Hyperbola
A  hyperbola  is the set of points in a plane, the absolute value of the difference of whose distances from two fixed points, called  foci , is a constant. Hyperbola F 2 F 1
Hyperbola F 2 F 1 d 1 d 2 P d 2  – d 1   is always the same.
Hyperbola F F V V
Hyperbola F F V V C
Hyperbola F F V V C
Equation of a Hyperbola The  center  is at the point (0, 0) c 2  = a 2  + b 2   c   is the distance from the center to a focus point. The  foci  are at  (c, 0) and (-c, 0)
Equation of a Hyperbola The  conjugate points  are at  (0, b)  and  (0, -b) The  vertices  are at  (a, 0) and (-a, 0) Length  of the latus rectum is  2b 2 a
Equation of a Hyperbola Ends of the  latus rectum :
Equation of a Hyperbola Horizontal Hyperbola Equation of the directrix
Equation of a Hyperbola The  center  is at the point (0, 0) c 2  = a 2  + b 2   c   is the distance from the center to a focus point. The  foci  are at  (0, c) and (0, -c)
Equation of a Hyperbola The  conjugate points  are at  (b, 0)  and  (-b, 0) The  vertices  are at  (0, a) and (0, -a) Length  of the latus rectum is  2b 2 a
Equation of a Hyperbola Ends of the  latus rectum :
Equation of a Hyperbola Vertical Hyperbola Equation of the directrix
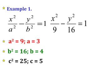
Example 1. a 2  = 9; a = 3 b 2  = 16; b = 4 c 2  = 25; c = 5
Example 1. a 2  = 9; a = 3 b 2  = 16; b = 4 c 2  = 25; c = 5 V 1 (3, 0),  V 2  (-3, 0) F 1 (5, 0),  F 2  (-5, 0) Center   at (0, 0) Center  at (0, 0) V 1 (a, 0),  V 2 (-a, 0) F 1 (c, 0),  F 2 (-c, 0)
Example 1. a 2  = 9; a = 3 b 2  = 16; b = 4 c 2  = 25; c = 5 LR =  2b 2  =  2(4) 2  = 32   a Conjugate points (0, 4), (0, -4) 3 3 Conjugate Points (0, b), (0, -b) LR  =  2b 2 a
Example 1. LR =  2b 2  =  32 a 3 c 2  = 25; c = 5 Endpoints of LR
Example 1. Asymptotes c 2  = 25; c = 5 b 2  = 16; b = 4 a 2  = 9; a = 3 Asymptotes
Example 1. V 1 (3, 0),  V 2  (-3, 0) F 1 (5, 0),  F 2  (-5, 0) Center   at (0, 0) Conjugate points (0, 4), (0, -4) Endpoints of LR Asymptotes Symmetric at x-axis
Example 1. 4x + 3y = 0 4x – 3y = 0
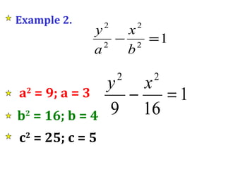
Example 2. a 2  = 9; a = 3 b 2  = 16; b = 4 c 2  = 25; c = 5
Example 2. a 2  = 9; a = 3 b 2  = 16; b = 4 c 2  = 25; c = 5 V 1 (0, 3),  V 2  (0, -3) F 1 (0, 5),  F 2  (0, -5) Center   at (0, 0) Center  at (0, 0) V 1 (0, a),  V 2 (0, -a) F 1 (0, c),  F 2 (0, -c)
Example 2. a 2  = 9; a = 3 b 2  = 16; b = 4 c 2  = 25; c = 5 LR =  2b 2  =  2(4) 2  = 32   a Conjugate points (4, 0), (-4, 0) 3 3 Conjugate Points (b, 0), (-b, 0) LR  =  2b 2 a
Example 2. LR =  2b 2  =  32 a 3 c 2  = 25; c = 5 Endpoints of LR
Example 2. Asymptotes c 2  = 25; c = 5 b 2  = 16; b = 4 a 2  = 9; a = 3 Asymptotes
Example 2. V 1 (0, 3),  V 2  (0, -3) F 1 (0, 5),  F 2  (0, -5) Center   at (0, 0) Conjugate points (4, 0), (-4, 0) Endpoints of LR Asymptotes Symmetric at y-axis
Example 2. 3x + 4y = 0 3x – 4y = 0
 
Standard Equation of a Hyperbola C (h, k)
Center  (h, k) F 1 (h+c, k) F 2 (h-c, k) V 1 (h+a, k) V 2 (h-a, k)
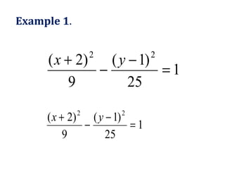
Example 1 .
Graphing a Hyperbola Graph:  ( x + 2) 2   (y – 1) 2     9  25  c 2  = 9 + 25 = 34 c =   34  = 5.83 Foci:  (-7.83, 1) and  (3.83, 1)  –  =  1 Center:  (-2, 1)  Horizontal hyperbola Vertices:  (-5, 1) and (1, 1)  Asymptotes:  y  =  (x + 2) + 1  5 3 y  =  (x + 2) + 1 5 3 -
Example 2 .
Properties of this Hyperbola Center ((1,2)
Graphing the Hyperbola Foci: (1,7), (1, -3) Vertices: (1,5), (1, -1) The hyperbola is  vertical Transverse Axis: parallel to y-axis
Properties of this Hyperbola Asymptotes:
Latera Recta
 
General Equation of a Hyperbola Ax 2  + By 2  + Cx + Dy + E = 0 Group the x terms together and y terms together. Complete the square. Express in binomial form. Divide by the constant term, where the first term has a positive sign.
Example 1 . 9x 2  – 4y 2  – 18x – 16y + 29 = 0
Converting an Equation (y – 1) 2   (x – 3) 2     4  9  c 2  = 9 + 4 = 13 c =   13  = 3.61 Foci:  (3, 4.61) and  (3, -2.61)  –  =  1 Center:  (3, 1)  The hyperbola is  vertical Graph:  9y 2  – 4x 2  – 18y + 24x – 63 = 0 9(y 2  – 2y + ___) – 4(x 2  – 6x + ___) = 63 + ___ – ___  9 1 9 36 9(y – 1) 2  – 4(x – 3) 2  = 36 Asymptotes:  y  =  (x – 3) + 1  2 3 y  =  (x – 3) + 1 2 3 -
Finding an Equation Find the standard form of the equation of a hyperbola given:  49 = 25 + b 2 b 2  = 24 Horizontal hyperbola Foci:  (-7, 0) and (7, 0) Vertices:  (-5, 0) and (5, 0) 10 8 F F V V Center:  (0, 0) c 2  = a 2  + b 2   (x – h) 2   (y – k) 2 a 2 b 2 –  =  1 x 2   y 2 25 24 –  =  1 a 2  = 25  and  c 2  = 49  C
Center:  (-1, -2)  Vertical  hyperbola Finding an Equation Find the standard form equation of the hyperbola that is graphed at the right (y – k) 2   (x – h) 2 b 2 a 2 –  =  1 a = 3  and  b = 5 (y + 2) 2   (x + 1) 2 25 9 –  =  1
Applications M 2 M 1 An explosion is recorded by two microphones that are two miles apart.  M1 received the sound 4 seconds before M2.  assuming that sound travels at 1100 ft/sec, determine the possible locations of the explosion relative to the locations of the microphones. (5280, 0) (-5280, 0) E(x,y) Let us begin by establishing a coordinate system with the origin midway between the microphones Since the sound reached M 2  4 seconds after it reached M 1 , the difference in the distances from the explosion to the two microphones must be  d 2 d 1 1100(4) = 4400 ft  wherever E is This fits the definition of an hyperbola with foci at M 1  and M 2 Since d 2  – d 1  = transverse axis,  a = 2200 x 2   y 2 4,840,000 23,038,400 –  =  1 x 2   y 2 a 2 b 2 –  =  1 c 2  = a 2  + b 2   5280 2  =  2200 2  + b 2   b 2  = 23,038,400 The explosion must be on the hyperbola

Analytic geometry hyperbola

  • 1.
  • 2.
    A hyperbola is the set of points in a plane, the absolute value of the difference of whose distances from two fixed points, called foci , is a constant. Hyperbola F 2 F 1
  • 3.
    Hyperbola F 2F 1 d 1 d 2 P d 2 – d 1 is always the same.
  • 4.
  • 5.
  • 6.
  • 7.
    Equation of aHyperbola The center is at the point (0, 0) c 2 = a 2 + b 2 c is the distance from the center to a focus point. The foci are at (c, 0) and (-c, 0)
  • 8.
    Equation of aHyperbola The conjugate points are at (0, b) and (0, -b) The vertices are at (a, 0) and (-a, 0) Length of the latus rectum is 2b 2 a
  • 9.
    Equation of aHyperbola Ends of the latus rectum :
  • 10.
    Equation of aHyperbola Horizontal Hyperbola Equation of the directrix
  • 11.
    Equation of aHyperbola The center is at the point (0, 0) c 2 = a 2 + b 2 c is the distance from the center to a focus point. The foci are at (0, c) and (0, -c)
  • 12.
    Equation of aHyperbola The conjugate points are at (b, 0) and (-b, 0) The vertices are at (0, a) and (0, -a) Length of the latus rectum is 2b 2 a
  • 13.
    Equation of aHyperbola Ends of the latus rectum :
  • 14.
    Equation of aHyperbola Vertical Hyperbola Equation of the directrix
  • 15.
    Example 1. a2 = 9; a = 3 b 2 = 16; b = 4 c 2 = 25; c = 5
  • 16.
    Example 1. a2 = 9; a = 3 b 2 = 16; b = 4 c 2 = 25; c = 5 V 1 (3, 0), V 2 (-3, 0) F 1 (5, 0), F 2 (-5, 0) Center at (0, 0) Center at (0, 0) V 1 (a, 0), V 2 (-a, 0) F 1 (c, 0), F 2 (-c, 0)
  • 17.
    Example 1. a2 = 9; a = 3 b 2 = 16; b = 4 c 2 = 25; c = 5 LR = 2b 2 = 2(4) 2 = 32 a Conjugate points (0, 4), (0, -4) 3 3 Conjugate Points (0, b), (0, -b) LR = 2b 2 a
  • 18.
    Example 1. LR= 2b 2 = 32 a 3 c 2 = 25; c = 5 Endpoints of LR
  • 19.
    Example 1. Asymptotesc 2 = 25; c = 5 b 2 = 16; b = 4 a 2 = 9; a = 3 Asymptotes
  • 20.
    Example 1. V1 (3, 0), V 2 (-3, 0) F 1 (5, 0), F 2 (-5, 0) Center at (0, 0) Conjugate points (0, 4), (0, -4) Endpoints of LR Asymptotes Symmetric at x-axis
  • 21.
    Example 1. 4x+ 3y = 0 4x – 3y = 0
  • 22.
    Example 2. a2 = 9; a = 3 b 2 = 16; b = 4 c 2 = 25; c = 5
  • 23.
    Example 2. a2 = 9; a = 3 b 2 = 16; b = 4 c 2 = 25; c = 5 V 1 (0, 3), V 2 (0, -3) F 1 (0, 5), F 2 (0, -5) Center at (0, 0) Center at (0, 0) V 1 (0, a), V 2 (0, -a) F 1 (0, c), F 2 (0, -c)
  • 24.
    Example 2. a2 = 9; a = 3 b 2 = 16; b = 4 c 2 = 25; c = 5 LR = 2b 2 = 2(4) 2 = 32 a Conjugate points (4, 0), (-4, 0) 3 3 Conjugate Points (b, 0), (-b, 0) LR = 2b 2 a
  • 25.
    Example 2. LR= 2b 2 = 32 a 3 c 2 = 25; c = 5 Endpoints of LR
  • 26.
    Example 2. Asymptotesc 2 = 25; c = 5 b 2 = 16; b = 4 a 2 = 9; a = 3 Asymptotes
  • 27.
    Example 2. V1 (0, 3), V 2 (0, -3) F 1 (0, 5), F 2 (0, -5) Center at (0, 0) Conjugate points (4, 0), (-4, 0) Endpoints of LR Asymptotes Symmetric at y-axis
  • 28.
    Example 2. 3x+ 4y = 0 3x – 4y = 0
  • 29.
  • 30.
    Standard Equation ofa Hyperbola C (h, k)
  • 31.
    Center (h,k) F 1 (h+c, k) F 2 (h-c, k) V 1 (h+a, k) V 2 (h-a, k)
  • 32.
  • 33.
    Graphing a HyperbolaGraph: ( x + 2) 2 (y – 1) 2 9 25 c 2 = 9 + 25 = 34 c =  34 = 5.83 Foci: (-7.83, 1) and (3.83, 1) – = 1 Center: (-2, 1) Horizontal hyperbola Vertices: (-5, 1) and (1, 1) Asymptotes: y = (x + 2) + 1 5 3 y = (x + 2) + 1 5 3 -
  • 34.
  • 35.
    Properties of thisHyperbola Center ((1,2)
  • 36.
    Graphing the HyperbolaFoci: (1,7), (1, -3) Vertices: (1,5), (1, -1) The hyperbola is vertical Transverse Axis: parallel to y-axis
  • 37.
    Properties of thisHyperbola Asymptotes:
  • 38.
  • 39.
  • 40.
    General Equation ofa Hyperbola Ax 2 + By 2 + Cx + Dy + E = 0 Group the x terms together and y terms together. Complete the square. Express in binomial form. Divide by the constant term, where the first term has a positive sign.
  • 41.
    Example 1 .9x 2 – 4y 2 – 18x – 16y + 29 = 0
  • 42.
    Converting an Equation(y – 1) 2 (x – 3) 2 4 9 c 2 = 9 + 4 = 13 c =  13 = 3.61 Foci: (3, 4.61) and (3, -2.61) – = 1 Center: (3, 1) The hyperbola is vertical Graph: 9y 2 – 4x 2 – 18y + 24x – 63 = 0 9(y 2 – 2y + ___) – 4(x 2 – 6x + ___) = 63 + ___ – ___ 9 1 9 36 9(y – 1) 2 – 4(x – 3) 2 = 36 Asymptotes: y = (x – 3) + 1 2 3 y = (x – 3) + 1 2 3 -
  • 43.
    Finding an EquationFind the standard form of the equation of a hyperbola given: 49 = 25 + b 2 b 2 = 24 Horizontal hyperbola Foci: (-7, 0) and (7, 0) Vertices: (-5, 0) and (5, 0) 10 8 F F V V Center: (0, 0) c 2 = a 2 + b 2 (x – h) 2 (y – k) 2 a 2 b 2 – = 1 x 2 y 2 25 24 – = 1 a 2 = 25 and c 2 = 49 C
  • 44.
    Center: (-1,-2) Vertical hyperbola Finding an Equation Find the standard form equation of the hyperbola that is graphed at the right (y – k) 2 (x – h) 2 b 2 a 2 – = 1 a = 3 and b = 5 (y + 2) 2 (x + 1) 2 25 9 – = 1
  • 45.
    Applications M 2M 1 An explosion is recorded by two microphones that are two miles apart. M1 received the sound 4 seconds before M2. assuming that sound travels at 1100 ft/sec, determine the possible locations of the explosion relative to the locations of the microphones. (5280, 0) (-5280, 0) E(x,y) Let us begin by establishing a coordinate system with the origin midway between the microphones Since the sound reached M 2 4 seconds after it reached M 1 , the difference in the distances from the explosion to the two microphones must be d 2 d 1 1100(4) = 4400 ft wherever E is This fits the definition of an hyperbola with foci at M 1 and M 2 Since d 2 – d 1 = transverse axis, a = 2200 x 2 y 2 4,840,000 23,038,400 – = 1 x 2 y 2 a 2 b 2 – = 1 c 2 = a 2 + b 2 5280 2 = 2200 2 + b 2 b 2 = 23,038,400 The explosion must be on the hyperbola