On a clean sheet of E­2 paper, please do 
the following.




                      Jan 6­11:06 AM




               Replace ­∞ with R, then take a limit as R approaches negative infinity




                      Jan 6­10:43 AM

                                                                                        1
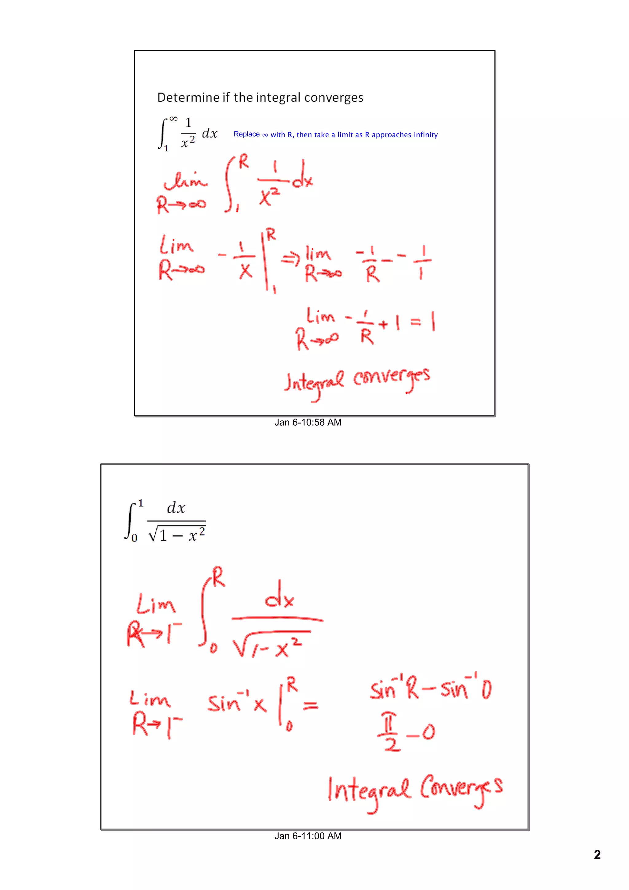
Replace ∞ with R, then take a limit as R approaches infinity




           Jan 6­10:58 AM




           Jan 6­11:00 AM

                                                               2
Jan 6­11:01 AM




Jan 6­11:59 AM

                 3

Improper integrals notes