PENGANTA
R
STATISTIKA
PENGUJIAN
HIPOTESIS
Rani Chahyani Ansar, S.Si, M.Si
HIPOTESIS
 Pengujian hipotesis merupakan bagian terpenting untuk
mengambil keputusan. Dengan ini, seorang peneliti
dapat menjawab pertanyaan yang diajukannya dengan
menyatakan penolakan atau penerimaan terhadap
hipotesis.
 Hipotesis adalah jawaban sementara sebelum
percobaan dilaksanakan, yang didasarkan pada hasil
studi literatur.
 Dua tipe hipotesis:
Hipotesis Korelatif, yaitu pernyataan tentang ada atau
tidak adanya hubungan antara dua variabel atau lebih.
Hipotesis Komparatif, yaitu pernyataan tentang ada atau
UJI HIPOTESIS
 Penarikan sejumlah contoh acak dari suatu populasi
lalu diamati karakteristiknya dan kemudian
dibandingkan dengan hipotesis yang diajukan,
merupakan suatu langkah melakukan uji hipotesis.
 Penolakan suatu hipotesis bukan berarti
menyimpulkan hipotesis salah, di mana bukti tidak
konsisten dengan hipotesis. Ini berarti data
menunjukkan bahwa telah ada perubahan pada
karakteristik populasi yang dihipotesiskan.
 Penerimaan hipotesis sebagai akibat tidak cukupnya
bukti untuk menolak dan tidak berimplikasi bahwa
hipotesis itu pasti benar.
JENIS KESALAHAN DALAM UJI
HIPOTESIS
 Dua jenis kesalahan dalam uji hipotesis:
Type I Error : Menolak H0 padahal H0 benar
Type II Error : Menerima H0 padahal H1 benar
 Peluang terjadinya Kesalahan jenis I = α (alpha),
disebut taraf nyata (level of significance) dan
peluang 1- α disebut tingkat kepercayaan
(confidence interval). Menyatakan peluang
menerima H0 dan H0 memang benar.
 Peluang terjadinya Kesalahan jenis II = β (betha),
dan peluang 1- β disebut kuasa pengujian (power
of test). Menyatakan peluang menolak H0 dan H0
memang salah.
PROSEDUR PENGUJIAN
HIPOTESIS
1. Menentukan formulasi hipotesis
2. Menentukan taraf nyata (significant level)
3. Menentukan kriteria pengujian
4. Menentukan nilai uji statistik
5. Membuat kesimpulan
PERUMUSAN HIPOTESIS
 Dinyatakan sebagai kalimat pernyataan
(deklaratif)
 Melibatkan minimal dua variabel penelitian
 Mengandung suatu prediksi
 Harus dapat diuji (testable)
FORMULASI HIPOTESIS
Dibedakan 2 jenis :
1. Hipotesis nol (Ho) : suatu pernyataan yg
akan diuji kebenarannya.
2. Hipotesis alternatif/tandingan (H1) : segala
hipotesis yg berbeda dgn hipotesis nol.
Pemilihan hipotesis ini tergantung dari sifat
masalah yg dihadapi
FORMULASI HIPOTESIS
Ada tiga bentuk uji hipotesis:
1. H0 : µ = µo
H1 : µ ≠ µo
2. H0 : µ < µo
H1 : µ > µo
3. H0 : µ > µo
H1 : µ < µo
 Satu sisi/arah
 Satu sisi/arah
 Dua sisi/arah
Contoh
 Berdasarkan informasi yang dikemukakan pada sebuah
media massa, bahwa harga beras jenis “A” di suatu wilayah
adalah Rp. 3.200,- (Pengujian Dua Pihak)
Ho : µ = Rp. 3.200,-
H1 : µ ≠ Rp. 3.200,-
 Berdasarkan informasi bahwa harga beras jenis “A” di suatu
wilayah tidak kurang dari Rp. 3.200,- (Pengujian Satu Pihak –
Kiri)
Ho : µ ≥ Rp. 3.200,-
H1 : µ < Rp. 3.200,-
 Berdasarkan informasi bahwa harga beras jenis “A” di suatu
wilayah tidak lebih dari Rp. 3.200,- (Pengujian Satu Pihak –
Kanan)
Ho : µ ≤ Rp. 3.200,-
Ho: µ = µ o
H1: µ ≠ µ o
daerah penerimaan H
Hipotesis H diterima jika: -z1/2(1- α) < z < z1/2(1- α)
Penolakan H
½ α
Penolakan H
½ α
UJI DUA PIHAK
MENENTUKAN TARAF NYATA (SIGNIFICANT
LEVEL)
 Besarnya batas toleransi dalam menerima
kesalahan hasil hipotesis terhadap nilai
parameter populasinya
 Besarnya taraf nyata bergantung pada
keberanian pembuat keputusan yang dlm hal
ini berapa besarnya kesalahan yang akan
ditolerir
 Besarnya kesalahan tersebut disebut sebagai
daerah kritis pengujian/daerah penolakan
MENENTUKAN KRITERIA
PENGUJIAN
 Bentuk pembuatan keputusan dalam menerima
atau menolak hipotesis nol dengan cara
membandingkan nilai α tabel distribusinya dengan
nilai statistiknya sesuai dengan bentuk
pengujiannya
 Terima Ho : nilai uji statistiknya berada di luar nilai
kritis
 Tolak Ho : nilai uji statistiknya berada dalam nilai
kritis
 Uji statistik merupakan rumus-rumus yang
berhubungan dgn distribusi tertentu dalam
- Jika simpangan baku populasi diketahui atau ukuran contoh
besar, maka statistik uji yang digunakan adalah normal
baku (z)
- Jika simpangan baku populasi tidak diketahui atau ukuran
contoh kecil (misal kurang dari 30), digunakan uji t-student
n
XX
Z
oo
hitung



 




n
s
X
s
oX
t
o
X
hitung
 



UJI STATISTIK
n = 9  db = 8; Nilai  ditentukan = 2.5% di kiri dan kanan kurva
t tabel (db, ) = t tabel(8; 0.025) = 2.306
Jadi t = 2.306 dan -t = -2.306
Arti Gambar di atas nilai t sampel berukuran n = 9,
berpeluang 95% jatuh dalam selang -2.306 < t < 2.306.
Peluang t >2.306 = 2.5 % dan Peluang t < -2.306 = 2.5 %
PEMBACAAN TABEL
DISTRIBUSI - T
MEMBUAT KESIMPULAN
 Penetapan keputusan dalam penerimaan atau
penolakan hipotesis nol sesuai dengan kriteria
pengujiannya
 Pembuatan kesimpulan dilakukan setelah
membandingkan nilai uji statistik dengan α
tabel / nilai kritis
Contoh 1
1. Manajemen PT JURAM menyatakan bahwa 95%
rokok produksinya rata-rata mengandung nikotin
1.80 mg, data tersebar normal. Yayasan
Konsumen melakukan pengujian nikotin terhadap
9 batang rokok dan diketahui rata-rata sampel =
1.95 mg nikotin dengan simpangan baku = 0.24
mg. Apakah hasil penelitian Yayasan Konsumen
mendukung pernyataan Manajemen PT JURAM?
Jawaban
 95 % berada dalam
selang  berarti 5 %
berada di luar selang;
 2.5 % di kiri t dan 2.5%
di kanan t
  = 2.5 % = 0.025
 n = 9  db = n - 1 = 8
 t tabel (db, ) = t-tabel
(8; 0.025) = 2.306
Jadi 95 % berada dalam
selang -2.306 < t <
2.306
Ho : µ = µo (sesuai)
H1 : µ ≠ µo (tidak
sesuai)
Diketahui:
= 1.95
S = 0.24
n = 9
 = 1.80
x
Jawaban
Nilai t hitung = 1.875 berada dalam selang
-2.306 < t < 2.306 (Terima Ho)
Jadi hasil penelitian Yayasan Konsumen masih sesuai
dengan pernyataan manajemen PT JURAM
Contoh 2
2. Dari suatu populasi normal, diambil contoh acak
berukuran 15, diperoleh rata-rata 10,366 dan ragam
contoh 1,946. Apabila kita mengetahui bahwa data
tersebut dibangkitkan dari populasi normal dengan
ragam 2, dan ingin diketahui apakah populasi
tersebut masih memiliki nilai tengah 10, maka kita
akan melakukan uji hipotesis. Gunakan tingkat
kepercayaan 95%.
Jawaban
Bentuk hipotesis : Uji dua pihak
Ho : µ = 10 H1 : µ ≠ 10
Karena ragam populasi diketahui, maka statistik uji yg
digunakan adalah uji statistik-z, yaitu:
002.1
15/2
1036.10


hitungz
1-α = 95%, jadi α = 5% atau 0.05, maka:
untuk Z0.05/2 = Z(0.025) = 0.5 – 0.025 = 0.4750
Dari tabel, |Z0.05/2| = 0,4750 = 1.96
Dengan demikian, karena Z hitung < |Z0.05/2|, maka kita
menerima Ho. Artinya, populasi tersebut masih memiliki nilai
tengah 10.
Contoh 3
3. Ada anggapan mengenai harga beras di pasar
bebas daerah kota “A” Rp. 600,-/Kg dengan
simpangan bakunya Rp. 25,-. Berangkat dari
anggapan tersebut diatas, selanjutnya diadakan
penelitian terhadap 40 kios beras sebagai sampel
yang diambil secara acak, dan ternyata diperoleh
informasi dari data tersebut rata-rata harga beras di
pasar bebas adalah sebesar Rp 594,-/kg.
Pertanyaan : Uji kebenaran anggapan diatas dengan
taraf nyata 5% ?
 Uji dua pihak:
Ho : µ = Rp. 600,-
H1 : µ ≠ Rp. 600,-
Perhitungan sampel:
Untuk Z0.05/2 = Z(0.025) = 0.5 – 0.025 = 0.4750
Z = ±1.96
X = µ0 ± (Za/2 ) (SX)
= 600 ± (1.96) (25/ √40)
= 600 ± 7.75
Jawaban
Sebuah pabrik rokok memproduksi dua merek
rokok yang berbeda. Ternyata 56 orang
diantara 200 perokok menyukai merek A dan
29 diantara 150 perokok menyukai merek B.
Dapatkah kita menyimpulkan pada taraf nyata
0,06 bahwa merek A terjual lebih banyak
daripada merek B?
LATIHAN
UJI BEDA DUA
MEAN
Rani Chahyani Ansar, S.Si, M.Si
 Menguji perbedaan rata-rata antara kelompok I dan
kelompok II
 Perlu diperhatikan apakah dua data tersebut adalah
dua kelompok yang independen atau dua kelompok
yang dependen (berpasangan)
 Data independen : bila data kelompok yang satu tidak
tergantung dari data kelompok kedua, misalnya
membandingkan mean tekanan darah sistolik orang
desa dengan orang kota.
 Data dependen/pasangan : bila kelompok data yang
dibandingkan datanya saling mempunyai
ketergantungan, misal data Berat Badan sebelum dan
sesudah mengikuti program diet
PENGUJIAN DENGAN DUA
MEAN
UJI T DEPENDEN (PAIRED SAMPELS
T-TEST)
 Untuk menguji perbedaan mean antara dua
kelompok data yang dependen.
 Uji ini banyak digunakan untuk penelitian
eksperimen.
Syarat/asumsi yang harus dipenuhi :
 Data berdistribusi normal/simetris
 Kedua kelompok data dependen
 Variabel yang dihubungkan berbentuk numerik
untuk variabel dependen dan kategorik dengan
hanya dua kelompok untuk variabel independen
 Contoh kasus : Apakah ada perbedaan tingkat
pengetahuan antara sebelum dan sesudah
pelatihan
 Hipotesa dalam Uji t dependen adalah:
Bila kita nyatakan perbedaan sebenarnya pada
populasi dengan :
 = µ1 - µ2
Maka hipotesis dapat ditulis :
Ho :  = 0
Ha :   0
UJI T DEPENDEN (PAIRED SAMPELS
T-TEST)
 Rumus uji t
d
T =
Sd_d /  n
df = n - 1
d = rata-rata deviasi/selisih nilai sesudah dengan sebelum
SD_d = standar deviasi dari nilai d/selisih sampel 1 dan
sampel 2
UJI T DEPENDEN (PAIRED SAMPELS
T-TEST)
Contoh
Seorang peneliti ingin mengetahui pengaruh
pemberian tablet Fe terhadap kadar Hb pada ibu
hamil. Sebanyak 10 ibu hamil diberi tablet Fe dan
diukur kadar Hb sebelum dan sesudah pemberian
Fe. Hasil pengukuran sbb :
Sebelum : 12,2 11,3 14,7 11,4 11,5 12,7 11,2
12,1 13,3 10,8
Sesudah : 13,0 13,4 16,0 13,6 14,0 13,8 13,5
13,8 15,5 13,2
Buktikan apakah ada perbedaan kadar Hb antara
sebelum dan sesudah pemberian tablet Fe,
dengan alpha 5%
Hipotesis
Ho :δ=0 (tdk ada perbedaan kadar Hb sebelum dan sesudah
pemberian Fe)
H1 : δ≠0 (ada perbedaan kadar Hb sebelum dan sesudah
pemberian Fe)
Perhitungan uji t :
Sebelum : 12,2 11,3 14,7 11,4 11,5 12,7 11,2 12,1 13,3 10,8
Sesudah : 13,0 13,4 16,0 13,6 14,0 13,8 13,5 13,8 15,5 13,2
deviasi : 0,8 2,1 1,3 2,2 2,5 1,1 2,3 1,7 2,2 2,4
(jumlah deviasi = 18,6)
Jawaban
 rata-rata deviasi : 18,6/10 = 1,86
 Standar deviasi dari nilai deviasinya (SD_d)=0,60
d 1,86
t = ------------------- t = --------------
Sd_d /  n 0,60/√ 10
t = 9,80
Kemudian dari nilai t tersebut dibandingkan dengan tabel t
dengan df = n – 1 = 9
.20 .10 .05 .01
1
9
.
1,383 1,833 2,262 3,250
-
 Dari soal diatas didapat t=9,80, dan df=9 maka
nilai t tabel adalah 2,26
 Keputusan uji statistik
t hitung ≥ t tabel sehingga Ho ditolak
t hitung < t tabel maka Ho diterima
Karena t hitung (9,80) > t tabel (2,26), maka Ho
ditolak
Jadi secara statistik ada perbedaan kadar Hb
antara sebelum dan sesudah diberi tablet Fe.
Jawaban
UJI-T INDEPENDEN
 Subjeknya berbeda. Mis : Responden orang kota
& orang desa
Syarat/asumsi yang harus dipenuhi :
 Data berdistribusi normal/simetris
 Kedua kelompok data independen
 Variabel yang dihubungkan berbentuk numerik
untuk variabel dependen dan kategorik dengan
hanya dua kelompok untuk variabel independen.
 Hipotesa dalam Uji t independen adalah:
 Dua sisi : Ho: µ1 = µ2 dan Ha: µ1  µ2
 Satu sisi : Ho: µ1 = µ2 dan Ha: µ1 > µ2
Ho: µ1 = µ2 dan Ha: µ1 < µ2
µ1 dan µ2 = rata-rata pada populasi 1 atau 2
 Prinsip pengujian dua mean adalah melihat perbedaan
variasi kedua kelompok data
 Perlu informasi apakah varian kedua kelompok yang
diuji sama atau tidak.
 Bentuk varian kedua kelompok data akan berpengaruh
pada nilai standar error yang pada akhirnya akan
membedakan rumus pengujiannya
UJI-T INDEPENDEN
 Perhitungannya dengan menggunakan uji F :
S1
2
F = -------------
S2
2
df1 = n1–1 dan df2 = n2–1
 Varian yang lebih besar sebagai pembilang dan varian
yang lebih kecil sebagai penyebut
F hitung ≥ F tabel maka Ho ditolak (varian beda)
F hitung < F tabel maka Ho gagal ditolak (varian sama)
UJI HOMOGENITAS VARIAN
Uji Untuk Varian Sama
x1 – x2
t = -----------------------------
Sp (1/n1 + 1/n2)
(n1 – 1) S1
2 + (n2 – 1) S2
2
Sp = ------------------------------------
n1 + n2 – 2
df = n1 + n2 – 2
Di mana :
x1 atau x2 = rata rata sampel kelompok 1 atau 2
n1 atau n2 = jumlah sampel kelompok 1 atau 2
S1 atau S2 = standard deviasi sampel kelompok 1 at
df = degree of freedom (derajat kebebasan)
Sp = varian populasi
Uji Untuk Varian Sama
Uji Untuk Varian Berbeda
x1 – x2
t = ------------------------------
(S1
2/ n1) + (S2
2 / n2 )
[ (S1
2/ n1 ) + (S2
2 / n2 ) ] 2
df = -----------------------------------------------------------
[ (S1
2/ n1)2 / (n1– 1) ] + [ (S2
2 / n2)2 / (n2 – 1) ]
 Seorang peneliti ingin menguji apakah ada
perbedaan nilai biostatistik antara mahasiswa
dan mahasiswi. Dengan mengambil 10
mahasiswa didapat rata-rata nilainya 70 dengan
standar deviasi 5, mahasiswi diambil 9 orang dan
rata-rata nilainya 68 dengan standar deviasi 6.
Ujilah dengan alpha 5% apakah ada perbedaan
nilai ?
Contoh
Pertama lakukan uji homogenitas varian
Ho : σ1
2 = σ1
2
(varian nilai mahaswa sama dengan varian nilai
mahasiswi)
Ha : σ1
2 ≠ σ1
2
(varian nilai mahaswa tidak sama dengan varian nilai
mahasiswi)
UJI F
S12
F = -------------
S22
Jawaban
 F = (6)2 / (5)2 = 1,44
df : numerator (pembilang) = 9 – 1 = 8
denumerator(penyebut) = 10 – 1 = 9
Kita lihat tabel F pada alpha 0.05
Numerator
Denumera
tor
1 2 8
8
9 3,23
 F hitung (1,44) < F tabel (3,23)
 Ho gagal ditolak varian sama
UJI BEDA MEAN
Ho : μa = µI (rata-rata nilai mahasiswa sama
dengan rata-rata nilai mahasiswi)
Ho : μa ≠ µI (rata-rata nilai mahasiswa tidak sama
dengan rata-rata nilai mahasiswi)
x1 – x2
t = -----------------------------
Sp (1/n1 + 1/n2)
Jawaban
68 – 70
t = -----------------------------
Sp (1/9 + 1/10)
Sp = 5,49
68 – 70
t = -----------------------------
5,49 (1/9 + 1/10)
t = - 0,79
df = 10 + 9 – 2 = 17
(kita cari nilai tabel t)
.10 .05 .025
t = 0,79 dengan df = 17
df
1
2
.
.
17
18
.
.
1,74 2,11
 T hitung < t tabel
maka Ho gagal ditolak
Jadi, tidak ada perbedaan yang bermakna nilai
statistik antara mahasiswa dengan mahasiswi
Jawaban
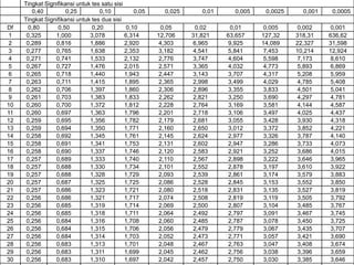
Tingkat Signifikansi untuk tes satu sisi
0,40 0,25 0,10 0,05 0,025 0,01 0,005 0,0025 0,001 0,0005
Tingkat Signifikansi untuk tes dua sisi
Df 0,80 0,50 0,20 0,10 0,05 0,02 0,01 0,005 0,002 0,001
1 0,325 1,000 3,078 6,314 12,706 31,821 63,657 127,32 318,31 636,62
2 0,289 0,816 1,886 2,920 4,303 6,965 9,925 14,089 22,327 31,598
3 0,277 0,765 1,638 2,353 3,182 4,541 5,841 7,453 10,214 12,924
4 0,271 0,741 1,533 2,132 2,776 3,747 4,604 5,598 7,173 8,610
5 0,267 0,727 1,476 2,015 2,571 3,365 4,032 4,773 5,893 6,869
6 0,265 0,718 1,440 1,943 2,447 3,143 3,707 4,317 5,208 5,959
7 0,263 0,711 1,415 1,895 2,365 2,998 3,499 4,029 4,785 5,408
8 0,262 0,706 1,397 1,860 2,306 2,896 3,355 3,833 4,501 5,041
9 0,261 0,703 1,383 1,833 2,262 2,821 3,250 3,690 4,297 4,781
10 0,260 0,700 1,372 1,812 2,228 2,764 3,169 3,581 4,144 4,587
11 0,260 0,697 1,363 1,796 2,201 2,718 3,106 3,497 4,025 4,437
12 0,259 0,695 1,356 1,782 2,179 2,681 3,055 3,428 3,930 4,318
13 0,259 0,694 1,350 1,771 2,160 2,650 3,012 3,372 3,852 4,221
14 0,258 0,692 1,345 1,761 2,145 2,624 2,977 3,326 3,787 4,140
15 0,258 0,691 1,341 1,753 2,131 2,602 2,947 3,286 3,733 4,073
16 0,258 0,690 1,337 1,746 2,120 2,583 2,921 3,252 3,686 4,015
17 0,257 0,689 1,333 1,740 2,110 2,567 2,898 3,222 3,646 3,965
18 0,257 0,688 1,330 1,734 2,101 2,552 2,878 3,197 3,610 3,922
19 0,257 0,688 1,328 1,729 2,093 2,539 2,861 3,174 3,579 3,883
20 0,257 0,687 1,325 1,725 2,086 2,528 2,845 3,153 3,552 3,850
21 0,257 0,686 1,323 1,721 2,080 2,518 2,831 3,135 3,527 3,819
22 0,256 0,686 1,321 1,717 2,074 2,508 2,819 3,119 3,505 3,792
23 0,256 0,685 1,319 1,714 2,069 2,500 2,807 3,104 3,485 3,767
24 0,256 0,685 1,318 1,711 2,064 2,492 2,797 3,091 3,467 3,745
25 0,256 0,684 1,316 1,708 2,060 2,485 2,787 3,078 3,450 3,725
26 0,256 0,684 1,315 1,706 2,056 2,479 2,779 3,067 3,435 3,707
27 0,256 0,684 1,314 1,703 2,052 2,473 2,771 3,057 3,421 3,690
28 0,256 0,683 1,313 1,701 2,048 2,467 2,763 3,047 3,408 3,674
29 0,256 0,683 1,311 1,699 2,045 2,462 2,756 3,038 3,396 3,659
30 0,256 0,683 1,310 1,697 2,042 2,457 2,750 3,030 3,385 3,646
1. Sebuah penelitian ingin mengetahui hubungan
antara pemberian pelatihan dengan peningkatan
pengetahuan ibu. Delapan ibu diambil sebagai
sampel. Sebelum dan setelah pelatihan ibu-ibu
tersebut diukur skor pengetahuannya dengan hasil
sbb :
Sebelum : 115 115 104 112 105 107 126 119
Sesudah : 117 128 102 120 112 115 130 120
Ujilah dengan alpha 5% apakah pemberian pelatihan
dapat meningkatkan nilai skor pengetahun ibu
LATIHAN
2.Sebuah penelitian ingin mengetahui hubungan
status merokok ibu hamil dengan BB bayi yang
dilahirkan. Sebagai sampel diambil 20 ibu hamil
yang tidak merokok dan 10 ibu hamil yang
merokok. Hasil penelitian didapat ibu yang
merokok melahirkan bayi dengan rata-rata BB 2,9
kg dengan standar deviasi 0,4 kg. Ibu yang tidak
merokok melahirkan bayi dengan rata-rata BB 3,2
kg dan standar deviasi 0,5 kg. Ujilah apakah ibu
yang merokok akan melahirkan bayi dengan berat
yang lebih rendah dibandingkan ibu yang tidak
merokok, alpha 5% ?
LATIHAN
REGRESI LINEAR
SEDERHANA
Rani Chahyani Ansar, S.Si, M.Si
Apa itu Regresi Linier ?
• Regresi merupakan alat ukur yg digunakan untuk
mengetahui ada tidaknya korelasi antarvariabel.
• Analisis regresi lebih akurat dlm analisis korelasi
karena tingkat perubahan suatu variabel terhdp
variabel lainnya dpt ditentukan). Jadi pada
regresi, peramalan atau perkiraan nilai variabel
terikat pada nilai variabel bebas lebih akurat pula.
• Regresi linier adalah regresi yang variabel
bebasnya (variabel X) berpangkat paling tinggi
satu. Utk regresi sederhana, yaitu regresi linier yg
hanya melibatkan dua variabel (variabel X dan Y).
Regresi Linear Sederhana
 Regresi linear Sederhana yaitu mempelajari
ketergantungan satu variabel tak bebas (dependent
variable) terhadap suatu variabel bebas (Independent
variable)
 Terdapat dua buah variabel random X dan Y. Pasangan
titik-titik (x,y) di gambar pada suatu sistem koordinat,
disebut sebagai scatter plot.
 Dari gambar tersebut kemudian divisualisasikan suatu
kurva mulus yang merupakan pendekatan dari data-data
tersebut.
 Garis regresi adalah garis linear yang merupakan garis
taksiran atau perkiraan untuk mewakili pola hubungan
antara dua buah variabel.
Regresi Linear Sederhana
 Bentuk umum Regresi Linier Sederhana dapat
ditulis sebagai :
 Dimana :
Y = Variabel tak bebas/ Dependent Variable
X = Variabel bebas / Independent Variable
a = Intersept / titik potong dengan sumbu Y
b = Slope / koefisien kemiringan / Gradien
garis
www.themegallery.com
Y a bX 
Regresi Linear Sederhana
Contoh :
 Dalam 12 bulan,
sebuah perusahaan
mencatat besarnya
biaya iklan yang
dikeluarkan dan hasil
yang didapat oleh
perusahaan tersebut.
Disajikan dalam tabel
berikut (Dalam $):
www.themegallery.com
Bulan Biaya iklan Pendapatan
1 20 27
2 20 23
3 25 31
4 28 45
5 29 47
6 28 42
7 31 39
8 34 45
9 35 57
10 36 59
11 41 73
12 45 84
Regresi Linear Sederhana
Scatter Plot
www.themegallery.com
Garis Regresi Linear
Sederhana
 Untuk menentukan persamaan garis regresi
maka ditentukan koefisien dari a dan b.
 a dan b ditentukan dengan mencari jarak
kuadrat dari masing-masing data dan garis
regresinya (Error) paling kecil atau disebut
metode kuadrat terkecil (Least square
method)
Mencari nilai a dan b
 Rumus 1
 Rumus 2
22
22
2
)())((
))(())((
)())((
))(())((
XXn
YXXYn
b
XXn
XYXXY
a






_____
22
.
)())((
))(())((
XbYa
XXn
YXXYn
b




Mencari Nilai a dan b
 Pendekatan Matriks
















































XYX
Yn
A
XXY
XY
A
XX
Xn
A
A
A
b
A
A
a
XY
Y
b
a
XX
Xn
2212
21
2
det
det
det
det
))(())((det
))(())((det
))(())((det
2
2
1
2
XYXYnA
XYXXYA
XXXnA



Contoh Soal
Berikut ini data mengenai pengalaman kerja dan
penjualan
X=pengalaman kerja (tahun)
Y=omzet penjualan (ribuan)
• Tentukan nilai a dan b (gunakan ketiga cara)!
• Buatkan persamaan regresinya!
• Berapa omzet pengjualan dari seorang
karyawan yg pengalaman kerjanya 3,5 tahun
X 2 3 2 5 6 1 4 1
Y 5 8 8 7 11 3 10 4
Penyelesaian :
X Y X2 Y2 XY
2 5 4 25 10
3 8 9 64 24
2 8 4 64 16
5 7 25 49 35
6 11 36 121 66
1 3 1 9 3
4 10 16 100 40
1 4 1 16 4
24 56 96 448 198
7
8
56
3
8
24 ______
 YX
25,3
576768
752.4376.5
)24()96)(8(
)198)(24()96)(56(
2







a
a
25,1
576768
344.1584.1
)24()96)(8(
)56)(24()198)(8(
2







b
b
Cara 1.
Cara 2.
25,1
192
240
25,3
192
624
240)24)(56()198)(8(det
624)198)(24()96)(56(det
192)2424()96)(8(det
19824
568
96198
2456
9624
248
198
56
9624
248
2
1
21









































ba
A
A
A
AAA
b
a
Cara 3
a. Dari ketiga cara pengerjaan tersebut diperoleh
nilai a = 3,25 dan nilai b = 1,25
b. Persamaan regresi linearnya adalah
Y=3,25+1,25X
c. Nilai duga Y, jika X=3,5 adalah Y=3,25+1,25X
Y=3,25+1,25(3,5)
=7,625
25,3
)3(25,17
25,1
576768
344.1548.1
)24()96)(8(
)56)(24()198)(8(
2









a
a
b
b
Grafik Regresi Linear
y = 1.25x + 3.25
R² = 0.669
0
2
4
6
8
10
12
0 1 2 3 4 5 6 7
OmzetPenjualan(Ribuan)
Pengalaman Kerja (Tahun)
Hubungan Pengalaman Kerja terhadap
Omzet Penjualan
Koefisien Determinasi (R2)
6696,0
016.86
600.57
)448)(192(
)240(
)136.3584.3()576768(
)344.1584.1(
))56()448(8()24()96(8(
))56)(24()198)(8((
))()(()()((
)))(())(((
2
2
2
2
22
2
2
2222
2
2










R
R
R
YYnXXn
YXXYn
R
Nilai determinasi (R2) sebesar 0,6696, artinya sumbangan atau pengaruh pegalaman
Kerja terhadap naik turunnya omzet penjualan adalah sebesar 66,96%. Sisanya 33,04%
disebabkan oleh faktor lain yang tidak dimasukkan dalam model.
SELISIH TAKSIR STANDAR
(STANDAR DEVIASI)
 Angka indeks yg digunakan utk mengukur
ketepatan suatu penduga atau mengukur jumlah
variasi titik-titik observasi di sekitar garis regresi.
 Jika semua titik observasi berada tepat pada
garis regresi, selisih taksir standar sama dengan
nol. Menunjukkan pencaran data.
 Selisih taksir standar berguna mengetahui
batasan seberapa jauh melesetnya perkiraan
dalam meramal data.
Rumus
2
)'(
2
)'(
2
./
2
./






n
YX
SeSS
atau
n
YY
SeSS
xyyx
yxxy
Keterangan :
Sy/x = Sx/y = Selisih taksir standar
Y = X = nilai variabel sebenarnya
Y’ = X’= nilai variabel yang diperkirakan
n = jumlah frekuensi
Contoh :
 Hubungan antara variabel X dan variabel Y
a. Buatkan persamaan regresinya
b. Tentukan nilai duga Y, jika X = 8
c. Tentukan selisih taksir standarnya
X 1 2 3 4 5 6
Y 6 4 3 5 4 2
Penyelesaian
X Y X2
Y2
XY
1 6 1 36 6
2 4 4 16 8
3 3 9 9 9
4 5 16 25 20
5 4 25 16 20
6 2 36 4 12
21 24 91 106 75

















6
21
)5,0(
6
24
.
5,0
105
54
)21()91(6
)24)(21()75(6
)()(
))(()(
2
22
a
XbYa
b
b
XXn
YXXYn
b
a. Persamaan garis regresinya:
Y’ = 5,75 – 0,5 X
b. Nilai duga Y’, jika X=8
Y’ = 5,75 – 0,5 (8)
Y’ = 1,75
c. Selisih taksir standar
X Y Y' Y-Y' (Y-Y')2
1 6 5.25 0.75 0.5625
2 4 4.75 -0.8 0.5625
3 3 4.25 -1.3 1.5625
4 5 3.75 1.25 1.5625
5 4 3.25 0.75 0.5625
6 2 2.75 -0.8 0.5625
5.375
2,1
26
375,5
2
)'(
/
2
/






xy
xy
S
n
YY
S

Pengantar statistika 4

  • 1.
  • 2.
  • 3.
    HIPOTESIS  Pengujian hipotesismerupakan bagian terpenting untuk mengambil keputusan. Dengan ini, seorang peneliti dapat menjawab pertanyaan yang diajukannya dengan menyatakan penolakan atau penerimaan terhadap hipotesis.  Hipotesis adalah jawaban sementara sebelum percobaan dilaksanakan, yang didasarkan pada hasil studi literatur.  Dua tipe hipotesis: Hipotesis Korelatif, yaitu pernyataan tentang ada atau tidak adanya hubungan antara dua variabel atau lebih. Hipotesis Komparatif, yaitu pernyataan tentang ada atau
  • 4.
    UJI HIPOTESIS  Penarikansejumlah contoh acak dari suatu populasi lalu diamati karakteristiknya dan kemudian dibandingkan dengan hipotesis yang diajukan, merupakan suatu langkah melakukan uji hipotesis.  Penolakan suatu hipotesis bukan berarti menyimpulkan hipotesis salah, di mana bukti tidak konsisten dengan hipotesis. Ini berarti data menunjukkan bahwa telah ada perubahan pada karakteristik populasi yang dihipotesiskan.  Penerimaan hipotesis sebagai akibat tidak cukupnya bukti untuk menolak dan tidak berimplikasi bahwa hipotesis itu pasti benar.
  • 5.
    JENIS KESALAHAN DALAMUJI HIPOTESIS  Dua jenis kesalahan dalam uji hipotesis: Type I Error : Menolak H0 padahal H0 benar Type II Error : Menerima H0 padahal H1 benar  Peluang terjadinya Kesalahan jenis I = α (alpha), disebut taraf nyata (level of significance) dan peluang 1- α disebut tingkat kepercayaan (confidence interval). Menyatakan peluang menerima H0 dan H0 memang benar.  Peluang terjadinya Kesalahan jenis II = β (betha), dan peluang 1- β disebut kuasa pengujian (power of test). Menyatakan peluang menolak H0 dan H0 memang salah.
  • 6.
    PROSEDUR PENGUJIAN HIPOTESIS 1. Menentukanformulasi hipotesis 2. Menentukan taraf nyata (significant level) 3. Menentukan kriteria pengujian 4. Menentukan nilai uji statistik 5. Membuat kesimpulan
  • 7.
    PERUMUSAN HIPOTESIS  Dinyatakansebagai kalimat pernyataan (deklaratif)  Melibatkan minimal dua variabel penelitian  Mengandung suatu prediksi  Harus dapat diuji (testable)
  • 8.
    FORMULASI HIPOTESIS Dibedakan 2jenis : 1. Hipotesis nol (Ho) : suatu pernyataan yg akan diuji kebenarannya. 2. Hipotesis alternatif/tandingan (H1) : segala hipotesis yg berbeda dgn hipotesis nol. Pemilihan hipotesis ini tergantung dari sifat masalah yg dihadapi
  • 9.
    FORMULASI HIPOTESIS Ada tigabentuk uji hipotesis: 1. H0 : µ = µo H1 : µ ≠ µo 2. H0 : µ < µo H1 : µ > µo 3. H0 : µ > µo H1 : µ < µo  Satu sisi/arah  Satu sisi/arah  Dua sisi/arah
  • 10.
    Contoh  Berdasarkan informasiyang dikemukakan pada sebuah media massa, bahwa harga beras jenis “A” di suatu wilayah adalah Rp. 3.200,- (Pengujian Dua Pihak) Ho : µ = Rp. 3.200,- H1 : µ ≠ Rp. 3.200,-  Berdasarkan informasi bahwa harga beras jenis “A” di suatu wilayah tidak kurang dari Rp. 3.200,- (Pengujian Satu Pihak – Kiri) Ho : µ ≥ Rp. 3.200,- H1 : µ < Rp. 3.200,-  Berdasarkan informasi bahwa harga beras jenis “A” di suatu wilayah tidak lebih dari Rp. 3.200,- (Pengujian Satu Pihak – Kanan) Ho : µ ≤ Rp. 3.200,-
  • 11.
    Ho: µ =µ o H1: µ ≠ µ o daerah penerimaan H Hipotesis H diterima jika: -z1/2(1- α) < z < z1/2(1- α) Penolakan H ½ α Penolakan H ½ α UJI DUA PIHAK
  • 12.
    MENENTUKAN TARAF NYATA(SIGNIFICANT LEVEL)  Besarnya batas toleransi dalam menerima kesalahan hasil hipotesis terhadap nilai parameter populasinya  Besarnya taraf nyata bergantung pada keberanian pembuat keputusan yang dlm hal ini berapa besarnya kesalahan yang akan ditolerir  Besarnya kesalahan tersebut disebut sebagai daerah kritis pengujian/daerah penolakan
  • 13.
    MENENTUKAN KRITERIA PENGUJIAN  Bentukpembuatan keputusan dalam menerima atau menolak hipotesis nol dengan cara membandingkan nilai α tabel distribusinya dengan nilai statistiknya sesuai dengan bentuk pengujiannya  Terima Ho : nilai uji statistiknya berada di luar nilai kritis  Tolak Ho : nilai uji statistiknya berada dalam nilai kritis  Uji statistik merupakan rumus-rumus yang berhubungan dgn distribusi tertentu dalam
  • 14.
    - Jika simpanganbaku populasi diketahui atau ukuran contoh besar, maka statistik uji yang digunakan adalah normal baku (z) - Jika simpangan baku populasi tidak diketahui atau ukuran contoh kecil (misal kurang dari 30), digunakan uji t-student n XX Z oo hitung          n s X s oX t o X hitung      UJI STATISTIK
  • 15.
    n = 9 db = 8; Nilai  ditentukan = 2.5% di kiri dan kanan kurva t tabel (db, ) = t tabel(8; 0.025) = 2.306 Jadi t = 2.306 dan -t = -2.306 Arti Gambar di atas nilai t sampel berukuran n = 9, berpeluang 95% jatuh dalam selang -2.306 < t < 2.306. Peluang t >2.306 = 2.5 % dan Peluang t < -2.306 = 2.5 % PEMBACAAN TABEL DISTRIBUSI - T
  • 16.
    MEMBUAT KESIMPULAN  Penetapankeputusan dalam penerimaan atau penolakan hipotesis nol sesuai dengan kriteria pengujiannya  Pembuatan kesimpulan dilakukan setelah membandingkan nilai uji statistik dengan α tabel / nilai kritis
  • 17.
    Contoh 1 1. ManajemenPT JURAM menyatakan bahwa 95% rokok produksinya rata-rata mengandung nikotin 1.80 mg, data tersebar normal. Yayasan Konsumen melakukan pengujian nikotin terhadap 9 batang rokok dan diketahui rata-rata sampel = 1.95 mg nikotin dengan simpangan baku = 0.24 mg. Apakah hasil penelitian Yayasan Konsumen mendukung pernyataan Manajemen PT JURAM?
  • 18.
    Jawaban  95 %berada dalam selang  berarti 5 % berada di luar selang;  2.5 % di kiri t dan 2.5% di kanan t   = 2.5 % = 0.025  n = 9  db = n - 1 = 8  t tabel (db, ) = t-tabel (8; 0.025) = 2.306 Jadi 95 % berada dalam selang -2.306 < t < 2.306 Ho : µ = µo (sesuai) H1 : µ ≠ µo (tidak sesuai) Diketahui: = 1.95 S = 0.24 n = 9  = 1.80 x
  • 19.
    Jawaban Nilai t hitung= 1.875 berada dalam selang -2.306 < t < 2.306 (Terima Ho) Jadi hasil penelitian Yayasan Konsumen masih sesuai dengan pernyataan manajemen PT JURAM
  • 20.
    Contoh 2 2. Darisuatu populasi normal, diambil contoh acak berukuran 15, diperoleh rata-rata 10,366 dan ragam contoh 1,946. Apabila kita mengetahui bahwa data tersebut dibangkitkan dari populasi normal dengan ragam 2, dan ingin diketahui apakah populasi tersebut masih memiliki nilai tengah 10, maka kita akan melakukan uji hipotesis. Gunakan tingkat kepercayaan 95%.
  • 21.
    Jawaban Bentuk hipotesis :Uji dua pihak Ho : µ = 10 H1 : µ ≠ 10 Karena ragam populasi diketahui, maka statistik uji yg digunakan adalah uji statistik-z, yaitu: 002.1 15/2 1036.10   hitungz 1-α = 95%, jadi α = 5% atau 0.05, maka: untuk Z0.05/2 = Z(0.025) = 0.5 – 0.025 = 0.4750 Dari tabel, |Z0.05/2| = 0,4750 = 1.96 Dengan demikian, karena Z hitung < |Z0.05/2|, maka kita menerima Ho. Artinya, populasi tersebut masih memiliki nilai tengah 10.
  • 22.
    Contoh 3 3. Adaanggapan mengenai harga beras di pasar bebas daerah kota “A” Rp. 600,-/Kg dengan simpangan bakunya Rp. 25,-. Berangkat dari anggapan tersebut diatas, selanjutnya diadakan penelitian terhadap 40 kios beras sebagai sampel yang diambil secara acak, dan ternyata diperoleh informasi dari data tersebut rata-rata harga beras di pasar bebas adalah sebesar Rp 594,-/kg. Pertanyaan : Uji kebenaran anggapan diatas dengan taraf nyata 5% ?
  • 23.
     Uji duapihak: Ho : µ = Rp. 600,- H1 : µ ≠ Rp. 600,- Perhitungan sampel: Untuk Z0.05/2 = Z(0.025) = 0.5 – 0.025 = 0.4750 Z = ±1.96 X = µ0 ± (Za/2 ) (SX) = 600 ± (1.96) (25/ √40) = 600 ± 7.75 Jawaban
  • 24.
    Sebuah pabrik rokokmemproduksi dua merek rokok yang berbeda. Ternyata 56 orang diantara 200 perokok menyukai merek A dan 29 diantara 150 perokok menyukai merek B. Dapatkah kita menyimpulkan pada taraf nyata 0,06 bahwa merek A terjual lebih banyak daripada merek B? LATIHAN
  • 25.
    UJI BEDA DUA MEAN RaniChahyani Ansar, S.Si, M.Si
  • 26.
     Menguji perbedaanrata-rata antara kelompok I dan kelompok II  Perlu diperhatikan apakah dua data tersebut adalah dua kelompok yang independen atau dua kelompok yang dependen (berpasangan)  Data independen : bila data kelompok yang satu tidak tergantung dari data kelompok kedua, misalnya membandingkan mean tekanan darah sistolik orang desa dengan orang kota.  Data dependen/pasangan : bila kelompok data yang dibandingkan datanya saling mempunyai ketergantungan, misal data Berat Badan sebelum dan sesudah mengikuti program diet PENGUJIAN DENGAN DUA MEAN
  • 27.
    UJI T DEPENDEN(PAIRED SAMPELS T-TEST)  Untuk menguji perbedaan mean antara dua kelompok data yang dependen.  Uji ini banyak digunakan untuk penelitian eksperimen. Syarat/asumsi yang harus dipenuhi :  Data berdistribusi normal/simetris  Kedua kelompok data dependen  Variabel yang dihubungkan berbentuk numerik untuk variabel dependen dan kategorik dengan hanya dua kelompok untuk variabel independen
  • 28.
     Contoh kasus: Apakah ada perbedaan tingkat pengetahuan antara sebelum dan sesudah pelatihan  Hipotesa dalam Uji t dependen adalah: Bila kita nyatakan perbedaan sebenarnya pada populasi dengan :  = µ1 - µ2 Maka hipotesis dapat ditulis : Ho :  = 0 Ha :   0 UJI T DEPENDEN (PAIRED SAMPELS T-TEST)
  • 29.
     Rumus ujit d T = Sd_d /  n df = n - 1 d = rata-rata deviasi/selisih nilai sesudah dengan sebelum SD_d = standar deviasi dari nilai d/selisih sampel 1 dan sampel 2 UJI T DEPENDEN (PAIRED SAMPELS T-TEST)
  • 30.
    Contoh Seorang peneliti inginmengetahui pengaruh pemberian tablet Fe terhadap kadar Hb pada ibu hamil. Sebanyak 10 ibu hamil diberi tablet Fe dan diukur kadar Hb sebelum dan sesudah pemberian Fe. Hasil pengukuran sbb : Sebelum : 12,2 11,3 14,7 11,4 11,5 12,7 11,2 12,1 13,3 10,8 Sesudah : 13,0 13,4 16,0 13,6 14,0 13,8 13,5 13,8 15,5 13,2 Buktikan apakah ada perbedaan kadar Hb antara sebelum dan sesudah pemberian tablet Fe, dengan alpha 5%
  • 31.
    Hipotesis Ho :δ=0 (tdkada perbedaan kadar Hb sebelum dan sesudah pemberian Fe) H1 : δ≠0 (ada perbedaan kadar Hb sebelum dan sesudah pemberian Fe) Perhitungan uji t : Sebelum : 12,2 11,3 14,7 11,4 11,5 12,7 11,2 12,1 13,3 10,8 Sesudah : 13,0 13,4 16,0 13,6 14,0 13,8 13,5 13,8 15,5 13,2 deviasi : 0,8 2,1 1,3 2,2 2,5 1,1 2,3 1,7 2,2 2,4 (jumlah deviasi = 18,6) Jawaban
  • 32.
     rata-rata deviasi: 18,6/10 = 1,86  Standar deviasi dari nilai deviasinya (SD_d)=0,60 d 1,86 t = ------------------- t = -------------- Sd_d /  n 0,60/√ 10 t = 9,80 Kemudian dari nilai t tersebut dibandingkan dengan tabel t dengan df = n – 1 = 9 .20 .10 .05 .01 1 9 . 1,383 1,833 2,262 3,250 -
  • 33.
     Dari soaldiatas didapat t=9,80, dan df=9 maka nilai t tabel adalah 2,26  Keputusan uji statistik t hitung ≥ t tabel sehingga Ho ditolak t hitung < t tabel maka Ho diterima Karena t hitung (9,80) > t tabel (2,26), maka Ho ditolak Jadi secara statistik ada perbedaan kadar Hb antara sebelum dan sesudah diberi tablet Fe. Jawaban
  • 34.
    UJI-T INDEPENDEN  Subjeknyaberbeda. Mis : Responden orang kota & orang desa Syarat/asumsi yang harus dipenuhi :  Data berdistribusi normal/simetris  Kedua kelompok data independen  Variabel yang dihubungkan berbentuk numerik untuk variabel dependen dan kategorik dengan hanya dua kelompok untuk variabel independen.
  • 35.
     Hipotesa dalamUji t independen adalah:  Dua sisi : Ho: µ1 = µ2 dan Ha: µ1  µ2  Satu sisi : Ho: µ1 = µ2 dan Ha: µ1 > µ2 Ho: µ1 = µ2 dan Ha: µ1 < µ2 µ1 dan µ2 = rata-rata pada populasi 1 atau 2  Prinsip pengujian dua mean adalah melihat perbedaan variasi kedua kelompok data  Perlu informasi apakah varian kedua kelompok yang diuji sama atau tidak.  Bentuk varian kedua kelompok data akan berpengaruh pada nilai standar error yang pada akhirnya akan membedakan rumus pengujiannya UJI-T INDEPENDEN
  • 36.
     Perhitungannya denganmenggunakan uji F : S1 2 F = ------------- S2 2 df1 = n1–1 dan df2 = n2–1  Varian yang lebih besar sebagai pembilang dan varian yang lebih kecil sebagai penyebut F hitung ≥ F tabel maka Ho ditolak (varian beda) F hitung < F tabel maka Ho gagal ditolak (varian sama) UJI HOMOGENITAS VARIAN
  • 37.
    Uji Untuk VarianSama x1 – x2 t = ----------------------------- Sp (1/n1 + 1/n2) (n1 – 1) S1 2 + (n2 – 1) S2 2 Sp = ------------------------------------ n1 + n2 – 2 df = n1 + n2 – 2
  • 38.
    Di mana : x1atau x2 = rata rata sampel kelompok 1 atau 2 n1 atau n2 = jumlah sampel kelompok 1 atau 2 S1 atau S2 = standard deviasi sampel kelompok 1 at df = degree of freedom (derajat kebebasan) Sp = varian populasi Uji Untuk Varian Sama
  • 39.
    Uji Untuk VarianBerbeda x1 – x2 t = ------------------------------ (S1 2/ n1) + (S2 2 / n2 ) [ (S1 2/ n1 ) + (S2 2 / n2 ) ] 2 df = ----------------------------------------------------------- [ (S1 2/ n1)2 / (n1– 1) ] + [ (S2 2 / n2)2 / (n2 – 1) ]
  • 40.
     Seorang penelitiingin menguji apakah ada perbedaan nilai biostatistik antara mahasiswa dan mahasiswi. Dengan mengambil 10 mahasiswa didapat rata-rata nilainya 70 dengan standar deviasi 5, mahasiswi diambil 9 orang dan rata-rata nilainya 68 dengan standar deviasi 6. Ujilah dengan alpha 5% apakah ada perbedaan nilai ? Contoh
  • 41.
    Pertama lakukan ujihomogenitas varian Ho : σ1 2 = σ1 2 (varian nilai mahaswa sama dengan varian nilai mahasiswi) Ha : σ1 2 ≠ σ1 2 (varian nilai mahaswa tidak sama dengan varian nilai mahasiswi) UJI F S12 F = ------------- S22 Jawaban
  • 42.
     F =(6)2 / (5)2 = 1,44 df : numerator (pembilang) = 9 – 1 = 8 denumerator(penyebut) = 10 – 1 = 9 Kita lihat tabel F pada alpha 0.05 Numerator Denumera tor 1 2 8 8 9 3,23
  • 43.
     F hitung(1,44) < F tabel (3,23)  Ho gagal ditolak varian sama UJI BEDA MEAN Ho : μa = µI (rata-rata nilai mahasiswa sama dengan rata-rata nilai mahasiswi) Ho : μa ≠ µI (rata-rata nilai mahasiswa tidak sama dengan rata-rata nilai mahasiswi) x1 – x2 t = ----------------------------- Sp (1/n1 + 1/n2) Jawaban
  • 44.
    68 – 70 t= ----------------------------- Sp (1/9 + 1/10) Sp = 5,49 68 – 70 t = ----------------------------- 5,49 (1/9 + 1/10) t = - 0,79 df = 10 + 9 – 2 = 17 (kita cari nilai tabel t)
  • 45.
    .10 .05 .025 t= 0,79 dengan df = 17 df 1 2 . . 17 18 . . 1,74 2,11
  • 46.
     T hitung< t tabel maka Ho gagal ditolak Jadi, tidak ada perbedaan yang bermakna nilai statistik antara mahasiswa dengan mahasiswi Jawaban
  • 47.
    Tingkat Signifikansi untuktes satu sisi 0,40 0,25 0,10 0,05 0,025 0,01 0,005 0,0025 0,001 0,0005 Tingkat Signifikansi untuk tes dua sisi Df 0,80 0,50 0,20 0,10 0,05 0,02 0,01 0,005 0,002 0,001 1 0,325 1,000 3,078 6,314 12,706 31,821 63,657 127,32 318,31 636,62 2 0,289 0,816 1,886 2,920 4,303 6,965 9,925 14,089 22,327 31,598 3 0,277 0,765 1,638 2,353 3,182 4,541 5,841 7,453 10,214 12,924 4 0,271 0,741 1,533 2,132 2,776 3,747 4,604 5,598 7,173 8,610 5 0,267 0,727 1,476 2,015 2,571 3,365 4,032 4,773 5,893 6,869 6 0,265 0,718 1,440 1,943 2,447 3,143 3,707 4,317 5,208 5,959 7 0,263 0,711 1,415 1,895 2,365 2,998 3,499 4,029 4,785 5,408 8 0,262 0,706 1,397 1,860 2,306 2,896 3,355 3,833 4,501 5,041 9 0,261 0,703 1,383 1,833 2,262 2,821 3,250 3,690 4,297 4,781 10 0,260 0,700 1,372 1,812 2,228 2,764 3,169 3,581 4,144 4,587 11 0,260 0,697 1,363 1,796 2,201 2,718 3,106 3,497 4,025 4,437 12 0,259 0,695 1,356 1,782 2,179 2,681 3,055 3,428 3,930 4,318 13 0,259 0,694 1,350 1,771 2,160 2,650 3,012 3,372 3,852 4,221 14 0,258 0,692 1,345 1,761 2,145 2,624 2,977 3,326 3,787 4,140 15 0,258 0,691 1,341 1,753 2,131 2,602 2,947 3,286 3,733 4,073 16 0,258 0,690 1,337 1,746 2,120 2,583 2,921 3,252 3,686 4,015 17 0,257 0,689 1,333 1,740 2,110 2,567 2,898 3,222 3,646 3,965 18 0,257 0,688 1,330 1,734 2,101 2,552 2,878 3,197 3,610 3,922 19 0,257 0,688 1,328 1,729 2,093 2,539 2,861 3,174 3,579 3,883 20 0,257 0,687 1,325 1,725 2,086 2,528 2,845 3,153 3,552 3,850 21 0,257 0,686 1,323 1,721 2,080 2,518 2,831 3,135 3,527 3,819 22 0,256 0,686 1,321 1,717 2,074 2,508 2,819 3,119 3,505 3,792 23 0,256 0,685 1,319 1,714 2,069 2,500 2,807 3,104 3,485 3,767 24 0,256 0,685 1,318 1,711 2,064 2,492 2,797 3,091 3,467 3,745 25 0,256 0,684 1,316 1,708 2,060 2,485 2,787 3,078 3,450 3,725 26 0,256 0,684 1,315 1,706 2,056 2,479 2,779 3,067 3,435 3,707 27 0,256 0,684 1,314 1,703 2,052 2,473 2,771 3,057 3,421 3,690 28 0,256 0,683 1,313 1,701 2,048 2,467 2,763 3,047 3,408 3,674 29 0,256 0,683 1,311 1,699 2,045 2,462 2,756 3,038 3,396 3,659 30 0,256 0,683 1,310 1,697 2,042 2,457 2,750 3,030 3,385 3,646
  • 48.
    1. Sebuah penelitianingin mengetahui hubungan antara pemberian pelatihan dengan peningkatan pengetahuan ibu. Delapan ibu diambil sebagai sampel. Sebelum dan setelah pelatihan ibu-ibu tersebut diukur skor pengetahuannya dengan hasil sbb : Sebelum : 115 115 104 112 105 107 126 119 Sesudah : 117 128 102 120 112 115 130 120 Ujilah dengan alpha 5% apakah pemberian pelatihan dapat meningkatkan nilai skor pengetahun ibu LATIHAN
  • 49.
    2.Sebuah penelitian inginmengetahui hubungan status merokok ibu hamil dengan BB bayi yang dilahirkan. Sebagai sampel diambil 20 ibu hamil yang tidak merokok dan 10 ibu hamil yang merokok. Hasil penelitian didapat ibu yang merokok melahirkan bayi dengan rata-rata BB 2,9 kg dengan standar deviasi 0,4 kg. Ibu yang tidak merokok melahirkan bayi dengan rata-rata BB 3,2 kg dan standar deviasi 0,5 kg. Ujilah apakah ibu yang merokok akan melahirkan bayi dengan berat yang lebih rendah dibandingkan ibu yang tidak merokok, alpha 5% ? LATIHAN
  • 50.
  • 51.
    Apa itu RegresiLinier ? • Regresi merupakan alat ukur yg digunakan untuk mengetahui ada tidaknya korelasi antarvariabel. • Analisis regresi lebih akurat dlm analisis korelasi karena tingkat perubahan suatu variabel terhdp variabel lainnya dpt ditentukan). Jadi pada regresi, peramalan atau perkiraan nilai variabel terikat pada nilai variabel bebas lebih akurat pula. • Regresi linier adalah regresi yang variabel bebasnya (variabel X) berpangkat paling tinggi satu. Utk regresi sederhana, yaitu regresi linier yg hanya melibatkan dua variabel (variabel X dan Y).
  • 52.
    Regresi Linear Sederhana Regresi linear Sederhana yaitu mempelajari ketergantungan satu variabel tak bebas (dependent variable) terhadap suatu variabel bebas (Independent variable)  Terdapat dua buah variabel random X dan Y. Pasangan titik-titik (x,y) di gambar pada suatu sistem koordinat, disebut sebagai scatter plot.  Dari gambar tersebut kemudian divisualisasikan suatu kurva mulus yang merupakan pendekatan dari data-data tersebut.  Garis regresi adalah garis linear yang merupakan garis taksiran atau perkiraan untuk mewakili pola hubungan antara dua buah variabel.
  • 53.
    Regresi Linear Sederhana Bentuk umum Regresi Linier Sederhana dapat ditulis sebagai :  Dimana : Y = Variabel tak bebas/ Dependent Variable X = Variabel bebas / Independent Variable a = Intersept / titik potong dengan sumbu Y b = Slope / koefisien kemiringan / Gradien garis www.themegallery.com Y a bX 
  • 54.
    Regresi Linear Sederhana Contoh:  Dalam 12 bulan, sebuah perusahaan mencatat besarnya biaya iklan yang dikeluarkan dan hasil yang didapat oleh perusahaan tersebut. Disajikan dalam tabel berikut (Dalam $): www.themegallery.com Bulan Biaya iklan Pendapatan 1 20 27 2 20 23 3 25 31 4 28 45 5 29 47 6 28 42 7 31 39 8 34 45 9 35 57 10 36 59 11 41 73 12 45 84
  • 55.
    Regresi Linear Sederhana ScatterPlot www.themegallery.com
  • 56.
    Garis Regresi Linear Sederhana Untuk menentukan persamaan garis regresi maka ditentukan koefisien dari a dan b.  a dan b ditentukan dengan mencari jarak kuadrat dari masing-masing data dan garis regresinya (Error) paling kecil atau disebut metode kuadrat terkecil (Least square method)
  • 57.
    Mencari nilai adan b  Rumus 1  Rumus 2 22 22 2 )())(( ))(())(( )())(( ))(())(( XXn YXXYn b XXn XYXXY a       _____ 22 . )())(( ))(())(( XbYa XXn YXXYn b    
  • 58.
    Mencari Nilai adan b  Pendekatan Matriks                                                 XYX Yn A XXY XY A XX Xn A A A b A A a XY Y b a XX Xn 2212 21 2 det det det det ))(())((det ))(())((det ))(())((det 2 2 1 2 XYXYnA XYXXYA XXXnA   
  • 59.
    Contoh Soal Berikut inidata mengenai pengalaman kerja dan penjualan X=pengalaman kerja (tahun) Y=omzet penjualan (ribuan) • Tentukan nilai a dan b (gunakan ketiga cara)! • Buatkan persamaan regresinya! • Berapa omzet pengjualan dari seorang karyawan yg pengalaman kerjanya 3,5 tahun X 2 3 2 5 6 1 4 1 Y 5 8 8 7 11 3 10 4
  • 60.
    Penyelesaian : X YX2 Y2 XY 2 5 4 25 10 3 8 9 64 24 2 8 4 64 16 5 7 25 49 35 6 11 36 121 66 1 3 1 9 3 4 10 16 100 40 1 4 1 16 4 24 56 96 448 198 7 8 56 3 8 24 ______  YX 25,3 576768 752.4376.5 )24()96)(8( )198)(24()96)(56( 2        a a 25,1 576768 344.1584.1 )24()96)(8( )56)(24()198)(8( 2        b b Cara 1. Cara 2. 25,1 192 240 25,3 192 624 240)24)(56()198)(8(det 624)198)(24()96)(56(det 192)2424()96)(8(det 19824 568 96198 2456 9624 248 198 56 9624 248 2 1 21                                          ba A A A AAA b a
  • 61.
    Cara 3 a. Dariketiga cara pengerjaan tersebut diperoleh nilai a = 3,25 dan nilai b = 1,25 b. Persamaan regresi linearnya adalah Y=3,25+1,25X c. Nilai duga Y, jika X=3,5 adalah Y=3,25+1,25X Y=3,25+1,25(3,5) =7,625 25,3 )3(25,17 25,1 576768 344.1548.1 )24()96)(8( )56)(24()198)(8( 2          a a b b
  • 62.
    Grafik Regresi Linear y= 1.25x + 3.25 R² = 0.669 0 2 4 6 8 10 12 0 1 2 3 4 5 6 7 OmzetPenjualan(Ribuan) Pengalaman Kerja (Tahun) Hubungan Pengalaman Kerja terhadap Omzet Penjualan
  • 63.
    Koefisien Determinasi (R2) 6696,0 016.86 600.57 )448)(192( )240( )136.3584.3()576768( )344.1584.1( ))56()448(8()24()96(8( ))56)(24()198)(8(( ))()(()()(( )))(())((( 2 2 2 2 22 2 2 2222 2 2           R R R YYnXXn YXXYn R Nilaideterminasi (R2) sebesar 0,6696, artinya sumbangan atau pengaruh pegalaman Kerja terhadap naik turunnya omzet penjualan adalah sebesar 66,96%. Sisanya 33,04% disebabkan oleh faktor lain yang tidak dimasukkan dalam model.
  • 64.
    SELISIH TAKSIR STANDAR (STANDARDEVIASI)  Angka indeks yg digunakan utk mengukur ketepatan suatu penduga atau mengukur jumlah variasi titik-titik observasi di sekitar garis regresi.  Jika semua titik observasi berada tepat pada garis regresi, selisih taksir standar sama dengan nol. Menunjukkan pencaran data.  Selisih taksir standar berguna mengetahui batasan seberapa jauh melesetnya perkiraan dalam meramal data.
  • 65.
    Rumus 2 )'( 2 )'( 2 ./ 2 ./       n YX SeSS atau n YY SeSS xyyx yxxy Keterangan : Sy/x =Sx/y = Selisih taksir standar Y = X = nilai variabel sebenarnya Y’ = X’= nilai variabel yang diperkirakan n = jumlah frekuensi
  • 66.
    Contoh :  Hubunganantara variabel X dan variabel Y a. Buatkan persamaan regresinya b. Tentukan nilai duga Y, jika X = 8 c. Tentukan selisih taksir standarnya X 1 2 3 4 5 6 Y 6 4 3 5 4 2
  • 67.
    Penyelesaian X Y X2 Y2 XY 16 1 36 6 2 4 4 16 8 3 3 9 9 9 4 5 16 25 20 5 4 25 16 20 6 2 36 4 12 21 24 91 106 75                  6 21 )5,0( 6 24 . 5,0 105 54 )21()91(6 )24)(21()75(6 )()( ))(()( 2 22 a XbYa b b XXn YXXYn b
  • 68.
    a. Persamaan garisregresinya: Y’ = 5,75 – 0,5 X b. Nilai duga Y’, jika X=8 Y’ = 5,75 – 0,5 (8) Y’ = 1,75 c. Selisih taksir standar X Y Y' Y-Y' (Y-Y')2 1 6 5.25 0.75 0.5625 2 4 4.75 -0.8 0.5625 3 3 4.25 -1.3 1.5625 4 5 3.75 1.25 1.5625 5 4 3.25 0.75 0.5625 6 2 2.75 -0.8 0.5625 5.375 2,1 26 375,5 2 )'( / 2 /       xy xy S n YY S