . . . . . . . . . . . . . . . . . . . . . . . . . . . . . . . . . 36
4.7.2 Pertimbangan Biaya . . . . . . . . . . . . . . . . . . . . . . . . . . . . . . . . . . . . . . . . 37
4.7.3 Prosedur Lainnya Untuk Mendeteksi Jalur Kritis Baru dan Pengendalian
Proyek . . . . . . . . . . . . . . . . . . . . . . . . . . . . . . . . . . . . . . . . . . . . . . . . . . 39
BAB V
TEORI PERMAINAN . . . . . . . . . . . . . . . . . . . . . . . . . . . . . . . . . . . . . . . . . . . 40
5.1 PERMAINAN BERJUMLAH NOL DARI DUA ORANG . . . . . . . . . . . . . . . . . . . 41
5.2 STRATEGI MINIMMAKS DAN MAKSIMIN SERTA TITIK SADEL . . . . . . . . . . 43
5.2.1 Titik Sadel . . . . . . . . . . . . . . . . . . . . . . . . . . . . . . . . . . . . . . . . . . . . . . . 44
5.3 STRATEGI CAMPURAN . . . . . . . . . . . . . . . . . . . . . . . . . . . . . . . . . . . . . . . . . 45
5.4 METODE PEMECAHAN UNTUK PERMAINAN . . . . . . . . . . . . . . . . . . . . . . . . 46
5.4.1 Metode Aljabar Untuk Strategi Optimum . . . . . . . . . . . . . . . . . . . . . . . . 46
RISET OPERASI & T.P KEPUTUSAN
5.4.2 Menggunakan Probabilita dan Nilai Harapan Permainan . . . . . . . . . . . 51
5.4.3 Menggunakan Metode Dominance . . . . . . . . . . . . . . . . . . . . . . . . . . . . 52
5.4.4 Pemecahan Dengan Metode Grafik . . . . . . . . . . . . . . . . . . . . . . . . . . . . 52
5.4.5 Permainan 3 x 3 dan Yang Lebih Besar Serta Penggunaan Linier
Programming . . . . . . . . . . . . . . . . . . . . . . . . . . . . . . . . . . . . . . . . . . . . . 54
5.4.6 Penggunaan Teknik Linier Programming . . . . . . . . . . . . . . . . . . . . . . . . 56
BAB VI
TEORI ANTRIAN DAN APLIKASINYA . . . . . . . . . . . . . . . . . . . . . . . . . . . . . . . . . . 57
6.1 STRUKTUR DASAR MODEL ANTRIAN . . . . . . . . . . . . . . . . . . . . . . . . . . . . . 57
6.1.1 Struktur Kedatangan Satuan Penerima Pelayanan . . . . . . . . . . . . . . . . 59
6.1.2 Tingkat Pelayanan . . . . . . . . . . . . . . . . . . . . . . . . . . . . . . . . . . . . . . . . . 61
6.2 KEDATANGAN MENURUT SALURAN TUNGGAL DENGAN RATA-RATA
PELAYANAN EKSPENSIAL . . . . . . . . . . . . . . . . . . . . . . . . . . . . . . . . . . . . . . . 62
6.2.1 Saluran Tunggal Dengan Biaya Pelayanan Yang Minimum . . . . . . . . . 65
6.3 MODEL ANTRIAN SALURAN GANDA . . . . . . . . . . . . . . . . . . . . . . . . . . . . . . 66
6.3.1 Kedatangan Mengikuti Poisson Dalam Saluran Ganda Dengan Tingkat
Pelayanan Eksponensail . . . . . . . . . . . . . . . . . . . . . . . . . . . . . . . . . . . . 66
6.3.2 Model Antrian Yang Lain . . . . . . . . . . . . . . . . . . . . . . . . . . . . . . . . . . . . 67
BAB VII
MODEL PENGENDALIAN PERSEDIAAN . . . . . . . . . . . . . . . . . . . . . . . . . . . . . . . . . 70
7.1 Fungsi Dasar Persediaan Dan Keputusan Mengenai Persediaan . . . . . . . . . . 70
RISET OPERASI & T.P KEPUTUSAN
7.1.1 Biaya Persediaan (Inventory Cost) . . . . . . . . . . . . . . . . . . . . . . . . . . . . 71
7.1.2 Konsep Tingkat Rata-Rata Persediaan . . . . . . . . . . . . . . . . . . . . . . . . 71
7.2 Jumlah Pesanan Ekonomis . . . . . . . . . . . . . . . . . . . . . . . . . . . . . . . . . . . . . . . 72
7.2.1 Pendekatan Tabel . . . . . . . . . . . . . . . . . . . . . . . . . . . . . . . . . . . . . . . . . 72
7.2.2 Pendekatan Grafik . . . . . . . . . . . . . . . . . . . . . . . . . . . . . . . . . . . . . . . . . 73
7.2.3 Pendekatan Matematis . . . . . . . . . . . . . . . . . . . . . . . . . . . . . . . . . . . . . 74
7.2.4 Pendekatan Kalkulus . . . . . . . . . . . . . . . . . . . . . . . . . . . . . . . . . . . . . . . 76
7.3 Potongan Harga Untuk Pembelian Jumlah Besar . . . . . . . . . . . . . . . . . . . . . . 81
7.3.1 Pendekatan Perbandingan Biaya . . . . . . . . . . . . . . . . . . . . . . . . . . . . . 81
7.3.2 Pendekatan dengan Price Break . . . . . . . . . . . . . . . . . . . . . . . . . . . . . . 83
7.4 Sistem Pengendalian Persediaan . . . . . . . . . . . . . . . . . . . . . . . . . . . . . . . . . . 83
7.4.1 Sistem Persediaan Kontinu . . . . . . . . . . . . . . . . . . . . . . . . . . . . . . . . . . 84
7.4.2 Sistem Inventory Periodik . . . . . . . . . . . . . . . . . . . . . . . . . . . . . . . . . . . 87
7.4.3 Sistem Penggantian Opsional . . . . . . . . . . . . . . . . . . . . . . . . . . . . . . . . 88
7.5 Model Inventori Probalistik Dan Analisis ABC . . . . . . . . . . . . . . . . . . . . . . . . . 89
7.5.1 Analisis ABC . . . . . . . . . . . . . . . . . . . . . . . . . . . . . . . . . . . . . . . . . . . . . 91
BAB VIII
PENGAMBILAN KEPUTUSAN DALAM RISET OPERASI . . . . . . . . . . . . . . . . . . . . 94
8.1 Seni dan Ilmu Riset Operasi . . . . . . . . . . . . . . . . . . . . . . . . . . . . . . . . . . . . . . . 94
8.2 Unsur-Unsur Dari SebuH Model Keputusan . . . . . . . . . . . . . . . . . . . . . . . . . . . 95
8.3 Seni Permodelan . . . . . . . . . . . . . . . . . . . . . . . . . . . . . . . . . . . . . . . . . . . . . . . 95
8.4 Jenis-Jenis Model Riset Operasi . . . . . . . . . . . . . . . . . . . . . . . . . . . . . . . . . . . 96
RISET OPERASI & T.P KEPUTUSAN
8.5 Pengaruh Ketersediaan Data Terhadap Permodelan . . . . . . . . . . . . . . . . . . . 97
8.6 Perhitungan Dalam Operasi Riset . . . . . . . . . . . . . . . . . . . . . . . . . . . . . . . . . . .97
8.7 Tahap-Tahap Studi Operasi Riset . . . . . . . . . . . . . . . . . . . . . . . . . . . . . . . . . . .98
BAB IX
PEMROGRAMAN LINIER FORMULASI DAN PEMECAHAN GRAFIK . . . . . . . . . 100
9.1 Model Dua Variabel Dan Pemecahan Grafiknya . . . . . . . . . . . . . . . . . . . . . . 100
9.1.1 Pengembangan Model Matematis . . . . . . . . . . . . . . . . . . . . . . . . . . . . 101
9.1.2 Pemecahan Grafik Dari Model Pemrograman Linier . . . . . . . . . . . . . . 104
9.1.3 Analisis sensitivitas: Pembahasan dasar . . . . . . . . . . . . . . . . . . . . . . . 107
9.2 Formulasi Pemrograman Linier . . . . . . . . . . . . . . . . . . . . . . . . . . . . . . . . . . . 109
9.3 Formulasi Pemrograman Linier Tambahan . . . . . . . . . . . . . . . . . . . . . . . . . . 113
BAB X
PEMROGRAMAN LINIER METODE SIMPLEKS . . . . . . . . . . . . . . . . . . . . . . . . . . . 116
10.1 Gagasan Keseluruhan Tentang Metode Simpleks . . . . . . . . . . . . . . . . . . . . . 116
10.2 Pengembangan Metode Simpleks . . . . . . . . . . . . . . . . . . . . . . . . . . . . . . . . . 117
10.2.1 Bentuk Pemrograman Linier Standar . . . . . . . . . . . . . . . . . . . . . . . . . . 117
BAB XI
MASALAH PENUGASAN . . . . . . . . . . . . . . . . . . . . . . . . . . . . . . . . . . . . . . . . . . . . . 119
11.1 Perumusan Masalah . . . . . . . . . . . . . . . . . . . . . . . . . . . . . . . . . . . . . . . . . . . . 119
11.2 Masalah Minimisasi . . . . . . . . . . . . . . . . . . . . . . . . . . . . . . . . . . . . . . . . . . . . 120
RISET OPERASI & T.P KEPUTUSAN
11.2.1 Jumlah Pekerjaan Tidak Sama Dengan Jumlah Karyawan . . . . . . . . . 124
11.3 Masalah Maksimisasi . . . . . . . . . . . . . . . . . . . . . . . . . . . . . . . . . . . . . . . . . . . . 125
11.3.1 Masalah-Masalah Penugasan Tambahan . . . . . . . . . . . . . . . . . . . . . . 127
BAB XII
TEORI KEPUTUSAN . . . . . . . . . . . . . . . . . . . . . . . . . . . . . . . . . . . . . . . . . . . . . . . . 129
12.1 Model Keputusan . . . . . . . . . . . . . . . . . . . . . . . . . . . . . . . . . . . . . . . . . . . . . . 130
12.1.1 Konsep-Konsep Dasar . . . . . . . . . . . . . . . . . . . . . . . . . . . . . . . . . . . . 130
12.2 Kriteria Keputusan . . . . . . . . . . . . . . . . . . . . . . . . . . . . . . . . . . . . . . . . . . . . . 134
12.2.1 Konsep Keputusan NIlai Yang Diharapkan (Expected-Value) . . . . . . . 136
12.3 Pohon Keputusan . . . . . . . . . . . . . . . . . . . . . . . . . . . . . . . . . . . . . . . . . . . . . . 136
12.4 Konsep Variance . . . . . . . . . . . . . . . . . . . . . . . . . . . . . . . . . . . . . . . . . . . . . . 140
BAB XIII
MODEL RANTAI MARKOV . . . . . . . . . . . . . . . . . . . . . . . . . . . . . . . . . . . . . . . . . . . 141
13.1 PROSES MODEL RANTAI MARKOV . . . . . . . . . . . . . . . . . . . . . . . . . . . . . . 141
13.1.1 Prosedur 1 – Menyusun Matriks Probabikitas Transisi1
. . . . . . . . . . . .141
13.1.2 Prosedur 2 – Menghitung Kemungkinan Market Share Di Waktu
Yang Akan Datang . . . . . . . . . . . . . . . . . . . . . . . . . . . . . . . . . . . . . . . . 146
13.1.3 Prosedur 3 – Menentukan Kondisi-kondisi Ekuilibrium . . . . . . . . . . . . .148
13.2 APLIKASI MODEL RANTAI MARKOV . . . . . . . . . . . . . . . . . . . . . . . . . . . . . . 148
RISET OPERASI & T.P KEPUTUSAN
BAB XIV
SIMULASI . . . . . . . . . . . . . . . . . . . . . . . . . . . . . . . . . . . . . . . . . . . . . . . . . . . . . . . . . 150
14.1 BAHASA-BAHASA KOMPUTER UNTUK SIMULASI . . . . . . . . . . . . . . . . . . . 150
14.2 MODEL-MODEL SIMULASI . . . . . . . . . . . . . . . . . . . . . . . . . . . . . . . . . . . . . . 151
14.2.1 Model Simulasi yang Stochastic . . . . . . . . . . . . . . . . . . . . . . . . . . . . . 151
14.2.2 Model Simulasi yang Deterministik . . . . . . . . . . . . . . . . . . . . . . . . . . . 152
14.2.3 Model Simulasi yang Dinamik dan yang Statik . . . . . . . . . . . . . . . . . . 152
14.2.4 Model Simulasi yang Heuristik . . . . . . . . . . . . . . . . . . . . . . . . . . . . . . . 152
Penutup . . . . . . . . . . . . . . . . . . . . . . . . . . . . . . . . . . . . . . . . . . . . . . . . . . . . . . . . . . 136
Daftar Pustaka . . . . . . . . . . . . . . . . . . . . . . . . . . . . . . . . . . . . . . . . . . . . . . . . . . . . . 137
RISET OPERASI & T.P KEPUTUSAN
Sumber : Riset Operasi – Untuk Pengambilan Keputusan, Edisi Revisi, Prof. Johanes Supranto,
M.A.,APU
BAB I
ASAL-USUL RISET OPERASI (OPERATION RESEARCH)
Ditandai dengan munculnya multinational corporation sejak revolusi di Inggris,
dimana perusahaan-perusahaan mengalami pertumbuhan organisasi yang mencolok
baik dilihat dari besarnya maupun kompleksitas pemasalahan/persoalan yang
dihadapi. Dalam multinational corporation timbul spesialisasi dan spesialisasi ini akan
menyeabkan permasalahan baru apabila masing-masing tumbuh sendiri secara
terpisah sehingga lepas dari tujuan menyeluruh yang akan dicapai oleh suatu
organisasi (perusahaan).
Pada prinsipnya suatu organisasi merupakan wadah sebagai tempat untuk
bekerja sama di bawah pimpinan (manager) organisasi tersebut dalam rangka
mencapai tujuan (objectives) organisasi (perusahaan). Ibarat suatu mesin, organisasi
mengubah masukan atau input yang terdiri dari men, material, dan method untuk
mencapai keluaran (output) dan tugas pimpinan me-manage input secara efisien dan
efektif untuk mencapai output terbaik (the best output).
Gambar 1.1
Persoalan input yang serba terbatas harus dapat dicapai suatu pemecahan
yang optimimum yang mencangkup persoalan maksimisasi (jumlah penerimaan hasil
penjualan, jumlah keuntungan) atau minimum (jumlah kerugian, jumlah biaya transport,
lamanya menunggu untuk menerima pelayanan/antri, lamanya waktu penyelesaian
proyek, jumlah proyek) memunculkan teknik riset operasi.
1.1 SEJARAH SINGKAT RISET OPERASI:
Riset operasi (operation research) dimulai di kalangan militer dalam permulaan
perang dunia II. Dalam perang dunia beberapa ilmuwan dari berbagai bidang keahlian
(ahli ekonomi dan ilmu sosial lainnya, ahli manajemen, ahli matematika, ahli statitstika,
ahli strategi milter) di panggil untuk bekerja melalui “tim” dengan tujuan untuk
INPUT ORGANISASI OUTPUT
RISET OPERASI & T.P KEPUTUSAN
menerapkan pendekatan ilmiah guna memecahkan permasalahan atau persoalan,
dengan perkataan lain, mereka (dalam tim) harus melakukan riset di dalam operasi
militer (to do research on military operation). Suksesnya penerapan riset operasi
(research operation) di dalam bidang mileter membuat para pengusaha dalam bidang
industri menaruh perhatian kepada riset operasi. Riset operasi mula-mula berkembang
di Inggris dalam bidang militer, industri, bisnis dan pemerintahan sipil, kemudian
berkembang dengan cepat di Amerika Serikat sejak 1951.
Setelah perang dunia II ada dua faktor yang mendorong perkembangan riset
operasi dengan cepat yaitu: pertama, adanya beberapa ahli yang memberikan
kontribusi terhadap pemecahan permasalahan riset operasi secara matematis. Antara
lain George Danzig, pada tahun 1947 menemukan metode simpleks untuk
memecahkan persoalan linear programming yang merupakan salah satu teknik dari
riset operasi. Kedua, berkembangnya penggunaan electric data processing (Computer)
yang mempunyai kemampuan menghitung ribuan bahkan jutaan kali kemampuan
manusia. Kemajuan dalam bidang electronik data processing ini benar-benar dapat
memacu perkembangan riset operasi hampir di semua bidang yang sifatnya kuantitatif
antara lain dalam manajemen, khususnya planning.
1.2 SIFAT DARI RISET OPERASI (RO):
Kutipan beberapa definisi dalam bahasa Inggris:
1) Operation research may be described as a scientific approach to decision
making that involves the operations of organizational systems (dari buku
Operation Research, karangan Frederick S. Hillier dan Gerald J. Lieberman).
2) Operation research is the application of scientific method to the decision
problems of business and other units of social organization, including
government and military organizations ( dari buku Fundamentals of Operations
Research for Management, karangan Shiv K. Gupta dan John M. Cozzolino).
3) Operations research today refers to the application of scientific methodology of
several different disciplines to problems related to the functioning or operating of
some unit-business, governmental, or institutional (dari buku Quantitative
Approaches to Management, karangan Richard I. Levin dan Charles A.
Kirkpatrick).
RISET OPERASI & T.P KEPUTUSAN
Dari definisi bahasa Inggris di atas didapat definisi riset operasi adalah riset
dengan penerapan metode ilmiah melalui suatu tim secara terpadu untuk memcahkan
permasalahan yang timbul dalam kegiatan operasi suatu sistem organisasi agar
diperoleh pemecahan yang optimum.
Riset operasi mencakup dua kata yaitu riset yang harus menggunakan metode
ilmiah dan operasi yang berhubungan dengan proses atau berlangsungnya suatu
kegiatan (proses produksi, proses pengiriman barang/militer/senjata, proses
pemberian pelayanan melalui suatu antrian yang panjang).
Definisi yang cukup panjang adalah aplikasi metode ilmiah terhadap permasalahan
yang kompleks dalam mengarahkan dan mengendalikan system yang luas mengenai
kehidupan manusia, mesin-mesin, material dan uang dalam industri, bisnis,
pemerintahan dan pertahanan.
1.3 TAHAPAN-TAHAPAN DALAM RISET OPERASI:
1) Merumuskan atau menganalisis persoalan sehingga jelas tujuan apa yang akan
dicapai (objectives).
2) Pembentukan model matematika untuk mencerminkan persoalan yang akan
dipecahkan. Biasanya model dinyatakan dalam bentuk persamaan yang
menggambarkan hubungan antara input dan output serta tujuan yang akan
dicapai dalam bentuk fungsi objektif (objective function).
3) Mencari pemecahan dari model yang tekah dibuat dalam tahap sebelumnya,
misalnya dengan menggunakan metode simpleks.
4) Menguji model dan hasil pemecahan dari penggunaan model. Sering juga
disebut melakukan validasi. Harus ada mekanisme untuk mengontrol
pemecahan, misalnya dengan menggunakan criteria tertentu.
5) Implementasi hasil pemecahan.
1.3.1 Pedoman umum untuk melakukan riset operasi:
RISET OPERASI & T.P KEPUTUSAN
1) Tahap pertama, harus merumuskan atau mendefinisikan persoalan yang akan
dipecahkan sesuai dengan tujuan yang akan dicapai berdasarkan keadaan
objektif.
2) Tahap kedua, berkenaan dengan pembentukan model secara matematis,
misalnya dengan menggunakan persamaan dan ketidaksamaan linear seperti di
dalam linear programming.
3) Tahap ketiga, berkenaan dengan pemecahan model, yang biasanya
memecahkan persamaan/ketidaksamaan matematika. Di dalam model
matematika, pemecahan ini dicapai dengan teknik optimisasi dan model
menghasilkan suatu pemecahan optimum.
4) Tahap keempat, melakukan pengujian atau melakukan validasi dari model.
Suatu model dikatakan sah (valid), apabila dapat memberikan prediksi yang
dapat dipercaya dari hasil proses suatu system, disamping diakui adanya
ketidaktepatan dari model tersebut untuk mewakili keadaan yang sebenarnya
terjadi (real world).
5) Tahap kelima, merupakan tahap terakhir, ialah tahap untuk implementasi hasil
pemecahan model yang telah diuji validitasnya. Tugas melakukan implementasi
ini merupakan tugas peneliti operasi (operation researchers).
1.3.2 Kontribusi dari pendekatan riset operasi yang sifatnya pendekatan sistem
terletak pada ciri-cirinya yang antara lain:
1) Menstrukturkan keadaan kehidupan nyata ke dalam model matematika;
mengabstraksi elemen-elemen pokoknya sedemikan rupa sehingga suatu
pemecahan yang relevan dengan tujuan yang akan dicapai oleh pembuat
keputusan bisa dicari.
2) Mencari struktur dari pemecahan yang demikian itu dan mengembangkan
prosedur yang sistematis untuk memperolehnya.
3) Mengembangkan suatu pemecahan, termasuk teori matematika kalau dirasakan
perlu, yang menghasilkan nilai optimal dari suatu sistem.
RISET OPERASI & T.P KEPUTUSAN
1.4 DAMPAK DARI RISET OPERASI:
Riset operasi mempunyai dampak yang kuat sekali dalam manajemen suatu
organisasi. Kalangan militer Inggris dan Amerika untuk memecahkan persoalan
pertahanan nasional mereka melakukan perencanaan taktis untuk dipergunakan di
dalam sistem persenjataan dan pengalokasian sumber-sumber terbatas. Beberapa
teknik yang mereka pergunakan cukup canggih (sophisticated), meliputi bidang/ilmu
politik, matematika, ekonomi, teori probalita dan statistika. Untuk lebih spesifik,
perhatikan beberapa jenis persoalan yang telah dipecahkan dengan menggunakan
teknik-teknik dalam riset operasi antara lain; Linear programming telah dipergunakan
dan mencapai sukses di dalam pemecahan persoalan yang berkenaan dengan
penugasan personel (assignment of personnel), blending of materials, distribusi dan
transportasi, serta investment. Dynamic programming telah berhasil diterapkan dalam
perencanaan pengeluaran periklanan, usaha mendistribusikan penjualan, dan
penjadwalan produksi (production scheduling). Teori antrian (qering of waiting line
theory) berhasil diterapkan dalam memecahkan kemacetan lalu-lintas (traffic
congestion), pelayanan mesin-mesin akibat kerusakan, penetuan jumlah pemberi
pelayanan yang optimal, penjadwalan lalu-lintas udara (air traffic scheduling),
mendesain dam, penjadwalan produksi, meminimumkan waktu menunggu untuk
menerima pelayanan, operasi dalam rumah sakit, dan lain sebagainya. Teknik-teknik
riset operasi lainnya seperti teori inventori, teori permainan (game theory) dan simulasi
telah menunjukkan sukses yang besar dalam pemecahan beberapa jenis
permasalahan/persoalan.
1.4.1 Training untuk Karier dalam Riset Operasi:
Ada tiga komponen penting dalam bidang akademik yang perlu dipelajari secara
mendalam bagi seseorang yang memilih karier dalam riset operasi.
Pertama, training dasar untuk mata kuliah yang sangat diperlukan untuk
mempelajari riset operasi. Antara lain metodologi dasar bagi matematika dan ilmu,
misalnya meliputi aljabar linear, teori matriks, probabilita, statistic induktif, stochostic
processes, computer science, micro economics, accounting and business
administration, teori organisasi, dan behavioural sciences.
Kedua, mendalami teknik-teknik yang dikembangkan dalam Riset Operasi
seperti linear and non linear programming, integer programming, dynamic
RISET OPERASI & T.P KEPUTUSAN
programming, net work planning, inventory theory, queuing theory, game theory and
simulation.
Ketiga, mendalami bidang-bidang di mana Riset Operasi akan diterapkan,
seperti bidang ekonomi, transportasi, manajemen, pemasaran, dan lain sebagainya.
1.4.2 Beberapa contoh persoalan yang memerlukan teknik riset operasi:
1) Persoalan biaya pemasaran berbagai produk:
Semisal sebuah perusahaan yang memproduksi berbagai macam produk,
perusahaan mempunyai pabrik di beberapa tempat dan produknya dapat dibeli di
hamper setiap tempat. Inventori secara keseluruhan terdiri dari ribuan jenis barang.
Biaya memproduksi setiap produk berlainan antara pabrik. Ramalan penjualan menjadi
sangat sulit. Dalam hal ini riset operasi sangat berguna untuk memecahkan persoalan
pembelian bahan mentah, penyimpannya, produksinya dan penjualannya, sehingga
jumlah biaya pengeluaran dari bahan mentah sampai menjadi barang produksi serta
menjualnya menjadi minimum.
2) Perencanaan produksi:
Misalnya seorang pengusaha (produsen) mempunyai bahan mentah sebanyak
m macam, masing-masing tersedia sebanyak hi unit (i = 1, 2, …, m). Berdasarkan
bahan mentah yang tersedia akan diproduksi sebanyak r produk, masing-masing
sebesar xj unit (j = 1, 2, …, r). Setiap produk memerlukan seluruh bahan mentah
dengan proporsi tertentu yaitu setiap 1 unit produk ke-j memerlukan aij unit bahan
mentah ke-i. Dengan demikian kalau produk j diproduksi sebanyak xj unit maka
diperlukan aij xj unit bahan mentah ke-i. Apabila semua produk dijual, 1 unit produk j
harganya cj rupiah. Kalau yang dijual xj unit, maka penerimaan hasil penjualan untuk
produk ke-j sebesar cj xj unit. Persoalnya sekarang, berapa besarnya xj agar dapat
diperoleh jumlah hasil penjualan yang maksimum (maximum revenue) dengan
pembatasan bahwa jumlah bahan mentah yang dipergunakan tidak boleh melebihi
persedian yang ada, selain itu nilai xj tidak boleh negative. Persoalan di atas
merupakan persoalan RO dan dapat di pecahkan dengan teknik linear programming
(LP).
RISET OPERASI & T.P KEPUTUSAN
1.4.3 Perumusan persoalan (masalah) umumnya sebagai berikut:
Cari xj j = 1, 2, …, r
s.r.s. : Z = ∑ cj xj : maksimum
r
d.p. : ∑ aij xj ≤ hi
j=1
: xj ≥ 0
s.r.s. = sedemikian rupa sehingga
d.p. = dengan pembatasan
3) Perencanaan ekspor nonmigas:
Persoalannya sama dengan perencanaan produksi seperti dibahas di dalam
nomor (2) diatas, hanya bedanya dalam persoalan ekspor, penjualannya ke luar
negeri. Dalam hal ini cj = harga ekspor (dalam mata uang asing seperti dolar Amerika,
atau Yen Jepang) dan xj merupakan banyaknya produk j yang di ekspor. Dengan
demikian cj xj = penerimaan devisa dari ekspor produk j. Z = ∑ cj xj = jumlah
penerimaan devisa yang harus maksimum.
4) Persoalan atau Masalah Pencampuran:
Persoalan pencampuran (mixed problems), terjadi dalam proses produksi
makanan ternak, perusahaan penyulingan minyak, perusahaan peleburan logam,
pemecahan persoalannya menggunakan teknik linear programming.
5) Persoalan Transportasi.
6) Persoalan Antrian dan Inventori.
7) Persoalan Net Work Planning atau PERT.
RISET OPERASI & T.P KEPUTUSAN
BAB II
BIAYA, PRODUK, DAN ANALISIS LABA
2.1 HUBUNGAN ANTARA BIAYA, PRODUK, DAN LABA:
Tanggung jawab seorang pimpinan (manager) ialah me-manage input secara
efisien dan efektif sehingga diperoleh keuntungan yang maksimum (maximum profit).
Seorang produsen akan mengharapkan agar penerimaan dari hasil penjualan
(total revenue) untuk suatu tahun tertentu cukup besar sehingga dapat menutup 4 hal
berikut:
1) Biaya untuk pembelian bahan mentah guna menghasilkan produk (sabun,
sepatu, tekstil, pupuk, mobil, radio, televise, semen, dan rokok).
2) Biaya penjualan produk atau biaya pemasaran seperti biaya advertensi/promosi.
3) Biaya administrasi seperti gaji pimpinan, bisa juga disebut biaya tetap.
4) Laba (keuntungan) yang diharapkan dapat dicapai dalam tahun tertentu.
Apabila jumlah penerimaan persis sama dengan 3 macam biaya diatas (biaya
membuat/membeli produk + biaya penjualan + biaya administrasi), maka dikatakan
perusahaan tidak untung dan juga tidak rugi, perusahaan mencapai titik impas (break
even proint) yang selanjutnya kita sebut BEP. Jadi BEP merupakan tingkat operasi
perusahaan di mana jumlah produknya menghasilkan hasil penjualan yang persis
sama dengan jumlah biaya.
2.1.1 Jumlah penerimaan sebagai hasil penjualan:
Cara yang paling mudah untuk memperoleh angka penjualan tahun depan ada
tiga cara yaitu:
1) Mengalikan jumlah penjualan dalam unit (satuan) yang diharapkan dapat
dicapai tahun depan dengan harga jual per unit. Misalnya harga jual per unit Rp
25 ribu, diharapkan dapat dijual 1000 unit, maka ramalan hasil penjualan
(revenue) = 1000 x Rp 25 ribu = Rp 25 juta.
RISET OPERASI & T.P KEPUTUSAN
2) Mangalikan jumlah penjualan dalam unit yang diharapkan dapat dicapai tahun
depan dengan rata-rata harga jual (average selling price).
3) Melakukan penyesuaian hasil penjualan tahun lalu dengan jalan menambah
atau mengurangi sekian persen sesuai dengan situasi ekonomi yang akan
datang (prospeknya).
2.1.2 Biaya variabel dan tetap:
Biaya variabel merupakan biaya langsung, yang memang langsung dikeluarkan
untuk membiayai pembuatan barang produksi (produk) atau pembelian barang yang
akan dijual. Biaya variabel merupakan fungsi dari produksi, makin banyak diproduksi
makin banyak biaya dikeluarkan. Ada dua konsep mengenai biaya variabel ini yaitu:
pertama, biaya variabel unit per konstan, berapa pun produk yang akan dihasilkan ;
kedua, jumlah biaya variabel akan berubah sesuai dengan perubahan output/produk.
Yang termasuk biaya variabel adalah biaya untuk pembelian baunghan mentah, upah
karyawan, biaya pengepakan, dan semua biaya langsung (direct costs).
Biaya tetap meliputi semua biaya tidak langsung. Sesuai dengan namanya,
biaya tetap akan berubah menurut unit produk, makin banyak produk yang dihasilkan
biaya tetap per unit menurun, jadi berbanding dengan jumlah output. Biaya tetap
meliputi antara lain sewa, pajak pemilikan, asuransi pemilikan, biaya/gaji pimpinan,
depresiasi, biaya advertensi, dan biaya yang tidak ada hubungan langsung dengan
produksi.
2.1.3 Output, kontribusi dan refinement:
Konsep tentang kontribusi penting dan merupakan dasar guna
pembahasan/analisis yang menyangkut hubungan biaya, output dan laba atau
keuntungan. Sebagai ilustrasi misalnya:
Harga jual per unit : Rp 1.000
Biaya variabel per unit : Rp 700
------------ -
Besarnya kontribusi : Rp 300
RISET OPERASI & T.P KEPUTUSAN
Agar pemecahan permasalahan lebih realitis maka perlu diakui adanya semi
variable cost dan semi fixed cost.
2.2 PENDEKATAN MANAJEMEN DENGAN ANALISIS BIAYA, PRODUK, DAN `
LABA:
Analisis biaya, produk (volume) dan laba sangat berguna bagi manajemen
sewaktu manajemen membuat keputusan yang menyangkut:
1) Hubungan perubahan hasil dengan perubahan laba.
2) Hubungan perubahan biaya dengan perubahan laba.
3) Hubungan perubahan dalam skala operasi dengan perubahan laba.
(Ribuan Rp)
y
100.000 _ Laba
90.000 _ Jumlah penjualan
80.000 _
70.000 _
60.000 _ _ _ _ _ _ _ _ _ _ _ _ _ _ _ _ _ _ _ _ BEP Biaya
50.000 _ Jumlah biaya Variabel
40.000 _
30.000 _
20.000 _ Rugi Biaya
10.000 _ Tetap
0 _ x
10 20 30 40 50 60 70 80 90 100
Gambar 2.1 (Pendekatan dengan grafik baku)
RISET OPERASI & T.P KEPUTUSAN
Dalam gambar dapat dilihat fixed cost, variable cost, total revenue dan profit.
Hasil penjualan (revenue) dan biaya digambarkan (plotted) pada sumbu tegak
(vertical) Y dan volume (output) digambarkan pada sumbu datar X. Perpotongan garis
yang menunjukkan jumlah biaya dan jumlah hasil penjualan disebut titik impas (break
even point = BEP). Pada titik ini, jumlah biaya = jumlah penerimaan hasil penjualan.
Jumlah biaya tetap tidak mengalami perubahan berapa pun jumlah output yang akan
diproduksi, sedang jumlah biaya variabel berubah menurut perubahan volume.
2.2.1 Pendekatan Aljabar:
Misalkan TR = Jumlah penerimaan hasil penjualan dalam ribuan rupiah.
TC = Jumlah biaya dalam ribuan rupiah.
TVC = Jumlah biaya variabel.
TFC = Jumlah biaya tetap.
x = Volume (output atau produk) dalam satuan.
v = Biaya variabel per unit (satuan).
p = Harga jual per unit.
BEP = Titik impas atau break even point.
TR = xp = Banyaknya output dikalikan harga jual per unit.
TC = TVC + TFC atau TC = vx + TFC
Untuk menentukan titik impas (BEP), diperoleh dengan menyamakan TR dengan TC,
kemudian cari x.
Misalkan TFC = Rp 10.000 ribu
v = Rp 2 ribu
p = Rp 4 ribu
TC = TR = vx + TFC = xp
2x + 10.000 = 4x
RISET OPERASI & T.P KEPUTUSAN
2x = 10.000
x = 5.000
Jadi titik impas dicapai pada waktu output mencapai 5.000 unit (satuan fisik).
Untuk memperoleh dalam bentuk uang kalikan dengan harga jual per unit = 4 (5.000) =
Rp 20.000 ribu.
RumuS:
BEP dalam unit fisik: BEP = TFC
P – v
BEP dalam ribuan Rp: BEP = TFC
1 – v/p
BEP dalam % kapasitas: BEP = _ TFC x 100%
(p – v) (jumlah kapasitas)
2.2.2 Pendekatan dengan Grafik Bruto (Gross Graphic):
Kadang-kadang dimungkinkan untuk menggambarkan grafik BEP walaupun
biaya variabel per unit tidak diketahui. Untuk itu diperlukan dua hal: pertama,
perkiraan biaya tetap; kedua, jumlah penerimaan dan jumlah biaya untuk presentase
tertentu dari kapasitas yang dimanfaatkan.
2.2.3 Pendekatan dengan Inverted Graphic:
Berbeda dengan cara pengambaran titik impas (BEP) di mana kurva biaya tetap
berada di bawah kurva biaya variabel, di dalam hal ini kurva biaya tetap justru di atas
kurva biaya variabel. Juga di dalam hal ini perpotongan antara kurva jumlah
penerimaan dengan kurva jumlah biaya tetap merupakan titik impas (BEP).
RISET OPERASI & T.P KEPUTUSAN
2.3 TIGA VARIABEL YANG MEMENGARUHI LABA:
Keutungan (laba) bagi suatu perusahaan sangat dipengaruhi atau ditentukan
oleh interaksi antara jumlah penerimaan, biaya tetap, dan biaya variabel. Dengan
demikian perubahan dari variabel-variabel ini akan mempengaruhi tingkat laba. (1)
Suatu perubahan di dalam harga jual per unit atau perubahan pada banyaknya output
yang terjual. (2) Suatu perubahan di dalam biaya tetap. (3) Suatu perubahan di dalam
biaya variabel untuk setiap unit.
Sebagai contoh mengenai (1) misalnya pihak produsen dapat menaikkan harga
jual dari Rp. 1.000,- menjadi Rp. 1.250,-. Selanjutnya diasumsikan bahwa tidak ada
variabel lain yang berubah secara mencolok (volume penjualan tidak berubah).
Pengaruh yang terlihat pihak produsen yang menjual produknya mencapai titik
impas (BEP) lebih cepat yaitu pada volume penjualan yang kecil/sedikit atau rendah.
(Ribuan Rp) (Ribuan Rp)
TR’ TR
TR
TC’
TC TC
FC’
FC FC
Volume (a) Volume (b)
RISET OPERASI & T.P KEPUTUSAN
(Ribuan Rp)
TR
TC’
TC
FC
Volume (c)
Gambar 2.2 (Perubahan yang terpisah dalam variabel yang mempengaruhi laba)
2.4 ANALISIS UNTUK PEMBUATAN KEPUTUSAN:
Analisis mengenai biaya, output/produk, laba/keuntungan bukan satu-satunya
alat bagi pimpinan atau manajer untuk membuat keputusan, walaupun diakui analisis,
demikian itu sangat berguna minimal untuk menentukan besarnya titik impas (BEP)
dan besarnya laba. Didalam prakteknya pimpinan menghendaki lebih dari ini, misalnya
bagaimana caranya agar dapat dicapai jumlah keuntungan yang maksimum (total
maximum profit), Untuk itu perhatikan beberapa ilustrasi dibawah ini:
2.4.1 Perencanaan produk:
Salah satu keputusan yang harus diambil oleh pemimpin mungkin mengganti salah
satu jenis produk yang diproduksi.dijual, Perhatikan data berikut ini:
RISET OPERASI & T.P KEPUTUSAN
PRODUK HARGA
(SMU)
BIAYA
VARIABEL /UNIT
(SMU)
% TERHADAP
PENJUALAN
RAK BUKU 6 4 30 %
MEJA TULIS 10 6 20 %
TEMPAT TIDUR 20 12 50 %
Gambar 2.3
Keterangan :
smu = satuan mata uang
Jumlah biaya tetap setahun = 75.000 smu
Hasil penjualan tahun lalu = 250.000 smu
Misalnya meja tulis diganti dengan lemari makan, setelah penggantian diperoleh
data seperti table berikut:
PRODUK HARGA
(SMU)
BIAYA
VARIABEL /UNIT
(SMU)
% TERHADAP
PENJUALAN
RAK BUKU 6 4 50 %
LEMARI MAKAN 16 6 10 %
TEMPAT TIDUR 20 12 40 %
Gambar 2.4
Jumlah biaya tetap = 75.000 smu
Jumlah penjualan = 260 smu
Apakah penggantian ini merupakan keputusan yang lebih baik? Mari kita lakukan
perhitungan laba sebagai berikut:
RISET OPERASI & T.P KEPUTUSAN
a) Sebelum perubahan/penggantian jenis produk:
 6 – 4 x 30 % = 0,10
6
 10 – 6 x 20 % = 0,08
10
 20 – 12 x 50 % = 0,20 + (Kontribusi)
20 0,38
250.000 x 0,38 = 95.000 smu
( 95.000 smu – 75.000 smu = 20.000 smu)
b) Sesudah penggantian jenis produk:
 6 – 4 x 50 % = 0,17
6
 10 – 6 x 10 % = 0,06
16
 20 – 12 x 40 % = 0,16 + (Kontribusi)
20 0,39
250.000 x 0,39 = 101.400 smu
( 101.400 smu – 75.000 smu = 26.400 smu) Laba
Ternyata keputusan mengganti produk sangat tepat, sebab laba kemudian
meningkat dari 20.000 smu menjadi 26.400 smu.
RISET OPERASI & T.P KEPUTUSAN
BAB III
PERUMUSAN PERSOALAN DAN PEMBUATAN MODEL
3.1 PENTINGNYA PERUMUSAN PERSOALAN:
Perumusan persoalan sangat penting, sebab akan dipergunakan untuk
menentukan arah kegiatan selanjutnya, paling tidak untuk menentukan data apa saja
yang harus dikumpulkan supaya relevan dengan persoalan yang akan dipecahkan.
Oleh karena riset operasi merupakan pekerjaan suatu tim, maka suatu cara
perumusan persoalan yang sistematis (jelas urutanya) sangat penting.
3.2 PERIODE ORIENTASI:
Periode orientasi ini lamanya tergantung kepada luasnya persoalan yang akan
dipecahkan, mungkin minimum satu bulan. Periode orientasi mungkin diakhiri dengan
penyajian atau presentasi secara tertulis atau lisan yang ditunjukkan kepada sponsor
atau pemesan riset baik perusahaan maupun instansi pemerintah, misalnya masalah
transportasi oleh Departemen Perhubungan, pengembangan ekspor oleh Departemen
Perdagangan, alokasi modal oleh BKPM bekerja sama dengan Bank Indonesia.
Periode orientasi merupakan periode bagi pihak luar, diluar tim riset operasi
yaitu pihak sponsor untuk dapat memperoleh gambaran tentang luas dan kompleksnya
persoalan yang akan dipecahkan sehingga jumlah biaya yang mungkin cukup besar
benar-benar justified. Periode orientasi merupakan periode pendekatan bagi pihak
sponsor dengan demikian segala kesulitan yang timbul dalam proses pemecahan
persoalan riset segera dapat diatasi bersama, baik persoalan teknis maupun
administrasi.
3.3 KOMPONEN PERSOALAN:
Sebelum merumuskan persoalan, terlebih dahulu harus ad ide mengenai apa
persoalan itu dan apa komponen-komponennya? Komponen pertama ialah pembuat
keputusan (decision maker) atau pembuat kebijakan (policy maker) atau kita sebut
RISET OPERASI & T.P KEPUTUSAN
saja eksekutif. Pembuat keputusan bisa perorangan secara individu atau kelompok
individu, mungkin bertanggung jawab untuk mengontrol pelaksanaan operasi suatu
system organisasi yang terdiri dari orang-orang, mesin-mesin, atau kombinasi
keduanya.
Komponen kedua ialah tujuan (objectives) yang akan dicapai oleh pihak
sponsor. Riset bisa dasar (basic), atau terpakai (applied). Riset dasar lebih teoritis
sifatnya dan tidak mempunyai kegunaan praktis secara langsung. Misalnya riset untuk
menentukan teori, rumus, atau metode analisi yang baru, sedangkan riset terpakai
lebih berorientasi pada usaha pemecahan persoalan praktis seperti mencari jalan
keluar agar jumlah penerimaan devisa hasil ekspor nonmigas maksimum, jumlah biaya
transport minimum, antrian untuk memperoleh pelayanan (services) tidak terlalu
panjang, jumlah biaya inventori minimum, dan sebagainya.
Komponen ketiga ialah sistem organisasi yang melibatkan orang/mesin atau
keduanya atau resources, dalam hal ini termasuk semua jenis masukan atau input
(men, money, material) yang terbatas untuk mencapai keluaran atau output yang
optimum.
Komponen keempat ialah adanya alternative untuk memilih tindakan (
alternatives cources of action). Untuk membuat keputusan/tindakan, eksekutif harus
tersedia alternative-alternatif dan riset operasi akan mampu memberikan alternative
yang terbaik (the best alternative).
3.4 PERSOALAN RISET:
Mengubah persoalan pembuat keputusan persoalan riset harus mengikuti tiga
langkah sebagai berikut: 1) Menyunting (editing) daftar objektif yang diperoleh pada
tahap pertama perumusan persoalan, 2) Menyunting daftar alternatif tindakan, 3)
Mendefinisikan ukuran efektivitas yang akan dipergunakan.
3.5 ARTI DAN PENTINGNYA MODEL:
Model merupakan suatu representasi dari suatu sistem yang sedang kita
pelajari (bisa berupa objek, kejadian, proses atau suatu sistem) dan dipergunakan
sebagai alat untuk meramalkan dan mengontrol. Fungsi utama dari suatu model ialah
RISET OPERASI & T.P KEPUTUSAN
kemampuannya untuk menjelaskan (explanatory) dan bukan hanya deskriptif
(descriptive).
Ada tiga model yaitu iconic, analogue, dan symbolic. Secara kasar dapat
dikatakan model iconic berbentuk foto atau gambar yang mewakili aspek tertentu dari
suatu sistem sehingga mudah dilihat (visually) seperti model pesawat terbang yang
terpampang dimeja kerja Bapak Prof. Dr. Habibie, Menteri riset, market gedung suatu
kantor depatemen atau maket suatu kompleks pertokoan yang dapat dianggap
sebagai model iconic.
Model analogue merupakan model yang menggunakan/memanfaatkan suatu
set sifat-sifat atau ciri-ciri dari sIstem lainnya yang sedang dipelajari/diteliti (misalnya
untuk mempelajari jalannya arus listrik, mungkin arus air yang mengalir melalui pipa
dipergunakan sebagai analogue arus listrik yang mengalir melalui kawat (kabel).
Model simbolis, merupakan model yang menggunakan simbol-simbol untuk
mewakili cirri-ciri dari suatu system yang sedang dipelajari, biasanya terdiri dari satu
set persamaan matematik, sering juga disebut sebagai system persamaan simultan. Di
dalam beberapa hal untuk persoalan yang sederhana, model simbolis mungkin hanya
terdiri dari satu persamaan saja. Ahli ekonomi biasanya menyebut sebagai model
ekonometrik (econometric model). Sebagai suatu system, setiap persamaan
mempunyai arti sendiri akan tetapi berkaitan dengan persamaan lainnya, seperti
contoh sederhana berikut ini:
(1) Ct = a + by, dimana C = konsumsi nasional
(2) Yt = a1 + b1 It Y = pendapatan nasional
(3) It = a2 + b2 Rt I = invstasi nasional
R = tingkat bunga bank (rate of interest).
Begitu nilai R ditentukan oleh Bank Indonesia, maka nilai R akan mempengaruhi
I; I akan mempengaruhi Y dan pada gilirannya Y akan mempengaruhi C. R disebut
variabel kebijakan (policy variable) nilainya ditentukan berdasarkan policy perbankan
dan disebut juga variabel eksogen (exogeneous variable), sebab nilainya ditentukan di
luar model. Sedangkan I, Y dan C disebut variabel endogen, nilainya ditentukan di
dalam model, sebagai akibat adanya interaksi antarvariabel ekonomi. Model ini jelas
dapat dipergunakan untuk membuat ramalan (forecasting) yang sangat berguna untuk
perencanaan (planning). Kalau misalanya tingkat bunga bank ternyata tergantung
RISET OPERASI & T.P KEPUTUSAN
kepada bantuan luar negeri maka model bisa ditambah dengan satu persamaan lagi
yaitu persamaan 4.
(4) Rt = a3 + b3 Ft di mana F = Foreign aid
3.6 PEMBENTUKAN MODEL SIMBOLIS:
Seperti telah disebutkan sebelumnya, pada model simbolis, komponennya
merupakan symbol yang dinyatakan sebagai huruf untuk selanjutnya kita sebut
variabel. Variabel dalam suatu model ada yang bisa dikontrol (controlled variable), di
mana nilainya bisa ditentukan, mungkin berdasarkan suatu policy dan ada juga yang
tidak dapat di kontrol (seperti daya beli masyarakat, permintaan konsumen dan kurs
mata uang asing).
3.6.1 Komponen dalam sistem pembiayaan:
Kalau tujuan yang akan dicapai adalah jumlah biaya yang harus minimum
(minimized total expected cost), maka komponen-komponennya, mungkin sebagai
berikut:
1. Biaya produksi yang terdiri dari rincian berikut: a) pembelian bahan mentah (raw
material), b) biaya pengiriman bahan mentah, c) biaya penerimaan dan
pemasukan bahan mentah di tempat penyimpanan (gudang), d) inventori bahan
mentah, e) perencanaan produk, serta f) biaya pengolahan dan penyimpanan
barang jadi (finished goods).
2. Biaya pemasaran (marketing cost) seperti biaya distribusi, promosi dan lain
sebagainya.
3. Biaya tetap (overhead cost).
Komponen-komponen tersebut tidak semuanya harus dipergunakan akan tetapi
terlebih dahulu, mana yang harus dipergunakan tergantung kepada tujuan yang akan
dicapai.
RISET OPERASI & T.P KEPUTUSAN
3.6.2 Penggabungan atau pemecahan komponen serta penggantian simbol:
Untuk pencapaian suatu tujuan mungkin perlu diadakan penggabungan
beberapa komponen dalam sistem, misalnya raw-material, acquisition cost merupakan
hasil penggabungan komponen-komponen. The purchase price freight cost and
receiving cost of raw material.
Bagi komponen yang masih dipertahankan perlu ditentukan apakah komponen
tersebut merupakan suatu yang konstan (fixed) atau selalu berubah (variables).
Apabila ternyata komponen tersebut merupakan variabel, kita harus mencari aspek
apa dalam sistem yang mempengaruhi nilai variabel tersebut.
Sebagai contoh misalnya, biaya pengolahan/pembuatan suatu jenis barang
(suku cadang) biasanya terdiri dari 1) banyaknya unit yang akan diproses/diolah, 2)
biaya pengolahan per unit atau misalnya finished inventory cost tergantung pada a)
banyaknya unit dalam inventori, b) lamanya barang disimpan, dan c) biaya
penyimpanan per unit.
Masing-masing pecahan dari komponen (sub-component) kemudian diberi
simbol, misalnya sebagai berikut:
C1 = Rata-rata biaya per setiap kali memproduksi (per run cost).
C2 = Rata-rata harga bahan mentah ditambah biaya pengolahan per unit/satuan
barang.
P = Rata-rata biaya penyimpanan dan pengiriman barang yang sudah jadi,
dinyatakan sebagai pecahan dari uang yang diinvestasikan untuk memproduksi
barang yang bbersangkutan.
L = Banyaknya barang yang dibutuhkan secara normal.
R = Banyaknya kegiatan memproduksi dalam jumlah yang sama selama setahun.
K = Jumlah biaya yang diharapkan untuk memproduksi barang yang dibutuhkan
selama setahun (bisa dianggap sebagai ukuran efektivitas).
RISET OPERASI & T.P KEPUTUSAN
3.7 BERBAGAI PERSOALAN YANG HARUS DIPECAHKAN DENGAN
MENGGUNAKAN MODEL DAN TEKNIK RISET OPERASI :
Banyak sekali teknik-teknik untuk memecahkan persoalan manajemen,
khususnya untuk pembuatan keputusan yang sudah dikembangkan dalam riset
operasi antara lain linear programming, khususnya alokasi sumber untuk mencapai
output terbaik, persoalan transportasi untuk mencapai jumlah biaya angkutan yang
minimum, teori permainan untuk penyusunan strategi agar diperoleh maximum gain
atau minimum loss, analisis jaringan kerja (net working analysis) – PERT (CPM),
persoalan antrian (queuing of waiting line) untuk pengaturan agar lamanya waktu
menunggu untuk menerima pelayanan menjadi minimum (tidak terlalu lama menunggu
agar langganan/penerimaan pelayanan (tidak bosan), persoalan inventori agar dengan
jumlah biaya yang minimum setiap saat barang yang dibutuhkan dapat dilayani dalam
jumlah yang dikehendaki dan sekaligus dalam waktu yang secepatnya serta
penentuan jumlah pesanan (order) yang tepat, persoalan penggantian (replacement)
model urutan pekerjaan (sequencing model), integer and dynamic programming,
persoalan simulasi dalam system manajemen.
RISET OPERASI & T.P KEPUTUSAN
BAB IV
PENJADWALAN PROYEK DENGAN PERT-CPM
Suatu proyek merupakan kombinasi dari kegiatan-kegiatan (activities) yang
saling berkaitan dan harus dilaksanakan dengan mengikuti suatu urutan tertentu
sebelum seluruh tugas dapat diselesaikan secara tuntas. Kegiatan-kegiatan ini saling
berkaitan sehingga ada kemungkinan suatu kegiatan tiudak dapat dimulai sebelum
kegiatan lainnya diselesaikan.
Jauh sebelum ini, penjadwalan suatu proyek dilakukan melalui perencanaan.
Perencanaan adalah penentuan mengenai apa yang harus dicapai, kapan dan
bagaimana hal tersebut dilaksanan. Perencanaan (planning) merupakan salah satu
fungsi manajemen dan bertujuan untuk memecahkan persoalan. Ada berbagai macam
perencanaan seperti perencanaan pembangunan nasional, regional, dan sektoral,
perencanaan personalia/tenaga kerja, perencanaan peralatan, perencanaan
keuangan, perencanaan produksi, serta perencanaan pemasaran/penjualan.
Didalam perencanaan terkandung unsur peramalan dalam arti memproyeksikan
kejadian-kejadian untuk waktu yang akan datang. Dalam hal ini merupakan campuran
antara pengalaman dan pekerjaan memperkirakan yang bersifat kritis adalah bahwa
peramalan harus sewajar mungkin, janganlah memperkirakan atau mengambil asumsi
kalau fakta memang tersedia. Walaupun ada unsur perkiraan, tetap diperlukan faktor
utama standar sebagai dasar pegangan perkiraan.
Selain perlunya standar, perlu diperhatikan pula kemungkinan kejadian-kejadian
yang tidak diinginkan di dalam pelaksanaan (contingency factor). Tindakan apa,
sarana apa dan kapan dilakukan jika suatu penyimpangan terjadi harus dimasukkan
didalam rangka menyusun suatu rencana.
Misalnya mencegah terjadinya kebakaran di dalam ruang komputer:
1) Memberikan larangan merokok di dalam ruang komputer.
2) Menjauhkan barang-barang yang mudah terbakar dari ruangan komputer.
3) Memasang alat pemadam kebakaran.
Secara singkat pokok-pokok perencanaan aadalah sebagai berikut:
1) Menentukan target, tanpa adanya target sukar untuk membuat evaluasi.
RISET OPERASI & T.P KEPUTUSAN
2) Kegiatan-kegiatan yang harus dilakukan.
3) Urutan kegiatan.
4) Jangka waktu yang diperlukan oleh masing-masing kegiatan.
5) Tersedianya alat ukur/standar.
6) Memperhatikan contingency factor.
Gantt Chart merupakan teknik perencanaan yang paling sederhana dan biasa
dipakai untuk bagian produksi. Pada bagian atas terdapat skala waktu, pada kolom
paling kiri untuk diisi unsur-unsur kegiatan yang harus dilakukan. Pada bagian tengah
dipakai untuk memberikan gambaran waktu untuk pelaksanaan masing-masing
kegiatan berupa jalur/pita. Panjang jalur menggambarkan jangka waktu pelaksanaan
kegiatan. Untuk dapat melihat situasi pelaksanaan sering dilengkapi dengan garis
penunjuk (cursor) yang dpat digeser kekanan sesuai bertambahnya jangka waktu.
BULAN
NO. KEGIATAN 1 2 3 4 5 6 7 8 9 10 11 12
1. Perumusan
persoalan.
__
2. Menentukan sumber
data.
_____
3. Menentukan metode
sampling.
____
4. Pembuatan daftar
pertanyaan.
____
5. Memilih dan melatih
petugas lapangan.
_____
6. Mengumpulkan data
dilapangan.
______
7. Mengolah dan
menganalisis data.
________
RISET OPERASI & T.P KEPUTUSAN
8. Menulis laporan
penelitian.
______
Gambar 4.1 (Contoh Gantt Chart)
Gantt Chart merupakan alat planning yang dinamis, karena selalu dalam
penampilan yang berubah-ubah, dapat ditambah unsur kegiatan baru dalam rencana
itu badan mencabut unsur kegiatan yang sudah selesai dilaksanakan. Kelemahan dari
Gantt Chart adalah tidak dapatnya menunjukkan dengan jelas interelasi unusr-unsur
terencana.
Makin canggihnya pelaksanaan proyek dalam masa pembangunan ini, maka
diperlukan teknik perencanaan yang sistematis, efisien, dan efektif dengan tujuan
pelaksanaan proyek dapat memberikan hasil yang optimum. Efisiensi disini
dimaksudkan penghematan tenaga, waktu, dan biaya sekaligus tujuan tercapai seperti
diharapkan. Dua teknik perencanaan yaitu CPM (Critical Path Method) dan PERT
(Project Evaluation and Review Technique), yang sangat berguna untuk menyusun
perencanaan, penjadwalan, dan pengawasan/pengontrolan proyek, telah digunakan
secara meluas terutama untuk proyek-proyek besar.
PERT dan CPM pada dasarnya merupakan metode yang berorientasikan
waktu, dalam arti bahwa keduanya akan berakhir dengan penentuan penjadwalan
waktu (a time schedule). Walaupun PERT dan CPM dikembangkan secara terpisah
dan bebas satu sama lain (independent), namun pada dasarnya sama. Mungkin
perbedaan yang paling menonjol ialah perkiraan waktu yang diperlukan untuk
melaksanaan kegiatan sifatnya deterministik dalam CPM dan Probabilistis dalam
PERT. Kedua teknik tersebut dinamakan teknik penjadwalan proyek (project
scheduling technique) yang terdiri dari tiga tahapan yaitu: perencanaan, penjadwalan,
dan pengontrolan/pengawasan.
Tujuan akhir dati tahap penjadwalan ialah membentuk a time chart yang dapat
menunjukkan waktu mulai dan selesainya setiap kegiatan serta hubungannya satu
sama lain dalam proyek.
4.1 PEMBENTUKAN DIAGRAM ANAK PANAH:
Diagram anak panah (arrow diagram) menggambarkan keterangan antara
kegiatan atau aktivitas proyek. Suatu anak panah (arrow) biasanya dipergunakan
untuk mewakili suatu kegiatan dengan ujungnya menunjukkan arah kemajuan dalam
RISET OPERASI & T.P KEPUTUSAN
proyek. Hubungan suatu kegiatan dengan kegiatan yang terjadi sebelumnya
ditunjukkan oleh adanya kejadian (event).
Yang dimaksud dengan kejadian ialah saat yang menggambarkan atau
pengakhiran suatu kegiatan (activity). Sedangkan kegiatan merupakan elemen
pekerjaan yang memerlukan waktu
Setiap kegiatan digambarkan sebagai anak panah, pangkal anak panah sebagai
awal dan ujungnya sebagai akhir suatu kejadian. Panjang anak panah tidak
menggambarkan jangka waktu dari kegiatan itu. Anak panah menggambarkan apa
yang dikerjakan mendahului, sebelum kegiatan itu dikerjakan, Setiap anak panah di
ujung dan pangkalnya diberi tanda kejadian diberi nomor, seperti berikut ini:
A A
Gambar 4.2
Kegiatan mulai dari kejadian 15 atau i dan berakhir dengan kejadian 16 atau j.
Untuk selanjutnya kejadian A ditulis kegiatan A (15, 16) atau kegiatan A (ij), artinya
dimulai pada titik i dan berakhir pada titik j. selanjutnya i disebut pangkal dan j ujung.
A B
Gambar 4.3
Keterangan:
Kegiatan B baru bisa dikerjakan kalau A sudah selesai. Jadi A harus dikerjakan
terlebih dahului sebelum B. Tanda lingkaran 1, 2, dan 3 merupakan event.
A
C
B
Gambar 4.4
15
5
5
16
6
i j
1 2 3
2
1
3 4
RISET OPERASI & T.P KEPUTUSAN
Keterangan:
Kegiatan C baru bisa dikerjakan kalau A dan B sudah selesai, Jadi A dan B harus
diselesaikan terlebih dahulu, kemudian baru C dimulai.
B
A
C
Gambar 4.5
Keterangan:
B dan C baru bisa dimulai kalau A sudah selesai
4.2 ARTI DAN KEGUNAAN JARINGAN KERJA ATAU NETWORK:
Network merupakan teknik perencanaan yang kedua yang dapat mengatasi
kelemahan Gantt Chart dalam interelasi antara kegiatan-kegiatan. Hanya di sini tidak
mempergunakan skala waktu. Kebaikan langsung yang dapat dipetik dari pemakaian
analisis network adalah sebagai berikut:
1) Dapat mengenali (identifity) jalur kritis (certyical path) dalam hal ini adalah jalur
elemen-elemen kegiatan kritis dalam skala waktu penyelesaian proyek sebagai
keseluruhan.
2) Mempunyai kemampuan mengadakan perubahan-perubahan sumber daya dan
memperhatikan efek terhadap waktu selesainya proyek.
3) Mempunyai kemampuan memperkirakan efek-efek dari hasil yang dicapai
kegiatan terhadap keseluruhan rencana apabila diimpelentasikan/dilaksanakan.
Sedangkan keuntungan tidak langsung dari pemakaian network adalah sebagai
berikut:
1 2
4
3
RISET OPERASI & T.P KEPUTUSAN
1) Sebelum menyusun suatu network seorang analis harus mengkaji rencana
secara keseluruhan, memerinci, dan mengurai menjadi komponen-komponen
kegiatan yang terpisah-pisah.
2) Seorang analis harus memikirkan interelasi dari kegiatan-kegiatan.
3) Seorang analis harus memperhitungkan batas waktu untuk masing-masing
unsur kegiatan, sebab setiap kegiatan memerlukan sejumlah waktu tertentu
untuk penyelesaiannya.
Kelemahan darai network:
1) Tidak menunjukkan skla waktu seperti halnya dengan Gantt Chart
2) Kemajuan tidak dapat ditunjukkan.
3) Posisi perjalanan atau proses tidak dapat dilihat pada diagram.
4.3 ANALISIS JARINGAN KERJA DAN PERHITUNGAN JALUR KRITIS:
Proses penentuan lamanya waktu (duration) pada tiap-tiap kegiatan,
mendapatkan waktu mulai paling awal (ES=earliest start) dan waktu penyelesaiannya
paling akhir (LF= latest finish) dari setiap kejadian (event) serta penentuan jalur kritis
(certical path) disebut analisis jaringan kerja (network analysis).
Jalur kritis adalah suatu deretan kegiatan kritis yang menentukan jangka waktu
penyelesaian bagi keseluruhan proyek. Suatu kegiatan disebut kritis (certical activity)
kalau suatu penundaan/penangguhan dimulainya kegiatan tersebut akan
mengakibatkan tertundanya waktu penyelesaian seluruh proyek. Sebaliknya suatu
kegiatan dikatakan tidak kritis atau waktu antara mulai paling awal (earlist start) dan
waktu penyelesaian paling akhir lebih panjang dari pada waktu yang seharusnya
diperlukan. Dalam hal ini kegiatan tidak kritis dikatakan mempunyai waktu yang
mengambang (slack or float time).
Dengan demikian dapat dikatakan bahwa jalur kritis merupakan rantai kegiatan
kritis yang menghubungkan titik dimulainya dan diakhirinya kegiatan dalam diagram
anak panah atau dengan singkat dapat dikatakan suatu jalur yang terdiri dari kegiatan-
kegiatan yang kritis.
RISET OPERASI & T.P KEPUTUSAN
4.4 CARA MENENTUKAN JALUR KRITIS:
Untuk menentukan jalur kritis harus dilakukan dua macam perhitungan, yaitu
perhitungan rentang waktu mulai paling awal dengan cara forward pass artinya dimulai
dari sebelah kiri (start node) dan bergerak ke kanan sampai pada event terakhir (end
node) dan waktu penyelesaian paling akhir dengan cara backward pass yaitu bergerak
dari end node ke kiri sampai ke start node. Waktu mulai paling awal (ES) dipasang
pada setiap node dengan tanda (bujur sangkar) dan waktu penyelesaian paling akhir
(LF) juga dipasang pada setiap node dengan tanda (segitiga).
2 5
3 6
2 Akhir
Mulai
Gambar4.6 (Pembentukan jalur kritis)
Sekali lagi ES dihitung dari depan ke belakang (dari kiri ke kanan) dan LF
dihitung dari belakang ke depan (dari kanan ke kiri).
Rumus ESj
ESj = maks ESi + Dij
Gambar 4.7
Dari beberapa simpul i menuju ke simpul j
0
0
1 2
4
3
5 6
i
i
i
j
RISET OPERASI & T.P KEPUTUSAN
Contoh :
Yang menuju ke simpul j = 5 yaitu simpul i = 3 dan i = 4 (lihat Gambar diatas).
Rumus LFi
LFi = min LFj – Dij
Dari satu simpul i ke beberapa simpul j.
Gambar 4.8
Contoh:
Dari i = 3, 4, 5 menuju ke-j = 6 (lihat Gambar diatas).
Setelah semua niali ES dan LF dihitung untuk semua node, maka suatu kegiatan (I,
j) dikatakan terletak pada jalur kritis dan merupakan kegiatan kritis kalau memenuhi
syarat berikut:
1) ESi = LFi , isi =
2) ESj = LFj , isi =
3) ESj – ESi = LFj – Lfi = Dij , - = -
Dengan menggunakan syarat di atas, ternyata kegiatan atau aktivitas (1,2),
(2,3), (3,4), (4,5) dan (5,6) merupakan kegiatan-kegiatan kritis sekaligus membentuk
jalur kritis. Ini merupakan waktu yang paling pendek atau paling cepat penyelesaian
proyek tersebut, di mana jumlah waktu yang diperlukan = D12 + D23 + D34 + D45 + D56 =
3 + 3 + 0 + 7 + 6 = 19, sebesar LF6 yaitu waktu penyelesaian paling akhir atau paling
lambat (the latest finish time).
i
j
j
j
RISET OPERASI & T.P KEPUTUSAN
4.5 PENENTUAN WAKTU MENGAMBANG:
Setelah kita menentukan jalur kritis dengan jalan menghitung ES dan LF, maka
tahap berikutnya kita hitung waktu mengambang (slack or float time). Ada 3 macam
nilai yang perlu dihitung yaitu:
1) Total Float:
Kelebihan waktu yang tersedia pada suatu kegiatan sebelum sampai
mempengaruhi jalur kritis (=TF). Total float (= TFij) untuk kegiatan (ij) merupakan
perbedaan anatara waktu maksimum yang tersedia untuk melakukan kegiatan (LFj –
ESi) dan lamanya waktu yang memang diperlukan Dij, yaitu:
TFij = (LFj – ESi) – Dij = LFj – Efij = LSij – ESi
Di mana LS = waktu mulai paling lambat (the latest start) dan EF = waktu
penyelesaian paling awal (earliest finish) dan untuk kegiatan (i, j), rumusnya sebagai
berikut:
LSij = LFj – Dij
EFij = ESi + Dij
2) Free Float:
waktu bebas yang dapat dipakai suatu kegiatan tanpa mengurang float
kegiatan-kegiatan berikutnya. Free Float (= FFij) untuk kegiatan (i, j) merupakan
kelebihan waktu yang tersedia (= ESj – ESi) terhadap waktu yang sebenarnya
diperlukan (= Dij) yaitu FFij = (ESj – ESi) – Dij. Kegiatan yang kritis waktu
mengambangnya nol (Zero total float).
4.6 PEMBENTUKAN TIME CHART DAN RESOURCE LEVELING:
Hasil akhir dari analisis jaringan kerja ialah pembentukan grafik waktu (time
chart). Grafik waktu dapat diubah secara mudah menjadi jadwal kalender yang sangat
memudahkan bagi pelaksana proyek untuk melaksanakannya.
Pembentukan grafik waktu harus dibuat dalam pembatasan sumber yang
tersedia, sebab kita tidak mungkin dapat melaksanakan seluruh kegiatan dalam proyek
RISET OPERASI & T.P KEPUTUSAN
seandainya terjadi pembatasan dalam tenaga dan peralatan yang memang secara
minimal harus diperlukan. Disinilah letak peranan perhitungan waktu mengambang
(total float) bagi kegiatan yang tidak kritis. Dengan melakukan penggeseran kegiatan
yang tidak kritis maju dan mundur (back and forth) antara ES dan EF (earliest start dan
earliest finish), mungkin seseorang masih dapat mengurangi sumber (resources) yang
dibutuhkan secara maksimal.
Contoh:
Kegiatan boneka (dummy activity) (3,4) tidak memerlukan waktu, ditunjukkan oleh
garis vertical. Kegiatan (1,2) dan (2,3) masing-masing memerlukan waktu 3 unit, waktu
bisa dibaca pada garis horizontal kegiatan (4,5) dan (5,6) perlu waktu 7 unit & 6 unit.
Untuk kegiatan yang kritis banyaknya waktu sesuai dengan panjangnya garis,
sedangkan untuk kegiatan yang tidak kritis, tidak sama/tidak sesuai. Apabila sumber
(resources) bukan faktor yang efektif, setipa kegiatan yang tidak kritis dapat
dijadwalkan sendini/seawall mungnkin atau secepatnya. Hal ini memungkinkan untuk
memanfaatkan waktu mengambang (foat) dalam hal dimana kegiatan tertunda
disengaja. Perhatikan gambar 4.9
Kegiatan kritis
2
3 Kegiatan tidak
kritis
2
5
0 2 4 6 8 10 12 14 16 18 20
1 2 3
4
5 6
2 4
3
3
5
6
4 6
RISET OPERASI & T.P KEPUTUSAN
Gambar4.9 (Penjadwalan waktu sesuai dengan keperluan setiap kegiatan baik yang kritis
maupun bukan)
4.7 PERTIMBANGAN PROBABILITA DAN BIAYA DALAM PENJADWALAN
PROYEK:
Analisis jaringan kerja yang telah dibahas dalam subbab-subbab sebelumnya
hanya terbatas pada waktu yang diperlukan oleh setiap kegiatan secara deterministik
tidak probabilistik. Selain itu juga tidak dibahas mengenai biaya (cost) yang diperlukan
bagi setiap kegiatan. Dalam subbab berikut ini akan dibahas mengenai aspek
probabilita dan biaya dalam penjadwalan proyek. Probabilita merupakan suatu nilai
untuk mengukur tingkat terjadinya suatu kejadia event).
Kegiatan kritis
Kegiatan tidak
kritis
Waktu
0 2 4 6 8 10 12 14 16 18 20
4
5 6
2 4
3
3
5
6
4 6
1 2 3
RISET OPERASI & T.P KEPUTUSAN
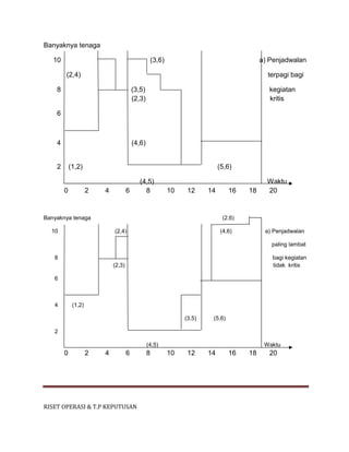
Banyaknya tenaga
10 (3,6) a) Penjadwalan
(2,4) terpagi bagi
8 (3,5) kegiatan
(2,3) kritis
6
4 (4,6)
2 (1,2) (5,6)
(4,5) Waktu
0 2 4 6 8 10 12 14 16 18 20
Banyaknya tenaga (2,6)
10 (2,4) (4,6) a) Penjadwalan
paling lambat
8 bagi kegiatan
(2,3) tidak kritis
6
4 (1,2)
(3,5) (5,6)
2
(4,5) Waktu
0 2 4 6 8 10 12 14 16 18 20
RISET OPERASI & T.P KEPUTUSAN
12
10
8
6
4
2
Waktu
0 2 4 6 8 10 12 14 16 18 20
Banyaknya tenaga
10
8
6
4
2
0 2 4 6 8 10 12 14 16 18 20
1 2 3
42
6
5
3
64
4
5
6
3
RISET OPERASI & T.P KEPUTUSAN
Gambar 4.10 (Penjadwalan waktu dan tenaga kerja, baik untuk kegiatan kritis maupun
yang bukan)
4.7.1 Pertimbangan Probabilita:
Pertimbangan probabilita biasanya sangat penting di dalam penjadwalan proyek
berdasarkan suatu anggapan atau asumsi bahwa perkiraan atau taksiran waktu yang
diperlukan bagi setiap waktu berdasarkan atas tiga nilai yang berbeda, yaitu:
a = Waktu optimis, waktu yang diperlukan kalau pelaksanaan proyek berjalan
dengan baik dan lancar.
b = Waktu pesimis, waktu yang diperlukan kalau pelaksanaan proyek jelek sekali,
tersendat-sendat.
m = Waktu normal
Nilai m tidak selalu ½ (a + b) bisa juga berbeda jauh dengan nilai tengah.
Menurut intuisi, lamanya waktu yang diperlukan oleh setiap kegiatan dalam proyek
mengikuti fungsi Beta, yang puncak kurvanya terletak pada titik m dan ekor kurvanya
pada a dan b.
a m b a m b
(Simetris) (Menceng ke kanan)
a m b
(Menceng ke kiri)
RISET OPERASI & T.P KEPUTUSAN
Gambar 4.11 (Kurva fungsi Beta)
D = (a + b) / 2 + 2 m = a + b + 4 m
3 6
V = b – a 2
= varian
6
Jadi, kalau variabel X menunjukkan lamanya waktu yang diperlukan untuk
kegiatan dalam proyek, maka D = rata-rata X dan V = varian X.
4.7.2 Pertimbangan Biaya:
Aspek biaya diperhitungkan dalam penjadwalan proyek dengan jalan
mendefinisikan hubungan biaya (cost) dengan lamanya kegiatan dalam proyek,
dimana biaya yang dimaksud ialah biaya langsung (direct cost). Biaya tidak langsung
untuk keperluan administrasi dan supervisi tidak dimasukkan.
Dalam praktek sering digunakan hubungan yang lancar antara lamanya waktu
kegiatan (duration) dengan biaya (cost), dalam suatu proyek. Dalam keadaan normal,
lamanya waktu kegiatan Dn, besarnya biaya Cn, waktu pelaksanaan dapat diperpendek
dengan menambah sumber atau biaya akan tetapi pengurangan waktu pelaksanaan ini
ada batasnya (limit) yang disebut waktu desak (crash time), di mana setelah titik ini
waktu tidak bisa dikurangi lagi, maka disebut titik desak atau carsh point (Dc, Cc). Pada
titik ini kenaikan penggunaan sumber hanya menambah jumlah biaya langsung, akan
tetapi tidak dapat mengurangi lamanya waktu pelaksanaan kegiatan.
RISET OPERASI & T.P KEPUTUSAN
Biaya
Cc
Cn Titik normal
Lamanya waktu
Dc Dn
Hubungan berupa garis lurus (straight line relationship) sering dipergunakan
sebab sangat mudah dimengerti, juga bagi setiap kegiatan dapat ditentukan dengan
mengetahui titik normal dan titik desak yaitu (Dn, Cn) dan (Dc, Cc). Selain linier,
hubungan juga bisa tidak linear akan tetapi sering didekati secara linear.
Setelah menentukan hubungan antara waktu dan biaya, kegiatan-kegiatan
dalam proyek ditentukan waktu normal yang diperlukan untuk penyelesaiannya. Jalur
kritis dari persoalan yang bersangkutan kemudian ditentukan dan biayanya dicatat.
Tahap berikutnya mempertimbangkan kemungkinan memperkecil lamanya waktu
pelaksanaan proyek. Oleh karena usaha untuk memperpendek waktu penyelesaian
proyek menyangkut pengurangan waktu bagi kegiatan-kegiatan kritis, maka perhatian
kita tunjukkan kepada kegiatan-kegiatan yang kritis saja.
4.7.3 Prosedur Lainnya Untuk Mendeteksi Jalur Kritis Baru dan Pengendalian Proyek:
Apabila FF-limit besar dan sama dengan limit tekanan (compression limit),
seseorang dapat mengurangi lamanya waktu (duration) penyelesaian proyek. Intinya,
ini mempunyai kebaikan untuk meminimumkan banyaknya penjadwalan (number of
schedules) yang dihitung antara antara titik normal dan titik desak. Hal ini ada
kemungkinan berarti, bahwa perhitungan utama dari proyek ialah diminimumkan. Akan
tetapi penentuan FF-limit memerlukan tambahan perhitungan yang semakin banyak
sejalan dengan banyaknya jalur kritis dalam proyek, Konsekuensinya tidak ada
jaminan bahwa penggunaan metode FF-limit akan menghasilkan perhitungan yang
minimum.
RISET OPERASI & T.P KEPUTUSAN
Metode lainnya juga telah dikembangkan yang menghilangkan sama sekali
kebutuhan FF-limit. Bahwa kalau limit desak = 1, FF-limit tidak perlu dihitung karena
setiap FF yang positif paling sedikit nilainya 1 (satu). Prosedur baru kemudian
diperlukan untuk mengurangi lamanya waktu proyek dengan satu unit waktu pada
setiap siklus (daur) perhitungan. Hal ini dilakukan dengan menekan kegiatan yang
mempunyai koefisien arah terkecil. Prosedur ini diulangi pada jadwal yang baru (dan
jalur-jalur kritis kalau ada) sampai jadwal desak (crash schedule) diperoleh. Perlu
dicatat, metode baru menekan waktu proyek dengan satu unit waktu pada setiap
siklus. Jadi kalau ada n unit waktu antara jadwal normal dan desak, kita akan
mengharapkan sebanyak n siklus perhitungan.
Belum ada bukti yang tepat untuk menyimpulkan metode mana yang lebih
efisien artinya menghitung serta memberikan hasil lebih cepat. Akan tetapi,
perhitungan secara manual (tidak dengan komputer), menggunakan non FF-limit
kelihatannya lebih baik.
Untuk keperluan memonitor pelaksanaan suatu proyek, ternyata penting sekali
mengikuti kemajuan suatu proyek pada diagram anak panah dari pada hanya pada
jadwal waktu. Jadwal waktu pada dasarnya dipergunakan untuk mengecek apakah
setiap kegiatan selesai pada waktunya. Dampak keterlambatan atau tertundanya suatu
kegiatan jelas akan terasa pada kegiatan-kegiatan yang mengikutinya dan dapat
diperhitungkan melalui diagram anak panah.
RISET OPERASI & T.P KEPUTUSAN
BAB V
TEORI PERMAINAN
Dalam suatu dunia usaha (business world) yang sangat kompetitif sifatnya,
salah satu permasalahan (persoalan) yang sangat relevan bagi pihak eksekutif ialah
mempelajari atau paling tidak memperkirakan kegiatan-kegiatan atau reaksi-reaksi dari
pihak saingan (competitor). Seandainya eksekutif atau pimpinan dapat melakukan
perhitungan guna mengetahui apa yang akan dilakukan oleh pihak lawan terlebih
dahulu, maka perencanaan (planning) akan menjadi lebih mudah dan lebih efektif,
terutama dalam menyusun strategi untuk merebut pasar misalnya, pengalaman
tentang tingkah laku seorang saingan akan memudahkan untuk meramalkan strategi
apa yang akan dilakukan. Dalam hal ini dimana informasi semacam itu tersedia,
dimungkinkan untuk memilih keputusan-keputusan yang memaksimumkan firm’s
expected return setelah memperhitungkan pengaruh yang ditimbulakan oleh tindakan
pihak lawan.
Ide dasar dari teori permainan adalah tingkah laku strategis dari pemain atau
pengambil keputusan (player or decision maker). Setiap pemain dianggap mempunyai
suatu seri rencana atau model tingkah laku dari mana dia bisa memilih, kalau kita
memiliki suatu set strategi. Strategi menunjukkan untuk setiap situasi yang timbul
dalam proses permainan, gerakan khusus mana yang harus dipilih (perhatikan
permainan catur dan kartu bridge, selalu memikirkan kemudian memutuskan untuk
melakukan gerakan).
Perlu diperhatikan disini bahwa teori permainan menekankan tidak hanya set
strategi atau gerakan-gerakan yang diambil bagi pengambil keputusan (pemain) yang
tunggal, akan tetapi tindakan yang dilakukan dalam situasi dimana pemain lainnya
sebagai lawannya juga berbuat sesuatu untuk melakukan gerakan-gerakan sesuai
dengan strategi yang dipilihnya. Lebih lanjut tindakan/gerakan seorang pemain akan
mempengaruhi gerakan pemain lawannya secara langsung. Dengan perkata lain,
setiap pemain berada dalam lingkungan yang dinamis bukan statis atau dalam
keadaan stokastik (stockastic universe). Pertimbangan ditekankan pada
ketergantungan atau keterkaitan strategi dari masing-masing pemain (player). Seperti
misalnya, “kalau saya melakukan gerakan ini, dia akan melakukan gerakan itu, maka
seharusnya saya melakukan gerakan itu. Akan tetapi dia juga akan melakukan
gerakan lainnya bukan itu lagi, dan seterusnya.” Jadi selalu ada pada setiap saat
pemikiran, strategi dan tindakan yang baru. Hasil tindakan/gerakan seorang pemain
akan ditentukan oleh gerakan pemain lawannya.
RISET OPERASI & T.P KEPUTUSAN
5.1 PERMAINAN BERJUMLAH NOL DARI DUA ORANG:
Di dalam permainan berjumlah nol dari dua orang. Hasil kemenangan berupa
pembayaran dapat disajikan dalam bentuk matriks untuk pembayaran dalam
permainan yang disebut pay-off matrix of the game, untuk selanjutnya disebut matriks
pembayaran. Jadi matriks pembayaran (MP) atau pay-off matrix, merupakan matriks
yang elemen-elemennya merupakan jumlah nilai yang harus dibayarkan dari pihak
pemain yang kalah kepada yang menang pada akhir suatu permainan. Pengertian pay
off tidak selalu berarti pembayaran berupa uang, akan tetapi bisa juga
kenaikan/penurunan market share.
Misalnya ada dua orang pengusaha A dan B yang sedang bersaing untuk
merebut pasar bagi produk tertentu. Matriks pembayaran yang dikembangkan mewakili
matriks pembayaran pengusaha A dan merupakan pembayaran yang dilakukan
pengusaha B kepada A pada akhir permainan. Misalnya dalam usaha meningkatkan
market share, pengusaha A mempertimbangkan berbagai alternatif cara
pembungkusan yang baru, yaitu dengan memilih warna pembungkus merah (m),
kuning (k), dan biru (b) yang disebut sebagai strategi 1, 2, dan 3. Sedangkan B
saingan dari A mempunyai dua strategi. Strategi pertama memberikan hadiah dan
strategi kedua memberikan potongan harga kepada para pembeli. Sebut saja strategi
B strategi 1 dan 2. Setiap pasangan strategi terbuka bagi kedua pemain (pembuat
keputusan).
Misalkan A menghasilkan strategi 3, yaitu menggunakan bungkus biru dan B
memilih strategi 2 yaitu memberikan potongan harga. Misalnya dengan strategi 3, A
dapat menaikkan market share sebesar 5% mungkin berdasarkan ramalan. Hal ini
disebut pembayaran bagi A (A5
pay off) kalau B memilih strategi 2. Dengan jalan yang
sama untuk setiap strategi A yang dia pilih kemudian bersamaan dengan strategi yang
dipilih oleh B, dapat diramalkan pembayaran bagi A, misalnya kalau A memilih strategi
1% tetapi kalau B memilih strategi 2, A akan kehilangan sebesar 3% (tanda -3).
Matriks pembayaran A adalah sebagai berikut:
RISET OPERASI & T.P KEPUTUSAN
STRATEGI B
1 2 Minim Baris
STRATEGI A 1 1 -3 -3
2 (2) 4 2
3 -1 5 -1
2 5
Maks. Kolom
Gambar 5.1 (Matriks Pembayaran Untuk A)
Catatan:
Kalau pada baris tertentu dan kolom tertentu angkanya positif, A dikatakan
menang (menerima pembayaran) seperti pada baris 1, angka 1, pada baris 2 angka 2,
akan tetapi kalau negatif, A dikatakan kalah (dia harus membayar). Matriks
pembayaran (pay off matrix) tidak mempunyai arti pembayaran sebenarnya dalam
bentuk uang. Sebab ini merupakan istilah (terminology), seperti dalam contoh diatas.
Angka 5 tidak berarti A menerima pembayaran dalam bentuk uang, tetapi artinya
market share dari A naik 5% dan -3 tidak berarti harus membayar sejumlah uang, akan
tetapi A mengalami penurunan market share sebesar 3%.
Matriks pembayaran B merupakan matriks pembayaran A di mana setiap
elemennya dikalikan minus satu (-1), sebab kemenangan dari A sebetulnya
merupakan kekalahan dari B. Jumlah kemenangan A ditambah kekalahan B harus nol
(zero sum game). Perusahaan A disebut perusahaan yang berusaha memaksimumkan
(maximizing) dan B meminimumkan (minimizing). Suatu permainan yang melibatkan
sebanyak n orang pemain disebut permainan n orang, jadi kalau n = 2, permainan 2
orang. Tentu saja n bisa lebih dari 2 orang misalnya 3, 4, 5 dan seterusnya. Permainan
juga dikategorikan atau diklasifikasikan menjadi beberapa gerakan (moves) atau
strategi (strategy). Permainan catur melibatkan dua orang (two person game), poker
melibatkan banyak orang (many person game). Baik catur maupun poker, jumlah
RISET OPERASI & T.P KEPUTUSAN
gerakannya terbatas. Dalam buku ini hanya dibahas permainan berjumlah nol dari dua
orang dengan jumlah kemungkinan gerakan terbatas.
Ilustrasi 1.
Kasus (1) Matriks pembayaran
B
A
Penjelasan: A menang 2 unit, A menang 4 unit (baris 1)
A menang 1 unit, A kalah 2 unit (baris 2)
5.2 STRATEGI MINIMMAKS DAN MAKSIMIN SERTA TITIK SADEL:
Apabila dihadapkan pada permasalahan atau persoalan seperti diatas,
seseorang harus menggunakan pendekatan yang sangat berhati-hati dan berasumsi
tentang keadaan terburuk dan bertindak seperti seharusnya.Jadi, dengan
menggunakan Tabel 5.1 sebagai referensi, kalau pengusaha A atas nama
perusahaannya memilih strategi 1 maka keadaan terburuk kalau B memilih strategi 2,
dalam hal ini A kehilangan 3. Ini berarti dari kemenangan sebesar 1 yang akan
dinikmati oleh A, akan tetapi kalau B memilih strategi 2, justru kekalahan yang diderita.
Sekarang pengusaha A atas nama perusahanya akan berusaha untuk
memaksimumkan pembayaran yang minimum ini. Dengan perkataan lain, pengusaha
A akan memilih suatu strategi yang membuat return sebesar-besarnya atau
semaksimum mungkin. Jadi akan memaksimumkan pay-off yang minimum. Aturan
pengambilan keputusan ini disebut strategi maksimin.
Dengan cara yang sama pengusaha B akan menganut pendekatan yang sangat
berhati-hati pula. Bagi B, keadaan yang paling buruk kalau A memperoleh pembayaran
yang tinggi.
2 4
1 -2
RISET OPERASI & T.P KEPUTUSAN
Secara ringkas strategi yang dianut A memaksimumkan minimum pembayaran
(maximum) sedangkan strategi yang dianut B meminimumkan maksimum pembayaran
(minimax). Dalam hal ini pilihan A strategi 2 dan pilihan B strategi 1, besarnya
pembayaran 2 (perpotongan baris 2 dan kolom 1). A menang 2, B kalah 2, jumlahnya 2
+ (-2) = 0.
5.2.1 Titik Sadel:
Agar dapat melakukan pembahasan teori permainan secara umum kita perlu
menggunakan symbol matematika. Misalnya ada dua pemain katakana A dan B yang
saling bersaing, matriks pembayaran untuk A sebagai berikut:
a11 a12 … aij … a1n
a21 a22 … a2j … a2n
A = :
ai1 ai2 … aij … ain
am1 am2 … amj … amn
Matriks A di atas dikatakan mempunyai m baris dan n kolom 15) ini berarti
pemain A mempunyai m strategi dan pemain B mempunyai n strategi. Elemen aij
merupakan besarnya nilai pembayaran yang diterima oleh A, ketika A menggunakan
strategi I sedangkan lawannya B menggunakan strategi j. I = 1, 2, …, m dan j = 1, 2, …
n. Baris-baris pada matriks menunjukkan strategi A dan kolom-kolom strategi B.
Contoh tentang Titik Sadel:
Berikut ini adalah matriks pembayaran bagi pemain A.
minimum (baris)
8 7 15 12 7
9 14 8 10 8
(10) 12 14 13 10
RISET OPERASI & T.P KEPUTUSAN
Maximum (kolom) 10 14 15 13
Kalau nilai minimum pada baris diperhatikan, maka nilai maksimumnya sebesar
10. Seabaliknya nilai minimum dari nilai maksimum pada kolom sebesar 10 juga.
maks min {aij} = min maks {aij} = 10
i j i j
Jadi terdapat titik sadel, nilai permainan 10, tercapai kalau A menggunakan
strategi 3 dan B strategi 1, akl = a31 = 10 = nilai permainan, merupakan nilai minimum
pada strategi A (baris 3) dan nilai maksimum pada strategi B (kolom 1).
5.3 STRATEGI CAMPURAN:
Dalam ilustrasi (2), dari subbab di atas, tidak ada titik keseimbangan (titik
sadel), maka dari itu strategi murni tidak ada, baik untuk pemain A maupun B. Agar
dapat diperoleh suatu pemecahan permainan yang mempunyai tipe seperti ini, Von
Neumann memperkenalkan konsep strategi campuran (mixed strategy).
Pembahasan strategi campuran di atas mengarah kepada dalil minimaks dari
Von Neumann yang mengatakan bahwa kalau set kemungkinan strategi dari para
pemain diperluas sampai di luar strategi murni yang mencangkup seluruh
kemungkinan strategi campuran, selalu ada beberapa strategi campuran untuk pemain
A yang minimum pay off–nya akan lebih besar dari nilai maksimin dan selalu ada
beberapa strategi canpuran untuk pemain B yang maximum pay off-nya lebih kecil dari
minimaks dan dua nilai pay off itu sama. Dengan perkataan lain untuk semua jenis
permainan berjumlah nol untuk dua pemain (two person zero sum game), nilai
maksimin = minimaks, kalau seluruh kemungkinan keacakan (randomization)
diperhitungkan. Dalil ini terkenal dengan nama dalil minimax dari teori permainan
(minimax theorem of game theory) dari Van Neumann dan dianggap sebagai dasar
untuk pengembangan teori permainan.
Ilustrasi:
Perhatikan suatu matriks permainan dengan matriks pembayaran A sebagai berikut:
RISET OPERASI & T.P KEPUTUSAN
Minimum (baris)
1 6 8 (1) Maksimin = 1
A = 2 7 -9 -9 Minimaks = 2
-4 9 12 -4 Tidak ada titik sadel
Maksimum (kolom) (2) 9 12
Misalkan pemain A memilih strategi campuran X = (x1, x2, x3) dan pemain B
memilih strategi campuran Y = (y1, y2, y3). Fungsi pembayaran untuk pemain A =
E(X,Y) =
1 6 8 Y1
XAY = (x1, x2, x3) 2 7 -9 Y2
-4 9 12 Y3
= x1 (y1 + 6y2 + 8y3) + x2 (2y1 + 7y2 – 9y3) + x3 (-4y1 + 9y2 + 12y2)
Misalkan diketahui X = (1/3, 1/3, 1/3), Y = (1/4, 1/2, ¼) maka:
E(X,Y) = 1/3(1/4 + 6.1/2 + 8.1/4) + 1/3(2.1/4 + 7.1/2 – 9.1/4) +
1/3(-4.1/4 + 9.1/2 + 12.1/4) = 9/4
Nilai harapan matematis pemain A sebesar 9/4, artinya secara rata-rata per
permainan akan memperoleh kemenangan 9/4 = 2,25.
5.4 METODE PEMECAHAN UNTUK PERMAINAN:
5.4.1 Metode Aljabar untuk Strategi Optimum:
Suatu permainan di mana dua pemain mempunyai dua alternatif (dua pilihan
strategi) terkenal dengan suatu permainan 2 kali 2 (2 x 2). Di dalam menggunakan
metode aljabar misalkan p = bagian dari waktu yang diperlukan pemain A untuk
memainkan strategi pertama dan (1 – p) = bagian dari waktu yang diperlukan untuk
strategi kedua. Demikian juga untuk B, kita pergunakan simbol q dan (1-q). Disajikan
dalam matriks, kita peroleh bentuk penyajian sebagai berikut:
RISET OPERASI & T.P KEPUTUSAN
q (1-q)
p 4 1
(1-p) 3 5
Bagi pemain A strategi 1 – 2
Apapun yang dilakukan B
Dengan menggunakan cara ini, pemain A tertarik untuk membagi permainan
antara dua baris (strategi) dengan maksud agar kemenangan yang diharpkan
(expected winning) dari memainkan strategi 1 akan sama dengan kemenangan yang
diharapkan dari memainkan strategi 2, tanpa memedulikan strategi apa yang dipilih
pihak lawan (pemain B). Bagi pemain A agara dapat mencapai strategi terbaik apakah
dengan memilih strategi 1 atau 2, perlu menyamakan kemenangan yang diharapkan
yang diperoleh sewaktu B memilih strategi 1 yaitu 4p + 3(1-p) dengan kemenangan
yang diharapkan sewaktu B memilih strategi 2 yaitu p + 5(1-p) maksudnya pemain A
harus berusaha agar
4p + 3(1-p) = p + 5(1-p)
4p + 3 – 3p = p + 5 – 5p
p + 3 = 5 – 4p
3p = 2
P = 2/5 = 0,4
Jadi strategi campuran yang optimal bagi A dicapai kalau dia menggunakan 2/5
waktunya untuk memainkan strategi 1 (baris 1) dan 3/5 waktunya untuk memainkan
strategi 2 (baris 2).
Dengan penalaran yang sama kita dapat mencari nilai q dengan memecahkan
persamaan berikut:
4q + (1 – q) = 3q + 5(1 – q)
4q + 1 – q = 3q + 5 – 5q
3q + 1 = 5q – 2q
5q = 4
RISET OPERASI & T.P KEPUTUSAN
q = 4/5 = 0,8
Jadi strategi campuran yang optimal bagi B dicapai kalau dia menggunakan 4/5
waktunya untuk memainkan strategi 1 (kolom 1) dan 1/5 waktunya untuk memainkan
strategi 2 (kolom 2).
Contoh:
Dua pemain A dan B mempunyai matriks pembayaran tanpa titik sadel, sebagai
berikut:
B
5 1
A
3 4
P = Proporsi waktu pemain A untuk menggunakan strategi 1
1-p = Proporsi waktu pemain A untuk menggunakan strategi 2
q = Proporsi waktu pemain B untuk menggunakan strategi 1
1-q = Proporsi waktu pemain B untuk menggunakan strategi 2
(proporsi atau bagian) lihat table sebagai berikut:
q 1-q
p 5 1 baris 1, strategi 1, pemain A
1-p 3 4 baris 2, strategi 2, pemain A
1 1
Kolom 1 Kolom 2
RISET OPERASI & T.P KEPUTUSAN
Strategi 1 Strategi 2
Pemain B Pemain B
Nilai p antara 0 dan 1 (0 dan 100%)
Nilai q antara 0 dan 1 (0 dan 100%)
Sekarang kita harus mencari nilai p dan q. Perhatikan pemain A dulu. Logikanya
A akan membagi permainannya antara baris 1 dan 2 sehingga dia akan mencapai
kemenangan yang sama, baik B memainkan kolom 1 maupun kolom 2.
Tabel dibawah ini mewakili rata-rata kemenagan A, kalau dia mengguanakan
strategi 1 sebanyak p kali dan strategi 2 sebanyak (1-p) kali. Rata-rata kemenangan A,
kalau B memilih strategi 1 sebesar 5p + 3 (1-p) ini harus sama dengan rata-rata
kemenangan A, kalau B memilih strategi 2 yaitu sebesar p + 4 (1-p). Untuk mencari
nilai p kita pecahkan persamaan berikut:
5p + 3 (1 – p) = p + 4 (1 – p)
5p + 3 – 3p = p + 4 – 4p
5p = 1
P = 1/5 = 0,2 (=20%)
1=p = 1 – 0,2 = 0,8 (=80%)
Artinya, A menggunakan 20%, waktunya untuk memainkan strategi 1 dan 80% untuk
strategi 2.
Kalau B memilih strategi 1 Kalau B memilih strategi 2
A memilih strategi 1,
p kali
A menang 5 unit, p kali A menang 1 unit, p kali
A memilih strategi 2,
(1-p) kali
A menang 3 unit, (1-p) kali A menang 4 unit, (1-p) kali
Rata-rata
kemenangan
5p + 3 (1-p) P + 4 (1-p)
Gambar 5.2 (Rata-rata Kemenangan A)
RISET OPERASI & T.P KEPUTUSAN
B memainkan kolom 1. q
kali dan kolom 2 (1q) kali
Rata-rata kekalahan B
A memilih strategi 1 B kalah B kalah
5 Unit 1 Unit
q Kali (1-q) Kali
5q – 1 ( 1-q)
A memilih strategi 2 B Kalah B Kalah
3 Unit 4 Unit
q Kali (1-q) kali
3q + 4 (1-q)
Gambar 5.3 (Rata-rata kekalahan B)
Untuk mencari nilai q, penalaran yang sama dengan A dipergunakan oleh B
yaitu menyamakan nilai rata-rata kemenangan kalau A memilih strategi 1 dengan rata-
rata kemenangan kalau A memilih strategi 2, yaitu:
5q + (1 – q) = 3q + 4 ( 1 – q)
5q + 1 – q = 3q + 4 – 4 q
4q + 1 = 4 – q
5q = 3
Q = 3/5 = 0,6 (=60%)
(1-q) = 1 – 3/5 = 2/5 = 0,4 (=40%)
Jadi, pemain B menggunakan 60% waktunya memilih kolom 1 dan 40%
waktunya memilih kolom 2.
5.4.2 Menggunakan Probabilita dan Nilai Harapan Permainan:
Dalam suatu permainan sederhana 2 kali (2x2), yang tidak memiliki titik sadel,
strategi dari setiap pemain akan mempunyai probabilita (probability) untuk
menunjukkan banyaknya bagian atau proporsi waktu yang dipergunakan untuk
RISET OPERASI & T.P KEPUTUSAN
melakukan strategi tersebut. Karena setiap pemain bermain secara acak (at random),
kita dapat mencatat probabilita untuk setiap pembayaran (pay off). Sebagai suatu
ilustrasi perhatikan matriks pembayaran bagi pemain, yaitu sebagai berikut:
4 1
3 5
Probabilta untuk pemain A = (2/5, 3/5) dan untuk B = (4/5, 1/5). Ini artinya 2/5 =
0,4, atau 40% waktu A untuk memainkan strategi 1 (baris 1), 3/5 = 0,6 atau 60%
lainnya untuk memainkan strategi 2 (baris 2). Demikan halnya dengan B, dia
menggunakan 80% waktunya untuk memainkan strategi 1 (kolom 1) dan 20%
waktunya untuk memainkan strategi 2 (20%).
Oleh karena itu kedua pemain bermain secara independent artinya masing-
masing tidak tahu strategi yang mana yang akan dipilih oleh pihak lawan, maka
probabilita untuk pemain A juga independent terhadap probabilita pemain B.
Nilai pembayaran dalam permainan akan diperoleh kalau permainan secara
simultan akan memainkan baris atau kolom tertentu. Dengan mengetahui nilai
probabilita untuk pemilihan baris atau kolom tertentu, dapat dihitung nilai probabilita
untuk setiap pembayaran (pay off) seperti table dibawah ini:
Pembayaran Strategi Penghasil Pembayaran Probabilita Pembayaran
4 Baris 1, Kolom 1 (2/5) (4/5) = 8/25
1 Baris 1, Kolom 2 (2/5) (1/5) = 2/25
3 Baris 2, Kolom 1 (3/5) (4/5) = 12/25
5 Baris 2, Kolom 2 (3/5) (1/5) = 3/25
Jumlah 25/25 = 1
Gambar 5.4 (Perhitungan Probabilita Pembayaran)
5.4.3 Menggunakan Metode Dominance:
Suatu permainan di mana seorang pemain mempunyai lebih dari dua pilihan
strategi, sedangkan lawannya hanya terbatas pada dua pilihan diberi simbol
RISET OPERASI & T.P KEPUTUSAN
permainnan 2 x M atau M x 2 (dua kali M atau M kali 2). Seperti contoh berikut ini,
pemain A mempunyai 3 alternatif dan B hanya 2 alternatif, maka merupakan
permainan tipe M x 2 dengan M = 3 dari tipe 2 x M, dengan M = 4.
Dalam hal yang kedua ini, pemain A mempunyai 2 alternatif (strategi) dan B
mempunyai 4 alternatif.
B
1 1 B
A -4 -1 dan A 0 2 -4 -7
2 1 1 3 -6 -1.
5.4.4 Pemecahan Dengan Metode Grafik:
Perhatikan matriks permainan 3x2 berikut ini:
B
-2 4
A 8 3
9 0
Kalau A memilih strategi 1, dia akan kalah sebesar 2 (menag -2) kalau B meilih
strategi 1 dan akan menang 4 kalau B memilih strategi 2.
Kita bisa menggambarkaan grafik kemenangan A, seperti terlihat pada gambar
dibawah ini. Garis strategi 1, menghubungkan (-2) pada garis yang menunjukkan
strategi 2 dari B, strategi 2 menghubungkan (8) dengan (3) dan strategi 3
menghubungkan (9) dengan (0).
Kalau A memilih strategi 2 dia akan menang 8 atau 3 tergantung strategi mana
yang dipilih B. Selanjutnya kalau A memilih strategi 3 dia akan menang 9 atau 0, juga
tergantung pada strategi mana yang dipilih oleh B. Semua garis (kurva) yang
menggambarkan 3 strategi dapat dilihat pada gambar dibawah ini. Dari gambar di
bawah ini dapat dilihat bahwa strategi 3 buat A akan memberikan kemenangan yang
menarik yaitu sebesar 9, kalu B memilih strategi 1. Akan tetapi, kalau B memilih
RISET OPERASI & T.P KEPUTUSAN
strategi 2, kemenangan merosot dari 9 menjadi 0. Ini suatu resiko bagi A untuk memilih
strategi 3. Dengan anggapan bahwa kedua pemain menggunakan suatu pendektaan
inteligen dan rasional, permainan akan dimainnkan sebagai berikut:
a) Kalau A memilih strategi 3, dengan harapan memenangkan 9 unit, pemain B
akan segera beralih ke strategi 2 yang menyebabkan kemenangan merosot dari
9 menjadi 0.
b) Segera setelah mengetahui hal ini pemain A beralih ke strategi 1 dengan
harapan memenangkan 4 unit, kalau B tetap memilih strategi 2.
c) Pemain B juga tidak kalah gesit, begitu A memilih strategi 1, B segera beralih ke
strategi 1 di mana dia mengharapkan kemenangan 2 unit (merupakan
kekalahan A).
d) Mengetahui halk ini A beralih ke strategi 2, mengharapkan kemenangan 8 unit
(merupakan kekalahan B).
10 10
9 9
8 8
7 7
6 6
5 Strategi 2 5
4 4
3 Strategi 3 3
2 2 Titik V, Mulai permainan
1 1
0 0
-1 -1
-2 Strategi 1 -2
-3 -3
Pemain B memilih strategi 1 Pemain B memilih strategi 2
RISET OPERASI & T.P KEPUTUSAN
Gambar 5.5 (Kemenangan Pemain A)
e) Menyadari B akan kalah 8 unit, dia segera beralih ke strategi 2, dengan harapan
agar kemenangan A mengecil menjadi 3 unit (kekalahan B mengecil dari 8 ke-
3).
f) Proses ini akan jalan terus samapai batas waktu yang sudah disepakati
bersama.
5.4.5 Permainan 3 x 3 dan Yang Lebih Besar Serta Penggunaan Linier Programming:
Untuk pemecahan permainan 3 x 3 dan yang lebih besar, langkah pertama
seperti halnya dengan permainan 2 x 2, kita mencari ada tidaknya titik sadel, yang
merupakan pemecahan permainan (nilai permainan) Perhatikan matriks pay off berikut
ini yang terdiri dari 3 baris dan 3 kolom
B
14 10 (9)
A 4 -2 -6
8 6 4
A memilih strategi 1 (baris 1) dan B memilih strategi 3 (kolom 3). Angka (9)
merupakan titik sadel, sekaligus pemecahan atau nilai permainan. Angka (9)
merupakan minimum pada baris 1 dan maksimum yang sekaligus merupakan
kekalahan B yang minimum.
Apabila tidak terdapat titik sadel, kita dapat menggunakan metode dominance,
dengan jalan mengurangi baris atau kolom sehingga membuat permainan menjadi
lebih kecil, dapat dipecahkan dengan cara aljabar.
5.4.6 Penggunaan Teknik Linier Programming:
Apabila tidak ada titk sadel dan matriks tidak dapat diperkecil, Kita harus
menggunakan teknik linier programming untuk memecahkan perhatikan matriks pay off
berikut ini:
RISET OPERASI & T.P KEPUTUSAN
y1 y2 y3
x1 3 2 3
x2 2 3 4
x3 5 4 2
x1, x2, x3 merupakan probabilita bahwa A memilih strategi (baris) 1, 2, 3.
Selanjutnya y1, y2, y3 merupakan probabilita bahwa B memiliki strategi (kolom) 1, 2, 3.
Perlu diketahui x1+ x2 + x3 = 1, dan y1 + y2 + y3 = 1
Dari pembahasan sebelumnya untuk permainan 2 x M dan m x 2 kita dapat
menulis ketidaksamaan yang menyatakan harapan pemain B sebagai berikut:
3 y1 + 2 y2 + 3 y3 < V
2 y1 + 3 y2 + 4 y3 < V
5 y1 + 4 y2 + 2 y3 < V, di mana V = Nilai Persamaan.
Proporsi waktu untuk memainkan setiap strategi (kolom) apabila dijumlahkan = 1
y1 + y2 + y3 = 1
RISET OPERASI & T.P KEPUTUSAN
BAB VI
TEORI ANTRIAN DAN APLIKASINYA
Dalam kehidupan sehari-hari kata antrian yang dalam bahasa Inggris disebut
queuing atau waiting line sangat kita jumpai sebab memang kita lakukan bilamana kita
menunggu giliran untuk menerima pelayanan (services), misalnya antrian untuk
membeli karcis kereta api di stasiun, membeli karcis bioskop, membeli karcis untuk
menonton pertandingan sepak bola di stadion, membayar tol di gerbang tol,dan lain-
lain. Yang antri belum tentu orang tetapi bisa juga barang, misalnya bahan mentah
yang akan diproses untuk di jadikan produksi, komoditi eksport yang akan di muat
dikapal, data yang akan di olah di pusat computer, atau mobil yang akan diperbaiki di
bengkel.
Antrian yang sangat panjang dan terlalu lama untuk memperoleh giliran
pelayanan sangat menjengkelkan. Rata-rata lamanya waktu menunggu (waiting line)
sangat tergantung kepada rata-rata tingkat kecepatan pelayanan (rate of service).
Teori tentang antrian ditemukan dan dikembangkan oleh A.K Erlang seorang insinyur
dari Denmark yang bekerja pada perusahaan telepon di Kopenhagen pada 1910. Dia
melakukan eksperimen tentang fluktuasi permintaan fasilitas telepon yang
berhubungan dengan aotumatic dialing equipment, yaitu peralatan penyambungan
telepon secara otomatis. Dalam waktu-waktu yang sibuk operator sangat kewalahan
untuk melayani para penelpon secepatnya, sehingga para penelpon harus antri
menunggu giliran, mungkin cukup lama.
6.1 STRUKTUR DASAR MODEL ANTRIAN:
Proses dasar yang dianggap oleh model antrian ialah bahwa spp (coustomer)
yang memerlukan pelayanan berasal dari suatu populasi yang disebut sumber
masukan (input source). Spp memasuki sistem antrian (quering system) dan
menggabungkan diri atau membentuk suatu antrian. Pada waktu tertentu, anggota
dalam antrian dipilih untuk memperoleh pelayanan dengan menggunakan aturan
tertentu yang disebut disiplin pelayanan (service discipline). Pelayanan yang
diperlukan oleh spp kemudian dilakukan oleh mekanisme pelayanan (service
mechanism), setelah pelayanan diperoleh spp meninggalkan system. Proses ini dapat
di lihat pada gambar 6.1
RISET OPERASI & T.P KEPUTUSAN
Salah satu karateristik dari populasi atau input source ialah besarnya (size) atau
banyaknya spp. Besarnya populasi (population size) ialah banyaknya spp, mungkin
langganan, yang memerlukan pelayanan dari waktu ke waktu. Populasi ini bisa
terbatas (finite) bisa juga tidak terbatas (infinite). Mengingat perhitungan akan
dipermudah kalau populasi tidak terbatas, maka biasanya populasi dianggap tidak
terbatas, di dalam membahas model antrian. Akan tetapi asumsi mengenai populasi
yang terbatas perlu dibuat, seandainya rata-rata (rate) pada saat populasi melahirkan
spp baru sangat dipengaruhi oleh beberapa spp dalam sistem.
Sistem Antrian
Spp Akan Menerima Spp Setelah
Pelayanan Menerima
Spp = Satuan Penerima Pelayanan
Pelayanan
Gambar 6.1 Proses Dasar antrian
Mekanisme pelayanan (service mechanism) terdiri dari satu atau lebih fasilitas
pelayana (fp). Masing-masing fasilitas mempunyai satu atau lebih saluran pelayanan
(service channels) yang disebut servers. Apabila terdapat lebih dari satu fasilitas
pelayanan, spp atau langganan mungkin menerima pelayanan melalui suatu urutan-
urutan (service in place) atau fase-fase tertentu.
Pada suatu fasilitas tertentu, spp masuk dalam salah satu saluran pelayanan
paralel dan menerima pelayanan secara tuntas dari pemberi pelayanan (pp) atau
servers. Proses pelayanan seperti ini, lihat pada gambar 6.2
Populasi Antrian Mekanisme
RISET OPERASI & T.P KEPUTUSAN
Spp* Spp*
Sistem Antrian
Populasi
Spp* Spp*
Spp* = Satuan penerima pelayanan yang telah menerima pelayanan
Gambar 6.2 (Suatu Sistem Antrian Elemmenter)
Spp = Satuan penerima pelayanan disebut coustomer disingkat c.
PP = Pemberi pelayanan disebut server disingkat s.
fp = Fasilitas pelayanan disebut service facility untuk lebih jelasnya perhatikan
beberapa gambar yang menunjukkan fasilitas pelayanan sebagai berikut :
6.1.1 Struktur Kedatangan Satuan Penerima Pelayanan :
a) Satu barisan (antrian) dan satu fase pelayanan (single channel single
phase). Sebagai contoh seorang pelayan took (tunggal), seorang tukang
cukur, dan sebagainya. Secara skematis digambarkan sebagai berikut:
Datang Keluar
b) Satu barisan dan beberapa fase pelayanan (single channel multiphase).
Proses pelayanan merupakan sequencing/urutan pekerjaan. Proses
pelayanan semacam ini misalnya mengurus izin usaha melalui beberapa
Spp
Spp Spp Spp
PP Fasilitas
PP Pelayanan
PP
RISET OPERASI & T.P KEPUTUSAN
orang pejabat pemerintah. Secara skematis akan kelihatan sebagai
berikut:
Datang Keluar
c) Beberapa barisan dan fase pelayanan (multi channel single phase).
Sebagai contoh dari proses pelayanan seperti ini adalah pelayanan
pembelian tiket yang dilayani lebih dari satu loket, pelayanan potongan
rambut yang memiliki lebih dari satu tukang potong, pelayanan di suatu
bank yang memiliki beberapa loket. Secara skematis digambarkan
sebagai berikut:
Datang Keluar
d) Beberapa barisan dan beberapa fase pelayanan (multi channel multi
phase). Contoh dari struktur pelayanan semacam ini adalah pelayanan
kepada pasien di rumah sakit. Di dalam rumah sakit tersebut, beberapa
perawat akan mendatangi pasien secara teratur dan memberikan
pelayanan dengan kontinu (sebagai suatu urutan pekerjaan). Secara
sistematis akan kelihatan sebagai berikut:
RISET OPERASI & T.P KEPUTUSAN
Datang Keluar
e) Campuran. Struktur campuran ini merupakan campuran dari dua atau
lebih struktur fasilitas pelayanan tersebut di atas. Stuktur ini
dipergunakan misalnya oleh toko-toko besar, yang memiliki beberapa
pelayan toko untuk melayani pembeli (multi channel), namun
pembayaran hanya kepada seorang kasir saja (single channel). Ada pula
yang mempergunakan struktur campuran yang lain, misalnya pelayanan
(service) terhadap pengunjung rumah makan, dan lain sebagainya.
6.1.2 Tingkat Pelayanan:
Tingkat pelayanan bisa konstan/ajek dari waktu ke waktu sama, mengikuti
distribusi exponential atau mempunyai bentuk yang lain. Waktu pelayanan (service
time) ialah lamanya waktu sejak pelayanan diberikan kepada seorang spp sampai
selesai pada fasilitas pelayanan.
Model antrian harus secara khusus menyebutkan distribusi probilita waktu
pelayanan bagi setiap pp (server), kalau mungkin untuk berbagai spp, walaupun dalam
prakteknya di anggap setiap spp mempunyai probabilita yang sama.
Rata-rata pelayanan (mean server rate) diberi simbol u merupakan banyaknya
spp atau langganan yang dapat dilayani dalam satuan (unit) waktu, sedangkan rata-
rata waktu pelayanan (average service time) ialah rata-rata waktu yang dipergunkan
untuk melayani per spp atau langganan, diberi simbol 1/u unti (satua). Misalnya dalam
waktu 5 menit dapat dilayani 10 langganan. Dalam 1 menit dapat dilayani 10/5 = 2
orang. Jadi, u = 2 merupakan jumlah orang yang dilayani dalam 1 menit, 1 orang
dilayani ½ menit. Jadi, 1/u merupakan rata-rata waktu pelayanan.
RISET OPERASI & T.P KEPUTUSAN
6.2 KEDATANGAN MENURUT SALURAN TUNGGAL DENGAN RATA-RATA
PELAYANAN EKSPENSIAL:
Dalam hal kedatangan menurut saluran tunggal poisson dengan pelayanan
mengikuti fungsi eksponensial, hanya ada satu unit pp (pp = pemberi pelayanan) yang
melayani. Masukan input seperti langganan atau pekerjaan, kedatangannya mengikuti
fungsi passion. Rata-rata pelayanan yang mengikuti fungsi eksponensial bebas
terhadap banyaknya spp yang berada dalam barisan (antrian). Kedatangan spp
diperlakukan atas dasar FIFO, siapa yang datang terlebih dahulu akan memperoleh
pelayanan terlebih dahulu.
Asumsi lainnya yang diperlukan di dalam pengembangan model antrian ialah
bahwa rata-rata kedatangan (rate of arrival) lebih kecil dari rata-rata pelayanan (rate of
service) artinya λ < u, dengan demikian semua spp akan dapat dilayani. Didalam
model antrian akan dipergunakan notasi (simbol) dan istilah-istilah sebagai berikut:
1) λ (= lamda) = rata-rata kedatangan (mean arrival rate) yaitu banyaknya
kedatangan spp per satuan waktu ( 1 jam, 1 hari, dan lain sebagainya).
2) λ▲t = probabilita bahwa satu spp dating dalam system antrian antara waktu t
sampai dengan t + ▲t, yaitu suatu interval waktu t (t + ▲t) ▲=
Delta, tanda tambahan.
3) (1- λ ▲t) = Probabilita bahwa tidak ada spp yang datang dalam interval t sampai
dengan (t + ▲t).
4) U = rata-rata pelayanan (mean service rate) yaitu banyaknya spp yang dilayani
per unit waktu oleh pp.
5) U ▲t = probabilita bahwa satu pelayanan telah selesai diberikan dalam interval
waktu t sampai dengan t + ▲t.
6) (I - u▲t) = probabilita bahwa tidak ada satu pun spp yang diberi pelayanan
dalam interval waktu t sampai dengan (t + ▲t).
7) N = banyaknya spp (seperti langganan, barang, pekerjaan yang harus
dilayani/dikerjakan, dalam system antrian (waiting line and service facility)pada
waktu t.
8) Pn (t) = probabilita bahwa ada n spp dalam sistem antrian pada waktu t.
RISET OPERASI & T.P KEPUTUSAN
9) P n+1 (t) = probabilita bahwa ada (n = 1) spp dalam sistem antrian pada waktu t.
10) P n-1 (t) = probabilita ada (n-1) spp dalam waktu sistem antrian pada waktu t.
11) Pn (t + ▲t) = probabilita bahwa ada n spp dalam sistem antrian pada waktu (t +
▲t).
Catatan:
Kata antrian atau barisan mempunyai arti yang sama. Untuk menyederhanakan
simbol Pn (t) = Pn’ asal kita tahu bahwa yang kita bicarakan waktu t. Agar dapat
menghitung Pn (t) atau pn’ kita harus mencari rumusnya, artinya menyatakan Pn (t)
dalam λ dan u serta po’.
Apabila n > 0, kejadian (event) bahwa akan ada n spp dalam sistem antrian
pada waktu (t + ▲t) dapat terjadi di dalam empat cara yang mutually exclusive and
exhaustive, artinya saling meniadakan, kalau yang satu sudah terjadi, yang lainnya
pasti tidak akan terjadi, perhatikan tabel dibawah ini:
Kejadia
n
Prob. Adanya
n spp dalam
antrian pada
waktu t
Kedatangan
dalam interval
t s/d t + ▲t
Spp yang
dilayani dalam
interval t s/d t
+ ▲t
Spp dalam
antrian pada
waktu t s/d t
+ ▲t
1 Pn 0 0 n
2 P n+1 0 1 n
3 P n-1 1 0 n
4 Pn 1 1 n
Oleh karena hanya ada satu kejadian dari kemungkinan sempat kejadian yang
harus terjadi, kita memperoleh ekspresi untuk Pn (t + ▲t), di mana n > 0, dengan jalan
menjumlahkan nilai probabilita untuk setiap kejadian yang terpisah tersebut di atas,
yaitu:
RISET OPERASI & T.P KEPUTUSAN
Pn (t + ▲t) = Pn (t) (1 - λ▲t) (1 - u▲t) + Pn+1 (t) (1 - λ▲t) u ▲t + Pn-1 (t) (1 –
u▲t) λ▲t + Pn (t) λ▲t. u▲t
= Pn (t) 1 - λ▲t – u▲t) + Pn+1 (t) u▲t + Pn-1 (t) λ▲t + (▲t)1 +
(▲t)2 + (▲t)3 + ▲t)4
Di dalam ekspresi ini, (▲t) 1’, (▲t)2’, (▲t)3’, (▲t)4’, merupakan suku-suku dengan
pangkat yang tinggi bagi ▲t. Apabila ▲t mendekati nol, suku-suku ini nilainya kecil
sekali sehingga bisa diabaikan. Dengan demikian ekspresi di atas menjadi lebih
sederhana yaitu menjadi Pn (t + ▲t) = Pn (t) (t - λ▲t - u▲t) + Pn+1 (ty) u▲t + Pn-1 (t)
λ▲t, sehingga dibagi dengan ▲t, kita peroleh bentuk:
Pn (t + ▲t) – Pn (t) = - (λ + u) Pn (t) + u Pn+1 (t) + λPn-1 (t)
▲t
Berdasarkan definisi turunan dari Pn terhadap t:
dPn (t) = lim Pn (t+▲t) – Pn (t)
dt ▲t 0 ▲t
n > 0
Ini merupakan persamaan diferensial yang menghubungkan Pn’ Pn+1 dan Pn-1
pada waktu t, rata-rata tingkat kedatangan dan rata-rata tingkat pelayanan U. Apabila n
= 0, akan terjadi dua kejadian yang saling meniadakan (nutually exclusive), yaitu
sebgai berikut:
Kejadian 1:
Nol spp pada waktu t, tidak ada kedatangan selama waktu t sampai
dengan t + ▲t dan nol spp dalam waktu t sampai dengan t + ▲t (spp = satuan
penerimaan pelayanan).
dPn (1) = - (λ + u) Pn (t) + u Pn+1 (t) + λPn-1 (t)
dt
RISET OPERASI & T.P KEPUTUSAN
Kejadian 2:
Satu spp pada waktu t, tidak ada kedatangan selama waktu t sampai dengan t +
▲t dan satu spp dilayani dalam waktu t sampai dengan t + ▲t dan nol spp dalam
waktu t sampai dengan t + ▲t.
6.2.1 Saluran Tunggal Dengan Biaya Pelayanan Yang Minimum:
Saluran sistem antrian menjadi topik yang menarik sebab dalam beberapa hal
yang sering terjadi ketidak seimbangan. Mungkin terjadi suatu antrian yang panjang
(long queue) yang mengakibatkan spp (langganan) harus menunggu lama untuk
memperoleh giliran dilayani atau mungkin tersedia fasilitas pelayanan yang berlebihan
(melebihi dari pada yang seharusnya), yang mengakibatkan fasilitas tersebut tidak
dapat dimanfaatkan sepenuhnya (under utilized). Bagaimanapun juga kita lebih tertarik
kepada keseimbangan ekonomi (economic balance) dalam sistem antrian, yaitu
keseimbangan antara jumlah biaya untuk memberikan pelayanan dan biaya yang
harus ditanggung oleh langganan (spp = satuan penerimaaan pelayanan) berupa
waktu yang terbuang karena harus menunggu lama untuk menerima pelayanan.
Apabila proses antrian sifatnya internal dalam suatu organisasi, misalnya
seorang ahli mesin menunggu untuk melayani mesin yang rusak dalam suatu toko,
Kalau seandainya biaya yang ditanggung langganan dan biaya yang diperlukan untuk
pemberi pelayanan, semua ditanggung oleh perusahaan (organisai), tujuan dari
perusahaan mungkin membuat biaya total harus minimum (minimize cost).
Jumlah biaya yang diharapkan merupakan penjumlahan dan biaya tunggu yang
diharapkan bagi kedatangan per periode (WC = Waiting Cost) dan biaya fasilitas yang
diharapkan (FC = Facility Cost) untuk pemberian pelayanan per periode. Ungkapan ini
bisa dirumuskan secara matematois, di mana m = mean = rata-rata, yaitu sebagai
berikut:
RISET OPERASI & T.P KEPUTUSAN
Jumlah Biaya
Biaya Pelayanan
Biaya Menunggu
Tingkat Pelayanan
SMU = Satua Mata uang
Gambar 6.3 (Tingkah laku biaya dalam system antrian)
6.3 MODEL ANTRIAN SALURAN GANDA:
Teori antrian saluran ganda (multi channel queuing theory) ialah teori di mana
beberapa tempat pelayanan sebanyak k dipasang secara parallel (misalnya ada 5
loket), dan setiap elemen atau spp antrian atau barisan dapat dilayani oleh lebih dari
satu tempat pelayanan. Setiap fasilitas pelayanan mempunyai mutu pelayanan yang
sama, dilengkapi dengan fasilitas yang sama pula. Spp atau satuan penerima
pelayanan memilih satu tempat pelayanan (loket tertentu) tanpa adanya tekanan dari
luar (external pressure). Kalau suatu antrian atau barisan (queuing or waiting line)
sudah dibentuk, antrian yang mula-mula panjang pecah menjadi beberapa antrian
yang pendek berdiri berjejer di depan tempat pelayanan.
6.3.1 Kedatangan Mengikuti Poisson Dalam Saluran Ganda Dengan Tingkat
Pelayanan Eksponensial:
Di dalam sistem antrian saluran ganda, ada beberapa tempat pelayanan parallel
sebanyak k, di mana keadaan sistem, khususunya ada n spp dalam sistem pada suatu
waktu tertentu. Dapat mengasumsikan untuk mengambil dua nilai (1) tidak ada antrian
sebab semua spp yang berdatangan sedang menerima pelayanan di tempat
pelayanan (di depan loket), dalam hal ini (n < k), atau (2) terjadi pembentukan suatu
RISET OPERASI & T.P KEPUTUSAN
antrian sebab pelayanan yang diminta oleh spp yang berdtaangan lebih besar dari
kemampuan tempat pelayanan untuk melayani, dalam hal ini (n > k). Dalam hal (1)
tidak ada persoalan, sedangkan dalam hal (2) terjadi persoalan.
Faktor utilisasi = pk untuk seluruh sistem merupakan probabilita bahwa suatu
tempat pelayanan tertentu sedang melayani spp, yaitu merupakan rasio antara rata-
rata tingkat kedatangan (mean arrival rate) dan tingkat kemungkinan pelayanan yang
maksimum u, untuk semua saluran sebanyak k, dinyatakan dalam rumus sebagai
berikut:
6.3.2 Model Antrian Yang Lain :
Dalam hal ini hanya dibahas satu model yaitu model dengan kedatangan
menurut poisson dan waktu pelayanan distribusi Erlang.
Model kedatangan menurut Poisson dan waktu pelayanan menurut Distribusi
Erlang yaitu sebagai berikut:
Distribusi Erlang g (t;u,k) didefinisikan sebgai berikut:
Dan pada umumnya:
pk = λ_
ku
a) g (t; u, 1) = C1 e-1
ut
b) g (t: u, 2) = C2t e-2
ut
c) g (t; u. 3) = C3t2
e-3
ut
g ( t; u, k) = Cktk-1
e-k
ut
RISET OPERASI & T.P KEPUTUSAN
Oleh karena setiap anggota family merupakan fungsi kepadatan (density
function) dalam range 0 < t < ~, bilangan konstan Ck harus ditentukan sedemikian rupa
sehingga integral dari fungsi yang bersangkutan sebesar satu (unity). Nilai Ck ialah:
C1 = u
C2 = 4u2
C3 = 27 u3 dan pada umumnya Ck = (ku)k
2 (k-1)!
Distribusi Erlang mempunyai sifat-sifat yang sangat menarik. Rata-ratanya
(mean) sebesar 1/u. Nilai modus (mode) terletak pada t = 0 untuk k = 1, yaitu pada t =
1/2u untuk k = 2 dan pada umumnya nilai modus terletak pada t, di mana t sebagai
berikut:
t = k - 1
ku
Contoh:
Perbaikan suatu jenis mesin bubut memerlukan 4 tahapan. Waktu yang diperlukan
untuk melaksanakan setiap tahapan mengikut distribusi eksponensial dengan suatu
rata-rata sebesar 10 menit dan independen atau bebas terhadap tahapan lainnya.
Kerusakan mesin mengikuti proses Poisson, dengan rata-rata terjadi 3 kerusakan per
jam.
(1) Berapa rata-rata waktu menganggur (expected idle time) dari mesin rusak yang
memerlukan perbaikan, dengan anggapan bahwa hanya ada 1 tenaga, mekanis
dalam bengkel.
(2) Berapa rata-rata waktu menunggu dalam antrian bagi mesin rusak yang
memerlukan perbaikan.
(3) Berapa rata-rata banyaknya mesin rusak dalam antrian.
Jawaban:
λ = 3 per jam, u = 6 per jam, sebab ada 1 dalam 10 menit.
s = 4, sebab ada 4 tahapan yang harus diselesaikan.
RISET OPERASI & T.P KEPUTUSAN
Dengan menggunakan model dari Erlang.
(1) Rata-rata waktu mesin rusak yang perlu perbaikan harus menunggu dalam
sistem (average idle time):
E(v) = s + 1 λ___ + 1
2s u(u- λ) u
= _ 5_ . _3_ + 1 = 5_ + 1_ = 13 jam = 16,25 menit
2(4) 6(3) 6 48 6 48
(average time spent by a customer in the system)
(2) Rata-rata waktu menunggu dalam antrian bagi mesin rusak yang memerlukan
perbaikan:
E(w) = s + 1 λ___
2s u(u- λ)
= 5 . 3 = 5 jam = 6,25 menit
2(4) 6(3) 48
(average waiting time of the machine in the queue)
(3) Rata-rata banyaknya mesin rusak dalam antrian:
E(m) = s + 1 λ2___
2s u(u- λ)
= 5 . 3(3) = 5 = 0,3 jam = 18 menit
2(4) 6(3) 48
RISET OPERASI & T.P KEPUTUSAN
BAB VII
MODEL PENGENDALIAN PERSEDIAAN
7.1 FUNGSI DASAR PERSEDIAAN DAN KEPUTUSAN MENGENAI
PERSEDIAAN
Sekitar tahun 1915, seorang bernama F.W. Harris telah mengembangkan suatu
persamaan tentang economic lot size yang meminimumkan jumlah biaya persediaan
(terdiri dari inventory carrying and set up cost) di mana jumlah permintaan diketahui
dan konstan. Untuk pengamanan persediaan harus disediakan apa yang disebut buffer
stock, hal ini untuk mencegah terjadinya kekurangan (shortages).
Fungsi dasar persedian (inventory) meliputi beberapa kegiatan secara berurutan
seperti pembelian, pengolahan dan penyaluran, di mana kegiatan-kegiatan bisa
independent atau bebas satu sama lain. Proses atau gerakan persediaan atau
inventory sering disebut pipa stok (pipeline stocks).
Keputusan mengenai besarnya persediaan menyangkut dua kepentingan, yaitu
kepentingan pihak yang menyimpan dengan pihak yang memerlukan barang, sebut
saja langganan (consumer) atau satuan penerima pelayanan (spp). Keputusan itu bisa
dikategorikan menjadi dua sebagai berikut:
(1) Waktu pada saat pemesanan barang masuk, monstan (fixed) dan jumlah
barang yang dipesan harus ditentukan.
(2) Keduanya, yaitu jumlah pesanan dan waktu pesanan (order quantity and time)
harus ditentukan.
Pendekatan terhadap kedua keputusan tersebut, salah satu cara ialah
memesan barang dalam jumlah yang banyak untuk memperkecil biaya pemesanan
(minimize ordering cost). Cara lain ialah memesan dalam jumlah kecil untuk
memperkecil biaya penyimpanan persediaan (carrying cost). Tindakan yang paling
baik dinyatakan dalam laba (profit) dan return on total assets adalah suatu kompromi
antara dua hal yang sangat ekstrem ini.
RISET OPERASI & T.P KEPUTUSAN
7.1.1 Biaya Persediaan (Inventory Cost):
Suatu keputusan yang optimum ialah keputusan yang meminimumkan jumlah
biaya yang berhubungan dengan persediaan atau inventory.
(1) Biaya untuk memperoleh barang (ordering cost) melalui pembelian (purchasing)
atau mengolah (manufacturing or set up cost). Hal ini merupakan biaya tetap
per lot, tetapi biaya variabel per unit atau satuan barang.
(2) Biaya penyimpanan satu satuan (unit) barang dalam persediaan (holding cost),
yang meliputi antara lain biaya menyimpan, biaya penyimpanan, biaya
kerusakan, biaya asuransi, pajak, dan lain sebagainya.
(3) Biaya kekurangan (cost of shortage) meliputi biaya yang disebabkan karena
keterlambatan di dalam memenuhi permintaan atau ketidakmampuan untuk
memenuhinya sama sekali, karena kehabisan stok misalnya.
7.1.2 Konsep Tingkat Rata-Rata Persediaan:
Sebelum mengembangkan model economic lot size inventory, perlu dibuat
asumsi tentang pembelian suatu barang tunggal (single item) persediaan. Pertama,
permintaan untuk barang pada tingkat yang konstan (a constant rate) dan sudah
diketahui sebelumnya. Kedua, waktu tunggu (lead time), yaitu lamanya waktu antara
menyampaikan pesanan sampai diterima barangnya, juga diketahui.
Misalkan Q = jumlah pesanan. Kemudian dapat dilihat pada Gambar 10.1 ahwa
jumlah barang dalam persediaan sama dengan Q ketika setiap pesanan baru secara
fisik diterima di dalam persediaan. Karena barang-barang tersebut dipergunakan,
maka lambat laun akan berkurang dan mencapai nol, pada saat pesanan baru datang
lagi
Jumlah
Pesanan
Q/2
Persediaan
0 4 8 12 Rata-Rata
RISET OPERASI & T.P KEPUTUSAN
Gambar 7.1 (Tiga Pesanan Per Tahun)
Jumlah
Pesanan Q/2
Persediaan Rata-rata
0 2 4 6 8 10 12
Gambar 7.2 (Enam Pesanan Per Tahun)
Lihat garis yang miring, menunjukkan menipisnya barang persediaan). Dapat
dilihat bahwa rata-rata persediaan (average inventory) = Q/2, yaitu sebesar jumlah
pesanan (order quantity) dibagi 2. Dalam asumsi ini, pesanan baru dating setelah
pesanan sebelumnya sudah habis, mencapai nol, jadi tidak ada sisa (no stockout).
7.2 JUMLAH PESANAN EKONOMIS:
Dalam hal ini ada suatu dilema yaitu apabila jumlah pesanan terlalu banyak,
biaya penyampaian (pengiriman/transport) sangat mahal/tinggi, tetapi biaya
pemesanan rendah atau murah. Sebaliknya, kalau jumlah pesanan kecil, biaya
penyampaian sangat murah akan tetapi biaya pemesanan sangat mahal, sebab
pemesanan harus sering dilakukan. Jumlah pesanan ekonomis (economic order
quantity), dengan singkatan EOQ ialah jumlah pesanan dalam periode tertentu harus
sedemikian rupa sehingga (s.r.s) jumlah biaya pesanan (ordering cost) dan biaya
penyimpanan (holding cost) harus sama besarnya.
Dalam hal ini kita anggap bahwa persoalan dalam keadaan pasti (certainty) dan
lagi pula jumlah permintaan dalam periode tertentu tersebut (1 bulan, 2 triwulan atau 1
tahun) sudah diketahui.
7.2.1 Pendekatan Tabel:
Cara paling mudah untuk menentukan EQC ialah dengan cara apa yang disebut
trial dan error, yaitu mencoba, salah, mencoba lagi dan salah lagi, sampai diperoleh
hasil yang diharapkan (sebut saja cara coba-coba). Pendekatan ini menggunakan
tabel dan dapat diringkas sebagai berikut: (1) Pilih jumlah tertentu untuk dipesan/dibeli;
(2) Tentukan jumlah biaya untuk jumlah pesanan tertentu; dan (3) Pilih jumlah pesanan
RISET OPERASI & T.P KEPUTUSAN
(order quantity) yang jumlah biaya minimum. Biaya dinyatakan dalam satuan mata
uang (smu).
Sebagai contoh misalnya, untuk keperluan proses produksi selama setahun
sebesar 800 satuan. Biaya untuk 1 kali pesan (biaya pemesanan) = 125 smu. Biaya
penyimpanan merupakan 20% per tahun dari rata-rata persediaan (average inventory)
dan biaya per unit besarnya 100 smu. Untuk 1 peanan, sebanyak 800 unit, rata-rata
persediaan sebesar 400, biayanya = 1/5 (400) (100) = 8.000 smu. Untuk 2 pesanan,
sebanyak 400 unit per pesanan, rata-rata persediaan sebesar 200 smu, biayanya 1/5
(200) (100) = 4.000 smu Lihat kolom di bawah ini gambar 10.3:
Pesanan
Per Tahun
Jumlah
Pesanan
(lot size)
(Q)
Rata-rata
Persediaan
(Q/2)
Biaya
Penyimpanan
Per Tahun
(smu)
Biaya
Pesanan
* (smu)
Juiaya
Per
Tahun
(smu)
(1) (2) (3) (4) (5) (6)
1 800 400 8.000 125 8.125
2 400 200 4.000 250 4.250
4 200 100 2.000 500 2.500
8 100 50 1.000 1.000 2.000
12 66,7 33,3 667 1.500 2.167
16 50 25 500 2.000 2.500
32 25 12,5 250 4.000 4.250
Gambar 7.3 (Pendekatan Tabel untuk Mencapai EOQ)
7.2.2 Pendekatan Grafik:
Suatu grafik bisa digambar berdasarkan data dari tabel 10.3. Pada gambar akan
terlihat bahwa biaya penyimpanan semakin meningkat apabila jumlah barang yang
dipesan semakin meningkat (lihat garis lurus yang ditarik dari titik asal). Biaya
pemesanan semakin mengecil apabila semakin besar jumlah yang dipesan (lihat garis
melengkung yang semakin menurun). Terlihat dengan jelas bahwa pada Q = 100,
RISET OPERASI & T.P KEPUTUSAN
jumlah biaya menunjukkan angka yang terkecil yaitu 2.000 smu. Biaya pemesanan =
biaya penyimpanan, masing-masing 1.000 smu
Smu
9.000
8.000 Jumlah
7.000 Biaya Biaya
6.000 Penyimpanan
5.000
4.000
3.000
2.000 Biaya
1.000 Pemesanan
0 100 200 300 400 500 600 700 800 Banyaknya
Gambar 7.4 (Grafik Jumlah Pesanan Ekonomis) Pesanan
7.2.3 Pendekatan Matematis:
Dari pendekatan di atas, baik dengan tabel maupun grafik, menunjukkan hasil
yang sama yaitu jumlah biaya persediaan (total inventory cost) akan mencapai
minimum apabila biaya pemesanan (ordering cost) = biaya penyimpanan (inventory
carrying cost). Agar dapat dipergunakan pendekatan matematis, harus dikenal dahulu
beberapa konsep dan juga penggunaan simbol atau notasi.
Q = Jumlah pesanan ekonomis (economis order quantity) atau jumlah pesanan
barang per pesanan agar jumlah biaya minimum.
C = Biaya penyimpanan per satuan (unit) barang.
RISET OPERASI & T.P KEPUTUSAN
I = Biaya penyimpanan (inventory carrying cost), dinyatakan sebagai persentase
dari nilai rata-rata pesanan, misalnya 20% atau 1/5nya, seperti contoh soal
diatas.
R = Jumlah permintaan setahun atau jumlah barang yang dibutuhkan dalam
setahun.
S = Biaya pemesanan per pesanan (ordering cost per order or setup cost per run).
Jumlah biaya penyimpanan selama satu periode sama dengan:
Rata-rata x Biaya Penyimpanan x Biaya Penyimpanan
Persediaan Per unit Barang Sebagai % dari rata-
Rata persediaan
= Q . C . t
2
Dalam hal ini C1 = Biaya penyimpanan setahun dari 1 satuan (unit) barang.
Jumlah biaya pemesanan sama dengan:
Banyaknya Pemesanan x Biaya Pemesanan
Per Periode Per Pemesanan
= R . S
Q
Jadi, Q . CI = R . S QCI = 2RS
2 Q Q
Q2
= 2RS Q 2RS
CI CI
RISET OPERASI & T.P KEPUTUSAN
Dan jumlah minimum = 2 R S C I
Contoh:
Suatu produk dipergunakan dengan kecepatan 4 unit tiap bulan. Biaya
penyediaan (set up cost) sebesar 50 smu, sedangkan biaya penyimpanan (carrying
cost) sebesar 8 smu per bulan. Hitung jumlah pesanan ekonomi (EOQ) dan jumlah
biaya minimum..
Pemecahan :
R = 4 S = 50 smu CI = 8
Q = 2RS = 2 (4) (50) = 50 = 7.07 = 7 Unit
CI 8
Catatan: Biaya penyimpanan biasanya dinyatakan sebagai persentase rata-rata
persahabatan.
Jumlah biaya yang minimum:
= 2RSI = 2 (4) (50) 8 = 3200 = 56,568 smu
7.2.3 Pendekatan Kalkulus:
Dari gambar 7.4, koefisien arah (slope) dari kurva jumlah biaya dapat diperoleh
dengan jalan menjumlahkan koefisien arah dari dua kurva yaitu kurva biaya
penyimpanan (carrying cost) dan kurva biaya pemesanan (ordering cost). Kalau kita
perhatikan koefisien arah kurva biaya penyimpanan positif, sedangkan biaya
pemesanan negatif.
Ketika nilai Q meningkat pada sumbu horizontal, suatu titik akan tercapai di
mana koefisien arah yang negatif akan menurun mencapai nilai yang sama dengan
koefisien arah yang positif, hanya saja tandanya berlainan, maka pada waktu itulah
koefisien arah jumlah biaya besarnya nol.
Di dalam model EOQ, tingkat perubahan untuk jumlah biaya terhadap Q pada
waktu mencapai optimum sebesar nol, yaitu pada waktu koefisien arahnya mencapai
nol. Dengan menggunakan notasi atau symbol sebelumnya.
RISET OPERASI & T.P KEPUTUSAN
TC = Q CI + R S
2 Q
Kita turunkan TC terhadap Q:
dTC = CI – RS
dQ 2 Q2
Agar diperoleh nilai Q yang optimum, turunan pertama ini harus disamakan
dengan nol.
CI – RS = 0 CI = RS
2 Q2 2 Q2
Q2 = 2RS
CI
Q = 2RS
CI
Dengan nilai Q tersebut, untuk membuktikan bahwa TC minimum, maka turunan
kedua harus lebih besar dari nol.
d2TC = 2RC, jadi TC memang minimum.
dQ Q3
Jumlah pesanan ekonomis, kalau terjadi kekurangan.
Persoalan ini sama seperti sebelumnya, kecuali kemungkinan terjadinya
kekurangan (shortages). Inventori semacam ini dapat dilihat pada gambar 7.5
S
Q
t1 t2 t1 t2 t3 t2
RISET OPERASI & T.P KEPUTUSAN
Gambar 7.5 (Keadaan Persediaan Kalau Terjadi Kekurangan)
Misalkan S tingkat persediaan (inventory level) pada permulaan setiap periode
selama ts (t1 + t2) dan Q jumlah pesanan ekonomis. Selama periode t1 < ts, terjadi
kekurangan sebesar Q – S, lihat gambar 7.5. Pengetahuan sederhana mengenai
hubungan geometris, akan diperoleh hubungan berikut:
t1 = S ts dan t2 = Q – S ts
Q Q
Rata-rata banyaknya persediaan dalam satuan (unit) selama periode t1 sebesar
S/2 jadi:
S C1t1 = rata-rata biaya persediaan (average inventory cost) selama periode t1.
2
Demikian juga, rata-rata banyaknya kekurangan barang dalam persediaan
sebesar (Q-S)/2 dengan biaya:
(Q – S) C2t2 = rata-rata biaya kekurangan (shortage cost) selama periode t2.
2
Di mana C1 = biaya penyimpanan persediaan (holding cost) per satuan barang
dan per satuan waktu.
C2 = biaya kekurangan per satuan barang dan per satuan waktu.
Misalkan R = jumlah permintaan dalam unit, dalam periode T dan Cs = biaya
pengadaan per produksi atau per pesanan (operating cost per production rub or per
order). Dengan demikian R/Q merupakan banyaknya (seringnya) produksi atau
pesanan dilakukan selama periode T. Perlu disebutkan di sini bahwa pengadaan
barang bisa melalui kegiatan berproduksi atau melalui kegiatan pemesanan, artinya
pihak lain yang memproduksi. Dengan demikian jumlah biaya yang diharapkan (total
expected cost) = TC, dapat dihitung dengan menggunakan rumus berikut:
RISET OPERASI & T.P KEPUTUSAN
TC = S C1t1 + Q - S C2t2 + Cs R
2 2 Q
Apabila nilai t1 dan t2 dimasukkan dalam persamaan ini, diperoleh persamaan
sebagai berikut:
TC = S C1 S ts + Q – S C2 Q – S ts + Cs R
2 Q 2 Q Q
TC = S2 C1ts + (Q – S)2
C2t2 + C2 R
2Q 2Q Q
Sekarang, R/Q = banyaknya pesanan (produksi) selama periode T dan oleh
karena ts merupakan selang waktu (time interval) antara dua pesanan, maka:
Ts = T = TQ
R / Q R
Masukan ke persamaan (*):
TC = S2
. C1 TQ + (Q – S)2
Cs TQ + Cs R
2Q R 2Q R Q
TC = S2C1T + (Q – S)2 C2T + CSR
2Q 2Q Q
Dari persamaan ini jelaslah bahwa TC merupakam fungsi dari Q dan S. Jadi TC
= f (Q, S). Untuk memperoleh nilai optimum bagi Q dan S, TC harus diturunkan secara
parsial dua kali, mula-mula terhadap Q kemudian terhadap S dan menyamakannya
dengan nol.
RISET OPERASI & T.P KEPUTUSAN
∂TC = S2
C1T + 4Q (Q – S) – 2 (Q – S)2
C2T - CsR = 0
∂Q 2Q2
4Q2
Q2
∂TC = SC1T - (Q – S)C2T = 0
∂S Q Q
Setelah disederhanakan kita peroleh ekspresi sebagai berikut:
S = Q C2
dan Q2
C2 - (C1 + C2) S2
= 2CSR
C1 + C2 T
Dengan memecahkan kita peroleh ekspresi sebagai berikut:
Q = 2RCs C1 + C2
TC1 C2
S = 2RC2 C2
TC1 C1 + C2
Jadi, ts = TQ = 2TCs C1 + C2
R RC1 C2
Dan
TC Optimum = 2TRC1Cs C2
C1 + C2
RISET OPERASI & T.P KEPUTUSAN
7.3 POTONGAN HARGA UNTUK PEMBELIAN JUMLAH BESAR:
Membeli dalam jumlah banyak, memang ada baik dan buruknya. Kebaikannya,
antara lain biaya per unit barang relatif lebih murah, biaya pemesanan jauh lebih
murah, kemungkinan kekurangan stock sehingga mengecewakan para calon pembeli
kecil sekali, dan yang tidak kalah pentingnya biaya angkutan (transportation cost)
menjadi lebih murah karena tidak terlalu sering. Akan tetapi, tentu saja ada juga
kelemahannya, yaitu antara lain biaya penyimpanan menjadi lebih mahal, banyak
modal yang harus diinvestasikan, besar kemungkinan barang menjadi rusak (kurang
perawatan) dan karena banyaknya stock relatif lebih banyak dibandingkan dengan
permintaan, menyebabkan stock barang menjadi tua. Mari kita pelajari apa komplokasi
dengan adanya potongan pembelian atau quantity discount.
7.3.1 Pendekatan Perbandingan Biaya:
Anggaplah bahwa permintaan dan waktu tunggu penyediaan (acquisition lead
time) tetap atau konstan dan diketahui. Pendekatan yang pertama ialah dengan
membandingkan biaya pada tingkat jumlah pesanan ekonomis (economic order
quantity) dengan biaya yang telah memperhitungkan potongan (discount). Rumus
untuk jumlah biaya persediaan (total inventory cost) ialah sebagai berikut:
(TC) = RC + Q CI + R S
2 Q
Di mana:
(TC) = Jumlah biaya persediaan setahun.
R = Jumlah permintaan barang.
C = Biaya per unit barang (biaya bisa berarti harga, kalau barang harus dibeli).
I = Biaya penyimpanan sebagai presentase dari rata-rata persediaan (carrying
cost) merupakan tertentu dari biaya atau harga per unit barang.
S = Biaya pemesanan per pesanan (set up cost).
Contoh:
RISET OPERASI & T.P KEPUTUSAN
Bila R = 100 unit/tahun, A = 5 smu, K = 2,5 smu/unit I= 16% per tahun.
Perusahaan menawarkan diskon sebagai berikut:
a) 5% apabila sebanyak 100 unit barang dibeli.
b) 10% apabila sebanyak 3.000 unit dibeli.
Persoalannya ialah apakah tawaran diskon tersebut akan diterima dan apabila
diterima, tawaran manakah yang diterima?
Pemecahannya:
2AR, C = KI
q* = C
= 2(5)(100) = 50 Unit
0,16(2,5)
Untuk D = 0,05 (5%), maka penghematan: DKR = (0,05) (2,5) (100) = 12,5 smu.
Kenaikan biaya:
= IK (q – q*) – AR 1 – 1
2 q* q
= (0,16) (2,5) (100-50) – 5 (100) 1 - 1 = 5 smu
2 50 50
Oleh karena besarnya penghematan (saving) lebih besar dari kenaikan biaya,
maka tawaran diskon ini sebaiknya diterima. Selanjutnya, kalau D = 0,10 dan q = 300
unit. Besarnya penghematan (saving): DKR = (0,10) (2,5) (100) = 25 smu.
Kenaikan biaya:
= IK (q1
– q*) – AR 1 - 1
2 q* q1
RISET OPERASI & T.P KEPUTUSAN
= (0,16) (2,5) (300 – 50) – 5 (100) 1 1
2 50 100
= 50 – 8,33 = 41,67 smu
Untuk tawaran ini, yaitu diskon 10% bahkan terhadap EOQ, biaya lebih besar,
jadi tawaran tidak diterima.
7.3.2 Pendekatan dengan Price Break:
Pendekatan pada sub bab di atas berlaku hanya pada kasus dengan satu
diskon. Hal ini dapat diperluas dengan menentukan jumlah pesanan ekonomis di mana
terjadi successive discount seandainya pemesan atau pembelian semakin membesar.
Pemberian diskon lebih dari satu macam ini disebut price-break, yaitu pemotongan
atau diskon yang besar kecilnya ditentukan oleh besar kecilnya pemesanan atau
pembelian.
7.4 SISTEM PENGENDALIAN PERSEDIAAN:
Situasi persediaan (inventory) yang pasti pada dasarnya tidak ada, sebaliknya
yang ada ialah keadaan yang tidak pasti. Waktu menunggu permintaan dan
penyediaan barang pada umumnya berfluktuasi, yaitu menunjukkan gerakan naik turun
sehingga sukar untuk diramalkan. Di dalam situasi pada saat kedua hal tersebut
konstan dan diketahui, model persediaan sebelumnya memberikan hasil pemecahan
yang optimum. Ini berarti sulit sekali dalam prakteknya untuk mengetahui secara pasti
kapan dan berapa jumlah permintaan.
Besarnya permintaan barang bisa lebih besar atau lebih kecil dari perkiraan
semula karena adanya berbagai faktor, baik internal maupun eksternal. Begitu juga
waktu tunggu sampai tersedianya barang (acquisition lead time) bisa berbeda, kadang-
kadang lama, sebab hal ini tergantung kepada supplier yang mungkin mengalami
kesukaran dalam proses produksi atau pengangkutan.
Di dalam hal permintaan tidak dapat dipenuhi karena tidak tersedianya
persediaan, maka dikatakan terjadi shortage atau stock out. Situasi semacam ini bisa
menimbulkan merosotnya keuntungan atau bahkan dapat menimbulkan kerugian.
Gambar 7.7 menunjukkan adanya situasi di mana permintaan tidak dapat dilayani
RISET OPERASI & T.P KEPUTUSAN
karena terjadi kekurangan stok. Dengan adanya permasalahn ini kemudian
dikembangkan suatu inventory system untuk mengatasinya, khususnya kalau
permintaan atau waktu tunggu persediaan atau keduanya berfluktuasi.
Pesanan
Diterima
Waktu
Memesan
Jumlah
Persediaan
Stock Habis
Waktu Waktu
Menunggu
Gambar 7.6 (Tingkat Persediaan Yang Menimbulkan Stock Out)
7.4.1 Sistem Persediaan Kontinu:
Dalam sistem persediaan yang kontinu (perpetual inventory system), jumlah
pesanan kembali (reorder) ditetapkan sebesar tingkat EOQ akan tetapi frekuensi
pemesanan bervariasi tergantung kepada frekuensi dalam konsumsi. Pada saat
persediaan mencapai suatu titik/tingkat minimum, terkenal dengan nama reorder point
suatu pesanan sebesar EOQ yang tetap, ditentukan.
Reorder point atau saat pesanan yaitu suatu titik dalam waktu pada saat
ditentukan besaranya pesanan untuk menggantikan persediaan yang dipergunakan.
Jadi, ada dua variabel yang sangat penting, yaitu usage dan lead time. Artinya, jumlah
persediaan yang dipergunakan dan waktu tunggu datangnya barang sebagai
pengganti barang persediaan yang dipergunakan. Kedua variabel ini sangat
menentukan dalam penentuan saat pesanan.
RISET OPERASI & T.P KEPUTUSAN
Saat pesanan (r) dihitung dengan jalan mengalikan usage sebesar U yang
dinyatakan dalam jumlah unit per hari dengan waktu tunggu dalam hari. Akan tetapi,
saat pesanan ini harus disesuaikan guna menampung stock out dengan jalan
menambah stok pengaman atau penyelamat (buffer or safety stock) sebesar B, jadi
r = U(k) + B
Agar diperoleh stok pengaman yang optimum harus ada keseimbangan antara
jumlah biaya penyimpanan dengan biaya karena stock out. Untuk mencapa jumlah
stok pengaman yang optimum akan dipergunakan konsep probalita untuk nilai
kemungkinan.
Persediaan
WP WP WP
Win Sp Waktu
Gambar 7.7 (Sistem Persediaan Yang Kontinu)
Keterangan : WP = Waktu Pemesanan
Sp = Stock Pengaman
Win = Waktu Tunggu Yang Normal
Sistem persediaan yang kontinu atau terus menerus sering disebut fixed order
quantity system atau reorder point inventory system, seperti dapat dilihat pada gambar
7.7
Contoh soal:
Agar dapat diperoleh nilai perkiraan probalita untuk berbagai jumlah barang
yang diminta/dipergunakan selama periode pemesan kembali, perlu dianalisis catatan-
catatan persediaan masa lampau. Sebagai contoh, perhatikan suatu perusahaan yang
telah menemukan besarnya EOQ sebesar 250 unit dengan rata-rata penggunaan per
RISET OPERASI & T.P KEPUTUSAN
hari sebesar 5 unit. Waktu tunggu untuk pembelian barang yang akan dipergunakan
sebesar 20 hari.
Berdasarkan data tebel, perusahaan dapat memesan kembali 250 unit kalau
tingkat stok tinggal 100 unit yaitu rata-rata penggunaan per hari (5) dikalikan dengan
waktu tunggu (20 hari), tetapi akan mengalami kekurangan (out of stock) sebesar 18%
setiap saat (0,10+0,05+0,03). Apa yang harus diperbuat oleh pimpinan perusahaan
dengan adanya stock out sebesar 18% agar jumlah biaya persediaan minimum.
Misalkan selanjutnya rumus EOQ menunjukkan bahwa 6 kali pesanan dalam
satu tahun sudah optimum. Biaya terjadinya kekurangan stok untuk setiap tingkat
dapat dibaca pada gambar 7.9
Stock
Pengama-
nan
Probabilita Ke-
Kurangan
Stock
Banyaknya
Kekurangan
Harapan Biaya *)
Tahunan
Probabilita
Pengguna-
an
0 0,10 Kalau
digunakan 105
5 5 (0,10) (30) (6) =
90
0,05 Kalau
digunakan 110
10 10 (0,05) (30) (6)
= 90
0,03 Kalau
digunakan 115
15 15 (0,03)(30)(60)
= 81
261
5 0,05 Kalau
digunakan 110
5 (0,05)(30)(6) =
45
0,03 Kalau
digunakan 115
10 10 (0,03)(30)(6) =
54
99
10 0,03 Kalau
digunakan 115
5 5 (0,03) (30) (6) =
27
27
15 nol nol Nol
Gambar 7.9 (biaya Karena Kekurangan Stock)
RISET OPERASI & T.P KEPUTUSAN
Langkah terakhir adalah menghitung biaya penyimpanan (carrying cost).
Misalkan biaya penyimpanan setiap barang (item) per tahun sebesar 6 smu.Tabel
dibawah ini memberikan jumlah biaya stock pengaman.
Stock
Pengawasan
Biaya Kekurangan
(smu)
Biaya Penyimpanan
tahunan (smu)
Jumlah
biaya (smu)
0 261 0 261
5 99 5 x 6 = 30 129
10 27 10 x 6 = 60 87
15 0 15 x 6 = 90 90
Gambar 7.10 ( Jumlah Biaya Stock Pengamanan)
Ternyata dari tabel jumlah biaya terkecil 87 smu, untuk stok pengaman sebesar
10 unit. Jadi, pemesanan kembali sejumlah 100 unit harus ditambah lagi dengan stok
pengaman sejumlah 10 unit, dengan demikian pemesanan harus diperbarui sejumlah
110 unit.
7.4.2 Sistem Inventory Periodik:
Didasarkan atas penetuan suatu periode yang tetap dalam periode mana
inventory ditinjau (reviewed). Tergantung pada tipe atau penggunaan barang,
periodisitas untuk peninjauan mungkin mingguan, bulanan, triwulanan atau tahunan.
Periode yang optimal didasarkan atas rumus:
Q/u = t0
Pada setiap periode peninjauan, suatu pesanan dilakukan untuk suatu jumlah
yang sama dengan selisih antara suatu tingkat penggantian yang tetap dan tingkat
invetori sesungguhnya. Jadi jumlah pesanan berubah-ubah, merupakan variabel.
Sebagai contoh misalnya, jumlah pesanan ini harus lebih besar dari biasanya kalau
jumlah permintaan lebih besar dari nilai ekspektasi (harapan) dan akan lebih kecil dari
biasanya kalau permintaan lebih sedikit dari ekspektasi. Akan tetapi periode
peninjauan konstan dalam system inventori ini. Tingkat penggantian (S) dihitung
berdasarkan rumus:
RISET OPERASI & T.P KEPUTUSAN
S = u(k + t0) + B
Jumlah Pemesanan X1 = S – Tingkat Persediaan
Pada Periode Pinjaman
X3
X1
X2
Titik Titik
Peninjauan Peninjauan
Waktu Tunggu Titik Sp
Peninjauan
t0 t0 t0 Waktu
Gambar 7.11 Menunjukkan beroperasinya sistem inventori periodik ini.
Keterangan:
SP = Stock Pengaman
Di dalam sistem peninjauan yang periodik, investasi ditinjau pada periode
tertentu sehingga tidak ada fleksibilitas di dalam periode pemesanan. Jadi fluktuasi
dalam jumlah permintaan diatasi dengan adanya stok pengamanan.
7.4.3 Sistem Penggantian Opsional:
Ada kelas sistem pengawasan inventori lainnya yang dikenal dengan optimal
replenishment system. Sistem ini merupakan kombinasi system inventori yang periodik
RISET OPERASI & T.P KEPUTUSAN
dengan feature dasar sistem jumlah inventori tetap. Sistem penggantian opsional
berguna pada situasi ketika biaya untuk peninjauan inventori sangat mahal atau biaya
pemesanan juga sangat tinggi.
Seandainya catatan yang terus-menerus tidak dapat dipetahankan karena
mahalnya biaya, maka peninjauan secara periodik dapat dilakukan. Pada saat
peninjauan kembali (review), inventori yang ada dibandingkan dengan s dan S. Apabila
tingkatannya lebih rendah dari s, suatu pesanan dilakukan. Kalau tidak demikian, tidak
perlu diadakan pemesanan. Waktu peninjauan juga mempengaruhi titik pemesanan s.
Aturan yang disebutkan di atas dapat disingkat sebagai berikut:
Lakukan suatu pesanan sejumlah q kalau S0 + q0 < s, di mana;
q = S – S0 – q0
S = tingkat (jumlah) penggantian
S0 = stok yang tersedia
q0 = jumlah kelebihan dibandingkan dengan pesanan sebelumnya
s = titik pemesanan kembali (re-order point)
Apabila syarat di atas tidak dipenuhi jangan melakukan pemesanan.
7.5 MODEL INVENTORI PROBALISTIK DAN ANALISIS ABC:
Sekarang mari kita perhatikan seandainya jumlah permintaan tidak tetap akan
tetapi merupakan variabel yaitu berubah-ubah dengan nilai probalita tertentu yang
diketahui, baik mengikuti distribusi probalita yang diskret atau kontinu. Adalah mungkin
untuk menentukan secara langsung jumlah optimal dari barang-barang untuk stok
tanpa melakukan perhitungan kontribusi dari setiap harapan laba.
Misalkan:
D = Suatu variabel acak (random variable) yang menunjukkan banyaknya barang
yang diterima.
C1 = Satuan biaya kelebihan pesanan (unit cost of over-ordering, i,e, an opportunity
loss associated with each unit left unsold).
RISET OPERASI & T.P KEPUTUSAN
Cs = Satuan biaya kekurangan pesanan (unit cost of under-ordering) I,e, loss due
to not meeting the demand).
q = Banyaknya barang persediaan (stok).
C1 dan Cs merupakan kerugian (opportunity losses) yang disebabkan karena
jumlah persediaan kelebihan atau kekurangan sehingga tidak sama dengan jumlah
yang diminta.
Misalkan selanjutnya kita telah menentukan bahwa tepat sekali kalau
persediaan sebesar (q-1) unit. Akan kita pelajari apakah masih perlu untuk menambah
lagi. Untuk maksud ini kita harus menghitung expected incremental opportunity loss
atau (ΔL)* seandainya tidak ada penambahan atau ada penambahan satu unit.
Apabila ada tambahan satu unit ke dalam stok, tambahan ini memang
diperlukan seandainya barang yang dibutuhkan sebesar q unit atau lebih. Besarnya
nila (ΔL)* kalau tidak menambahkan ke dalam stok barang yang q, adalah sebagai
berikut:
(ΔL)* = CsPr (D ≥ q)
Penambahan satu unit tidak doperlukan kalau jumlah permintaan sebenarnya
kurang dari q. Besarnya (ΔL) untuk hal ini sebagai berikut:
(ΔL) = C1Pr (D < q)
Kalau (ΔL)* > (ΔL), kita harus menambah satu unit dalam stok, sebab
keputusan untuk tidak menambah menyebabkan kerugian yang lebih besar dari pada
menambah.
Dalam hal ini di mana (ΔL)* = (ΔL), pengambil keputusan dalam keadaan
indifference, artinya menambah atau tidak barang yang ke q akibat yang ditimbulkan
akan sama saja, yaitu:
CsPr (D ≥ q) = CiPr (D < q), ingat Pr (D ≥ q) + Pr (D < q) = 1
= C1[1 – Pr (D ≥ q)]
= C1 – C1 Pr (d ≥ q)
Sekarang mari kita definisikan probalita kritis Pc, sedemikian rupa sehingga Pc
= nilai Pr(D ≥ q), kalau (ΔL)* = (ΔL). Untuk mencari Pc, kita peroleh:
RISET OPERASI & T.P KEPUTUSAN
CsPc = C1 – C1Pc → C1Pc + CsPc = C1
Pc = C1 = 1___
C1 + Cs 1+Cs/C1
Kita harus selalu meningkatkan nilai q, banyaknya barang yang masuk
persediaan sepanjang Pr (D ≥ q) > Pc. Banyaknya barang secara optimal yang harus
distok kemudian sebesar q0 = q yang tebesar sehingga Pr (D ≥ q) > Pc sebab Pr (D ≥
q) = Pc maka tidak menjadi soal (immaterial) apakah kita akan menyimpan sebesar q0
atau q0 – 1. Kita perlu mengetahui nilai C1 dan Cs yang dapat diperoleh sebagai
berikut:
C1 = C + Ch – V
dan
Cs = S – C – Ch + Cp
2
Di mana:
S = Satuan harga jual (unit selling price)
C = Satuan biaya (unit cost price)
Ch = Biaya penyimpanan untuk seluruh periode
V = Nilai kerusakan (svage value)
Cp = Biaya kekurangan (shortage cost)
7.5.1 Analisis ABC:
Analisis ABC atau proportionate analysis (ABC merupakan singkatan dari
Always Better Control) untuk pertama kali diintroduksikan oleh General Electric
Company di Amerika Serikat, beberapa tahun yang lampau. Telah diketemukan bahwa
sebagian inventori, lebih kurang 10% merupakan 70% sampai dengan 80% dari nilai
inventori yang dipergunakan secara tahunan (annual inventory usage) sedangkan
relative kecil, katakan 5% merupakan 70% dari nilai inventori. Tipe penggunaan
inventori semacam ini ditunjukkan dalam Gambar 7.12
RISET OPERASI & T.P KEPUTUSAN
6 Langkah yang harus diperhatikan di dalam analisis ABC:
(1) Cari biaya per unit untuk setiap barang yang diproduksi atau dibeli untuk
keperluan persediaan (inventory).
(2) Cari penggunaan dalam unit untuk setiap barang (selama satu bulan, triwulan
atau satu tahun) atau ramalkan penggunaan untuk waktu akan datang.
(3) Kalikan biaya per unit dengan penggunaan untuk memperoleh nilai penggunaan
netto selama waktu tertentu.
(4) Urutkan barang-barang tersebut mulai nilai yang terbesar hingga yang terkecil
(lihat tabel 7.12), untuk periode tertentu.
(5) Banyaknya barang dan nilainya diakumulasikan dalam presentase (lihat tabel
7.12)
(6) Secara kasar, bagi daftar nilai tersebut manjadi 3 kelompok. Kelompok A terdiri
dari barang-barang yang presentase penggunaannya tinggi (70% sampai
dengan 75% dari nilai penggunaan inventori), kelompok B terdiri dari barang-
barang yang presentase penggunaanya medium (meliputi 15 sampai dengan
20% dari nilai penggunaan inventori), dan kelompok C terdiri dari barang-barang
yang presentase penggunaanya rendah (merupakan sisanya 10%).
RISET OPERASI & T.P KEPUTUSAN
Presentasi nilai
Penggunaan Tahunan
100 C
90 B
80
70 A
60
50
40
30
20
10 Presentase
0 Barang
10 20 30 40 50 60 70 80 90 100
Gambar 7.12 (Klasifikasi Barang Menurut Analisis ABC)
RISET OPERASI & T.P KEPUTUSAN
Sumber: Riset Operasi, Edisi Kelima, Jilid 1, Hamdy A. Taha
BAB VIII
PENGAMBILAN KEPUTUSAN DALAM RISET OPERASI
8.8 SENI DAN ILMU RISET OPERASI:
Riset operasi (Operations Research/OR) berusaha menetapkan arah tindakan
terbaik (optimum) dari sebuah masalah keputusan di bawah pembatasan sumber daya
yang terbatas. Istilah riset operasi sering kali diasosiasikan hampir secara eksklusif
dengan penggunaan teknik-teknik matematis untuk membuat model dan menganalisis
masalah keputusan.
Pemecahan masalah tidaklah hanya sekedar pengembangan dan pemecahan
model-model matematis. Secara spesifik, masalah keputusan biasanya mencangkup
faktor-faktor penting yang tidak berwujud dan tidak dapat diterjemahkan secara
langsung dalam bentuk matematis. Yang paling utama dari faktor-faktor ini adalah
kehadiran unsure manusia dihampir setiap lingkungan keputusan
Sebagai sebuah teknik pemecahan masalah, OR harus dipandang sebagai ilmu
dan seni. Aspek ilmu terletak dalam penyediaan teknik-teknik matematis dan algoritma
untuk memecahkan masalah keputusan yang tepat.
Riset Operasi adalah sebuah seni karena keberhasilan dalam semua tahap
yang mendahului dan melanjuti pemecahan dari sebuah model matematis sebagian
besar bergantung pada kreatifitas dan kemampuan pribadi dari mereka yang
menganalisis pengambilan keputusan tersebut.
Jadi pengumpulan data untuk pengembangan model, penentuan keabsahan
model, dan penerapan dari pemecahan yang diperoleh akan bergantung pada
kemampuan pada kelompok operasi riset yang bersangkutan yang menetapkan pada
jalur-jalur komunikasi yang baik dengan sumber informasi serta dengan individu yang
bertanggung jawab atas implementasi pemecahan yang direkomendasikan.
RISET OPERASI & T.P KEPUTUSAN
8.9 UNSUR-UNSUR DARI SEBUAH MODEL KEPUTUSAN:
Sebuah model keputusan semata-mata merupakan alat untuk “meringkaskan”
sebuah masalah keputusan dengan cara yang memungkinkan indikasi dan evaluasi
yang sistematis terhadap semua alternatif sebuah keputusan dari sebuah masalah.
Sebuah keputusan lalu dicapai dengan memilih alternatif yang dinilai “terbaik” diantara
semua pilihan yang tersedia.
8.10 SENI PERMODELAN:
Model didefinisikan sebagai sebuah fungsi tujuan dengan batasan-batasan yang
diekspresikan dalam bentuk variabel keputusan (alternative) dari masalah tersebut.
Sistem nyata yang diasumsikan adalah system yang di abstraksi dari situasi nyata
dengan memusatkan perhatian dari identifikasi dari faktor-faktor yang dominan
(variable, batasan, dan parameter) yang mengendalikan suatu sistem nyata yang
diasumsikan, lalu mengidentifikasikan hubungan yang sesuai dalam system tersebut
dalam bentuk tujuan dan sekelompok batasan.
Contoh :
a) Departemen produksi, jam mesin yang tersedia, pengurutan yang spesifik dari
operasi mesin, sediaan barang dalam proses, jumlah produk cacat yang
dihasilkan, dan laju inspeksi.
b) Departemen penyediaan barng mentah, Sediaan bahan yang ada, laju
pengiriman bahan yang dibeli, dan batasan penyimpanan.
c) Departemen pemasaran, ramalan penjualan, intensitas kampanye periklanan,
kapasitas sarana distribusi, dan pengaruh persaingan.
Jika setiap faktor ini ingin dipertimbangkan secara eksplisit dalam sebuah model
menentukan tingkat produksi, kita memang dihadapkan dengan sebuah tugas yang
sangat sulit. Misalnya kita dapat mempertimbangkan secara eksplisit. Varibel-variabel
seperti penggunaan jam mesin, penggunaaan jam tenaga kerja, dan laju inspeksi.
Untuk batasan kita bisa masukan kapasitas mesin, batasan atas jam tenaga kerja,
batasan atas sediaan barang dalam proses, batasan atas permintaan, dan batasan
dalam penyimpanan.
RISET OPERASI & T.P KEPUTUSAN
Definisi sistem “nyata yang diasumsikan” untuk situasi diatas berarti
memandang sistem tersebut sebagai sebuah kesatuan. Dalam pertimbangan tertentu,
kita dapat melihat bahwa sisi produsen dapat diekspresikan dalam bentuk laju
produksi, sementara sisi konsumen dapat diwakili oleh laju konsumsi.
Laju produksi adalah fungsi dari faktor-faktor seperti ketersediaan jam mesin,
dan tenaga kerja, pengurutan operasi, dan ketersediaan bahan mentah. Demikian
pula, laju konsumsi didasari oleh batasan sistem distribusi dan ramalan penjualan.
Pada intinya penyederhanaan dari sistem “nyata” menjadi sistem “nyata yang
diasumsikan” dilakukan dengan pengelompokan beberapa faktor dalam sistem yang
diasumsikan.
8.11 JENIS-JENIS MODEL RISET OPERASI:
Berbagai model yang berkaitan dengan sistem nyata yang ada menimbulkan
berbagai teknik pemecahan dalam jumlah yang sama. Inilah asal dari berbagai nama
yang sudah kita kenal seperti program linier, integer, dinamis, dan non linier yang
mewakili berbagai algoritma untuk memecahkan kelompok-kelompok model operasi
riset tersebut.
Dalam kebanyakan aplikasi operasi riset, diasumsikan bahwa tujuan dan
batasan sebuah model dapat diekpresikan secara kuantitatif atau secara matematis
sebagai fungsi dari variable keputusan dalam kasus demikian, kita mengatakan bahwa
menangani model matematis.
Sebuah pendekatan yang berbeda untuk pemodelan sistem (yang kompleks)
adalah penggunaan simulasi. Model-model simulasi berbeda dengan model matematis
dalam hal bahwa hubungan antara masukan dan keluaran tidak dinyatakan secara
eksplisit. Melainkan sebuah model simulasi memecahkan sistem yang dimodel
tersebut kedalam modul-modul dasar atau elementer yang lalu dikaitkan satu sama
lain dengan hubungan-hubungan logis yang didefinisikan dengan baik (dalam bentuk
JIKA/MAKA). Jadi, dengan dimulai dari modul masukan, perhitungan akan bergerak
dari satu modul ke modul lainnya sampai sebuah hasil keluaran direalisasikan.
RISET OPERASI & T.P KEPUTUSAN
8.12 PENGARUH KETERSEDIAAN DATA TERHADAP PERMODELAN:
Model berjenis apapun, tanpa bergantung pada kecanggihan dan akurasinya,
dapat terbukti hanyalah memiliki sedikit nilai praktis jika tidak didukung oleh data yang
andal. Walaupun sebuah model didefinisikan dengan baik, mutu pemecahan model
tersebut jelas bergantung pada seberapa baik kita dapat mengestimasi data. Jika
estimasi tersebut terdistorsi, pemecahan yang diperoleh walaupun optimum dalam arti
matematis, pada kenyataannya dapat bermutu rendah dari sudut pandang sistem
nyata.
Pengumpulan data pada kenyataannya dapat merupakan bagian paling sulit
dari pembuatan sebuah model. Sayangnya, tidak ada peraturan yang dapat
disarankan untuk prosedur ini. Sementara pengalaman pemodelan dalam sebuah
organisasi bertambah, mereka yang melakukan analisis operasi riset juga dapat
mengembangkan alat-alat untuk pengumpulan dan dokumentasi data dengan cara
yang berguna untuk proyek-proyek saat ini dan dimasa mendatang.
8.13 PERHITUNGAN DALAM OPERASI RISET:
Dalam operasi riset terdapat dua jenis perhitungan yang berbeda yang
melibatkan simulasi dan yang berkaitan dengan model matematis. Dalam model
simulasi, perhiungan umumnya sangat banyak dan kebanyakan sangat memakan
waktu. Tetapi, dalam simulasi kita dapat selalu yakin bahwa hasil yang diinginkan akan
diperoleh dengan pasti. Masalahnya semata-mata adalah menyediakan waktu
komputer yang cukup.
Perhitungan dalam model-model operasi riset matematis, sebaliknya umumnya
bersifat iteratif yang dimaksud adalah bahwa pemecahan yang optimal dari sebuah
model matematis biasanya tidak tersedia dalam bentuk tertutup, melainkan jawaban
akhir dicapai dalam langkah-langkah atau iterasi, dengan setiap iterasi baru membawa
pemecahan tersebut lebih dekat dengan pemecahan optimal. Dalam hal ini,
mengatakan bahwa pemecahan menyatu secara iteratif ke pemecahan optimal.
Tidak semua model operasi riset matematis memiliki algoritma (metode)
pemecahan yang selalu menyatu kepemecahan optimal. Terdapat dua alasan untuk
kesulitan ini diantaranya :
a) Algoritma pemecahan dapat terbukti menyatu kepemecahan optimal, tetapi
hanya dalam arti teoritis.
RISET OPERASI & T.P KEPUTUSAN
b) Kompleksitas model matematis dapat membuat perancangan algoritma
pemecahan tidak mungkin dilakukan, dalam kasus ini model tersebut tetap tidak
dapat dipecahkan secara perhitungan.
8.14 TAHAP-TAHAP STUDI OPERASI RISET:
Sebuah studi operasi riset tidak dapat dilakukan dan dikendalikan oleh seorang
analis operasi riset saja, walaupun ia adalah seorang seorang ahli permodelan dan
teknik-teknik pemecahan model, analis tersebut tidak mungkin merupakan ahli dalam
semua bidang dimana masalah operasi riset timbul.
Tahap-tahap utama yang harus dilaluyi sebuah kelompok operasi riset untuk
melakukan sebuah studi operasi riset mencakup :
a) Definisi masalah.
b) Pengembangan model.
c) Pemecahan model.
d) Pengujian keabsahan model.
e) Implementasi hasil akhir.
Tahap pertama dari studi ini berkaitan dengan definisi masalah, dari sudut
pandang riset operasi, hal ini menunjukan tiga aspek utama diantaranya : 1) Deskripsi
tentang sasaran atau tujuan dari studi tersebut, 2) Identifikasi alternatif keputusan dari
sistem tersebut, dan pengenalan tentang keterbatasan, batasan, persyaratan sistem
tersebut.
Tahap kedua dari studi ini berkaitan dengan pengembangan model. Bergantung
pada definisi masalah, kelompok riset operasi tersebut harus memutuskan model yang
paling sesuai untuk mewakili sistem yang bersangkutan. Model seperti ini harus
menyatakan ekspresi kuantitatif dari tujuan dan batasan masalah dalam bentuk
variable keputusan.
Tahap ketiga dari studi ini berkaitan dengan pemecahan model. Dalam model-
model matematis, hal ini dicapai dengan menggunakan teknik-teknik optimisasi yang
didefinisikan dengan baik dan model tersebut dikaitkan menghasilkan sebuah
pemecahan optimal.
RISET OPERASI & T.P KEPUTUSAN
Tahap keempat menunutuk opemeriksaan terhadap keabsahan model. Sebuah
model adalah abash jika walaupun tidak secara pasti mewakili system tersebut, dapat
memberikan prediksi yang wajar dari kinerja system tersebut.
Tahap akhir dari studi ini berkaitan dengan implementasi hasil model yang telah
diuji tersebut. Beban pelaksanaan hasil ini terutama berada dipundak para peneliti
operasi.
RISET OPERASI & T.P KEPUTUSAN
BAB IX
PEMROGRAMAN LINIER FORMULASI DAN PEMECAHAN GRAFIK
Keberhasilan sebuah teknik operasi riset pada akhirnya diukur berdasarkan
penyebaran penggunaannya sebagai sebuah alat pengambilan keputusan. Sejak
diperkenalkan diakhir dasawarsa 1940-an, pemrograman linier (linier programming/LP)
telah terbukti merupakan salah satu alat riset operasi yang paling efektif.
Keberhasilannya berakar dari keluwesannya dalam menjabarkan berbagai situasi
kehidupan nyata dibidang-bidang berikut ini: militer, industri, pertanian, transportasi,
ekonomi, kesehatan, bahkan ilmu sosial dan perilaku.
Kegunaan pemrograman linier adalah lebih luas dari pada aplikasinya semata-
mata. Pada kenyataannya, pemrograman linier harus dipandang sebagai dasar
penting untuk pengembangan teknik-teknik operasi riset lainnya, termasuk
pemrograman integer, stokhastik, arus jaringan, dan kuadratik.
9.1 MODEL DUA VARIABEL DAN PEMECAHAN GRAFIKNYA:
Dalam bagian ini sebuah pemrograman linier sederhana dengan dua variabel
keputusan dan memperlihatkan bagaimana model ini dapat dipecahkan secara grafis.
Walaupun pemecahan grafik dua dimensi hampir-hampir tidak berguna dalam situasi
kehidupan nyata (yang umumnya meliputi ratusan atau ribuan variabel dan batasan),
prosedur ini menawarkan peluang yang luar biasa untuk memahami bagaimana proses
optimisasi pemrograman linier bekerja.
Contoh :
Reddy Mikks Company memiliki sebuah pabrik kiecil yang menghasilkan cat,
baik untuk interior maupun eksterior untuk didistribusikan kepada para grosir, Dua
bahan mentah A dan B, dipergunakan untuk membuat cat tersebut ketersediaan A
maksimum adalah 6 ton/hari. Ketersediaan B adalah 8 ton/hari. Kebutuhan harian akan
bahan mentah /ton cat interior dan eksterior dirIngkaskan dalam tabel berikut :
RISET OPERASI & T.P KEPUTUSAN
Ton bahan mentah / ton cat Ketersediaan
maksimum
Eksterior Interior
Bahan mentah A 1 2 6
Bahan mentah B 2 1 8
Sebuah survey pasar telah menetapkan bahwa permintaan harian akan cat
interior tidak akan lebih dari 1 ton lebih tinggi dibandingkan permintaan akan cat
eksterior. Survey tersebut juga memperlihatkan bahwa permintaan maksimum akan
cat interior adalah terbatas pada 2 ton/hari. Harga grosir /ton adalah $ 3.000 untuk cat
eksterior dan $ 2.000 untuk cat interior. Berapa banayk cat interior dan cat eksterior
yang harus dihasilkan perusahaan tersebut setiap hari untuk memaksimalkan
pendapatan kotor?
9.1.1 Pengembangan model matematis:
Pengembangan model matematis dapat dimulai dengan menjawab ketiga
pertanyaan berikut ini :
1) Apa yang diusahakan untuk ditentukan oleh model tersebut? Dengan kata lain,
apa variable (yang tidak diketahui) dari masalah tersebut?
2) Apa batasan yang harus dikenakan atas variable untuk memenuhi batasan
system yang dimodel tersebut.
3) Apa tujuan (sasaran) yang harus dicapai untuk menentukan pemecahan
optimum (terbaik) dari semua nilai yang layak dari variable tersebut?
Cara yang efektif untuk menjawab pertanyaan-pertanyaan ini adalah
memberikan ringkasan verbal untuk masalah yang bersangkutan. Dalam contoh Reddy
Mikks, situasinya dijabarkan sebagai berikut: perusahaan berusaha menentukan
jumlah (dalam ton) cat interior dan eksterior yang harus diproduksi untuk
memaksimumkan (menaikkan sebanyak mungkin sebagaimana layak) pendapatan
RISET OPERASI & T.P KEPUTUSAN
bruto total (dalam ribuan dollar) sambil memenuhui batasan permintaan dan
penggunaan bahan mentah.
Kesulitan dasar dari sistem model matematis adalah pertama-tama
mengidentifikasikan variabel dan lalu mengungkapkan tujuan dan batasan sebagai
fungsi matematis ndari variabel-variabel tersebut. Jadi, untuk masalah Reddy Mikks,
kita memiliki yang berikut ini:
Variabel, karena kita ingin menentukan jumlah cat interior dan eksterior yang
harus diproduksi, variable-varabel dari model ini dapat didefinisikan sebagai berikut:
xE= Jumlah ton cat eksterior yang diproduksi setiap hari.
xI= Jumlah ton cat interior yang diproduksi setiap hari.
Fungsi tujuan, Karena setiap ton cat eksterior dijual; dengan harga $3.000,
pendapatan kotor dari penjualan xE ton adalah 3xE ribu dollar. Demikian pula,
pendapatan kotor dari xI ton cat interior adalah 2xI ribu dollar. Berdasarkan asumsi
bahwa penjualan cat interior dan eksterior adalah independen, pendapatan bruto total
menjadi penjumlahan dari kedua pendapatan tersebut.
Jika kita menyatakan z untuk mewakili pendapatan kotor total (dalam ribuan
dollar), fungsi tujuan tersebut dapat ditulis secara matematis sebagai z=3xE + 2xI.
Sasarannya adalah menentukan nilai xE dan xI (yang layak) yang akan
memaksimumkan kriteria ini.
Batasan, masalah Reddy Mikks mengenakan batasan atas penggunaan bahan
mentah dan atas permintaan. Batasan penggunaan dapat diekspresikan secara verbal
sebagai berikut :
penggunaan bahan mentah < Ketersediaan bahan mentah
oleh kedua cat mentah maksimum
ini mengarah pada batasan berikut (lihat data untuk masalah ini):
xE + 2xl < 6 (bahan mentah A)
2x + xl < 8 (bahan mentah B)
RISET OPERASI & T.P KEPUTUSAN
Batasan permintaan diekspresikan secara verbal sebagai berikut:
Jumlah kelebihan cat interior < 1 ton/hari
dibandingkan cat eksterior
[Permintaan akan cat interior] < 2 ton/hari
Secara matematis kedua batasan tersebut diekspresikan secara berturut-turut sebagai
berikut:
xI – xE < 1 [kelebihan cat interior dibandingkan eksterior]
xI < 2 [permintaan maksimum akan cat interior]
Batasan implisit (atau “yang harus dimengerti) adalah bahwa jumlah yang
diproduksi untuk setiap cat tidak dapat negative (kurang dari nol). Untuk menghindari
memperoleh pemecahan seperti itu, kita mengenakan batasan non negativitas, yang
secara normal ditulis sebagai berikut
xI > 0 (cat interior)
xE > 0 (cat eksterior)
Nilai-nilai variabel xE dan xI dikatakan merupakan pemecahan yang layak jika
memenuhi semua batasan dari model ini, termaksud batasan non negativitas.
Model matematis yang lengkap untuk masalah Reddy Mikks sekarang dapat
diringkas sebagai berikut:
RISET OPERASI & T.P KEPUTUSAN
Tentukan jumlah cat interior dan eksterior, xI dan xE yang harus
diproduksi untuk memaksimumkan z= 3xE + 2xI (fungsi tujuan)
Dengan batasan:
xE + 2xI < 6
2xE + xI < 8
- xE + xI < 1 (batasan)
xI < 2
xE < 0, xI < 0
Apa yang membuat model ini merupakan sebuah program linier? Secara teknis,
ini merupakan program linier, karena semua fungsinya (batasan dan tujuan) adalah
linier. Linieritas merupakan bahwa sifat proporsionalitas maupun aditivitas dipenuhi.
9.1.2 Pemecahan grafik dari model pemrograman linier:
Dalam bagian ini kita akan mempertimbangkan pemecahan model
pemrograman linier Reddy Mikks. Model tersebut dapat dipecahkan secara grafik
karena hanya memiliki dua variabel. Untuk model-model tiga variabel atau lebih, model
grafik tidak praktis. Bagaimanapun juga, kita akan dapat menarik kesimpulan umum
dari metode grafik yang akan berfungsi sebagai dasar untuk pengembangan metode
pemecahan umum.
Langkah pertama dalam metode grafik adalah menggambar ruang pemecahan
yang memenuhi semua batasan secara kebersamaan. Gambar 2.1 menunjukan ruang
pemecahan yang diisyaratkan. Batasan nonnegativitas xE > 0 dan xI > 0 membatasi
semua nilai-nilai yang layak pada kuadran pertama (yang didefinisikan dengan bidang
diatas dan disumbu xE dan disebelah kanan dan disumbu xI). Bidang yang ditutup oleh
batasan-batasan lainnya ditentukan pertama-tama dengan mengganti (<) dengan (=)
untuk setiap batasan, sehingga menghasilkan persamaan garis lurus. Setiap garis
lurus digambar bidang (xE, xI) dan bidang dimana setiap batasan berlaku ketika
pertidaksamaan tersebut diberlakukan ditunjukan dengan arah panah dari garis lurus
yang bersangkutan. Satu cara yang mudah untuk menentukan arah panah tersebut
adalah dengan menggunakan tituk asal (0, 0) sebagai titik rujukan. Jika (0, 0)
RISET OPERASI & T.P KEPUTUSAN
memenuhi pertidaksamaan tersebut arah yang layak akan mencakup titik asal
tersebut; jika tidak panah itu akan mengarah kesisi yang sebaliknya
Untuk menentukan pemecahan optimum (maksimum), kita menggerakan garis
pendapatan “ke atas” sampai ke titik dimana setiap kenaikan lebih lanjut dalam
pendapatan akan menghasilkan pemecahan yang tidak layak. Gambar 2.2
memperlihatkan bahwa pemecahan yang optimum terjadi pada titik C. Karena C
adalah titik potong antara garis 1 dan 2 (lihat gambar 2.1) nilai-nilai xE dan xI di
tentukan dengan memecahkan kedua persamaan berikut ini secara bersamaan:
xE + 2 xI = 6
2xE + xI = 8
Batasan:
8 – xE + 2xI < 6
7 – 2xE + xI < 8
6 – -xE + xI < 1
5 – xI < 2
4 – xE > 0
3 - xI > 0
2 -
1 –
0 xE
1 2 3 4 5 6
Gambar 9.1
Setiap titik yang berada di dalam atau di garis pembatas ruang layak ABCDEF
memenuhi semua batasan dan karena itu mewakili sebuah titik yang layak. Walaupun
terdapat sejumlah tak terhingga titik layak dalam ruang pemecahan, pemecahan yang
optimum dapat ditentukan dengan mengamati arah ke mana fungsi tujuan z= 3xE + 2xI
5
2
1
3
2
4
6
1
2
2
2
3
2
4
2
5
2
6
2
RISET OPERASI & T.P KEPUTUSAN
meningkat. Gambar 2.2 mengilustrasikan hasil ini. Garis sejajar yang mewakili fungsi
tujuan digambar dengan memberikan nilai (sembarang) yang semakin meningkat
untuk z = 3xE + 2xI untuk menentukan baik kemiringan maupun arah kemana
pendapatan total (fungsi tujuan) meningkat. Dalam gambar 2.2, kita menggunakan z =
6 dan z = 9.
xI Fungsi tujuan:
maksimumkan z= 3xE + 2xI
z= 6 z=9 z=12 2/3
4 – Pemecahan optimum:
3 – xE = 3 1/3 ton
2 – E D C xI = 1 1/3 ton
1 – F B z = 12 2/3 ribu $
A 1 2 3 4 xE
Gambar 9.2
Keluaran model Reddy Mikks dengan menggunakan perangkat lunak TORA
diberikan dalam gambar 2.3. Keluaran tersebut memberikan ringkasan pemecahan (xE
= 3,3333, xI = 1,3333 , dan z= 12,6667)(. Keluaran ini juga memberikan kontribusi
setiap variabel individual kepada fungsi tujuan. Bagian kedua dari keluaran dalam
gambar 2.3 mendaftarkan batasan dan jenisnya bersamaan dengan nilai slack dan
surplus yang berkaitan. Sebuah variabel slack berkaitan dengan batasan (<) dan
mewakili jumlah kelebihan sisi kanan dan batasan tersebut dibandingkan sisi kiri.
Sebiuah variabel surplus diidentifikasikan dengan batasan (>) dan mewakili kelebihan
sisi kiri dibandingkan sisi kanan.
*** OPTIMUM SOLUTION SUMMARY ***
Title: Reddy Mikks model
Final iteration no: 3
Objective value (max) = 12.667
2
14
3
5
6
RISET OPERASI & T.P KEPUTUSAN
Variabel Value Coeft Obj Val Contrib Reduced Cost
x1 xE 3.3333 3.0000 10.0000 0.0000
x2 xI 1.3333 2.0000 2.6667 0.0000
Contraint RHS Stack (-) / Surplus (+) Bual Price
1 (<) 6.0000 0.0000 - 0.3333
2 (<) 8.0000 0.0000 - 1.3333
3 (<) 1.0000 3.0000 - 0.0000
4 (<) 2.0000 0.6667 - 0.0000
(Gambar 6.3)
9.1.3 Analisis sensitivitas: Pembahasan dasar:
Analisis sensitivitas dirancang untuk mempelajari pengaruh perubahan dalam
parameter model pemerograman linier terhadap pemecahan optimum. Analisis seperti
ini dipandang sebagai bagian integral dari pemecahan (yang diperluas) dari setiap
masalah pemrograman linier. Analisis ini memberikan karateristik dinamis pada model
yang memungkinkan seorang analis untuk memepelajari perilaku pemecahan optimum
sebagai hasil dari perubahan dalam parameter model. Tujuan akhir dari analis ini
adalah untuk memperoleh informasi tentang pemecahan optimum yang baru dan yang
dimungkinkan (yang bersesuai dengan perubahan dalam parameter tersebut) dengan
perhitungan tambahan yang minimal.
Analisis sensitivitas terutama sangat sesuai untuk mempelajari pengaruh variasi
dalam koefisien biaya/laba dan dalam jumlah sumber daya yang tersedia terhadap
pemecahan optimum. Walaupun perhitungan analisis sensitivitas telah diotomatisasi
dalam sebagaian besar perangkat lunak operasi riset (termasuk TORA), pemahaman
mendasar tentang bagaimana prosedur ini bekerja adalah sangat penting untuk
penerapan hasil-hasilnya sangat berhasil. Dalam bagian ini, kita akan memanfaatkan
prosedur grafik untuk menerangkan unsur-unsur dasar dari analisis ini.
Gambar 9.3 menggambarkan bahwa pengaruh kenaikan/penurunan dalam cE
dan cI adalah rotasi garis yang mewakili z dalam arah yang searah atau berlawanan
dengan jarum jam di sekitar titik optimum saat ini C. Gagasannya adalah untuk
menentukan kisaran variasi untuk cE dan cI yang akan mempertahankan optimum di
titik C. Dengan memeperhatikan gambar 2.4, kita melihat bahwa selama kemiringan z
RISET OPERASI & T.P KEPUTUSAN
tetap berada diantara kemiringan garis CB dan cD, titik C akan selalu menggunakan
titik optimum. (ketika kemiringan z bersinggungan dengan CB atau CD, titik C akan
selalu merupakan titik optimum. (ketika kemiringan z bersinggungan dengan CB atau
CD, optimum alternative akan dihasilkan). Kita dapat menyatakan kondisi ini secara
aljabar sebagai berikut :
1 < cE < 2
2 cI 1
Penurunan cE atau kenaikan cI
Z = cExE + cixI
F
A B Kenaikan cE atau penburunan cI
Gambar 9.4
Gambar 6.4 memberikan keluaran TORA untuk analisis sensitivitas koefisien
tujuan. Hasil tersebut diperlihatkan dalam dua bagian: perubahan tunggal dan
perubahan simultan. Kisaran yang berkaitan dengan perubahan tunggal adalah sesuai
dengan hasil diatas. Untuk perubahan simultan, harus ditunjukkan bahwa d1 dan d2
didefinisikan sebagai d1 = cE – 3 dan d2 = c1 – 2, yaitu keduanya mewakili jumlah
perubahan relatif terhadap koefisien saat ini. Dengan subsitusi ini, kondisi perubahan
simultan:
1 < cE < 2
2 cI
RISET OPERASI & T.P KEPUTUSAN
*** SENSITIVITY ANALYSIS***
Objective coefficients - - single changes:
Variable Curren Coeff Min Coeff Max Coeff Reduce Cost
x1 xE 3.0000 1.0000 4.0000 0.0000
x2 xI 2.0000 1.5000 6.0000 0.0000
Objective Coefisien - - Simultaneous Changes d:
Non basic Var Optimality Condition
sx3 0,3333 + 0.6667 d2 + -0.3333 d1 >= 0
sx4 1,3333 + -0.3333 d2 + 0.6667 d1 >= 0
Gambar 9.6
9.2 FOPRMULASI PEMROGRAMAN LINIER:
Dalam penyajian ini kami menyajikan dua model pemrograman linier. Anda
akan melihat bahwa variabel keputusan dalam kedua contoh mudah didefinisikan.
Dalam bagian berikutnya, kami menyajikan formulasi lainnya di mana identifikasi
dan/atau penggunaan variabel keputusan adalah lebih rumit.
Contoh:
Sebuah lembaga keuangan, Thriftem Bank, sedang berada dalam proses untuk
merumuskan sebuah kebijakan pinjaman yang melibatkan jumlah total uang sebesar
$12 juta. Sebagai bank yang memberikan pelayanan lengkap, bank tersebut
berkewajiban untuk memberikan pinjaman kepada berbagai nasabah. Tabel berikut ini
memberikan jenis-jenis pinjaman, suku bunga yang diberikan oleh bank tersebut, dan
probabilitas pinjaman macet sebagaimana diestimasikan dari pengalaman masa lalu
Pinjaman macet diasumsikan tidak dapat diperoleh kembali dan karena itu tidak
menghasilkan pendapatan bunga.
Persaingan dengan lembaga keuangan lainnya di wilayah tersebut
mengharuskan bank ini untuk mengalokasikan setidaknya 40% dari dana total untuk
pinjaman pertanian dan komersial untuk membantu industri perumahan di wilayah itu,
pinjaman perumahan harus setidaknya sama dengan 50% dari pinjaman pribadi,
mobil, dan perumahan. Bank tersebut juga memiliki kebijakan tertulis yang
RISET OPERASI & T.P KEPUTUSAN
menyatakan bahwa rasio keseluruhan untuk pinjaman macet atas semua pinjaman
tidak boleh lebih besar dari 0,04.
Probabilitas
Jenis Pinjaman Suku Bunga Pinjaman Macet
Pribadi 0,140 0,10
Mobil 0,130 0,07
Rumah 0,120 0,03
Pertanian 0,125 0,05
Komersial 0,100 0,02
Model Matematis:
Variabel dari model ini dapat didefinisikan sebagai berikut:
x1 = Pinjaman pribadi (dalam jutaan dollar)
x2 = Pinjaman mobil
x3 = Pinjaman perumahan
x4 = Pinjaman pertanian
x5 = Pinjaman komersial
Tujuan dari Thriftem Bank adalah memaksimumkan pengembalian bersihnya
yang terdiri dari selisih antara pendapatan dari bunga dan dana yang terhilang akibat
pinjaman macet. Karena pinjaman macet tidak dapat diperoleh kembali, baik pinjaman
pokok maupun bunganya, fungsi tujuan dapat ditulis sebagai berikut:
Memaksimumkan z = 0,14 (0,9x1) + 0,13 (0,93x2) + 0,12 (0,97x3) + 0,125 (0,95x4) +
0,1 (0,98x5) – 0,1x1 – 0,07x2 – 0,03x3 – 0,05x4 – 0,02x5
Fungsi ini dapat disederhanakan menjadi:
Maksimumkan z = 0,026x1 + 0,0509x2 + 0,0864x3 + 0,06875x4 + 0,078x5
Masalah ini memiliki 5 batasan yaitu:
RISET OPERASI & T.P KEPUTUSAN
1) Dana total
x1 + x2 + x3 + x4 + x5 < 12
2) Pinjaman pertanian dan komersial
x4 + x5 > 0,4 x 12
Atau
x4 + x5 > 4,8
3) Pinjaman perumahan
x3 X 0,5 (x1 + x2 + x3)
4) Batas pinjaman macet
0,01x1 + 0,07x2+ 0,0x3 + 0,05x4 + 0,02x5
x1 + x2 + x3 + x4 + x5
5) Non negativitas
x1 > o, x2> 0, x3 > 0, x4 > 0, x5 > 0
Keluaran dari model kebijakan bank ini diperlihatkan dalam gambar 2.6 keluaran
ini memperlihatkan bahwa hanya pinjaman perumahan dan komersial yang
direkomendasikan. Diantara pinjaman-pinjaman lainnya, pinjaman pribadi adalah yang
paling tidak menarik, bukan hanya karena pinjaman ini memiliki koefisien tujuan yang
terkecil (=0,026), tetapi juga nilai pengurangan biayanya adalah yang tertinggi diantara
semua variabel (=0,0604). Pengurangan biaya berarti bahwa “profotabilitas” variabel
pinjaman pribadi harus meningkat dengan 0,0604 agar variabel tersebut
menguntungkan. Dengan melihat pada harga dual, batasan pertama memperlihatkan
bahwa kenaikan sebesar 1 (juta) dollar dalam dana yang dialokasikan akan menaikkan
pengembalian bersih Dario semua pinjaman sebesar 00864 (juta) dolar.
RISET OPERASI & T.P KEPUTUSAN
*** OPTION SOLUTION ***
Tittle: Bank model
Final iteration no: 6
Objective value (max) = 0,9965
Variable Value Obj Coeff Obj Val Contrib Reduced Cost
x1 Pers’nl 0.0000 0.0260 0.0000 0.0604
x2 Car 0.0000 0.0509 0.0000 0.0355
x3 Home 7.2000 0.0864 0.6221 0.0000
x4 Farm 0.0000 0.0688 0.0000 0.0092
x5 Comm’l 4.8000 0.0780 0.3744 0.0000
Contraint RHS Slack (-) / Surplus (+) Bual Price
1 (<) 12.0000 0.0000 - 0.0864
2 (>) 4.8000 0.0000 + -0.0084
3 (>) 0.0000 3.6000 + 0.0000
4 (<) 0.0000 0.1680 - 0.0000
*** SENSITIVITY ANALYSIS ***
Objective coefficients - - Single Change
Variable Current Coeff Min Coeff Max Coefff Reduced Cost
X1 Personl 0.0260 - infinity 0.0864 0.0604
X2 Car 0.0509 - infinity 0.0864 0.0355
X3 Home 0.0864 0.0780 infinity 0.0000
X4 Farm 0.0688 - infinity 0.0780 0.0092
X5 Comm.l 0.0780 0.0688 0.0864 0.0000
RISET OPERASI & T.P KEPUTUSAN
Right-hand Side – Single Changes:
Contraint Current RHS Min RHS Max RHS Dual Price
1 (<) 12.0000 4.8000 infinity 0.0864
2 (>) 4.8000 0.0000 12.0000 - 0.0084
3 (>) 0.0000 - infinity 3.6000 0.0000
4 (<) 0.0000 - 0.1680 infinity 0.0000
Gambar 9.5
Ini setara dengan tingkat pengembalian tahunan sebesar 8,64% atas investasi.
Karena kisaran yang berkaitan adalah (4,8) Pengembalian ini dijamin untuk setiap
kenaikan dalam dana yang dialokasikan diatas nilai saat ini sebesar 12 (juta) dollar.
Tetapi tingkat pengembalian sebesar 8,64 %. Ini tampaknya rendah terutama karena
suku bunga terendah yang dikenakan bank tersebut adalah 10%. Perbedaan ini dapat
disebabkan oleh pinjaman macet, yang tidak dapat diperoleh kembali baik pokok
maupun bunganya. Pada kenyataannya koefisien tujuan tertinggi dalam model ini
adalah 0,0864 (pinjaman perumahan). Cukup menarik, koefisien ini secara kebetulan
sama dengan harga dual dari batasan (dana yang dialokasikan). Kesimpulan dari
observasi ini adalah bahwa setiap dana tambahan baru pasti akan dialokasikan
berdasarkan pemecahan optimum untuk pinjaman perusahaan.
9.3 FORMULASI PEMROGRAMAN LINIER TAMBAHAN:
Dalam penyajian ini menyajikan tiga formulasi tambahan yang dicirikan dengan
kerumitan sampai tingkat tertentu dalam hal bagaimana variabel-variabel tersebut
didefinisikan dan dipergunakan dalam model. Tujuannya, tentu saja memperkenalkan
gagasan-gagasan baru dalam pengembangan model.
Contoh:
Progress City sedang mempelajari kelayakan memperkenalkan sistem bis
transit yang akan mengatasi masalah polusi dengan mengurangi perjalanan dalam
kota. Studi awal berusaha untuk menentukan jumlah minimum bis yang dapat
menangani kebutuhan transportasi. Setelah mengumpulkan informasi yang diperlukan,
RISET OPERASI & T.P KEPUTUSAN
para teknisi kota tersebut melihat bahwa jumlah minimum bis yang diperlukan untuk
memenuhi permintaan itu berfluktuasi dengan waktu dalam sehari. Setelah
mempelajari data tersebut lebih lanjut, menjadi jelas bahwa jumlah bis yang diperlukan
dapat diasumsikan konstan selama interval waktu yang masing-masing adalah 4 jam..
Diputuskan bahwa untuk melakukan pemeliharaan harian yang diperlukan, setiap bis
hanya akan beroperasi selama 8 jam berturut-turut dalam satu hari.
Reprensentasi Matematis:
Kebutuhan model ini adalah menentukan jumlah bis yang dioperasikan selama
shift yang berbeda (variabel) yang akan memenuhi permintaan minimum (batasan)
sambil meminimumkan jumlah total bis harian yang beroperasi (tujuan).
Pemecahan ini hanya dapat diterima jika shift tersebut harus berjalan sesuai
dengan jadwal tiga shift yang normal. Tetapi, kemungkinan akan menghasilkan
keuntungan jika kita mengijinkan proses optimisasi ini untuk memilih waktu awal
“terbaik” untuk sebuah shift. Satu cara yang wajar untuk mencapai hal ini adalah
mengijinkan sebuah shift untuk dimulai setiap 4 jam, dengan masing-masing shift
berlangsung selama 8 jam berturut-turut. Kita sekarang siap mendefinisikan variabel-
variabel:
x1 = Jumlah bis yang mulai pada pukul 00.01
x2 = Jumlah bis yang mulai pada pukul 04.01
x3 = Jumlah bis yang mulai pada pukul 08.01
x4 = Jumlah bis yang mulai pada pukul 12.01
x5 = Jumlah bis yang mulai pada pukul 16.01
x6 = Jumlah bis yang mulai pada pukul 20.01
Jadi, model matematis tersebut dapat ditulis sebagai berikut:
Minimumkan z = x1 + x2 + x3 + x4 + x5 +x6
RISET OPERASI & T.P KEPUTUSAN
Dengan batasan:
x1 + x6 > 4 (00.01 – 04.00)
x1 + x2 > 8 (04.01 – 08.00)
x2 + x3 > 10 (08.01 – 12.00)
x3 + x4 > 7 (12.01 – 16.00)
x4 + x5 > 12 (16.01 – 20.00)
x5 + x6 > 4 (20.01 – 24.00)
xj > 0, j = 1, 2, …, 6
RISET OPERASI & T.P KEPUTUSAN
BAB X
PEMROGRAMAN LINIER
METODE SIMPLEKS
10.1 GAGASAN KESELURUHAN TENTANG METODE SIMPLEKS:
Metode grafik yang disajikan dalam bab 2 memperlihatkan bahwa
memprogramkan linier yang optimum selalu berkaitan dengan titik ekstrim atau titik
sudut dari ruang pemecahan. Gagasan ini dengan tepat mengatur pengembangan
metode simpleks. Pada intinya, apa yang dilakukan metode simpleks adalah
menerjemahkan definisi geometris dan titk ekstrim menjadi defines aljabar. Butir ini
harus diingat sepanjang pembahasan tentang metode simpleks.
Bagaimana metode simpleks mengidentifikasi titik ekstrim (atau titik sudut)
secara aljabar? Sebagai langkah pertama, metode simpleks mengharuskan agar
setiap batasan ditempatkan dalam bentuk standar yang khusus. Dimana semua
batasan diekspresikan sebagai persamaan dengan menambahkan variabel slack dan
surplus sebagaimana diperlukan. Jenis konversi ini umumnya menghasilkan
sekelompok persamaan dimana jumlah variabel adalah lebih besar dari pada jumlah
persamaan, yang umumnya berarti bahwa persamaan-persamaan tersebut
menghasilkan sejumlah titik pemecahan yang tidak terbatas (bandingkan dengan
ruang pemecahan secara grafik).
Titik ekstrim dari ruang ini dapat diidentifikasikan secara aljabar sebagai
pemecahan dasar (basic solutions) dari sistem persamaan simultan tersebut. Dari teori
aljabar linier, sebuah pemecahan dasar diperoleh dengan menetapkan beberapa
variabel yang sebanyak selisih antara jumlah total variabel dengan jumlah total
persamaan memiliki nilai sama dengan nol dan lalu memecahkan variabel sisanya,
dengan ketentuan bahwa kondisi tersebut menghasilkan satu pemecahan yang unik.
Pada intinya, transaksi dari prosedur grafik ke prosedur aljabar sepenuhnya
bergantung pada keabsahan hubungan penting berikut ini:
Titik ekstrim Pemecahan dasar
RISET OPERASI & T.P KEPUTUSAN
10.2 PENGEMBANGAN METODE SIMPLEKS:
Dalam bagian ini kami menyajikan perincian metode simpleks. Pembahasan ini
dimulai dengan bentuk standar yang diperlukan untuk mewakili ruang pemecahan
pemrograman linier dengan sebuah sistem persamaan simultan. Pembahsan
selebihnya memperlihatkan bagaimana pemecahan dasar yang berturut-turut
ditentukan secara selektif dengan maksud untuk mencapai pemecahan optimum
dalam sejumlah terbatas iterasi.
10.2.1 Bentuk pemrograman linier standar:
Kita telah melihat dalam bab sebelumnya, bahwa sebuah model pemrograman
linier dapat mencakup batasan dengan segala batasan jenis (<, >, =). Lebih jauh lagi
variabel dapat non negatif atau tidak dibatasi dalam tandanya. Untuk mengembangkan
sebuah metode pemecahan yang umum, masalah pemrograman linier harus
ditempatkan dalam format yang sama, yang akan kita sebut sebagai format standar.
Sifat dari bentuk ini adalah sebagai berikut:
1) Semua batasan adalah persamaan (dengan sisi kanan yang nonnegatif jika
model tersebut dipecahkan dengan metode simpleks primal.
2) Semua variabel adalah non negatif.
3) Fungsi tujuan dapat berupa maksimisasi atau minimisasi.
A. Batasan:
Sebuah variabel yang berjenis < (>) dapat dikonversikan menjadi sebuah
persamaan dengan menambahkan variabel slack ke (mengurangkan variabel surplus)
dari sisi kiri batasan tersebut misalnya dalam batasan:
xI + 2x2 < 6
Kita menambahkan slack sI > 0 kesisi kiri untuk memperoleh persamaan:
xI + 2x2 + sI = 6, sI > 0
RISET OPERASI & T.P KEPUTUSAN
Kemudian, pertimbangkan batasan:
3xI + 2xI – 3x3 > 5
Karena sekarang sisi kiri tidak lebih kecil dari pada sisi kanan, kita
mengurangkan variabel surplus s2 > 0 dari sisi kiri untuk memperoleh persamaan:
3xI + 2xI – 3x3 – s2 = 5. s2 > 0
Sisi kanan dari sebuah persamaan dapat selalu dibuat non negatif dengan
mengalikan kedua sisi dengan –1, Misalnya, 2 xI + 3x2 – 7x3 = 5 secara matematis
adalah setara dengan – 2xI – 3x2 + 7x3 = +5
Arah pertidaksamaan dibalik ketika kedua sisi dikalikan dengan -1, Misalnya,
sementara 2 < 4, -2 > 4, Jadi pertidaksamaan 2xI – x2 < -5 dapat digantikan dengan -
2xI + x2 > 5
RISET OPERASI & T.P KEPUTUSAN
Sumber : (Dasar-Dasar Operations Research) Edisi 2, Drs. Pangestu Subagyo, M.B.A, Drs
Marwan Asri, M.B.A, Dr. T. Hani Handoko, M.B.A
BAB XI
MASALAH PENUGASAN
11.1 PERUMUSAN MASALAH:
Seperti masalah transportasi, masalah penugasan (assignment problem)
merupakan suatu kasus khusus dari masalah linier programming pada umumnya.
Dalam dunia usaha (bisnis) dan industri, manajemen sering menghadapi masalah-
masalah yang berhubungan dengan penugasan dari bermacam-macam sumber yang
produktif atau personalia yang mempunyai tingkat efisiensi yang berbeda-beda untuk
tugas yang berbeda-beda pula. Metode Hungarian (Hungarian Method) adalah salah
satu dari beberapa teknik-teknik pemecahan yang tersedia untuk masalah-masalah
penugasan. Metode ini mula-mula dikembangkan oleh seorang ahli matematika
berkebangsaan Hungaria yang bernama D. Konig dalam tahun 1916.
Untuk dapat menerapkan metode Hungarian, jumlah sumber-sumber yang
ditugaskan harus sama persis dengan jumlah tugas yang akan diselesaikan. Selain itu,
setiap sumber harus ditugaskan hanya untuk satu tugas. Jadi, masalah penugasan
akan mencakup sejumlah n sumber yang mempunyai n tugas. Ada n! (n factorial)
penugasan yang mungkin dalam suatu masalah karena perpasangan satu-satu.
Masalah ini dapat dijelaskan dengan mudah oleh bentuk matriks segi empat, dimana
baris-barisnya menunjukkan sumber-sumber dan kolom-kolomnya menunjukkanm
sumber-sumber dan kolom-kolomnya menunjukkan tugas-tugas.
Masalah penugasan dapat dinyatakan secara matematis dalam satuan bentuk
linier programming sebagai berikut:
Minimumkan (Maksimumkan):
m
Z = Σ Σ Cij Xij
i=1 j=1
RISET OPERASI & T.P KEPUTUSAN
Dengan Batasan:
M n
Σ Xij = Σ Xij = 1
i-1 j=1
dan Xij > 0 (Xij = Xij)2
)
Dimana Cij adalah tatapan yang telah diketahui.
11.2 MASALAH MINIMISASI:
Suatu perusahaan kecil mempunyai 4 (empat) pekerjaan yang berbeda untuk
diselesaikan oleh 4 (empat) karyawan. Biaya penugasan seorang karyawan untuk
pekerjaan berbeda-beda. Setiap karyawan mempunyai tingkat keterampilan,
pengalaman kerja dan latar belakang pendidikan serta latihan yang berbeda pula.
Sehingga biaya penyelesaian pekerjaan yang sama oleh para karyawan-karyawan
yang berlainan juga berbeda. Matriks pada tabel 11.1 menunjukkan biaya penugasan
karyawan untuk bermacam-macam pekerjaan. Sebagai contoh A dapat menyelesaikan
pekerjaan 1 pada biaya Rp. 15,- pekerjaan II biaya Rp. 20,- dan seterusnya.
Pekerjaan
Karyawan
I II III IV
A Rp. 15,- Rp. 20,- Rp. 18,- Rp. 22,-
B Rp. 14,- Rp. 16,- Rp. 21,- Rp. 17,-
C Rp. 25,- Rp. 20,- Rp. 23,- Rp. 20,-
D Rp. 17,- Rp. 18,- Rp. 18,- Rp. 16,-
Gambar 11.1 (Tabel Matriks Biaya)
RISET OPERASI & T.P KEPUTUSAN
Karena metode Hungarian mensyaratkan perpasangan satu-satu, maka 4! (4, 3, 2, 1 =
24) Kemungkinan penugasan. Langkah-langkah penyelesaiannya adalah sebagai
berikut:
A) Langkah pertama adalah mengubah matriks biaya menjadi matriks opportunity
cost. Ini dicapai dengan memilih elemen terkecil dari setiap baris dari matriks
biaya mula-mula untuk mengurangi seluruh elemen (bilangan) dalam setiap
baris. Sebagai contoh, elemen terkecil baris A (=15) digunakan untuk
mengurangi seluruh elemen pada baris A. Sehingga paling sedikit akan
diperoleh satu elemen yang bernilai nol sebagai hasilnya. Prosedur yang sama
diulang untuk setiap baris pada Tabel 11.2 untuk mendapatkan matriks biaya
yang telah dikurangi (reduced-cost matriks) seperti yang ditunjukkan tabel 11.2.
Pekerjaan
Karyawan
I II III IV
A 0 5 3 7
B 0 2 7 3
C 5 0 3 0
D 1 2 2 0
Gambar 11.2 ( Tabel Reduced-Cost Matriks)
B) Reduced cost-matrix di atas terus dikurangi untuk mendapatkan total-
opportunity-cost matrix. Hal ini dapat dicapai dengan memilih elemen terkecil
dari setiap kolom pada reduced-cost matrik untuk mengurangi seluruh elemen
dalam kolom-kolom tersebut. Pada contoh di atas hanya dilakukan pada kolom
III karena semua kolom lainnya telah mempunyai elemen yang bernilai nol. Bila
langkah pertama telah menghasilkan paling sedikit satu nilai nol pada setiap
RISET OPERASI & T.P KEPUTUSAN
kolom, langkah kedua ini dapat dihilangkannya. Matriks-total-opportunity-cost
ditunjukkan dalam Tabel 11.3
Pekerjaan
Karyawan
I II III IV
A 0 5 1 7
B 0 2 5 3
C 5 0 1 0
D 1 2 0 0
Gambar 11.3 (Tabel Total-Opportunity-Cost Matrix)
Dalam contoh total-opportunity cost matrix pada tabel 11.3 terdapat paling
sedikit satu nilai nol, dalam setiap baris dan setiap kolom.
C) Langkah berikutnya adalah mencari skedul penugasan dengan suatu total –
ooportunity-cost nol. Untuk mencapai penugasan ini dibutuhkan 4 (empat)
“independent zeros” dalam matriks. Ini berarti setiap karyawan harus ditugaskan
hanya untuk satu pekerjaan dengan opportunity-cost nol; atau setiap pekerjaan
harus diselesaikan hanya oleh satu karyawan. Prosedur praktis untuk
melakukan test optimalisasi adalah dengan menarik sejumlah minimum garis
horisontal dan/atau vertikal untuk meliput seluruh elemen bernilai nol dalam
total-opportunity-cost matrix (lihat Tabel 11.4). Bila jumlah garis sama dengan
jumlah baris atau kolom penugasan optimal adalah feasible. Bila tidak sama
maka matriks harus direvisi.
RISET OPERASI & T.P KEPUTUSAN
Pekerjaan
Karyawan
I II III IV
A 0 5 1 7
B 0 2 5 3
C 5 0 1 0
D 1 2 0 0
Gambar 11.4 (Tabel Test For Optimality)
Dalam Tabel 11.4 ada tiga baris yang meliput seluruh nilai nol disbanding empat
baris atau kolom, sehinga langkah berikutnya diperlukan untuk merivisi matriks.
D) Untuk merivisi total-opportunity-cost matrix, pilih elemen terkecil yang belum
terliput garis-garis (yaitu opportunity-cost terendah, atau pada contoh di atas =
1) untuk mengurangi seluruh elemen yang belum terliput. Kemudian tambahkan
dengan jumlah yang sama (nilai elemen terkecil) pada seluruh elemen-elemen
yang mempunyai dua garis yang saling bersilangan (5 pada baris C dan 1 pada
baris D), atau sama dengan 6 dan 2. Masukkan hasil-hasil ini pada matriks, dan
menyelesaikan matriks dengan seluruh elemen-elemen yang telah direvisikan
pada Tabel 11.5 berikut ini didapatkan dengan mengikuti prosedur di atas.
Pekerjaan
Karyawan
I II III IV
A 0 4 0 6
B 0 1 4 2
C 6 0 1 0
D 2 2 0 0
Gambar 11.5 (Tabel Revised Matrix dan Test For Optimality)
E) Dalam Tabel 11.5 dibutuhkan empat garis untuk meliput seluruh nilai nol atau
sama dengan jumlah baris atau kolom, sehingga matriks penugasan optimal
telah tercapai. Karyawan B ditugaskan untuk pekerjaan I karena baris B hanya
mempunyai satu nilai nol pada kolom I, kolom II berisi satu nol pada baris C, jadi
RISET OPERASI & T.P KEPUTUSAN
karyawan C ditugaskan untuk pekerjaan II. Kemudian karyawan A ditugaskan
untuk pekerjaan III, karena pekerjaan I telah ditugaskan karyawan B. Karyawan
D ditugaskan untuk pekerjaan terkahir IV. Skedul penugasan optimal dengan
biaya minimum adalah sebagi berikut:
Skedul Penugasan
A – III
B – I
C – II
D – IV
Rp. 18,-
Rp. 14,-
Rp. 20,-
Rp. 10,- +
Rp. 62,-
11.2.1 Jumlah Pekerjaan Tidak Sama dengan Jumlah Karyawan:
Untuk memenuhi persyaratan suatu matriks segi empat bujur sangkar, agar
metode Hungarian dapat diterapkan, bila terdapat jumlah pekerjaan lebih besar dari
jumlah karyawan, maka harus ditambahkan suatu karyawan semu (dummy worker).
Biaya semu adalah sama dengan nol, karena tidak akan terjadi biaya bila suatu
pekerjaan ditugaskan ke karyawan semu. Atau dengan kata lain karena sebenarnya
pekerjaan tersebut tidak dilaksanakan. Sebaliknya bila jumlah karyawan lebih besar
dari jumlah pekerjaan, maka harus ditambahkan suatu pekerjaan semu (dummy job).
Sebagai contoh, bila jumlah pekerjaan lebih besar dari jumlah karyawan, dapat dilihat
pada Tabel 11.6.
Pekerjaan
Karyawan
I II III IV V
A Rp. 15,- Rp. 20,- Rp. 18,- Rp. 22,- Rp. 21,-
B Rp. 14,- Rp. 16,- Rp. 21,- Rp. 17,- Rp. 15,-
C Rp. 25,- Rp. 20,- Rp. 23,- Rp. 20,- Rp. 17,-
D Rp. 17,- Rp. 18,- Rp. 18,- Rp. 16,- Rp. 18,-
RISET OPERASI & T.P KEPUTUSAN
Dummy E Rp. 0,- Rp. 0,- Rp. 0,- Rp. 0,- Rp. 0,-
Gambar 11.6 (Tabel Jumlah Pekerjaan Lebih Besar Dari Jumlah Karyawan)
Prosedur penyelesaian selanjutnya sama dengan langkah-langkah di atas.
11.3 MASALAH MAKSIMISASI:
Metode penugasan Hungarian untuk minimisasi juga dapat diterapkan untuk
masalah penugasan yang menyangkut maksimisasi. Dalam masalah maksimisasi,
matriks elemen-elemen menunjukkan tingkat keuntungan (atau indeks produktivitas).
Efektivitas pelaksanaan tugas oleh karyawan-karyawan individual diukur dengan
jumlah kontribusi keuntungan. Matriks 6.7 menunjukkan bahwa karyawan A
mempunyai keterampilan yang dibutuhkan untuk menangani 5 (lima) pekerjaan-
pekerjaan yang berlainan.
Pekerjaan
Karyawan
I II III IV V
A Rp. 10,- Rp. 12,- Rp. 10,- Rp. 8,- Rp. 15,-
B Rp. 14,- Rp. 10,- Rp. 9,- Rp. 15,- Rp. 13,-
C Rp. 9,- Rp. 8,- Rp. 7,- Rp. 8,- Rp. 12,-
D Rp. 13- Rp. 15,- Rp. 8,- Rp. 16,- Rp. 11,-
E Rp. 10,- Rp. 13,- Rp. 14,- Rp. 11,- Rp.17,-
Gambar 11.7 (Tabel Matrikx Keuntungan)
Langkah pertama dalam masalah maksimisasi adalah mengubah matriks
keuntungan menjadi suatu matriks opportunity-loss. Dalam masalah ini, A
menyumbang keuntungan tertinggi Rp 15,- bila dia ditugaskan pada pekerjaan V. Oleh
karena itu, bila A ditugaskan pada pekerjaan I (yang kontribusi keuntungannya = Rp
10,-), ada sebesar Rp 5,- sebagai opportunity-loss yang terjadi dengan penugasan ini,
dan seterusnya. Seluruh elemen dalam setiap baris dikurangi dengan nilai maksimum
RISET OPERASI & T.P KEPUTUSAN
dalam baris yang sama, Prosedur ini menghasilkan matriks opportunity-loss
ditunjukkan dalam Tabel 11.6. Matriks ini sebenarnya bernilai negatif.
Pekerjaan
Karyawan
I II III IV V
A 5 3 5 7 0
B 1 5 6 0 2
C 3 4 5 4 0
D 3 1 8 0 5
E 7 4 3 0 0
Gambar 11.8 (Tabel Matrikx Opportunity-Loss)
Sepeti sebelumnya, setiap baris akan berisi nilai nol. Langkah berikutnya
meminimumkan opportunity-loss akan memaksimumkan kontribusi keuntungan total.
Matriks total-opportunity-loss yang ditunjukkan dalam Tabel 11.9 didapatkan melalui
pengurangan seluruh elemen dalam setiap kolom dengan elemen terkecil dari kolom
tersebut.
Pekerjaan
Karyawan
I II III IV V
A 4 2 2 7 0
B 0 4 3 0 2
C 2 3 2 4 0
D 2 0 5 0 5
E 6 3 0 6 0
Gambar 11.9 (Tabel Total Matrikx Opportunity-Loss)
Dalam Tabel 11.9 seluruh elemen bernialai nol dapat diliput hanya dengan empat
garis. Jadi, matriks harus dikurangi menurut langkah ke-4 seperti yang telah dijelaskan
RISET OPERASI & T.P KEPUTUSAN
di muka. Matriks baru ditunjukkan oleh Tabel 11.10, di mana penugasan optimal dapat
ditentukan.
Pekerjaan
Karyawan
I II III IV V
A 2 0 0 5 0
B 0 4 3 0 4
C 0 1 0 2 0
D 2 0 5 0 7
E 6 3 0 6 2
Gambar 11.10 (Tabel Optimal)
Skedul penugasan optimal dan keuntungan total untuk dua alternative penyelesaian
adalah
Skedul
Penugasan
Keuntungan Skedul
Penugasan
Keuntungan
A – II
B – I
C – V
D – IV
E – III
Rp. 12,-
Rp. 14,-
Rp. 12,-
Rp. 16,-
Rp. 14,- +
Rp. 68,-
A – V
B – IV
C - I
D – II
E - III
Rp. 15,-
Rp. 15,-
Rp. 9,-
Rp. 15,-
Rp. 14,- +
Rp. 68,-
11.3.1 Masalah-Masalah Penugasan Tambahan:
Dalam masalah-masalah penugasan di muka, seluruh elemen matriks diketahui
konstan. Bagaimanapun juga, kadang-kadang beberapa elemen matriks tidak
diketahui. Untuk pemecahan suatu masalah penugasan yang tidak mungkin dilakukan,
RISET OPERASI & T.P KEPUTUSAN
kita hanya menandai setiap elemen penugasan yang tidak mungkin dengan suatu nilai
sangat besar yang tidak diketahui, M (yaitu, M untuk masalah minimisasi dan –M untuk
masalah maksimasi). Langkaj pemecahan selanjutnya persis sama dengan prosedur
metode Hungarian yang telah dibahas di muka, hanya perlu diperhatikan bahwa
penugasan seorang karyawan untuk melaksanakan pekerjaan tertentu yang elemenya
diberi tanda M harus dihindari.
RISET OPERASI & T.P KEPUTUSAN
BAB XII
TEORI KEPUTUSAN
Model-model analisa kuantitaif yang telah dibicarakan di depan menggunakan
anggapan tersedianya informasi yang sempurna (perfect information). Dalam dunia
bisnis nyata, para manajer sering dipaksa untuk mengambil berbagai keputusan tanpa
informasi seperti itu. Akurasi dan variabilitas informasi yang diterima manjer pada
hakikatnya dapat diklasifikasikan menjadi tiga kategori berbeda: Kepastian, risiko, dan
ketidakpastian.
Model-model keputusan dengan keadaan kepastian (certainty) menggambarkan
informasi yang menunjukkan bahwa setiap rangkaian keputusan (kegiatan)
mempunyai suatu hasil (payoff) tertentu tunggal. Dalam hal ini tidak ada keacakan
(randomness) pada hasil keputusan-keputusan dengan kondisi kepastian, atau dengan
kata lain semua informasi dianggap pasti. Misal bila kita akan menyelesaikan masalah
kombinasi produk (produk mix) dengan linier programming, maka besarnya kontribusi
marginal tiap produk dan tersedianya sumber-sumber yang dibutuhkan dapat diketahui
dengan pasti. Model-model kepastian ini disebut model-model deterministik.
Dua model pengambilan keputusan lainnya menghadapi informasi yang tidak
dapat diperkirakan dengan pasti (atau tidak sempurna), Model pertama adalah model
keputusan dengan keadaan resiko (risk). Resiko menggambarkan informasi yang
mengidentifikasi bahwa setiap rangkaian keputusan mempunyai sejumlah
kemungkinan hasil dan probabilitas terjadinya. Jadi, dalam keadaan ini diketahui
adanya keacakan. Model-model risiko seperti ini disebut model-model stokastik.
Model kedua, model keputusan dengan keadaan ketidakpastian (uncertainty),
menggambarkan informasi yang menunjukkan semua atau beberapa hasil dari
berbagai keputusan yang berbeda, tetapi probabilitas terjadi hasil-hasil tersebut tidak
akan ditentukan. Ini adalah situasi yang paling sulit untuk pengambilan keputusan.
Agar lebih jelas dipahami perbedaan antara kedua model itu, maka kita ambil
contoh sederhana dengan informasi sebagai berikut:
Laba (Profit) Probabilitas
Rp. 100.000,-
Rp. 200.000,-
0,25
0,45
RISET OPERASI & T.P KEPUTUSAN
Rp. 300.000,- 0,30
Atas dasar data diatas, apabila besarnya laba yang mungkin dan probabilitas
terjadinya setiap kemungkinan laba tersebut diketahui, maka keadaan ini disebut
model keputusan dengan resiko. Sedangkan, bila probabilitas terjadinya tidak
diketahui, model keputusan disebut model dengan keadaan ketidakpastian.
12.1 MODEL KEPUTUSAN:
Ada beberapa elemen dan konsep yang biasanya digunakan pada semua
model keputusan. Hampir semua model, apakah itu kompleks atau sederhana, dapat
diformulasikan dengan menggunakan suatu struktur standar yang dipecahkan dengan
penggunaan prosedur evaluasi umum.
12.1.1 Konsep-Konsep Dasar:
Model keputusan umum terdiri atas komponen-komponen sebagai berikut:
a) Keadaan dasar, Sekumpulan peristiwa atau kejadian acak yang mungkin yang
mempengaruhi hasil keputusan.
b) Probabilitas, Probabilitas berkaitan dengan keadaan dasar.
c) Keputusan, Sekumpulan kegiatan (tindakan) yang mungkin diambil oleh
pengambilan keputusan dan.
d) Payoff, Sekumpulan laba (benefits) atau biaya yang mungkin yang dihasilkan
(diakibatkan) dari atau oleh kombinasi suatu keputusan dan suatu keadaan
dasar yang acak.
Contoh:
Toko buku HBU harus memesan buku-buku pedoman pajak pendapatan setiap
tahun sebelum periode membayar pajak mulai. Biaya pembelian buku Rp. 4.000,- dan
toko menjualnya dengan harga Rp. 8.000,-/Buku. Pengalaman telah menunjukkan
RISET OPERASI & T.P KEPUTUSAN
bahwa setelah tanggal 15 april, buku-buku tidak dapat dijual dan oleh karena itu
kurang menguntungkan.
Pemilik toko, Bapak Subiyakto, telah mengestimasikan kerugiannya bila dia
kehabisan buku pedoman itu, yaitu sebesar Rp. 4.000,-/buku. Bila dia kehabisan satu
atau lebih buku, dia harus melakukan pesanan khusus pada harga yang lebih tinggi,
yang hampir sama dengan harga ecerannya. Kenaikkan harga ini plus biaya
pemesanan dan penanganan khusus mengakibatkan kerugian Rp. 4.000,- pada setiap
copy yang harus dipesan secara khusus. Meskipun biaya Rp. 4.000,- adalah sangat
tinggi, Bapak subiyakto ingi untuk menjaga hubungan baik dengan para langganannya
dan mempertahankan “quality image” terhadap tokonya dengan menggunakan
pelayanan pesanan khusus.
Bapak Subiyakto ingin menentukan jumlah buku yang harus dibeli untuk
memaksimumkan laba. Setelah meninjau kembali laporan-laporan dan catatan-catatan
masa lalu, dia menggunakan ahliunya untuk melakukan analisis subyektif dalam
penentuan distribusi probabilitas penjualan (yaitu keadaan dasar). Tabel 12.1
menunjukkan estimasi-estimasi probabilitas subyektif yang dilakukan.
Keadaan Dasar, Xi :
Permintaan (Dalam Unit)
Probabilitas
P (Xi)
X1 = 1.200
X2 = 1.320
X3 = 1.440
X4 = 1.560
X5 = 1.680
0,05
0,15
0,30
0,35
0,15 +
1,00
Gambar 12.1 (Tabel Keadaan Dasar dan Probabilitas)
Sekumpulan keputusan Bapak Subiyakto terdiri dari lima kegiatan yang
mungkin memesan 1.200, 1.320, 1.440, 1.560 atas 1.680 buku. Laba yang berkaitan
dengan setiap kombinasi keputusan keadaan dasar. Tabel 12.2 yang menggambarkan
berbagai laba yang dihasilkan dari berbagai kombinasi yang berbeda, adalah suatu
RISET OPERASI & T.P KEPUTUSAN
tabel “payoff” kondisional. Laba setiap keputusan adalah tergantung pada keadaan
dasar.
Keadaan
Dasar,
X1:Permintaan
(Dalam Unit)
Proba-
bilitas
P (Xi)
Keputusan (Unit Yang Dibeli)
d1 = 1.200 d2 = 1.320 d3 = 1.440 d4 = 1.560 d5 = 1.650
X1 = 1.200 0,05 Rp. 4.800,- Rp. 4.320,- Rp. 3.840,- Rp. 3.360,- Rp. 2.880,-
X2 = 1.320 0,15 Rp. 4.320,- Rp. 5.280,- Rp. 4.800,- Rp. 4.320,- Rp. 3.840,-
X3 = 1.440 0,30 Rp. 3.840,- Rp. 4.800,- Rp. 5.760,- Rp. 5.280,- Rp. 4.800,-
X4 = 1.560 0,35 Rp. 3.360,- Rp. 4.320,- Rp. 5.280,- Rp. 6.240,- Rp. 5.260,-
X5 = 1.650 0,15 Rp. 2.880,- Rp. 3.840,- Rp. 4.800,- Rp. 5.760,- Rp. 6.720,-
Gambar 12.2 (Tabel Payoff Kondisional)
Perhitungan laba baris pertama Tabel 12.2 dijelaskan berikut ini. Laba-laba
tersebut akan ditunjukkan dengan notasi fungsional f (xi, dj), di mana xi adalah keadaan
dasar (permintaan buku) dan dj adalah keputusan yang dipilih (jumlah buku yang
dibeli) sebagai contoh:
f (x1 = 1.200, d1 = 1.200) = Rp. 4.000,- (Laba/buku) x 1.200 buku
= Rp. 4.800.000,-
=============
f (x1, d2 = 1.320) = Rp. 4.000,- (1.200) – Rp. 4.000 (Biaya/buku) x 120 (Buku yang
tak terjual)
= Rp. 4.800.000,- (-) Rp. 480.000,-
= Rp. 4.320.000,-
=============
RISET OPERASI & T.P KEPUTUSAN
f (x1, d3) = Rp. 4.000,- (1.200) – Rp. 4.000,- (240)
= Rp. 3.360.000,-
=============
f (x1, d4) = Rp. 4.000,- (1.200) – Rp. 4.000,- (360)
= Rp. 3.360.000,-
=============
f (x1, d5) = Rp. 4.000,- (1.200) – Rp. 4.000,- (480)
= Rp. 2.880.000,-
=============
Bila Bapak Subiyakto tidak mempunyai cukup persediaan buku dia
menanggung biaya kehabisan. Situasi ini diperinci melalui laba yang dikurangi di
bawah garis diagonal pada tabel 12.2 sebagai contoh:
f (x2 = 1.320, d1 = 1.200) = Rp. 4.000,- (1.200) – Rp. 4.000,- (Laba yang hilang/buku)
x 120
= Rp. 4.800.000,- (-) Rp. 480.000,-
= Rp. Rp. 4.320.000,-
================
F (x3 = 1.440, d1 = 1.200) = Rp. 4.000,- (1.200) – Rp. 4.000,- (240)
= Rp. 4.800.000,- (-) Rp. 960.000,-
= Rp. 3.840.000,-
=============
RISET OPERASI & T.P KEPUTUSAN
12.2 KRITERIA KEPUTUSAN:
Keputusan optimal yang dapat diambil tergantung pada sasaran pengambilan
keputusan. Meskipun kita akan memerinci beberapa kriteria keputusan yang berbeda,
tetapi ada tiga kriteria yang paling sering digunakan untuk maksimisasi laba jangka
panjang. Kriteria-kriteria keputusan tersebut adalah kriteria keputusan nilai yang
diharapkan (expected-value), pohon keputusan (decision trees), dan konsep variance.
Kriteria Maximax, Kriteria maximax mengatakan bahwa keputusan yang
mempunyai payoff paling tinggi tanpa memperdulikan keadaan dasar yaitu f (xi, dj)
maksimum dari maksimum yang seharusnya dipilih. Kriteria maximax adalah sangat
“myopic”. Seperti ditunjukkan tabel 12.2, keputusan maximax dapat juga menghasilkan
payoff minimum. Oleh karena itu, maximax adalah kriteria yang tidak valid. Sebab
hanya mempertimbangkan hasil yang paling optimistik, dan mengabaikan semua
keadaan yang mungkin, payoff dan probabilitas lainnya.
Kriteria Maximin, Kriteria maximin (maksimim) mengarahkan kita untuk memilih
keputusan yang mempunyai maksimum dari payoffs yang minimum. Dari tabel 12.2
ada dua keputusan, d2 dan d3 yang mempunyai maksima dari minima. Dengan
memilih salah satu diantaranya, kita dapat yakin bahwa labanya tidak akan pernah
kurang dari Rp. 3.840.000,-
Kriteria kemungkinan maksimum, Kriteria ini menyatakan bahwa seseorang
seharusnya memilih keputusan optimal atau dasar keadaan dasar yang paling sering
terjadi (modus). Seperti ditunjukkan dalam tabel 12.2, keadaan x4 adalah yang paling
sering terjadi, dan keputusan d4 adalah keputusan yang paling menguntungkan untuk
keadaan itu (Rp. 6.240.000,-).
Bila ada probabilitasn 35% bahwa x4 akan terjadi, maka ada probabilitas 65%
bahwa hal itu tidak akan terjadi. Kriteria ini mengabaikan banyak informasi lain yang
tersedia tabel payoff.
Kriteria Laplace, kriteria ini menyatakan bahwa dalam keadaan tidak adanya
bukti atau data yang kuat, setiap keadaan dasar mempunyai probabilitas terjadinya
yang sama. Oleh karena itu, seseorang seharusnya memilih keadaan dasar yang
mempunyai laba rata-rata tertinggi. Pilih dj yang memaksimumkan:
1 n
∑ f (x1, dj)
RISET OPERASI & T.P KEPUTUSAN
n i = 1
Di mana n adalah jumlah keadaan dasar. Dari tabel 12.2, nilai-nilai tersebut adalah:
Laba rata-rata d1 = 4.800.000 + 4.320.000 + 3.840.000 + 3.360.000 + 2.280.000
5
= Rp. 3.840.000,-
=============
Laba rata-rata d2 = 4.320.000 + 5.280.000 + 4.800.000 + 4.320.000 + 3.840.000
5
= Rp. 4.512.000,-
=============
Laba rata-rata d3 = 3.840.000 + 4.800.000 + 5.760.000 + 5.280.000 + 4.800.000
5
= Rp. 4.896.000,-
=============
Laba rata-rata d4 = 3.360.000 + 4.320.000 + 5.280.000 + 6.240.000 + 5.760.000
5
= Rp. 4.992.000,-
=============
Laba rata-rata d5 = 2.880.000 + 3.840.000 + 4.800.000 + 5.760.000 + 6.720.000
5
= Rp. 4.800.000,-
=============
Kriteria dan keputusan. Kriteria dan keputusan-keputusan sebagai hasilnya
yang telah dihitung adalah:
RISET OPERASI & T.P KEPUTUSAN
Kriteria Keputusan Sebagai Hasil
Maximax
Maximin
Kemungkinan Maksimum
Laplace
d5
d2 dan d3
d4
d4
12.2.1 Konsep Keputusan Nilai Yang Diharapkan (Expected-Value):
Nilai yang diharapkan dari suatu variabel random xi adalah sama dengan
penjumlahan produk semua xi yang mungkin dikalikan probabilitas individualnya.
n
E (x) = ∑ pi
i = 1
Nilai x yang diharpkan adalah nilai rata-rata selama jangka waktu yang panjang.
12.3 POHON KEPUTUSAN:
Suatu pohon keputusan adalah representasi skematik suatu masalah
keputusan. Disebut pohon keputusan karena bila digambarkan mirip sebuah pohon
dengan cabang-cabang dan ranting-rantingnya.
RISET OPERASI & T.P KEPUTUSAN
Keputusan Keadaan Dasar Payoffs Expected payoffs
Rp. 1.000.000,-/Tahun Rp. 7.500.000,-
Permintaan Tinggi
P = 0,75
Permintaan Rendah
P =0,25 Rp. 300.000,-/Tahun Rp. 750.000,-
Membangun Pabrik Baru (5.000.000,-)
(Rp. 500.000,-) Rp. 3.250.000,-
Rp. 250.000,-/Tahun Rp. 1.875.000,-
(Rp. 1.000.000,-)
Membangun Pabrik Kecil Permintaan Tinggi
P = 0,75
Permintaan Tinggi
P = 0,25 Rp. 200.000,-/Tahun Rp. 500.000,-
(1.000.000,-)
Rp. 1.375.000,-
Keterangan :
= Titik Keputusan
= Titik Kemungkinan Peristiwa
Gambar 12.3 (Pohon Keputusan Stokastik Tahap Tunggal)
RISET OPERASI & T.P KEPUTUSAN
Gambar 12.4 (Klasifikasi Pohon Keputusan)
Pohon keputusan Deterministik, suatu pohon kepotusan deterministik
menyajikan suatu masalah di mana setiap alternatif yang mungkin dan hasilnya
diketahui dengan pasti. Atau dengan kata lain, suatu pohon keputusan deterministik
tidak mengandung titik kemungkinan peristiwa. Sebagai contoh, kita gunakan masalah
keputusan penggantian mesin, dengan informasi seperti ditunjukkan dalam tabel
dibawah ini:
Alternatif Kebijaksanaan Payoff atau
(Dalam Ribuan
Laba
Rupiah)
Tahun Pertama Tahun Kedua Tahun Ketiga
S1 : Mengganti sekarang
S2 : Mengganti setelah 1 tahun.
S3 : Tidak Mengganti
4.000
5.000
5.000
6.000
4.000
3.000
10.000
9.000
8.000
Pohon Keputusan
Deterministik Probabilistik
(Stokastik)
Tahap
Ganda
Tahap
Tunggal
Tahap
Ganda
Tahap
Tunggal
RISET OPERASI & T.P KEPUTUSAN
Dalam informasi di atas kita dapat menyajikannya dalam bentuk suatu pohon
keputusan deterministik tahap ganda, seperti terlihat gambar 12.5
Payoff
Rp. 6.000.000,-
Rp. 4.000.000,-
Mengganti Sekarang
Rp. 4.000,-
Rp. 5.000.000,- Tidak Mengganti Mengganti
Tidak Mengganti Rp. 3.000,-
Tahun Pertama Tahun Kedua
Gambar 12.5 (Pohon Keputusan Deterministik Tahap Ganda)
Pohon keputusan Stokastik. Pohon keputusan stokastik ditandai dengan adanya
titik kemampuan peristiwa. Pohon keputusan stokastik tahap tunggal adalah pohon
keputusan yang mempunyai paling sedikit satu titik kemungkinan peristiwa dan
mencakup pengambilan hanya satu keputusan. Secara konsepsual, setiap matriks
payoff kondisional dapt disajikan dalm bentuk pohon keputusan stokastik tahap
tunggal, dan sebaliknya. Bagaimanapun juga, masalah-masalah seperti itu (yang
mencakup satu keputusan) paling baik diformulasikan dan dipecahkan dengan
pendekatan matriks payoff. Sebagai contoh pohon keputusan stokastik tahap tunggal
dapat dilihat gambar 12.1
Pohon Keputusan stokastik tahap ganda adalah pohon keputusan yang
mempunyai paling sedikit satu titik keputusan dan mencakup pengambilan berbagai
keputusan yang berurutan. Pendekatan pohon keputusan merupakan alat yang paling
berguna dalam penganalisaan dan pemecahan masalah-masalah keputusan stakostik.
RISET OPERASI & T.P KEPUTUSAN
12.4 KONSEP VARIANCE:
Pada konsep ini besar kecilnya diukur dengan variance. Semakin besar
variance berarti besarnya data/hal yang terjadi semakin tidak seragam, berarti pula
resiko semakin besar. Aplikasi konsep ini banyak sekali digunakan dalam bidang
keuangan di mana resiko suatu investasi diukur dengan variance dari “return-nya”.
Dalam kenyataannya, semakin tinggi keuntungan (laba atau manfaat biasanya
diikuti dengan resiko semakin besar. Orang bersedia menanggung resiko yang besar
karena dengan harapan akan memperoleh keuntungan atau manfaat besar pula.
Dalam pengambilan keputusan dengan konsep ini terlebih dahulu dibedakan macam-
macam sifat orang dalam menghadapi resiko, yaitu ada yang senang menanggung
atau menghadapi resiko asal diimbangi dengan manfaat/penghasilan tinggi, ada yang
normal, dan ada yang tidak menyenangi resiko.
Untuk mengambil keputusan berdasarkan konsep ini dapat digunakan rumus
sebagai berikut:
Maksimumkan E (Z) – K. Variance (Z)1
Dimana E (Z) adalah hasil yang diharapkan (expected value) dari kegiatan Z,
sedangkan K adalah bobot (weight) yang menunjukkan kepekaan seseorang terhadap
resiko. Semakin tidak senang terhadap resiko berarti semakin tinggi nilai K. Rumus
diatas berarti bahwa semakin tinggi variance berarti semakin rendah nilai untuk
pengambilan keputusan.
RISET OPERASI & T.P KEPUTUSAN
BAB XIII
MODEL RANTAI MARKOV
Rantai Markov (Markov Chains) adalah suatu teknik matematika yang biasa
digunakan untuk melakukan pembuatan model (modeling) bermacam-macam sistem
dan proses bisnis. Teknik ini dapat digunakan untuk memperkirakan perubahan-
perubahan di waktu yang akan datang dalam variabel-variabel dinamis atas dasar
perubahan-perubahan dari variabel-variabel dinamis tersebut di waktu yang lalu.
Teknik ini dapat juga digunakan untuk menganalisa kejadian-kejadian di waktu-waktu
mendatang secara matematis.
Model rantai Markov dikembangkan oleh seorang ahli Rusia A.A Markov, pada
tahun 1906. Penerapan rantai Markov mula-mula adalah pada ilmu-ilmu pengetahuan
fisik dan meteorology. Teknik ini mula-mula digunakan untuk menganalisa dan
memperkirakan perilaku partikel-partikel gas dalam suatu wadah (container) tertutup
serta meramal keadaan cuaca. Sebagai suatu peralatan riset operasi dalam
pengambilan keputusan manajerial, rantai Markov telah banyak diterapkan untuk
menganalisa tentang perpindahan merek (braind switching) dalam pemasaran,
perhitungan rekening-rekening, jasa-jasa persewaan mobil, perencanaan penjualan,
masalah-masalah persediaan,pemeliharaan mesin, antrian, perubahan harga pasar
saham, dan administrasi rumah sakit.
13.1 PROSES MODEL RANTAI MARKOV:
13.1.1 Prosedur 1 – Menyusun Matriks Probabikitas Transisi1
:
Untuk mengambarkan proses Markov, akan disajikan suatu contoh masalah
tentang kegiatan-kegiatan pemilihan merek dan peramalan probabilitas transisi yang
kemungkinan dilakukan para konsumen, yaitu pergantian dari satu merek ke merek
lain. Anggapan bahwa sampel konsumen terdiri dari kombinasi 1.000 responden yang
tersebar pada 4 merek A, B, C, dan D. Anggapan selanjutnya adalah bahwa sampel
tersebut telah mewakili keseluruhan kelompok dalam kesetiaannya terhadap suatu
merk dan pola pergantian dari satu merek ke merek lain. Konsumen berpindah dari
satu merek ke merek lain dapat karena pengiklanan, promosi khusus, harga,
ketidakpuasan, dan lain-lain.
RISET OPERASI & T.P KEPUTUSAN
MEREK PERIODE
PERTAMA
JUMLAH
PELANGGAN
PERUBAHAN
PERIODE
SELAMA PERIODE
KEDUA
JUMLAH
PELANGGAN
MENDAPATKAN KEHILANGAN
A
B
C
D
220
300
230
250
50
60
25
40
45
70
25
35
225
290
230
255
1.000 175 175 1.000
Gambar 13.1 (Tabel Pertukaran-Pertukaran Pelanggan Untuk Satu Tahun)
Atas dasar survey konsumen telah diketahui informasi pola-pola perpindahan
merek berikut ini. Di antara 220 pembeli merek A, 175 pembeli adalah loyal, 20
pembeli berpindah ke merek B, 10 pembeli berpindah ke merek C, dan 15 pembeli ke
merek D. Begitu juga, dari 300 pembeli merek B, 230 tetap setia pada merek B,
sedangkan 40 pembeli berpindah ke merek A, 5 pembeli berpindah ke merek C dan 25
pembeli ke merek D. Ini berlaku juga untuk para pembeli merek C dan D. Informasi
lebih lengkap tentang pola perpindahan merek tersebut ditunjukkan oleh tabel 13.2
Dari Tabel 13.2 diuraikan pula, selain informasi tentang jumlah “kehilangan” ke
merek para pesaing informasi jumlah ”mendapatkan” langganan dari merek-merek
saingan.
MEREK PERIODE
PERTAMA
JUMLAH
PARA
PELANGGAN
DARI KE
PERIODE
KEDUA
JUMLAH
PARA
PELANGGAN
A B C D A B C D
A 220 0 40 0 10 0 20 10 15 225
B 300 20 0 25 15 40 0 5 25 290
RISET OPERASI & T.P KEPUTUSAN
C 230 10 5 0 10 0 25 0 0 230
D 250 15 25 0 0 10 15 10 0 255
1.000 1.000
Gambar 13.2 (Tabel Pergantian Merek Mendapatkan dan Kehilanagn)
Dari data di atas, langkah berikutnya mengubah pergantian merek yang
dilakukan para pelanggan agar seluruh “mendapatkan” dan “kehilangan” menjadi
bentuk probabilitas transisi, yang dipertunjukkan pada gambar 13.3 Di mana tanda
panah yang menuju ke dalam menunjukkan kenaikan dan tanda panah yang menuju di
luar menunjukkan kehilangan.
Merek 0,091 Merek
0,796 0,133 0,767
0,04 0,109
0 0,046 0,06 0,083
0,017 0,067
0,891 0,04 0,860
Merek 0 Merek
Gambar 13.3 (Pergantian Merek Oleh Para Pelanggan)
Perhitungan secara matematis adalah dengan menggunakan matrik probabilitas
transisi seperti yang terlihat pada gambar 13.4
A B
C D
RISET OPERASI & T.P KEPUTUSAN
MENDAPTATKAN
DARI
KEHILANGAN
MEREK ATAU
KE A B C D
A
B
C
D
175
20
10
15
40
230
5
25
0
25
205
0
10
15
10
215
225
290
230
255 kEHILANGAN
220 300 230 250
(Tetap Dalam Penguasaan “Pemilikan” Atau “Retentions”)
MENDAPTATKAN
DARI KEHILANGAN
MEREK
KE A B C D MENDAPATKAN
A
B
C
D
0,796
0.091
0,046
0,067
0,133
0,767
0,017
0,083
0,000
0,109
0,891
0,000
0,040
0,060
0,040
0,860
(Tetap Dalam Penguasaan “Pemilikan” Atau “Retentions”)
Gambar 13.4 (Matriks Probabilitas Transisi)
RISET OPERASI & T.P KEPUTUSAN
Baris dalam matriks menunjukkan “retention” dan “mendapatkan” pelanggan.
Sedang kolom menunjukkan “retention” dan “kehilangan” pelanggan. Dalam gambar
12.4 matriks pertama adalah perihal jumlah para pelanggan nyata, sedangkan matriks
kedua adalah perihal probabilitas transisi. Perhitungan untuk matriks probabilitas
dalam gambar 12.4 adalah sebagai berikut:
MEREK
A B C D
A = 175 = 0,796
220
40 = 0,133
300
0 = 0
230
10= 0,040
250
B = 20 = 0,091
220
230 = 0,767
300
25 = 0,109
230
15 = 0,060
250
C = 10 = 0,046
220
5 = 0,017
300
205 = 0,891
230
10 = 0,040
250
D = 15 = 0,067
220
25 = 0,083
300
0= 0
230
215 = 0,860
250
Proses Markov dapat berbeda order. First order hanya mempertimbangkan
pilihan-pilihan merek yang dibuat selama suatu periode untuk penentuan probabilitas
pilihan dalam periode berikutnya, Second order analisa Markov menganggap pilihan-
pilihan untuk suatu merek tertentu dalam periode berikutnya tergantung pada pilihan-
pilihan merek yang dibuat oleh para pelanggan selama dua periode terakhir. Begitu
juga untuk Third order, proses Markov yang digunakan untuk meramal perilaku periode
berikutnya terhadap merek-merek tertentu berdasarkan pola pemilihan merek para
pelanggan selama tiga periode terakhir.
RISET OPERASI & T.P KEPUTUSAN
13.1.2 Prosedur 2 – Menghitung Kemungkinan Market Share Di Waktu Yang Akan
Datang:
Market Share untuk merek A, B, C, dan D sekarang adalah 22, 30, 23, dan 25
persen untuk periode pertama. Manajemen akan memperoleh manfaat bila mereka
mengetahui berapa market share-nya di periode waktu yang akan dating. Perhitungan
market share yang mungkin untuk merek A, B, C, dan D dalam periode kedua dapat
diperoleh dengan mengalikan matriks probabilitas transisi dengan market share pada
periode pertama.
Probabilitas Transisi Market Share Kemungkinan
Periode Pertama Market Share
Periode Kedua
A B C D
A 0,796 0,133 0,000 0,040 0,22 0,225
B 0,091 0,767 0,109 0,060 0,30 0,290
X =
C 0,046 0,017 0,891 0,040 0,23 0,230
D 0,067 0,083 0,000 0,860 0,25 0,255
1,0 1,0 1,0 1,0 1,0 1,0
Keterangan:
A) Perhitungan merek A (baris pertama x kolom pertama):
1) Kemampuan A untuk tetap menguasai langganannya sendiri dikalikan bagian
pasar A
0,796 x 0,22 = 0,175
2) Kemampuan A untuk mendapatkan langganan B dikalikan bagian pasar B.
RISET OPERASI & T.P KEPUTUSAN
0,133 x 0,30 = 0,040
3) Kemampuan A untuk mendapatkan langganan C dikalikan bagian pasar C.
0 x 0,23 = 0
4) Kemampuan A untuk mendapatkan langganan D dikalikan bagian pasar D.
0,040 x 0,25 = 0,010
Bagian pasar merek A pada periode kedua = 0,225
=======
B) Perhitungan merek B (baris kedua x kolom pertama):
0,091 x 0,22 = 0,020
0,767 x 0,30 = 0,230
0,109 x 0,23 = 0,025
0,060 x 0,25 = 0,015
Bagian pasar merek B pada periode Kedua = 0,290
======
C) Perhitungan merek C (baris ketiga x kolom pertama):
0,046 x 0,22 = 0,010
0,017 x 0,30 = 0,005
0,891 x 0,23 = 0,205
0,040 x 0,25 = 0,010
Bagian pasar merek C pada periode kedua = 0,230
======
RISET OPERASI & T.P KEPUTUSAN
D) Perhitungan merek D (baris keempat x kolom pertama):
0,067 x 0,22 = 0,015
0,083 x 0,30 = 0,025
0 x 0,23 = 0
0,860 x 0,25 = 0,215
Bagian pasar merek D pada periode kedua = 0,255
======
13.1.3 Prosedur 3 – Menentukan Kondisi-kondisi Ekuilibrium:
Kondisi ekuilibrium tercapai hanya bila tidak ada pesaing yang mengubah
matriks probabilitas transisi. Dalam keadaan ekulibirium pertukaran para pelanggan
berkenaan dengan “retention”, “mendapatkan”, dan “kehilangan” akan statik.
Masalahnya, berapa besarnya market share equilibrium?
Beberapa matriks probabilitas transisi dapat digunakan untuk menggambarkan
kondisi-kondisi ekuilibrium. Matriks probabilitas transisi di mana A tidak mendapatkan
tetapi kehilangan ke B dan C adalah:
A B C
A 0,85 0 0
B 0,10 0,80 0,25
C 0,05 0,20 0,75
1,0 1,0 1,0
13.2 APLIKASI MODEL RANTAI MARKOV:
Analisa model rantai Markov telah berkembang penggunaannya sebagai
peralatan pengambilan keputusan manajemen dalam banyak bidang bisnis. Beberapa
aplikasi model rantai Markov yang banyak dijumpai sekarang ini mencakup model-
model kebijaksanaan, pengendalian kredit optimal, perilaku harga pasar saham, model
keputusan persediaan, penggantian mesin-mesin, scheduling penerimaan di rumah
RISET OPERASI & T.P KEPUTUSAN
sakit, dan programisasi dinamis yang diterapkan pada beberapa perusahaan
manufacturing.
RISET OPERASI & T.P KEPUTUSAN
BAB XIV
SIMULASI
Banyak sekali metode-metode di dalam riset operasi (operation research) yang
dapat digunakan untuk memecahkan masalah, misalnya linear programming, inventory
models, queuing, dynamic programming, dan sebagainya. Semua program atau
metode itu sudah mempunyai rumus atau formula yang pasti. Oleh sebab itu tidak
setiap masalah bisa cocok dengan salah satu di antara metode-metode tersebut. Di
dalam metode simulasi (simulation) ini dicoba untuk menemukan model yang cocok
dengan persoalan yang dihadapi. Perumusan persoalan dan pembuatan model ini
dilakukan berdasarkan keadaan masalah yang dihadapi. Jadi, di dalam simulasi,
kemungkinan model untuk masalah satu berbeda dengan model untuk masalah yang
lain. Memang ada beberapa model simulasi yang dapat distandardisir, tetapi ini tidak
selalu sesuai dengan masalah yang di hadapi, sehingga sebagian dari model simulasi
harus disusun disesuaikan dengan masalah yang ada. Jadi model simulasi ini lebih
fleksibel, karena dapat digunakan untuk memecahkan berbagai macam masalah.
Simulasi adalah duplikasi atau abstraksi dari persoalan dalam kehidupan nyata
kedalam model-model matematika. Dalam hal ini biasanya dilakukan penyederhanaan,
sehingga pemecahan dengan model-model matematika bisa dilakukan. Sering kali di
dalam model simulasi sudah dimasukkan unsure ketidakpastian.
14.1 BAHASA-BAHASA KOMPUTER UNTUK SIMULASI:
Di dalam mengerjakan program simulasi biasanya digunakan komputer. Suatu
cara untuk model simulasi adalah dengan membuat program1
didalam bahasa-bahasa
komputer yang bersifat serbaguna (general purpose languages) seperti FORTRAN,
ALGOL.
1
Program adalah kumpulan instruksi yang urutannya jelas dan pasti, yang
sengaja disusun untuk suatu tujuan pengolahan tertentu. Di dalam program itu
dicantumkan hubungan-hubungan matematis di antara variabel-variabel yang ada,
hitungan-hitungan yang harus dilakukan, urutan-urutan mengerjakan yang seharusnya
dilakukan komputer, dan sebagainya.
RISET OPERASI & T.P KEPUTUSAN
COBIL, atau PL/1. Meskipun bahsa-bahasa tersebut nisa digunakan untuk
model simulasi, namun tidak bisa sebaik dan secermat bahasa-bahsa computer yang
khusus dibuat untuk simulasi. Bahasa-bahasa simulasi bisa digunakan lebih cepat,
kemungkinan kesalahannya lebih sedikit, dan lebih efisien daripada bahasa-bahsa
serbaguna. Bahasa-bahasa computer untuk simulasi antara lain DYNAMO,GASP,
GPSS V, dan SIMSCRIPT.
DYNAMO adalah singkatan dari Dynamic Model, yaitu bahasa khusus untuk
simulasi yang mula-mula dikembangkan di Massa Chusetts Institute of Technology
(MIT). Program ini dapat digunakan untuk simulasi dari dynamic information feedback
systems. Aplikasinya kebanyakan di bidang ekonomi, misalnya sistem produksi-
distribusi serta kegiatan penelitian dan pengembangan. Pelopor penggunaan metode
ini adalah Jay W. Forrester di MIT.
GASP mula-mula dikembangkan oleh Philip J. Kiivat yang dulu dilakukan di
United States Steel Corporation. Bahasa ini bisa digunakan untuk simulasi dari
transportation system pada Steel Mill, simulasi dari cara-cara baru untuk membuat
baja, dan simulasi untuk open-hearth steel making shop.2
GPSS adalah singkatan dari General Purpose Systems language, dibuat di IMB
pada tahun 1960. Dalam perkembangan selanjutnya telah mengalami perbaikan-
perbaikan, sehingga yang sekarang banyak digunakan adalah GPSS V yang
penyempurnaanya dilakukan pada tahun 1972.
SIMSCRIPT dibuat di RAND Corporation pada tahun 1961. Pengggunaan dari
bahasa ini adalah dalam bidang manufacturing, logistic, dan system computer.
Orientasi SIMSCRIPT adalah pada scheduling industry dan sistem antrian.
Disamping bahasa-bahasa tersebut di atas masih ada lagi bahasa yang lain,
misalnya SIMPAC, SIMULATE, GSP, ESP, CSL, MONTECODE, dan CLP. Selain
SIMPAC dan SIMULATE program-program lain dibuat di Great Britain untuk computer-
komputer di Eropa.
14.2 MODEL-MODEL SIMULASI:
14.2.1 Model Simulasi yang Stochastic:
Model Stochastic adalah kebalikan dari model terministik, dan model statik
kebalikan dari model dinamik. Model ini kadang-kadang juga disebut sebagai model
RISET OPERASI & T.P KEPUTUSAN
simulasi Monte Carlo. Di dalam proses stochastic sifat-sifat keluaran (output) dari
proses ditentukan berdasarkan, dan merupakan hasil dari konsep random (acak).
Meskipun output yang diperoleh dapat dinyatakan dengan rata-rata, namun kadang-
kadang ditunjukkan pula pola penyimpangannya.
14.2.2 Model Simulasi yang Deterministik:
Pada model ini tidak diperhatikan unsure random, sehingga pemecahan
masalanya menjadi lebih sederhana. Contoh aplikasi dari model ini adalah dalam
dispatching, line balancing, sequencing, dan plant layout.
14.2.3 Model Simulasi yang Dinamik dan yang Statik:
Model simulasi yang dinamik adalah model yang memperhatikan perubahan-
perubahan nilai dari variabel-variabel yang ada kalau terjadi pada waktu yang berbeda.
Tetapi model statik tidak memperhatikan perubahan-perubahan ini. Contoh dari model
simulasi yang statik ini adalah line balancing dan plant layout. Dalam perencanaan
layout tentu saja diperlukan syarat keadaan-keadaan lain bersifat static. Sedang
contoh dari model dinamik adalah inventory system, job shop model, dan sebagainya.
14.2.4 Model Simulasi yang Heuristik:
Model yang heuristic adalah model yang dilakukan dengan cara coba-coba,
kalau dilandasi suatu teori masih bersifat ringan, langkah perubahannya dilakukan
berulang-ulang, dan pemilihan langkahnya bebas, sampai diperoleh hasil yang lebih
baik, tetapi belum tentu optimal.
Model stochastic adalah kebalikan dari model deterministic, sehingga keduanya
bersifat saling meniadakan. Demikian pula hubungan antara model dinamik dengan
model static juga bersifat saling meniadakan. Tetapi salah satu model stochastic atau
model deterministic bisa digunakan bersama-sama dengan model dinamik atau
dengan model static.
RISET OPERASI & T.P KEPUTUSAN
PENUTUP
Demikianlah kumpulan rangkuman “RISET OPERSASI & T.P KEPUTUSAN”
dalam penyelesaian rangkuman ini, saya banyak mengalami kesulitan namun, berkat
bimbingan dan bantuan dari berbagai pihak akhirnya rangkuman ini dapat
terselesaikan dengan cukup baik. Karena itu saya ucapkan terima kasih kepada
semua pihak yang telah membantu dan membimbing dalam penyusunan rangkuman
ini.
Saya sadar bahwa rangkuman ini jauh dari kesempurnaan, oleh karena itu
saya mengharapkan kritik dan saran positif yang membangun, agar penulisan
rangkuman yang akan datang lebih baik lagi.
Saya berharap semoga rangkuman sederhana ini dapat memberi manfaat bagi
kita sekalian.
Jakarta, Juni 2017
DAFTAR PUSTAKA
RISET OPERASI & T.P KEPUTUSAN
Drs. Pangestu Subagyo, M.B.A, Drs. Marwan Asri, M.B.A, Dr. T. Hani Handoko, M.B.A
(Dasar-Dasar Operations Research, Edisi 2)
Hamdy A. Taha (Riset Operasi, Edisi Kelima, Jilid 1)
Prof. Johanes Supranto, M.A.,APU (Riset Operasi – Untuk Pengambilan Keputusan,
Edisi Revisi)

Tugas UAS Rangkuman Riset Operasi

  • 1.
    RISET OPERASI &T.P KEPUTUSAN RANGKUMAN RISET OPERASI NAMA : ANDRE AURIZT N P M : 1434 021 283 FAKULTAS : EKONOMI (MANAGEMENT) P2K SSK 205 SEMESTER : 5 (LIMA) SESI 2 MATA KULIAH : RISET OPERASI & T.P KEPUTUSAN DOSEN : Dr. EDDY SANUSI, SE, MM UNIVERSITAS KRISNADWIPAYANA BEKASI 2017
  • 2.
    RISET OPERASI &T.P KEPUTUSAN KATA PENGANTAR Puji dan syukur saya panjatkan kepada Tuhan Yang Maha Esa karena berkat limpahan rahmat dan karunianya sehingga saya dapat menyusun rangkuman materi perkuliahan riset operasi tepat pada waktunya. Dalam penyelesaian rangkuman ini, saya banyak mengalami kesulitan namun, berkat bimbingan dan bantuan dari berbagai pihak akhirnya rangkuman ini dapat terselesaikan dengan cukup baik. Karena itu saya ucapkan terima kasih kepada semua pihak yang telah membantu dan membimbing dalam penyusunan rangkuman ini. Saya sadar bahwa rangkuman ini jauh dari kesempurnaan, oleh karena itu saya mengharapkan kritik dan saran positif yang membangun, agar penulisan rangkuman yang akan datang lebih baik lagi. Saya berharap semoga rangkuman sederhana ini dapat memberi manfaat bagi kita sekalian. Jakarta, Juni 2017 Penulis (ANDRE AURIZT)
  • 3.
    RISET OPERASI &T.P KEPUTUSAN DAFTAR ISI Kata Pengantar . . . . . . . . . . . . . . . . . . . . . . . . . . . . . . . . . . . . . . . . . . . . . . . . . . . . . . . i Daftar Isi . . . . . . . . . . . . . . . . . . . . . . . . . . . . . . . . . . . . . . . . . . . . . . . . . . . . . . . . . . . . ii BAB I ASAL-USUL RISET OPERASI (OPERATION RESEARCH) . . . . . . . . . . . . . . . . . . . . 1 1.1 SEJARAH SINGKAT RISET OPERASI . . . . . . . . . . . . . . . . . . . . . . . . . . . . . . . 1 1.2 SIFAT DARI RISET OPERASI . . . . . . . . . . . . . . . . . . . . . . . . . . . . . . . . . . . . . . 2 1.3 TAHAPAN-TAHAPAN DARI RISET OPERASI . . . . . . . . . . . . . . . . . . . . . . . . . 3 1.3.1 Pedoman umum untuk melakukan riset operasi . . . . . . . . . . . . . . . . . . . 4 1.3.2 Kontribusi dari pendekatan riset operasi yang sifatnya pendekatan sIstem terletak pada ciri-cirinya . . . . . . . . . . . . . . . . . . . . . . . . . . . . . . . 4 1.4 DAMPAK DARI RISET OPERASI . . . . . . . . . . . . . . . . . . . . . . . . . . . . . . . . . . . 5 1.4.1 Training untuk Karier dalam Riset Operasi . . . . . . . . . . . . . . . . . . . . . . 5 1.4.2 Beberapa contoh persoalan yang memerlukan teknik riset operasi . . . . 6 1.4.3 Perumusan persoalan (masalah) umumnya . . . . . . . . . . . . . . . . . . . . . . 7 BAB II BIAYA, PRODUK, DAN ANALISIS LABA . . . . . . . . . . . . . . . . . . . . . . . . . . . . . . . . . . 8 2.1 HUBUNGAN ANTARA BIAYA, PRODUK, DAN LABA . . . . . . . . . . . . . . . . . . . 8 2.1.1 Jumlah Penerimaan Sebagai Hasil Penjualan . . . . . . . . . . . . . . . . . . . . . 8 2.1.2 Biaya Variabel dan Tetap . . . . . . . . . . . . . . . . . . . . . . . . . . . . . . . . . . . . . 9 2.1.3 Output, Kontribusi, dan Refinement . . . . . . . . . . . . . . . . . . . . . . . . . . . . . 9
  • 4.
    RISET OPERASI &T.P KEPUTUSAN 2.2 PENDEKATAN MANAJEMEN DENGAN ANALISIS BIAYA, PRODUK, DAN LABA . . . . . . . . . . . . . . . . . . . . . . . . . . . . . . . . . . . . . . . . . . . . . . . . . . . . . . . . 10 2.2.1 Pendekatan Aljabar . . . . . . . . . . . . . . . . . . . . . . . . . . . . . . . . . . . . . . . . 11 2.2.2 Pendekatan Dengan Grafik Bruto (Gross Graphic) . . . . . . . . . . . . . . . . 12 2.2.3 Pendekatan Dengan Inverted Graphic . . . . . . . . . . . . . . . . . . . . . . . . . .12 2.3 TIGA VARIABEL YANG MEMENGARUHI LABA . . . . . . . . . . . . . . . . . . . . . . . 13 2.4 ANALISIS UNTUK PEMBUATAN KEPUTUSAN . . . . . . . . . . . . . . . . . . . . . . . .14 2.4.1 Perencanaan produk . . . . . . . . . . . . . . . . . . . . . . . . . . . . . . . . . . . . . . . .14 BAB III PERUMUSAN PERSOALAN DAN PEMBUATAN MODEL . . . . . . . . . . . . . . . . . . . . 17 3.1 PENTINGNYA PERUMUSAN PERSOALAN . . . . . . . . . . . . . . . . . . . . . . . . . . 17 3.2 PERIODE ORIENTASI . . . . . . . . . . . . . . . . . . . . . . . . . . . . . . . . . . . . . . . . . . . 17 3.3 KOMPONEN PERSOALAN . . . . . . . . . . . . . . . . . . . . . . . . . . . . . . . . . . . . . . . 17 3.4 PERSOALAN RISET . . . . . . . . . . . . . . . . . . . . . . . . . . . . . . . . . . . . . . . . . . . . 18 3.5 ARTI DAN PENTINGNYA MODEL . . . . . . . . . . . . . . . . . . . . . . . . . . . . . . . . . . 18 3.6 PEMBENTUKAN MODEL SIMBOLIS . . . . . . . . . . . . . . . . . . . . . . . . . . . . . . . . 20 3.6.1 Komponen Dalam Sistem Pembiayaan . . . . . . . . . . . . . . . . . . . . . . . . . 20 3.6.2 Penggabungan Atau Pemecahan Komponen Serta Penggantian Simbol . . . . . . . . . . . . . . . . . . . . . . . . . . . . . . . . . . . . . . . . . . . . . . . . . . 20 3.7 BERBAGAI PERSOALAN YANG HARUS DIPECAHKAN DENGAN MENGGUNAKAN MODEL DAN TEKNIK RISET OPERASI . . . . . . . . . . . . . . 21
  • 5.
    RISET OPERASI &T.P KEPUTUSAN BAB IV PENJADWALAN PROYEK DENGAN PERT-CPM . . . . . . . . . . . . . . . . . . . . . . . . . . 23 4.1 PEMBENTUKAN DIAGRAM ANAK PANAH . . . . . . . . . . . . . . . . . . . . . . . . . . 25 4.2 ARTI DAN KEGUNAAN JARINGAN KERJA ATAU NETWORK . . . . . . . . . . . 27 4.3 ANALISIS JARINGAN KERJA DAN PERHITUNGAN JALUR KRITIS . . . . . . . 28 4.4 CARA MENENTUKAN JALUR KRITIS . . . . . . . . . . . . . . . . . . . . . . . . . . . . . . . 29 4.5 PENENTUAN WAKTU MENGAMBANG . . . . . . . . . . . . . . . . . . . . . . . . . . . . . 31 4.6 PEMBENTUKAN TIME CHART DAN RESOURCE LEVELING . . . . . . . . . . . . 31 4.7 PERTIMBANGAN PROBABILITA DAN BIAYA DALAM PENJADWALAN PROYEK . . . . . . . . . . . . . . . . . . . . . . . . . . . . . . . . . . . . . . . . . . . . . . . . . . . . . . 33 4.7.1 Pertimbangan Probabilita . . . . . . . . . . . . . . . . . . . . . . . . . . . . . . . . . . . . 36 4.7.2 Pertimbangan Biaya . . . . . . . . . . . . . . . . . . . . . . . . . . . . . . . . . . . . . . . . 37 4.7.3 Prosedur Lainnya Untuk Mendeteksi Jalur Kritis Baru dan Pengendalian Proyek . . . . . . . . . . . . . . . . . . . . . . . . . . . . . . . . . . . . . . . . . . . . . . . . . . 39 BAB V TEORI PERMAINAN . . . . . . . . . . . . . . . . . . . . . . . . . . . . . . . . . . . . . . . . . . . 40 5.1 PERMAINAN BERJUMLAH NOL DARI DUA ORANG . . . . . . . . . . . . . . . . . . . 41 5.2 STRATEGI MINIMMAKS DAN MAKSIMIN SERTA TITIK SADEL . . . . . . . . . . 43 5.2.1 Titik Sadel . . . . . . . . . . . . . . . . . . . . . . . . . . . . . . . . . . . . . . . . . . . . . . . 44 5.3 STRATEGI CAMPURAN . . . . . . . . . . . . . . . . . . . . . . . . . . . . . . . . . . . . . . . . . 45 5.4 METODE PEMECAHAN UNTUK PERMAINAN . . . . . . . . . . . . . . . . . . . . . . . . 46 5.4.1 Metode Aljabar Untuk Strategi Optimum . . . . . . . . . . . . . . . . . . . . . . . . 46
  • 6.
    RISET OPERASI &T.P KEPUTUSAN 5.4.2 Menggunakan Probabilita dan Nilai Harapan Permainan . . . . . . . . . . . 51 5.4.3 Menggunakan Metode Dominance . . . . . . . . . . . . . . . . . . . . . . . . . . . . 52 5.4.4 Pemecahan Dengan Metode Grafik . . . . . . . . . . . . . . . . . . . . . . . . . . . . 52 5.4.5 Permainan 3 x 3 dan Yang Lebih Besar Serta Penggunaan Linier Programming . . . . . . . . . . . . . . . . . . . . . . . . . . . . . . . . . . . . . . . . . . . . . 54 5.4.6 Penggunaan Teknik Linier Programming . . . . . . . . . . . . . . . . . . . . . . . . 56 BAB VI TEORI ANTRIAN DAN APLIKASINYA . . . . . . . . . . . . . . . . . . . . . . . . . . . . . . . . . . 57 6.1 STRUKTUR DASAR MODEL ANTRIAN . . . . . . . . . . . . . . . . . . . . . . . . . . . . . 57 6.1.1 Struktur Kedatangan Satuan Penerima Pelayanan . . . . . . . . . . . . . . . . 59 6.1.2 Tingkat Pelayanan . . . . . . . . . . . . . . . . . . . . . . . . . . . . . . . . . . . . . . . . . 61 6.2 KEDATANGAN MENURUT SALURAN TUNGGAL DENGAN RATA-RATA PELAYANAN EKSPENSIAL . . . . . . . . . . . . . . . . . . . . . . . . . . . . . . . . . . . . . . . 62 6.2.1 Saluran Tunggal Dengan Biaya Pelayanan Yang Minimum . . . . . . . . . 65 6.3 MODEL ANTRIAN SALURAN GANDA . . . . . . . . . . . . . . . . . . . . . . . . . . . . . . 66 6.3.1 Kedatangan Mengikuti Poisson Dalam Saluran Ganda Dengan Tingkat Pelayanan Eksponensail . . . . . . . . . . . . . . . . . . . . . . . . . . . . . . . . . . . . 66 6.3.2 Model Antrian Yang Lain . . . . . . . . . . . . . . . . . . . . . . . . . . . . . . . . . . . . 67 BAB VII MODEL PENGENDALIAN PERSEDIAAN . . . . . . . . . . . . . . . . . . . . . . . . . . . . . . . . . 70 7.1 Fungsi Dasar Persediaan Dan Keputusan Mengenai Persediaan . . . . . . . . . . 70
  • 7.
    RISET OPERASI &T.P KEPUTUSAN 7.1.1 Biaya Persediaan (Inventory Cost) . . . . . . . . . . . . . . . . . . . . . . . . . . . . 71 7.1.2 Konsep Tingkat Rata-Rata Persediaan . . . . . . . . . . . . . . . . . . . . . . . . 71 7.2 Jumlah Pesanan Ekonomis . . . . . . . . . . . . . . . . . . . . . . . . . . . . . . . . . . . . . . . 72 7.2.1 Pendekatan Tabel . . . . . . . . . . . . . . . . . . . . . . . . . . . . . . . . . . . . . . . . . 72 7.2.2 Pendekatan Grafik . . . . . . . . . . . . . . . . . . . . . . . . . . . . . . . . . . . . . . . . . 73 7.2.3 Pendekatan Matematis . . . . . . . . . . . . . . . . . . . . . . . . . . . . . . . . . . . . . 74 7.2.4 Pendekatan Kalkulus . . . . . . . . . . . . . . . . . . . . . . . . . . . . . . . . . . . . . . . 76 7.3 Potongan Harga Untuk Pembelian Jumlah Besar . . . . . . . . . . . . . . . . . . . . . . 81 7.3.1 Pendekatan Perbandingan Biaya . . . . . . . . . . . . . . . . . . . . . . . . . . . . . 81 7.3.2 Pendekatan dengan Price Break . . . . . . . . . . . . . . . . . . . . . . . . . . . . . . 83 7.4 Sistem Pengendalian Persediaan . . . . . . . . . . . . . . . . . . . . . . . . . . . . . . . . . . 83 7.4.1 Sistem Persediaan Kontinu . . . . . . . . . . . . . . . . . . . . . . . . . . . . . . . . . . 84 7.4.2 Sistem Inventory Periodik . . . . . . . . . . . . . . . . . . . . . . . . . . . . . . . . . . . 87 7.4.3 Sistem Penggantian Opsional . . . . . . . . . . . . . . . . . . . . . . . . . . . . . . . . 88 7.5 Model Inventori Probalistik Dan Analisis ABC . . . . . . . . . . . . . . . . . . . . . . . . . 89 7.5.1 Analisis ABC . . . . . . . . . . . . . . . . . . . . . . . . . . . . . . . . . . . . . . . . . . . . . 91 BAB VIII PENGAMBILAN KEPUTUSAN DALAM RISET OPERASI . . . . . . . . . . . . . . . . . . . . 94 8.1 Seni dan Ilmu Riset Operasi . . . . . . . . . . . . . . . . . . . . . . . . . . . . . . . . . . . . . . . 94 8.2 Unsur-Unsur Dari SebuH Model Keputusan . . . . . . . . . . . . . . . . . . . . . . . . . . . 95 8.3 Seni Permodelan . . . . . . . . . . . . . . . . . . . . . . . . . . . . . . . . . . . . . . . . . . . . . . . 95 8.4 Jenis-Jenis Model Riset Operasi . . . . . . . . . . . . . . . . . . . . . . . . . . . . . . . . . . . 96
  • 8.
    RISET OPERASI &T.P KEPUTUSAN 8.5 Pengaruh Ketersediaan Data Terhadap Permodelan . . . . . . . . . . . . . . . . . . . 97 8.6 Perhitungan Dalam Operasi Riset . . . . . . . . . . . . . . . . . . . . . . . . . . . . . . . . . . .97 8.7 Tahap-Tahap Studi Operasi Riset . . . . . . . . . . . . . . . . . . . . . . . . . . . . . . . . . . .98 BAB IX PEMROGRAMAN LINIER FORMULASI DAN PEMECAHAN GRAFIK . . . . . . . . . 100 9.1 Model Dua Variabel Dan Pemecahan Grafiknya . . . . . . . . . . . . . . . . . . . . . . 100 9.1.1 Pengembangan Model Matematis . . . . . . . . . . . . . . . . . . . . . . . . . . . . 101 9.1.2 Pemecahan Grafik Dari Model Pemrograman Linier . . . . . . . . . . . . . . 104 9.1.3 Analisis sensitivitas: Pembahasan dasar . . . . . . . . . . . . . . . . . . . . . . . 107 9.2 Formulasi Pemrograman Linier . . . . . . . . . . . . . . . . . . . . . . . . . . . . . . . . . . . 109 9.3 Formulasi Pemrograman Linier Tambahan . . . . . . . . . . . . . . . . . . . . . . . . . . 113 BAB X PEMROGRAMAN LINIER METODE SIMPLEKS . . . . . . . . . . . . . . . . . . . . . . . . . . . 116 10.1 Gagasan Keseluruhan Tentang Metode Simpleks . . . . . . . . . . . . . . . . . . . . . 116 10.2 Pengembangan Metode Simpleks . . . . . . . . . . . . . . . . . . . . . . . . . . . . . . . . . 117 10.2.1 Bentuk Pemrograman Linier Standar . . . . . . . . . . . . . . . . . . . . . . . . . . 117 BAB XI MASALAH PENUGASAN . . . . . . . . . . . . . . . . . . . . . . . . . . . . . . . . . . . . . . . . . . . . . 119 11.1 Perumusan Masalah . . . . . . . . . . . . . . . . . . . . . . . . . . . . . . . . . . . . . . . . . . . . 119 11.2 Masalah Minimisasi . . . . . . . . . . . . . . . . . . . . . . . . . . . . . . . . . . . . . . . . . . . . 120
  • 9.
    RISET OPERASI &T.P KEPUTUSAN 11.2.1 Jumlah Pekerjaan Tidak Sama Dengan Jumlah Karyawan . . . . . . . . . 124 11.3 Masalah Maksimisasi . . . . . . . . . . . . . . . . . . . . . . . . . . . . . . . . . . . . . . . . . . . . 125 11.3.1 Masalah-Masalah Penugasan Tambahan . . . . . . . . . . . . . . . . . . . . . . 127 BAB XII TEORI KEPUTUSAN . . . . . . . . . . . . . . . . . . . . . . . . . . . . . . . . . . . . . . . . . . . . . . . . 129 12.1 Model Keputusan . . . . . . . . . . . . . . . . . . . . . . . . . . . . . . . . . . . . . . . . . . . . . . 130 12.1.1 Konsep-Konsep Dasar . . . . . . . . . . . . . . . . . . . . . . . . . . . . . . . . . . . . 130 12.2 Kriteria Keputusan . . . . . . . . . . . . . . . . . . . . . . . . . . . . . . . . . . . . . . . . . . . . . 134 12.2.1 Konsep Keputusan NIlai Yang Diharapkan (Expected-Value) . . . . . . . 136 12.3 Pohon Keputusan . . . . . . . . . . . . . . . . . . . . . . . . . . . . . . . . . . . . . . . . . . . . . . 136 12.4 Konsep Variance . . . . . . . . . . . . . . . . . . . . . . . . . . . . . . . . . . . . . . . . . . . . . . 140 BAB XIII MODEL RANTAI MARKOV . . . . . . . . . . . . . . . . . . . . . . . . . . . . . . . . . . . . . . . . . . . 141 13.1 PROSES MODEL RANTAI MARKOV . . . . . . . . . . . . . . . . . . . . . . . . . . . . . . 141 13.1.1 Prosedur 1 – Menyusun Matriks Probabikitas Transisi1 . . . . . . . . . . . .141 13.1.2 Prosedur 2 – Menghitung Kemungkinan Market Share Di Waktu Yang Akan Datang . . . . . . . . . . . . . . . . . . . . . . . . . . . . . . . . . . . . . . . . 146 13.1.3 Prosedur 3 – Menentukan Kondisi-kondisi Ekuilibrium . . . . . . . . . . . . .148 13.2 APLIKASI MODEL RANTAI MARKOV . . . . . . . . . . . . . . . . . . . . . . . . . . . . . . 148
  • 10.
    RISET OPERASI &T.P KEPUTUSAN BAB XIV SIMULASI . . . . . . . . . . . . . . . . . . . . . . . . . . . . . . . . . . . . . . . . . . . . . . . . . . . . . . . . . 150 14.1 BAHASA-BAHASA KOMPUTER UNTUK SIMULASI . . . . . . . . . . . . . . . . . . . 150 14.2 MODEL-MODEL SIMULASI . . . . . . . . . . . . . . . . . . . . . . . . . . . . . . . . . . . . . . 151 14.2.1 Model Simulasi yang Stochastic . . . . . . . . . . . . . . . . . . . . . . . . . . . . . 151 14.2.2 Model Simulasi yang Deterministik . . . . . . . . . . . . . . . . . . . . . . . . . . . 152 14.2.3 Model Simulasi yang Dinamik dan yang Statik . . . . . . . . . . . . . . . . . . 152 14.2.4 Model Simulasi yang Heuristik . . . . . . . . . . . . . . . . . . . . . . . . . . . . . . . 152 Penutup . . . . . . . . . . . . . . . . . . . . . . . . . . . . . . . . . . . . . . . . . . . . . . . . . . . . . . . . . . 136 Daftar Pustaka . . . . . . . . . . . . . . . . . . . . . . . . . . . . . . . . . . . . . . . . . . . . . . . . . . . . . 137
  • 11.
    RISET OPERASI &T.P KEPUTUSAN Sumber : Riset Operasi – Untuk Pengambilan Keputusan, Edisi Revisi, Prof. Johanes Supranto, M.A.,APU BAB I ASAL-USUL RISET OPERASI (OPERATION RESEARCH) Ditandai dengan munculnya multinational corporation sejak revolusi di Inggris, dimana perusahaan-perusahaan mengalami pertumbuhan organisasi yang mencolok baik dilihat dari besarnya maupun kompleksitas pemasalahan/persoalan yang dihadapi. Dalam multinational corporation timbul spesialisasi dan spesialisasi ini akan menyeabkan permasalahan baru apabila masing-masing tumbuh sendiri secara terpisah sehingga lepas dari tujuan menyeluruh yang akan dicapai oleh suatu organisasi (perusahaan). Pada prinsipnya suatu organisasi merupakan wadah sebagai tempat untuk bekerja sama di bawah pimpinan (manager) organisasi tersebut dalam rangka mencapai tujuan (objectives) organisasi (perusahaan). Ibarat suatu mesin, organisasi mengubah masukan atau input yang terdiri dari men, material, dan method untuk mencapai keluaran (output) dan tugas pimpinan me-manage input secara efisien dan efektif untuk mencapai output terbaik (the best output). Gambar 1.1 Persoalan input yang serba terbatas harus dapat dicapai suatu pemecahan yang optimimum yang mencangkup persoalan maksimisasi (jumlah penerimaan hasil penjualan, jumlah keuntungan) atau minimum (jumlah kerugian, jumlah biaya transport, lamanya menunggu untuk menerima pelayanan/antri, lamanya waktu penyelesaian proyek, jumlah proyek) memunculkan teknik riset operasi. 1.1 SEJARAH SINGKAT RISET OPERASI: Riset operasi (operation research) dimulai di kalangan militer dalam permulaan perang dunia II. Dalam perang dunia beberapa ilmuwan dari berbagai bidang keahlian (ahli ekonomi dan ilmu sosial lainnya, ahli manajemen, ahli matematika, ahli statitstika, ahli strategi milter) di panggil untuk bekerja melalui “tim” dengan tujuan untuk INPUT ORGANISASI OUTPUT
  • 12.
    RISET OPERASI &T.P KEPUTUSAN menerapkan pendekatan ilmiah guna memecahkan permasalahan atau persoalan, dengan perkataan lain, mereka (dalam tim) harus melakukan riset di dalam operasi militer (to do research on military operation). Suksesnya penerapan riset operasi (research operation) di dalam bidang mileter membuat para pengusaha dalam bidang industri menaruh perhatian kepada riset operasi. Riset operasi mula-mula berkembang di Inggris dalam bidang militer, industri, bisnis dan pemerintahan sipil, kemudian berkembang dengan cepat di Amerika Serikat sejak 1951. Setelah perang dunia II ada dua faktor yang mendorong perkembangan riset operasi dengan cepat yaitu: pertama, adanya beberapa ahli yang memberikan kontribusi terhadap pemecahan permasalahan riset operasi secara matematis. Antara lain George Danzig, pada tahun 1947 menemukan metode simpleks untuk memecahkan persoalan linear programming yang merupakan salah satu teknik dari riset operasi. Kedua, berkembangnya penggunaan electric data processing (Computer) yang mempunyai kemampuan menghitung ribuan bahkan jutaan kali kemampuan manusia. Kemajuan dalam bidang electronik data processing ini benar-benar dapat memacu perkembangan riset operasi hampir di semua bidang yang sifatnya kuantitatif antara lain dalam manajemen, khususnya planning. 1.2 SIFAT DARI RISET OPERASI (RO): Kutipan beberapa definisi dalam bahasa Inggris: 1) Operation research may be described as a scientific approach to decision making that involves the operations of organizational systems (dari buku Operation Research, karangan Frederick S. Hillier dan Gerald J. Lieberman). 2) Operation research is the application of scientific method to the decision problems of business and other units of social organization, including government and military organizations ( dari buku Fundamentals of Operations Research for Management, karangan Shiv K. Gupta dan John M. Cozzolino). 3) Operations research today refers to the application of scientific methodology of several different disciplines to problems related to the functioning or operating of some unit-business, governmental, or institutional (dari buku Quantitative Approaches to Management, karangan Richard I. Levin dan Charles A. Kirkpatrick).
  • 13.
    RISET OPERASI &T.P KEPUTUSAN Dari definisi bahasa Inggris di atas didapat definisi riset operasi adalah riset dengan penerapan metode ilmiah melalui suatu tim secara terpadu untuk memcahkan permasalahan yang timbul dalam kegiatan operasi suatu sistem organisasi agar diperoleh pemecahan yang optimum. Riset operasi mencakup dua kata yaitu riset yang harus menggunakan metode ilmiah dan operasi yang berhubungan dengan proses atau berlangsungnya suatu kegiatan (proses produksi, proses pengiriman barang/militer/senjata, proses pemberian pelayanan melalui suatu antrian yang panjang). Definisi yang cukup panjang adalah aplikasi metode ilmiah terhadap permasalahan yang kompleks dalam mengarahkan dan mengendalikan system yang luas mengenai kehidupan manusia, mesin-mesin, material dan uang dalam industri, bisnis, pemerintahan dan pertahanan. 1.3 TAHAPAN-TAHAPAN DALAM RISET OPERASI: 1) Merumuskan atau menganalisis persoalan sehingga jelas tujuan apa yang akan dicapai (objectives). 2) Pembentukan model matematika untuk mencerminkan persoalan yang akan dipecahkan. Biasanya model dinyatakan dalam bentuk persamaan yang menggambarkan hubungan antara input dan output serta tujuan yang akan dicapai dalam bentuk fungsi objektif (objective function). 3) Mencari pemecahan dari model yang tekah dibuat dalam tahap sebelumnya, misalnya dengan menggunakan metode simpleks. 4) Menguji model dan hasil pemecahan dari penggunaan model. Sering juga disebut melakukan validasi. Harus ada mekanisme untuk mengontrol pemecahan, misalnya dengan menggunakan criteria tertentu. 5) Implementasi hasil pemecahan. 1.3.1 Pedoman umum untuk melakukan riset operasi:
  • 14.
    RISET OPERASI &T.P KEPUTUSAN 1) Tahap pertama, harus merumuskan atau mendefinisikan persoalan yang akan dipecahkan sesuai dengan tujuan yang akan dicapai berdasarkan keadaan objektif. 2) Tahap kedua, berkenaan dengan pembentukan model secara matematis, misalnya dengan menggunakan persamaan dan ketidaksamaan linear seperti di dalam linear programming. 3) Tahap ketiga, berkenaan dengan pemecahan model, yang biasanya memecahkan persamaan/ketidaksamaan matematika. Di dalam model matematika, pemecahan ini dicapai dengan teknik optimisasi dan model menghasilkan suatu pemecahan optimum. 4) Tahap keempat, melakukan pengujian atau melakukan validasi dari model. Suatu model dikatakan sah (valid), apabila dapat memberikan prediksi yang dapat dipercaya dari hasil proses suatu system, disamping diakui adanya ketidaktepatan dari model tersebut untuk mewakili keadaan yang sebenarnya terjadi (real world). 5) Tahap kelima, merupakan tahap terakhir, ialah tahap untuk implementasi hasil pemecahan model yang telah diuji validitasnya. Tugas melakukan implementasi ini merupakan tugas peneliti operasi (operation researchers). 1.3.2 Kontribusi dari pendekatan riset operasi yang sifatnya pendekatan sistem terletak pada ciri-cirinya yang antara lain: 1) Menstrukturkan keadaan kehidupan nyata ke dalam model matematika; mengabstraksi elemen-elemen pokoknya sedemikan rupa sehingga suatu pemecahan yang relevan dengan tujuan yang akan dicapai oleh pembuat keputusan bisa dicari. 2) Mencari struktur dari pemecahan yang demikian itu dan mengembangkan prosedur yang sistematis untuk memperolehnya. 3) Mengembangkan suatu pemecahan, termasuk teori matematika kalau dirasakan perlu, yang menghasilkan nilai optimal dari suatu sistem.
  • 15.
    RISET OPERASI &T.P KEPUTUSAN 1.4 DAMPAK DARI RISET OPERASI: Riset operasi mempunyai dampak yang kuat sekali dalam manajemen suatu organisasi. Kalangan militer Inggris dan Amerika untuk memecahkan persoalan pertahanan nasional mereka melakukan perencanaan taktis untuk dipergunakan di dalam sistem persenjataan dan pengalokasian sumber-sumber terbatas. Beberapa teknik yang mereka pergunakan cukup canggih (sophisticated), meliputi bidang/ilmu politik, matematika, ekonomi, teori probalita dan statistika. Untuk lebih spesifik, perhatikan beberapa jenis persoalan yang telah dipecahkan dengan menggunakan teknik-teknik dalam riset operasi antara lain; Linear programming telah dipergunakan dan mencapai sukses di dalam pemecahan persoalan yang berkenaan dengan penugasan personel (assignment of personnel), blending of materials, distribusi dan transportasi, serta investment. Dynamic programming telah berhasil diterapkan dalam perencanaan pengeluaran periklanan, usaha mendistribusikan penjualan, dan penjadwalan produksi (production scheduling). Teori antrian (qering of waiting line theory) berhasil diterapkan dalam memecahkan kemacetan lalu-lintas (traffic congestion), pelayanan mesin-mesin akibat kerusakan, penetuan jumlah pemberi pelayanan yang optimal, penjadwalan lalu-lintas udara (air traffic scheduling), mendesain dam, penjadwalan produksi, meminimumkan waktu menunggu untuk menerima pelayanan, operasi dalam rumah sakit, dan lain sebagainya. Teknik-teknik riset operasi lainnya seperti teori inventori, teori permainan (game theory) dan simulasi telah menunjukkan sukses yang besar dalam pemecahan beberapa jenis permasalahan/persoalan. 1.4.1 Training untuk Karier dalam Riset Operasi: Ada tiga komponen penting dalam bidang akademik yang perlu dipelajari secara mendalam bagi seseorang yang memilih karier dalam riset operasi. Pertama, training dasar untuk mata kuliah yang sangat diperlukan untuk mempelajari riset operasi. Antara lain metodologi dasar bagi matematika dan ilmu, misalnya meliputi aljabar linear, teori matriks, probabilita, statistic induktif, stochostic processes, computer science, micro economics, accounting and business administration, teori organisasi, dan behavioural sciences. Kedua, mendalami teknik-teknik yang dikembangkan dalam Riset Operasi seperti linear and non linear programming, integer programming, dynamic
  • 16.
    RISET OPERASI &T.P KEPUTUSAN programming, net work planning, inventory theory, queuing theory, game theory and simulation. Ketiga, mendalami bidang-bidang di mana Riset Operasi akan diterapkan, seperti bidang ekonomi, transportasi, manajemen, pemasaran, dan lain sebagainya. 1.4.2 Beberapa contoh persoalan yang memerlukan teknik riset operasi: 1) Persoalan biaya pemasaran berbagai produk: Semisal sebuah perusahaan yang memproduksi berbagai macam produk, perusahaan mempunyai pabrik di beberapa tempat dan produknya dapat dibeli di hamper setiap tempat. Inventori secara keseluruhan terdiri dari ribuan jenis barang. Biaya memproduksi setiap produk berlainan antara pabrik. Ramalan penjualan menjadi sangat sulit. Dalam hal ini riset operasi sangat berguna untuk memecahkan persoalan pembelian bahan mentah, penyimpannya, produksinya dan penjualannya, sehingga jumlah biaya pengeluaran dari bahan mentah sampai menjadi barang produksi serta menjualnya menjadi minimum. 2) Perencanaan produksi: Misalnya seorang pengusaha (produsen) mempunyai bahan mentah sebanyak m macam, masing-masing tersedia sebanyak hi unit (i = 1, 2, …, m). Berdasarkan bahan mentah yang tersedia akan diproduksi sebanyak r produk, masing-masing sebesar xj unit (j = 1, 2, …, r). Setiap produk memerlukan seluruh bahan mentah dengan proporsi tertentu yaitu setiap 1 unit produk ke-j memerlukan aij unit bahan mentah ke-i. Dengan demikian kalau produk j diproduksi sebanyak xj unit maka diperlukan aij xj unit bahan mentah ke-i. Apabila semua produk dijual, 1 unit produk j harganya cj rupiah. Kalau yang dijual xj unit, maka penerimaan hasil penjualan untuk produk ke-j sebesar cj xj unit. Persoalnya sekarang, berapa besarnya xj agar dapat diperoleh jumlah hasil penjualan yang maksimum (maximum revenue) dengan pembatasan bahwa jumlah bahan mentah yang dipergunakan tidak boleh melebihi persedian yang ada, selain itu nilai xj tidak boleh negative. Persoalan di atas merupakan persoalan RO dan dapat di pecahkan dengan teknik linear programming (LP).
  • 17.
    RISET OPERASI &T.P KEPUTUSAN 1.4.3 Perumusan persoalan (masalah) umumnya sebagai berikut: Cari xj j = 1, 2, …, r s.r.s. : Z = ∑ cj xj : maksimum r d.p. : ∑ aij xj ≤ hi j=1 : xj ≥ 0 s.r.s. = sedemikian rupa sehingga d.p. = dengan pembatasan 3) Perencanaan ekspor nonmigas: Persoalannya sama dengan perencanaan produksi seperti dibahas di dalam nomor (2) diatas, hanya bedanya dalam persoalan ekspor, penjualannya ke luar negeri. Dalam hal ini cj = harga ekspor (dalam mata uang asing seperti dolar Amerika, atau Yen Jepang) dan xj merupakan banyaknya produk j yang di ekspor. Dengan demikian cj xj = penerimaan devisa dari ekspor produk j. Z = ∑ cj xj = jumlah penerimaan devisa yang harus maksimum. 4) Persoalan atau Masalah Pencampuran: Persoalan pencampuran (mixed problems), terjadi dalam proses produksi makanan ternak, perusahaan penyulingan minyak, perusahaan peleburan logam, pemecahan persoalannya menggunakan teknik linear programming. 5) Persoalan Transportasi. 6) Persoalan Antrian dan Inventori. 7) Persoalan Net Work Planning atau PERT.
  • 18.
    RISET OPERASI &T.P KEPUTUSAN BAB II BIAYA, PRODUK, DAN ANALISIS LABA 2.1 HUBUNGAN ANTARA BIAYA, PRODUK, DAN LABA: Tanggung jawab seorang pimpinan (manager) ialah me-manage input secara efisien dan efektif sehingga diperoleh keuntungan yang maksimum (maximum profit). Seorang produsen akan mengharapkan agar penerimaan dari hasil penjualan (total revenue) untuk suatu tahun tertentu cukup besar sehingga dapat menutup 4 hal berikut: 1) Biaya untuk pembelian bahan mentah guna menghasilkan produk (sabun, sepatu, tekstil, pupuk, mobil, radio, televise, semen, dan rokok). 2) Biaya penjualan produk atau biaya pemasaran seperti biaya advertensi/promosi. 3) Biaya administrasi seperti gaji pimpinan, bisa juga disebut biaya tetap. 4) Laba (keuntungan) yang diharapkan dapat dicapai dalam tahun tertentu. Apabila jumlah penerimaan persis sama dengan 3 macam biaya diatas (biaya membuat/membeli produk + biaya penjualan + biaya administrasi), maka dikatakan perusahaan tidak untung dan juga tidak rugi, perusahaan mencapai titik impas (break even proint) yang selanjutnya kita sebut BEP. Jadi BEP merupakan tingkat operasi perusahaan di mana jumlah produknya menghasilkan hasil penjualan yang persis sama dengan jumlah biaya. 2.1.1 Jumlah penerimaan sebagai hasil penjualan: Cara yang paling mudah untuk memperoleh angka penjualan tahun depan ada tiga cara yaitu: 1) Mengalikan jumlah penjualan dalam unit (satuan) yang diharapkan dapat dicapai tahun depan dengan harga jual per unit. Misalnya harga jual per unit Rp 25 ribu, diharapkan dapat dijual 1000 unit, maka ramalan hasil penjualan (revenue) = 1000 x Rp 25 ribu = Rp 25 juta.
  • 19.
    RISET OPERASI &T.P KEPUTUSAN 2) Mangalikan jumlah penjualan dalam unit yang diharapkan dapat dicapai tahun depan dengan rata-rata harga jual (average selling price). 3) Melakukan penyesuaian hasil penjualan tahun lalu dengan jalan menambah atau mengurangi sekian persen sesuai dengan situasi ekonomi yang akan datang (prospeknya). 2.1.2 Biaya variabel dan tetap: Biaya variabel merupakan biaya langsung, yang memang langsung dikeluarkan untuk membiayai pembuatan barang produksi (produk) atau pembelian barang yang akan dijual. Biaya variabel merupakan fungsi dari produksi, makin banyak diproduksi makin banyak biaya dikeluarkan. Ada dua konsep mengenai biaya variabel ini yaitu: pertama, biaya variabel unit per konstan, berapa pun produk yang akan dihasilkan ; kedua, jumlah biaya variabel akan berubah sesuai dengan perubahan output/produk. Yang termasuk biaya variabel adalah biaya untuk pembelian baunghan mentah, upah karyawan, biaya pengepakan, dan semua biaya langsung (direct costs). Biaya tetap meliputi semua biaya tidak langsung. Sesuai dengan namanya, biaya tetap akan berubah menurut unit produk, makin banyak produk yang dihasilkan biaya tetap per unit menurun, jadi berbanding dengan jumlah output. Biaya tetap meliputi antara lain sewa, pajak pemilikan, asuransi pemilikan, biaya/gaji pimpinan, depresiasi, biaya advertensi, dan biaya yang tidak ada hubungan langsung dengan produksi. 2.1.3 Output, kontribusi dan refinement: Konsep tentang kontribusi penting dan merupakan dasar guna pembahasan/analisis yang menyangkut hubungan biaya, output dan laba atau keuntungan. Sebagai ilustrasi misalnya: Harga jual per unit : Rp 1.000 Biaya variabel per unit : Rp 700 ------------ - Besarnya kontribusi : Rp 300
  • 20.
    RISET OPERASI &T.P KEPUTUSAN Agar pemecahan permasalahan lebih realitis maka perlu diakui adanya semi variable cost dan semi fixed cost. 2.2 PENDEKATAN MANAJEMEN DENGAN ANALISIS BIAYA, PRODUK, DAN ` LABA: Analisis biaya, produk (volume) dan laba sangat berguna bagi manajemen sewaktu manajemen membuat keputusan yang menyangkut: 1) Hubungan perubahan hasil dengan perubahan laba. 2) Hubungan perubahan biaya dengan perubahan laba. 3) Hubungan perubahan dalam skala operasi dengan perubahan laba. (Ribuan Rp) y 100.000 _ Laba 90.000 _ Jumlah penjualan 80.000 _ 70.000 _ 60.000 _ _ _ _ _ _ _ _ _ _ _ _ _ _ _ _ _ _ _ _ BEP Biaya 50.000 _ Jumlah biaya Variabel 40.000 _ 30.000 _ 20.000 _ Rugi Biaya 10.000 _ Tetap 0 _ x 10 20 30 40 50 60 70 80 90 100 Gambar 2.1 (Pendekatan dengan grafik baku)
  • 21.
    RISET OPERASI &T.P KEPUTUSAN Dalam gambar dapat dilihat fixed cost, variable cost, total revenue dan profit. Hasil penjualan (revenue) dan biaya digambarkan (plotted) pada sumbu tegak (vertical) Y dan volume (output) digambarkan pada sumbu datar X. Perpotongan garis yang menunjukkan jumlah biaya dan jumlah hasil penjualan disebut titik impas (break even point = BEP). Pada titik ini, jumlah biaya = jumlah penerimaan hasil penjualan. Jumlah biaya tetap tidak mengalami perubahan berapa pun jumlah output yang akan diproduksi, sedang jumlah biaya variabel berubah menurut perubahan volume. 2.2.1 Pendekatan Aljabar: Misalkan TR = Jumlah penerimaan hasil penjualan dalam ribuan rupiah. TC = Jumlah biaya dalam ribuan rupiah. TVC = Jumlah biaya variabel. TFC = Jumlah biaya tetap. x = Volume (output atau produk) dalam satuan. v = Biaya variabel per unit (satuan). p = Harga jual per unit. BEP = Titik impas atau break even point. TR = xp = Banyaknya output dikalikan harga jual per unit. TC = TVC + TFC atau TC = vx + TFC Untuk menentukan titik impas (BEP), diperoleh dengan menyamakan TR dengan TC, kemudian cari x. Misalkan TFC = Rp 10.000 ribu v = Rp 2 ribu p = Rp 4 ribu TC = TR = vx + TFC = xp 2x + 10.000 = 4x
  • 22.
    RISET OPERASI &T.P KEPUTUSAN 2x = 10.000 x = 5.000 Jadi titik impas dicapai pada waktu output mencapai 5.000 unit (satuan fisik). Untuk memperoleh dalam bentuk uang kalikan dengan harga jual per unit = 4 (5.000) = Rp 20.000 ribu. RumuS: BEP dalam unit fisik: BEP = TFC P – v BEP dalam ribuan Rp: BEP = TFC 1 – v/p BEP dalam % kapasitas: BEP = _ TFC x 100% (p – v) (jumlah kapasitas) 2.2.2 Pendekatan dengan Grafik Bruto (Gross Graphic): Kadang-kadang dimungkinkan untuk menggambarkan grafik BEP walaupun biaya variabel per unit tidak diketahui. Untuk itu diperlukan dua hal: pertama, perkiraan biaya tetap; kedua, jumlah penerimaan dan jumlah biaya untuk presentase tertentu dari kapasitas yang dimanfaatkan. 2.2.3 Pendekatan dengan Inverted Graphic: Berbeda dengan cara pengambaran titik impas (BEP) di mana kurva biaya tetap berada di bawah kurva biaya variabel, di dalam hal ini kurva biaya tetap justru di atas kurva biaya variabel. Juga di dalam hal ini perpotongan antara kurva jumlah penerimaan dengan kurva jumlah biaya tetap merupakan titik impas (BEP).
  • 23.
    RISET OPERASI &T.P KEPUTUSAN 2.3 TIGA VARIABEL YANG MEMENGARUHI LABA: Keutungan (laba) bagi suatu perusahaan sangat dipengaruhi atau ditentukan oleh interaksi antara jumlah penerimaan, biaya tetap, dan biaya variabel. Dengan demikian perubahan dari variabel-variabel ini akan mempengaruhi tingkat laba. (1) Suatu perubahan di dalam harga jual per unit atau perubahan pada banyaknya output yang terjual. (2) Suatu perubahan di dalam biaya tetap. (3) Suatu perubahan di dalam biaya variabel untuk setiap unit. Sebagai contoh mengenai (1) misalnya pihak produsen dapat menaikkan harga jual dari Rp. 1.000,- menjadi Rp. 1.250,-. Selanjutnya diasumsikan bahwa tidak ada variabel lain yang berubah secara mencolok (volume penjualan tidak berubah). Pengaruh yang terlihat pihak produsen yang menjual produknya mencapai titik impas (BEP) lebih cepat yaitu pada volume penjualan yang kecil/sedikit atau rendah. (Ribuan Rp) (Ribuan Rp) TR’ TR TR TC’ TC TC FC’ FC FC Volume (a) Volume (b)
  • 24.
    RISET OPERASI &T.P KEPUTUSAN (Ribuan Rp) TR TC’ TC FC Volume (c) Gambar 2.2 (Perubahan yang terpisah dalam variabel yang mempengaruhi laba) 2.4 ANALISIS UNTUK PEMBUATAN KEPUTUSAN: Analisis mengenai biaya, output/produk, laba/keuntungan bukan satu-satunya alat bagi pimpinan atau manajer untuk membuat keputusan, walaupun diakui analisis, demikian itu sangat berguna minimal untuk menentukan besarnya titik impas (BEP) dan besarnya laba. Didalam prakteknya pimpinan menghendaki lebih dari ini, misalnya bagaimana caranya agar dapat dicapai jumlah keuntungan yang maksimum (total maximum profit), Untuk itu perhatikan beberapa ilustrasi dibawah ini: 2.4.1 Perencanaan produk: Salah satu keputusan yang harus diambil oleh pemimpin mungkin mengganti salah satu jenis produk yang diproduksi.dijual, Perhatikan data berikut ini:
  • 25.
    RISET OPERASI &T.P KEPUTUSAN PRODUK HARGA (SMU) BIAYA VARIABEL /UNIT (SMU) % TERHADAP PENJUALAN RAK BUKU 6 4 30 % MEJA TULIS 10 6 20 % TEMPAT TIDUR 20 12 50 % Gambar 2.3 Keterangan : smu = satuan mata uang Jumlah biaya tetap setahun = 75.000 smu Hasil penjualan tahun lalu = 250.000 smu Misalnya meja tulis diganti dengan lemari makan, setelah penggantian diperoleh data seperti table berikut: PRODUK HARGA (SMU) BIAYA VARIABEL /UNIT (SMU) % TERHADAP PENJUALAN RAK BUKU 6 4 50 % LEMARI MAKAN 16 6 10 % TEMPAT TIDUR 20 12 40 % Gambar 2.4 Jumlah biaya tetap = 75.000 smu Jumlah penjualan = 260 smu Apakah penggantian ini merupakan keputusan yang lebih baik? Mari kita lakukan perhitungan laba sebagai berikut:
  • 26.
    RISET OPERASI &T.P KEPUTUSAN a) Sebelum perubahan/penggantian jenis produk:  6 – 4 x 30 % = 0,10 6  10 – 6 x 20 % = 0,08 10  20 – 12 x 50 % = 0,20 + (Kontribusi) 20 0,38 250.000 x 0,38 = 95.000 smu ( 95.000 smu – 75.000 smu = 20.000 smu) b) Sesudah penggantian jenis produk:  6 – 4 x 50 % = 0,17 6  10 – 6 x 10 % = 0,06 16  20 – 12 x 40 % = 0,16 + (Kontribusi) 20 0,39 250.000 x 0,39 = 101.400 smu ( 101.400 smu – 75.000 smu = 26.400 smu) Laba Ternyata keputusan mengganti produk sangat tepat, sebab laba kemudian meningkat dari 20.000 smu menjadi 26.400 smu.
  • 27.
    RISET OPERASI &T.P KEPUTUSAN BAB III PERUMUSAN PERSOALAN DAN PEMBUATAN MODEL 3.1 PENTINGNYA PERUMUSAN PERSOALAN: Perumusan persoalan sangat penting, sebab akan dipergunakan untuk menentukan arah kegiatan selanjutnya, paling tidak untuk menentukan data apa saja yang harus dikumpulkan supaya relevan dengan persoalan yang akan dipecahkan. Oleh karena riset operasi merupakan pekerjaan suatu tim, maka suatu cara perumusan persoalan yang sistematis (jelas urutanya) sangat penting. 3.2 PERIODE ORIENTASI: Periode orientasi ini lamanya tergantung kepada luasnya persoalan yang akan dipecahkan, mungkin minimum satu bulan. Periode orientasi mungkin diakhiri dengan penyajian atau presentasi secara tertulis atau lisan yang ditunjukkan kepada sponsor atau pemesan riset baik perusahaan maupun instansi pemerintah, misalnya masalah transportasi oleh Departemen Perhubungan, pengembangan ekspor oleh Departemen Perdagangan, alokasi modal oleh BKPM bekerja sama dengan Bank Indonesia. Periode orientasi merupakan periode bagi pihak luar, diluar tim riset operasi yaitu pihak sponsor untuk dapat memperoleh gambaran tentang luas dan kompleksnya persoalan yang akan dipecahkan sehingga jumlah biaya yang mungkin cukup besar benar-benar justified. Periode orientasi merupakan periode pendekatan bagi pihak sponsor dengan demikian segala kesulitan yang timbul dalam proses pemecahan persoalan riset segera dapat diatasi bersama, baik persoalan teknis maupun administrasi. 3.3 KOMPONEN PERSOALAN: Sebelum merumuskan persoalan, terlebih dahulu harus ad ide mengenai apa persoalan itu dan apa komponen-komponennya? Komponen pertama ialah pembuat keputusan (decision maker) atau pembuat kebijakan (policy maker) atau kita sebut
  • 28.
    RISET OPERASI &T.P KEPUTUSAN saja eksekutif. Pembuat keputusan bisa perorangan secara individu atau kelompok individu, mungkin bertanggung jawab untuk mengontrol pelaksanaan operasi suatu system organisasi yang terdiri dari orang-orang, mesin-mesin, atau kombinasi keduanya. Komponen kedua ialah tujuan (objectives) yang akan dicapai oleh pihak sponsor. Riset bisa dasar (basic), atau terpakai (applied). Riset dasar lebih teoritis sifatnya dan tidak mempunyai kegunaan praktis secara langsung. Misalnya riset untuk menentukan teori, rumus, atau metode analisi yang baru, sedangkan riset terpakai lebih berorientasi pada usaha pemecahan persoalan praktis seperti mencari jalan keluar agar jumlah penerimaan devisa hasil ekspor nonmigas maksimum, jumlah biaya transport minimum, antrian untuk memperoleh pelayanan (services) tidak terlalu panjang, jumlah biaya inventori minimum, dan sebagainya. Komponen ketiga ialah sistem organisasi yang melibatkan orang/mesin atau keduanya atau resources, dalam hal ini termasuk semua jenis masukan atau input (men, money, material) yang terbatas untuk mencapai keluaran atau output yang optimum. Komponen keempat ialah adanya alternative untuk memilih tindakan ( alternatives cources of action). Untuk membuat keputusan/tindakan, eksekutif harus tersedia alternative-alternatif dan riset operasi akan mampu memberikan alternative yang terbaik (the best alternative). 3.4 PERSOALAN RISET: Mengubah persoalan pembuat keputusan persoalan riset harus mengikuti tiga langkah sebagai berikut: 1) Menyunting (editing) daftar objektif yang diperoleh pada tahap pertama perumusan persoalan, 2) Menyunting daftar alternatif tindakan, 3) Mendefinisikan ukuran efektivitas yang akan dipergunakan. 3.5 ARTI DAN PENTINGNYA MODEL: Model merupakan suatu representasi dari suatu sistem yang sedang kita pelajari (bisa berupa objek, kejadian, proses atau suatu sistem) dan dipergunakan sebagai alat untuk meramalkan dan mengontrol. Fungsi utama dari suatu model ialah
  • 29.
    RISET OPERASI &T.P KEPUTUSAN kemampuannya untuk menjelaskan (explanatory) dan bukan hanya deskriptif (descriptive). Ada tiga model yaitu iconic, analogue, dan symbolic. Secara kasar dapat dikatakan model iconic berbentuk foto atau gambar yang mewakili aspek tertentu dari suatu sistem sehingga mudah dilihat (visually) seperti model pesawat terbang yang terpampang dimeja kerja Bapak Prof. Dr. Habibie, Menteri riset, market gedung suatu kantor depatemen atau maket suatu kompleks pertokoan yang dapat dianggap sebagai model iconic. Model analogue merupakan model yang menggunakan/memanfaatkan suatu set sifat-sifat atau ciri-ciri dari sIstem lainnya yang sedang dipelajari/diteliti (misalnya untuk mempelajari jalannya arus listrik, mungkin arus air yang mengalir melalui pipa dipergunakan sebagai analogue arus listrik yang mengalir melalui kawat (kabel). Model simbolis, merupakan model yang menggunakan simbol-simbol untuk mewakili cirri-ciri dari suatu system yang sedang dipelajari, biasanya terdiri dari satu set persamaan matematik, sering juga disebut sebagai system persamaan simultan. Di dalam beberapa hal untuk persoalan yang sederhana, model simbolis mungkin hanya terdiri dari satu persamaan saja. Ahli ekonomi biasanya menyebut sebagai model ekonometrik (econometric model). Sebagai suatu system, setiap persamaan mempunyai arti sendiri akan tetapi berkaitan dengan persamaan lainnya, seperti contoh sederhana berikut ini: (1) Ct = a + by, dimana C = konsumsi nasional (2) Yt = a1 + b1 It Y = pendapatan nasional (3) It = a2 + b2 Rt I = invstasi nasional R = tingkat bunga bank (rate of interest). Begitu nilai R ditentukan oleh Bank Indonesia, maka nilai R akan mempengaruhi I; I akan mempengaruhi Y dan pada gilirannya Y akan mempengaruhi C. R disebut variabel kebijakan (policy variable) nilainya ditentukan berdasarkan policy perbankan dan disebut juga variabel eksogen (exogeneous variable), sebab nilainya ditentukan di luar model. Sedangkan I, Y dan C disebut variabel endogen, nilainya ditentukan di dalam model, sebagai akibat adanya interaksi antarvariabel ekonomi. Model ini jelas dapat dipergunakan untuk membuat ramalan (forecasting) yang sangat berguna untuk perencanaan (planning). Kalau misalanya tingkat bunga bank ternyata tergantung
  • 30.
    RISET OPERASI &T.P KEPUTUSAN kepada bantuan luar negeri maka model bisa ditambah dengan satu persamaan lagi yaitu persamaan 4. (4) Rt = a3 + b3 Ft di mana F = Foreign aid 3.6 PEMBENTUKAN MODEL SIMBOLIS: Seperti telah disebutkan sebelumnya, pada model simbolis, komponennya merupakan symbol yang dinyatakan sebagai huruf untuk selanjutnya kita sebut variabel. Variabel dalam suatu model ada yang bisa dikontrol (controlled variable), di mana nilainya bisa ditentukan, mungkin berdasarkan suatu policy dan ada juga yang tidak dapat di kontrol (seperti daya beli masyarakat, permintaan konsumen dan kurs mata uang asing). 3.6.1 Komponen dalam sistem pembiayaan: Kalau tujuan yang akan dicapai adalah jumlah biaya yang harus minimum (minimized total expected cost), maka komponen-komponennya, mungkin sebagai berikut: 1. Biaya produksi yang terdiri dari rincian berikut: a) pembelian bahan mentah (raw material), b) biaya pengiriman bahan mentah, c) biaya penerimaan dan pemasukan bahan mentah di tempat penyimpanan (gudang), d) inventori bahan mentah, e) perencanaan produk, serta f) biaya pengolahan dan penyimpanan barang jadi (finished goods). 2. Biaya pemasaran (marketing cost) seperti biaya distribusi, promosi dan lain sebagainya. 3. Biaya tetap (overhead cost). Komponen-komponen tersebut tidak semuanya harus dipergunakan akan tetapi terlebih dahulu, mana yang harus dipergunakan tergantung kepada tujuan yang akan dicapai.
  • 31.
    RISET OPERASI &T.P KEPUTUSAN 3.6.2 Penggabungan atau pemecahan komponen serta penggantian simbol: Untuk pencapaian suatu tujuan mungkin perlu diadakan penggabungan beberapa komponen dalam sistem, misalnya raw-material, acquisition cost merupakan hasil penggabungan komponen-komponen. The purchase price freight cost and receiving cost of raw material. Bagi komponen yang masih dipertahankan perlu ditentukan apakah komponen tersebut merupakan suatu yang konstan (fixed) atau selalu berubah (variables). Apabila ternyata komponen tersebut merupakan variabel, kita harus mencari aspek apa dalam sistem yang mempengaruhi nilai variabel tersebut. Sebagai contoh misalnya, biaya pengolahan/pembuatan suatu jenis barang (suku cadang) biasanya terdiri dari 1) banyaknya unit yang akan diproses/diolah, 2) biaya pengolahan per unit atau misalnya finished inventory cost tergantung pada a) banyaknya unit dalam inventori, b) lamanya barang disimpan, dan c) biaya penyimpanan per unit. Masing-masing pecahan dari komponen (sub-component) kemudian diberi simbol, misalnya sebagai berikut: C1 = Rata-rata biaya per setiap kali memproduksi (per run cost). C2 = Rata-rata harga bahan mentah ditambah biaya pengolahan per unit/satuan barang. P = Rata-rata biaya penyimpanan dan pengiriman barang yang sudah jadi, dinyatakan sebagai pecahan dari uang yang diinvestasikan untuk memproduksi barang yang bbersangkutan. L = Banyaknya barang yang dibutuhkan secara normal. R = Banyaknya kegiatan memproduksi dalam jumlah yang sama selama setahun. K = Jumlah biaya yang diharapkan untuk memproduksi barang yang dibutuhkan selama setahun (bisa dianggap sebagai ukuran efektivitas).
  • 32.
    RISET OPERASI &T.P KEPUTUSAN 3.7 BERBAGAI PERSOALAN YANG HARUS DIPECAHKAN DENGAN MENGGUNAKAN MODEL DAN TEKNIK RISET OPERASI : Banyak sekali teknik-teknik untuk memecahkan persoalan manajemen, khususnya untuk pembuatan keputusan yang sudah dikembangkan dalam riset operasi antara lain linear programming, khususnya alokasi sumber untuk mencapai output terbaik, persoalan transportasi untuk mencapai jumlah biaya angkutan yang minimum, teori permainan untuk penyusunan strategi agar diperoleh maximum gain atau minimum loss, analisis jaringan kerja (net working analysis) – PERT (CPM), persoalan antrian (queuing of waiting line) untuk pengaturan agar lamanya waktu menunggu untuk menerima pelayanan menjadi minimum (tidak terlalu lama menunggu agar langganan/penerimaan pelayanan (tidak bosan), persoalan inventori agar dengan jumlah biaya yang minimum setiap saat barang yang dibutuhkan dapat dilayani dalam jumlah yang dikehendaki dan sekaligus dalam waktu yang secepatnya serta penentuan jumlah pesanan (order) yang tepat, persoalan penggantian (replacement) model urutan pekerjaan (sequencing model), integer and dynamic programming, persoalan simulasi dalam system manajemen.
  • 33.
    RISET OPERASI &T.P KEPUTUSAN BAB IV PENJADWALAN PROYEK DENGAN PERT-CPM Suatu proyek merupakan kombinasi dari kegiatan-kegiatan (activities) yang saling berkaitan dan harus dilaksanakan dengan mengikuti suatu urutan tertentu sebelum seluruh tugas dapat diselesaikan secara tuntas. Kegiatan-kegiatan ini saling berkaitan sehingga ada kemungkinan suatu kegiatan tiudak dapat dimulai sebelum kegiatan lainnya diselesaikan. Jauh sebelum ini, penjadwalan suatu proyek dilakukan melalui perencanaan. Perencanaan adalah penentuan mengenai apa yang harus dicapai, kapan dan bagaimana hal tersebut dilaksanan. Perencanaan (planning) merupakan salah satu fungsi manajemen dan bertujuan untuk memecahkan persoalan. Ada berbagai macam perencanaan seperti perencanaan pembangunan nasional, regional, dan sektoral, perencanaan personalia/tenaga kerja, perencanaan peralatan, perencanaan keuangan, perencanaan produksi, serta perencanaan pemasaran/penjualan. Didalam perencanaan terkandung unsur peramalan dalam arti memproyeksikan kejadian-kejadian untuk waktu yang akan datang. Dalam hal ini merupakan campuran antara pengalaman dan pekerjaan memperkirakan yang bersifat kritis adalah bahwa peramalan harus sewajar mungkin, janganlah memperkirakan atau mengambil asumsi kalau fakta memang tersedia. Walaupun ada unsur perkiraan, tetap diperlukan faktor utama standar sebagai dasar pegangan perkiraan. Selain perlunya standar, perlu diperhatikan pula kemungkinan kejadian-kejadian yang tidak diinginkan di dalam pelaksanaan (contingency factor). Tindakan apa, sarana apa dan kapan dilakukan jika suatu penyimpangan terjadi harus dimasukkan didalam rangka menyusun suatu rencana. Misalnya mencegah terjadinya kebakaran di dalam ruang komputer: 1) Memberikan larangan merokok di dalam ruang komputer. 2) Menjauhkan barang-barang yang mudah terbakar dari ruangan komputer. 3) Memasang alat pemadam kebakaran. Secara singkat pokok-pokok perencanaan aadalah sebagai berikut: 1) Menentukan target, tanpa adanya target sukar untuk membuat evaluasi.
  • 34.
    RISET OPERASI &T.P KEPUTUSAN 2) Kegiatan-kegiatan yang harus dilakukan. 3) Urutan kegiatan. 4) Jangka waktu yang diperlukan oleh masing-masing kegiatan. 5) Tersedianya alat ukur/standar. 6) Memperhatikan contingency factor. Gantt Chart merupakan teknik perencanaan yang paling sederhana dan biasa dipakai untuk bagian produksi. Pada bagian atas terdapat skala waktu, pada kolom paling kiri untuk diisi unsur-unsur kegiatan yang harus dilakukan. Pada bagian tengah dipakai untuk memberikan gambaran waktu untuk pelaksanaan masing-masing kegiatan berupa jalur/pita. Panjang jalur menggambarkan jangka waktu pelaksanaan kegiatan. Untuk dapat melihat situasi pelaksanaan sering dilengkapi dengan garis penunjuk (cursor) yang dpat digeser kekanan sesuai bertambahnya jangka waktu. BULAN NO. KEGIATAN 1 2 3 4 5 6 7 8 9 10 11 12 1. Perumusan persoalan. __ 2. Menentukan sumber data. _____ 3. Menentukan metode sampling. ____ 4. Pembuatan daftar pertanyaan. ____ 5. Memilih dan melatih petugas lapangan. _____ 6. Mengumpulkan data dilapangan. ______ 7. Mengolah dan menganalisis data. ________
  • 35.
    RISET OPERASI &T.P KEPUTUSAN 8. Menulis laporan penelitian. ______ Gambar 4.1 (Contoh Gantt Chart) Gantt Chart merupakan alat planning yang dinamis, karena selalu dalam penampilan yang berubah-ubah, dapat ditambah unsur kegiatan baru dalam rencana itu badan mencabut unsur kegiatan yang sudah selesai dilaksanakan. Kelemahan dari Gantt Chart adalah tidak dapatnya menunjukkan dengan jelas interelasi unusr-unsur terencana. Makin canggihnya pelaksanaan proyek dalam masa pembangunan ini, maka diperlukan teknik perencanaan yang sistematis, efisien, dan efektif dengan tujuan pelaksanaan proyek dapat memberikan hasil yang optimum. Efisiensi disini dimaksudkan penghematan tenaga, waktu, dan biaya sekaligus tujuan tercapai seperti diharapkan. Dua teknik perencanaan yaitu CPM (Critical Path Method) dan PERT (Project Evaluation and Review Technique), yang sangat berguna untuk menyusun perencanaan, penjadwalan, dan pengawasan/pengontrolan proyek, telah digunakan secara meluas terutama untuk proyek-proyek besar. PERT dan CPM pada dasarnya merupakan metode yang berorientasikan waktu, dalam arti bahwa keduanya akan berakhir dengan penentuan penjadwalan waktu (a time schedule). Walaupun PERT dan CPM dikembangkan secara terpisah dan bebas satu sama lain (independent), namun pada dasarnya sama. Mungkin perbedaan yang paling menonjol ialah perkiraan waktu yang diperlukan untuk melaksanaan kegiatan sifatnya deterministik dalam CPM dan Probabilistis dalam PERT. Kedua teknik tersebut dinamakan teknik penjadwalan proyek (project scheduling technique) yang terdiri dari tiga tahapan yaitu: perencanaan, penjadwalan, dan pengontrolan/pengawasan. Tujuan akhir dati tahap penjadwalan ialah membentuk a time chart yang dapat menunjukkan waktu mulai dan selesainya setiap kegiatan serta hubungannya satu sama lain dalam proyek. 4.1 PEMBENTUKAN DIAGRAM ANAK PANAH: Diagram anak panah (arrow diagram) menggambarkan keterangan antara kegiatan atau aktivitas proyek. Suatu anak panah (arrow) biasanya dipergunakan untuk mewakili suatu kegiatan dengan ujungnya menunjukkan arah kemajuan dalam
  • 36.
    RISET OPERASI &T.P KEPUTUSAN proyek. Hubungan suatu kegiatan dengan kegiatan yang terjadi sebelumnya ditunjukkan oleh adanya kejadian (event). Yang dimaksud dengan kejadian ialah saat yang menggambarkan atau pengakhiran suatu kegiatan (activity). Sedangkan kegiatan merupakan elemen pekerjaan yang memerlukan waktu Setiap kegiatan digambarkan sebagai anak panah, pangkal anak panah sebagai awal dan ujungnya sebagai akhir suatu kejadian. Panjang anak panah tidak menggambarkan jangka waktu dari kegiatan itu. Anak panah menggambarkan apa yang dikerjakan mendahului, sebelum kegiatan itu dikerjakan, Setiap anak panah di ujung dan pangkalnya diberi tanda kejadian diberi nomor, seperti berikut ini: A A Gambar 4.2 Kegiatan mulai dari kejadian 15 atau i dan berakhir dengan kejadian 16 atau j. Untuk selanjutnya kejadian A ditulis kegiatan A (15, 16) atau kegiatan A (ij), artinya dimulai pada titik i dan berakhir pada titik j. selanjutnya i disebut pangkal dan j ujung. A B Gambar 4.3 Keterangan: Kegiatan B baru bisa dikerjakan kalau A sudah selesai. Jadi A harus dikerjakan terlebih dahului sebelum B. Tanda lingkaran 1, 2, dan 3 merupakan event. A C B Gambar 4.4 15 5 5 16 6 i j 1 2 3 2 1 3 4
  • 37.
    RISET OPERASI &T.P KEPUTUSAN Keterangan: Kegiatan C baru bisa dikerjakan kalau A dan B sudah selesai, Jadi A dan B harus diselesaikan terlebih dahulu, kemudian baru C dimulai. B A C Gambar 4.5 Keterangan: B dan C baru bisa dimulai kalau A sudah selesai 4.2 ARTI DAN KEGUNAAN JARINGAN KERJA ATAU NETWORK: Network merupakan teknik perencanaan yang kedua yang dapat mengatasi kelemahan Gantt Chart dalam interelasi antara kegiatan-kegiatan. Hanya di sini tidak mempergunakan skala waktu. Kebaikan langsung yang dapat dipetik dari pemakaian analisis network adalah sebagai berikut: 1) Dapat mengenali (identifity) jalur kritis (certyical path) dalam hal ini adalah jalur elemen-elemen kegiatan kritis dalam skala waktu penyelesaian proyek sebagai keseluruhan. 2) Mempunyai kemampuan mengadakan perubahan-perubahan sumber daya dan memperhatikan efek terhadap waktu selesainya proyek. 3) Mempunyai kemampuan memperkirakan efek-efek dari hasil yang dicapai kegiatan terhadap keseluruhan rencana apabila diimpelentasikan/dilaksanakan. Sedangkan keuntungan tidak langsung dari pemakaian network adalah sebagai berikut: 1 2 4 3
  • 38.
    RISET OPERASI &T.P KEPUTUSAN 1) Sebelum menyusun suatu network seorang analis harus mengkaji rencana secara keseluruhan, memerinci, dan mengurai menjadi komponen-komponen kegiatan yang terpisah-pisah. 2) Seorang analis harus memikirkan interelasi dari kegiatan-kegiatan. 3) Seorang analis harus memperhitungkan batas waktu untuk masing-masing unsur kegiatan, sebab setiap kegiatan memerlukan sejumlah waktu tertentu untuk penyelesaiannya. Kelemahan darai network: 1) Tidak menunjukkan skla waktu seperti halnya dengan Gantt Chart 2) Kemajuan tidak dapat ditunjukkan. 3) Posisi perjalanan atau proses tidak dapat dilihat pada diagram. 4.3 ANALISIS JARINGAN KERJA DAN PERHITUNGAN JALUR KRITIS: Proses penentuan lamanya waktu (duration) pada tiap-tiap kegiatan, mendapatkan waktu mulai paling awal (ES=earliest start) dan waktu penyelesaiannya paling akhir (LF= latest finish) dari setiap kejadian (event) serta penentuan jalur kritis (certical path) disebut analisis jaringan kerja (network analysis). Jalur kritis adalah suatu deretan kegiatan kritis yang menentukan jangka waktu penyelesaian bagi keseluruhan proyek. Suatu kegiatan disebut kritis (certical activity) kalau suatu penundaan/penangguhan dimulainya kegiatan tersebut akan mengakibatkan tertundanya waktu penyelesaian seluruh proyek. Sebaliknya suatu kegiatan dikatakan tidak kritis atau waktu antara mulai paling awal (earlist start) dan waktu penyelesaian paling akhir lebih panjang dari pada waktu yang seharusnya diperlukan. Dalam hal ini kegiatan tidak kritis dikatakan mempunyai waktu yang mengambang (slack or float time). Dengan demikian dapat dikatakan bahwa jalur kritis merupakan rantai kegiatan kritis yang menghubungkan titik dimulainya dan diakhirinya kegiatan dalam diagram anak panah atau dengan singkat dapat dikatakan suatu jalur yang terdiri dari kegiatan- kegiatan yang kritis.
  • 39.
    RISET OPERASI &T.P KEPUTUSAN 4.4 CARA MENENTUKAN JALUR KRITIS: Untuk menentukan jalur kritis harus dilakukan dua macam perhitungan, yaitu perhitungan rentang waktu mulai paling awal dengan cara forward pass artinya dimulai dari sebelah kiri (start node) dan bergerak ke kanan sampai pada event terakhir (end node) dan waktu penyelesaian paling akhir dengan cara backward pass yaitu bergerak dari end node ke kiri sampai ke start node. Waktu mulai paling awal (ES) dipasang pada setiap node dengan tanda (bujur sangkar) dan waktu penyelesaian paling akhir (LF) juga dipasang pada setiap node dengan tanda (segitiga). 2 5 3 6 2 Akhir Mulai Gambar4.6 (Pembentukan jalur kritis) Sekali lagi ES dihitung dari depan ke belakang (dari kiri ke kanan) dan LF dihitung dari belakang ke depan (dari kanan ke kiri). Rumus ESj ESj = maks ESi + Dij Gambar 4.7 Dari beberapa simpul i menuju ke simpul j 0 0 1 2 4 3 5 6 i i i j
  • 40.
    RISET OPERASI &T.P KEPUTUSAN Contoh : Yang menuju ke simpul j = 5 yaitu simpul i = 3 dan i = 4 (lihat Gambar diatas). Rumus LFi LFi = min LFj – Dij Dari satu simpul i ke beberapa simpul j. Gambar 4.8 Contoh: Dari i = 3, 4, 5 menuju ke-j = 6 (lihat Gambar diatas). Setelah semua niali ES dan LF dihitung untuk semua node, maka suatu kegiatan (I, j) dikatakan terletak pada jalur kritis dan merupakan kegiatan kritis kalau memenuhi syarat berikut: 1) ESi = LFi , isi = 2) ESj = LFj , isi = 3) ESj – ESi = LFj – Lfi = Dij , - = - Dengan menggunakan syarat di atas, ternyata kegiatan atau aktivitas (1,2), (2,3), (3,4), (4,5) dan (5,6) merupakan kegiatan-kegiatan kritis sekaligus membentuk jalur kritis. Ini merupakan waktu yang paling pendek atau paling cepat penyelesaian proyek tersebut, di mana jumlah waktu yang diperlukan = D12 + D23 + D34 + D45 + D56 = 3 + 3 + 0 + 7 + 6 = 19, sebesar LF6 yaitu waktu penyelesaian paling akhir atau paling lambat (the latest finish time). i j j j
  • 41.
    RISET OPERASI &T.P KEPUTUSAN 4.5 PENENTUAN WAKTU MENGAMBANG: Setelah kita menentukan jalur kritis dengan jalan menghitung ES dan LF, maka tahap berikutnya kita hitung waktu mengambang (slack or float time). Ada 3 macam nilai yang perlu dihitung yaitu: 1) Total Float: Kelebihan waktu yang tersedia pada suatu kegiatan sebelum sampai mempengaruhi jalur kritis (=TF). Total float (= TFij) untuk kegiatan (ij) merupakan perbedaan anatara waktu maksimum yang tersedia untuk melakukan kegiatan (LFj – ESi) dan lamanya waktu yang memang diperlukan Dij, yaitu: TFij = (LFj – ESi) – Dij = LFj – Efij = LSij – ESi Di mana LS = waktu mulai paling lambat (the latest start) dan EF = waktu penyelesaian paling awal (earliest finish) dan untuk kegiatan (i, j), rumusnya sebagai berikut: LSij = LFj – Dij EFij = ESi + Dij 2) Free Float: waktu bebas yang dapat dipakai suatu kegiatan tanpa mengurang float kegiatan-kegiatan berikutnya. Free Float (= FFij) untuk kegiatan (i, j) merupakan kelebihan waktu yang tersedia (= ESj – ESi) terhadap waktu yang sebenarnya diperlukan (= Dij) yaitu FFij = (ESj – ESi) – Dij. Kegiatan yang kritis waktu mengambangnya nol (Zero total float). 4.6 PEMBENTUKAN TIME CHART DAN RESOURCE LEVELING: Hasil akhir dari analisis jaringan kerja ialah pembentukan grafik waktu (time chart). Grafik waktu dapat diubah secara mudah menjadi jadwal kalender yang sangat memudahkan bagi pelaksana proyek untuk melaksanakannya. Pembentukan grafik waktu harus dibuat dalam pembatasan sumber yang tersedia, sebab kita tidak mungkin dapat melaksanakan seluruh kegiatan dalam proyek
  • 42.
    RISET OPERASI &T.P KEPUTUSAN seandainya terjadi pembatasan dalam tenaga dan peralatan yang memang secara minimal harus diperlukan. Disinilah letak peranan perhitungan waktu mengambang (total float) bagi kegiatan yang tidak kritis. Dengan melakukan penggeseran kegiatan yang tidak kritis maju dan mundur (back and forth) antara ES dan EF (earliest start dan earliest finish), mungkin seseorang masih dapat mengurangi sumber (resources) yang dibutuhkan secara maksimal. Contoh: Kegiatan boneka (dummy activity) (3,4) tidak memerlukan waktu, ditunjukkan oleh garis vertical. Kegiatan (1,2) dan (2,3) masing-masing memerlukan waktu 3 unit, waktu bisa dibaca pada garis horizontal kegiatan (4,5) dan (5,6) perlu waktu 7 unit & 6 unit. Untuk kegiatan yang kritis banyaknya waktu sesuai dengan panjangnya garis, sedangkan untuk kegiatan yang tidak kritis, tidak sama/tidak sesuai. Apabila sumber (resources) bukan faktor yang efektif, setipa kegiatan yang tidak kritis dapat dijadwalkan sendini/seawall mungnkin atau secepatnya. Hal ini memungkinkan untuk memanfaatkan waktu mengambang (foat) dalam hal dimana kegiatan tertunda disengaja. Perhatikan gambar 4.9 Kegiatan kritis 2 3 Kegiatan tidak kritis 2 5 0 2 4 6 8 10 12 14 16 18 20 1 2 3 4 5 6 2 4 3 3 5 6 4 6
  • 43.
    RISET OPERASI &T.P KEPUTUSAN Gambar4.9 (Penjadwalan waktu sesuai dengan keperluan setiap kegiatan baik yang kritis maupun bukan) 4.7 PERTIMBANGAN PROBABILITA DAN BIAYA DALAM PENJADWALAN PROYEK: Analisis jaringan kerja yang telah dibahas dalam subbab-subbab sebelumnya hanya terbatas pada waktu yang diperlukan oleh setiap kegiatan secara deterministik tidak probabilistik. Selain itu juga tidak dibahas mengenai biaya (cost) yang diperlukan bagi setiap kegiatan. Dalam subbab berikut ini akan dibahas mengenai aspek probabilita dan biaya dalam penjadwalan proyek. Probabilita merupakan suatu nilai untuk mengukur tingkat terjadinya suatu kejadia event). Kegiatan kritis Kegiatan tidak kritis Waktu 0 2 4 6 8 10 12 14 16 18 20 4 5 6 2 4 3 3 5 6 4 6 1 2 3
  • 44.
    RISET OPERASI &T.P KEPUTUSAN Banyaknya tenaga 10 (3,6) a) Penjadwalan (2,4) terpagi bagi 8 (3,5) kegiatan (2,3) kritis 6 4 (4,6) 2 (1,2) (5,6) (4,5) Waktu 0 2 4 6 8 10 12 14 16 18 20 Banyaknya tenaga (2,6) 10 (2,4) (4,6) a) Penjadwalan paling lambat 8 bagi kegiatan (2,3) tidak kritis 6 4 (1,2) (3,5) (5,6) 2 (4,5) Waktu 0 2 4 6 8 10 12 14 16 18 20
  • 45.
    RISET OPERASI &T.P KEPUTUSAN 12 10 8 6 4 2 Waktu 0 2 4 6 8 10 12 14 16 18 20 Banyaknya tenaga 10 8 6 4 2 0 2 4 6 8 10 12 14 16 18 20 1 2 3 42 6 5 3 64 4 5 6 3
  • 46.
    RISET OPERASI &T.P KEPUTUSAN Gambar 4.10 (Penjadwalan waktu dan tenaga kerja, baik untuk kegiatan kritis maupun yang bukan) 4.7.1 Pertimbangan Probabilita: Pertimbangan probabilita biasanya sangat penting di dalam penjadwalan proyek berdasarkan suatu anggapan atau asumsi bahwa perkiraan atau taksiran waktu yang diperlukan bagi setiap waktu berdasarkan atas tiga nilai yang berbeda, yaitu: a = Waktu optimis, waktu yang diperlukan kalau pelaksanaan proyek berjalan dengan baik dan lancar. b = Waktu pesimis, waktu yang diperlukan kalau pelaksanaan proyek jelek sekali, tersendat-sendat. m = Waktu normal Nilai m tidak selalu ½ (a + b) bisa juga berbeda jauh dengan nilai tengah. Menurut intuisi, lamanya waktu yang diperlukan oleh setiap kegiatan dalam proyek mengikuti fungsi Beta, yang puncak kurvanya terletak pada titik m dan ekor kurvanya pada a dan b. a m b a m b (Simetris) (Menceng ke kanan) a m b (Menceng ke kiri)
  • 47.
    RISET OPERASI &T.P KEPUTUSAN Gambar 4.11 (Kurva fungsi Beta) D = (a + b) / 2 + 2 m = a + b + 4 m 3 6 V = b – a 2 = varian 6 Jadi, kalau variabel X menunjukkan lamanya waktu yang diperlukan untuk kegiatan dalam proyek, maka D = rata-rata X dan V = varian X. 4.7.2 Pertimbangan Biaya: Aspek biaya diperhitungkan dalam penjadwalan proyek dengan jalan mendefinisikan hubungan biaya (cost) dengan lamanya kegiatan dalam proyek, dimana biaya yang dimaksud ialah biaya langsung (direct cost). Biaya tidak langsung untuk keperluan administrasi dan supervisi tidak dimasukkan. Dalam praktek sering digunakan hubungan yang lancar antara lamanya waktu kegiatan (duration) dengan biaya (cost), dalam suatu proyek. Dalam keadaan normal, lamanya waktu kegiatan Dn, besarnya biaya Cn, waktu pelaksanaan dapat diperpendek dengan menambah sumber atau biaya akan tetapi pengurangan waktu pelaksanaan ini ada batasnya (limit) yang disebut waktu desak (crash time), di mana setelah titik ini waktu tidak bisa dikurangi lagi, maka disebut titik desak atau carsh point (Dc, Cc). Pada titik ini kenaikan penggunaan sumber hanya menambah jumlah biaya langsung, akan tetapi tidak dapat mengurangi lamanya waktu pelaksanaan kegiatan.
  • 48.
    RISET OPERASI &T.P KEPUTUSAN Biaya Cc Cn Titik normal Lamanya waktu Dc Dn Hubungan berupa garis lurus (straight line relationship) sering dipergunakan sebab sangat mudah dimengerti, juga bagi setiap kegiatan dapat ditentukan dengan mengetahui titik normal dan titik desak yaitu (Dn, Cn) dan (Dc, Cc). Selain linier, hubungan juga bisa tidak linear akan tetapi sering didekati secara linear. Setelah menentukan hubungan antara waktu dan biaya, kegiatan-kegiatan dalam proyek ditentukan waktu normal yang diperlukan untuk penyelesaiannya. Jalur kritis dari persoalan yang bersangkutan kemudian ditentukan dan biayanya dicatat. Tahap berikutnya mempertimbangkan kemungkinan memperkecil lamanya waktu pelaksanaan proyek. Oleh karena usaha untuk memperpendek waktu penyelesaian proyek menyangkut pengurangan waktu bagi kegiatan-kegiatan kritis, maka perhatian kita tunjukkan kepada kegiatan-kegiatan yang kritis saja. 4.7.3 Prosedur Lainnya Untuk Mendeteksi Jalur Kritis Baru dan Pengendalian Proyek: Apabila FF-limit besar dan sama dengan limit tekanan (compression limit), seseorang dapat mengurangi lamanya waktu (duration) penyelesaian proyek. Intinya, ini mempunyai kebaikan untuk meminimumkan banyaknya penjadwalan (number of schedules) yang dihitung antara antara titik normal dan titik desak. Hal ini ada kemungkinan berarti, bahwa perhitungan utama dari proyek ialah diminimumkan. Akan tetapi penentuan FF-limit memerlukan tambahan perhitungan yang semakin banyak sejalan dengan banyaknya jalur kritis dalam proyek, Konsekuensinya tidak ada jaminan bahwa penggunaan metode FF-limit akan menghasilkan perhitungan yang minimum.
  • 49.
    RISET OPERASI &T.P KEPUTUSAN Metode lainnya juga telah dikembangkan yang menghilangkan sama sekali kebutuhan FF-limit. Bahwa kalau limit desak = 1, FF-limit tidak perlu dihitung karena setiap FF yang positif paling sedikit nilainya 1 (satu). Prosedur baru kemudian diperlukan untuk mengurangi lamanya waktu proyek dengan satu unit waktu pada setiap siklus (daur) perhitungan. Hal ini dilakukan dengan menekan kegiatan yang mempunyai koefisien arah terkecil. Prosedur ini diulangi pada jadwal yang baru (dan jalur-jalur kritis kalau ada) sampai jadwal desak (crash schedule) diperoleh. Perlu dicatat, metode baru menekan waktu proyek dengan satu unit waktu pada setiap siklus. Jadi kalau ada n unit waktu antara jadwal normal dan desak, kita akan mengharapkan sebanyak n siklus perhitungan. Belum ada bukti yang tepat untuk menyimpulkan metode mana yang lebih efisien artinya menghitung serta memberikan hasil lebih cepat. Akan tetapi, perhitungan secara manual (tidak dengan komputer), menggunakan non FF-limit kelihatannya lebih baik. Untuk keperluan memonitor pelaksanaan suatu proyek, ternyata penting sekali mengikuti kemajuan suatu proyek pada diagram anak panah dari pada hanya pada jadwal waktu. Jadwal waktu pada dasarnya dipergunakan untuk mengecek apakah setiap kegiatan selesai pada waktunya. Dampak keterlambatan atau tertundanya suatu kegiatan jelas akan terasa pada kegiatan-kegiatan yang mengikutinya dan dapat diperhitungkan melalui diagram anak panah.
  • 50.
    RISET OPERASI &T.P KEPUTUSAN BAB V TEORI PERMAINAN Dalam suatu dunia usaha (business world) yang sangat kompetitif sifatnya, salah satu permasalahan (persoalan) yang sangat relevan bagi pihak eksekutif ialah mempelajari atau paling tidak memperkirakan kegiatan-kegiatan atau reaksi-reaksi dari pihak saingan (competitor). Seandainya eksekutif atau pimpinan dapat melakukan perhitungan guna mengetahui apa yang akan dilakukan oleh pihak lawan terlebih dahulu, maka perencanaan (planning) akan menjadi lebih mudah dan lebih efektif, terutama dalam menyusun strategi untuk merebut pasar misalnya, pengalaman tentang tingkah laku seorang saingan akan memudahkan untuk meramalkan strategi apa yang akan dilakukan. Dalam hal ini dimana informasi semacam itu tersedia, dimungkinkan untuk memilih keputusan-keputusan yang memaksimumkan firm’s expected return setelah memperhitungkan pengaruh yang ditimbulakan oleh tindakan pihak lawan. Ide dasar dari teori permainan adalah tingkah laku strategis dari pemain atau pengambil keputusan (player or decision maker). Setiap pemain dianggap mempunyai suatu seri rencana atau model tingkah laku dari mana dia bisa memilih, kalau kita memiliki suatu set strategi. Strategi menunjukkan untuk setiap situasi yang timbul dalam proses permainan, gerakan khusus mana yang harus dipilih (perhatikan permainan catur dan kartu bridge, selalu memikirkan kemudian memutuskan untuk melakukan gerakan). Perlu diperhatikan disini bahwa teori permainan menekankan tidak hanya set strategi atau gerakan-gerakan yang diambil bagi pengambil keputusan (pemain) yang tunggal, akan tetapi tindakan yang dilakukan dalam situasi dimana pemain lainnya sebagai lawannya juga berbuat sesuatu untuk melakukan gerakan-gerakan sesuai dengan strategi yang dipilihnya. Lebih lanjut tindakan/gerakan seorang pemain akan mempengaruhi gerakan pemain lawannya secara langsung. Dengan perkata lain, setiap pemain berada dalam lingkungan yang dinamis bukan statis atau dalam keadaan stokastik (stockastic universe). Pertimbangan ditekankan pada ketergantungan atau keterkaitan strategi dari masing-masing pemain (player). Seperti misalnya, “kalau saya melakukan gerakan ini, dia akan melakukan gerakan itu, maka seharusnya saya melakukan gerakan itu. Akan tetapi dia juga akan melakukan gerakan lainnya bukan itu lagi, dan seterusnya.” Jadi selalu ada pada setiap saat pemikiran, strategi dan tindakan yang baru. Hasil tindakan/gerakan seorang pemain akan ditentukan oleh gerakan pemain lawannya.
  • 51.
    RISET OPERASI &T.P KEPUTUSAN 5.1 PERMAINAN BERJUMLAH NOL DARI DUA ORANG: Di dalam permainan berjumlah nol dari dua orang. Hasil kemenangan berupa pembayaran dapat disajikan dalam bentuk matriks untuk pembayaran dalam permainan yang disebut pay-off matrix of the game, untuk selanjutnya disebut matriks pembayaran. Jadi matriks pembayaran (MP) atau pay-off matrix, merupakan matriks yang elemen-elemennya merupakan jumlah nilai yang harus dibayarkan dari pihak pemain yang kalah kepada yang menang pada akhir suatu permainan. Pengertian pay off tidak selalu berarti pembayaran berupa uang, akan tetapi bisa juga kenaikan/penurunan market share. Misalnya ada dua orang pengusaha A dan B yang sedang bersaing untuk merebut pasar bagi produk tertentu. Matriks pembayaran yang dikembangkan mewakili matriks pembayaran pengusaha A dan merupakan pembayaran yang dilakukan pengusaha B kepada A pada akhir permainan. Misalnya dalam usaha meningkatkan market share, pengusaha A mempertimbangkan berbagai alternatif cara pembungkusan yang baru, yaitu dengan memilih warna pembungkus merah (m), kuning (k), dan biru (b) yang disebut sebagai strategi 1, 2, dan 3. Sedangkan B saingan dari A mempunyai dua strategi. Strategi pertama memberikan hadiah dan strategi kedua memberikan potongan harga kepada para pembeli. Sebut saja strategi B strategi 1 dan 2. Setiap pasangan strategi terbuka bagi kedua pemain (pembuat keputusan). Misalkan A menghasilkan strategi 3, yaitu menggunakan bungkus biru dan B memilih strategi 2 yaitu memberikan potongan harga. Misalnya dengan strategi 3, A dapat menaikkan market share sebesar 5% mungkin berdasarkan ramalan. Hal ini disebut pembayaran bagi A (A5 pay off) kalau B memilih strategi 2. Dengan jalan yang sama untuk setiap strategi A yang dia pilih kemudian bersamaan dengan strategi yang dipilih oleh B, dapat diramalkan pembayaran bagi A, misalnya kalau A memilih strategi 1% tetapi kalau B memilih strategi 2, A akan kehilangan sebesar 3% (tanda -3). Matriks pembayaran A adalah sebagai berikut:
  • 52.
    RISET OPERASI &T.P KEPUTUSAN STRATEGI B 1 2 Minim Baris STRATEGI A 1 1 -3 -3 2 (2) 4 2 3 -1 5 -1 2 5 Maks. Kolom Gambar 5.1 (Matriks Pembayaran Untuk A) Catatan: Kalau pada baris tertentu dan kolom tertentu angkanya positif, A dikatakan menang (menerima pembayaran) seperti pada baris 1, angka 1, pada baris 2 angka 2, akan tetapi kalau negatif, A dikatakan kalah (dia harus membayar). Matriks pembayaran (pay off matrix) tidak mempunyai arti pembayaran sebenarnya dalam bentuk uang. Sebab ini merupakan istilah (terminology), seperti dalam contoh diatas. Angka 5 tidak berarti A menerima pembayaran dalam bentuk uang, tetapi artinya market share dari A naik 5% dan -3 tidak berarti harus membayar sejumlah uang, akan tetapi A mengalami penurunan market share sebesar 3%. Matriks pembayaran B merupakan matriks pembayaran A di mana setiap elemennya dikalikan minus satu (-1), sebab kemenangan dari A sebetulnya merupakan kekalahan dari B. Jumlah kemenangan A ditambah kekalahan B harus nol (zero sum game). Perusahaan A disebut perusahaan yang berusaha memaksimumkan (maximizing) dan B meminimumkan (minimizing). Suatu permainan yang melibatkan sebanyak n orang pemain disebut permainan n orang, jadi kalau n = 2, permainan 2 orang. Tentu saja n bisa lebih dari 2 orang misalnya 3, 4, 5 dan seterusnya. Permainan juga dikategorikan atau diklasifikasikan menjadi beberapa gerakan (moves) atau strategi (strategy). Permainan catur melibatkan dua orang (two person game), poker melibatkan banyak orang (many person game). Baik catur maupun poker, jumlah
  • 53.
    RISET OPERASI &T.P KEPUTUSAN gerakannya terbatas. Dalam buku ini hanya dibahas permainan berjumlah nol dari dua orang dengan jumlah kemungkinan gerakan terbatas. Ilustrasi 1. Kasus (1) Matriks pembayaran B A Penjelasan: A menang 2 unit, A menang 4 unit (baris 1) A menang 1 unit, A kalah 2 unit (baris 2) 5.2 STRATEGI MINIMMAKS DAN MAKSIMIN SERTA TITIK SADEL: Apabila dihadapkan pada permasalahan atau persoalan seperti diatas, seseorang harus menggunakan pendekatan yang sangat berhati-hati dan berasumsi tentang keadaan terburuk dan bertindak seperti seharusnya.Jadi, dengan menggunakan Tabel 5.1 sebagai referensi, kalau pengusaha A atas nama perusahaannya memilih strategi 1 maka keadaan terburuk kalau B memilih strategi 2, dalam hal ini A kehilangan 3. Ini berarti dari kemenangan sebesar 1 yang akan dinikmati oleh A, akan tetapi kalau B memilih strategi 2, justru kekalahan yang diderita. Sekarang pengusaha A atas nama perusahanya akan berusaha untuk memaksimumkan pembayaran yang minimum ini. Dengan perkataan lain, pengusaha A akan memilih suatu strategi yang membuat return sebesar-besarnya atau semaksimum mungkin. Jadi akan memaksimumkan pay-off yang minimum. Aturan pengambilan keputusan ini disebut strategi maksimin. Dengan cara yang sama pengusaha B akan menganut pendekatan yang sangat berhati-hati pula. Bagi B, keadaan yang paling buruk kalau A memperoleh pembayaran yang tinggi. 2 4 1 -2
  • 54.
    RISET OPERASI &T.P KEPUTUSAN Secara ringkas strategi yang dianut A memaksimumkan minimum pembayaran (maximum) sedangkan strategi yang dianut B meminimumkan maksimum pembayaran (minimax). Dalam hal ini pilihan A strategi 2 dan pilihan B strategi 1, besarnya pembayaran 2 (perpotongan baris 2 dan kolom 1). A menang 2, B kalah 2, jumlahnya 2 + (-2) = 0. 5.2.1 Titik Sadel: Agar dapat melakukan pembahasan teori permainan secara umum kita perlu menggunakan symbol matematika. Misalnya ada dua pemain katakana A dan B yang saling bersaing, matriks pembayaran untuk A sebagai berikut: a11 a12 … aij … a1n a21 a22 … a2j … a2n A = : ai1 ai2 … aij … ain am1 am2 … amj … amn Matriks A di atas dikatakan mempunyai m baris dan n kolom 15) ini berarti pemain A mempunyai m strategi dan pemain B mempunyai n strategi. Elemen aij merupakan besarnya nilai pembayaran yang diterima oleh A, ketika A menggunakan strategi I sedangkan lawannya B menggunakan strategi j. I = 1, 2, …, m dan j = 1, 2, … n. Baris-baris pada matriks menunjukkan strategi A dan kolom-kolom strategi B. Contoh tentang Titik Sadel: Berikut ini adalah matriks pembayaran bagi pemain A. minimum (baris) 8 7 15 12 7 9 14 8 10 8 (10) 12 14 13 10
  • 55.
    RISET OPERASI &T.P KEPUTUSAN Maximum (kolom) 10 14 15 13 Kalau nilai minimum pada baris diperhatikan, maka nilai maksimumnya sebesar 10. Seabaliknya nilai minimum dari nilai maksimum pada kolom sebesar 10 juga. maks min {aij} = min maks {aij} = 10 i j i j Jadi terdapat titik sadel, nilai permainan 10, tercapai kalau A menggunakan strategi 3 dan B strategi 1, akl = a31 = 10 = nilai permainan, merupakan nilai minimum pada strategi A (baris 3) dan nilai maksimum pada strategi B (kolom 1). 5.3 STRATEGI CAMPURAN: Dalam ilustrasi (2), dari subbab di atas, tidak ada titik keseimbangan (titik sadel), maka dari itu strategi murni tidak ada, baik untuk pemain A maupun B. Agar dapat diperoleh suatu pemecahan permainan yang mempunyai tipe seperti ini, Von Neumann memperkenalkan konsep strategi campuran (mixed strategy). Pembahasan strategi campuran di atas mengarah kepada dalil minimaks dari Von Neumann yang mengatakan bahwa kalau set kemungkinan strategi dari para pemain diperluas sampai di luar strategi murni yang mencangkup seluruh kemungkinan strategi campuran, selalu ada beberapa strategi campuran untuk pemain A yang minimum pay off–nya akan lebih besar dari nilai maksimin dan selalu ada beberapa strategi canpuran untuk pemain B yang maximum pay off-nya lebih kecil dari minimaks dan dua nilai pay off itu sama. Dengan perkataan lain untuk semua jenis permainan berjumlah nol untuk dua pemain (two person zero sum game), nilai maksimin = minimaks, kalau seluruh kemungkinan keacakan (randomization) diperhitungkan. Dalil ini terkenal dengan nama dalil minimax dari teori permainan (minimax theorem of game theory) dari Van Neumann dan dianggap sebagai dasar untuk pengembangan teori permainan. Ilustrasi: Perhatikan suatu matriks permainan dengan matriks pembayaran A sebagai berikut:
  • 56.
    RISET OPERASI &T.P KEPUTUSAN Minimum (baris) 1 6 8 (1) Maksimin = 1 A = 2 7 -9 -9 Minimaks = 2 -4 9 12 -4 Tidak ada titik sadel Maksimum (kolom) (2) 9 12 Misalkan pemain A memilih strategi campuran X = (x1, x2, x3) dan pemain B memilih strategi campuran Y = (y1, y2, y3). Fungsi pembayaran untuk pemain A = E(X,Y) = 1 6 8 Y1 XAY = (x1, x2, x3) 2 7 -9 Y2 -4 9 12 Y3 = x1 (y1 + 6y2 + 8y3) + x2 (2y1 + 7y2 – 9y3) + x3 (-4y1 + 9y2 + 12y2) Misalkan diketahui X = (1/3, 1/3, 1/3), Y = (1/4, 1/2, ¼) maka: E(X,Y) = 1/3(1/4 + 6.1/2 + 8.1/4) + 1/3(2.1/4 + 7.1/2 – 9.1/4) + 1/3(-4.1/4 + 9.1/2 + 12.1/4) = 9/4 Nilai harapan matematis pemain A sebesar 9/4, artinya secara rata-rata per permainan akan memperoleh kemenangan 9/4 = 2,25. 5.4 METODE PEMECAHAN UNTUK PERMAINAN: 5.4.1 Metode Aljabar untuk Strategi Optimum: Suatu permainan di mana dua pemain mempunyai dua alternatif (dua pilihan strategi) terkenal dengan suatu permainan 2 kali 2 (2 x 2). Di dalam menggunakan metode aljabar misalkan p = bagian dari waktu yang diperlukan pemain A untuk memainkan strategi pertama dan (1 – p) = bagian dari waktu yang diperlukan untuk strategi kedua. Demikian juga untuk B, kita pergunakan simbol q dan (1-q). Disajikan dalam matriks, kita peroleh bentuk penyajian sebagai berikut:
  • 57.
    RISET OPERASI &T.P KEPUTUSAN q (1-q) p 4 1 (1-p) 3 5 Bagi pemain A strategi 1 – 2 Apapun yang dilakukan B Dengan menggunakan cara ini, pemain A tertarik untuk membagi permainan antara dua baris (strategi) dengan maksud agar kemenangan yang diharpkan (expected winning) dari memainkan strategi 1 akan sama dengan kemenangan yang diharapkan dari memainkan strategi 2, tanpa memedulikan strategi apa yang dipilih pihak lawan (pemain B). Bagi pemain A agara dapat mencapai strategi terbaik apakah dengan memilih strategi 1 atau 2, perlu menyamakan kemenangan yang diharapkan yang diperoleh sewaktu B memilih strategi 1 yaitu 4p + 3(1-p) dengan kemenangan yang diharapkan sewaktu B memilih strategi 2 yaitu p + 5(1-p) maksudnya pemain A harus berusaha agar 4p + 3(1-p) = p + 5(1-p) 4p + 3 – 3p = p + 5 – 5p p + 3 = 5 – 4p 3p = 2 P = 2/5 = 0,4 Jadi strategi campuran yang optimal bagi A dicapai kalau dia menggunakan 2/5 waktunya untuk memainkan strategi 1 (baris 1) dan 3/5 waktunya untuk memainkan strategi 2 (baris 2). Dengan penalaran yang sama kita dapat mencari nilai q dengan memecahkan persamaan berikut: 4q + (1 – q) = 3q + 5(1 – q) 4q + 1 – q = 3q + 5 – 5q 3q + 1 = 5q – 2q 5q = 4
  • 58.
    RISET OPERASI &T.P KEPUTUSAN q = 4/5 = 0,8 Jadi strategi campuran yang optimal bagi B dicapai kalau dia menggunakan 4/5 waktunya untuk memainkan strategi 1 (kolom 1) dan 1/5 waktunya untuk memainkan strategi 2 (kolom 2). Contoh: Dua pemain A dan B mempunyai matriks pembayaran tanpa titik sadel, sebagai berikut: B 5 1 A 3 4 P = Proporsi waktu pemain A untuk menggunakan strategi 1 1-p = Proporsi waktu pemain A untuk menggunakan strategi 2 q = Proporsi waktu pemain B untuk menggunakan strategi 1 1-q = Proporsi waktu pemain B untuk menggunakan strategi 2 (proporsi atau bagian) lihat table sebagai berikut: q 1-q p 5 1 baris 1, strategi 1, pemain A 1-p 3 4 baris 2, strategi 2, pemain A 1 1 Kolom 1 Kolom 2
  • 59.
    RISET OPERASI &T.P KEPUTUSAN Strategi 1 Strategi 2 Pemain B Pemain B Nilai p antara 0 dan 1 (0 dan 100%) Nilai q antara 0 dan 1 (0 dan 100%) Sekarang kita harus mencari nilai p dan q. Perhatikan pemain A dulu. Logikanya A akan membagi permainannya antara baris 1 dan 2 sehingga dia akan mencapai kemenangan yang sama, baik B memainkan kolom 1 maupun kolom 2. Tabel dibawah ini mewakili rata-rata kemenagan A, kalau dia mengguanakan strategi 1 sebanyak p kali dan strategi 2 sebanyak (1-p) kali. Rata-rata kemenangan A, kalau B memilih strategi 1 sebesar 5p + 3 (1-p) ini harus sama dengan rata-rata kemenangan A, kalau B memilih strategi 2 yaitu sebesar p + 4 (1-p). Untuk mencari nilai p kita pecahkan persamaan berikut: 5p + 3 (1 – p) = p + 4 (1 – p) 5p + 3 – 3p = p + 4 – 4p 5p = 1 P = 1/5 = 0,2 (=20%) 1=p = 1 – 0,2 = 0,8 (=80%) Artinya, A menggunakan 20%, waktunya untuk memainkan strategi 1 dan 80% untuk strategi 2. Kalau B memilih strategi 1 Kalau B memilih strategi 2 A memilih strategi 1, p kali A menang 5 unit, p kali A menang 1 unit, p kali A memilih strategi 2, (1-p) kali A menang 3 unit, (1-p) kali A menang 4 unit, (1-p) kali Rata-rata kemenangan 5p + 3 (1-p) P + 4 (1-p) Gambar 5.2 (Rata-rata Kemenangan A)
  • 60.
    RISET OPERASI &T.P KEPUTUSAN B memainkan kolom 1. q kali dan kolom 2 (1q) kali Rata-rata kekalahan B A memilih strategi 1 B kalah B kalah 5 Unit 1 Unit q Kali (1-q) Kali 5q – 1 ( 1-q) A memilih strategi 2 B Kalah B Kalah 3 Unit 4 Unit q Kali (1-q) kali 3q + 4 (1-q) Gambar 5.3 (Rata-rata kekalahan B) Untuk mencari nilai q, penalaran yang sama dengan A dipergunakan oleh B yaitu menyamakan nilai rata-rata kemenangan kalau A memilih strategi 1 dengan rata- rata kemenangan kalau A memilih strategi 2, yaitu: 5q + (1 – q) = 3q + 4 ( 1 – q) 5q + 1 – q = 3q + 4 – 4 q 4q + 1 = 4 – q 5q = 3 Q = 3/5 = 0,6 (=60%) (1-q) = 1 – 3/5 = 2/5 = 0,4 (=40%) Jadi, pemain B menggunakan 60% waktunya memilih kolom 1 dan 40% waktunya memilih kolom 2. 5.4.2 Menggunakan Probabilita dan Nilai Harapan Permainan: Dalam suatu permainan sederhana 2 kali (2x2), yang tidak memiliki titik sadel, strategi dari setiap pemain akan mempunyai probabilita (probability) untuk menunjukkan banyaknya bagian atau proporsi waktu yang dipergunakan untuk
  • 61.
    RISET OPERASI &T.P KEPUTUSAN melakukan strategi tersebut. Karena setiap pemain bermain secara acak (at random), kita dapat mencatat probabilita untuk setiap pembayaran (pay off). Sebagai suatu ilustrasi perhatikan matriks pembayaran bagi pemain, yaitu sebagai berikut: 4 1 3 5 Probabilta untuk pemain A = (2/5, 3/5) dan untuk B = (4/5, 1/5). Ini artinya 2/5 = 0,4, atau 40% waktu A untuk memainkan strategi 1 (baris 1), 3/5 = 0,6 atau 60% lainnya untuk memainkan strategi 2 (baris 2). Demikan halnya dengan B, dia menggunakan 80% waktunya untuk memainkan strategi 1 (kolom 1) dan 20% waktunya untuk memainkan strategi 2 (20%). Oleh karena itu kedua pemain bermain secara independent artinya masing- masing tidak tahu strategi yang mana yang akan dipilih oleh pihak lawan, maka probabilita untuk pemain A juga independent terhadap probabilita pemain B. Nilai pembayaran dalam permainan akan diperoleh kalau permainan secara simultan akan memainkan baris atau kolom tertentu. Dengan mengetahui nilai probabilita untuk pemilihan baris atau kolom tertentu, dapat dihitung nilai probabilita untuk setiap pembayaran (pay off) seperti table dibawah ini: Pembayaran Strategi Penghasil Pembayaran Probabilita Pembayaran 4 Baris 1, Kolom 1 (2/5) (4/5) = 8/25 1 Baris 1, Kolom 2 (2/5) (1/5) = 2/25 3 Baris 2, Kolom 1 (3/5) (4/5) = 12/25 5 Baris 2, Kolom 2 (3/5) (1/5) = 3/25 Jumlah 25/25 = 1 Gambar 5.4 (Perhitungan Probabilita Pembayaran) 5.4.3 Menggunakan Metode Dominance: Suatu permainan di mana seorang pemain mempunyai lebih dari dua pilihan strategi, sedangkan lawannya hanya terbatas pada dua pilihan diberi simbol
  • 62.
    RISET OPERASI &T.P KEPUTUSAN permainnan 2 x M atau M x 2 (dua kali M atau M kali 2). Seperti contoh berikut ini, pemain A mempunyai 3 alternatif dan B hanya 2 alternatif, maka merupakan permainan tipe M x 2 dengan M = 3 dari tipe 2 x M, dengan M = 4. Dalam hal yang kedua ini, pemain A mempunyai 2 alternatif (strategi) dan B mempunyai 4 alternatif. B 1 1 B A -4 -1 dan A 0 2 -4 -7 2 1 1 3 -6 -1. 5.4.4 Pemecahan Dengan Metode Grafik: Perhatikan matriks permainan 3x2 berikut ini: B -2 4 A 8 3 9 0 Kalau A memilih strategi 1, dia akan kalah sebesar 2 (menag -2) kalau B meilih strategi 1 dan akan menang 4 kalau B memilih strategi 2. Kita bisa menggambarkaan grafik kemenangan A, seperti terlihat pada gambar dibawah ini. Garis strategi 1, menghubungkan (-2) pada garis yang menunjukkan strategi 2 dari B, strategi 2 menghubungkan (8) dengan (3) dan strategi 3 menghubungkan (9) dengan (0). Kalau A memilih strategi 2 dia akan menang 8 atau 3 tergantung strategi mana yang dipilih B. Selanjutnya kalau A memilih strategi 3 dia akan menang 9 atau 0, juga tergantung pada strategi mana yang dipilih oleh B. Semua garis (kurva) yang menggambarkan 3 strategi dapat dilihat pada gambar dibawah ini. Dari gambar di bawah ini dapat dilihat bahwa strategi 3 buat A akan memberikan kemenangan yang menarik yaitu sebesar 9, kalu B memilih strategi 1. Akan tetapi, kalau B memilih
  • 63.
    RISET OPERASI &T.P KEPUTUSAN strategi 2, kemenangan merosot dari 9 menjadi 0. Ini suatu resiko bagi A untuk memilih strategi 3. Dengan anggapan bahwa kedua pemain menggunakan suatu pendektaan inteligen dan rasional, permainan akan dimainnkan sebagai berikut: a) Kalau A memilih strategi 3, dengan harapan memenangkan 9 unit, pemain B akan segera beralih ke strategi 2 yang menyebabkan kemenangan merosot dari 9 menjadi 0. b) Segera setelah mengetahui hal ini pemain A beralih ke strategi 1 dengan harapan memenangkan 4 unit, kalau B tetap memilih strategi 2. c) Pemain B juga tidak kalah gesit, begitu A memilih strategi 1, B segera beralih ke strategi 1 di mana dia mengharapkan kemenangan 2 unit (merupakan kekalahan A). d) Mengetahui halk ini A beralih ke strategi 2, mengharapkan kemenangan 8 unit (merupakan kekalahan B). 10 10 9 9 8 8 7 7 6 6 5 Strategi 2 5 4 4 3 Strategi 3 3 2 2 Titik V, Mulai permainan 1 1 0 0 -1 -1 -2 Strategi 1 -2 -3 -3 Pemain B memilih strategi 1 Pemain B memilih strategi 2
  • 64.
    RISET OPERASI &T.P KEPUTUSAN Gambar 5.5 (Kemenangan Pemain A) e) Menyadari B akan kalah 8 unit, dia segera beralih ke strategi 2, dengan harapan agar kemenangan A mengecil menjadi 3 unit (kekalahan B mengecil dari 8 ke- 3). f) Proses ini akan jalan terus samapai batas waktu yang sudah disepakati bersama. 5.4.5 Permainan 3 x 3 dan Yang Lebih Besar Serta Penggunaan Linier Programming: Untuk pemecahan permainan 3 x 3 dan yang lebih besar, langkah pertama seperti halnya dengan permainan 2 x 2, kita mencari ada tidaknya titik sadel, yang merupakan pemecahan permainan (nilai permainan) Perhatikan matriks pay off berikut ini yang terdiri dari 3 baris dan 3 kolom B 14 10 (9) A 4 -2 -6 8 6 4 A memilih strategi 1 (baris 1) dan B memilih strategi 3 (kolom 3). Angka (9) merupakan titik sadel, sekaligus pemecahan atau nilai permainan. Angka (9) merupakan minimum pada baris 1 dan maksimum yang sekaligus merupakan kekalahan B yang minimum. Apabila tidak terdapat titik sadel, kita dapat menggunakan metode dominance, dengan jalan mengurangi baris atau kolom sehingga membuat permainan menjadi lebih kecil, dapat dipecahkan dengan cara aljabar. 5.4.6 Penggunaan Teknik Linier Programming: Apabila tidak ada titk sadel dan matriks tidak dapat diperkecil, Kita harus menggunakan teknik linier programming untuk memecahkan perhatikan matriks pay off berikut ini:
  • 65.
    RISET OPERASI &T.P KEPUTUSAN y1 y2 y3 x1 3 2 3 x2 2 3 4 x3 5 4 2 x1, x2, x3 merupakan probabilita bahwa A memilih strategi (baris) 1, 2, 3. Selanjutnya y1, y2, y3 merupakan probabilita bahwa B memiliki strategi (kolom) 1, 2, 3. Perlu diketahui x1+ x2 + x3 = 1, dan y1 + y2 + y3 = 1 Dari pembahasan sebelumnya untuk permainan 2 x M dan m x 2 kita dapat menulis ketidaksamaan yang menyatakan harapan pemain B sebagai berikut: 3 y1 + 2 y2 + 3 y3 < V 2 y1 + 3 y2 + 4 y3 < V 5 y1 + 4 y2 + 2 y3 < V, di mana V = Nilai Persamaan. Proporsi waktu untuk memainkan setiap strategi (kolom) apabila dijumlahkan = 1 y1 + y2 + y3 = 1
  • 66.
    RISET OPERASI &T.P KEPUTUSAN BAB VI TEORI ANTRIAN DAN APLIKASINYA Dalam kehidupan sehari-hari kata antrian yang dalam bahasa Inggris disebut queuing atau waiting line sangat kita jumpai sebab memang kita lakukan bilamana kita menunggu giliran untuk menerima pelayanan (services), misalnya antrian untuk membeli karcis kereta api di stasiun, membeli karcis bioskop, membeli karcis untuk menonton pertandingan sepak bola di stadion, membayar tol di gerbang tol,dan lain- lain. Yang antri belum tentu orang tetapi bisa juga barang, misalnya bahan mentah yang akan diproses untuk di jadikan produksi, komoditi eksport yang akan di muat dikapal, data yang akan di olah di pusat computer, atau mobil yang akan diperbaiki di bengkel. Antrian yang sangat panjang dan terlalu lama untuk memperoleh giliran pelayanan sangat menjengkelkan. Rata-rata lamanya waktu menunggu (waiting line) sangat tergantung kepada rata-rata tingkat kecepatan pelayanan (rate of service). Teori tentang antrian ditemukan dan dikembangkan oleh A.K Erlang seorang insinyur dari Denmark yang bekerja pada perusahaan telepon di Kopenhagen pada 1910. Dia melakukan eksperimen tentang fluktuasi permintaan fasilitas telepon yang berhubungan dengan aotumatic dialing equipment, yaitu peralatan penyambungan telepon secara otomatis. Dalam waktu-waktu yang sibuk operator sangat kewalahan untuk melayani para penelpon secepatnya, sehingga para penelpon harus antri menunggu giliran, mungkin cukup lama. 6.1 STRUKTUR DASAR MODEL ANTRIAN: Proses dasar yang dianggap oleh model antrian ialah bahwa spp (coustomer) yang memerlukan pelayanan berasal dari suatu populasi yang disebut sumber masukan (input source). Spp memasuki sistem antrian (quering system) dan menggabungkan diri atau membentuk suatu antrian. Pada waktu tertentu, anggota dalam antrian dipilih untuk memperoleh pelayanan dengan menggunakan aturan tertentu yang disebut disiplin pelayanan (service discipline). Pelayanan yang diperlukan oleh spp kemudian dilakukan oleh mekanisme pelayanan (service mechanism), setelah pelayanan diperoleh spp meninggalkan system. Proses ini dapat di lihat pada gambar 6.1
  • 67.
    RISET OPERASI &T.P KEPUTUSAN Salah satu karateristik dari populasi atau input source ialah besarnya (size) atau banyaknya spp. Besarnya populasi (population size) ialah banyaknya spp, mungkin langganan, yang memerlukan pelayanan dari waktu ke waktu. Populasi ini bisa terbatas (finite) bisa juga tidak terbatas (infinite). Mengingat perhitungan akan dipermudah kalau populasi tidak terbatas, maka biasanya populasi dianggap tidak terbatas, di dalam membahas model antrian. Akan tetapi asumsi mengenai populasi yang terbatas perlu dibuat, seandainya rata-rata (rate) pada saat populasi melahirkan spp baru sangat dipengaruhi oleh beberapa spp dalam sistem. Sistem Antrian Spp Akan Menerima Spp Setelah Pelayanan Menerima Spp = Satuan Penerima Pelayanan Pelayanan Gambar 6.1 Proses Dasar antrian Mekanisme pelayanan (service mechanism) terdiri dari satu atau lebih fasilitas pelayana (fp). Masing-masing fasilitas mempunyai satu atau lebih saluran pelayanan (service channels) yang disebut servers. Apabila terdapat lebih dari satu fasilitas pelayanan, spp atau langganan mungkin menerima pelayanan melalui suatu urutan- urutan (service in place) atau fase-fase tertentu. Pada suatu fasilitas tertentu, spp masuk dalam salah satu saluran pelayanan paralel dan menerima pelayanan secara tuntas dari pemberi pelayanan (pp) atau servers. Proses pelayanan seperti ini, lihat pada gambar 6.2 Populasi Antrian Mekanisme
  • 68.
    RISET OPERASI &T.P KEPUTUSAN Spp* Spp* Sistem Antrian Populasi Spp* Spp* Spp* = Satuan penerima pelayanan yang telah menerima pelayanan Gambar 6.2 (Suatu Sistem Antrian Elemmenter) Spp = Satuan penerima pelayanan disebut coustomer disingkat c. PP = Pemberi pelayanan disebut server disingkat s. fp = Fasilitas pelayanan disebut service facility untuk lebih jelasnya perhatikan beberapa gambar yang menunjukkan fasilitas pelayanan sebagai berikut : 6.1.1 Struktur Kedatangan Satuan Penerima Pelayanan : a) Satu barisan (antrian) dan satu fase pelayanan (single channel single phase). Sebagai contoh seorang pelayan took (tunggal), seorang tukang cukur, dan sebagainya. Secara skematis digambarkan sebagai berikut: Datang Keluar b) Satu barisan dan beberapa fase pelayanan (single channel multiphase). Proses pelayanan merupakan sequencing/urutan pekerjaan. Proses pelayanan semacam ini misalnya mengurus izin usaha melalui beberapa Spp Spp Spp Spp PP Fasilitas PP Pelayanan PP
  • 69.
    RISET OPERASI &T.P KEPUTUSAN orang pejabat pemerintah. Secara skematis akan kelihatan sebagai berikut: Datang Keluar c) Beberapa barisan dan fase pelayanan (multi channel single phase). Sebagai contoh dari proses pelayanan seperti ini adalah pelayanan pembelian tiket yang dilayani lebih dari satu loket, pelayanan potongan rambut yang memiliki lebih dari satu tukang potong, pelayanan di suatu bank yang memiliki beberapa loket. Secara skematis digambarkan sebagai berikut: Datang Keluar d) Beberapa barisan dan beberapa fase pelayanan (multi channel multi phase). Contoh dari struktur pelayanan semacam ini adalah pelayanan kepada pasien di rumah sakit. Di dalam rumah sakit tersebut, beberapa perawat akan mendatangi pasien secara teratur dan memberikan pelayanan dengan kontinu (sebagai suatu urutan pekerjaan). Secara sistematis akan kelihatan sebagai berikut:
  • 70.
    RISET OPERASI &T.P KEPUTUSAN Datang Keluar e) Campuran. Struktur campuran ini merupakan campuran dari dua atau lebih struktur fasilitas pelayanan tersebut di atas. Stuktur ini dipergunakan misalnya oleh toko-toko besar, yang memiliki beberapa pelayan toko untuk melayani pembeli (multi channel), namun pembayaran hanya kepada seorang kasir saja (single channel). Ada pula yang mempergunakan struktur campuran yang lain, misalnya pelayanan (service) terhadap pengunjung rumah makan, dan lain sebagainya. 6.1.2 Tingkat Pelayanan: Tingkat pelayanan bisa konstan/ajek dari waktu ke waktu sama, mengikuti distribusi exponential atau mempunyai bentuk yang lain. Waktu pelayanan (service time) ialah lamanya waktu sejak pelayanan diberikan kepada seorang spp sampai selesai pada fasilitas pelayanan. Model antrian harus secara khusus menyebutkan distribusi probilita waktu pelayanan bagi setiap pp (server), kalau mungkin untuk berbagai spp, walaupun dalam prakteknya di anggap setiap spp mempunyai probabilita yang sama. Rata-rata pelayanan (mean server rate) diberi simbol u merupakan banyaknya spp atau langganan yang dapat dilayani dalam satuan (unit) waktu, sedangkan rata- rata waktu pelayanan (average service time) ialah rata-rata waktu yang dipergunkan untuk melayani per spp atau langganan, diberi simbol 1/u unti (satua). Misalnya dalam waktu 5 menit dapat dilayani 10 langganan. Dalam 1 menit dapat dilayani 10/5 = 2 orang. Jadi, u = 2 merupakan jumlah orang yang dilayani dalam 1 menit, 1 orang dilayani ½ menit. Jadi, 1/u merupakan rata-rata waktu pelayanan.
  • 71.
    RISET OPERASI &T.P KEPUTUSAN 6.2 KEDATANGAN MENURUT SALURAN TUNGGAL DENGAN RATA-RATA PELAYANAN EKSPENSIAL: Dalam hal kedatangan menurut saluran tunggal poisson dengan pelayanan mengikuti fungsi eksponensial, hanya ada satu unit pp (pp = pemberi pelayanan) yang melayani. Masukan input seperti langganan atau pekerjaan, kedatangannya mengikuti fungsi passion. Rata-rata pelayanan yang mengikuti fungsi eksponensial bebas terhadap banyaknya spp yang berada dalam barisan (antrian). Kedatangan spp diperlakukan atas dasar FIFO, siapa yang datang terlebih dahulu akan memperoleh pelayanan terlebih dahulu. Asumsi lainnya yang diperlukan di dalam pengembangan model antrian ialah bahwa rata-rata kedatangan (rate of arrival) lebih kecil dari rata-rata pelayanan (rate of service) artinya λ < u, dengan demikian semua spp akan dapat dilayani. Didalam model antrian akan dipergunakan notasi (simbol) dan istilah-istilah sebagai berikut: 1) λ (= lamda) = rata-rata kedatangan (mean arrival rate) yaitu banyaknya kedatangan spp per satuan waktu ( 1 jam, 1 hari, dan lain sebagainya). 2) λ▲t = probabilita bahwa satu spp dating dalam system antrian antara waktu t sampai dengan t + ▲t, yaitu suatu interval waktu t (t + ▲t) ▲= Delta, tanda tambahan. 3) (1- λ ▲t) = Probabilita bahwa tidak ada spp yang datang dalam interval t sampai dengan (t + ▲t). 4) U = rata-rata pelayanan (mean service rate) yaitu banyaknya spp yang dilayani per unit waktu oleh pp. 5) U ▲t = probabilita bahwa satu pelayanan telah selesai diberikan dalam interval waktu t sampai dengan t + ▲t. 6) (I - u▲t) = probabilita bahwa tidak ada satu pun spp yang diberi pelayanan dalam interval waktu t sampai dengan (t + ▲t). 7) N = banyaknya spp (seperti langganan, barang, pekerjaan yang harus dilayani/dikerjakan, dalam system antrian (waiting line and service facility)pada waktu t. 8) Pn (t) = probabilita bahwa ada n spp dalam sistem antrian pada waktu t.
  • 72.
    RISET OPERASI &T.P KEPUTUSAN 9) P n+1 (t) = probabilita bahwa ada (n = 1) spp dalam sistem antrian pada waktu t. 10) P n-1 (t) = probabilita ada (n-1) spp dalam waktu sistem antrian pada waktu t. 11) Pn (t + ▲t) = probabilita bahwa ada n spp dalam sistem antrian pada waktu (t + ▲t). Catatan: Kata antrian atau barisan mempunyai arti yang sama. Untuk menyederhanakan simbol Pn (t) = Pn’ asal kita tahu bahwa yang kita bicarakan waktu t. Agar dapat menghitung Pn (t) atau pn’ kita harus mencari rumusnya, artinya menyatakan Pn (t) dalam λ dan u serta po’. Apabila n > 0, kejadian (event) bahwa akan ada n spp dalam sistem antrian pada waktu (t + ▲t) dapat terjadi di dalam empat cara yang mutually exclusive and exhaustive, artinya saling meniadakan, kalau yang satu sudah terjadi, yang lainnya pasti tidak akan terjadi, perhatikan tabel dibawah ini: Kejadia n Prob. Adanya n spp dalam antrian pada waktu t Kedatangan dalam interval t s/d t + ▲t Spp yang dilayani dalam interval t s/d t + ▲t Spp dalam antrian pada waktu t s/d t + ▲t 1 Pn 0 0 n 2 P n+1 0 1 n 3 P n-1 1 0 n 4 Pn 1 1 n Oleh karena hanya ada satu kejadian dari kemungkinan sempat kejadian yang harus terjadi, kita memperoleh ekspresi untuk Pn (t + ▲t), di mana n > 0, dengan jalan menjumlahkan nilai probabilita untuk setiap kejadian yang terpisah tersebut di atas, yaitu:
  • 73.
    RISET OPERASI &T.P KEPUTUSAN Pn (t + ▲t) = Pn (t) (1 - λ▲t) (1 - u▲t) + Pn+1 (t) (1 - λ▲t) u ▲t + Pn-1 (t) (1 – u▲t) λ▲t + Pn (t) λ▲t. u▲t = Pn (t) 1 - λ▲t – u▲t) + Pn+1 (t) u▲t + Pn-1 (t) λ▲t + (▲t)1 + (▲t)2 + (▲t)3 + ▲t)4 Di dalam ekspresi ini, (▲t) 1’, (▲t)2’, (▲t)3’, (▲t)4’, merupakan suku-suku dengan pangkat yang tinggi bagi ▲t. Apabila ▲t mendekati nol, suku-suku ini nilainya kecil sekali sehingga bisa diabaikan. Dengan demikian ekspresi di atas menjadi lebih sederhana yaitu menjadi Pn (t + ▲t) = Pn (t) (t - λ▲t - u▲t) + Pn+1 (ty) u▲t + Pn-1 (t) λ▲t, sehingga dibagi dengan ▲t, kita peroleh bentuk: Pn (t + ▲t) – Pn (t) = - (λ + u) Pn (t) + u Pn+1 (t) + λPn-1 (t) ▲t Berdasarkan definisi turunan dari Pn terhadap t: dPn (t) = lim Pn (t+▲t) – Pn (t) dt ▲t 0 ▲t n > 0 Ini merupakan persamaan diferensial yang menghubungkan Pn’ Pn+1 dan Pn-1 pada waktu t, rata-rata tingkat kedatangan dan rata-rata tingkat pelayanan U. Apabila n = 0, akan terjadi dua kejadian yang saling meniadakan (nutually exclusive), yaitu sebgai berikut: Kejadian 1: Nol spp pada waktu t, tidak ada kedatangan selama waktu t sampai dengan t + ▲t dan nol spp dalam waktu t sampai dengan t + ▲t (spp = satuan penerimaan pelayanan). dPn (1) = - (λ + u) Pn (t) + u Pn+1 (t) + λPn-1 (t) dt
  • 74.
    RISET OPERASI &T.P KEPUTUSAN Kejadian 2: Satu spp pada waktu t, tidak ada kedatangan selama waktu t sampai dengan t + ▲t dan satu spp dilayani dalam waktu t sampai dengan t + ▲t dan nol spp dalam waktu t sampai dengan t + ▲t. 6.2.1 Saluran Tunggal Dengan Biaya Pelayanan Yang Minimum: Saluran sistem antrian menjadi topik yang menarik sebab dalam beberapa hal yang sering terjadi ketidak seimbangan. Mungkin terjadi suatu antrian yang panjang (long queue) yang mengakibatkan spp (langganan) harus menunggu lama untuk memperoleh giliran dilayani atau mungkin tersedia fasilitas pelayanan yang berlebihan (melebihi dari pada yang seharusnya), yang mengakibatkan fasilitas tersebut tidak dapat dimanfaatkan sepenuhnya (under utilized). Bagaimanapun juga kita lebih tertarik kepada keseimbangan ekonomi (economic balance) dalam sistem antrian, yaitu keseimbangan antara jumlah biaya untuk memberikan pelayanan dan biaya yang harus ditanggung oleh langganan (spp = satuan penerimaaan pelayanan) berupa waktu yang terbuang karena harus menunggu lama untuk menerima pelayanan. Apabila proses antrian sifatnya internal dalam suatu organisasi, misalnya seorang ahli mesin menunggu untuk melayani mesin yang rusak dalam suatu toko, Kalau seandainya biaya yang ditanggung langganan dan biaya yang diperlukan untuk pemberi pelayanan, semua ditanggung oleh perusahaan (organisai), tujuan dari perusahaan mungkin membuat biaya total harus minimum (minimize cost). Jumlah biaya yang diharapkan merupakan penjumlahan dan biaya tunggu yang diharapkan bagi kedatangan per periode (WC = Waiting Cost) dan biaya fasilitas yang diharapkan (FC = Facility Cost) untuk pemberian pelayanan per periode. Ungkapan ini bisa dirumuskan secara matematois, di mana m = mean = rata-rata, yaitu sebagai berikut:
  • 75.
    RISET OPERASI &T.P KEPUTUSAN Jumlah Biaya Biaya Pelayanan Biaya Menunggu Tingkat Pelayanan SMU = Satua Mata uang Gambar 6.3 (Tingkah laku biaya dalam system antrian) 6.3 MODEL ANTRIAN SALURAN GANDA: Teori antrian saluran ganda (multi channel queuing theory) ialah teori di mana beberapa tempat pelayanan sebanyak k dipasang secara parallel (misalnya ada 5 loket), dan setiap elemen atau spp antrian atau barisan dapat dilayani oleh lebih dari satu tempat pelayanan. Setiap fasilitas pelayanan mempunyai mutu pelayanan yang sama, dilengkapi dengan fasilitas yang sama pula. Spp atau satuan penerima pelayanan memilih satu tempat pelayanan (loket tertentu) tanpa adanya tekanan dari luar (external pressure). Kalau suatu antrian atau barisan (queuing or waiting line) sudah dibentuk, antrian yang mula-mula panjang pecah menjadi beberapa antrian yang pendek berdiri berjejer di depan tempat pelayanan. 6.3.1 Kedatangan Mengikuti Poisson Dalam Saluran Ganda Dengan Tingkat Pelayanan Eksponensial: Di dalam sistem antrian saluran ganda, ada beberapa tempat pelayanan parallel sebanyak k, di mana keadaan sistem, khususunya ada n spp dalam sistem pada suatu waktu tertentu. Dapat mengasumsikan untuk mengambil dua nilai (1) tidak ada antrian sebab semua spp yang berdatangan sedang menerima pelayanan di tempat pelayanan (di depan loket), dalam hal ini (n < k), atau (2) terjadi pembentukan suatu
  • 76.
    RISET OPERASI &T.P KEPUTUSAN antrian sebab pelayanan yang diminta oleh spp yang berdtaangan lebih besar dari kemampuan tempat pelayanan untuk melayani, dalam hal ini (n > k). Dalam hal (1) tidak ada persoalan, sedangkan dalam hal (2) terjadi persoalan. Faktor utilisasi = pk untuk seluruh sistem merupakan probabilita bahwa suatu tempat pelayanan tertentu sedang melayani spp, yaitu merupakan rasio antara rata- rata tingkat kedatangan (mean arrival rate) dan tingkat kemungkinan pelayanan yang maksimum u, untuk semua saluran sebanyak k, dinyatakan dalam rumus sebagai berikut: 6.3.2 Model Antrian Yang Lain : Dalam hal ini hanya dibahas satu model yaitu model dengan kedatangan menurut poisson dan waktu pelayanan distribusi Erlang. Model kedatangan menurut Poisson dan waktu pelayanan menurut Distribusi Erlang yaitu sebagai berikut: Distribusi Erlang g (t;u,k) didefinisikan sebgai berikut: Dan pada umumnya: pk = λ_ ku a) g (t; u, 1) = C1 e-1 ut b) g (t: u, 2) = C2t e-2 ut c) g (t; u. 3) = C3t2 e-3 ut g ( t; u, k) = Cktk-1 e-k ut
  • 77.
    RISET OPERASI &T.P KEPUTUSAN Oleh karena setiap anggota family merupakan fungsi kepadatan (density function) dalam range 0 < t < ~, bilangan konstan Ck harus ditentukan sedemikian rupa sehingga integral dari fungsi yang bersangkutan sebesar satu (unity). Nilai Ck ialah: C1 = u C2 = 4u2 C3 = 27 u3 dan pada umumnya Ck = (ku)k 2 (k-1)! Distribusi Erlang mempunyai sifat-sifat yang sangat menarik. Rata-ratanya (mean) sebesar 1/u. Nilai modus (mode) terletak pada t = 0 untuk k = 1, yaitu pada t = 1/2u untuk k = 2 dan pada umumnya nilai modus terletak pada t, di mana t sebagai berikut: t = k - 1 ku Contoh: Perbaikan suatu jenis mesin bubut memerlukan 4 tahapan. Waktu yang diperlukan untuk melaksanakan setiap tahapan mengikut distribusi eksponensial dengan suatu rata-rata sebesar 10 menit dan independen atau bebas terhadap tahapan lainnya. Kerusakan mesin mengikuti proses Poisson, dengan rata-rata terjadi 3 kerusakan per jam. (1) Berapa rata-rata waktu menganggur (expected idle time) dari mesin rusak yang memerlukan perbaikan, dengan anggapan bahwa hanya ada 1 tenaga, mekanis dalam bengkel. (2) Berapa rata-rata waktu menunggu dalam antrian bagi mesin rusak yang memerlukan perbaikan. (3) Berapa rata-rata banyaknya mesin rusak dalam antrian. Jawaban: λ = 3 per jam, u = 6 per jam, sebab ada 1 dalam 10 menit. s = 4, sebab ada 4 tahapan yang harus diselesaikan.
  • 78.
    RISET OPERASI &T.P KEPUTUSAN Dengan menggunakan model dari Erlang. (1) Rata-rata waktu mesin rusak yang perlu perbaikan harus menunggu dalam sistem (average idle time): E(v) = s + 1 λ___ + 1 2s u(u- λ) u = _ 5_ . _3_ + 1 = 5_ + 1_ = 13 jam = 16,25 menit 2(4) 6(3) 6 48 6 48 (average time spent by a customer in the system) (2) Rata-rata waktu menunggu dalam antrian bagi mesin rusak yang memerlukan perbaikan: E(w) = s + 1 λ___ 2s u(u- λ) = 5 . 3 = 5 jam = 6,25 menit 2(4) 6(3) 48 (average waiting time of the machine in the queue) (3) Rata-rata banyaknya mesin rusak dalam antrian: E(m) = s + 1 λ2___ 2s u(u- λ) = 5 . 3(3) = 5 = 0,3 jam = 18 menit 2(4) 6(3) 48
  • 79.
    RISET OPERASI &T.P KEPUTUSAN BAB VII MODEL PENGENDALIAN PERSEDIAAN 7.1 FUNGSI DASAR PERSEDIAAN DAN KEPUTUSAN MENGENAI PERSEDIAAN Sekitar tahun 1915, seorang bernama F.W. Harris telah mengembangkan suatu persamaan tentang economic lot size yang meminimumkan jumlah biaya persediaan (terdiri dari inventory carrying and set up cost) di mana jumlah permintaan diketahui dan konstan. Untuk pengamanan persediaan harus disediakan apa yang disebut buffer stock, hal ini untuk mencegah terjadinya kekurangan (shortages). Fungsi dasar persedian (inventory) meliputi beberapa kegiatan secara berurutan seperti pembelian, pengolahan dan penyaluran, di mana kegiatan-kegiatan bisa independent atau bebas satu sama lain. Proses atau gerakan persediaan atau inventory sering disebut pipa stok (pipeline stocks). Keputusan mengenai besarnya persediaan menyangkut dua kepentingan, yaitu kepentingan pihak yang menyimpan dengan pihak yang memerlukan barang, sebut saja langganan (consumer) atau satuan penerima pelayanan (spp). Keputusan itu bisa dikategorikan menjadi dua sebagai berikut: (1) Waktu pada saat pemesanan barang masuk, monstan (fixed) dan jumlah barang yang dipesan harus ditentukan. (2) Keduanya, yaitu jumlah pesanan dan waktu pesanan (order quantity and time) harus ditentukan. Pendekatan terhadap kedua keputusan tersebut, salah satu cara ialah memesan barang dalam jumlah yang banyak untuk memperkecil biaya pemesanan (minimize ordering cost). Cara lain ialah memesan dalam jumlah kecil untuk memperkecil biaya penyimpanan persediaan (carrying cost). Tindakan yang paling baik dinyatakan dalam laba (profit) dan return on total assets adalah suatu kompromi antara dua hal yang sangat ekstrem ini.
  • 80.
    RISET OPERASI &T.P KEPUTUSAN 7.1.1 Biaya Persediaan (Inventory Cost): Suatu keputusan yang optimum ialah keputusan yang meminimumkan jumlah biaya yang berhubungan dengan persediaan atau inventory. (1) Biaya untuk memperoleh barang (ordering cost) melalui pembelian (purchasing) atau mengolah (manufacturing or set up cost). Hal ini merupakan biaya tetap per lot, tetapi biaya variabel per unit atau satuan barang. (2) Biaya penyimpanan satu satuan (unit) barang dalam persediaan (holding cost), yang meliputi antara lain biaya menyimpan, biaya penyimpanan, biaya kerusakan, biaya asuransi, pajak, dan lain sebagainya. (3) Biaya kekurangan (cost of shortage) meliputi biaya yang disebabkan karena keterlambatan di dalam memenuhi permintaan atau ketidakmampuan untuk memenuhinya sama sekali, karena kehabisan stok misalnya. 7.1.2 Konsep Tingkat Rata-Rata Persediaan: Sebelum mengembangkan model economic lot size inventory, perlu dibuat asumsi tentang pembelian suatu barang tunggal (single item) persediaan. Pertama, permintaan untuk barang pada tingkat yang konstan (a constant rate) dan sudah diketahui sebelumnya. Kedua, waktu tunggu (lead time), yaitu lamanya waktu antara menyampaikan pesanan sampai diterima barangnya, juga diketahui. Misalkan Q = jumlah pesanan. Kemudian dapat dilihat pada Gambar 10.1 ahwa jumlah barang dalam persediaan sama dengan Q ketika setiap pesanan baru secara fisik diterima di dalam persediaan. Karena barang-barang tersebut dipergunakan, maka lambat laun akan berkurang dan mencapai nol, pada saat pesanan baru datang lagi Jumlah Pesanan Q/2 Persediaan 0 4 8 12 Rata-Rata
  • 81.
    RISET OPERASI &T.P KEPUTUSAN Gambar 7.1 (Tiga Pesanan Per Tahun) Jumlah Pesanan Q/2 Persediaan Rata-rata 0 2 4 6 8 10 12 Gambar 7.2 (Enam Pesanan Per Tahun) Lihat garis yang miring, menunjukkan menipisnya barang persediaan). Dapat dilihat bahwa rata-rata persediaan (average inventory) = Q/2, yaitu sebesar jumlah pesanan (order quantity) dibagi 2. Dalam asumsi ini, pesanan baru dating setelah pesanan sebelumnya sudah habis, mencapai nol, jadi tidak ada sisa (no stockout). 7.2 JUMLAH PESANAN EKONOMIS: Dalam hal ini ada suatu dilema yaitu apabila jumlah pesanan terlalu banyak, biaya penyampaian (pengiriman/transport) sangat mahal/tinggi, tetapi biaya pemesanan rendah atau murah. Sebaliknya, kalau jumlah pesanan kecil, biaya penyampaian sangat murah akan tetapi biaya pemesanan sangat mahal, sebab pemesanan harus sering dilakukan. Jumlah pesanan ekonomis (economic order quantity), dengan singkatan EOQ ialah jumlah pesanan dalam periode tertentu harus sedemikian rupa sehingga (s.r.s) jumlah biaya pesanan (ordering cost) dan biaya penyimpanan (holding cost) harus sama besarnya. Dalam hal ini kita anggap bahwa persoalan dalam keadaan pasti (certainty) dan lagi pula jumlah permintaan dalam periode tertentu tersebut (1 bulan, 2 triwulan atau 1 tahun) sudah diketahui. 7.2.1 Pendekatan Tabel: Cara paling mudah untuk menentukan EQC ialah dengan cara apa yang disebut trial dan error, yaitu mencoba, salah, mencoba lagi dan salah lagi, sampai diperoleh hasil yang diharapkan (sebut saja cara coba-coba). Pendekatan ini menggunakan tabel dan dapat diringkas sebagai berikut: (1) Pilih jumlah tertentu untuk dipesan/dibeli; (2) Tentukan jumlah biaya untuk jumlah pesanan tertentu; dan (3) Pilih jumlah pesanan
  • 82.
    RISET OPERASI &T.P KEPUTUSAN (order quantity) yang jumlah biaya minimum. Biaya dinyatakan dalam satuan mata uang (smu). Sebagai contoh misalnya, untuk keperluan proses produksi selama setahun sebesar 800 satuan. Biaya untuk 1 kali pesan (biaya pemesanan) = 125 smu. Biaya penyimpanan merupakan 20% per tahun dari rata-rata persediaan (average inventory) dan biaya per unit besarnya 100 smu. Untuk 1 peanan, sebanyak 800 unit, rata-rata persediaan sebesar 400, biayanya = 1/5 (400) (100) = 8.000 smu. Untuk 2 pesanan, sebanyak 400 unit per pesanan, rata-rata persediaan sebesar 200 smu, biayanya 1/5 (200) (100) = 4.000 smu Lihat kolom di bawah ini gambar 10.3: Pesanan Per Tahun Jumlah Pesanan (lot size) (Q) Rata-rata Persediaan (Q/2) Biaya Penyimpanan Per Tahun (smu) Biaya Pesanan * (smu) Juiaya Per Tahun (smu) (1) (2) (3) (4) (5) (6) 1 800 400 8.000 125 8.125 2 400 200 4.000 250 4.250 4 200 100 2.000 500 2.500 8 100 50 1.000 1.000 2.000 12 66,7 33,3 667 1.500 2.167 16 50 25 500 2.000 2.500 32 25 12,5 250 4.000 4.250 Gambar 7.3 (Pendekatan Tabel untuk Mencapai EOQ) 7.2.2 Pendekatan Grafik: Suatu grafik bisa digambar berdasarkan data dari tabel 10.3. Pada gambar akan terlihat bahwa biaya penyimpanan semakin meningkat apabila jumlah barang yang dipesan semakin meningkat (lihat garis lurus yang ditarik dari titik asal). Biaya pemesanan semakin mengecil apabila semakin besar jumlah yang dipesan (lihat garis melengkung yang semakin menurun). Terlihat dengan jelas bahwa pada Q = 100,
  • 83.
    RISET OPERASI &T.P KEPUTUSAN jumlah biaya menunjukkan angka yang terkecil yaitu 2.000 smu. Biaya pemesanan = biaya penyimpanan, masing-masing 1.000 smu Smu 9.000 8.000 Jumlah 7.000 Biaya Biaya 6.000 Penyimpanan 5.000 4.000 3.000 2.000 Biaya 1.000 Pemesanan 0 100 200 300 400 500 600 700 800 Banyaknya Gambar 7.4 (Grafik Jumlah Pesanan Ekonomis) Pesanan 7.2.3 Pendekatan Matematis: Dari pendekatan di atas, baik dengan tabel maupun grafik, menunjukkan hasil yang sama yaitu jumlah biaya persediaan (total inventory cost) akan mencapai minimum apabila biaya pemesanan (ordering cost) = biaya penyimpanan (inventory carrying cost). Agar dapat dipergunakan pendekatan matematis, harus dikenal dahulu beberapa konsep dan juga penggunaan simbol atau notasi. Q = Jumlah pesanan ekonomis (economis order quantity) atau jumlah pesanan barang per pesanan agar jumlah biaya minimum. C = Biaya penyimpanan per satuan (unit) barang.
  • 84.
    RISET OPERASI &T.P KEPUTUSAN I = Biaya penyimpanan (inventory carrying cost), dinyatakan sebagai persentase dari nilai rata-rata pesanan, misalnya 20% atau 1/5nya, seperti contoh soal diatas. R = Jumlah permintaan setahun atau jumlah barang yang dibutuhkan dalam setahun. S = Biaya pemesanan per pesanan (ordering cost per order or setup cost per run). Jumlah biaya penyimpanan selama satu periode sama dengan: Rata-rata x Biaya Penyimpanan x Biaya Penyimpanan Persediaan Per unit Barang Sebagai % dari rata- Rata persediaan = Q . C . t 2 Dalam hal ini C1 = Biaya penyimpanan setahun dari 1 satuan (unit) barang. Jumlah biaya pemesanan sama dengan: Banyaknya Pemesanan x Biaya Pemesanan Per Periode Per Pemesanan = R . S Q Jadi, Q . CI = R . S QCI = 2RS 2 Q Q Q2 = 2RS Q 2RS CI CI
  • 85.
    RISET OPERASI &T.P KEPUTUSAN Dan jumlah minimum = 2 R S C I Contoh: Suatu produk dipergunakan dengan kecepatan 4 unit tiap bulan. Biaya penyediaan (set up cost) sebesar 50 smu, sedangkan biaya penyimpanan (carrying cost) sebesar 8 smu per bulan. Hitung jumlah pesanan ekonomi (EOQ) dan jumlah biaya minimum.. Pemecahan : R = 4 S = 50 smu CI = 8 Q = 2RS = 2 (4) (50) = 50 = 7.07 = 7 Unit CI 8 Catatan: Biaya penyimpanan biasanya dinyatakan sebagai persentase rata-rata persahabatan. Jumlah biaya yang minimum: = 2RSI = 2 (4) (50) 8 = 3200 = 56,568 smu 7.2.3 Pendekatan Kalkulus: Dari gambar 7.4, koefisien arah (slope) dari kurva jumlah biaya dapat diperoleh dengan jalan menjumlahkan koefisien arah dari dua kurva yaitu kurva biaya penyimpanan (carrying cost) dan kurva biaya pemesanan (ordering cost). Kalau kita perhatikan koefisien arah kurva biaya penyimpanan positif, sedangkan biaya pemesanan negatif. Ketika nilai Q meningkat pada sumbu horizontal, suatu titik akan tercapai di mana koefisien arah yang negatif akan menurun mencapai nilai yang sama dengan koefisien arah yang positif, hanya saja tandanya berlainan, maka pada waktu itulah koefisien arah jumlah biaya besarnya nol. Di dalam model EOQ, tingkat perubahan untuk jumlah biaya terhadap Q pada waktu mencapai optimum sebesar nol, yaitu pada waktu koefisien arahnya mencapai nol. Dengan menggunakan notasi atau symbol sebelumnya.
  • 86.
    RISET OPERASI &T.P KEPUTUSAN TC = Q CI + R S 2 Q Kita turunkan TC terhadap Q: dTC = CI – RS dQ 2 Q2 Agar diperoleh nilai Q yang optimum, turunan pertama ini harus disamakan dengan nol. CI – RS = 0 CI = RS 2 Q2 2 Q2 Q2 = 2RS CI Q = 2RS CI Dengan nilai Q tersebut, untuk membuktikan bahwa TC minimum, maka turunan kedua harus lebih besar dari nol. d2TC = 2RC, jadi TC memang minimum. dQ Q3 Jumlah pesanan ekonomis, kalau terjadi kekurangan. Persoalan ini sama seperti sebelumnya, kecuali kemungkinan terjadinya kekurangan (shortages). Inventori semacam ini dapat dilihat pada gambar 7.5 S Q t1 t2 t1 t2 t3 t2
  • 87.
    RISET OPERASI &T.P KEPUTUSAN Gambar 7.5 (Keadaan Persediaan Kalau Terjadi Kekurangan) Misalkan S tingkat persediaan (inventory level) pada permulaan setiap periode selama ts (t1 + t2) dan Q jumlah pesanan ekonomis. Selama periode t1 < ts, terjadi kekurangan sebesar Q – S, lihat gambar 7.5. Pengetahuan sederhana mengenai hubungan geometris, akan diperoleh hubungan berikut: t1 = S ts dan t2 = Q – S ts Q Q Rata-rata banyaknya persediaan dalam satuan (unit) selama periode t1 sebesar S/2 jadi: S C1t1 = rata-rata biaya persediaan (average inventory cost) selama periode t1. 2 Demikian juga, rata-rata banyaknya kekurangan barang dalam persediaan sebesar (Q-S)/2 dengan biaya: (Q – S) C2t2 = rata-rata biaya kekurangan (shortage cost) selama periode t2. 2 Di mana C1 = biaya penyimpanan persediaan (holding cost) per satuan barang dan per satuan waktu. C2 = biaya kekurangan per satuan barang dan per satuan waktu. Misalkan R = jumlah permintaan dalam unit, dalam periode T dan Cs = biaya pengadaan per produksi atau per pesanan (operating cost per production rub or per order). Dengan demikian R/Q merupakan banyaknya (seringnya) produksi atau pesanan dilakukan selama periode T. Perlu disebutkan di sini bahwa pengadaan barang bisa melalui kegiatan berproduksi atau melalui kegiatan pemesanan, artinya pihak lain yang memproduksi. Dengan demikian jumlah biaya yang diharapkan (total expected cost) = TC, dapat dihitung dengan menggunakan rumus berikut:
  • 88.
    RISET OPERASI &T.P KEPUTUSAN TC = S C1t1 + Q - S C2t2 + Cs R 2 2 Q Apabila nilai t1 dan t2 dimasukkan dalam persamaan ini, diperoleh persamaan sebagai berikut: TC = S C1 S ts + Q – S C2 Q – S ts + Cs R 2 Q 2 Q Q TC = S2 C1ts + (Q – S)2 C2t2 + C2 R 2Q 2Q Q Sekarang, R/Q = banyaknya pesanan (produksi) selama periode T dan oleh karena ts merupakan selang waktu (time interval) antara dua pesanan, maka: Ts = T = TQ R / Q R Masukan ke persamaan (*): TC = S2 . C1 TQ + (Q – S)2 Cs TQ + Cs R 2Q R 2Q R Q TC = S2C1T + (Q – S)2 C2T + CSR 2Q 2Q Q Dari persamaan ini jelaslah bahwa TC merupakam fungsi dari Q dan S. Jadi TC = f (Q, S). Untuk memperoleh nilai optimum bagi Q dan S, TC harus diturunkan secara parsial dua kali, mula-mula terhadap Q kemudian terhadap S dan menyamakannya dengan nol.
  • 89.
    RISET OPERASI &T.P KEPUTUSAN ∂TC = S2 C1T + 4Q (Q – S) – 2 (Q – S)2 C2T - CsR = 0 ∂Q 2Q2 4Q2 Q2 ∂TC = SC1T - (Q – S)C2T = 0 ∂S Q Q Setelah disederhanakan kita peroleh ekspresi sebagai berikut: S = Q C2 dan Q2 C2 - (C1 + C2) S2 = 2CSR C1 + C2 T Dengan memecahkan kita peroleh ekspresi sebagai berikut: Q = 2RCs C1 + C2 TC1 C2 S = 2RC2 C2 TC1 C1 + C2 Jadi, ts = TQ = 2TCs C1 + C2 R RC1 C2 Dan TC Optimum = 2TRC1Cs C2 C1 + C2
  • 90.
    RISET OPERASI &T.P KEPUTUSAN 7.3 POTONGAN HARGA UNTUK PEMBELIAN JUMLAH BESAR: Membeli dalam jumlah banyak, memang ada baik dan buruknya. Kebaikannya, antara lain biaya per unit barang relatif lebih murah, biaya pemesanan jauh lebih murah, kemungkinan kekurangan stock sehingga mengecewakan para calon pembeli kecil sekali, dan yang tidak kalah pentingnya biaya angkutan (transportation cost) menjadi lebih murah karena tidak terlalu sering. Akan tetapi, tentu saja ada juga kelemahannya, yaitu antara lain biaya penyimpanan menjadi lebih mahal, banyak modal yang harus diinvestasikan, besar kemungkinan barang menjadi rusak (kurang perawatan) dan karena banyaknya stock relatif lebih banyak dibandingkan dengan permintaan, menyebabkan stock barang menjadi tua. Mari kita pelajari apa komplokasi dengan adanya potongan pembelian atau quantity discount. 7.3.1 Pendekatan Perbandingan Biaya: Anggaplah bahwa permintaan dan waktu tunggu penyediaan (acquisition lead time) tetap atau konstan dan diketahui. Pendekatan yang pertama ialah dengan membandingkan biaya pada tingkat jumlah pesanan ekonomis (economic order quantity) dengan biaya yang telah memperhitungkan potongan (discount). Rumus untuk jumlah biaya persediaan (total inventory cost) ialah sebagai berikut: (TC) = RC + Q CI + R S 2 Q Di mana: (TC) = Jumlah biaya persediaan setahun. R = Jumlah permintaan barang. C = Biaya per unit barang (biaya bisa berarti harga, kalau barang harus dibeli). I = Biaya penyimpanan sebagai presentase dari rata-rata persediaan (carrying cost) merupakan tertentu dari biaya atau harga per unit barang. S = Biaya pemesanan per pesanan (set up cost). Contoh:
  • 91.
    RISET OPERASI &T.P KEPUTUSAN Bila R = 100 unit/tahun, A = 5 smu, K = 2,5 smu/unit I= 16% per tahun. Perusahaan menawarkan diskon sebagai berikut: a) 5% apabila sebanyak 100 unit barang dibeli. b) 10% apabila sebanyak 3.000 unit dibeli. Persoalannya ialah apakah tawaran diskon tersebut akan diterima dan apabila diterima, tawaran manakah yang diterima? Pemecahannya: 2AR, C = KI q* = C = 2(5)(100) = 50 Unit 0,16(2,5) Untuk D = 0,05 (5%), maka penghematan: DKR = (0,05) (2,5) (100) = 12,5 smu. Kenaikan biaya: = IK (q – q*) – AR 1 – 1 2 q* q = (0,16) (2,5) (100-50) – 5 (100) 1 - 1 = 5 smu 2 50 50 Oleh karena besarnya penghematan (saving) lebih besar dari kenaikan biaya, maka tawaran diskon ini sebaiknya diterima. Selanjutnya, kalau D = 0,10 dan q = 300 unit. Besarnya penghematan (saving): DKR = (0,10) (2,5) (100) = 25 smu. Kenaikan biaya: = IK (q1 – q*) – AR 1 - 1 2 q* q1
  • 92.
    RISET OPERASI &T.P KEPUTUSAN = (0,16) (2,5) (300 – 50) – 5 (100) 1 1 2 50 100 = 50 – 8,33 = 41,67 smu Untuk tawaran ini, yaitu diskon 10% bahkan terhadap EOQ, biaya lebih besar, jadi tawaran tidak diterima. 7.3.2 Pendekatan dengan Price Break: Pendekatan pada sub bab di atas berlaku hanya pada kasus dengan satu diskon. Hal ini dapat diperluas dengan menentukan jumlah pesanan ekonomis di mana terjadi successive discount seandainya pemesan atau pembelian semakin membesar. Pemberian diskon lebih dari satu macam ini disebut price-break, yaitu pemotongan atau diskon yang besar kecilnya ditentukan oleh besar kecilnya pemesanan atau pembelian. 7.4 SISTEM PENGENDALIAN PERSEDIAAN: Situasi persediaan (inventory) yang pasti pada dasarnya tidak ada, sebaliknya yang ada ialah keadaan yang tidak pasti. Waktu menunggu permintaan dan penyediaan barang pada umumnya berfluktuasi, yaitu menunjukkan gerakan naik turun sehingga sukar untuk diramalkan. Di dalam situasi pada saat kedua hal tersebut konstan dan diketahui, model persediaan sebelumnya memberikan hasil pemecahan yang optimum. Ini berarti sulit sekali dalam prakteknya untuk mengetahui secara pasti kapan dan berapa jumlah permintaan. Besarnya permintaan barang bisa lebih besar atau lebih kecil dari perkiraan semula karena adanya berbagai faktor, baik internal maupun eksternal. Begitu juga waktu tunggu sampai tersedianya barang (acquisition lead time) bisa berbeda, kadang- kadang lama, sebab hal ini tergantung kepada supplier yang mungkin mengalami kesukaran dalam proses produksi atau pengangkutan. Di dalam hal permintaan tidak dapat dipenuhi karena tidak tersedianya persediaan, maka dikatakan terjadi shortage atau stock out. Situasi semacam ini bisa menimbulkan merosotnya keuntungan atau bahkan dapat menimbulkan kerugian. Gambar 7.7 menunjukkan adanya situasi di mana permintaan tidak dapat dilayani
  • 93.
    RISET OPERASI &T.P KEPUTUSAN karena terjadi kekurangan stok. Dengan adanya permasalahn ini kemudian dikembangkan suatu inventory system untuk mengatasinya, khususnya kalau permintaan atau waktu tunggu persediaan atau keduanya berfluktuasi. Pesanan Diterima Waktu Memesan Jumlah Persediaan Stock Habis Waktu Waktu Menunggu Gambar 7.6 (Tingkat Persediaan Yang Menimbulkan Stock Out) 7.4.1 Sistem Persediaan Kontinu: Dalam sistem persediaan yang kontinu (perpetual inventory system), jumlah pesanan kembali (reorder) ditetapkan sebesar tingkat EOQ akan tetapi frekuensi pemesanan bervariasi tergantung kepada frekuensi dalam konsumsi. Pada saat persediaan mencapai suatu titik/tingkat minimum, terkenal dengan nama reorder point suatu pesanan sebesar EOQ yang tetap, ditentukan. Reorder point atau saat pesanan yaitu suatu titik dalam waktu pada saat ditentukan besaranya pesanan untuk menggantikan persediaan yang dipergunakan. Jadi, ada dua variabel yang sangat penting, yaitu usage dan lead time. Artinya, jumlah persediaan yang dipergunakan dan waktu tunggu datangnya barang sebagai pengganti barang persediaan yang dipergunakan. Kedua variabel ini sangat menentukan dalam penentuan saat pesanan.
  • 94.
    RISET OPERASI &T.P KEPUTUSAN Saat pesanan (r) dihitung dengan jalan mengalikan usage sebesar U yang dinyatakan dalam jumlah unit per hari dengan waktu tunggu dalam hari. Akan tetapi, saat pesanan ini harus disesuaikan guna menampung stock out dengan jalan menambah stok pengaman atau penyelamat (buffer or safety stock) sebesar B, jadi r = U(k) + B Agar diperoleh stok pengaman yang optimum harus ada keseimbangan antara jumlah biaya penyimpanan dengan biaya karena stock out. Untuk mencapa jumlah stok pengaman yang optimum akan dipergunakan konsep probalita untuk nilai kemungkinan. Persediaan WP WP WP Win Sp Waktu Gambar 7.7 (Sistem Persediaan Yang Kontinu) Keterangan : WP = Waktu Pemesanan Sp = Stock Pengaman Win = Waktu Tunggu Yang Normal Sistem persediaan yang kontinu atau terus menerus sering disebut fixed order quantity system atau reorder point inventory system, seperti dapat dilihat pada gambar 7.7 Contoh soal: Agar dapat diperoleh nilai perkiraan probalita untuk berbagai jumlah barang yang diminta/dipergunakan selama periode pemesan kembali, perlu dianalisis catatan- catatan persediaan masa lampau. Sebagai contoh, perhatikan suatu perusahaan yang telah menemukan besarnya EOQ sebesar 250 unit dengan rata-rata penggunaan per
  • 95.
    RISET OPERASI &T.P KEPUTUSAN hari sebesar 5 unit. Waktu tunggu untuk pembelian barang yang akan dipergunakan sebesar 20 hari. Berdasarkan data tebel, perusahaan dapat memesan kembali 250 unit kalau tingkat stok tinggal 100 unit yaitu rata-rata penggunaan per hari (5) dikalikan dengan waktu tunggu (20 hari), tetapi akan mengalami kekurangan (out of stock) sebesar 18% setiap saat (0,10+0,05+0,03). Apa yang harus diperbuat oleh pimpinan perusahaan dengan adanya stock out sebesar 18% agar jumlah biaya persediaan minimum. Misalkan selanjutnya rumus EOQ menunjukkan bahwa 6 kali pesanan dalam satu tahun sudah optimum. Biaya terjadinya kekurangan stok untuk setiap tingkat dapat dibaca pada gambar 7.9 Stock Pengama- nan Probabilita Ke- Kurangan Stock Banyaknya Kekurangan Harapan Biaya *) Tahunan Probabilita Pengguna- an 0 0,10 Kalau digunakan 105 5 5 (0,10) (30) (6) = 90 0,05 Kalau digunakan 110 10 10 (0,05) (30) (6) = 90 0,03 Kalau digunakan 115 15 15 (0,03)(30)(60) = 81 261 5 0,05 Kalau digunakan 110 5 (0,05)(30)(6) = 45 0,03 Kalau digunakan 115 10 10 (0,03)(30)(6) = 54 99 10 0,03 Kalau digunakan 115 5 5 (0,03) (30) (6) = 27 27 15 nol nol Nol Gambar 7.9 (biaya Karena Kekurangan Stock)
  • 96.
    RISET OPERASI &T.P KEPUTUSAN Langkah terakhir adalah menghitung biaya penyimpanan (carrying cost). Misalkan biaya penyimpanan setiap barang (item) per tahun sebesar 6 smu.Tabel dibawah ini memberikan jumlah biaya stock pengaman. Stock Pengawasan Biaya Kekurangan (smu) Biaya Penyimpanan tahunan (smu) Jumlah biaya (smu) 0 261 0 261 5 99 5 x 6 = 30 129 10 27 10 x 6 = 60 87 15 0 15 x 6 = 90 90 Gambar 7.10 ( Jumlah Biaya Stock Pengamanan) Ternyata dari tabel jumlah biaya terkecil 87 smu, untuk stok pengaman sebesar 10 unit. Jadi, pemesanan kembali sejumlah 100 unit harus ditambah lagi dengan stok pengaman sejumlah 10 unit, dengan demikian pemesanan harus diperbarui sejumlah 110 unit. 7.4.2 Sistem Inventory Periodik: Didasarkan atas penetuan suatu periode yang tetap dalam periode mana inventory ditinjau (reviewed). Tergantung pada tipe atau penggunaan barang, periodisitas untuk peninjauan mungkin mingguan, bulanan, triwulanan atau tahunan. Periode yang optimal didasarkan atas rumus: Q/u = t0 Pada setiap periode peninjauan, suatu pesanan dilakukan untuk suatu jumlah yang sama dengan selisih antara suatu tingkat penggantian yang tetap dan tingkat invetori sesungguhnya. Jadi jumlah pesanan berubah-ubah, merupakan variabel. Sebagai contoh misalnya, jumlah pesanan ini harus lebih besar dari biasanya kalau jumlah permintaan lebih besar dari nilai ekspektasi (harapan) dan akan lebih kecil dari biasanya kalau permintaan lebih sedikit dari ekspektasi. Akan tetapi periode peninjauan konstan dalam system inventori ini. Tingkat penggantian (S) dihitung berdasarkan rumus:
  • 97.
    RISET OPERASI &T.P KEPUTUSAN S = u(k + t0) + B Jumlah Pemesanan X1 = S – Tingkat Persediaan Pada Periode Pinjaman X3 X1 X2 Titik Titik Peninjauan Peninjauan Waktu Tunggu Titik Sp Peninjauan t0 t0 t0 Waktu Gambar 7.11 Menunjukkan beroperasinya sistem inventori periodik ini. Keterangan: SP = Stock Pengaman Di dalam sistem peninjauan yang periodik, investasi ditinjau pada periode tertentu sehingga tidak ada fleksibilitas di dalam periode pemesanan. Jadi fluktuasi dalam jumlah permintaan diatasi dengan adanya stok pengamanan. 7.4.3 Sistem Penggantian Opsional: Ada kelas sistem pengawasan inventori lainnya yang dikenal dengan optimal replenishment system. Sistem ini merupakan kombinasi system inventori yang periodik
  • 98.
    RISET OPERASI &T.P KEPUTUSAN dengan feature dasar sistem jumlah inventori tetap. Sistem penggantian opsional berguna pada situasi ketika biaya untuk peninjauan inventori sangat mahal atau biaya pemesanan juga sangat tinggi. Seandainya catatan yang terus-menerus tidak dapat dipetahankan karena mahalnya biaya, maka peninjauan secara periodik dapat dilakukan. Pada saat peninjauan kembali (review), inventori yang ada dibandingkan dengan s dan S. Apabila tingkatannya lebih rendah dari s, suatu pesanan dilakukan. Kalau tidak demikian, tidak perlu diadakan pemesanan. Waktu peninjauan juga mempengaruhi titik pemesanan s. Aturan yang disebutkan di atas dapat disingkat sebagai berikut: Lakukan suatu pesanan sejumlah q kalau S0 + q0 < s, di mana; q = S – S0 – q0 S = tingkat (jumlah) penggantian S0 = stok yang tersedia q0 = jumlah kelebihan dibandingkan dengan pesanan sebelumnya s = titik pemesanan kembali (re-order point) Apabila syarat di atas tidak dipenuhi jangan melakukan pemesanan. 7.5 MODEL INVENTORI PROBALISTIK DAN ANALISIS ABC: Sekarang mari kita perhatikan seandainya jumlah permintaan tidak tetap akan tetapi merupakan variabel yaitu berubah-ubah dengan nilai probalita tertentu yang diketahui, baik mengikuti distribusi probalita yang diskret atau kontinu. Adalah mungkin untuk menentukan secara langsung jumlah optimal dari barang-barang untuk stok tanpa melakukan perhitungan kontribusi dari setiap harapan laba. Misalkan: D = Suatu variabel acak (random variable) yang menunjukkan banyaknya barang yang diterima. C1 = Satuan biaya kelebihan pesanan (unit cost of over-ordering, i,e, an opportunity loss associated with each unit left unsold).
  • 99.
    RISET OPERASI &T.P KEPUTUSAN Cs = Satuan biaya kekurangan pesanan (unit cost of under-ordering) I,e, loss due to not meeting the demand). q = Banyaknya barang persediaan (stok). C1 dan Cs merupakan kerugian (opportunity losses) yang disebabkan karena jumlah persediaan kelebihan atau kekurangan sehingga tidak sama dengan jumlah yang diminta. Misalkan selanjutnya kita telah menentukan bahwa tepat sekali kalau persediaan sebesar (q-1) unit. Akan kita pelajari apakah masih perlu untuk menambah lagi. Untuk maksud ini kita harus menghitung expected incremental opportunity loss atau (ΔL)* seandainya tidak ada penambahan atau ada penambahan satu unit. Apabila ada tambahan satu unit ke dalam stok, tambahan ini memang diperlukan seandainya barang yang dibutuhkan sebesar q unit atau lebih. Besarnya nila (ΔL)* kalau tidak menambahkan ke dalam stok barang yang q, adalah sebagai berikut: (ΔL)* = CsPr (D ≥ q) Penambahan satu unit tidak doperlukan kalau jumlah permintaan sebenarnya kurang dari q. Besarnya (ΔL) untuk hal ini sebagai berikut: (ΔL) = C1Pr (D < q) Kalau (ΔL)* > (ΔL), kita harus menambah satu unit dalam stok, sebab keputusan untuk tidak menambah menyebabkan kerugian yang lebih besar dari pada menambah. Dalam hal ini di mana (ΔL)* = (ΔL), pengambil keputusan dalam keadaan indifference, artinya menambah atau tidak barang yang ke q akibat yang ditimbulkan akan sama saja, yaitu: CsPr (D ≥ q) = CiPr (D < q), ingat Pr (D ≥ q) + Pr (D < q) = 1 = C1[1 – Pr (D ≥ q)] = C1 – C1 Pr (d ≥ q) Sekarang mari kita definisikan probalita kritis Pc, sedemikian rupa sehingga Pc = nilai Pr(D ≥ q), kalau (ΔL)* = (ΔL). Untuk mencari Pc, kita peroleh:
  • 100.
    RISET OPERASI &T.P KEPUTUSAN CsPc = C1 – C1Pc → C1Pc + CsPc = C1 Pc = C1 = 1___ C1 + Cs 1+Cs/C1 Kita harus selalu meningkatkan nilai q, banyaknya barang yang masuk persediaan sepanjang Pr (D ≥ q) > Pc. Banyaknya barang secara optimal yang harus distok kemudian sebesar q0 = q yang tebesar sehingga Pr (D ≥ q) > Pc sebab Pr (D ≥ q) = Pc maka tidak menjadi soal (immaterial) apakah kita akan menyimpan sebesar q0 atau q0 – 1. Kita perlu mengetahui nilai C1 dan Cs yang dapat diperoleh sebagai berikut: C1 = C + Ch – V dan Cs = S – C – Ch + Cp 2 Di mana: S = Satuan harga jual (unit selling price) C = Satuan biaya (unit cost price) Ch = Biaya penyimpanan untuk seluruh periode V = Nilai kerusakan (svage value) Cp = Biaya kekurangan (shortage cost) 7.5.1 Analisis ABC: Analisis ABC atau proportionate analysis (ABC merupakan singkatan dari Always Better Control) untuk pertama kali diintroduksikan oleh General Electric Company di Amerika Serikat, beberapa tahun yang lampau. Telah diketemukan bahwa sebagian inventori, lebih kurang 10% merupakan 70% sampai dengan 80% dari nilai inventori yang dipergunakan secara tahunan (annual inventory usage) sedangkan relative kecil, katakan 5% merupakan 70% dari nilai inventori. Tipe penggunaan inventori semacam ini ditunjukkan dalam Gambar 7.12
  • 101.
    RISET OPERASI &T.P KEPUTUSAN 6 Langkah yang harus diperhatikan di dalam analisis ABC: (1) Cari biaya per unit untuk setiap barang yang diproduksi atau dibeli untuk keperluan persediaan (inventory). (2) Cari penggunaan dalam unit untuk setiap barang (selama satu bulan, triwulan atau satu tahun) atau ramalkan penggunaan untuk waktu akan datang. (3) Kalikan biaya per unit dengan penggunaan untuk memperoleh nilai penggunaan netto selama waktu tertentu. (4) Urutkan barang-barang tersebut mulai nilai yang terbesar hingga yang terkecil (lihat tabel 7.12), untuk periode tertentu. (5) Banyaknya barang dan nilainya diakumulasikan dalam presentase (lihat tabel 7.12) (6) Secara kasar, bagi daftar nilai tersebut manjadi 3 kelompok. Kelompok A terdiri dari barang-barang yang presentase penggunaannya tinggi (70% sampai dengan 75% dari nilai penggunaan inventori), kelompok B terdiri dari barang- barang yang presentase penggunaanya medium (meliputi 15 sampai dengan 20% dari nilai penggunaan inventori), dan kelompok C terdiri dari barang-barang yang presentase penggunaanya rendah (merupakan sisanya 10%).
  • 102.
    RISET OPERASI &T.P KEPUTUSAN Presentasi nilai Penggunaan Tahunan 100 C 90 B 80 70 A 60 50 40 30 20 10 Presentase 0 Barang 10 20 30 40 50 60 70 80 90 100 Gambar 7.12 (Klasifikasi Barang Menurut Analisis ABC)
  • 103.
    RISET OPERASI &T.P KEPUTUSAN Sumber: Riset Operasi, Edisi Kelima, Jilid 1, Hamdy A. Taha BAB VIII PENGAMBILAN KEPUTUSAN DALAM RISET OPERASI 8.8 SENI DAN ILMU RISET OPERASI: Riset operasi (Operations Research/OR) berusaha menetapkan arah tindakan terbaik (optimum) dari sebuah masalah keputusan di bawah pembatasan sumber daya yang terbatas. Istilah riset operasi sering kali diasosiasikan hampir secara eksklusif dengan penggunaan teknik-teknik matematis untuk membuat model dan menganalisis masalah keputusan. Pemecahan masalah tidaklah hanya sekedar pengembangan dan pemecahan model-model matematis. Secara spesifik, masalah keputusan biasanya mencangkup faktor-faktor penting yang tidak berwujud dan tidak dapat diterjemahkan secara langsung dalam bentuk matematis. Yang paling utama dari faktor-faktor ini adalah kehadiran unsure manusia dihampir setiap lingkungan keputusan Sebagai sebuah teknik pemecahan masalah, OR harus dipandang sebagai ilmu dan seni. Aspek ilmu terletak dalam penyediaan teknik-teknik matematis dan algoritma untuk memecahkan masalah keputusan yang tepat. Riset Operasi adalah sebuah seni karena keberhasilan dalam semua tahap yang mendahului dan melanjuti pemecahan dari sebuah model matematis sebagian besar bergantung pada kreatifitas dan kemampuan pribadi dari mereka yang menganalisis pengambilan keputusan tersebut. Jadi pengumpulan data untuk pengembangan model, penentuan keabsahan model, dan penerapan dari pemecahan yang diperoleh akan bergantung pada kemampuan pada kelompok operasi riset yang bersangkutan yang menetapkan pada jalur-jalur komunikasi yang baik dengan sumber informasi serta dengan individu yang bertanggung jawab atas implementasi pemecahan yang direkomendasikan.
  • 104.
    RISET OPERASI &T.P KEPUTUSAN 8.9 UNSUR-UNSUR DARI SEBUAH MODEL KEPUTUSAN: Sebuah model keputusan semata-mata merupakan alat untuk “meringkaskan” sebuah masalah keputusan dengan cara yang memungkinkan indikasi dan evaluasi yang sistematis terhadap semua alternatif sebuah keputusan dari sebuah masalah. Sebuah keputusan lalu dicapai dengan memilih alternatif yang dinilai “terbaik” diantara semua pilihan yang tersedia. 8.10 SENI PERMODELAN: Model didefinisikan sebagai sebuah fungsi tujuan dengan batasan-batasan yang diekspresikan dalam bentuk variabel keputusan (alternative) dari masalah tersebut. Sistem nyata yang diasumsikan adalah system yang di abstraksi dari situasi nyata dengan memusatkan perhatian dari identifikasi dari faktor-faktor yang dominan (variable, batasan, dan parameter) yang mengendalikan suatu sistem nyata yang diasumsikan, lalu mengidentifikasikan hubungan yang sesuai dalam system tersebut dalam bentuk tujuan dan sekelompok batasan. Contoh : a) Departemen produksi, jam mesin yang tersedia, pengurutan yang spesifik dari operasi mesin, sediaan barang dalam proses, jumlah produk cacat yang dihasilkan, dan laju inspeksi. b) Departemen penyediaan barng mentah, Sediaan bahan yang ada, laju pengiriman bahan yang dibeli, dan batasan penyimpanan. c) Departemen pemasaran, ramalan penjualan, intensitas kampanye periklanan, kapasitas sarana distribusi, dan pengaruh persaingan. Jika setiap faktor ini ingin dipertimbangkan secara eksplisit dalam sebuah model menentukan tingkat produksi, kita memang dihadapkan dengan sebuah tugas yang sangat sulit. Misalnya kita dapat mempertimbangkan secara eksplisit. Varibel-variabel seperti penggunaan jam mesin, penggunaaan jam tenaga kerja, dan laju inspeksi. Untuk batasan kita bisa masukan kapasitas mesin, batasan atas jam tenaga kerja, batasan atas sediaan barang dalam proses, batasan atas permintaan, dan batasan dalam penyimpanan.
  • 105.
    RISET OPERASI &T.P KEPUTUSAN Definisi sistem “nyata yang diasumsikan” untuk situasi diatas berarti memandang sistem tersebut sebagai sebuah kesatuan. Dalam pertimbangan tertentu, kita dapat melihat bahwa sisi produsen dapat diekspresikan dalam bentuk laju produksi, sementara sisi konsumen dapat diwakili oleh laju konsumsi. Laju produksi adalah fungsi dari faktor-faktor seperti ketersediaan jam mesin, dan tenaga kerja, pengurutan operasi, dan ketersediaan bahan mentah. Demikian pula, laju konsumsi didasari oleh batasan sistem distribusi dan ramalan penjualan. Pada intinya penyederhanaan dari sistem “nyata” menjadi sistem “nyata yang diasumsikan” dilakukan dengan pengelompokan beberapa faktor dalam sistem yang diasumsikan. 8.11 JENIS-JENIS MODEL RISET OPERASI: Berbagai model yang berkaitan dengan sistem nyata yang ada menimbulkan berbagai teknik pemecahan dalam jumlah yang sama. Inilah asal dari berbagai nama yang sudah kita kenal seperti program linier, integer, dinamis, dan non linier yang mewakili berbagai algoritma untuk memecahkan kelompok-kelompok model operasi riset tersebut. Dalam kebanyakan aplikasi operasi riset, diasumsikan bahwa tujuan dan batasan sebuah model dapat diekpresikan secara kuantitatif atau secara matematis sebagai fungsi dari variable keputusan dalam kasus demikian, kita mengatakan bahwa menangani model matematis. Sebuah pendekatan yang berbeda untuk pemodelan sistem (yang kompleks) adalah penggunaan simulasi. Model-model simulasi berbeda dengan model matematis dalam hal bahwa hubungan antara masukan dan keluaran tidak dinyatakan secara eksplisit. Melainkan sebuah model simulasi memecahkan sistem yang dimodel tersebut kedalam modul-modul dasar atau elementer yang lalu dikaitkan satu sama lain dengan hubungan-hubungan logis yang didefinisikan dengan baik (dalam bentuk JIKA/MAKA). Jadi, dengan dimulai dari modul masukan, perhitungan akan bergerak dari satu modul ke modul lainnya sampai sebuah hasil keluaran direalisasikan.
  • 106.
    RISET OPERASI &T.P KEPUTUSAN 8.12 PENGARUH KETERSEDIAAN DATA TERHADAP PERMODELAN: Model berjenis apapun, tanpa bergantung pada kecanggihan dan akurasinya, dapat terbukti hanyalah memiliki sedikit nilai praktis jika tidak didukung oleh data yang andal. Walaupun sebuah model didefinisikan dengan baik, mutu pemecahan model tersebut jelas bergantung pada seberapa baik kita dapat mengestimasi data. Jika estimasi tersebut terdistorsi, pemecahan yang diperoleh walaupun optimum dalam arti matematis, pada kenyataannya dapat bermutu rendah dari sudut pandang sistem nyata. Pengumpulan data pada kenyataannya dapat merupakan bagian paling sulit dari pembuatan sebuah model. Sayangnya, tidak ada peraturan yang dapat disarankan untuk prosedur ini. Sementara pengalaman pemodelan dalam sebuah organisasi bertambah, mereka yang melakukan analisis operasi riset juga dapat mengembangkan alat-alat untuk pengumpulan dan dokumentasi data dengan cara yang berguna untuk proyek-proyek saat ini dan dimasa mendatang. 8.13 PERHITUNGAN DALAM OPERASI RISET: Dalam operasi riset terdapat dua jenis perhitungan yang berbeda yang melibatkan simulasi dan yang berkaitan dengan model matematis. Dalam model simulasi, perhiungan umumnya sangat banyak dan kebanyakan sangat memakan waktu. Tetapi, dalam simulasi kita dapat selalu yakin bahwa hasil yang diinginkan akan diperoleh dengan pasti. Masalahnya semata-mata adalah menyediakan waktu komputer yang cukup. Perhitungan dalam model-model operasi riset matematis, sebaliknya umumnya bersifat iteratif yang dimaksud adalah bahwa pemecahan yang optimal dari sebuah model matematis biasanya tidak tersedia dalam bentuk tertutup, melainkan jawaban akhir dicapai dalam langkah-langkah atau iterasi, dengan setiap iterasi baru membawa pemecahan tersebut lebih dekat dengan pemecahan optimal. Dalam hal ini, mengatakan bahwa pemecahan menyatu secara iteratif ke pemecahan optimal. Tidak semua model operasi riset matematis memiliki algoritma (metode) pemecahan yang selalu menyatu kepemecahan optimal. Terdapat dua alasan untuk kesulitan ini diantaranya : a) Algoritma pemecahan dapat terbukti menyatu kepemecahan optimal, tetapi hanya dalam arti teoritis.
  • 107.
    RISET OPERASI &T.P KEPUTUSAN b) Kompleksitas model matematis dapat membuat perancangan algoritma pemecahan tidak mungkin dilakukan, dalam kasus ini model tersebut tetap tidak dapat dipecahkan secara perhitungan. 8.14 TAHAP-TAHAP STUDI OPERASI RISET: Sebuah studi operasi riset tidak dapat dilakukan dan dikendalikan oleh seorang analis operasi riset saja, walaupun ia adalah seorang seorang ahli permodelan dan teknik-teknik pemecahan model, analis tersebut tidak mungkin merupakan ahli dalam semua bidang dimana masalah operasi riset timbul. Tahap-tahap utama yang harus dilaluyi sebuah kelompok operasi riset untuk melakukan sebuah studi operasi riset mencakup : a) Definisi masalah. b) Pengembangan model. c) Pemecahan model. d) Pengujian keabsahan model. e) Implementasi hasil akhir. Tahap pertama dari studi ini berkaitan dengan definisi masalah, dari sudut pandang riset operasi, hal ini menunjukan tiga aspek utama diantaranya : 1) Deskripsi tentang sasaran atau tujuan dari studi tersebut, 2) Identifikasi alternatif keputusan dari sistem tersebut, dan pengenalan tentang keterbatasan, batasan, persyaratan sistem tersebut. Tahap kedua dari studi ini berkaitan dengan pengembangan model. Bergantung pada definisi masalah, kelompok riset operasi tersebut harus memutuskan model yang paling sesuai untuk mewakili sistem yang bersangkutan. Model seperti ini harus menyatakan ekspresi kuantitatif dari tujuan dan batasan masalah dalam bentuk variable keputusan. Tahap ketiga dari studi ini berkaitan dengan pemecahan model. Dalam model- model matematis, hal ini dicapai dengan menggunakan teknik-teknik optimisasi yang didefinisikan dengan baik dan model tersebut dikaitkan menghasilkan sebuah pemecahan optimal.
  • 108.
    RISET OPERASI &T.P KEPUTUSAN Tahap keempat menunutuk opemeriksaan terhadap keabsahan model. Sebuah model adalah abash jika walaupun tidak secara pasti mewakili system tersebut, dapat memberikan prediksi yang wajar dari kinerja system tersebut. Tahap akhir dari studi ini berkaitan dengan implementasi hasil model yang telah diuji tersebut. Beban pelaksanaan hasil ini terutama berada dipundak para peneliti operasi.
  • 109.
    RISET OPERASI &T.P KEPUTUSAN BAB IX PEMROGRAMAN LINIER FORMULASI DAN PEMECAHAN GRAFIK Keberhasilan sebuah teknik operasi riset pada akhirnya diukur berdasarkan penyebaran penggunaannya sebagai sebuah alat pengambilan keputusan. Sejak diperkenalkan diakhir dasawarsa 1940-an, pemrograman linier (linier programming/LP) telah terbukti merupakan salah satu alat riset operasi yang paling efektif. Keberhasilannya berakar dari keluwesannya dalam menjabarkan berbagai situasi kehidupan nyata dibidang-bidang berikut ini: militer, industri, pertanian, transportasi, ekonomi, kesehatan, bahkan ilmu sosial dan perilaku. Kegunaan pemrograman linier adalah lebih luas dari pada aplikasinya semata- mata. Pada kenyataannya, pemrograman linier harus dipandang sebagai dasar penting untuk pengembangan teknik-teknik operasi riset lainnya, termasuk pemrograman integer, stokhastik, arus jaringan, dan kuadratik. 9.1 MODEL DUA VARIABEL DAN PEMECAHAN GRAFIKNYA: Dalam bagian ini sebuah pemrograman linier sederhana dengan dua variabel keputusan dan memperlihatkan bagaimana model ini dapat dipecahkan secara grafis. Walaupun pemecahan grafik dua dimensi hampir-hampir tidak berguna dalam situasi kehidupan nyata (yang umumnya meliputi ratusan atau ribuan variabel dan batasan), prosedur ini menawarkan peluang yang luar biasa untuk memahami bagaimana proses optimisasi pemrograman linier bekerja. Contoh : Reddy Mikks Company memiliki sebuah pabrik kiecil yang menghasilkan cat, baik untuk interior maupun eksterior untuk didistribusikan kepada para grosir, Dua bahan mentah A dan B, dipergunakan untuk membuat cat tersebut ketersediaan A maksimum adalah 6 ton/hari. Ketersediaan B adalah 8 ton/hari. Kebutuhan harian akan bahan mentah /ton cat interior dan eksterior dirIngkaskan dalam tabel berikut :
  • 110.
    RISET OPERASI &T.P KEPUTUSAN Ton bahan mentah / ton cat Ketersediaan maksimum Eksterior Interior Bahan mentah A 1 2 6 Bahan mentah B 2 1 8 Sebuah survey pasar telah menetapkan bahwa permintaan harian akan cat interior tidak akan lebih dari 1 ton lebih tinggi dibandingkan permintaan akan cat eksterior. Survey tersebut juga memperlihatkan bahwa permintaan maksimum akan cat interior adalah terbatas pada 2 ton/hari. Harga grosir /ton adalah $ 3.000 untuk cat eksterior dan $ 2.000 untuk cat interior. Berapa banayk cat interior dan cat eksterior yang harus dihasilkan perusahaan tersebut setiap hari untuk memaksimalkan pendapatan kotor? 9.1.1 Pengembangan model matematis: Pengembangan model matematis dapat dimulai dengan menjawab ketiga pertanyaan berikut ini : 1) Apa yang diusahakan untuk ditentukan oleh model tersebut? Dengan kata lain, apa variable (yang tidak diketahui) dari masalah tersebut? 2) Apa batasan yang harus dikenakan atas variable untuk memenuhi batasan system yang dimodel tersebut. 3) Apa tujuan (sasaran) yang harus dicapai untuk menentukan pemecahan optimum (terbaik) dari semua nilai yang layak dari variable tersebut? Cara yang efektif untuk menjawab pertanyaan-pertanyaan ini adalah memberikan ringkasan verbal untuk masalah yang bersangkutan. Dalam contoh Reddy Mikks, situasinya dijabarkan sebagai berikut: perusahaan berusaha menentukan jumlah (dalam ton) cat interior dan eksterior yang harus diproduksi untuk memaksimumkan (menaikkan sebanyak mungkin sebagaimana layak) pendapatan
  • 111.
    RISET OPERASI &T.P KEPUTUSAN bruto total (dalam ribuan dollar) sambil memenuhui batasan permintaan dan penggunaan bahan mentah. Kesulitan dasar dari sistem model matematis adalah pertama-tama mengidentifikasikan variabel dan lalu mengungkapkan tujuan dan batasan sebagai fungsi matematis ndari variabel-variabel tersebut. Jadi, untuk masalah Reddy Mikks, kita memiliki yang berikut ini: Variabel, karena kita ingin menentukan jumlah cat interior dan eksterior yang harus diproduksi, variable-varabel dari model ini dapat didefinisikan sebagai berikut: xE= Jumlah ton cat eksterior yang diproduksi setiap hari. xI= Jumlah ton cat interior yang diproduksi setiap hari. Fungsi tujuan, Karena setiap ton cat eksterior dijual; dengan harga $3.000, pendapatan kotor dari penjualan xE ton adalah 3xE ribu dollar. Demikian pula, pendapatan kotor dari xI ton cat interior adalah 2xI ribu dollar. Berdasarkan asumsi bahwa penjualan cat interior dan eksterior adalah independen, pendapatan bruto total menjadi penjumlahan dari kedua pendapatan tersebut. Jika kita menyatakan z untuk mewakili pendapatan kotor total (dalam ribuan dollar), fungsi tujuan tersebut dapat ditulis secara matematis sebagai z=3xE + 2xI. Sasarannya adalah menentukan nilai xE dan xI (yang layak) yang akan memaksimumkan kriteria ini. Batasan, masalah Reddy Mikks mengenakan batasan atas penggunaan bahan mentah dan atas permintaan. Batasan penggunaan dapat diekspresikan secara verbal sebagai berikut : penggunaan bahan mentah < Ketersediaan bahan mentah oleh kedua cat mentah maksimum ini mengarah pada batasan berikut (lihat data untuk masalah ini): xE + 2xl < 6 (bahan mentah A) 2x + xl < 8 (bahan mentah B)
  • 112.
    RISET OPERASI &T.P KEPUTUSAN Batasan permintaan diekspresikan secara verbal sebagai berikut: Jumlah kelebihan cat interior < 1 ton/hari dibandingkan cat eksterior [Permintaan akan cat interior] < 2 ton/hari Secara matematis kedua batasan tersebut diekspresikan secara berturut-turut sebagai berikut: xI – xE < 1 [kelebihan cat interior dibandingkan eksterior] xI < 2 [permintaan maksimum akan cat interior] Batasan implisit (atau “yang harus dimengerti) adalah bahwa jumlah yang diproduksi untuk setiap cat tidak dapat negative (kurang dari nol). Untuk menghindari memperoleh pemecahan seperti itu, kita mengenakan batasan non negativitas, yang secara normal ditulis sebagai berikut xI > 0 (cat interior) xE > 0 (cat eksterior) Nilai-nilai variabel xE dan xI dikatakan merupakan pemecahan yang layak jika memenuhi semua batasan dari model ini, termaksud batasan non negativitas. Model matematis yang lengkap untuk masalah Reddy Mikks sekarang dapat diringkas sebagai berikut:
  • 113.
    RISET OPERASI &T.P KEPUTUSAN Tentukan jumlah cat interior dan eksterior, xI dan xE yang harus diproduksi untuk memaksimumkan z= 3xE + 2xI (fungsi tujuan) Dengan batasan: xE + 2xI < 6 2xE + xI < 8 - xE + xI < 1 (batasan) xI < 2 xE < 0, xI < 0 Apa yang membuat model ini merupakan sebuah program linier? Secara teknis, ini merupakan program linier, karena semua fungsinya (batasan dan tujuan) adalah linier. Linieritas merupakan bahwa sifat proporsionalitas maupun aditivitas dipenuhi. 9.1.2 Pemecahan grafik dari model pemrograman linier: Dalam bagian ini kita akan mempertimbangkan pemecahan model pemrograman linier Reddy Mikks. Model tersebut dapat dipecahkan secara grafik karena hanya memiliki dua variabel. Untuk model-model tiga variabel atau lebih, model grafik tidak praktis. Bagaimanapun juga, kita akan dapat menarik kesimpulan umum dari metode grafik yang akan berfungsi sebagai dasar untuk pengembangan metode pemecahan umum. Langkah pertama dalam metode grafik adalah menggambar ruang pemecahan yang memenuhi semua batasan secara kebersamaan. Gambar 2.1 menunjukan ruang pemecahan yang diisyaratkan. Batasan nonnegativitas xE > 0 dan xI > 0 membatasi semua nilai-nilai yang layak pada kuadran pertama (yang didefinisikan dengan bidang diatas dan disumbu xE dan disebelah kanan dan disumbu xI). Bidang yang ditutup oleh batasan-batasan lainnya ditentukan pertama-tama dengan mengganti (<) dengan (=) untuk setiap batasan, sehingga menghasilkan persamaan garis lurus. Setiap garis lurus digambar bidang (xE, xI) dan bidang dimana setiap batasan berlaku ketika pertidaksamaan tersebut diberlakukan ditunjukan dengan arah panah dari garis lurus yang bersangkutan. Satu cara yang mudah untuk menentukan arah panah tersebut adalah dengan menggunakan tituk asal (0, 0) sebagai titik rujukan. Jika (0, 0)
  • 114.
    RISET OPERASI &T.P KEPUTUSAN memenuhi pertidaksamaan tersebut arah yang layak akan mencakup titik asal tersebut; jika tidak panah itu akan mengarah kesisi yang sebaliknya Untuk menentukan pemecahan optimum (maksimum), kita menggerakan garis pendapatan “ke atas” sampai ke titik dimana setiap kenaikan lebih lanjut dalam pendapatan akan menghasilkan pemecahan yang tidak layak. Gambar 2.2 memperlihatkan bahwa pemecahan yang optimum terjadi pada titik C. Karena C adalah titik potong antara garis 1 dan 2 (lihat gambar 2.1) nilai-nilai xE dan xI di tentukan dengan memecahkan kedua persamaan berikut ini secara bersamaan: xE + 2 xI = 6 2xE + xI = 8 Batasan: 8 – xE + 2xI < 6 7 – 2xE + xI < 8 6 – -xE + xI < 1 5 – xI < 2 4 – xE > 0 3 - xI > 0 2 - 1 – 0 xE 1 2 3 4 5 6 Gambar 9.1 Setiap titik yang berada di dalam atau di garis pembatas ruang layak ABCDEF memenuhi semua batasan dan karena itu mewakili sebuah titik yang layak. Walaupun terdapat sejumlah tak terhingga titik layak dalam ruang pemecahan, pemecahan yang optimum dapat ditentukan dengan mengamati arah ke mana fungsi tujuan z= 3xE + 2xI 5 2 1 3 2 4 6 1 2 2 2 3 2 4 2 5 2 6 2
  • 115.
    RISET OPERASI &T.P KEPUTUSAN meningkat. Gambar 2.2 mengilustrasikan hasil ini. Garis sejajar yang mewakili fungsi tujuan digambar dengan memberikan nilai (sembarang) yang semakin meningkat untuk z = 3xE + 2xI untuk menentukan baik kemiringan maupun arah kemana pendapatan total (fungsi tujuan) meningkat. Dalam gambar 2.2, kita menggunakan z = 6 dan z = 9. xI Fungsi tujuan: maksimumkan z= 3xE + 2xI z= 6 z=9 z=12 2/3 4 – Pemecahan optimum: 3 – xE = 3 1/3 ton 2 – E D C xI = 1 1/3 ton 1 – F B z = 12 2/3 ribu $ A 1 2 3 4 xE Gambar 9.2 Keluaran model Reddy Mikks dengan menggunakan perangkat lunak TORA diberikan dalam gambar 2.3. Keluaran tersebut memberikan ringkasan pemecahan (xE = 3,3333, xI = 1,3333 , dan z= 12,6667)(. Keluaran ini juga memberikan kontribusi setiap variabel individual kepada fungsi tujuan. Bagian kedua dari keluaran dalam gambar 2.3 mendaftarkan batasan dan jenisnya bersamaan dengan nilai slack dan surplus yang berkaitan. Sebuah variabel slack berkaitan dengan batasan (<) dan mewakili jumlah kelebihan sisi kanan dan batasan tersebut dibandingkan sisi kiri. Sebiuah variabel surplus diidentifikasikan dengan batasan (>) dan mewakili kelebihan sisi kiri dibandingkan sisi kanan. *** OPTIMUM SOLUTION SUMMARY *** Title: Reddy Mikks model Final iteration no: 3 Objective value (max) = 12.667 2 14 3 5 6
  • 116.
    RISET OPERASI &T.P KEPUTUSAN Variabel Value Coeft Obj Val Contrib Reduced Cost x1 xE 3.3333 3.0000 10.0000 0.0000 x2 xI 1.3333 2.0000 2.6667 0.0000 Contraint RHS Stack (-) / Surplus (+) Bual Price 1 (<) 6.0000 0.0000 - 0.3333 2 (<) 8.0000 0.0000 - 1.3333 3 (<) 1.0000 3.0000 - 0.0000 4 (<) 2.0000 0.6667 - 0.0000 (Gambar 6.3) 9.1.3 Analisis sensitivitas: Pembahasan dasar: Analisis sensitivitas dirancang untuk mempelajari pengaruh perubahan dalam parameter model pemerograman linier terhadap pemecahan optimum. Analisis seperti ini dipandang sebagai bagian integral dari pemecahan (yang diperluas) dari setiap masalah pemrograman linier. Analisis ini memberikan karateristik dinamis pada model yang memungkinkan seorang analis untuk memepelajari perilaku pemecahan optimum sebagai hasil dari perubahan dalam parameter model. Tujuan akhir dari analis ini adalah untuk memperoleh informasi tentang pemecahan optimum yang baru dan yang dimungkinkan (yang bersesuai dengan perubahan dalam parameter tersebut) dengan perhitungan tambahan yang minimal. Analisis sensitivitas terutama sangat sesuai untuk mempelajari pengaruh variasi dalam koefisien biaya/laba dan dalam jumlah sumber daya yang tersedia terhadap pemecahan optimum. Walaupun perhitungan analisis sensitivitas telah diotomatisasi dalam sebagaian besar perangkat lunak operasi riset (termasuk TORA), pemahaman mendasar tentang bagaimana prosedur ini bekerja adalah sangat penting untuk penerapan hasil-hasilnya sangat berhasil. Dalam bagian ini, kita akan memanfaatkan prosedur grafik untuk menerangkan unsur-unsur dasar dari analisis ini. Gambar 9.3 menggambarkan bahwa pengaruh kenaikan/penurunan dalam cE dan cI adalah rotasi garis yang mewakili z dalam arah yang searah atau berlawanan dengan jarum jam di sekitar titik optimum saat ini C. Gagasannya adalah untuk menentukan kisaran variasi untuk cE dan cI yang akan mempertahankan optimum di titik C. Dengan memeperhatikan gambar 2.4, kita melihat bahwa selama kemiringan z
  • 117.
    RISET OPERASI &T.P KEPUTUSAN tetap berada diantara kemiringan garis CB dan cD, titik C akan selalu menggunakan titik optimum. (ketika kemiringan z bersinggungan dengan CB atau CD, titik C akan selalu merupakan titik optimum. (ketika kemiringan z bersinggungan dengan CB atau CD, optimum alternative akan dihasilkan). Kita dapat menyatakan kondisi ini secara aljabar sebagai berikut : 1 < cE < 2 2 cI 1 Penurunan cE atau kenaikan cI Z = cExE + cixI F A B Kenaikan cE atau penburunan cI Gambar 9.4 Gambar 6.4 memberikan keluaran TORA untuk analisis sensitivitas koefisien tujuan. Hasil tersebut diperlihatkan dalam dua bagian: perubahan tunggal dan perubahan simultan. Kisaran yang berkaitan dengan perubahan tunggal adalah sesuai dengan hasil diatas. Untuk perubahan simultan, harus ditunjukkan bahwa d1 dan d2 didefinisikan sebagai d1 = cE – 3 dan d2 = c1 – 2, yaitu keduanya mewakili jumlah perubahan relatif terhadap koefisien saat ini. Dengan subsitusi ini, kondisi perubahan simultan: 1 < cE < 2 2 cI
  • 118.
    RISET OPERASI &T.P KEPUTUSAN *** SENSITIVITY ANALYSIS*** Objective coefficients - - single changes: Variable Curren Coeff Min Coeff Max Coeff Reduce Cost x1 xE 3.0000 1.0000 4.0000 0.0000 x2 xI 2.0000 1.5000 6.0000 0.0000 Objective Coefisien - - Simultaneous Changes d: Non basic Var Optimality Condition sx3 0,3333 + 0.6667 d2 + -0.3333 d1 >= 0 sx4 1,3333 + -0.3333 d2 + 0.6667 d1 >= 0 Gambar 9.6 9.2 FOPRMULASI PEMROGRAMAN LINIER: Dalam penyajian ini kami menyajikan dua model pemrograman linier. Anda akan melihat bahwa variabel keputusan dalam kedua contoh mudah didefinisikan. Dalam bagian berikutnya, kami menyajikan formulasi lainnya di mana identifikasi dan/atau penggunaan variabel keputusan adalah lebih rumit. Contoh: Sebuah lembaga keuangan, Thriftem Bank, sedang berada dalam proses untuk merumuskan sebuah kebijakan pinjaman yang melibatkan jumlah total uang sebesar $12 juta. Sebagai bank yang memberikan pelayanan lengkap, bank tersebut berkewajiban untuk memberikan pinjaman kepada berbagai nasabah. Tabel berikut ini memberikan jenis-jenis pinjaman, suku bunga yang diberikan oleh bank tersebut, dan probabilitas pinjaman macet sebagaimana diestimasikan dari pengalaman masa lalu Pinjaman macet diasumsikan tidak dapat diperoleh kembali dan karena itu tidak menghasilkan pendapatan bunga. Persaingan dengan lembaga keuangan lainnya di wilayah tersebut mengharuskan bank ini untuk mengalokasikan setidaknya 40% dari dana total untuk pinjaman pertanian dan komersial untuk membantu industri perumahan di wilayah itu, pinjaman perumahan harus setidaknya sama dengan 50% dari pinjaman pribadi, mobil, dan perumahan. Bank tersebut juga memiliki kebijakan tertulis yang
  • 119.
    RISET OPERASI &T.P KEPUTUSAN menyatakan bahwa rasio keseluruhan untuk pinjaman macet atas semua pinjaman tidak boleh lebih besar dari 0,04. Probabilitas Jenis Pinjaman Suku Bunga Pinjaman Macet Pribadi 0,140 0,10 Mobil 0,130 0,07 Rumah 0,120 0,03 Pertanian 0,125 0,05 Komersial 0,100 0,02 Model Matematis: Variabel dari model ini dapat didefinisikan sebagai berikut: x1 = Pinjaman pribadi (dalam jutaan dollar) x2 = Pinjaman mobil x3 = Pinjaman perumahan x4 = Pinjaman pertanian x5 = Pinjaman komersial Tujuan dari Thriftem Bank adalah memaksimumkan pengembalian bersihnya yang terdiri dari selisih antara pendapatan dari bunga dan dana yang terhilang akibat pinjaman macet. Karena pinjaman macet tidak dapat diperoleh kembali, baik pinjaman pokok maupun bunganya, fungsi tujuan dapat ditulis sebagai berikut: Memaksimumkan z = 0,14 (0,9x1) + 0,13 (0,93x2) + 0,12 (0,97x3) + 0,125 (0,95x4) + 0,1 (0,98x5) – 0,1x1 – 0,07x2 – 0,03x3 – 0,05x4 – 0,02x5 Fungsi ini dapat disederhanakan menjadi: Maksimumkan z = 0,026x1 + 0,0509x2 + 0,0864x3 + 0,06875x4 + 0,078x5 Masalah ini memiliki 5 batasan yaitu:
  • 120.
    RISET OPERASI &T.P KEPUTUSAN 1) Dana total x1 + x2 + x3 + x4 + x5 < 12 2) Pinjaman pertanian dan komersial x4 + x5 > 0,4 x 12 Atau x4 + x5 > 4,8 3) Pinjaman perumahan x3 X 0,5 (x1 + x2 + x3) 4) Batas pinjaman macet 0,01x1 + 0,07x2+ 0,0x3 + 0,05x4 + 0,02x5 x1 + x2 + x3 + x4 + x5 5) Non negativitas x1 > o, x2> 0, x3 > 0, x4 > 0, x5 > 0 Keluaran dari model kebijakan bank ini diperlihatkan dalam gambar 2.6 keluaran ini memperlihatkan bahwa hanya pinjaman perumahan dan komersial yang direkomendasikan. Diantara pinjaman-pinjaman lainnya, pinjaman pribadi adalah yang paling tidak menarik, bukan hanya karena pinjaman ini memiliki koefisien tujuan yang terkecil (=0,026), tetapi juga nilai pengurangan biayanya adalah yang tertinggi diantara semua variabel (=0,0604). Pengurangan biaya berarti bahwa “profotabilitas” variabel pinjaman pribadi harus meningkat dengan 0,0604 agar variabel tersebut menguntungkan. Dengan melihat pada harga dual, batasan pertama memperlihatkan bahwa kenaikan sebesar 1 (juta) dollar dalam dana yang dialokasikan akan menaikkan pengembalian bersih Dario semua pinjaman sebesar 00864 (juta) dolar.
  • 121.
    RISET OPERASI &T.P KEPUTUSAN *** OPTION SOLUTION *** Tittle: Bank model Final iteration no: 6 Objective value (max) = 0,9965 Variable Value Obj Coeff Obj Val Contrib Reduced Cost x1 Pers’nl 0.0000 0.0260 0.0000 0.0604 x2 Car 0.0000 0.0509 0.0000 0.0355 x3 Home 7.2000 0.0864 0.6221 0.0000 x4 Farm 0.0000 0.0688 0.0000 0.0092 x5 Comm’l 4.8000 0.0780 0.3744 0.0000 Contraint RHS Slack (-) / Surplus (+) Bual Price 1 (<) 12.0000 0.0000 - 0.0864 2 (>) 4.8000 0.0000 + -0.0084 3 (>) 0.0000 3.6000 + 0.0000 4 (<) 0.0000 0.1680 - 0.0000 *** SENSITIVITY ANALYSIS *** Objective coefficients - - Single Change Variable Current Coeff Min Coeff Max Coefff Reduced Cost X1 Personl 0.0260 - infinity 0.0864 0.0604 X2 Car 0.0509 - infinity 0.0864 0.0355 X3 Home 0.0864 0.0780 infinity 0.0000 X4 Farm 0.0688 - infinity 0.0780 0.0092 X5 Comm.l 0.0780 0.0688 0.0864 0.0000
  • 122.
    RISET OPERASI &T.P KEPUTUSAN Right-hand Side – Single Changes: Contraint Current RHS Min RHS Max RHS Dual Price 1 (<) 12.0000 4.8000 infinity 0.0864 2 (>) 4.8000 0.0000 12.0000 - 0.0084 3 (>) 0.0000 - infinity 3.6000 0.0000 4 (<) 0.0000 - 0.1680 infinity 0.0000 Gambar 9.5 Ini setara dengan tingkat pengembalian tahunan sebesar 8,64% atas investasi. Karena kisaran yang berkaitan adalah (4,8) Pengembalian ini dijamin untuk setiap kenaikan dalam dana yang dialokasikan diatas nilai saat ini sebesar 12 (juta) dollar. Tetapi tingkat pengembalian sebesar 8,64 %. Ini tampaknya rendah terutama karena suku bunga terendah yang dikenakan bank tersebut adalah 10%. Perbedaan ini dapat disebabkan oleh pinjaman macet, yang tidak dapat diperoleh kembali baik pokok maupun bunganya. Pada kenyataannya koefisien tujuan tertinggi dalam model ini adalah 0,0864 (pinjaman perumahan). Cukup menarik, koefisien ini secara kebetulan sama dengan harga dual dari batasan (dana yang dialokasikan). Kesimpulan dari observasi ini adalah bahwa setiap dana tambahan baru pasti akan dialokasikan berdasarkan pemecahan optimum untuk pinjaman perusahaan. 9.3 FORMULASI PEMROGRAMAN LINIER TAMBAHAN: Dalam penyajian ini menyajikan tiga formulasi tambahan yang dicirikan dengan kerumitan sampai tingkat tertentu dalam hal bagaimana variabel-variabel tersebut didefinisikan dan dipergunakan dalam model. Tujuannya, tentu saja memperkenalkan gagasan-gagasan baru dalam pengembangan model. Contoh: Progress City sedang mempelajari kelayakan memperkenalkan sistem bis transit yang akan mengatasi masalah polusi dengan mengurangi perjalanan dalam kota. Studi awal berusaha untuk menentukan jumlah minimum bis yang dapat menangani kebutuhan transportasi. Setelah mengumpulkan informasi yang diperlukan,
  • 123.
    RISET OPERASI &T.P KEPUTUSAN para teknisi kota tersebut melihat bahwa jumlah minimum bis yang diperlukan untuk memenuhi permintaan itu berfluktuasi dengan waktu dalam sehari. Setelah mempelajari data tersebut lebih lanjut, menjadi jelas bahwa jumlah bis yang diperlukan dapat diasumsikan konstan selama interval waktu yang masing-masing adalah 4 jam.. Diputuskan bahwa untuk melakukan pemeliharaan harian yang diperlukan, setiap bis hanya akan beroperasi selama 8 jam berturut-turut dalam satu hari. Reprensentasi Matematis: Kebutuhan model ini adalah menentukan jumlah bis yang dioperasikan selama shift yang berbeda (variabel) yang akan memenuhi permintaan minimum (batasan) sambil meminimumkan jumlah total bis harian yang beroperasi (tujuan). Pemecahan ini hanya dapat diterima jika shift tersebut harus berjalan sesuai dengan jadwal tiga shift yang normal. Tetapi, kemungkinan akan menghasilkan keuntungan jika kita mengijinkan proses optimisasi ini untuk memilih waktu awal “terbaik” untuk sebuah shift. Satu cara yang wajar untuk mencapai hal ini adalah mengijinkan sebuah shift untuk dimulai setiap 4 jam, dengan masing-masing shift berlangsung selama 8 jam berturut-turut. Kita sekarang siap mendefinisikan variabel- variabel: x1 = Jumlah bis yang mulai pada pukul 00.01 x2 = Jumlah bis yang mulai pada pukul 04.01 x3 = Jumlah bis yang mulai pada pukul 08.01 x4 = Jumlah bis yang mulai pada pukul 12.01 x5 = Jumlah bis yang mulai pada pukul 16.01 x6 = Jumlah bis yang mulai pada pukul 20.01 Jadi, model matematis tersebut dapat ditulis sebagai berikut: Minimumkan z = x1 + x2 + x3 + x4 + x5 +x6
  • 124.
    RISET OPERASI &T.P KEPUTUSAN Dengan batasan: x1 + x6 > 4 (00.01 – 04.00) x1 + x2 > 8 (04.01 – 08.00) x2 + x3 > 10 (08.01 – 12.00) x3 + x4 > 7 (12.01 – 16.00) x4 + x5 > 12 (16.01 – 20.00) x5 + x6 > 4 (20.01 – 24.00) xj > 0, j = 1, 2, …, 6
  • 125.
    RISET OPERASI &T.P KEPUTUSAN BAB X PEMROGRAMAN LINIER METODE SIMPLEKS 10.1 GAGASAN KESELURUHAN TENTANG METODE SIMPLEKS: Metode grafik yang disajikan dalam bab 2 memperlihatkan bahwa memprogramkan linier yang optimum selalu berkaitan dengan titik ekstrim atau titik sudut dari ruang pemecahan. Gagasan ini dengan tepat mengatur pengembangan metode simpleks. Pada intinya, apa yang dilakukan metode simpleks adalah menerjemahkan definisi geometris dan titk ekstrim menjadi defines aljabar. Butir ini harus diingat sepanjang pembahasan tentang metode simpleks. Bagaimana metode simpleks mengidentifikasi titik ekstrim (atau titik sudut) secara aljabar? Sebagai langkah pertama, metode simpleks mengharuskan agar setiap batasan ditempatkan dalam bentuk standar yang khusus. Dimana semua batasan diekspresikan sebagai persamaan dengan menambahkan variabel slack dan surplus sebagaimana diperlukan. Jenis konversi ini umumnya menghasilkan sekelompok persamaan dimana jumlah variabel adalah lebih besar dari pada jumlah persamaan, yang umumnya berarti bahwa persamaan-persamaan tersebut menghasilkan sejumlah titik pemecahan yang tidak terbatas (bandingkan dengan ruang pemecahan secara grafik). Titik ekstrim dari ruang ini dapat diidentifikasikan secara aljabar sebagai pemecahan dasar (basic solutions) dari sistem persamaan simultan tersebut. Dari teori aljabar linier, sebuah pemecahan dasar diperoleh dengan menetapkan beberapa variabel yang sebanyak selisih antara jumlah total variabel dengan jumlah total persamaan memiliki nilai sama dengan nol dan lalu memecahkan variabel sisanya, dengan ketentuan bahwa kondisi tersebut menghasilkan satu pemecahan yang unik. Pada intinya, transaksi dari prosedur grafik ke prosedur aljabar sepenuhnya bergantung pada keabsahan hubungan penting berikut ini: Titik ekstrim Pemecahan dasar
  • 126.
    RISET OPERASI &T.P KEPUTUSAN 10.2 PENGEMBANGAN METODE SIMPLEKS: Dalam bagian ini kami menyajikan perincian metode simpleks. Pembahasan ini dimulai dengan bentuk standar yang diperlukan untuk mewakili ruang pemecahan pemrograman linier dengan sebuah sistem persamaan simultan. Pembahsan selebihnya memperlihatkan bagaimana pemecahan dasar yang berturut-turut ditentukan secara selektif dengan maksud untuk mencapai pemecahan optimum dalam sejumlah terbatas iterasi. 10.2.1 Bentuk pemrograman linier standar: Kita telah melihat dalam bab sebelumnya, bahwa sebuah model pemrograman linier dapat mencakup batasan dengan segala batasan jenis (<, >, =). Lebih jauh lagi variabel dapat non negatif atau tidak dibatasi dalam tandanya. Untuk mengembangkan sebuah metode pemecahan yang umum, masalah pemrograman linier harus ditempatkan dalam format yang sama, yang akan kita sebut sebagai format standar. Sifat dari bentuk ini adalah sebagai berikut: 1) Semua batasan adalah persamaan (dengan sisi kanan yang nonnegatif jika model tersebut dipecahkan dengan metode simpleks primal. 2) Semua variabel adalah non negatif. 3) Fungsi tujuan dapat berupa maksimisasi atau minimisasi. A. Batasan: Sebuah variabel yang berjenis < (>) dapat dikonversikan menjadi sebuah persamaan dengan menambahkan variabel slack ke (mengurangkan variabel surplus) dari sisi kiri batasan tersebut misalnya dalam batasan: xI + 2x2 < 6 Kita menambahkan slack sI > 0 kesisi kiri untuk memperoleh persamaan: xI + 2x2 + sI = 6, sI > 0
  • 127.
    RISET OPERASI &T.P KEPUTUSAN Kemudian, pertimbangkan batasan: 3xI + 2xI – 3x3 > 5 Karena sekarang sisi kiri tidak lebih kecil dari pada sisi kanan, kita mengurangkan variabel surplus s2 > 0 dari sisi kiri untuk memperoleh persamaan: 3xI + 2xI – 3x3 – s2 = 5. s2 > 0 Sisi kanan dari sebuah persamaan dapat selalu dibuat non negatif dengan mengalikan kedua sisi dengan –1, Misalnya, 2 xI + 3x2 – 7x3 = 5 secara matematis adalah setara dengan – 2xI – 3x2 + 7x3 = +5 Arah pertidaksamaan dibalik ketika kedua sisi dikalikan dengan -1, Misalnya, sementara 2 < 4, -2 > 4, Jadi pertidaksamaan 2xI – x2 < -5 dapat digantikan dengan - 2xI + x2 > 5
  • 128.
    RISET OPERASI &T.P KEPUTUSAN Sumber : (Dasar-Dasar Operations Research) Edisi 2, Drs. Pangestu Subagyo, M.B.A, Drs Marwan Asri, M.B.A, Dr. T. Hani Handoko, M.B.A BAB XI MASALAH PENUGASAN 11.1 PERUMUSAN MASALAH: Seperti masalah transportasi, masalah penugasan (assignment problem) merupakan suatu kasus khusus dari masalah linier programming pada umumnya. Dalam dunia usaha (bisnis) dan industri, manajemen sering menghadapi masalah- masalah yang berhubungan dengan penugasan dari bermacam-macam sumber yang produktif atau personalia yang mempunyai tingkat efisiensi yang berbeda-beda untuk tugas yang berbeda-beda pula. Metode Hungarian (Hungarian Method) adalah salah satu dari beberapa teknik-teknik pemecahan yang tersedia untuk masalah-masalah penugasan. Metode ini mula-mula dikembangkan oleh seorang ahli matematika berkebangsaan Hungaria yang bernama D. Konig dalam tahun 1916. Untuk dapat menerapkan metode Hungarian, jumlah sumber-sumber yang ditugaskan harus sama persis dengan jumlah tugas yang akan diselesaikan. Selain itu, setiap sumber harus ditugaskan hanya untuk satu tugas. Jadi, masalah penugasan akan mencakup sejumlah n sumber yang mempunyai n tugas. Ada n! (n factorial) penugasan yang mungkin dalam suatu masalah karena perpasangan satu-satu. Masalah ini dapat dijelaskan dengan mudah oleh bentuk matriks segi empat, dimana baris-barisnya menunjukkan sumber-sumber dan kolom-kolomnya menunjukkanm sumber-sumber dan kolom-kolomnya menunjukkan tugas-tugas. Masalah penugasan dapat dinyatakan secara matematis dalam satuan bentuk linier programming sebagai berikut: Minimumkan (Maksimumkan): m Z = Σ Σ Cij Xij i=1 j=1
  • 129.
    RISET OPERASI &T.P KEPUTUSAN Dengan Batasan: M n Σ Xij = Σ Xij = 1 i-1 j=1 dan Xij > 0 (Xij = Xij)2 ) Dimana Cij adalah tatapan yang telah diketahui. 11.2 MASALAH MINIMISASI: Suatu perusahaan kecil mempunyai 4 (empat) pekerjaan yang berbeda untuk diselesaikan oleh 4 (empat) karyawan. Biaya penugasan seorang karyawan untuk pekerjaan berbeda-beda. Setiap karyawan mempunyai tingkat keterampilan, pengalaman kerja dan latar belakang pendidikan serta latihan yang berbeda pula. Sehingga biaya penyelesaian pekerjaan yang sama oleh para karyawan-karyawan yang berlainan juga berbeda. Matriks pada tabel 11.1 menunjukkan biaya penugasan karyawan untuk bermacam-macam pekerjaan. Sebagai contoh A dapat menyelesaikan pekerjaan 1 pada biaya Rp. 15,- pekerjaan II biaya Rp. 20,- dan seterusnya. Pekerjaan Karyawan I II III IV A Rp. 15,- Rp. 20,- Rp. 18,- Rp. 22,- B Rp. 14,- Rp. 16,- Rp. 21,- Rp. 17,- C Rp. 25,- Rp. 20,- Rp. 23,- Rp. 20,- D Rp. 17,- Rp. 18,- Rp. 18,- Rp. 16,- Gambar 11.1 (Tabel Matriks Biaya)
  • 130.
    RISET OPERASI &T.P KEPUTUSAN Karena metode Hungarian mensyaratkan perpasangan satu-satu, maka 4! (4, 3, 2, 1 = 24) Kemungkinan penugasan. Langkah-langkah penyelesaiannya adalah sebagai berikut: A) Langkah pertama adalah mengubah matriks biaya menjadi matriks opportunity cost. Ini dicapai dengan memilih elemen terkecil dari setiap baris dari matriks biaya mula-mula untuk mengurangi seluruh elemen (bilangan) dalam setiap baris. Sebagai contoh, elemen terkecil baris A (=15) digunakan untuk mengurangi seluruh elemen pada baris A. Sehingga paling sedikit akan diperoleh satu elemen yang bernilai nol sebagai hasilnya. Prosedur yang sama diulang untuk setiap baris pada Tabel 11.2 untuk mendapatkan matriks biaya yang telah dikurangi (reduced-cost matriks) seperti yang ditunjukkan tabel 11.2. Pekerjaan Karyawan I II III IV A 0 5 3 7 B 0 2 7 3 C 5 0 3 0 D 1 2 2 0 Gambar 11.2 ( Tabel Reduced-Cost Matriks) B) Reduced cost-matrix di atas terus dikurangi untuk mendapatkan total- opportunity-cost matrix. Hal ini dapat dicapai dengan memilih elemen terkecil dari setiap kolom pada reduced-cost matrik untuk mengurangi seluruh elemen dalam kolom-kolom tersebut. Pada contoh di atas hanya dilakukan pada kolom III karena semua kolom lainnya telah mempunyai elemen yang bernilai nol. Bila langkah pertama telah menghasilkan paling sedikit satu nilai nol pada setiap
  • 131.
    RISET OPERASI &T.P KEPUTUSAN kolom, langkah kedua ini dapat dihilangkannya. Matriks-total-opportunity-cost ditunjukkan dalam Tabel 11.3 Pekerjaan Karyawan I II III IV A 0 5 1 7 B 0 2 5 3 C 5 0 1 0 D 1 2 0 0 Gambar 11.3 (Tabel Total-Opportunity-Cost Matrix) Dalam contoh total-opportunity cost matrix pada tabel 11.3 terdapat paling sedikit satu nilai nol, dalam setiap baris dan setiap kolom. C) Langkah berikutnya adalah mencari skedul penugasan dengan suatu total – ooportunity-cost nol. Untuk mencapai penugasan ini dibutuhkan 4 (empat) “independent zeros” dalam matriks. Ini berarti setiap karyawan harus ditugaskan hanya untuk satu pekerjaan dengan opportunity-cost nol; atau setiap pekerjaan harus diselesaikan hanya oleh satu karyawan. Prosedur praktis untuk melakukan test optimalisasi adalah dengan menarik sejumlah minimum garis horisontal dan/atau vertikal untuk meliput seluruh elemen bernilai nol dalam total-opportunity-cost matrix (lihat Tabel 11.4). Bila jumlah garis sama dengan jumlah baris atau kolom penugasan optimal adalah feasible. Bila tidak sama maka matriks harus direvisi.
  • 132.
    RISET OPERASI &T.P KEPUTUSAN Pekerjaan Karyawan I II III IV A 0 5 1 7 B 0 2 5 3 C 5 0 1 0 D 1 2 0 0 Gambar 11.4 (Tabel Test For Optimality) Dalam Tabel 11.4 ada tiga baris yang meliput seluruh nilai nol disbanding empat baris atau kolom, sehinga langkah berikutnya diperlukan untuk merivisi matriks. D) Untuk merivisi total-opportunity-cost matrix, pilih elemen terkecil yang belum terliput garis-garis (yaitu opportunity-cost terendah, atau pada contoh di atas = 1) untuk mengurangi seluruh elemen yang belum terliput. Kemudian tambahkan dengan jumlah yang sama (nilai elemen terkecil) pada seluruh elemen-elemen yang mempunyai dua garis yang saling bersilangan (5 pada baris C dan 1 pada baris D), atau sama dengan 6 dan 2. Masukkan hasil-hasil ini pada matriks, dan menyelesaikan matriks dengan seluruh elemen-elemen yang telah direvisikan pada Tabel 11.5 berikut ini didapatkan dengan mengikuti prosedur di atas. Pekerjaan Karyawan I II III IV A 0 4 0 6 B 0 1 4 2 C 6 0 1 0 D 2 2 0 0 Gambar 11.5 (Tabel Revised Matrix dan Test For Optimality) E) Dalam Tabel 11.5 dibutuhkan empat garis untuk meliput seluruh nilai nol atau sama dengan jumlah baris atau kolom, sehingga matriks penugasan optimal telah tercapai. Karyawan B ditugaskan untuk pekerjaan I karena baris B hanya mempunyai satu nilai nol pada kolom I, kolom II berisi satu nol pada baris C, jadi
  • 133.
    RISET OPERASI &T.P KEPUTUSAN karyawan C ditugaskan untuk pekerjaan II. Kemudian karyawan A ditugaskan untuk pekerjaan III, karena pekerjaan I telah ditugaskan karyawan B. Karyawan D ditugaskan untuk pekerjaan terkahir IV. Skedul penugasan optimal dengan biaya minimum adalah sebagi berikut: Skedul Penugasan A – III B – I C – II D – IV Rp. 18,- Rp. 14,- Rp. 20,- Rp. 10,- + Rp. 62,- 11.2.1 Jumlah Pekerjaan Tidak Sama dengan Jumlah Karyawan: Untuk memenuhi persyaratan suatu matriks segi empat bujur sangkar, agar metode Hungarian dapat diterapkan, bila terdapat jumlah pekerjaan lebih besar dari jumlah karyawan, maka harus ditambahkan suatu karyawan semu (dummy worker). Biaya semu adalah sama dengan nol, karena tidak akan terjadi biaya bila suatu pekerjaan ditugaskan ke karyawan semu. Atau dengan kata lain karena sebenarnya pekerjaan tersebut tidak dilaksanakan. Sebaliknya bila jumlah karyawan lebih besar dari jumlah pekerjaan, maka harus ditambahkan suatu pekerjaan semu (dummy job). Sebagai contoh, bila jumlah pekerjaan lebih besar dari jumlah karyawan, dapat dilihat pada Tabel 11.6. Pekerjaan Karyawan I II III IV V A Rp. 15,- Rp. 20,- Rp. 18,- Rp. 22,- Rp. 21,- B Rp. 14,- Rp. 16,- Rp. 21,- Rp. 17,- Rp. 15,- C Rp. 25,- Rp. 20,- Rp. 23,- Rp. 20,- Rp. 17,- D Rp. 17,- Rp. 18,- Rp. 18,- Rp. 16,- Rp. 18,-
  • 134.
    RISET OPERASI &T.P KEPUTUSAN Dummy E Rp. 0,- Rp. 0,- Rp. 0,- Rp. 0,- Rp. 0,- Gambar 11.6 (Tabel Jumlah Pekerjaan Lebih Besar Dari Jumlah Karyawan) Prosedur penyelesaian selanjutnya sama dengan langkah-langkah di atas. 11.3 MASALAH MAKSIMISASI: Metode penugasan Hungarian untuk minimisasi juga dapat diterapkan untuk masalah penugasan yang menyangkut maksimisasi. Dalam masalah maksimisasi, matriks elemen-elemen menunjukkan tingkat keuntungan (atau indeks produktivitas). Efektivitas pelaksanaan tugas oleh karyawan-karyawan individual diukur dengan jumlah kontribusi keuntungan. Matriks 6.7 menunjukkan bahwa karyawan A mempunyai keterampilan yang dibutuhkan untuk menangani 5 (lima) pekerjaan- pekerjaan yang berlainan. Pekerjaan Karyawan I II III IV V A Rp. 10,- Rp. 12,- Rp. 10,- Rp. 8,- Rp. 15,- B Rp. 14,- Rp. 10,- Rp. 9,- Rp. 15,- Rp. 13,- C Rp. 9,- Rp. 8,- Rp. 7,- Rp. 8,- Rp. 12,- D Rp. 13- Rp. 15,- Rp. 8,- Rp. 16,- Rp. 11,- E Rp. 10,- Rp. 13,- Rp. 14,- Rp. 11,- Rp.17,- Gambar 11.7 (Tabel Matrikx Keuntungan) Langkah pertama dalam masalah maksimisasi adalah mengubah matriks keuntungan menjadi suatu matriks opportunity-loss. Dalam masalah ini, A menyumbang keuntungan tertinggi Rp 15,- bila dia ditugaskan pada pekerjaan V. Oleh karena itu, bila A ditugaskan pada pekerjaan I (yang kontribusi keuntungannya = Rp 10,-), ada sebesar Rp 5,- sebagai opportunity-loss yang terjadi dengan penugasan ini, dan seterusnya. Seluruh elemen dalam setiap baris dikurangi dengan nilai maksimum
  • 135.
    RISET OPERASI &T.P KEPUTUSAN dalam baris yang sama, Prosedur ini menghasilkan matriks opportunity-loss ditunjukkan dalam Tabel 11.6. Matriks ini sebenarnya bernilai negatif. Pekerjaan Karyawan I II III IV V A 5 3 5 7 0 B 1 5 6 0 2 C 3 4 5 4 0 D 3 1 8 0 5 E 7 4 3 0 0 Gambar 11.8 (Tabel Matrikx Opportunity-Loss) Sepeti sebelumnya, setiap baris akan berisi nilai nol. Langkah berikutnya meminimumkan opportunity-loss akan memaksimumkan kontribusi keuntungan total. Matriks total-opportunity-loss yang ditunjukkan dalam Tabel 11.9 didapatkan melalui pengurangan seluruh elemen dalam setiap kolom dengan elemen terkecil dari kolom tersebut. Pekerjaan Karyawan I II III IV V A 4 2 2 7 0 B 0 4 3 0 2 C 2 3 2 4 0 D 2 0 5 0 5 E 6 3 0 6 0 Gambar 11.9 (Tabel Total Matrikx Opportunity-Loss) Dalam Tabel 11.9 seluruh elemen bernialai nol dapat diliput hanya dengan empat garis. Jadi, matriks harus dikurangi menurut langkah ke-4 seperti yang telah dijelaskan
  • 136.
    RISET OPERASI &T.P KEPUTUSAN di muka. Matriks baru ditunjukkan oleh Tabel 11.10, di mana penugasan optimal dapat ditentukan. Pekerjaan Karyawan I II III IV V A 2 0 0 5 0 B 0 4 3 0 4 C 0 1 0 2 0 D 2 0 5 0 7 E 6 3 0 6 2 Gambar 11.10 (Tabel Optimal) Skedul penugasan optimal dan keuntungan total untuk dua alternative penyelesaian adalah Skedul Penugasan Keuntungan Skedul Penugasan Keuntungan A – II B – I C – V D – IV E – III Rp. 12,- Rp. 14,- Rp. 12,- Rp. 16,- Rp. 14,- + Rp. 68,- A – V B – IV C - I D – II E - III Rp. 15,- Rp. 15,- Rp. 9,- Rp. 15,- Rp. 14,- + Rp. 68,- 11.3.1 Masalah-Masalah Penugasan Tambahan: Dalam masalah-masalah penugasan di muka, seluruh elemen matriks diketahui konstan. Bagaimanapun juga, kadang-kadang beberapa elemen matriks tidak diketahui. Untuk pemecahan suatu masalah penugasan yang tidak mungkin dilakukan,
  • 137.
    RISET OPERASI &T.P KEPUTUSAN kita hanya menandai setiap elemen penugasan yang tidak mungkin dengan suatu nilai sangat besar yang tidak diketahui, M (yaitu, M untuk masalah minimisasi dan –M untuk masalah maksimasi). Langkaj pemecahan selanjutnya persis sama dengan prosedur metode Hungarian yang telah dibahas di muka, hanya perlu diperhatikan bahwa penugasan seorang karyawan untuk melaksanakan pekerjaan tertentu yang elemenya diberi tanda M harus dihindari.
  • 138.
    RISET OPERASI &T.P KEPUTUSAN BAB XII TEORI KEPUTUSAN Model-model analisa kuantitaif yang telah dibicarakan di depan menggunakan anggapan tersedianya informasi yang sempurna (perfect information). Dalam dunia bisnis nyata, para manajer sering dipaksa untuk mengambil berbagai keputusan tanpa informasi seperti itu. Akurasi dan variabilitas informasi yang diterima manjer pada hakikatnya dapat diklasifikasikan menjadi tiga kategori berbeda: Kepastian, risiko, dan ketidakpastian. Model-model keputusan dengan keadaan kepastian (certainty) menggambarkan informasi yang menunjukkan bahwa setiap rangkaian keputusan (kegiatan) mempunyai suatu hasil (payoff) tertentu tunggal. Dalam hal ini tidak ada keacakan (randomness) pada hasil keputusan-keputusan dengan kondisi kepastian, atau dengan kata lain semua informasi dianggap pasti. Misal bila kita akan menyelesaikan masalah kombinasi produk (produk mix) dengan linier programming, maka besarnya kontribusi marginal tiap produk dan tersedianya sumber-sumber yang dibutuhkan dapat diketahui dengan pasti. Model-model kepastian ini disebut model-model deterministik. Dua model pengambilan keputusan lainnya menghadapi informasi yang tidak dapat diperkirakan dengan pasti (atau tidak sempurna), Model pertama adalah model keputusan dengan keadaan resiko (risk). Resiko menggambarkan informasi yang mengidentifikasi bahwa setiap rangkaian keputusan mempunyai sejumlah kemungkinan hasil dan probabilitas terjadinya. Jadi, dalam keadaan ini diketahui adanya keacakan. Model-model risiko seperti ini disebut model-model stokastik. Model kedua, model keputusan dengan keadaan ketidakpastian (uncertainty), menggambarkan informasi yang menunjukkan semua atau beberapa hasil dari berbagai keputusan yang berbeda, tetapi probabilitas terjadi hasil-hasil tersebut tidak akan ditentukan. Ini adalah situasi yang paling sulit untuk pengambilan keputusan. Agar lebih jelas dipahami perbedaan antara kedua model itu, maka kita ambil contoh sederhana dengan informasi sebagai berikut: Laba (Profit) Probabilitas Rp. 100.000,- Rp. 200.000,- 0,25 0,45
  • 139.
    RISET OPERASI &T.P KEPUTUSAN Rp. 300.000,- 0,30 Atas dasar data diatas, apabila besarnya laba yang mungkin dan probabilitas terjadinya setiap kemungkinan laba tersebut diketahui, maka keadaan ini disebut model keputusan dengan resiko. Sedangkan, bila probabilitas terjadinya tidak diketahui, model keputusan disebut model dengan keadaan ketidakpastian. 12.1 MODEL KEPUTUSAN: Ada beberapa elemen dan konsep yang biasanya digunakan pada semua model keputusan. Hampir semua model, apakah itu kompleks atau sederhana, dapat diformulasikan dengan menggunakan suatu struktur standar yang dipecahkan dengan penggunaan prosedur evaluasi umum. 12.1.1 Konsep-Konsep Dasar: Model keputusan umum terdiri atas komponen-komponen sebagai berikut: a) Keadaan dasar, Sekumpulan peristiwa atau kejadian acak yang mungkin yang mempengaruhi hasil keputusan. b) Probabilitas, Probabilitas berkaitan dengan keadaan dasar. c) Keputusan, Sekumpulan kegiatan (tindakan) yang mungkin diambil oleh pengambilan keputusan dan. d) Payoff, Sekumpulan laba (benefits) atau biaya yang mungkin yang dihasilkan (diakibatkan) dari atau oleh kombinasi suatu keputusan dan suatu keadaan dasar yang acak. Contoh: Toko buku HBU harus memesan buku-buku pedoman pajak pendapatan setiap tahun sebelum periode membayar pajak mulai. Biaya pembelian buku Rp. 4.000,- dan toko menjualnya dengan harga Rp. 8.000,-/Buku. Pengalaman telah menunjukkan
  • 140.
    RISET OPERASI &T.P KEPUTUSAN bahwa setelah tanggal 15 april, buku-buku tidak dapat dijual dan oleh karena itu kurang menguntungkan. Pemilik toko, Bapak Subiyakto, telah mengestimasikan kerugiannya bila dia kehabisan buku pedoman itu, yaitu sebesar Rp. 4.000,-/buku. Bila dia kehabisan satu atau lebih buku, dia harus melakukan pesanan khusus pada harga yang lebih tinggi, yang hampir sama dengan harga ecerannya. Kenaikkan harga ini plus biaya pemesanan dan penanganan khusus mengakibatkan kerugian Rp. 4.000,- pada setiap copy yang harus dipesan secara khusus. Meskipun biaya Rp. 4.000,- adalah sangat tinggi, Bapak subiyakto ingi untuk menjaga hubungan baik dengan para langganannya dan mempertahankan “quality image” terhadap tokonya dengan menggunakan pelayanan pesanan khusus. Bapak Subiyakto ingin menentukan jumlah buku yang harus dibeli untuk memaksimumkan laba. Setelah meninjau kembali laporan-laporan dan catatan-catatan masa lalu, dia menggunakan ahliunya untuk melakukan analisis subyektif dalam penentuan distribusi probabilitas penjualan (yaitu keadaan dasar). Tabel 12.1 menunjukkan estimasi-estimasi probabilitas subyektif yang dilakukan. Keadaan Dasar, Xi : Permintaan (Dalam Unit) Probabilitas P (Xi) X1 = 1.200 X2 = 1.320 X3 = 1.440 X4 = 1.560 X5 = 1.680 0,05 0,15 0,30 0,35 0,15 + 1,00 Gambar 12.1 (Tabel Keadaan Dasar dan Probabilitas) Sekumpulan keputusan Bapak Subiyakto terdiri dari lima kegiatan yang mungkin memesan 1.200, 1.320, 1.440, 1.560 atas 1.680 buku. Laba yang berkaitan dengan setiap kombinasi keputusan keadaan dasar. Tabel 12.2 yang menggambarkan berbagai laba yang dihasilkan dari berbagai kombinasi yang berbeda, adalah suatu
  • 141.
    RISET OPERASI &T.P KEPUTUSAN tabel “payoff” kondisional. Laba setiap keputusan adalah tergantung pada keadaan dasar. Keadaan Dasar, X1:Permintaan (Dalam Unit) Proba- bilitas P (Xi) Keputusan (Unit Yang Dibeli) d1 = 1.200 d2 = 1.320 d3 = 1.440 d4 = 1.560 d5 = 1.650 X1 = 1.200 0,05 Rp. 4.800,- Rp. 4.320,- Rp. 3.840,- Rp. 3.360,- Rp. 2.880,- X2 = 1.320 0,15 Rp. 4.320,- Rp. 5.280,- Rp. 4.800,- Rp. 4.320,- Rp. 3.840,- X3 = 1.440 0,30 Rp. 3.840,- Rp. 4.800,- Rp. 5.760,- Rp. 5.280,- Rp. 4.800,- X4 = 1.560 0,35 Rp. 3.360,- Rp. 4.320,- Rp. 5.280,- Rp. 6.240,- Rp. 5.260,- X5 = 1.650 0,15 Rp. 2.880,- Rp. 3.840,- Rp. 4.800,- Rp. 5.760,- Rp. 6.720,- Gambar 12.2 (Tabel Payoff Kondisional) Perhitungan laba baris pertama Tabel 12.2 dijelaskan berikut ini. Laba-laba tersebut akan ditunjukkan dengan notasi fungsional f (xi, dj), di mana xi adalah keadaan dasar (permintaan buku) dan dj adalah keputusan yang dipilih (jumlah buku yang dibeli) sebagai contoh: f (x1 = 1.200, d1 = 1.200) = Rp. 4.000,- (Laba/buku) x 1.200 buku = Rp. 4.800.000,- ============= f (x1, d2 = 1.320) = Rp. 4.000,- (1.200) – Rp. 4.000 (Biaya/buku) x 120 (Buku yang tak terjual) = Rp. 4.800.000,- (-) Rp. 480.000,- = Rp. 4.320.000,- =============
  • 142.
    RISET OPERASI &T.P KEPUTUSAN f (x1, d3) = Rp. 4.000,- (1.200) – Rp. 4.000,- (240) = Rp. 3.360.000,- ============= f (x1, d4) = Rp. 4.000,- (1.200) – Rp. 4.000,- (360) = Rp. 3.360.000,- ============= f (x1, d5) = Rp. 4.000,- (1.200) – Rp. 4.000,- (480) = Rp. 2.880.000,- ============= Bila Bapak Subiyakto tidak mempunyai cukup persediaan buku dia menanggung biaya kehabisan. Situasi ini diperinci melalui laba yang dikurangi di bawah garis diagonal pada tabel 12.2 sebagai contoh: f (x2 = 1.320, d1 = 1.200) = Rp. 4.000,- (1.200) – Rp. 4.000,- (Laba yang hilang/buku) x 120 = Rp. 4.800.000,- (-) Rp. 480.000,- = Rp. Rp. 4.320.000,- ================ F (x3 = 1.440, d1 = 1.200) = Rp. 4.000,- (1.200) – Rp. 4.000,- (240) = Rp. 4.800.000,- (-) Rp. 960.000,- = Rp. 3.840.000,- =============
  • 143.
    RISET OPERASI &T.P KEPUTUSAN 12.2 KRITERIA KEPUTUSAN: Keputusan optimal yang dapat diambil tergantung pada sasaran pengambilan keputusan. Meskipun kita akan memerinci beberapa kriteria keputusan yang berbeda, tetapi ada tiga kriteria yang paling sering digunakan untuk maksimisasi laba jangka panjang. Kriteria-kriteria keputusan tersebut adalah kriteria keputusan nilai yang diharapkan (expected-value), pohon keputusan (decision trees), dan konsep variance. Kriteria Maximax, Kriteria maximax mengatakan bahwa keputusan yang mempunyai payoff paling tinggi tanpa memperdulikan keadaan dasar yaitu f (xi, dj) maksimum dari maksimum yang seharusnya dipilih. Kriteria maximax adalah sangat “myopic”. Seperti ditunjukkan tabel 12.2, keputusan maximax dapat juga menghasilkan payoff minimum. Oleh karena itu, maximax adalah kriteria yang tidak valid. Sebab hanya mempertimbangkan hasil yang paling optimistik, dan mengabaikan semua keadaan yang mungkin, payoff dan probabilitas lainnya. Kriteria Maximin, Kriteria maximin (maksimim) mengarahkan kita untuk memilih keputusan yang mempunyai maksimum dari payoffs yang minimum. Dari tabel 12.2 ada dua keputusan, d2 dan d3 yang mempunyai maksima dari minima. Dengan memilih salah satu diantaranya, kita dapat yakin bahwa labanya tidak akan pernah kurang dari Rp. 3.840.000,- Kriteria kemungkinan maksimum, Kriteria ini menyatakan bahwa seseorang seharusnya memilih keputusan optimal atau dasar keadaan dasar yang paling sering terjadi (modus). Seperti ditunjukkan dalam tabel 12.2, keadaan x4 adalah yang paling sering terjadi, dan keputusan d4 adalah keputusan yang paling menguntungkan untuk keadaan itu (Rp. 6.240.000,-). Bila ada probabilitasn 35% bahwa x4 akan terjadi, maka ada probabilitas 65% bahwa hal itu tidak akan terjadi. Kriteria ini mengabaikan banyak informasi lain yang tersedia tabel payoff. Kriteria Laplace, kriteria ini menyatakan bahwa dalam keadaan tidak adanya bukti atau data yang kuat, setiap keadaan dasar mempunyai probabilitas terjadinya yang sama. Oleh karena itu, seseorang seharusnya memilih keadaan dasar yang mempunyai laba rata-rata tertinggi. Pilih dj yang memaksimumkan: 1 n ∑ f (x1, dj)
  • 144.
    RISET OPERASI &T.P KEPUTUSAN n i = 1 Di mana n adalah jumlah keadaan dasar. Dari tabel 12.2, nilai-nilai tersebut adalah: Laba rata-rata d1 = 4.800.000 + 4.320.000 + 3.840.000 + 3.360.000 + 2.280.000 5 = Rp. 3.840.000,- ============= Laba rata-rata d2 = 4.320.000 + 5.280.000 + 4.800.000 + 4.320.000 + 3.840.000 5 = Rp. 4.512.000,- ============= Laba rata-rata d3 = 3.840.000 + 4.800.000 + 5.760.000 + 5.280.000 + 4.800.000 5 = Rp. 4.896.000,- ============= Laba rata-rata d4 = 3.360.000 + 4.320.000 + 5.280.000 + 6.240.000 + 5.760.000 5 = Rp. 4.992.000,- ============= Laba rata-rata d5 = 2.880.000 + 3.840.000 + 4.800.000 + 5.760.000 + 6.720.000 5 = Rp. 4.800.000,- ============= Kriteria dan keputusan. Kriteria dan keputusan-keputusan sebagai hasilnya yang telah dihitung adalah:
  • 145.
    RISET OPERASI &T.P KEPUTUSAN Kriteria Keputusan Sebagai Hasil Maximax Maximin Kemungkinan Maksimum Laplace d5 d2 dan d3 d4 d4 12.2.1 Konsep Keputusan Nilai Yang Diharapkan (Expected-Value): Nilai yang diharapkan dari suatu variabel random xi adalah sama dengan penjumlahan produk semua xi yang mungkin dikalikan probabilitas individualnya. n E (x) = ∑ pi i = 1 Nilai x yang diharpkan adalah nilai rata-rata selama jangka waktu yang panjang. 12.3 POHON KEPUTUSAN: Suatu pohon keputusan adalah representasi skematik suatu masalah keputusan. Disebut pohon keputusan karena bila digambarkan mirip sebuah pohon dengan cabang-cabang dan ranting-rantingnya.
  • 146.
    RISET OPERASI &T.P KEPUTUSAN Keputusan Keadaan Dasar Payoffs Expected payoffs Rp. 1.000.000,-/Tahun Rp. 7.500.000,- Permintaan Tinggi P = 0,75 Permintaan Rendah P =0,25 Rp. 300.000,-/Tahun Rp. 750.000,- Membangun Pabrik Baru (5.000.000,-) (Rp. 500.000,-) Rp. 3.250.000,- Rp. 250.000,-/Tahun Rp. 1.875.000,- (Rp. 1.000.000,-) Membangun Pabrik Kecil Permintaan Tinggi P = 0,75 Permintaan Tinggi P = 0,25 Rp. 200.000,-/Tahun Rp. 500.000,- (1.000.000,-) Rp. 1.375.000,- Keterangan : = Titik Keputusan = Titik Kemungkinan Peristiwa Gambar 12.3 (Pohon Keputusan Stokastik Tahap Tunggal)
  • 147.
    RISET OPERASI &T.P KEPUTUSAN Gambar 12.4 (Klasifikasi Pohon Keputusan) Pohon keputusan Deterministik, suatu pohon kepotusan deterministik menyajikan suatu masalah di mana setiap alternatif yang mungkin dan hasilnya diketahui dengan pasti. Atau dengan kata lain, suatu pohon keputusan deterministik tidak mengandung titik kemungkinan peristiwa. Sebagai contoh, kita gunakan masalah keputusan penggantian mesin, dengan informasi seperti ditunjukkan dalam tabel dibawah ini: Alternatif Kebijaksanaan Payoff atau (Dalam Ribuan Laba Rupiah) Tahun Pertama Tahun Kedua Tahun Ketiga S1 : Mengganti sekarang S2 : Mengganti setelah 1 tahun. S3 : Tidak Mengganti 4.000 5.000 5.000 6.000 4.000 3.000 10.000 9.000 8.000 Pohon Keputusan Deterministik Probabilistik (Stokastik) Tahap Ganda Tahap Tunggal Tahap Ganda Tahap Tunggal
  • 148.
    RISET OPERASI &T.P KEPUTUSAN Dalam informasi di atas kita dapat menyajikannya dalam bentuk suatu pohon keputusan deterministik tahap ganda, seperti terlihat gambar 12.5 Payoff Rp. 6.000.000,- Rp. 4.000.000,- Mengganti Sekarang Rp. 4.000,- Rp. 5.000.000,- Tidak Mengganti Mengganti Tidak Mengganti Rp. 3.000,- Tahun Pertama Tahun Kedua Gambar 12.5 (Pohon Keputusan Deterministik Tahap Ganda) Pohon keputusan Stokastik. Pohon keputusan stokastik ditandai dengan adanya titik kemampuan peristiwa. Pohon keputusan stokastik tahap tunggal adalah pohon keputusan yang mempunyai paling sedikit satu titik kemungkinan peristiwa dan mencakup pengambilan hanya satu keputusan. Secara konsepsual, setiap matriks payoff kondisional dapt disajikan dalm bentuk pohon keputusan stokastik tahap tunggal, dan sebaliknya. Bagaimanapun juga, masalah-masalah seperti itu (yang mencakup satu keputusan) paling baik diformulasikan dan dipecahkan dengan pendekatan matriks payoff. Sebagai contoh pohon keputusan stokastik tahap tunggal dapat dilihat gambar 12.1 Pohon Keputusan stokastik tahap ganda adalah pohon keputusan yang mempunyai paling sedikit satu titik keputusan dan mencakup pengambilan berbagai keputusan yang berurutan. Pendekatan pohon keputusan merupakan alat yang paling berguna dalam penganalisaan dan pemecahan masalah-masalah keputusan stakostik.
  • 149.
    RISET OPERASI &T.P KEPUTUSAN 12.4 KONSEP VARIANCE: Pada konsep ini besar kecilnya diukur dengan variance. Semakin besar variance berarti besarnya data/hal yang terjadi semakin tidak seragam, berarti pula resiko semakin besar. Aplikasi konsep ini banyak sekali digunakan dalam bidang keuangan di mana resiko suatu investasi diukur dengan variance dari “return-nya”. Dalam kenyataannya, semakin tinggi keuntungan (laba atau manfaat biasanya diikuti dengan resiko semakin besar. Orang bersedia menanggung resiko yang besar karena dengan harapan akan memperoleh keuntungan atau manfaat besar pula. Dalam pengambilan keputusan dengan konsep ini terlebih dahulu dibedakan macam- macam sifat orang dalam menghadapi resiko, yaitu ada yang senang menanggung atau menghadapi resiko asal diimbangi dengan manfaat/penghasilan tinggi, ada yang normal, dan ada yang tidak menyenangi resiko. Untuk mengambil keputusan berdasarkan konsep ini dapat digunakan rumus sebagai berikut: Maksimumkan E (Z) – K. Variance (Z)1 Dimana E (Z) adalah hasil yang diharapkan (expected value) dari kegiatan Z, sedangkan K adalah bobot (weight) yang menunjukkan kepekaan seseorang terhadap resiko. Semakin tidak senang terhadap resiko berarti semakin tinggi nilai K. Rumus diatas berarti bahwa semakin tinggi variance berarti semakin rendah nilai untuk pengambilan keputusan.
  • 150.
    RISET OPERASI &T.P KEPUTUSAN BAB XIII MODEL RANTAI MARKOV Rantai Markov (Markov Chains) adalah suatu teknik matematika yang biasa digunakan untuk melakukan pembuatan model (modeling) bermacam-macam sistem dan proses bisnis. Teknik ini dapat digunakan untuk memperkirakan perubahan- perubahan di waktu yang akan datang dalam variabel-variabel dinamis atas dasar perubahan-perubahan dari variabel-variabel dinamis tersebut di waktu yang lalu. Teknik ini dapat juga digunakan untuk menganalisa kejadian-kejadian di waktu-waktu mendatang secara matematis. Model rantai Markov dikembangkan oleh seorang ahli Rusia A.A Markov, pada tahun 1906. Penerapan rantai Markov mula-mula adalah pada ilmu-ilmu pengetahuan fisik dan meteorology. Teknik ini mula-mula digunakan untuk menganalisa dan memperkirakan perilaku partikel-partikel gas dalam suatu wadah (container) tertutup serta meramal keadaan cuaca. Sebagai suatu peralatan riset operasi dalam pengambilan keputusan manajerial, rantai Markov telah banyak diterapkan untuk menganalisa tentang perpindahan merek (braind switching) dalam pemasaran, perhitungan rekening-rekening, jasa-jasa persewaan mobil, perencanaan penjualan, masalah-masalah persediaan,pemeliharaan mesin, antrian, perubahan harga pasar saham, dan administrasi rumah sakit. 13.1 PROSES MODEL RANTAI MARKOV: 13.1.1 Prosedur 1 – Menyusun Matriks Probabikitas Transisi1 : Untuk mengambarkan proses Markov, akan disajikan suatu contoh masalah tentang kegiatan-kegiatan pemilihan merek dan peramalan probabilitas transisi yang kemungkinan dilakukan para konsumen, yaitu pergantian dari satu merek ke merek lain. Anggapan bahwa sampel konsumen terdiri dari kombinasi 1.000 responden yang tersebar pada 4 merek A, B, C, dan D. Anggapan selanjutnya adalah bahwa sampel tersebut telah mewakili keseluruhan kelompok dalam kesetiaannya terhadap suatu merk dan pola pergantian dari satu merek ke merek lain. Konsumen berpindah dari satu merek ke merek lain dapat karena pengiklanan, promosi khusus, harga, ketidakpuasan, dan lain-lain.
  • 151.
    RISET OPERASI &T.P KEPUTUSAN MEREK PERIODE PERTAMA JUMLAH PELANGGAN PERUBAHAN PERIODE SELAMA PERIODE KEDUA JUMLAH PELANGGAN MENDAPATKAN KEHILANGAN A B C D 220 300 230 250 50 60 25 40 45 70 25 35 225 290 230 255 1.000 175 175 1.000 Gambar 13.1 (Tabel Pertukaran-Pertukaran Pelanggan Untuk Satu Tahun) Atas dasar survey konsumen telah diketahui informasi pola-pola perpindahan merek berikut ini. Di antara 220 pembeli merek A, 175 pembeli adalah loyal, 20 pembeli berpindah ke merek B, 10 pembeli berpindah ke merek C, dan 15 pembeli ke merek D. Begitu juga, dari 300 pembeli merek B, 230 tetap setia pada merek B, sedangkan 40 pembeli berpindah ke merek A, 5 pembeli berpindah ke merek C dan 25 pembeli ke merek D. Ini berlaku juga untuk para pembeli merek C dan D. Informasi lebih lengkap tentang pola perpindahan merek tersebut ditunjukkan oleh tabel 13.2 Dari Tabel 13.2 diuraikan pula, selain informasi tentang jumlah “kehilangan” ke merek para pesaing informasi jumlah ”mendapatkan” langganan dari merek-merek saingan. MEREK PERIODE PERTAMA JUMLAH PARA PELANGGAN DARI KE PERIODE KEDUA JUMLAH PARA PELANGGAN A B C D A B C D A 220 0 40 0 10 0 20 10 15 225 B 300 20 0 25 15 40 0 5 25 290
  • 152.
    RISET OPERASI &T.P KEPUTUSAN C 230 10 5 0 10 0 25 0 0 230 D 250 15 25 0 0 10 15 10 0 255 1.000 1.000 Gambar 13.2 (Tabel Pergantian Merek Mendapatkan dan Kehilanagn) Dari data di atas, langkah berikutnya mengubah pergantian merek yang dilakukan para pelanggan agar seluruh “mendapatkan” dan “kehilangan” menjadi bentuk probabilitas transisi, yang dipertunjukkan pada gambar 13.3 Di mana tanda panah yang menuju ke dalam menunjukkan kenaikan dan tanda panah yang menuju di luar menunjukkan kehilangan. Merek 0,091 Merek 0,796 0,133 0,767 0,04 0,109 0 0,046 0,06 0,083 0,017 0,067 0,891 0,04 0,860 Merek 0 Merek Gambar 13.3 (Pergantian Merek Oleh Para Pelanggan) Perhitungan secara matematis adalah dengan menggunakan matrik probabilitas transisi seperti yang terlihat pada gambar 13.4 A B C D
  • 153.
    RISET OPERASI &T.P KEPUTUSAN MENDAPTATKAN DARI KEHILANGAN MEREK ATAU KE A B C D A B C D 175 20 10 15 40 230 5 25 0 25 205 0 10 15 10 215 225 290 230 255 kEHILANGAN 220 300 230 250 (Tetap Dalam Penguasaan “Pemilikan” Atau “Retentions”) MENDAPTATKAN DARI KEHILANGAN MEREK KE A B C D MENDAPATKAN A B C D 0,796 0.091 0,046 0,067 0,133 0,767 0,017 0,083 0,000 0,109 0,891 0,000 0,040 0,060 0,040 0,860 (Tetap Dalam Penguasaan “Pemilikan” Atau “Retentions”) Gambar 13.4 (Matriks Probabilitas Transisi)
  • 154.
    RISET OPERASI &T.P KEPUTUSAN Baris dalam matriks menunjukkan “retention” dan “mendapatkan” pelanggan. Sedang kolom menunjukkan “retention” dan “kehilangan” pelanggan. Dalam gambar 12.4 matriks pertama adalah perihal jumlah para pelanggan nyata, sedangkan matriks kedua adalah perihal probabilitas transisi. Perhitungan untuk matriks probabilitas dalam gambar 12.4 adalah sebagai berikut: MEREK A B C D A = 175 = 0,796 220 40 = 0,133 300 0 = 0 230 10= 0,040 250 B = 20 = 0,091 220 230 = 0,767 300 25 = 0,109 230 15 = 0,060 250 C = 10 = 0,046 220 5 = 0,017 300 205 = 0,891 230 10 = 0,040 250 D = 15 = 0,067 220 25 = 0,083 300 0= 0 230 215 = 0,860 250 Proses Markov dapat berbeda order. First order hanya mempertimbangkan pilihan-pilihan merek yang dibuat selama suatu periode untuk penentuan probabilitas pilihan dalam periode berikutnya, Second order analisa Markov menganggap pilihan- pilihan untuk suatu merek tertentu dalam periode berikutnya tergantung pada pilihan- pilihan merek yang dibuat oleh para pelanggan selama dua periode terakhir. Begitu juga untuk Third order, proses Markov yang digunakan untuk meramal perilaku periode berikutnya terhadap merek-merek tertentu berdasarkan pola pemilihan merek para pelanggan selama tiga periode terakhir.
  • 155.
    RISET OPERASI &T.P KEPUTUSAN 13.1.2 Prosedur 2 – Menghitung Kemungkinan Market Share Di Waktu Yang Akan Datang: Market Share untuk merek A, B, C, dan D sekarang adalah 22, 30, 23, dan 25 persen untuk periode pertama. Manajemen akan memperoleh manfaat bila mereka mengetahui berapa market share-nya di periode waktu yang akan dating. Perhitungan market share yang mungkin untuk merek A, B, C, dan D dalam periode kedua dapat diperoleh dengan mengalikan matriks probabilitas transisi dengan market share pada periode pertama. Probabilitas Transisi Market Share Kemungkinan Periode Pertama Market Share Periode Kedua A B C D A 0,796 0,133 0,000 0,040 0,22 0,225 B 0,091 0,767 0,109 0,060 0,30 0,290 X = C 0,046 0,017 0,891 0,040 0,23 0,230 D 0,067 0,083 0,000 0,860 0,25 0,255 1,0 1,0 1,0 1,0 1,0 1,0 Keterangan: A) Perhitungan merek A (baris pertama x kolom pertama): 1) Kemampuan A untuk tetap menguasai langganannya sendiri dikalikan bagian pasar A 0,796 x 0,22 = 0,175 2) Kemampuan A untuk mendapatkan langganan B dikalikan bagian pasar B.
  • 156.
    RISET OPERASI &T.P KEPUTUSAN 0,133 x 0,30 = 0,040 3) Kemampuan A untuk mendapatkan langganan C dikalikan bagian pasar C. 0 x 0,23 = 0 4) Kemampuan A untuk mendapatkan langganan D dikalikan bagian pasar D. 0,040 x 0,25 = 0,010 Bagian pasar merek A pada periode kedua = 0,225 ======= B) Perhitungan merek B (baris kedua x kolom pertama): 0,091 x 0,22 = 0,020 0,767 x 0,30 = 0,230 0,109 x 0,23 = 0,025 0,060 x 0,25 = 0,015 Bagian pasar merek B pada periode Kedua = 0,290 ====== C) Perhitungan merek C (baris ketiga x kolom pertama): 0,046 x 0,22 = 0,010 0,017 x 0,30 = 0,005 0,891 x 0,23 = 0,205 0,040 x 0,25 = 0,010 Bagian pasar merek C pada periode kedua = 0,230 ======
  • 157.
    RISET OPERASI &T.P KEPUTUSAN D) Perhitungan merek D (baris keempat x kolom pertama): 0,067 x 0,22 = 0,015 0,083 x 0,30 = 0,025 0 x 0,23 = 0 0,860 x 0,25 = 0,215 Bagian pasar merek D pada periode kedua = 0,255 ====== 13.1.3 Prosedur 3 – Menentukan Kondisi-kondisi Ekuilibrium: Kondisi ekuilibrium tercapai hanya bila tidak ada pesaing yang mengubah matriks probabilitas transisi. Dalam keadaan ekulibirium pertukaran para pelanggan berkenaan dengan “retention”, “mendapatkan”, dan “kehilangan” akan statik. Masalahnya, berapa besarnya market share equilibrium? Beberapa matriks probabilitas transisi dapat digunakan untuk menggambarkan kondisi-kondisi ekuilibrium. Matriks probabilitas transisi di mana A tidak mendapatkan tetapi kehilangan ke B dan C adalah: A B C A 0,85 0 0 B 0,10 0,80 0,25 C 0,05 0,20 0,75 1,0 1,0 1,0 13.2 APLIKASI MODEL RANTAI MARKOV: Analisa model rantai Markov telah berkembang penggunaannya sebagai peralatan pengambilan keputusan manajemen dalam banyak bidang bisnis. Beberapa aplikasi model rantai Markov yang banyak dijumpai sekarang ini mencakup model- model kebijaksanaan, pengendalian kredit optimal, perilaku harga pasar saham, model keputusan persediaan, penggantian mesin-mesin, scheduling penerimaan di rumah
  • 158.
    RISET OPERASI &T.P KEPUTUSAN sakit, dan programisasi dinamis yang diterapkan pada beberapa perusahaan manufacturing.
  • 159.
    RISET OPERASI &T.P KEPUTUSAN BAB XIV SIMULASI Banyak sekali metode-metode di dalam riset operasi (operation research) yang dapat digunakan untuk memecahkan masalah, misalnya linear programming, inventory models, queuing, dynamic programming, dan sebagainya. Semua program atau metode itu sudah mempunyai rumus atau formula yang pasti. Oleh sebab itu tidak setiap masalah bisa cocok dengan salah satu di antara metode-metode tersebut. Di dalam metode simulasi (simulation) ini dicoba untuk menemukan model yang cocok dengan persoalan yang dihadapi. Perumusan persoalan dan pembuatan model ini dilakukan berdasarkan keadaan masalah yang dihadapi. Jadi, di dalam simulasi, kemungkinan model untuk masalah satu berbeda dengan model untuk masalah yang lain. Memang ada beberapa model simulasi yang dapat distandardisir, tetapi ini tidak selalu sesuai dengan masalah yang di hadapi, sehingga sebagian dari model simulasi harus disusun disesuaikan dengan masalah yang ada. Jadi model simulasi ini lebih fleksibel, karena dapat digunakan untuk memecahkan berbagai macam masalah. Simulasi adalah duplikasi atau abstraksi dari persoalan dalam kehidupan nyata kedalam model-model matematika. Dalam hal ini biasanya dilakukan penyederhanaan, sehingga pemecahan dengan model-model matematika bisa dilakukan. Sering kali di dalam model simulasi sudah dimasukkan unsure ketidakpastian. 14.1 BAHASA-BAHASA KOMPUTER UNTUK SIMULASI: Di dalam mengerjakan program simulasi biasanya digunakan komputer. Suatu cara untuk model simulasi adalah dengan membuat program1 didalam bahasa-bahasa komputer yang bersifat serbaguna (general purpose languages) seperti FORTRAN, ALGOL. 1 Program adalah kumpulan instruksi yang urutannya jelas dan pasti, yang sengaja disusun untuk suatu tujuan pengolahan tertentu. Di dalam program itu dicantumkan hubungan-hubungan matematis di antara variabel-variabel yang ada, hitungan-hitungan yang harus dilakukan, urutan-urutan mengerjakan yang seharusnya dilakukan komputer, dan sebagainya.
  • 160.
    RISET OPERASI &T.P KEPUTUSAN COBIL, atau PL/1. Meskipun bahsa-bahasa tersebut nisa digunakan untuk model simulasi, namun tidak bisa sebaik dan secermat bahasa-bahsa computer yang khusus dibuat untuk simulasi. Bahasa-bahasa simulasi bisa digunakan lebih cepat, kemungkinan kesalahannya lebih sedikit, dan lebih efisien daripada bahasa-bahsa serbaguna. Bahasa-bahasa computer untuk simulasi antara lain DYNAMO,GASP, GPSS V, dan SIMSCRIPT. DYNAMO adalah singkatan dari Dynamic Model, yaitu bahasa khusus untuk simulasi yang mula-mula dikembangkan di Massa Chusetts Institute of Technology (MIT). Program ini dapat digunakan untuk simulasi dari dynamic information feedback systems. Aplikasinya kebanyakan di bidang ekonomi, misalnya sistem produksi- distribusi serta kegiatan penelitian dan pengembangan. Pelopor penggunaan metode ini adalah Jay W. Forrester di MIT. GASP mula-mula dikembangkan oleh Philip J. Kiivat yang dulu dilakukan di United States Steel Corporation. Bahasa ini bisa digunakan untuk simulasi dari transportation system pada Steel Mill, simulasi dari cara-cara baru untuk membuat baja, dan simulasi untuk open-hearth steel making shop.2 GPSS adalah singkatan dari General Purpose Systems language, dibuat di IMB pada tahun 1960. Dalam perkembangan selanjutnya telah mengalami perbaikan- perbaikan, sehingga yang sekarang banyak digunakan adalah GPSS V yang penyempurnaanya dilakukan pada tahun 1972. SIMSCRIPT dibuat di RAND Corporation pada tahun 1961. Pengggunaan dari bahasa ini adalah dalam bidang manufacturing, logistic, dan system computer. Orientasi SIMSCRIPT adalah pada scheduling industry dan sistem antrian. Disamping bahasa-bahasa tersebut di atas masih ada lagi bahasa yang lain, misalnya SIMPAC, SIMULATE, GSP, ESP, CSL, MONTECODE, dan CLP. Selain SIMPAC dan SIMULATE program-program lain dibuat di Great Britain untuk computer- komputer di Eropa. 14.2 MODEL-MODEL SIMULASI: 14.2.1 Model Simulasi yang Stochastic: Model Stochastic adalah kebalikan dari model terministik, dan model statik kebalikan dari model dinamik. Model ini kadang-kadang juga disebut sebagai model
  • 161.
    RISET OPERASI &T.P KEPUTUSAN simulasi Monte Carlo. Di dalam proses stochastic sifat-sifat keluaran (output) dari proses ditentukan berdasarkan, dan merupakan hasil dari konsep random (acak). Meskipun output yang diperoleh dapat dinyatakan dengan rata-rata, namun kadang- kadang ditunjukkan pula pola penyimpangannya. 14.2.2 Model Simulasi yang Deterministik: Pada model ini tidak diperhatikan unsure random, sehingga pemecahan masalanya menjadi lebih sederhana. Contoh aplikasi dari model ini adalah dalam dispatching, line balancing, sequencing, dan plant layout. 14.2.3 Model Simulasi yang Dinamik dan yang Statik: Model simulasi yang dinamik adalah model yang memperhatikan perubahan- perubahan nilai dari variabel-variabel yang ada kalau terjadi pada waktu yang berbeda. Tetapi model statik tidak memperhatikan perubahan-perubahan ini. Contoh dari model simulasi yang statik ini adalah line balancing dan plant layout. Dalam perencanaan layout tentu saja diperlukan syarat keadaan-keadaan lain bersifat static. Sedang contoh dari model dinamik adalah inventory system, job shop model, dan sebagainya. 14.2.4 Model Simulasi yang Heuristik: Model yang heuristic adalah model yang dilakukan dengan cara coba-coba, kalau dilandasi suatu teori masih bersifat ringan, langkah perubahannya dilakukan berulang-ulang, dan pemilihan langkahnya bebas, sampai diperoleh hasil yang lebih baik, tetapi belum tentu optimal. Model stochastic adalah kebalikan dari model deterministic, sehingga keduanya bersifat saling meniadakan. Demikian pula hubungan antara model dinamik dengan model static juga bersifat saling meniadakan. Tetapi salah satu model stochastic atau model deterministic bisa digunakan bersama-sama dengan model dinamik atau dengan model static.
  • 162.
    RISET OPERASI &T.P KEPUTUSAN PENUTUP Demikianlah kumpulan rangkuman “RISET OPERSASI & T.P KEPUTUSAN” dalam penyelesaian rangkuman ini, saya banyak mengalami kesulitan namun, berkat bimbingan dan bantuan dari berbagai pihak akhirnya rangkuman ini dapat terselesaikan dengan cukup baik. Karena itu saya ucapkan terima kasih kepada semua pihak yang telah membantu dan membimbing dalam penyusunan rangkuman ini. Saya sadar bahwa rangkuman ini jauh dari kesempurnaan, oleh karena itu saya mengharapkan kritik dan saran positif yang membangun, agar penulisan rangkuman yang akan datang lebih baik lagi. Saya berharap semoga rangkuman sederhana ini dapat memberi manfaat bagi kita sekalian. Jakarta, Juni 2017 DAFTAR PUSTAKA
  • 163.
    RISET OPERASI &T.P KEPUTUSAN Drs. Pangestu Subagyo, M.B.A, Drs. Marwan Asri, M.B.A, Dr. T. Hani Handoko, M.B.A (Dasar-Dasar Operations Research, Edisi 2) Hamdy A. Taha (Riset Operasi, Edisi Kelima, Jilid 1) Prof. Johanes Supranto, M.A.,APU (Riset Operasi – Untuk Pengambilan Keputusan, Edisi Revisi)