10.3 Hyperbola.notebook                              December 01, 2010




                      hyperbola
                    An equation of the hyperbola
      with center (0, 0) and foci at (-c, 0) and (c, 0) is



                                x2 - y2 = 1
                                a2 b2

                          where  c2 = a2 + b2
                  and whose asymptotes are located at:
                              y = (+ b/a)x
                            (think rise over run!)




                                Dec 1­12:44 PM

                                                                         1
10.3 Hyperbola.notebook                   December 01, 2010



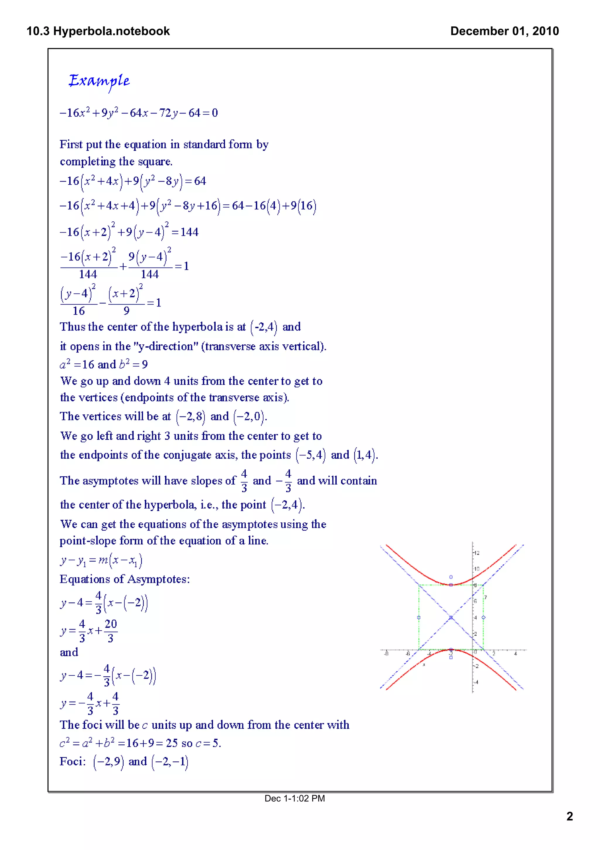
      Example




                            Focus pt




                            Focus pt




                          Dec 1­1:02 PM

                                                              2
10.3 Hyperbola.notebook                                                         December 01, 2010




       Example 2

       Find an equation of the hyperbola with vertices at (1,0) and (­5,0) and the 
       endpoints of its conjugate axis at (­2,­2) and (­2,2).

       The vertices indicate that the hyperbola would have an equation in standard 
       form as given below.

        

        

       The center will be midway between the vertices at (­2,0).  The distance 
       between the vertices is 2a and equals 6 so a = 3.  The length of the conjugate 
       axis is 2b and equals 4 so b = 2.  Thus the equation of the hyperbola in 
       standard form is

        



        

        




                                            Dec 1­2:28 PM

                                                                                                    3
10.3 Hyperbola.notebook                   December 01, 2010




                          Dec 1­2:39 PM

                                                              4

Section 10.3 hyperbola

  • 1.
    10.3 Hyperbola.notebook December 01, 2010 hyperbola An equation of the hyperbola with center (0, 0) and foci at (-c, 0) and (c, 0) is x2 - y2 = 1 a2 b2 where  c2 = a2 + b2 and whose asymptotes are located at: y = (+ b/a)x (think rise over run!) Dec 1­12:44 PM 1
  • 2.
    10.3 Hyperbola.notebook December 01, 2010 Example Focus pt Focus pt Dec 1­1:02 PM 2
  • 3.
    10.3 Hyperbola.notebook December 01, 2010 Example 2 Find an equation of the hyperbola with vertices at (1,0) and (­5,0) and the  endpoints of its conjugate axis at (­2,­2) and (­2,2). The vertices indicate that the hyperbola would have an equation in standard  form as given below.     The center will be midway between the vertices at (­2,0).  The distance  between the vertices is 2a and equals 6 so a = 3.  The length of the conjugate  axis is 2b and equals 4 so b = 2.  Thus the equation of the hyperbola in  standard form is       Dec 1­2:28 PM 3
  • 4.
    10.3 Hyperbola.notebook December 01, 2010 Dec 1­2:39 PM 4