M a t h e m a t i c s       r e p o r t 
 
 
 
 
CCoonniicc  SSeeccttiioonn  
 
 
 
 
 
Submitted by
Mr. Teekayu  Ruannark 
Number 7   Secondary 6/6 
 
Supervised by : Mrs. Vannee  Chatngern
This report is the part of Mathematics (M43102)         2nd
  Semester  Academic Year: 2009 
Benchamarachuthit Chanthaburi School      Chanthaburi Education Service Area Office 1 
PPrreeffaaccee  
 
 
 
 
 
“Conic section” is a fundamental of the Mathematics.  This 
report is made from my studying about the conic section in the 
Mathematics books and on the internet. This report contains 
topics that involve with conic section such as: The history of Conic 
section studying, Parabola, Ellipse, Hyperbola and their 
applications with figures may help you to understand easily. 
This report is may use to refer for next time and its can be 
usefulness for the readers. 
 
 
             Thank you 
           Mr. Teekayu  Ruannark 
    writer 
 
 
   
CCoonntteennttss  
   
    Page 
  Conic section    1 
    History    1 
  Parabola    5 
    Analysis    5 
    Equations    6 
    Applications    8 
  Ellipse  10 
    Analysis  10 
    Equations  11 
    Applications  15 
  Hyperbola  18 
    Equations  19 
    Applications  21 
  References  24 
 
   
1 
 
 
Apollonius of Perga [Pergaeus]  
(Ancient Greek: Ἀπολλώνιος)  
(ca. 262 BC–ca. 190 BC)  
was a Greek geometer and astronomer noted 
for his writings on conic sections. His innovative 
methodology and terminology, especially in the 
field of conics, influenced many later scholars 
including Ptolemy, Francesco Maurolico, Isaac 
Newton, and René Descartes. It was Apollonius 
who gave the ellipse, the parabola, and the 
hyperbola the names by which we know them. 
The hypothesis of eccentric orbits, or 
equivalently, deferent and epicycles, to explain 
the apparent motion of the planets and the 
varying speed of the Moon, are also attributed 
to him. Apollonius' theorem demonstrates that 
the two models are equivalent given the right 
parameters. Ptolemy describes this theorem in 
the Almagest XII.1. Apollonius also researched 
the lunar theory, for which he is said to have 
been called Epsilon (ε). The crater Apollonius on 
the Moon is named in his honor. 
CCoonniicc sseeccttiioonn
In mathematics, a conic section (or just conic) is a curve obtained by intersecting
a cone (more precisely, a right circular conical surface) with a plane. In analytic
geometry, a conic may be defined as a plane algebraic curve of degree 2. The conic
sections were named and studied as long ago as 200 BC, when Apollonius of Perga
undertook a systematic study of their
properties.
History
Menaechmus
It is believed that the first definition of a
conic section is due to Menaechmus. This work
does not survive, however, and is only known
through secondary accounts. The definition
used at that time differs from the one
commonly used today in that it requires the
plane cutting the cone to be perpendicular to
the line that generates the cone as a surface of
revolution. Thus the shape of the conic is
determined by the angle formed at the vertex
of the cone; If the angle is acute then the conic
is an ellipse, if the angle is right then the conic
is a parabola, and if the angle is obtuse then
the conic is a hyperbola. Note that the circle
2 
 
 
Euclid  
(Greek: Εὐκλείδης — Eukleídēs) 
, fl. 300 BC, also known as Euclid of Alexandria, 
was a Greek mathematician and is often 
referred to as the "Father of Geometry." He was 
active in Hellenistic Alexandria during the reign 
of Ptolemy I (323–283 BC). His Elements is the 
most successful textbook and one of the most 
influential works in the history of mathematics, 
serving as the main textbook for teaching 
mathematics (especially geometry) from the 
time of its publication until the late 19th or early 
20th century.[1][2][3] In it, the principles of 
what is now called Euclidean geometry were 
deduced from a small set of axioms. Euclid also 
wrote works on perspective, conic sections, 
spherical geometry, number theory and rigor. 
"Euclid" is the anglicized version of the 
Greek name Εὐκλείδης — Eukleídēs, meaning 
"Good Glory". 
cannot be defined this way and was not considered a conic at this time.
Euclid is said to have written four
books on conics but these were lost as well.
Archimedes is known to have studied conics
as well, having determined the area bounded
by a parabola and an ellipse. The only part of
this work to survive is a book on the solids of
revolution of conics.
Apollonius of Perga
The greatest progress in the study of
conics by the ancient Greeks is due to
Apollonius of Perga, whose eight volume
Conic Sections summarized the existing
knowledge at the time and greatly extended it.
Apollonius's major innovation was to
characterize a conic using properties within
the plane and intrinsic to the curve; this
greatly simplified analysis. With this tool, it
was now possible to show that any plane
cutting the cone, regardless of its angle, will
produce a conic according to the earlier
definition, leading to the definition commonly
used today.
Pappus is credited with discovering importance of the concept of a focus of a
conic, and the discovery of the related concept of a directrix.
3 
 
Omar Khayyam
Apollonius's work was translated into Arabic and much of his work only survives
through the Arabic version. Muslims found applications to the theory; the most notable
of these was the Persian mathematician and poet Omar Khayyam who used conic
sections to solve algebraic equations.
Europe
Johann Kepler extended the theory of conics through the "principle of
continuity", a precursor to the concept of limits. Girard Desargues and Blaise Pascal
developed a theory of conics using an early form of projective geometry and this help
provide impetus for the study of this new field. In particular, Pascal discovered a
theorem known as the hexagrammum mysticum from which many other properties of
conics can be deduced. Meanwhile, René Descartes applied his newly discovered
Analytic geometry to the study of conics. This had the effect of reducing the geometrical
problems of conics to problems in algebra.
4 
 
5 
 
Parabola
In mathematics, the parabola (pronounced
/pəˈræbələ/, from the Greek παραβολή) is a conic
section, the intersection of a right circular conical
surface and a plane parallel to a generating straight
line of that surface. Given a point (the focus) and a
line (the directrix) that lie in a plane, the locus of
points in that plane that are equidistant to them is a
parabola.
A particular case arises when the plane is
tangent to the conical surface of a circle. In this
case, the intersection is a degenerate parabola
consisting of a straight line.
The parabola is not an important concept in abstract mathematics, but it is also
seen with considerable frequency in the physical world, and there are many practical
applications for the construct in engineering, physics, and other domains.
Analysis
In Cartesian coordinates, a parabola with an axis parallel to the y axis with vertex
(h,k), focus (h,k + p), and directrix y = k - p, with p being the distance from the vertex to
the focus, has the equation
or, alternatively with axis parallel to the x-axis, focus (h + p,k), and directrix x = h − p,
6 
 
More generally, a parabola is a curve in the Cartesian plane defined by an irreducible
equation of the form
such that , where all of the coefficients are real, where or ,
and where more than one solution, defining a pair of points (x, y) on the parabola,
exists. That the equation is irreducible means it does not factor as a product of two not
necessarily distinct linear equations.
Equations
(with vertex (h, k) and distance p between vertex and focus - note that if the
vertex is below the focus, or equivalently above the directrix, p is positive, otherwise p is
negative; similarly with horizontal axis of symmetry p is positive if vertex is to the left of
the focus, or equivalently to the right of the directrix)
7 
 
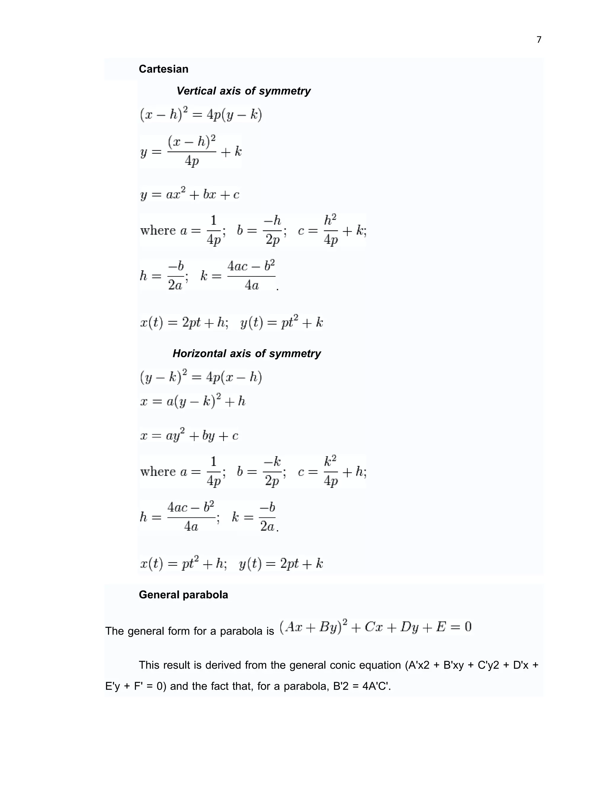
Cartesian
Vertical axis of symmetry
.
Horizontal axis of symmetry
.
General parabola
The general form for a parabola is
This result is derived from the general conic equation (A'x2 + B'xy + C'y2 + D'x +
E'y + F' = 0) and the fact that, for a parabola, B'2 = 4A'C'.
8 
 
Applications
Parabolic forms are frequently encountered in the physical world. Suspension
bridges. arch bridges, microphones, symphony shells, satellite antennas, radio and
optical teleescopes, radar equipment, solar furnaces, and searchlights are only a few of
many items that use parabolic forms in their design.
Illustrates a parabolic reflector used in all reflecting telescopes—from 3- to 6-inch
home types to the 200-inch research instrument on Mount Palomar in California.
Parallel light rays from distant celestial bodies are reflected to the focus off a parabolic
mirror. If the light source is the sun, then the parallel rays are focused at F and we have
a solar furnace. Temperatures of over 6,000°C have been achieved by such furnaces. If
we locate a light source at F, then the rays in the figure reverse, and we have a
spotlight or a searchlight. Automobile headlights can use parabolic reflectors with
special lenses over the light to diffuse the rays into useful patterns.
9 
 
This figure shows a suspension bridge, such as the Golden Gate Bridge in San
Francisco. The suspension cable is a parabola. It is interesting to note that a free-
hanging cable, such as a telephone line, does not form a parabola. It forms another
curve called a catenary.
This figure shows a concrete arch bridge. If all the loads on the arch are to be
compression loads (concrete works very well under compression), then using physics
and advanced mathematics, it can be shown that the arch must be parabolic.
10 
 
Ellipse
In mathematics, an ellipse (from Greek
ἔλλειψις elleipsis, a "falling short") is the bounded
case of a conic section, the geometric shape that
results from cutting a circular conical or cylindrical
surface with an oblique plane (the two unbounded
cases being the parabola and the hyperbola). It is
also the locus of all points of the plane whose
distances to two fixed points (the foci) add to the
same constant.
Ellipses also arise as images of a circle or a sphere under parallel projection,
and some cases of perspective projection. Indeed, circles are special cases of ellipses.
An ellipse is also the closed and bounded case of an implicit curve of degree 2, and of
a rational curve of degree 2. It is also the simplest Lissajous figure, formed when the
horizontal and vertical motions are sinusoids with the same frequency.
Analysis
General ellipse
In analytic geometry, the ellipse is defined as the set of points (X,Y) of the
Cartesian plane that satisfy the implicit equation
provided that F is not zero and F(B2 − 4AC) is positive; or of the form
with
11 
 
Canonical form
By a proper choice of coordinate system, the ellipse can be described by the
canonical implicit equation
Here (x,y) are the point coordinates in the canonical system, whose origin is the
center (Xc,Yc) of the ellipse, whose x-axis is the unit vector (Xa,Ya) parallel to the major
axis, and whose y-axis is the perpendicular vector ( -Ya,Xa) That is, x = Xa(X -
Xc) + Ya(Y - Yc) and y = - Ya(X - Xc) + Xa(Y - Yc).
In this system, the center is the origin (0,0) and the foci are ( - ea,0) and ( + ea,0).
Any ellipse can be obtained by rotation and translation of a canonical ellipse with the
proper semi-diameters. Moreover, any canonical ellipse can be obtained by scaling the
unit circle of , defined by the equation
by factors a and b along the two axes.
For an ellipse in canonical form, we have
The distances from a point (X,Y) on the ellipse to the left and right foci are a + eX and
a - eX, respectively.
Equations
Ellipse is the set of all points in the plane, the sum of whose distances from two fixed
points, called the foci, is a constant. Foci Sometimes this definition is given in terms of
“a locus of points” or even “the locus of a point” satisfying this condition – it all means
the same thing.
12 
 
For reasons that will become apparent, we will denote the sum of these distances by
2a.
We see from the definition that an ellipse has two axes of symmetry, the larger of
which we call the major axis and the smaller the minor axis. The two points at the ends
of the ellipse (on the major axis) are called the vertices. It happens that the length of
the major axis is 2a, the sum of the distances from any point on the ellipse to its foci. If
we call the length of the minor axis 2b and the distance between the foci 2c, then the
Pythagorean Theorem yields the relationship b2 + c2 = a2:
13 
 
By imposing coordinate axes in this convenient manner, we see that the vertices are at
the x intercepts, at a and -a, and that the y-intercepts are at b and -b. Let the variable
point P on the ellipse be given the coordinates (x, y). We may then apply the distance
formula for the distances from P to F1 and from P to F2 to express our geometrical
definition of the ellipse in the language of algebra:
Substituting a2 – b2 for c2 and using a little algebra, we can then derive the standard
equation for an ellipse centered at the origin,
where a and b are the lengths of the semi-major and semi-minor axes, respectively. (If
the major axis of the ellipse is vertical, exchange a and b in the equation.) The points
14 
 
(a, 0) and (-a, 0) are called the vertices of the ellipse. If the ellipse is translated up/down
or left/right, so that its center is at (h, k), then the equation takes the form
If a = b, we have the special case of an ellipse whose foci coincide at the center – that
is, a circle of radius a.
The ellipse has the following remarkable reflection property. Let P be any point on
the ellipse, and construct the line segments joining P to the foci. Then these lines make
equal angles to the tangent line at P.
15 
 
Applications
Elliptical forms have many applications: orbits of satellites, planets, and comets
shapes of galaxies; gears and cams, some airplane wings, boat keels, and rudder;
tabletops; public fountains; and domes in buildings are a few example.
In the 17th century, Johannes Kepler discovered that the orbits along which the
planets travel around the Sun are ellipses with the Sun at one focus, in his first law of
planetary motion. Later, Isaac Newton explained this as a corollary of his law of
universal gravitation.
More generally, in the gravitational two-body problem, if the two bodies are
bound to each other (i.e., the total energy is negative), their orbits are similar ellipses
with the common barycenter being one of the foci of each ellipse. The other focus of
either ellipse has no known physical significance. Interestingly, the orbit of either body in
the reference frame of the other is also an ellipse, with the other body at one focus.
Keplerian elliptical orbits are the result of any radially-directed attraction force
whose strength is inversely proportional to the square of the distance. Thus, in principle,
the motion of two oppositely-charged particles in empty space would also be an ellipse.
(However, this conclusion ignores losses due to electromagnetic radiation and quantum
effects which become significant when the particles are moving at high speed.)
An elliptical orbit also results when the attraction force is inversely proportional to
distance from an attracting object. In this case the orbit differs from the Keplerian orbit
in that the object is placed at the centre of the ellipse.
16 
 
This figure shows a pair of elliptical gears with pivot points at foci. Such gears
transfer constant rotational speed to variable rotational speed, and vice versa.
This figure shows an elliptical dome. An interesting property of such a dome is
that a sound or light source at one focus will reflect off the dome and pass through
other focus. One of the chambers in the Capitol Building in Washington, D.C., has such
a dome, and is referred to as a whispering room because a whisperer one focus can be
easily heard at the other focus.
17 
 
A fairly recent application in medicine is the use of elliptical reflectors and
ultrasound to break up kidney stones. A device called a lithotripter is used togenerate
intense sound waves that break up the stone from outside the body, thus avoiding
surgery. To be certain that the waves do not damage other parts of the body, the
reflecting property of the ellipse is used to design and correctly position the lithotripter.
18 
 
Hyperbola
In mathematics a hyperbola is a
smooth planar curve having two connected
components or branches, each a mirror
image of the other and resembling two
infinite bows. The hyperbola is traditionally
described as one of the kinds of conic
section or intersection of a plane and a
cone, namely when the plane makes a
smaller angle with the axis of the cone than
does the cone itself , the other kinds being
the parabola and the ellipse (including the
circle).
Hyperbolas arise in practice in many
ways: as the curve representing the function
y = 1/x in the Cartesian plane, as the appearance of a circle viewed from within it, as
the path followed by the shadow of the tip of a sundial, as the shape of an open orbit
(as distinct from a closed and hence elliptical orbit) such as followed by a spacecraft
during a gravity assisted swing-by of a planet, more generally any spacecraft exceeding
the escape velocity of the nearest planet, or a single-apparition comet (one travelling
too fast to ever return to the solar system), or the scattering trajectory of a subatomic
particle (acted on by repulsive instead of attractive forces but the principle is the same),
and so on.
Each branch of the hyperbola consists of two arms which become straighter
(lower curvature) further out from the center of the hyperbola. Diagonally opposite arms
one from each branch tend in the limit to a common line, called the asymptote of those
two arms. There are therefore two asymptotes, whose intersection is at the center of
19 
 
symmetry of the hyperbola where it can be thought of as the mirror point about which
each branch reflects to form the other branch. In the case of the curve y = 1/x the
asymptotes are the two coordinate axes, while for the circle viewed from within they are
the tangents to the circle where the plane of the lens normal to the gaze cuts the circle:
without cuts the circle appears as an ellipse, or a parabola when the plane just grazes
the circle.
Hyperbolas share many of the ellipse's analytical properties such as eccentricity,
focus, and directrix. Typically the correspondence can be made with nothing more than
a change of sign in some term. Many other mathematical objects have their origin in the
hyperbola, such as hyperbolic paraboloids (saddle surfaces), hyperboloids
("wastebaskets"), hyperbolic geometry (Lobachevsky's celebrated non-Euclidean
geometry), hyperbolic functions (sinh, cosh, tanh, etc.), and gyrovector spaces (a non-
Euclidean geometry used in both relativity and quantum mechanics).
Equations
The hyperbola can be constructed by connecting the free end of a rigid bar
, where is a focus, and the other focus with a string . As the bar
is rotated about and is kept taut against the bar (i.e., lies on the bar), the locus
of is one branch of a hyperbola (left figure above; Wells 1991). A theorem of
Apollonius states that for a line segment tangent to the hyperbola at a point and
intersecting the asymptotes at points and , then is constant, and
(right figure above; Wells 1991).
20 
 
Let the point on the hyperbola have Cartesian coordinates , then the definition
of the hyperbola gives
Rearranging and completing the square gives
and dividing both sides by results in
By analogy with the definition of the ellipse, define
so the equation for a hyperbola with semimajor axis parallel to the x-axis and
semiminor axis parallel to the y-axis is given by
21 
 
or, for a center at the point instead of ,
Unlike the ellipse, no points of the hyperbola actually lie on the semiminor axis, but
rather the ratio determines the vertical scaling of the hyperbola. The eccentricity of
the hyperbola (which always satisfies ) is then defined as
In the standard equation of the hyperbola, the center is located at , the foci
are at , and the vertices are at . The so-called asymptotes
(shown as the dashed lines in the above figures) can be found by substituting 0 for the
1 on the right side of the general equation (8),
and therefore have slopes .
Applications
Hyperbolas may be seen in many sundials. On any given day, the sun revolves
in a circle on the celestial sphere, and its rays striking the point on a sundial traces out
a cone of light. The intersection of this cone with the horizontal plane of the ground
forms a conic section, by definition. At most populated latitudes and at most times of the
year, this conic section is a hyperbola. In practical terms, the shadow of the tip of a pole
22 
 
traces out a hyperbola on the ground over the course of a day. The shape of this
hyperbola varies with the geographical latitude and with the time of the year, since
those factors affect the cone of the sun's rays relative to the horizon. The collection of
such hyperbolas for a whole year at a given location was called a pelekinon by the
Greeks, since it resembles a double-bladed ax.
A hyperbola is the basis for solving trilateration problems, the task of locating a
point from the differences in its distances to given points — or, equivalently, the difference
in arrival times of synchronized signals between the point and the given points. Such
problems are important in navigation, particularly on water; a ship can locate its position
from the difference in arrival times of signals from a LORAN or GPS transmitters.
Conversely, a homing beacon or any transmitter can be located by comparing the
arrival times of its signals at two separate receiving stations; such techniques may be
used to track objects and people. In particular, the set of possible positions of a point
that has a distance difference of 2a from two given points is a hyperbola of vertex
separation 2a whose foci are the two given points.
The paths followed by any particle in the classical Kepler problem is a conic
section. In particular, if the total energy E of the particle is greater than zero (i.e., if the
particle is unbound), the path of such a particle is a hyperbola. This property is useful in
studying atomic and sub-atomic forces by scattering high-energy particles; for example,
the Rutherford experiment demonstrated the existence of an atomic nucleus by
examining the scattering of alpha particles from gold atoms. If the short-range nuclear
interactions are ignoreed, the atomic nucleus and the alpha particle interact only by a
repulsive Coulomb force, which satisfies the inverse square law requirement for a
Kepler problem.
As shown first by Apollonius of Perga, a hyperbola can be used to trisect any
angle, a intensely studied problem of geometry. Given an angle, one first draws a circle
centered on its middle point O, which intersects the legs of the angle at points A and B.
23 
 
One next draws the line through A and B and constructs a hyperbola of eccentricity ε=2
with that line as its transverse axis and B as one focus. The directrix of the hyperbola is
the bisector of AB, and for any point P on the hyperbola, the angle ABP is twice as
large as the angle BAP. Let P be a point on the circle. By the inscribed angle theorem,
the corresponding center angles are likewise related by a factor of two, AOP = 2×POB.
But AOP+POB equals the original angle AOB. Therefore, the angle has been trisected,
since 3×POB = AOB.
24 
 
References
Akopyan, A.V. and Zaslavsky, A.A. (2007). Geometry of Conics. American Mathematical
Society. pp. 134. ISBN 0821843230.
Autocad release 13: command reference, page 216
Berger, M.; Pansu, P.; Berry, J.-P.; and Saint-Raymond, X. Problems in Geometry. New
York: Springer-Verlag, 1984.
Beyer, W. H. CRC Standard Mathematical Tables, 28th ed. Boca Raton, FL: CRC
Press, pp. 126, 198-199, and 217, 1987.
Brown, H. T. Five Hundred and Seven Mechanical Movements. Embracing All Those
Which Are Most Important in Dynamics, Hydraulics, Hydrostatics, Pneumatics,
Steam Engines, Mill and Other Gearing ... and Including Many Movements
Never Before Published, and Several Which Have Only Recently Come Into
Use. New York: Brown, Coombs & Co., 1871.
Casey, J. The Ellipse. Ch. 6 in A Treatise on the Analytical Geometry of the Point, Line,
Circle, and Conic Sections, Containing an Account of Its Most Recent
Extensions, with Numerous Examples, 2nd ed., rev. enl. Dublin: Hodges,
Figgis, & Co., pp. 201-249, 1893.
Charles D.Miller, Margaret L.Lial, David I.Schneider. Fundamentals of College Algebra.
3rd Edition Scott Foresman/Little 1990. ISBN 0-673-38638-4. Page 381
Clark, W. M. and Downward, V. Mechanical Models: A Series of Working Models on
the Art and Science of Mechanics. Newark, NJ: Newark Museum, 1930.
Courant, R. and Robbins, H. What Is Mathematics?: An Elementary Approach to Ideas
and Methods, 2nd ed. Oxford, England: Oxford University Press, p. 75, 1996.
Coxeter, H. S. M. Conics §8.4 in Introduction to Geometry, 2nd ed. New York: Wiley,
pp. 115-119, 1969.
Coxeter, H. S. M. Introduction to Geometry, 2nd ed. New York: Wiley, pp. 115–119,
1969.
CRC Press (2004), The CRC handbook of mechanical engineering, page 11-8
25 
 
David Salomon (2006), Curves and surfaces for computer graphics, page 365
Donald Fenna (2006), Cartographic science: a compendium of map projections, with
derivations, page 24
Eves, H. A Survey of Geometry, rev. ed. Boston, MA: Allyn & Bacon, 1965.
Harris, J. W. and Stocker, H. Ellipse. §3.8.7 in Handbook of Mathematics and
Computational Science. New York: Springer-Verlag, p. 93, 1998.
Haswell, Charles Haynes (1920). Mechanics' and Engineers' Pocket-book of Tables,
Rules, and Formulas. Harper & Brothers.
http://books.google.com/books?id=Uk4wAAAAMAAJ&pg=RA1-
PA381&zoom=3&hl=en&sig=3QTM7ZfZARnGnPoqQSDMbx8JeHg. Retrieved
2007-04-09.
Hilbert, D. and Cohn-Vossen, S. Geometry and the Imagination. New York: Chelsea,
pp. 2-3, 1999.
John Herschel (1842) A Treatise on Astronomy, page 256
John Lankford (1996), History of Astronomy: An Encyclopedia, page 194
Kern, W. F. and Bland, J. R. Solid Mensuration with Proofs, 2nd ed. New York: Wiley,
p. 4, 1948.
KMODDL: Kinetic Models for Design Digital Library. Model: 067 Elliptical Gears.
http://kmoddl.library.cornell.edu/model.php?m=557.
Lawrence, J. D. A Catalog of Special Plane Curves. New York: Dover, pp. 72-78, 1972.
Lockwood, E. H. The Ellipse. Ch. 2 in A Book of Curves. Cambridge, England:
Cambridge University Press, pp. 13-24, 1967.
Lockwood, E. H. (1961): A Book of Curves, Cambridge University Press
MacTutor History of Mathematics Archive. Ellipse. http://www-groups.dcs.st-
and.ac.uk/~history/Curves/Ellipse.html.
Ramanujan, S. Modular Equations and Approximations to. Quart. J. Pure. Appl. Math.
45, 350-372, 1913-1914.
Reuleaux, F. and Kennedy, A. B. W. (Eds.). Kinematics of Machinery: Outlines of a
Theory of Machines. London: Macmillan, 1876. Reprinted by New York:
Dover, 1976.
26 
 
Sloane, N. J. A. Sequences A056981 and A056982 in The On-Line Encyclopedia of
Integer Sequences.
The Mathematical Association of America (1976), The American Mathematical
Monthly, vol. 83, page 207
Trott, M. The Mathematica GuideBook for Symbolics. New York: Springer-Verlag,
2006. http://www.mathematicaguidebooks.org/.
V. Prasolov and V. Tikhomirov (2001), Geometry, page 80
Weisstein, Eric W., Ellipse from MathWorld.
Wells, D. The Penguin Dictionary of Curious and Interesting Geometry. London:
Penguin, pp. 63-67, 1991.
Yates, R. C. Conics. A Handbook on Curves and Their Properties. Ann Arbor, MI: J. W.
Edwards, pp. 36-56, 1952.

Conic section

  • 1.
    M a th e m a t i c s       r e p o r t          CCoonniicc  SSeeccttiioonn             Submitted by Mr. Teekayu  Ruannark  Number 7   Secondary 6/6    Supervised by : Mrs. Vannee  Chatngern This report is the part of Mathematics (M43102)         2nd   Semester  Academic Year: 2009  Benchamarachuthit Chanthaburi School      Chanthaburi Education Service Area Office 1 
  • 2.
  • 3.
    CCoonntteennttss          Page    Conic section    1      History    1    Parabola    5      Analysis    5      Equations    6      Applications    8    Ellipse  10      Analysis  10      Equations  11      Applications  15    Hyperbola  18      Equations  19      Applications  21    References  24       
  • 4.
    1      Apollonius of Perga [Pergaeus]   (Ancient Greek: Ἀπολλώνιος)   (ca. 262 BC–ca. 190 BC)   was a Greek geometer and astronomer noted  for his writings on conic sections. His innovative  methodology and terminology, especially in the  field of conics, influenced many later scholars  including Ptolemy, Francesco Maurolico, Isaac  Newton, and René Descartes. It was Apollonius  who gave the ellipse, the parabola, and the  hyperbola the names by which we know them.  The hypothesis of eccentric orbits, or  equivalently, deferent and epicycles, to explain  the apparent motion of the planets and the  varying speed of the Moon, are also attributed  to him. Apollonius' theorem demonstrates that  the two models are equivalent given the right  parameters. Ptolemy describes this theorem in  the Almagest XII.1.Apollonius also researched  the lunar theory, for which he is said to have  been called Epsilon (ε). The crater Apollonius on  the Moon is named in his honor.  CCoonniicc sseeccttiioonn In mathematics, a conic section (or just conic) is a curve obtained by intersecting a cone (more precisely, a right circular conical surface) with a plane. In analytic geometry, a conic may be defined as a plane algebraic curve of degree 2. The conic sections were named and studied as long ago as 200 BC, when Apollonius of Perga undertook a systematic study of their properties. History Menaechmus It is believed that the first definition of a conic section is due to Menaechmus. This work does not survive, however, and is only known through secondary accounts. The definition used at that time differs from the one commonly used today in that it requires the plane cutting the cone to be perpendicular to the line that generates the cone as a surface of revolution. Thus the shape of the conic is determined by the angle formed at the vertex of the cone; If the angle is acute then the conic is an ellipse, if the angle is right then the conic is a parabola, and if the angle is obtuse then the conic is a hyperbola. Note that the circle
  • 5.
    2      Euclid   (Greek: Εὐκλείδης — Eukleídēs)  , fl. 300 BC, also known as Euclid of Alexandria,  was a Greek mathematician and is often  referred to as the "Father of Geometry." He was  active in Hellenistic Alexandria during the reign  of Ptolemy I (323–283 BC). His Elements is the  most successful textbook and one of the most  influential works in the history of mathematics,  serving as the main textbook for teaching  mathematics (especially geometry) from the  time of its publication until the late 19th or early  20th century.[1][2][3] In it, the principles of  what is now called Euclidean geometry were  deduced from a small set of axioms. Euclid also  wrote works on perspective, conic sections,  spherical geometry, number theory and rigor.  "Euclid" is the anglicized version of the  Greek name Εὐκλείδης — Eukleídēs, meaning  "Good Glory".  cannot be definedthis way and was not considered a conic at this time. Euclid is said to have written four books on conics but these were lost as well. Archimedes is known to have studied conics as well, having determined the area bounded by a parabola and an ellipse. The only part of this work to survive is a book on the solids of revolution of conics. Apollonius of Perga The greatest progress in the study of conics by the ancient Greeks is due to Apollonius of Perga, whose eight volume Conic Sections summarized the existing knowledge at the time and greatly extended it. Apollonius's major innovation was to characterize a conic using properties within the plane and intrinsic to the curve; this greatly simplified analysis. With this tool, it was now possible to show that any plane cutting the cone, regardless of its angle, will produce a conic according to the earlier definition, leading to the definition commonly used today. Pappus is credited with discovering importance of the concept of a focus of a conic, and the discovery of the related concept of a directrix.
  • 6.
    3    Omar Khayyam Apollonius's workwas translated into Arabic and much of his work only survives through the Arabic version. Muslims found applications to the theory; the most notable of these was the Persian mathematician and poet Omar Khayyam who used conic sections to solve algebraic equations. Europe Johann Kepler extended the theory of conics through the "principle of continuity", a precursor to the concept of limits. Girard Desargues and Blaise Pascal developed a theory of conics using an early form of projective geometry and this help provide impetus for the study of this new field. In particular, Pascal discovered a theorem known as the hexagrammum mysticum from which many other properties of conics can be deduced. Meanwhile, René Descartes applied his newly discovered Analytic geometry to the study of conics. This had the effect of reducing the geometrical problems of conics to problems in algebra.
  • 7.
  • 8.
    5    Parabola In mathematics, theparabola (pronounced /pəˈræbələ/, from the Greek παραβολή) is a conic section, the intersection of a right circular conical surface and a plane parallel to a generating straight line of that surface. Given a point (the focus) and a line (the directrix) that lie in a plane, the locus of points in that plane that are equidistant to them is a parabola. A particular case arises when the plane is tangent to the conical surface of a circle. In this case, the intersection is a degenerate parabola consisting of a straight line. The parabola is not an important concept in abstract mathematics, but it is also seen with considerable frequency in the physical world, and there are many practical applications for the construct in engineering, physics, and other domains. Analysis In Cartesian coordinates, a parabola with an axis parallel to the y axis with vertex (h,k), focus (h,k + p), and directrix y = k - p, with p being the distance from the vertex to the focus, has the equation or, alternatively with axis parallel to the x-axis, focus (h + p,k), and directrix x = h − p,
  • 9.
    6    More generally, aparabola is a curve in the Cartesian plane defined by an irreducible equation of the form such that , where all of the coefficients are real, where or , and where more than one solution, defining a pair of points (x, y) on the parabola, exists. That the equation is irreducible means it does not factor as a product of two not necessarily distinct linear equations. Equations (with vertex (h, k) and distance p between vertex and focus - note that if the vertex is below the focus, or equivalently above the directrix, p is positive, otherwise p is negative; similarly with horizontal axis of symmetry p is positive if vertex is to the left of the focus, or equivalently to the right of the directrix)
  • 10.
    7    Cartesian Vertical axis ofsymmetry . Horizontal axis of symmetry . General parabola The general form for a parabola is This result is derived from the general conic equation (A'x2 + B'xy + C'y2 + D'x + E'y + F' = 0) and the fact that, for a parabola, B'2 = 4A'C'.
  • 11.
    8    Applications Parabolic forms arefrequently encountered in the physical world. Suspension bridges. arch bridges, microphones, symphony shells, satellite antennas, radio and optical teleescopes, radar equipment, solar furnaces, and searchlights are only a few of many items that use parabolic forms in their design. Illustrates a parabolic reflector used in all reflecting telescopes—from 3- to 6-inch home types to the 200-inch research instrument on Mount Palomar in California. Parallel light rays from distant celestial bodies are reflected to the focus off a parabolic mirror. If the light source is the sun, then the parallel rays are focused at F and we have a solar furnace. Temperatures of over 6,000°C have been achieved by such furnaces. If we locate a light source at F, then the rays in the figure reverse, and we have a spotlight or a searchlight. Automobile headlights can use parabolic reflectors with special lenses over the light to diffuse the rays into useful patterns.
  • 12.
    9    This figure showsa suspension bridge, such as the Golden Gate Bridge in San Francisco. The suspension cable is a parabola. It is interesting to note that a free- hanging cable, such as a telephone line, does not form a parabola. It forms another curve called a catenary. This figure shows a concrete arch bridge. If all the loads on the arch are to be compression loads (concrete works very well under compression), then using physics and advanced mathematics, it can be shown that the arch must be parabolic.
  • 13.
    10    Ellipse In mathematics, anellipse (from Greek ἔλλειψις elleipsis, a "falling short") is the bounded case of a conic section, the geometric shape that results from cutting a circular conical or cylindrical surface with an oblique plane (the two unbounded cases being the parabola and the hyperbola). It is also the locus of all points of the plane whose distances to two fixed points (the foci) add to the same constant. Ellipses also arise as images of a circle or a sphere under parallel projection, and some cases of perspective projection. Indeed, circles are special cases of ellipses. An ellipse is also the closed and bounded case of an implicit curve of degree 2, and of a rational curve of degree 2. It is also the simplest Lissajous figure, formed when the horizontal and vertical motions are sinusoids with the same frequency. Analysis General ellipse In analytic geometry, the ellipse is defined as the set of points (X,Y) of the Cartesian plane that satisfy the implicit equation provided that F is not zero and F(B2 − 4AC) is positive; or of the form with
  • 14.
    11    Canonical form By aproper choice of coordinate system, the ellipse can be described by the canonical implicit equation Here (x,y) are the point coordinates in the canonical system, whose origin is the center (Xc,Yc) of the ellipse, whose x-axis is the unit vector (Xa,Ya) parallel to the major axis, and whose y-axis is the perpendicular vector ( -Ya,Xa) That is, x = Xa(X - Xc) + Ya(Y - Yc) and y = - Ya(X - Xc) + Xa(Y - Yc). In this system, the center is the origin (0,0) and the foci are ( - ea,0) and ( + ea,0). Any ellipse can be obtained by rotation and translation of a canonical ellipse with the proper semi-diameters. Moreover, any canonical ellipse can be obtained by scaling the unit circle of , defined by the equation by factors a and b along the two axes. For an ellipse in canonical form, we have The distances from a point (X,Y) on the ellipse to the left and right foci are a + eX and a - eX, respectively. Equations Ellipse is the set of all points in the plane, the sum of whose distances from two fixed points, called the foci, is a constant. Foci Sometimes this definition is given in terms of “a locus of points” or even “the locus of a point” satisfying this condition – it all means the same thing.
  • 15.
    12    For reasons thatwill become apparent, we will denote the sum of these distances by 2a. We see from the definition that an ellipse has two axes of symmetry, the larger of which we call the major axis and the smaller the minor axis. The two points at the ends of the ellipse (on the major axis) are called the vertices. It happens that the length of the major axis is 2a, the sum of the distances from any point on the ellipse to its foci. If we call the length of the minor axis 2b and the distance between the foci 2c, then the Pythagorean Theorem yields the relationship b2 + c2 = a2:
  • 16.
    13    By imposing coordinateaxes in this convenient manner, we see that the vertices are at the x intercepts, at a and -a, and that the y-intercepts are at b and -b. Let the variable point P on the ellipse be given the coordinates (x, y). We may then apply the distance formula for the distances from P to F1 and from P to F2 to express our geometrical definition of the ellipse in the language of algebra: Substituting a2 – b2 for c2 and using a little algebra, we can then derive the standard equation for an ellipse centered at the origin, where a and b are the lengths of the semi-major and semi-minor axes, respectively. (If the major axis of the ellipse is vertical, exchange a and b in the equation.) The points
  • 17.
    14    (a, 0) and(-a, 0) are called the vertices of the ellipse. If the ellipse is translated up/down or left/right, so that its center is at (h, k), then the equation takes the form If a = b, we have the special case of an ellipse whose foci coincide at the center – that is, a circle of radius a. The ellipse has the following remarkable reflection property. Let P be any point on the ellipse, and construct the line segments joining P to the foci. Then these lines make equal angles to the tangent line at P.
  • 18.
    15    Applications Elliptical forms havemany applications: orbits of satellites, planets, and comets shapes of galaxies; gears and cams, some airplane wings, boat keels, and rudder; tabletops; public fountains; and domes in buildings are a few example. In the 17th century, Johannes Kepler discovered that the orbits along which the planets travel around the Sun are ellipses with the Sun at one focus, in his first law of planetary motion. Later, Isaac Newton explained this as a corollary of his law of universal gravitation. More generally, in the gravitational two-body problem, if the two bodies are bound to each other (i.e., the total energy is negative), their orbits are similar ellipses with the common barycenter being one of the foci of each ellipse. The other focus of either ellipse has no known physical significance. Interestingly, the orbit of either body in the reference frame of the other is also an ellipse, with the other body at one focus. Keplerian elliptical orbits are the result of any radially-directed attraction force whose strength is inversely proportional to the square of the distance. Thus, in principle, the motion of two oppositely-charged particles in empty space would also be an ellipse. (However, this conclusion ignores losses due to electromagnetic radiation and quantum effects which become significant when the particles are moving at high speed.) An elliptical orbit also results when the attraction force is inversely proportional to distance from an attracting object. In this case the orbit differs from the Keplerian orbit in that the object is placed at the centre of the ellipse.
  • 19.
    16    This figure showsa pair of elliptical gears with pivot points at foci. Such gears transfer constant rotational speed to variable rotational speed, and vice versa. This figure shows an elliptical dome. An interesting property of such a dome is that a sound or light source at one focus will reflect off the dome and pass through other focus. One of the chambers in the Capitol Building in Washington, D.C., has such a dome, and is referred to as a whispering room because a whisperer one focus can be easily heard at the other focus.
  • 20.
    17    A fairly recentapplication in medicine is the use of elliptical reflectors and ultrasound to break up kidney stones. A device called a lithotripter is used togenerate intense sound waves that break up the stone from outside the body, thus avoiding surgery. To be certain that the waves do not damage other parts of the body, the reflecting property of the ellipse is used to design and correctly position the lithotripter.
  • 21.
    18    Hyperbola In mathematics ahyperbola is a smooth planar curve having two connected components or branches, each a mirror image of the other and resembling two infinite bows. The hyperbola is traditionally described as one of the kinds of conic section or intersection of a plane and a cone, namely when the plane makes a smaller angle with the axis of the cone than does the cone itself , the other kinds being the parabola and the ellipse (including the circle). Hyperbolas arise in practice in many ways: as the curve representing the function y = 1/x in the Cartesian plane, as the appearance of a circle viewed from within it, as the path followed by the shadow of the tip of a sundial, as the shape of an open orbit (as distinct from a closed and hence elliptical orbit) such as followed by a spacecraft during a gravity assisted swing-by of a planet, more generally any spacecraft exceeding the escape velocity of the nearest planet, or a single-apparition comet (one travelling too fast to ever return to the solar system), or the scattering trajectory of a subatomic particle (acted on by repulsive instead of attractive forces but the principle is the same), and so on. Each branch of the hyperbola consists of two arms which become straighter (lower curvature) further out from the center of the hyperbola. Diagonally opposite arms one from each branch tend in the limit to a common line, called the asymptote of those two arms. There are therefore two asymptotes, whose intersection is at the center of
  • 22.
    19    symmetry of thehyperbola where it can be thought of as the mirror point about which each branch reflects to form the other branch. In the case of the curve y = 1/x the asymptotes are the two coordinate axes, while for the circle viewed from within they are the tangents to the circle where the plane of the lens normal to the gaze cuts the circle: without cuts the circle appears as an ellipse, or a parabola when the plane just grazes the circle. Hyperbolas share many of the ellipse's analytical properties such as eccentricity, focus, and directrix. Typically the correspondence can be made with nothing more than a change of sign in some term. Many other mathematical objects have their origin in the hyperbola, such as hyperbolic paraboloids (saddle surfaces), hyperboloids ("wastebaskets"), hyperbolic geometry (Lobachevsky's celebrated non-Euclidean geometry), hyperbolic functions (sinh, cosh, tanh, etc.), and gyrovector spaces (a non- Euclidean geometry used in both relativity and quantum mechanics). Equations The hyperbola can be constructed by connecting the free end of a rigid bar , where is a focus, and the other focus with a string . As the bar is rotated about and is kept taut against the bar (i.e., lies on the bar), the locus of is one branch of a hyperbola (left figure above; Wells 1991). A theorem of Apollonius states that for a line segment tangent to the hyperbola at a point and intersecting the asymptotes at points and , then is constant, and (right figure above; Wells 1991).
  • 23.
    20    Let the pointon the hyperbola have Cartesian coordinates , then the definition of the hyperbola gives Rearranging and completing the square gives and dividing both sides by results in By analogy with the definition of the ellipse, define so the equation for a hyperbola with semimajor axis parallel to the x-axis and semiminor axis parallel to the y-axis is given by
  • 24.
    21    or, for acenter at the point instead of , Unlike the ellipse, no points of the hyperbola actually lie on the semiminor axis, but rather the ratio determines the vertical scaling of the hyperbola. The eccentricity of the hyperbola (which always satisfies ) is then defined as In the standard equation of the hyperbola, the center is located at , the foci are at , and the vertices are at . The so-called asymptotes (shown as the dashed lines in the above figures) can be found by substituting 0 for the 1 on the right side of the general equation (8), and therefore have slopes . Applications Hyperbolas may be seen in many sundials. On any given day, the sun revolves in a circle on the celestial sphere, and its rays striking the point on a sundial traces out a cone of light. The intersection of this cone with the horizontal plane of the ground forms a conic section, by definition. At most populated latitudes and at most times of the year, this conic section is a hyperbola. In practical terms, the shadow of the tip of a pole
  • 25.
    22    traces out ahyperbola on the ground over the course of a day. The shape of this hyperbola varies with the geographical latitude and with the time of the year, since those factors affect the cone of the sun's rays relative to the horizon. The collection of such hyperbolas for a whole year at a given location was called a pelekinon by the Greeks, since it resembles a double-bladed ax. A hyperbola is the basis for solving trilateration problems, the task of locating a point from the differences in its distances to given points — or, equivalently, the difference in arrival times of synchronized signals between the point and the given points. Such problems are important in navigation, particularly on water; a ship can locate its position from the difference in arrival times of signals from a LORAN or GPS transmitters. Conversely, a homing beacon or any transmitter can be located by comparing the arrival times of its signals at two separate receiving stations; such techniques may be used to track objects and people. In particular, the set of possible positions of a point that has a distance difference of 2a from two given points is a hyperbola of vertex separation 2a whose foci are the two given points. The paths followed by any particle in the classical Kepler problem is a conic section. In particular, if the total energy E of the particle is greater than zero (i.e., if the particle is unbound), the path of such a particle is a hyperbola. This property is useful in studying atomic and sub-atomic forces by scattering high-energy particles; for example, the Rutherford experiment demonstrated the existence of an atomic nucleus by examining the scattering of alpha particles from gold atoms. If the short-range nuclear interactions are ignoreed, the atomic nucleus and the alpha particle interact only by a repulsive Coulomb force, which satisfies the inverse square law requirement for a Kepler problem. As shown first by Apollonius of Perga, a hyperbola can be used to trisect any angle, a intensely studied problem of geometry. Given an angle, one first draws a circle centered on its middle point O, which intersects the legs of the angle at points A and B.
  • 26.
    23    One next drawsthe line through A and B and constructs a hyperbola of eccentricity ε=2 with that line as its transverse axis and B as one focus. The directrix of the hyperbola is the bisector of AB, and for any point P on the hyperbola, the angle ABP is twice as large as the angle BAP. Let P be a point on the circle. By the inscribed angle theorem, the corresponding center angles are likewise related by a factor of two, AOP = 2×POB. But AOP+POB equals the original angle AOB. Therefore, the angle has been trisected, since 3×POB = AOB.
  • 27.
    24    References Akopyan, A.V. andZaslavsky, A.A. (2007). Geometry of Conics. American Mathematical Society. pp. 134. ISBN 0821843230. Autocad release 13: command reference, page 216 Berger, M.; Pansu, P.; Berry, J.-P.; and Saint-Raymond, X. Problems in Geometry. New York: Springer-Verlag, 1984. Beyer, W. H. CRC Standard Mathematical Tables, 28th ed. Boca Raton, FL: CRC Press, pp. 126, 198-199, and 217, 1987. Brown, H. T. Five Hundred and Seven Mechanical Movements. Embracing All Those Which Are Most Important in Dynamics, Hydraulics, Hydrostatics, Pneumatics, Steam Engines, Mill and Other Gearing ... and Including Many Movements Never Before Published, and Several Which Have Only Recently Come Into Use. New York: Brown, Coombs & Co., 1871. Casey, J. The Ellipse. Ch. 6 in A Treatise on the Analytical Geometry of the Point, Line, Circle, and Conic Sections, Containing an Account of Its Most Recent Extensions, with Numerous Examples, 2nd ed., rev. enl. Dublin: Hodges, Figgis, & Co., pp. 201-249, 1893. Charles D.Miller, Margaret L.Lial, David I.Schneider. Fundamentals of College Algebra. 3rd Edition Scott Foresman/Little 1990. ISBN 0-673-38638-4. Page 381 Clark, W. M. and Downward, V. Mechanical Models: A Series of Working Models on the Art and Science of Mechanics. Newark, NJ: Newark Museum, 1930. Courant, R. and Robbins, H. What Is Mathematics?: An Elementary Approach to Ideas and Methods, 2nd ed. Oxford, England: Oxford University Press, p. 75, 1996. Coxeter, H. S. M. Conics §8.4 in Introduction to Geometry, 2nd ed. New York: Wiley, pp. 115-119, 1969. Coxeter, H. S. M. Introduction to Geometry, 2nd ed. New York: Wiley, pp. 115–119, 1969. CRC Press (2004), The CRC handbook of mechanical engineering, page 11-8
  • 28.
    25    David Salomon (2006),Curves and surfaces for computer graphics, page 365 Donald Fenna (2006), Cartographic science: a compendium of map projections, with derivations, page 24 Eves, H. A Survey of Geometry, rev. ed. Boston, MA: Allyn & Bacon, 1965. Harris, J. W. and Stocker, H. Ellipse. §3.8.7 in Handbook of Mathematics and Computational Science. New York: Springer-Verlag, p. 93, 1998. Haswell, Charles Haynes (1920). Mechanics' and Engineers' Pocket-book of Tables, Rules, and Formulas. Harper & Brothers. http://books.google.com/books?id=Uk4wAAAAMAAJ&pg=RA1- PA381&zoom=3&hl=en&sig=3QTM7ZfZARnGnPoqQSDMbx8JeHg. Retrieved 2007-04-09. Hilbert, D. and Cohn-Vossen, S. Geometry and the Imagination. New York: Chelsea, pp. 2-3, 1999. John Herschel (1842) A Treatise on Astronomy, page 256 John Lankford (1996), History of Astronomy: An Encyclopedia, page 194 Kern, W. F. and Bland, J. R. Solid Mensuration with Proofs, 2nd ed. New York: Wiley, p. 4, 1948. KMODDL: Kinetic Models for Design Digital Library. Model: 067 Elliptical Gears. http://kmoddl.library.cornell.edu/model.php?m=557. Lawrence, J. D. A Catalog of Special Plane Curves. New York: Dover, pp. 72-78, 1972. Lockwood, E. H. The Ellipse. Ch. 2 in A Book of Curves. Cambridge, England: Cambridge University Press, pp. 13-24, 1967. Lockwood, E. H. (1961): A Book of Curves, Cambridge University Press MacTutor History of Mathematics Archive. Ellipse. http://www-groups.dcs.st- and.ac.uk/~history/Curves/Ellipse.html. Ramanujan, S. Modular Equations and Approximations to. Quart. J. Pure. Appl. Math. 45, 350-372, 1913-1914. Reuleaux, F. and Kennedy, A. B. W. (Eds.). Kinematics of Machinery: Outlines of a Theory of Machines. London: Macmillan, 1876. Reprinted by New York: Dover, 1976.
  • 29.
    26    Sloane, N. J.A. Sequences A056981 and A056982 in The On-Line Encyclopedia of Integer Sequences. The Mathematical Association of America (1976), The American Mathematical Monthly, vol. 83, page 207 Trott, M. The Mathematica GuideBook for Symbolics. New York: Springer-Verlag, 2006. http://www.mathematicaguidebooks.org/. V. Prasolov and V. Tikhomirov (2001), Geometry, page 80 Weisstein, Eric W., Ellipse from MathWorld. Wells, D. The Penguin Dictionary of Curious and Interesting Geometry. London: Penguin, pp. 63-67, 1991. Yates, R. C. Conics. A Handbook on Curves and Their Properties. Ann Arbor, MI: J. W. Edwards, pp. 36-56, 1952.