Unit – 3
Manipulators, Actuators and End
Effectors
Prepared by
JAI GANESH S
Asst. Prof – Dept. of ECE
Syllabus
UNIT III
MANIPULATORS, ACTUATORS AND GRIPPERS
• Construction of manipulators
– manipulator dynamics and force control
– electronic and pneumatic manipulator control circuits
• End effectors
– Various types of grippers
– Design considerations.
We will discuss second half first and then first Half
End Effectors
• In robotics, an end effectors are the device or
tool that's connected to the end of a robot
arm end enables the robot arm to perform
specific task
• Usually end effectors are custom engineered
for a particular task
Types of End Effectors
• There are wide segments of end effectors
required to perform the variety of different
work functions.
• The various types can be divided into two
major categories
– Grippers
– Tools
Grippers
• They are the end effectors used to grasp and
hold objects.
• They are widely used in machine loading and
unloading
• There are various types of grippers based on
how they grasp the objects
– Mechanical Gripper
– Magnetic gripper
– Suction gripper or vacuum gripper
General classifications of gripper – No.
of Grippers
• Single gripper
– This will have only one grasping device attached to
the robot
• Double gripper
– This will have 2 grasping devices attached to the
robot
• External Gripper
• Internal Gripper
General classifications of gripper – gripping surface
Mechanical Grippers – basic definition
and operation
• A mechanical gripper is an end effectors that uses
mechanical fingers actuated by a mechanism to
grasp an object.
• Fingers are some times called as jaws.
Constraining the part in the gripper
• Physical Constriction Method
• Friction between the fingers and workpart
– In this approach the fingers must apply a force
that id sufficient for friction to retain the part
against gravity, acceleration and any other forces
Friction between the fingers and
workpart
Types of gripper mechanism
• Classification based on finger movement
– Pivoting Movement
• Linear actuation
• Gear and rack actuation
• Cam actuation
• Screw actuation
• Rope and pulley actuation
• miscellaneous
– Linear or translational movement
Pivoting Gripper Mechanisms – Linear
Actuations
Pivoting Gripper Mechanisms – Gear
and Rack method
Pivoting Gripper Mechanisms – Cam
Actuated Method
Pivoting Gripper Mechanisms – screw
Actuated Method
Pivoting Gripper Mechanisms – rope
and pulley Actuated Method
Other Types of Gripper
• In addition to mechanical gripper there are
variety of other devices that can be designed
to lift and hold the objects
– Vacuum cups
– Magnetic
– Adhesive
– Hooks scoops and other miscellaneous Devices
Vacuum Grippers
Magnetic Gripper
• Suitable for handling ferrous materials
• Merits:
– Pick up time is very fast
– Variation in part size can be tolerated
– They have the ability to handle the metal parts with
holes
– Requires only one surface of gripping
• Demerits:
– Residual magnetism on work part
– Limited precision
– Slipping problem
Adhesive Grippers
• Suitable for grasping fabrics and other light
weight objects
Tools as End Effectors
• Spot welding tools
• Arc welding torch
• Spray painting nozzle
• Rotating spindle for
– Drilling
– Routing
– Brushing
– Grinding
• Liquid cement applicator for assembly
• Heating torches
• Water jet cutting tool
Spot welding
Arc welding
Spray painting
Drilling
Water jet cutting tool
Consideration in gripper selection and
design
• The gripper must have the ability to reach the surface of a work
part.
• The change in work part size must be accounted for providing
accurate positioning.
• During machining operations, there will be a change in the work
part size. As a result, the gripper must be designed to hold a work
part even when the size is varied.
• The gripper must not create any sort of distort and scratch in the
fragile work parts.
• The gripper must hold the larger area of a work part if it has
various dimensions, which will certainly
increase stability and control in positioning.
• The gripper can be designed with resilient pads to provide more
grasping contacts in the work part. The replaceable fingers can
also be employed for holding different work part sizes by
its interchangeability facility
Check List of Factors in the selection
and design of grippers
Check List of Factors in the selection
and design of grippers
Robot Kinematics and Dynamics
Representation of 3D object
Representing position only
Representation of Orientation
Introducing Frame
Frame Transformation – Translation
of frame
Frame Transformation – Rotation of
the frame
Frame – Translation and Rotation
Transformation Matrix
Typical homogeneous Transformation
Matrix
Determining 3x3 Rotational Matrix
Determining 3x3 Rotational Matrix
Determining 3x3 Rotational Matrix
Repeating the Procedure to determine
rotation along x and y
Construction of manipulators
Manipulators – Links and Joints
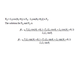
Manipulator Dynamics
Manipulator control
• Position Control
– Linear control of manipulator
• Open loop and closed loop control
• Trajectory following control
• Continuous and discrete control
– Non linear control of manipulator
• Adaptive control
• Lyapunov stability analysis
• Force control
– Pneumatic control
– Electronic control
Pneumatic Force Control
Advantages
– High effectiveness
– High durability and reliability
– Simple design
– High adaptability to harsh
environment
– Safety
– Easy selection of speed and
pressure
– Environmental friendly
– Economical
Limitations
• Relatively low accuracy
• Low loading
• Processing required before
use
• Uneven moving speed
• Noise
Components of Pneumatic Control
Circuits – 2 components
• Production and transportation of compressed
air
– Compressor
– Pressure Regulating Component
• Consumption of compressed air
– Execution component
• Single acting Cylinder
Components of Pneumatic Control Circuits – 2 components
• Double acting Cylinder
Directional control valve
2/2 Directional control valve
3/2 Directional control valve
Control Valve
• Non return Valves
• Flow Control Valves
• Shuttle Valves
Setting of circuit Diagram
Few Basic Circuits
• Flow Amplification Circuit
Few Basic Circuits
• Signal Inversion
Few Basic Circuits
• Memory Function
Single Acting Cylinder Control
• Direct and Speed Control
Double Acting Cylinder
Direct control Single control
Pneumatic force control
Electronic Force Control
• Merits
– Compact in size
– Consumes less power
– Faster response
– No noise as like in pneumatic systems
Characteristics of various control systems
Force control components
• Generally force control and position control is
achieved by using Electric Motors
– DC Motors
• Working Principle
• Speed control methods
– Flux Control Method
– Armature Control Method
– Voltage Control Method
– AC Motors
– Stepper Motors
Electronic Force Control
Robotics and Autoamtion_ manipulators, actuators and end effectors

Robotics and Autoamtion_ manipulators, actuators and end effectors