STATISTIKA
• PENGERTIAN
 Statistika
 Ilmu tentang pengumpulan data
 Klasifikasi Data
 Penyajian Data
 Pengolahan Data
 Penarikan Kesimpulan
 Pengambilan keputusan
 Populasi: Himpunan keseluruhan dari
objek pengamatan
 Sample: Bagian dari populasi
 Data: Informasi atau fakta yang
tertuang dalam angka atau bukan
angka
 Deskriptif: Metode untuk
mendeskripsikan, menggambarkan,
menjabarkan, atau menguraikan data
 Inferensia: Penarikan kesimpulan dari
sample untuk menjelaskan isi dari
populasi
• JENIS – JENIS DATA
 Data mentah
 Data primer
 Data sekunder
 Data Kuantitatif
 Data Diskrit
 Data Kontinyu
 Data Diskrit:
o Data Nominal
o Daata Ordinal
o Data Dikotomi
o Data Kualitatif
o Parameter: Kualitas Pengukuran
sample
• CONTOH – CONTOH
 Deskriptif
“Nilai UAS mahasiswa Teknik Informatika
semester 4 untuk mata kuliah Statistika adalah
dengan nilai rata – rata 65”
 Populasi dan Sample
“Civitas akademik Universitas Muhammadiyah
Sukabumi terdiri dari dosen, mahasiswa dan
staff pekerja lainnya yang berjumlah 1200
orang”
 Data Nominal
Jumlah lulusan mahasiswa Universitas
Muhammadiyah Sukabumi tahun 2008
l
Mahasis
wa
Dosen
Pega
wai
Civitas UMMI
Populasi
sample
Program Studi Jumlah
Teknik Informatik 25 orang
Kimia 5 orang
SDPK 4 orang
 Data Ordinal
Kategori hasil nilai akhir Mata Kuliah
Statistika
 Data Dikotomi
 Murni: Hidup – mati, surga – neraka,
laki – laki – wanita, dll.
 Buatan: lulus – gagal, hitam – putih,
dll.
 Data interval: data yang memiliki
rentang atau jarak yang sama
 Data rasio: Data yang dinyatakan
dalam perbandingan
Kategori Nilai Jumlah
Istimewa 10 orang
Baik 12 orang
Cukup 20 orang
Kurang 7 orang
Kurang sekali 3 orang
TENDENSI SENTRAL
• Nilai rata – rata (Mean):
Rumus:
 Biasa
 Dengan Frekuensi
 Keterangan:
 (jumlah data ke 1
sampai data ke-n )

(jumlah perkalian frekuensi dengan data)
 n = banyaknya data
 = jumlah frekuensi
• Nilai Tengah (Median):
Rumus:
 Biasa
 Dengan Frekuensi
 Keterangan:
 Me = median
 Lo = Batas bawah kelas
 C = lebar kelas
 n = banyaknya data
 F = jumlah frekuensi sebelum kelas
 f = jumlah frekuensi kelas
• Modus = Nilai yang paling
sering muncul
 Biasa
Mo = nilai yang paling sering
muncul
 Data berfrekuensi
 Keterangan:
 Mo = modus
 Lo = Batas bawah kelas modus
 C = lebar kelas
 b1 = selisih frekuensi sebelum kelas
modus
 b2 = selisih frekuensi tepat satu data
setelahnya
• Contoh Kasus:
1. Data hasil ujian akhir semester 4 untuk mata
kuliah statistika adalah sebagai berikut: 40, 65,
90, 65, 70, 55, 85, 65, 70, 35
Tentukanlah:
a. Rata – rata nilai UAS
b. Modus nilai UAS
c. Median Nilai UAS
2. Data nilai UAS mahasiswa semester 4, untuk
mata kuliah STATISTIKA adalah sebagai berikut:
Tentukanlah nilai :
a. Rata2
b. Modus
c. Median
Nilai Jml Mhs
45 6
50 8
65 14
70 16
75 9
80 4
Contoh soal data distribusi
berfrekuensi
• Misalkan modal (dalam jutaan rupiah) dari 40
perusahaan pada tabel distribusi frekuensi
berikut:
Modal Frekuensi
112 - 120 4
121 - 129 5
130 - 138 8
139 - 147 12
148 -156 5
157 -165 4
166 - 174 2
= 40
Tentukan:
a. Mean/ Rata – rata
b. Median
c. Modus
Kata Kunci
Data Distribusi Frekuensi
• Kelas = selang/ interval
• Frekuensi = banyaknya
nilai yang termasuk ke
dalam kelas
• Limit kelas/ tepi kelas:
Nilai terkecil dan
terbesar pada setiap
kelas, terbagi menjadi 2,
yaitu limit bawah kelas
dan limit atas kelas
• Batas bawah kelas dan
batas atas kelas
• Lebar kelas= selisih
batas atas kelas dan
batas bawah kelas
• Nilai tengah kelas =
(batas bawah kelas +
batas atas kelas)/ 2
Dari contoh di atas, maka didapat:
• Kelas = 112 – 120
• Limit kelas/ tepi kelas:
pada kelas 112 – 120,
Nilai 112 disebut limit
bawah kelas dan nilai
120 disebut limit atas
kelas
• Pada kelas 112 – 120,
nilai 111,5 disebut
batas bawah kelas dan
nilai 120,5 disebut
batas atas kelas
• Lebar kelas= 120,5 –
111,5 = 9 nilai lebar
kelas pada masing –
masing kelas adalah
sama
• Nilai tengah kelas =
(111,5 + 120,5)/2 = 116
Penyelesaian Soal
• Mean/ Rata - rata
Modal
Nilai Tengah
(X)
Frekuensi
(f)
fX
112 - 120 116 4 464
121 - 129 125 5 625
130 - 138 134 8 1.072
139 - 147 143 12 1.716
148 -156 152 5 760
157 -165 161 4 644
166 - 174 170 2 340
= 40 = 5.621
5.621
140,525
40
X  
• MEDIAN
Untuk mencari median, tentukan dulu pada kelas interval
mana mediannya terletak.
Karena frekuensinya bernilai genap, maka median terletak
pada nilai ke
Data ke 20,5 terletak pada kelas interval 139 – 147. Maka
diperoleh:
Lo = 138,5 f = 12 F = 4 + 5 + 8 = 17
c = 147,5 – 138,5 = 9
1 40 1
20,5
2 2
n  
 
0
2
n
F
Med L c
f
 

 
   
 
 
• Jadi mediannya adalah
• MODUS
Untuk mencari modus, tentukan dulu kelas interval yang
mengandung modus, yaitu kelas interval yang memiliki
frekuensi terbesar. Maka dapat diketahui bahwa modus
terletak pada kelas interval 139 – 147
40
17
2
138,5 9
12
Med
 

 
   
 
 
20 17
138,5 9 140,75
12
Med

 
  
 
 
• Dengan demikian:
Lo = 138, 5 c = 9 b1 = 12-8=4
b2 = 12-5=7
Jadi modusnya adalah:
= 138,5 + 3,27 = 141,77
0
1 4
138,5 9
1 2 4 7
b
Mod L c
b b
   
   
   
 
   
KUARTIL, DESIL, DAN PERSENTIL
• KUARTIL (Perluasan Median)
Kuartil terbagi menjadi 3, yaitu:
 Kuartil pertama/ Kuartil bawah (Q1)
 Kuartil kedua/ Kuartil tengah (Q2)
 Kuartil ketiga/ Kuartil atas (Q3)
Rumus Untuk data tidak berkelompok:
( 1)
1,2,3
4
i
i n
Q Nilaiyangke i

  
• Untuk data berkelompok
• DESIL
Jika sekelompok data dibagi menjadi 10 bagian yang
sama banyak, maka akan terdapat 9 pembagi, masing
– masing disebut nilai Desil (D), yaitu D1, D2, …, D9
0
,
4 , 1,2,3
i
i n
F
Q L c i
f
 

 
  
 
 
 
Dimana:
Lo= Batas bawah kelas kuartil
c = Lebar kelas
F = Jumlah frekuensi semua kelas
sebelum kelas kuartil Qi
f = Frekuensi kelas kuartil Qi
• Untuk data tidak berkelompok
• Untuk data berkelompok
( 1)
, 1,2,3,...,9
10
i
i n
D nilaiyangke i

  
0
.
10 , 1,2,3,...,9
i
i n
F
D L c i
f
 

 
  
 
 
 
Dimana: Lo = Batas bawah kelas desil Di
c = Lebar kelas
F = Jumlah frekuensi semua kelas sebelum kelas desil Di
f = Frekuensi kelas desil Di
• PERSENTIL
Jika sekelompok data dibagi menjadi 100 bagian
sama banyak, maka akan terdapat 99 pembagi, yang
masing – masing disebut persentil (P), yaitu
P1,P2,P3,…,P99. Nilai persentil ke-I, yaitu Pi dihitung
dengan rumus berikut.
Untuk data tidak berkelompok:
( 1)
, 1,2,3,...,99
100
i
i n
P nilaike i

  
• Untuk data berkelompok
0
.
100 , 1,2,3,...,99
i
i n
F
P L c i
f
 

 
  
 
 
 
Dimana: Lo = Batas bawah kelas persentil Pi
c = Lebar kelas
F = Jumlah frekuensi semua kelas sebelum kelas persentil Pi
f = Frekuensi kelas persentil Pi
Contoh soal data tidak berkelompok
• Tentukan kuartil Q1, Q2 dan Q3 dari data gaji bulanan 13
karyawan (dalam ribuan rupiah) berikut.
40, 30, 50, 65, 45, 55, 70, 60, 80, 35, 85, 95, 100.
• Jawab:
Urutan data: 30, 35, 40, 45, 50, 55, 60, 65, 75, 80, 85, 95, 100.
Maka:
Q1=nilai ke- nilai ke-
= antara nilai ke 3 dan ke 4
= nilai ke 3 + ½ (nilai ke 4 – nilai ke 3)
= 40 + ½ (45-40)
= 40 + 2,5= 42,5
( 1)
, 13
4
i
i n
Q nilaike n


 
1(13 1)
4


1
3
2
• Tentukan desil D3 dan D7 dari data gaji bulanan 13 karyawan
(dalam ribuan rupiah) berikut.
40, 30, 50, 65, 45, 55, 70, 60, 80, 35, 85, 95, 100.
• Jawab:
Urutan data: 30, 35, 40, 45, 50, 55, 60, 65, 75, 80, 85, 95, 100.
Maka:
D3= nilai yang ke-
= nilai ke –
= nilai ke 4 + 1/5 (nilai ke 5 – nilai ke 4)
= 45 + 1/5 (50-45)
= 45 + 1= 46
( 1)
10
i
i n
D nilaiyangke

 
3(13 1)
10

1
4
5
Contoh soal data berkelompok
• Misalkan modal (dalam jutaan rupiah) dari 40
perusahaan pada tabel distribusi frekuensi
berikut: Modal Frekuensi
112 - 120 4
121 - 129 5
130 - 138 8
139 - 147 12
148 -156 5
157 -165 4
166 - 174 2
= 40
Tentukan:
a. Tentukan nilai kuartil
Q1, Q2 dan Q3
b. Tentukan desil D3 dan D8
c. Tentukan persentil P20
dan P 80
Penyelesaian Soal
• Mencari Q1, Q2, dan Q3
Jawab:
Tentukan dulu kelas interval Q1, Q2, dan Q3
Karena n=40,
 Q1 terletak pada nilai ke
 Nilai ke 10, 25 terletak pada interval kelas 130 – 138
 Q2 terletak pada nilai ke
 Nilai ke 20, 5 terletak pada interval kelas 139 – 147
 Q3 terletak pada nilai ke
 Nilai ke 30,75 terletak pada interval kelas 148 – 156
Setelah diketahui interval kelas dari tiap – tiap kuartil yang
dicari, maka nilai kuartil dapat dicari dengan rumus.
1(40 1)
10,25
4


2(40 1)
20,5
4


3(40 1)
30,75
4


Untuk Q1, terletak pada interval kelas 130 – 137, maka:
Lo = 129,5 F = 4+5 = 9 f = 8 c = 9
sehingga:
0
,
4
i
i n
F
Q L c
f
 

 
   
 
 
1
40
9
10 9
4
129,5 9 129,5 9 130,625
8 8
Q
 

  
 
    
   
 
 
 
• Mencari D3 dan D8
Jawab:
Tentukan kelas interval dimana desil berada
Karena n = 40, maka kelas interval D3 dan D8 berada pada:
 D3 terletak pada nilai ke
 Nilai ke 12,3 terletak pada interval kelas 130 – 138
 D8 terletak pada nilai ke
 Nilai ke 32,8 terletak pada interval kelas 139 – 147
 Maka nilai D3 dan D8 adalah:
3(40 1)
12,3
10


8(40 1)
32,8
10


0
.
10
i
i n
F
D L c
f
 

 
   
 
 
Untuk D3 terletak pada interval kelas 130 – 138, maka:
Lo = 129,5 F = 4+5= 9 f = 8 c = 9
Sehingga:
3
3(40)
9
12 9
10
129,5 9 129,5 9 132,875
8 8
D
 

  
 
    
   
 
 
 
PENGUKURAN DISPERSI, KEMIRINGAN,
DAN KERUNCINGAN DATA
• DISPERSI DATA
Dispersi/ variasi/ keragaman data: ukuran penyebaran suatu
kelompok data terhadap pusat data.
• Ukuran Dispersi yang akan dipelajari:
Jangkauan (Range)
Simpangan rata – rata (mean deviation)
Variansi (variance)
Standar Deviasi (Standard Deviation)
Simpangan Kuartil (quartile deviation)
Koefisien variasi (coeficient of variation)
Dispersi multak
Dispersi relatif
RANGE/ JANGKAUAN DATA (r)
• Range: Selisih nilai maksimum dan nilai minimum
Rumus:
• Range untuk kelompok data dalam bentuk distribusi
frekuensi diambil dari selisih antara nilai tengah kelas
maksimun – nilai tengah kelas minimum
Range (r) = Nilai max – nilai min
Simpangan Rata2/ Mean Deviation
(SR)
• Simpangan rata – rata: jumlah nilai mutlak dari selisih
semua nilai dengan nilai rata – rata, dibagi banyaknya
data.
• Rumus
• Untuk data tidak berkelompok
X X
SR
n
 

Dimana:
X = nilai data
= rata – rata hitung
n = banyaknya data
X
• Untuk data berkelompok
( )
f X X
SR
n
 

Dimana:
X = nilai data
= rata – rata hitung
n = Σf = jumlah frekuensi
X
VARIANSI/ VARIANCE
2
( )
s
• Variansi adalah rata – rata kuadrat selisih atau
kuadrat simpangan dari semua nilai data terhadap
rata – rata hitung.
2

2
s = simbol untuk sample
= simbol untuk populasi
• Rumus untuk data tidak berkelompok
• Untuk data berkelompok
 
2
2
1
X X
S
n
 


 
2
2
1
f X X
S
n
 


STANDAR DEVIASI/ STANDARD
DEVIATION (S)
• Standar deviasi: akar pangkat dua dari variansi
• Rumus:
Untuk data tidak berkelompok
Untuk data berkelompok
 
2
2
1
X X
S
n
 


 
2
2
1
f X X
S
n
 


Contoh Soal
• Data tidak berkelompok
Diketahui sebuah data berikut:
20, 50, 30, 70, 80
Tentukanlah:
a. Range (r)
b. Simpangan Rata – rata (SR)
c. Variansi
d. Standar Deviasai
• Jawab:
a. Range (r) = nilai terbesar – nilai terkecil = 80 – 20 = 60
b. Simpangan Rata – rata (SR):
n = 5
X X
SR
n
 

20 50 30 70 80
50
5
X
   
 
20 50 50 50 30 50 70 50 80 50
5
SR
        

30 0 20 20 30 100
20
5 5
SR
   
  
• Variansi
• Standar Deviasi (S)
2
( )
s
 
2
2
1
X X
S
n
 


2 2 2 2 2
2 (20 50) (50 50) (30 50) (70 50) (80 50)
5 1
S
        


2 900 0 400 400 900 2600
650
4 4
S
   
  
2
S S

650 25,495
S  
Contoh Soal
• Data Berkelompok
Diketahui data pada tabel dibawah ini:
Modal Frekuensi
112 - 120 4
121 - 129 5
130 - 138 8
139 - 147 12
148 -156 5
157 -165 4
166 - 174 2
40
Tentukan:
a. Range (r)
b. Simpangan rata – rata (SR)
c. Variansi
d. Standar Deviasi
JAWAB
• Range (r)= (nilai tengah tertinggi – nilai tengah terendah)/2
• Simpangan rata – rata
• Variansi
• Standar Deviasi
( )
f X X
SR
n
 

 
2
2
1
f X X
S
n
 


 
2
2
1
f X X
S
n
 


n = jml frekuensi
• Untuk memudahkan mencari jawaban, maka dibuat tabel
sesuai dengan keperluan jawaban
Modal f
Nilai
Tengah
(X)
112 - 120 4 116 24,525 98,100 601,476 2405,902
121 - 129 5 125 15,525 77,625 241,026 1205,128
130 - 138 8 134 6,525 52,200 42,576 340,605
139 - 147 12 143 2,475 29,700 6,126 73,507
148 -156 5 152 11,475 57,375 131,676 658,378
157 -165 4 161 20,475 81,900 419,226 1676,902
166 - 174 2 170 29,475 58,950 868,776 1737,551
Jumlah 40 455,850 8097,974
X X
 f X X
 2
( )
X X
 2
( )
f X X

Maka dapat dijawab:
• Range (r) = 170 – 116 = 54
• Simpangan rata – rata
• Variansi
• Standar Deviasi
455,850
11,396
40
SR  
2 8097,974 8097,974
207,64
40 1 39
S   

207,64 14,41
S  
JANGKAUAN QUARTIL
DAN JANGKAUAN PERSENTIL 10-90
• Jangkauan kuartil disebut juga simpangan kuartil, rentang
semi antar kuartil, deviasi kuartil. Jangkauan persentil 10-90
disebut juga rentang persentil 10-90
• Jangkauan kuartil dan jangkauan persentil lebih baik daripada
jangkauan (range) yang memakai selisih antara nilai
maksimum dan nilai minimun suatu kelompok data
• Rumus:
Jangkauan Kuartil:
3 1
1
( )
2
JK Q Q
 
Ket:
JK: jangkauan kuartil
Q1: kuartil bawah/ pertama
Q3: kuartil atas/ ketiga
• Rumus Jangkauan Persentil
• KOEFISIEN VARIASI/ DISPERSI RELATIF
 Untuk mengatasi dispersi data yang sifatnya mutlak, seperti
simpangan baku, variansi, standar deviasi, jangkauan kuartil,dll
 Untuk membandingkan variasi antara nilai – nilai bersar dengan nilai
– nilai kecil.
 Untuk mengatasi jangkauan data yang lebih dari 2 kelompok data.
10 90 90 10
JP P P
  
Rumus:
*100%
S
KV
X

Ket:
KV: Koefisien variasi
S : Standar deviasi
X : Rata – rata hitung
KOEFISIEN VARIASI KUARTIL
• Alternatif lain untuk dispersi relatif yang bisa digunakan jika
suatu kelompok data tidak diketahui nilai rata – rata hitungnya
dan nilai standar deviasinya.
• Rumus:
3 1
3 1
Q
Q Q
KV
Q Q



atau 3 1
( )/2
Q
Q Q
KV
Med


NILAI BAKU
• Nilai baku atau skor baku adalah hasil transformasi antara nilai
rata – rata hitung dengan standar deviasi
• Rumus:
1
i
X X
Z
S


Nilai i = 1, 2, 3, …, n
Contoh Soal untuk Koefisien Variasi dan
Simpangan Baku
• Koefisien Variasi
Ada dua jenis bola lampu. Lampu jenis A secara rata – rata
mampu menyala selama 1500 jam dengan simpangan baku
(standar deviasi) S1 = 275 jam, sedangkan lampu jenis B
secara rata – rata dapat menyala selama 1.750 jam dengan
simpangan baku S2 = 300 jam. Lampu mana yang kualitasnya
paling baik?
Jawab:
Lampu jenis A:
Lampu jenis B:
1
1
1
275
*100% *100% 18,3%
1500
S
KV
X
  
2
2
2
300
*100% *100% 17,1%
1750
S
KV
X
  
• Nilai rata – rata ujian akhir semester mata kuliah Statistika
dengan 45 mahasiswa adalah 78 dan simpangan baku/standar
deviasi (S) = 10. Sedangkan untuk mata kuliah Bahasa Inggris
di Kelas itu mempunyai nilai rata – rata 84 dan simpangan
bakunya (S) = 18. Bila dikelas itu, Desi mendapat nilai UAS
untuk kalkulus adalah 86 dan untuk bahasa Inggris adalah 92,
bagaimana posisi/ prestasi Desi di kelas itu?
• Jawab
• Untuk mengetahui posisi/ prestasi Desi, maka harus dicari
nilai baku (Z) dari kedua mata kuliah tersebut.
dengan nilai X adalah nilai UAS yang diperoleh Desi
X X
Z
S


• Untuk Mata Kuliah Statistika
X = 86 S = 10
Maka:
• Untuk Mata Kuliah Bahasa Inggris
X = 92 S = 18
Maka:
Karena nilai baku (Z) untuk mata kuliah Statistika
lebih besar dari B. Inggris, maka posisi Desi lebih baik
pada mata kuliah Statistika dari pada B. Inggris
78
X 
86 78
0,8
10
Z

 
84
X 
92 84
0,4
18
Z

 
KEMIRINGAN DATA
• Kemiringan: derajat/ ukuran dari
ketidaksimetrian (asimetri) suatu distribusi
data
• 3 pola kemiringan distribusi data, sbb:
– Distribusi simetri (kemiringan 0)
– Distribusi miring ke kiri (kemiringan negatif)
– Distribusi miring ke kanan (kemiringan positif)
• Beberapa metoda yang bisa dipakai untuk
menghitung kemiringan data, yaitu:
– Rumus Pearson
– Rumus Momen
– Rumus Bowley
• Rumus Pearson (α)
X Mod
S


 atau
3( )
X Med
S



• Rumus tersebut dipakai untuk data tidak
berkelompok maupun data berkelompok.
– Bila α = 0 atau mendekati nol, maka dikatakan
distribusi data simetri.
– Bila α bertanda negatif, maka dikatakan distribusi
data miring ke kiri.
– Bila α bertanda positif, maka dikatakan distribusi
data miring ke kanan.
– Semakin besar α, maka distribusi data akan
semakin miring atau tidak simetri
RUMUS MOMEN 3
( )

• Cara lain yang dipakai untuk menghitung
derajat kemiringan adalah rumus momen
derajat tiga, yaitu
• Untuk data tidak berkelompok:
• Untuk data berkelompok
3
3 3
( )
X X
nS




3
3 3
( ( ) )
f X X
f S





• Khusus untuk data berkelompok dalam bentuk
tabel distribusi frekuensi , derajat kemiringan
α3 dapat dihitung dengan cara transformasi
sebabai berikut:
– Jika α3 = 0, maka distribusi data simetri
– Jika α3 < 0, maka distribusi data miring ke kiri
– Jika α3 > 0, maka distribusi data miring ke kanan
3
3 2
3
3 3
3 2
fU fU fU fU
c
S n n n n

 
    
 
  
    
 
   
 
   
 
 
 
   
– Untuk mencari nilai Standar deviasi (S)
menggunakan variabel U:
– Variabel U = 0, ±1, ±2, ±3, dst.
• RUMUS BOWLEY
2
2
( )
( 1)
n fU fU
S c
n n
 

 
  

 
 
 
3 1 2
3 1
Q Q Q
Q Q

 


KERUNCINGAN DISTRIBUSI DATA
• Keruncingan distribusi data adalah derajat
atau ukuran tinggi rendahnya puncak suatu
distribusi data terhadap distribusi normalnya.
• Keruncingan data disebut juga kurtosis, ada 3
jenis yaitu:
– Leptokurtis
– Mesokurtis
– Platikurtis
KERUNCINGAN DISTRIBUSI DATA
• Keruncingan distribusi data (α4) dihitung
dengan rumus:
• Data tidak berkelompok
• Data Berkelompok
4
4 4
( )
X X
nS




4
4 4
( ( ) )
*
f X X
f S





• Khusus untuk transformasi
• Keterangan
– α4 = 3, distribusi data mesokurtis
– α4 > 3, distribusi data leptokurtis
– α4 < 3, distribusi data platikurtis
2 4
4 3 2
4
4 4
4 6 3
fU fU fU fU fU fU
c
S n n n n n n

 
   
     
 
   
   
     
 
     
   
     
 
   
 
     
• Selain cara di atas, untuk mencari keruncingan
data, dapat dicari dengan menggunakan
rumus:
• Keterangan
– K = 0,263 maka keruncingan distribusi data mesokurtis
– K > 0,263 maka keruncingan distribusi data leptokurtis
– K < 0,263 maka keruncingan distribusi data platikurtis
3 1
90 10 90 10
1
( )
2
Q Q
JK
K
P P P P

 
 
K= Koefisien Kurtorsis Persentil
REGRESI DAN KORELASI
• Pada bab ini akan membahas dua bagian yang
saling berhubungan, khususnya dua kejadian
yang dapat diukur secara matematis.
• Dalam hal dua kejadian yang saling
berhubungan, ada dua hal yang perlu diukur
dan dianalisis, yaitu:
– Bagaimana hubungan fungsional (persamaan matematis)
antara dua kejadian tersebut -> analisis regresi
– Bagaimana kekuatan (keeratan) hubungan dua kejadian itu
-> analisis korelasi
REGRESI LINEAR SEDERHANA
• Garis regresi/ regresi: garis lurus/ garis linear
yang merupakan garis taksiran atau perkiraan
untuk mewakili pola hubungan antara variabel
X dan variabel Y.
• Cara untuk mencari persamaan garis regresi:
^
Y a bX
 
Dimana
Y = variabel terikat
X = variabel bebas
a = intersep (pintasan) bilamana X=0
b = koefisien arah (slope) dari garis regresi
• Koefisien regresi a dan b dapat dicari dengan
rumus:
2
2 2
. .
. ( )
Y X X XY
a
n X X



   
 
2 2
. .
. ( )
n XY X Y
b
n X X



  
 
Rumus lain untuk menghitung koefisien a dan b
adalah:
2 2
. .
. ( )
n XY X Y
b
n X X



  
 
Y X
a b
n n
 
   
 
 
 
• Kita dapat membuat garis regresi lebih dari
satu dari suatu data. Lalu garis regresi
manakah yang paling baik??
• Garis regresi yang paling baik adalah garis
regresi yang mempunyai total kuadrat
kesalahan/ total kuadrat selisih/ total kuadrat
eror yang paling minimum.
• Total kuadrat eror dapat dihitung dengan:
^
2 2
( )
e Y Y
n n


 
Selanjutnya bila diambil akarnya,
maka diperoleh:
^
^
2
( )
yx
Y Y
S
n



Bentuk terakhir ini disebut
Kesalahan baku dari penafsiran
Atau disebut juga
Standard error of estimate
Rumus di atas dapat di jabarkan menjadi:
^
2
. .
yx
Y a Y b XY
S
n
 

  
Nih….. Contoh Soal Regresi……
Berat
Badan
2 3 4 5 6 7 8
Tinggi
Badan
4 5 2 3 9 6 7
Tentukanlah persamaan regresi dan kesalahan baku penafsirannya!
Jawab:
Persamaan regresi adalah:
^
Y a bX
 
Untuk melengkapi persamaan tersebut, maka perlu dicari nilai a dan b.
Cara mencari nilai a dan b adalah:
2
2 2
. .
. ( )
Y X X XY
a
n X X



   
  2 2
. .
. ( )
n XY X Y
b
n X X



  
 
Untuk mempermudah mencari nilai – nilai yang
diperlukan, maka akan digunakan tabel.
Berat
Badan
(X)
2 3 4 5 6 7 8 ∑X = 35
(∑X) = 1225
Tinggi
Badan
(Y)
4 5 2 3 9 6 7 ∑Y = 36
X 4 9 16 25 36 49 64 ∑X = 203
XY 8 15 8 15 54 42 56 ∑XY = 198
Masukan nilai – nilai yang telah diketahui,
ke dalam rumus untuk mencari nilai a dan b:
36*203 35*198 7308 6930 378
1,93
7*203 1225 1421 1225 196
a
 
   
 
7*198 35*36 1386 1260 126
0,64
7*203 1225 1421 1225 196
b
 
   
 
Setelah diketahui, nilai a dan b, maka masukan nilai a dan b
ke dalam persamaan regresi. Hasilnya adalah:
^
1,93 0,64
Y X
 
b. Mencari nilai kesalahan baku dari penafsiran.
^
^
2
( )
yx
Y Y
S
n



Ini persamaan regresi /
hubungan dari variabel
X dan Y tadi…. Ngerti
kan????
Masukan nilai X ke dalam persamaan regresi untuk
mencari nilai Y regresi
Berat
Badan
(X)
2 3 4 5 6 7 8
Tinggi
Badan
(Y)
4 5 2 3 9 6 7
3.21 3,85 4,49 5,13 5,77 6,41 7,05
0,79 1,15 -2,49 -2,13 3,33 -0,41 -0,05
0,6241 1,3225 6,2001 4,5369 11,0889 0,1681 0,0025
23,9431
^
Y
Cara mencari nilai Y regresi, masukan nilai masing – masing X ke dalam
persamaan regresi. ^
1,93 0,64
Y X
 
^
Y Y

^
2
( )
Y Y

^
2
( )
Y Y


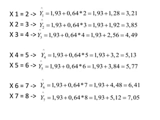
X 1 = 2 ->
X 2 = 3 ->
X 3 = 4 ->
X 4 = 5 ->
X 5 = 6 ->
X 6 = 7 ->
X 7 = 8 ->
^
1 1,93 0,64*2 1,93 1,28 3,21
Y     
^
2 1,93 0,64*3 1,93 1,92 3,85
Y     
^
3 1,93 0,64*4 1,93 2,56 4,49
Y     
^
4 1,93 0,64*5 1,93 3,2 5,13
Y     
^
5 1,93 0,64*6 1,93 3,84 5,77
Y     
^
6 1,93 0,64*7 1,93 4,48 6,41
Y     
^
7 1,93 0,64*8 1,93 5,12 7,05
Y     
Maka nilai kesalahan baku dari taksiran regresi
adalah:
^
^
2
( ) 23,9431
1,85
7
yx
Y Y
S
n

  

Perlu diketahui, bahwa selain regresi linear, dikenal juga regresi yang bukan
linear, yaitu:
1. Parabola kuadrat
2. Parabola kubik
3. Eksponen
4. Geometrik
5. Logistik
6. Hiperbola
7. Gompertz
Sekedar buat
pengetahuan aja,,, ga
dipelajari di bab ini…..
Tapi kalo mau,,
otodidak aja ya…
Akhirnya….
Terjawab
semuanya….
Mudah kan? ^^
KOEFISIEN KORELASI
• Perumusan koefisien korelasi dilakukan
dengan memakai perbandingan antara variasi
yang dijelaskan dengan variasi total.
• Variasi total dari Y terhadap dirumuskan
oleh
•
Y
2
( )
Y Y


^ ^
2 2 2
( ) ( ) ( )
Y Y Y Y Y Y
    
  
Variasi yang tidak
dijelaskan
Variasi yang
dijelaskan
• Perbandingan antara variasi yang dijelaskan
dengan variasi total, yaitu:
• Koefisien korelasi (r) adalah akar dari koefisien
determinasi
^
2
2
2
( )
( )
Y Y
r
Y Y





2
r adalah koefisien determinasi
^
2
2
( )
( )
Y Y
r
Y Y

 



Rumus r
pertama
Keterangan:
1. Nilai r = -1 disebut korelasi linear negatif
(berlawanan arah); artinya terdapat hubungan
negatif yang sempurna antara variabel X dan Y
2. Nilai r = 1 disebut korelasi linear positif (searah);
artinya terdapat hubungan positif yang sempurna
antara variable X dengan variabel Y
3. Nilai r = 0 disebut tidak berkorelasi secara linear,
artinya tidak ada hubungan antara variabel X dan Y
Koefisien korelasi dapat juga dicari dengan
rumus berikut:
^
2
.
2
1 y x
y
S
r
S
 
Dimana:
^
2
.
y x
S = kuadrat dari kesalahan baku
2
y
S = variansi Y
2
( )
Y Y
n



Kedua rumus koefisien korelasi di atas, dapat digunakan untuk mengukur
kekuatan hubungan yang bentuknya linear maupun tidak linear. Bila hubungan
antara variabel X dan Y bentuknya linear, maka rumus pertama dapat diubah
menjadi:
2 2
( )( )
xy
r
x y


 
Dimana:
x X X
 
y Y Y
 
Rumus r
kedua
Disebut juga koefisien korelasi
produk momen
Dari rumus terakhir, yaitu koefisien korelasi
produk momen (product momen formula)
Apabila kita ambil:
xy
xy
S
n


2
x
x
S
n


2
y
y
S
n


Merupakan kovarians dari X dan Y
Merupakan simpangan baku dari X
Merupakan simpangan baku dari Y
2
y
S Merupakan variansi dari Y
2
x
S Merupakan variansi dari X
Dengan demikian, maka rumus koefisien
korelasi dapat juga ditulis:
xy
x y
S
r
S S

  
2 2 2 2
. .
. ( ) . ( )
n XY X Y
r
n X X n Y Y


 
  
   
Gmana???
Bingung rumus mana yang
harus digunakan???
Ga usah khawatir…
sesuaikan aja sama data
yang diketahui….. OK?!!
• Arti dari koefisien korelasi r adalah:
1. Bila 0,90 < r < 1,00 atau -1,00 < r < -0,90:
artinya hubungan yang sangat kuat
2. Bila 0,70 < r < 0,90 atau -0,90 < r < -0,70:
artinya hubungan yang kuat
3. Bila 0,50 < r < 0,70 atau -0,70 < r < -0,50:
artinya hubungan yang moderat
4. Bila 0,30 < r < 0,50 atau -0,50 < r < -0,30:
artinya hubungan yang lemah
5. Bila 0,0 < r < 0,30 atau -0,30 < r < 0,0: artinya
hubungan yang sangat lemah
Contoh soalnya nih….
Biar lebih ngerti…….
Soalnya sama aja dengan yang regresi ya….
Berat
Badan
2 3 4 5 6 7 8
Tinggi
Badan
4 5 2 3 9 6 7
Tentukanlah:
1. Koefisien korelasi (r) dan artinya
2. Koefisien determinasi dan artinya
Jawab:
Koefisien korelasi adalah:
Berat
Badan
(X)
2 3 4 5 6 7 8 ∑X = 35
(∑X) = 1225
Tinggi
Badan
(Y)
4 5 2 3 9 6 7 ∑Y = 36
(∑Y) = 1296
X 4 9 16 25 36 49 64 ∑X = 203
XY 8 15 8 15 54 42 56 ∑XY = 198
Y 16 25 4 9 81 36 49 ∑Y = 220
  
2 2 2 2
. .
. ( ) . ( )
n XY X Y
r
n X X n Y Y


 
  
   
  
7*198 35*36
7*203 1225 7*220 1296
r


 
Truz….
  
1368 1260
1421 1225 1540 1296
r


 
108
196*244
r 
108
47824
r 
108 108
0,49
218,69
47824
r   
Kesimpulannya….????
Oleh karena, nilai r = 0,49 terletak antara 0,30
dan 0,50 maka terdapat hubungan positif yang
lemah antara tinggi badan dan berat badan.
Koefisien determinasi, yaitu
2 2
(0, 49) 0, 2401
r  
Artinya, variasi tinggi badan yang dapat dijelaskan oleh variasi berat badan (X)
Mahasiswa oleh persamaan regresi adalah
Sebesar 24,01 %. Sisanya 75,99% dipengaruhi oleh faktor lain.
^
1,93 0,64
Y X
 
TUGAS 2
• Data pada suatu pabrik kertas menunjukkan
bahwa banyaknya mesin yang rusak ada
hubungannya dengan kecepatan beroperasi
mesin cetak. Tergambar pada tabel di bawah
ini.
Kecepatan mesin
permenit
8 9 10 11 12 13 15 16
Jumlah kerusakan
kertas (lembar)
6 7 8 5 7 10 12 9
• Tentukanlah:
1. Persamaan regresi linear
2. Berapa perkiraan jumlah kertas yang rusak, jika
kecepatan mesin permenit adalah 18?
3. Tentukan kesalahan baku yang diberikan oleh
persamaan regresi!
4. Tentukanlah koefisien korelasi dan koefisien
determinasi data tersebut serta berikan artinya
masing – masing!
Deadline…
Next week…
Don’t be late
OK!!!!
STATISTIKA SEMESTER 4
QUIZ 3
Selasa, 2 Juni 2009
• Data pada suatu pabrik kertas menunjukkan bahwa
banyaknya mesin yang rusak ada hubungannya dengan
kecepatan beroperasi mesin cetak. Tergambar pada tabel di
bawah ini.
• Tentukanlah:
1. Persamaan regresi linear
2. Berapa perkiraan jumlah kertas yang rusak, jika kecepatan
mesin permenit adalah 20?
Kecepatan mesin
permenit
7 8 9 10 11 12 14 15
Jumlah kerusakan
kertas (lembar)
5 6 7 4 6 9 11 8

statistika.ppt

  • 1.
    STATISTIKA • PENGERTIAN  Statistika Ilmu tentang pengumpulan data  Klasifikasi Data  Penyajian Data  Pengolahan Data  Penarikan Kesimpulan  Pengambilan keputusan  Populasi: Himpunan keseluruhan dari objek pengamatan  Sample: Bagian dari populasi  Data: Informasi atau fakta yang tertuang dalam angka atau bukan angka  Deskriptif: Metode untuk mendeskripsikan, menggambarkan, menjabarkan, atau menguraikan data  Inferensia: Penarikan kesimpulan dari sample untuk menjelaskan isi dari populasi • JENIS – JENIS DATA  Data mentah  Data primer  Data sekunder  Data Kuantitatif  Data Diskrit  Data Kontinyu
  • 2.
     Data Diskrit: oData Nominal o Daata Ordinal o Data Dikotomi o Data Kualitatif o Parameter: Kualitas Pengukuran sample • CONTOH – CONTOH  Deskriptif “Nilai UAS mahasiswa Teknik Informatika semester 4 untuk mata kuliah Statistika adalah dengan nilai rata – rata 65”  Populasi dan Sample “Civitas akademik Universitas Muhammadiyah Sukabumi terdiri dari dosen, mahasiswa dan staff pekerja lainnya yang berjumlah 1200 orang”  Data Nominal Jumlah lulusan mahasiswa Universitas Muhammadiyah Sukabumi tahun 2008 l Mahasis wa Dosen Pega wai Civitas UMMI Populasi sample Program Studi Jumlah Teknik Informatik 25 orang Kimia 5 orang SDPK 4 orang
  • 3.
     Data Ordinal Kategorihasil nilai akhir Mata Kuliah Statistika  Data Dikotomi  Murni: Hidup – mati, surga – neraka, laki – laki – wanita, dll.  Buatan: lulus – gagal, hitam – putih, dll.  Data interval: data yang memiliki rentang atau jarak yang sama  Data rasio: Data yang dinyatakan dalam perbandingan Kategori Nilai Jumlah Istimewa 10 orang Baik 12 orang Cukup 20 orang Kurang 7 orang Kurang sekali 3 orang
  • 4.
    TENDENSI SENTRAL • Nilairata – rata (Mean): Rumus:  Biasa  Dengan Frekuensi  Keterangan:  (jumlah data ke 1 sampai data ke-n )  (jumlah perkalian frekuensi dengan data)  n = banyaknya data  = jumlah frekuensi • Nilai Tengah (Median): Rumus:  Biasa  Dengan Frekuensi  Keterangan:  Me = median  Lo = Batas bawah kelas  C = lebar kelas  n = banyaknya data  F = jumlah frekuensi sebelum kelas  f = jumlah frekuensi kelas
  • 5.
    • Modus =Nilai yang paling sering muncul  Biasa Mo = nilai yang paling sering muncul  Data berfrekuensi  Keterangan:  Mo = modus  Lo = Batas bawah kelas modus  C = lebar kelas  b1 = selisih frekuensi sebelum kelas modus  b2 = selisih frekuensi tepat satu data setelahnya • Contoh Kasus: 1. Data hasil ujian akhir semester 4 untuk mata kuliah statistika adalah sebagai berikut: 40, 65, 90, 65, 70, 55, 85, 65, 70, 35 Tentukanlah: a. Rata – rata nilai UAS b. Modus nilai UAS c. Median Nilai UAS 2. Data nilai UAS mahasiswa semester 4, untuk mata kuliah STATISTIKA adalah sebagai berikut: Tentukanlah nilai : a. Rata2 b. Modus c. Median Nilai Jml Mhs 45 6 50 8 65 14 70 16 75 9 80 4
  • 6.
    Contoh soal datadistribusi berfrekuensi • Misalkan modal (dalam jutaan rupiah) dari 40 perusahaan pada tabel distribusi frekuensi berikut: Modal Frekuensi 112 - 120 4 121 - 129 5 130 - 138 8 139 - 147 12 148 -156 5 157 -165 4 166 - 174 2 = 40 Tentukan: a. Mean/ Rata – rata b. Median c. Modus
  • 7.
    Kata Kunci Data DistribusiFrekuensi • Kelas = selang/ interval • Frekuensi = banyaknya nilai yang termasuk ke dalam kelas • Limit kelas/ tepi kelas: Nilai terkecil dan terbesar pada setiap kelas, terbagi menjadi 2, yaitu limit bawah kelas dan limit atas kelas • Batas bawah kelas dan batas atas kelas • Lebar kelas= selisih batas atas kelas dan batas bawah kelas • Nilai tengah kelas = (batas bawah kelas + batas atas kelas)/ 2
  • 8.
    Dari contoh diatas, maka didapat: • Kelas = 112 – 120 • Limit kelas/ tepi kelas: pada kelas 112 – 120, Nilai 112 disebut limit bawah kelas dan nilai 120 disebut limit atas kelas • Pada kelas 112 – 120, nilai 111,5 disebut batas bawah kelas dan nilai 120,5 disebut batas atas kelas • Lebar kelas= 120,5 – 111,5 = 9 nilai lebar kelas pada masing – masing kelas adalah sama • Nilai tengah kelas = (111,5 + 120,5)/2 = 116
  • 9.
    Penyelesaian Soal • Mean/Rata - rata Modal Nilai Tengah (X) Frekuensi (f) fX 112 - 120 116 4 464 121 - 129 125 5 625 130 - 138 134 8 1.072 139 - 147 143 12 1.716 148 -156 152 5 760 157 -165 161 4 644 166 - 174 170 2 340 = 40 = 5.621 5.621 140,525 40 X  
  • 10.
    • MEDIAN Untuk mencarimedian, tentukan dulu pada kelas interval mana mediannya terletak. Karena frekuensinya bernilai genap, maka median terletak pada nilai ke Data ke 20,5 terletak pada kelas interval 139 – 147. Maka diperoleh: Lo = 138,5 f = 12 F = 4 + 5 + 8 = 17 c = 147,5 – 138,5 = 9 1 40 1 20,5 2 2 n     0 2 n F Med L c f             
  • 11.
    • Jadi mediannyaadalah • MODUS Untuk mencari modus, tentukan dulu kelas interval yang mengandung modus, yaitu kelas interval yang memiliki frekuensi terbesar. Maka dapat diketahui bahwa modus terletak pada kelas interval 139 – 147 40 17 2 138,5 9 12 Med              20 17 138,5 9 140,75 12 Med          
  • 12.
    • Dengan demikian: Lo= 138, 5 c = 9 b1 = 12-8=4 b2 = 12-5=7 Jadi modusnya adalah: = 138,5 + 3,27 = 141,77 0 1 4 138,5 9 1 2 4 7 b Mod L c b b                  
  • 13.
    KUARTIL, DESIL, DANPERSENTIL • KUARTIL (Perluasan Median) Kuartil terbagi menjadi 3, yaitu:  Kuartil pertama/ Kuartil bawah (Q1)  Kuartil kedua/ Kuartil tengah (Q2)  Kuartil ketiga/ Kuartil atas (Q3) Rumus Untuk data tidak berkelompok: ( 1) 1,2,3 4 i i n Q Nilaiyangke i    
  • 14.
    • Untuk databerkelompok • DESIL Jika sekelompok data dibagi menjadi 10 bagian yang sama banyak, maka akan terdapat 9 pembagi, masing – masing disebut nilai Desil (D), yaitu D1, D2, …, D9 0 , 4 , 1,2,3 i i n F Q L c i f               Dimana: Lo= Batas bawah kelas kuartil c = Lebar kelas F = Jumlah frekuensi semua kelas sebelum kelas kuartil Qi f = Frekuensi kelas kuartil Qi
  • 15.
    • Untuk datatidak berkelompok • Untuk data berkelompok ( 1) , 1,2,3,...,9 10 i i n D nilaiyangke i     0 . 10 , 1,2,3,...,9 i i n F D L c i f               Dimana: Lo = Batas bawah kelas desil Di c = Lebar kelas F = Jumlah frekuensi semua kelas sebelum kelas desil Di f = Frekuensi kelas desil Di
  • 16.
    • PERSENTIL Jika sekelompokdata dibagi menjadi 100 bagian sama banyak, maka akan terdapat 99 pembagi, yang masing – masing disebut persentil (P), yaitu P1,P2,P3,…,P99. Nilai persentil ke-I, yaitu Pi dihitung dengan rumus berikut. Untuk data tidak berkelompok: ( 1) , 1,2,3,...,99 100 i i n P nilaike i    
  • 17.
    • Untuk databerkelompok 0 . 100 , 1,2,3,...,99 i i n F P L c i f               Dimana: Lo = Batas bawah kelas persentil Pi c = Lebar kelas F = Jumlah frekuensi semua kelas sebelum kelas persentil Pi f = Frekuensi kelas persentil Pi
  • 18.
    Contoh soal datatidak berkelompok • Tentukan kuartil Q1, Q2 dan Q3 dari data gaji bulanan 13 karyawan (dalam ribuan rupiah) berikut. 40, 30, 50, 65, 45, 55, 70, 60, 80, 35, 85, 95, 100. • Jawab: Urutan data: 30, 35, 40, 45, 50, 55, 60, 65, 75, 80, 85, 95, 100. Maka: Q1=nilai ke- nilai ke- = antara nilai ke 3 dan ke 4 = nilai ke 3 + ½ (nilai ke 4 – nilai ke 3) = 40 + ½ (45-40) = 40 + 2,5= 42,5 ( 1) , 13 4 i i n Q nilaike n     1(13 1) 4   1 3 2
  • 19.
    • Tentukan desilD3 dan D7 dari data gaji bulanan 13 karyawan (dalam ribuan rupiah) berikut. 40, 30, 50, 65, 45, 55, 70, 60, 80, 35, 85, 95, 100. • Jawab: Urutan data: 30, 35, 40, 45, 50, 55, 60, 65, 75, 80, 85, 95, 100. Maka: D3= nilai yang ke- = nilai ke – = nilai ke 4 + 1/5 (nilai ke 5 – nilai ke 4) = 45 + 1/5 (50-45) = 45 + 1= 46 ( 1) 10 i i n D nilaiyangke    3(13 1) 10  1 4 5
  • 20.
    Contoh soal databerkelompok • Misalkan modal (dalam jutaan rupiah) dari 40 perusahaan pada tabel distribusi frekuensi berikut: Modal Frekuensi 112 - 120 4 121 - 129 5 130 - 138 8 139 - 147 12 148 -156 5 157 -165 4 166 - 174 2 = 40 Tentukan: a. Tentukan nilai kuartil Q1, Q2 dan Q3 b. Tentukan desil D3 dan D8 c. Tentukan persentil P20 dan P 80
  • 21.
    Penyelesaian Soal • MencariQ1, Q2, dan Q3 Jawab: Tentukan dulu kelas interval Q1, Q2, dan Q3 Karena n=40,  Q1 terletak pada nilai ke  Nilai ke 10, 25 terletak pada interval kelas 130 – 138  Q2 terletak pada nilai ke  Nilai ke 20, 5 terletak pada interval kelas 139 – 147  Q3 terletak pada nilai ke  Nilai ke 30,75 terletak pada interval kelas 148 – 156 Setelah diketahui interval kelas dari tiap – tiap kuartil yang dicari, maka nilai kuartil dapat dicari dengan rumus. 1(40 1) 10,25 4   2(40 1) 20,5 4   3(40 1) 30,75 4  
  • 22.
    Untuk Q1, terletakpada interval kelas 130 – 137, maka: Lo = 129,5 F = 4+5 = 9 f = 8 c = 9 sehingga: 0 , 4 i i n F Q L c f              1 40 9 10 9 4 129,5 9 129,5 9 130,625 8 8 Q                       
  • 23.
    • Mencari D3dan D8 Jawab: Tentukan kelas interval dimana desil berada Karena n = 40, maka kelas interval D3 dan D8 berada pada:  D3 terletak pada nilai ke  Nilai ke 12,3 terletak pada interval kelas 130 – 138  D8 terletak pada nilai ke  Nilai ke 32,8 terletak pada interval kelas 139 – 147  Maka nilai D3 dan D8 adalah: 3(40 1) 12,3 10   8(40 1) 32,8 10   0 . 10 i i n F D L c f             
  • 24.
    Untuk D3 terletakpada interval kelas 130 – 138, maka: Lo = 129,5 F = 4+5= 9 f = 8 c = 9 Sehingga: 3 3(40) 9 12 9 10 129,5 9 129,5 9 132,875 8 8 D                       
  • 25.
    PENGUKURAN DISPERSI, KEMIRINGAN, DANKERUNCINGAN DATA • DISPERSI DATA Dispersi/ variasi/ keragaman data: ukuran penyebaran suatu kelompok data terhadap pusat data. • Ukuran Dispersi yang akan dipelajari: Jangkauan (Range) Simpangan rata – rata (mean deviation) Variansi (variance) Standar Deviasi (Standard Deviation) Simpangan Kuartil (quartile deviation) Koefisien variasi (coeficient of variation) Dispersi multak Dispersi relatif
  • 26.
    RANGE/ JANGKAUAN DATA(r) • Range: Selisih nilai maksimum dan nilai minimum Rumus: • Range untuk kelompok data dalam bentuk distribusi frekuensi diambil dari selisih antara nilai tengah kelas maksimun – nilai tengah kelas minimum Range (r) = Nilai max – nilai min
  • 27.
    Simpangan Rata2/ MeanDeviation (SR) • Simpangan rata – rata: jumlah nilai mutlak dari selisih semua nilai dengan nilai rata – rata, dibagi banyaknya data. • Rumus • Untuk data tidak berkelompok X X SR n    Dimana: X = nilai data = rata – rata hitung n = banyaknya data X
  • 28.
    • Untuk databerkelompok ( ) f X X SR n    Dimana: X = nilai data = rata – rata hitung n = Σf = jumlah frekuensi X VARIANSI/ VARIANCE 2 ( ) s • Variansi adalah rata – rata kuadrat selisih atau kuadrat simpangan dari semua nilai data terhadap rata – rata hitung. 2  2 s = simbol untuk sample = simbol untuk populasi
  • 29.
    • Rumus untukdata tidak berkelompok • Untuk data berkelompok   2 2 1 X X S n       2 2 1 f X X S n    
  • 30.
    STANDAR DEVIASI/ STANDARD DEVIATION(S) • Standar deviasi: akar pangkat dua dari variansi • Rumus: Untuk data tidak berkelompok Untuk data berkelompok   2 2 1 X X S n       2 2 1 f X X S n    
  • 31.
    Contoh Soal • Datatidak berkelompok Diketahui sebuah data berikut: 20, 50, 30, 70, 80 Tentukanlah: a. Range (r) b. Simpangan Rata – rata (SR) c. Variansi d. Standar Deviasai
  • 32.
    • Jawab: a. Range(r) = nilai terbesar – nilai terkecil = 80 – 20 = 60 b. Simpangan Rata – rata (SR): n = 5 X X SR n    20 50 30 70 80 50 5 X       20 50 50 50 30 50 70 50 80 50 5 SR           30 0 20 20 30 100 20 5 5 SR       
  • 33.
    • Variansi • StandarDeviasi (S) 2 ( ) s   2 2 1 X X S n     2 2 2 2 2 2 (20 50) (50 50) (30 50) (70 50) (80 50) 5 1 S            2 900 0 400 400 900 2600 650 4 4 S        2 S S  650 25,495 S  
  • 34.
    Contoh Soal • DataBerkelompok Diketahui data pada tabel dibawah ini: Modal Frekuensi 112 - 120 4 121 - 129 5 130 - 138 8 139 - 147 12 148 -156 5 157 -165 4 166 - 174 2 40 Tentukan: a. Range (r) b. Simpangan rata – rata (SR) c. Variansi d. Standar Deviasi
  • 35.
    JAWAB • Range (r)=(nilai tengah tertinggi – nilai tengah terendah)/2 • Simpangan rata – rata • Variansi • Standar Deviasi ( ) f X X SR n      2 2 1 f X X S n       2 2 1 f X X S n     n = jml frekuensi
  • 36.
    • Untuk memudahkanmencari jawaban, maka dibuat tabel sesuai dengan keperluan jawaban Modal f Nilai Tengah (X) 112 - 120 4 116 24,525 98,100 601,476 2405,902 121 - 129 5 125 15,525 77,625 241,026 1205,128 130 - 138 8 134 6,525 52,200 42,576 340,605 139 - 147 12 143 2,475 29,700 6,126 73,507 148 -156 5 152 11,475 57,375 131,676 658,378 157 -165 4 161 20,475 81,900 419,226 1676,902 166 - 174 2 170 29,475 58,950 868,776 1737,551 Jumlah 40 455,850 8097,974 X X  f X X  2 ( ) X X  2 ( ) f X X 
  • 37.
    Maka dapat dijawab: •Range (r) = 170 – 116 = 54 • Simpangan rata – rata • Variansi • Standar Deviasi 455,850 11,396 40 SR   2 8097,974 8097,974 207,64 40 1 39 S     207,64 14,41 S  
  • 38.
    JANGKAUAN QUARTIL DAN JANGKAUANPERSENTIL 10-90 • Jangkauan kuartil disebut juga simpangan kuartil, rentang semi antar kuartil, deviasi kuartil. Jangkauan persentil 10-90 disebut juga rentang persentil 10-90 • Jangkauan kuartil dan jangkauan persentil lebih baik daripada jangkauan (range) yang memakai selisih antara nilai maksimum dan nilai minimun suatu kelompok data • Rumus: Jangkauan Kuartil: 3 1 1 ( ) 2 JK Q Q   Ket: JK: jangkauan kuartil Q1: kuartil bawah/ pertama Q3: kuartil atas/ ketiga
  • 39.
    • Rumus JangkauanPersentil • KOEFISIEN VARIASI/ DISPERSI RELATIF  Untuk mengatasi dispersi data yang sifatnya mutlak, seperti simpangan baku, variansi, standar deviasi, jangkauan kuartil,dll  Untuk membandingkan variasi antara nilai – nilai bersar dengan nilai – nilai kecil.  Untuk mengatasi jangkauan data yang lebih dari 2 kelompok data. 10 90 90 10 JP P P    Rumus: *100% S KV X  Ket: KV: Koefisien variasi S : Standar deviasi X : Rata – rata hitung
  • 40.
    KOEFISIEN VARIASI KUARTIL •Alternatif lain untuk dispersi relatif yang bisa digunakan jika suatu kelompok data tidak diketahui nilai rata – rata hitungnya dan nilai standar deviasinya. • Rumus: 3 1 3 1 Q Q Q KV Q Q    atau 3 1 ( )/2 Q Q Q KV Med  
  • 41.
    NILAI BAKU • Nilaibaku atau skor baku adalah hasil transformasi antara nilai rata – rata hitung dengan standar deviasi • Rumus: 1 i X X Z S   Nilai i = 1, 2, 3, …, n
  • 42.
    Contoh Soal untukKoefisien Variasi dan Simpangan Baku • Koefisien Variasi Ada dua jenis bola lampu. Lampu jenis A secara rata – rata mampu menyala selama 1500 jam dengan simpangan baku (standar deviasi) S1 = 275 jam, sedangkan lampu jenis B secara rata – rata dapat menyala selama 1.750 jam dengan simpangan baku S2 = 300 jam. Lampu mana yang kualitasnya paling baik? Jawab: Lampu jenis A: Lampu jenis B: 1 1 1 275 *100% *100% 18,3% 1500 S KV X    2 2 2 300 *100% *100% 17,1% 1750 S KV X   
  • 43.
    • Nilai rata– rata ujian akhir semester mata kuliah Statistika dengan 45 mahasiswa adalah 78 dan simpangan baku/standar deviasi (S) = 10. Sedangkan untuk mata kuliah Bahasa Inggris di Kelas itu mempunyai nilai rata – rata 84 dan simpangan bakunya (S) = 18. Bila dikelas itu, Desi mendapat nilai UAS untuk kalkulus adalah 86 dan untuk bahasa Inggris adalah 92, bagaimana posisi/ prestasi Desi di kelas itu? • Jawab • Untuk mengetahui posisi/ prestasi Desi, maka harus dicari nilai baku (Z) dari kedua mata kuliah tersebut. dengan nilai X adalah nilai UAS yang diperoleh Desi X X Z S  
  • 44.
    • Untuk MataKuliah Statistika X = 86 S = 10 Maka: • Untuk Mata Kuliah Bahasa Inggris X = 92 S = 18 Maka: Karena nilai baku (Z) untuk mata kuliah Statistika lebih besar dari B. Inggris, maka posisi Desi lebih baik pada mata kuliah Statistika dari pada B. Inggris 78 X  86 78 0,8 10 Z    84 X  92 84 0,4 18 Z   
  • 45.
    KEMIRINGAN DATA • Kemiringan:derajat/ ukuran dari ketidaksimetrian (asimetri) suatu distribusi data • 3 pola kemiringan distribusi data, sbb: – Distribusi simetri (kemiringan 0) – Distribusi miring ke kiri (kemiringan negatif) – Distribusi miring ke kanan (kemiringan positif)
  • 47.
    • Beberapa metodayang bisa dipakai untuk menghitung kemiringan data, yaitu: – Rumus Pearson – Rumus Momen – Rumus Bowley • Rumus Pearson (α) X Mod S    atau 3( ) X Med S   
  • 48.
    • Rumus tersebutdipakai untuk data tidak berkelompok maupun data berkelompok. – Bila α = 0 atau mendekati nol, maka dikatakan distribusi data simetri. – Bila α bertanda negatif, maka dikatakan distribusi data miring ke kiri. – Bila α bertanda positif, maka dikatakan distribusi data miring ke kanan. – Semakin besar α, maka distribusi data akan semakin miring atau tidak simetri
  • 49.
    RUMUS MOMEN 3 ()  • Cara lain yang dipakai untuk menghitung derajat kemiringan adalah rumus momen derajat tiga, yaitu • Untuk data tidak berkelompok: • Untuk data berkelompok 3 3 3 ( ) X X nS     3 3 3 ( ( ) ) f X X f S     
  • 50.
    • Khusus untukdata berkelompok dalam bentuk tabel distribusi frekuensi , derajat kemiringan α3 dapat dihitung dengan cara transformasi sebabai berikut: – Jika α3 = 0, maka distribusi data simetri – Jika α3 < 0, maka distribusi data miring ke kiri – Jika α3 > 0, maka distribusi data miring ke kanan 3 3 2 3 3 3 3 2 fU fU fU fU c S n n n n                                        
  • 51.
    – Untuk mencarinilai Standar deviasi (S) menggunakan variabel U: – Variabel U = 0, ±1, ±2, ±3, dst. • RUMUS BOWLEY 2 2 ( ) ( 1) n fU fU S c n n                3 1 2 3 1 Q Q Q Q Q     
  • 52.
    KERUNCINGAN DISTRIBUSI DATA •Keruncingan distribusi data adalah derajat atau ukuran tinggi rendahnya puncak suatu distribusi data terhadap distribusi normalnya. • Keruncingan data disebut juga kurtosis, ada 3 jenis yaitu: – Leptokurtis – Mesokurtis – Platikurtis
  • 53.
  • 54.
    • Keruncingan distribusidata (α4) dihitung dengan rumus: • Data tidak berkelompok • Data Berkelompok 4 4 4 ( ) X X nS     4 4 4 ( ( ) ) * f X X f S     
  • 55.
    • Khusus untuktransformasi • Keterangan – α4 = 3, distribusi data mesokurtis – α4 > 3, distribusi data leptokurtis – α4 < 3, distribusi data platikurtis 2 4 4 3 2 4 4 4 4 6 3 fU fU fU fU fU fU c S n n n n n n                                                             
  • 56.
    • Selain caradi atas, untuk mencari keruncingan data, dapat dicari dengan menggunakan rumus: • Keterangan – K = 0,263 maka keruncingan distribusi data mesokurtis – K > 0,263 maka keruncingan distribusi data leptokurtis – K < 0,263 maka keruncingan distribusi data platikurtis 3 1 90 10 90 10 1 ( ) 2 Q Q JK K P P P P      K= Koefisien Kurtorsis Persentil
  • 57.
    REGRESI DAN KORELASI •Pada bab ini akan membahas dua bagian yang saling berhubungan, khususnya dua kejadian yang dapat diukur secara matematis. • Dalam hal dua kejadian yang saling berhubungan, ada dua hal yang perlu diukur dan dianalisis, yaitu: – Bagaimana hubungan fungsional (persamaan matematis) antara dua kejadian tersebut -> analisis regresi – Bagaimana kekuatan (keeratan) hubungan dua kejadian itu -> analisis korelasi
  • 58.
    REGRESI LINEAR SEDERHANA •Garis regresi/ regresi: garis lurus/ garis linear yang merupakan garis taksiran atau perkiraan untuk mewakili pola hubungan antara variabel X dan variabel Y. • Cara untuk mencari persamaan garis regresi: ^ Y a bX   Dimana Y = variabel terikat X = variabel bebas a = intersep (pintasan) bilamana X=0 b = koefisien arah (slope) dari garis regresi
  • 59.
    • Koefisien regresia dan b dapat dicari dengan rumus: 2 2 2 . . . ( ) Y X X XY a n X X          2 2 . . . ( ) n XY X Y b n X X        
  • 60.
    Rumus lain untukmenghitung koefisien a dan b adalah: 2 2 . . . ( ) n XY X Y b n X X         Y X a b n n            
  • 61.
    • Kita dapatmembuat garis regresi lebih dari satu dari suatu data. Lalu garis regresi manakah yang paling baik?? • Garis regresi yang paling baik adalah garis regresi yang mempunyai total kuadrat kesalahan/ total kuadrat selisih/ total kuadrat eror yang paling minimum. • Total kuadrat eror dapat dihitung dengan: ^ 2 2 ( ) e Y Y n n    
  • 62.
    Selanjutnya bila diambilakarnya, maka diperoleh: ^ ^ 2 ( ) yx Y Y S n    Bentuk terakhir ini disebut Kesalahan baku dari penafsiran Atau disebut juga Standard error of estimate Rumus di atas dapat di jabarkan menjadi: ^ 2 . . yx Y a Y b XY S n      
  • 63.
    Nih….. Contoh SoalRegresi…… Berat Badan 2 3 4 5 6 7 8 Tinggi Badan 4 5 2 3 9 6 7 Tentukanlah persamaan regresi dan kesalahan baku penafsirannya! Jawab: Persamaan regresi adalah: ^ Y a bX   Untuk melengkapi persamaan tersebut, maka perlu dicari nilai a dan b. Cara mencari nilai a dan b adalah: 2 2 2 . . . ( ) Y X X XY a n X X          2 2 . . . ( ) n XY X Y b n X X        
  • 64.
    Untuk mempermudah mencarinilai – nilai yang diperlukan, maka akan digunakan tabel. Berat Badan (X) 2 3 4 5 6 7 8 ∑X = 35 (∑X) = 1225 Tinggi Badan (Y) 4 5 2 3 9 6 7 ∑Y = 36 X 4 9 16 25 36 49 64 ∑X = 203 XY 8 15 8 15 54 42 56 ∑XY = 198 Masukan nilai – nilai yang telah diketahui, ke dalam rumus untuk mencari nilai a dan b: 36*203 35*198 7308 6930 378 1,93 7*203 1225 1421 1225 196 a        
  • 65.
    7*198 35*36 13861260 126 0,64 7*203 1225 1421 1225 196 b         Setelah diketahui, nilai a dan b, maka masukan nilai a dan b ke dalam persamaan regresi. Hasilnya adalah: ^ 1,93 0,64 Y X   b. Mencari nilai kesalahan baku dari penafsiran. ^ ^ 2 ( ) yx Y Y S n    Ini persamaan regresi / hubungan dari variabel X dan Y tadi…. Ngerti kan????
  • 66.
    Masukan nilai Xke dalam persamaan regresi untuk mencari nilai Y regresi Berat Badan (X) 2 3 4 5 6 7 8 Tinggi Badan (Y) 4 5 2 3 9 6 7 3.21 3,85 4,49 5,13 5,77 6,41 7,05 0,79 1,15 -2,49 -2,13 3,33 -0,41 -0,05 0,6241 1,3225 6,2001 4,5369 11,0889 0,1681 0,0025 23,9431 ^ Y Cara mencari nilai Y regresi, masukan nilai masing – masing X ke dalam persamaan regresi. ^ 1,93 0,64 Y X   ^ Y Y  ^ 2 ( ) Y Y  ^ 2 ( ) Y Y  
  • 67.
    X 1 =2 -> X 2 = 3 -> X 3 = 4 -> X 4 = 5 -> X 5 = 6 -> X 6 = 7 -> X 7 = 8 -> ^ 1 1,93 0,64*2 1,93 1,28 3,21 Y      ^ 2 1,93 0,64*3 1,93 1,92 3,85 Y      ^ 3 1,93 0,64*4 1,93 2,56 4,49 Y      ^ 4 1,93 0,64*5 1,93 3,2 5,13 Y      ^ 5 1,93 0,64*6 1,93 3,84 5,77 Y      ^ 6 1,93 0,64*7 1,93 4,48 6,41 Y      ^ 7 1,93 0,64*8 1,93 5,12 7,05 Y     
  • 68.
    Maka nilai kesalahanbaku dari taksiran regresi adalah: ^ ^ 2 ( ) 23,9431 1,85 7 yx Y Y S n      Perlu diketahui, bahwa selain regresi linear, dikenal juga regresi yang bukan linear, yaitu: 1. Parabola kuadrat 2. Parabola kubik 3. Eksponen 4. Geometrik 5. Logistik 6. Hiperbola 7. Gompertz Sekedar buat pengetahuan aja,,, ga dipelajari di bab ini….. Tapi kalo mau,, otodidak aja ya… Akhirnya…. Terjawab semuanya…. Mudah kan? ^^
  • 69.
    KOEFISIEN KORELASI • Perumusankoefisien korelasi dilakukan dengan memakai perbandingan antara variasi yang dijelaskan dengan variasi total. • Variasi total dari Y terhadap dirumuskan oleh • Y 2 ( ) Y Y   ^ ^ 2 2 2 ( ) ( ) ( ) Y Y Y Y Y Y         Variasi yang tidak dijelaskan Variasi yang dijelaskan
  • 70.
    • Perbandingan antaravariasi yang dijelaskan dengan variasi total, yaitu: • Koefisien korelasi (r) adalah akar dari koefisien determinasi ^ 2 2 2 ( ) ( ) Y Y r Y Y      2 r adalah koefisien determinasi ^ 2 2 ( ) ( ) Y Y r Y Y       Rumus r pertama
  • 71.
    Keterangan: 1. Nilai r= -1 disebut korelasi linear negatif (berlawanan arah); artinya terdapat hubungan negatif yang sempurna antara variabel X dan Y 2. Nilai r = 1 disebut korelasi linear positif (searah); artinya terdapat hubungan positif yang sempurna antara variable X dengan variabel Y 3. Nilai r = 0 disebut tidak berkorelasi secara linear, artinya tidak ada hubungan antara variabel X dan Y
  • 72.
    Koefisien korelasi dapatjuga dicari dengan rumus berikut: ^ 2 . 2 1 y x y S r S   Dimana: ^ 2 . y x S = kuadrat dari kesalahan baku 2 y S = variansi Y 2 ( ) Y Y n    Kedua rumus koefisien korelasi di atas, dapat digunakan untuk mengukur kekuatan hubungan yang bentuknya linear maupun tidak linear. Bila hubungan antara variabel X dan Y bentuknya linear, maka rumus pertama dapat diubah menjadi: 2 2 ( )( ) xy r x y     Dimana: x X X   y Y Y   Rumus r kedua Disebut juga koefisien korelasi produk momen
  • 73.
    Dari rumus terakhir,yaitu koefisien korelasi produk momen (product momen formula) Apabila kita ambil: xy xy S n   2 x x S n   2 y y S n   Merupakan kovarians dari X dan Y Merupakan simpangan baku dari X Merupakan simpangan baku dari Y 2 y S Merupakan variansi dari Y 2 x S Merupakan variansi dari X
  • 74.
    Dengan demikian, makarumus koefisien korelasi dapat juga ditulis: xy x y S r S S     2 2 2 2 . . . ( ) . ( ) n XY X Y r n X X n Y Y            Gmana??? Bingung rumus mana yang harus digunakan??? Ga usah khawatir… sesuaikan aja sama data yang diketahui….. OK?!!
  • 75.
    • Arti darikoefisien korelasi r adalah: 1. Bila 0,90 < r < 1,00 atau -1,00 < r < -0,90: artinya hubungan yang sangat kuat 2. Bila 0,70 < r < 0,90 atau -0,90 < r < -0,70: artinya hubungan yang kuat 3. Bila 0,50 < r < 0,70 atau -0,70 < r < -0,50: artinya hubungan yang moderat 4. Bila 0,30 < r < 0,50 atau -0,50 < r < -0,30: artinya hubungan yang lemah 5. Bila 0,0 < r < 0,30 atau -0,30 < r < 0,0: artinya hubungan yang sangat lemah
  • 76.
    Contoh soalnya nih…. Biarlebih ngerti……. Soalnya sama aja dengan yang regresi ya…. Berat Badan 2 3 4 5 6 7 8 Tinggi Badan 4 5 2 3 9 6 7 Tentukanlah: 1. Koefisien korelasi (r) dan artinya 2. Koefisien determinasi dan artinya Jawab:
  • 77.
    Koefisien korelasi adalah: Berat Badan (X) 23 4 5 6 7 8 ∑X = 35 (∑X) = 1225 Tinggi Badan (Y) 4 5 2 3 9 6 7 ∑Y = 36 (∑Y) = 1296 X 4 9 16 25 36 49 64 ∑X = 203 XY 8 15 8 15 54 42 56 ∑XY = 198 Y 16 25 4 9 81 36 49 ∑Y = 220    2 2 2 2 . . . ( ) . ( ) n XY X Y r n X X n Y Y               7*198 35*36 7*203 1225 7*220 1296 r    
  • 78.
    Truz….    13681260 1421 1225 1540 1296 r     108 196*244 r  108 47824 r  108 108 0,49 218,69 47824 r   
  • 79.
    Kesimpulannya….???? Oleh karena, nilair = 0,49 terletak antara 0,30 dan 0,50 maka terdapat hubungan positif yang lemah antara tinggi badan dan berat badan. Koefisien determinasi, yaitu 2 2 (0, 49) 0, 2401 r   Artinya, variasi tinggi badan yang dapat dijelaskan oleh variasi berat badan (X) Mahasiswa oleh persamaan regresi adalah Sebesar 24,01 %. Sisanya 75,99% dipengaruhi oleh faktor lain. ^ 1,93 0,64 Y X  
  • 80.
    TUGAS 2 • Datapada suatu pabrik kertas menunjukkan bahwa banyaknya mesin yang rusak ada hubungannya dengan kecepatan beroperasi mesin cetak. Tergambar pada tabel di bawah ini. Kecepatan mesin permenit 8 9 10 11 12 13 15 16 Jumlah kerusakan kertas (lembar) 6 7 8 5 7 10 12 9
  • 81.
    • Tentukanlah: 1. Persamaanregresi linear 2. Berapa perkiraan jumlah kertas yang rusak, jika kecepatan mesin permenit adalah 18? 3. Tentukan kesalahan baku yang diberikan oleh persamaan regresi! 4. Tentukanlah koefisien korelasi dan koefisien determinasi data tersebut serta berikan artinya masing – masing! Deadline… Next week… Don’t be late OK!!!!
  • 83.
    STATISTIKA SEMESTER 4 QUIZ3 Selasa, 2 Juni 2009 • Data pada suatu pabrik kertas menunjukkan bahwa banyaknya mesin yang rusak ada hubungannya dengan kecepatan beroperasi mesin cetak. Tergambar pada tabel di bawah ini. • Tentukanlah: 1. Persamaan regresi linear 2. Berapa perkiraan jumlah kertas yang rusak, jika kecepatan mesin permenit adalah 20? Kecepatan mesin permenit 7 8 9 10 11 12 14 15 Jumlah kerusakan kertas (lembar) 5 6 7 4 6 9 11 8