1
Development of maximum power point
tracking algorithm using fuzzy logic
control for a PV cell and comparative
study with P&O method
Submitted in the fulfillment of the course EE474 by
Bharat C U (10EE23) Sandeep Kumar (10EE42) Rajashekhar S A (10EE71)
Ravi Kumar D (10EE74) Truptesh G S (10EE105)
Under the guidance of
Dr. Vinatha U
Associate Professor, Dept. of EEE
DEPARTMENT OF ELECTRICAL AND ELECTRONICS ENGINEERING,
NATIONAL INSTITUTE OF TECHNOLOGY KARNATAKA, SURATHKAL
SRINIVASNAGAR – 575025, KARNATAKA, INDIA
MAY 2014
2
Contents
CHAPTER 1......................................................................................................5
1.1 Introduction.............................................................................................5
1.2 Motivation...............................................................................................5
CHAPTER 2......................................................................................................7
MODELING OF PHOTOVOLTAIC CELL ......................................................7
2.1 Introduction.............................................................................................7
2.2 Photovoltaic cell......................................................................................7
2.3 Equations governing PV cell ...................................................................8
2.4 MATLAB Simulink model of PV cell .....................................................9
2.5 Results of PV cell ..................................................................................10
CHAPTER 3....................................................................................................12
MAXIMUM POWER POINT TRACKING ....................................................12
3.1 Introduction...........................................................................................12
3.2 Methods for MPPT ................................................................................12
3.2.1 Perturb and observe method ...........................................................13
3.2.2 Incremental conductance method ...................................................13
3.2.3 Parasitic capacitance method..........................................................13
3.2.4 Constant voltage method ................................................................13
3.2.5 Fuzzy control methods ..................................................................14
CHAPTER 4....................................................................................................15
DETAILED ANALYSIS OF PERTURB AND OBSERVE METHOD ...........15
4.1 Introduction...........................................................................................15
4.2 Algorithm for P&O method ...................................................................16
4.3 Implementing P&O MPPT using MATLAB..........................................16
4.3.1 MATLAB Simulink model of P&O MPPT method for a PV cell...16
4.3.2 MATLAB Simulink model of P&O block of Fig.6.........................17
4.4 Results...................................................................................................18
3
CHAPTER 5....................................................................................................19
DETAILED ANALYSIS OF FUZZY LOGIC METHOD ...............................19
5.1 Introduction...........................................................................................19
5.2 The fuzzy controller’s functional blocks...............................................19
5.2.1 Fuzzification..................................................................................19
5.2.2 Fuzzy rule algorithm .....................................................................19
5.2.3 Defuzzification..............................................................................20
5.3 Fuzzy controller steps............................................................................20
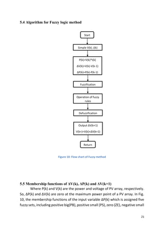
5.4 Algorithm for Fuzzy logic method.........................................................21
5.5 Membership functions of ΔV(k), ΔP(k) and ΔV(k+1)............................21
5.6 Fuzzy logic rules....................................................................................23
5.7 Surface view of Fuzzy ...........................................................................23
5.8 Implementing P&O MPPT using MATLAB..........................................24
5.8.1 MATLAB Simulink model of Fuzzy MPPT method for a PV cell .24
5.8.2 MATLAB Simulink model of FuZ block of Fig.13 for a PV cell ...24
5.9 Comparing Tracking time of P&O and FUZZY MPPT methods ..........25
CHAPTER 6....................................................................................................26
Buck-boost converter.......................................................................................26
6.1 Introduction...........................................................................................26
6.2 Working of buck-boost converter ..........................................................26
6.3 Equations..............................................................................................28
6.4 Formulae ..............................................................................................28
6.5 MATLAB Simulink model of Buck-Boost with PI controller................29
6.6 Result of Buck-Boost converter with PI controller.................................30
CHAPTER 7....................................................................................................31
CONCLUSION ...............................................................................................31
REFERENCES ................................................................................................32
4
List of figures
Figure 1: Equivalent circuit of PV cell...............................................................7
Figure 2: Simulink model of PV cell................................................................10
Figure 3: Graph representing Power and Current vs Voltage of a PV cell ........10
Figure 4: Graph representing Power vs Voltage at constant irradiation(S) and
varying Temperature(T) of a PV cell ...............................................................11
Figure 5: Graph representing Power vs Voltage at constant Temperature(T) and
varying radiation(S) of a PV cell......................................................................11
Figure 6: Flow chart of P & O method.............................................................16
Figure 7: Simulink model of P&O MPPT method for a PV cell.......................17
Figure 8: Simulink model of P&O block of Fig.6 ............................................17
Figure 9: Graph representing Operating voltage (Vmp) for varying S and T....18
Figure 10: Flow chart of Fuzzy method ...........................................................21
Figure 11: Membership function of ΔV(k).......................................................22
Figure 12: Membership function of ΔP(k)........................................................22
Figure 13: Membership function of ΔV(k+1)...................................................23
Figure 14: Three Dimensional view of Fuzzy surface ......................................23
Figure 15: Simulink model of P&O MPPT method for a PV cell.....................24
Figure 16: Simulink model of P&O block of Fig.13 ........................................24
Figure 17: Buck-boost converter circuit..........................................................27
Figure 18: Simulink model of Buck-Boost converter with PI controller...........29
Figure 19: Graph representing output voltage of Buck-Boost converter with PI
controller .........................................................................................................30
List of Tables
Table 1: Fuzzy rules…………………………………………………………………………………………23
Table 2: Comparing Tracking time of MPPT methods…………………………………………….25
5
CHAPTER 1
1.1 Introduction
This paper presents Photovoltaic (PV) cell model. Perturb & Observe and
fuzzy logic based Maximum Power Point Tracking (MPPT) algorithm for PV cell.
The solar cell is modelled and analyzed in MATLAB/SIMULINK. The Solar cell can
produce maximum power at a particular operating point called Maximum Power
Point (MPP).To produce maximum power and to get maximum efficiency, the
entire photovoltaic panel must operate at this particular point. Maximum power
point of PV cell keeps on changing with changing environmental conditions such
as solar irradiance and cell temperature. Thus to extract maximum available
power from a PV module, MPPT algorithms are implemented. In this paper,
Perturb and Observe (P&O) MPPT and fuzzy logic based MPPT are developed
and compared. Simulation results show the effectiveness of the fuzzy based
technique to produce a more stable power.
Keywords: MPPT, Fuzzy Logic, PV Modeling, Buck-Boost Converter, Perturb and
Observe.
1.2 Motivation
Renewable energy also called non-conventional type of energy sources are
the sources which are continuously replenished by natural processes. Solar
energy, bio-energy (bio-fuels grown sustainably), wind energy and hydropower
etc., are some of the examples of renewable energy sources [1]. A renewable
energy system convert the energy from sunlight, falling-water, wind, sea-waves,
geothermal heat, or biomass into a form, which we can use in the form of heat
or electricity. The majority of the renewable energy comes either directly or
indirectly from sun and wind and can never be fatigued, and therefore they are
called renewable.
However, the majority of the world's energy sources came from conventional
sources- fossil fuels such as coal, natural gases and oil. These fuels are often
termed as non-renewable energy sources. Though, the available amount of
these fuels are extremely large, due to decrease in level of fossil fuel and oil level
day by day after a few years it will end. Hence the demand for renewable energy
6
sources increases as it is environmental friendly and pollution free which
reduces the greenhouse effect.
Solar energy is a non-conventional type of energy. Solar energy has been
harnessed by humans since ancient times using a variety of technologies. Solar
powered electrical generation relies on photovoltaic system and heat engines.
To harvest the solar energy, the most common way is to use photovoltaic panels
which will receive photon energy from sun and convert to electrical energy.
Solar technologies are broadly classified as either passive solar or active solar
depending on the way they detain, convert and distribute solar energy.
Active solar techniques include the use of PV panels and solar thermal collectors
to strap up the energy. Passive solar techniques include orienting a building to
the sun, selecting materials with favorable thermal mass or light dispersing
properties and design spaces that naturally circulate air. Solar energy has a vast
area of application such as electricity generation for distribution, heating water,
lighting building, crop drying etc.
7
CHAPTER 2
MODELING OF PHOTOVOLTAIC CELL
2.1 Introduction
A PV cells are made of semiconductor materials, such as silicon. For solar
cells, a thin semiconductor wafer is specially treated to form an electric field,
positive on one side and negative on the other. When light energy strikes the
solar cell, electrons are knocked loose from the atoms in the semiconductor
material [2]. If electrical conductors are attached to the positive and negative
sides, forming an electrical circuit, the electrons can be captured in the form of
an electric current that is, electricity .This electricity can then be used to power
a load.
2.2 Photovoltaic cell
An ideal solar cell is modelled by a current source in parallel with a diode.
However no solar cell is ideal and thereby shunt and series resistances are added
to the model as shown in the Fig.1.
Figure 1: Equivalent circuit of PV cell
PV arrays produce electric power directly from sunlight. With the advent of
silicon P-N junction during the 1950s, the photoelectric current was able to
produce power due to the inherent voltage drop across the junction [3]. This
8
gives the well-known nonlinear relationship between the current and voltage of
the photovoltaic cell. From this nonlinear relationship of the photovoltaic cell, it
can be observed that there is a unique point, under given illumination, at which
the cell produces maximum power, the so-called maximum power point (MPP).
This point occurs when the rate of change of the power with respect to the
voltage is equal to zero [4].
The current source Ipv represents the cell photo current, Rsh and Rs are used to
represent the intrinsic series and shunt resistance of the cell respectively.
Usually the value of Rsh is very large and that of Rs is very small, hence they may
be neglected to simplify the analysis
2.3 Equations governing PV cell
The PV mathematical model used to simplify our PV array is represented
by the Eqn(1):
Ia= npIph - npI0[𝑒−
𝑞(𝑉a/ns+IaRs)
𝑛𝑘𝑇 -1] -
𝑉a
𝑛𝑠⁄ +𝐼𝑠ℎ𝑅𝑠
𝑅𝑠ℎ
(1)
Ia : Cell output current
Va : Cell output voltage
np : Number of parallel solar cells
ns : Number of series solar cells
Iph : Photon current
I0 :Solar cell’s reverse saturation current. (0.0003A)
q : Electron charge. (1.6 ×10−19 C)
n :P-N junction ideality factor (Between 1and 5)
k : Boltzmann’s constant. (1.38×10−23
J/K)
T : Solar cell operating temperature
Rs :Cell intrinsic series resistance
Rsh : Cell intrinsic parallel resistance
Photon current equation is given by:
Iph = Isc(
𝑆
1000
) + CT( T - Tref ) (2)
9
Isc :Short circuit current at standard testing condition .(5A)
S :Operating solar radiation (W/m2)
CT :Short-circuit-current temperature coefficient. (0.0016A/K)
T :Operating temperature
Tref :Solar cell absolute temperature at standard testing condition (STC) (20°C)
From the Eq.1 & 2 simulation of PV module can be done, in following manner,
Taking, Rsh=∞, np=1, ns=1, Rs=0 the equation becomes
Ia= Iph – I0[𝑒−
𝑞𝑉a
𝑛𝑘𝑇 -1] (3)
The PV cell output voltage is a function of the photocurrent that mainly
determined by load current depending on the solar irradiation level during the
operation.
Va =
𝑛𝑘𝑇
𝑞
ln(
𝐼𝑝ℎ+𝐼𝑟𝑠−𝐼𝑎
𝐼𝑟𝑠
) (4)
Both k and T should have the same temperature unit, either Kelvin or Celsius.
When the ambient temperature and irradiation levels change, the cell operating
temperature also changes, resulting in a new output voltage and a new
photocurrent value. The solar cell operating temperature varies as a function of
solar irradiation level and ambient temperature. The variable ambient
temperature T affects the cell output voltage and cell photocurrent.
2.4 MATLAB Simulink model of PV cell
Solar irradiation (S) and temperature (T) are the input to the PV cell.
current (Ia), voltage (Va) and power (P) are the output of the PV cell. Va is
incremented/ decremented by the factor 0.01 at each step. PV cell model
identifies any change in S or T and recalculates the voltage, current and power.
For S=400W/m2
T=373 K
10
Figure 2: Simulink model of PV cell
2.5 Results of PV cell
PV cell with inputs S=400 W/m2 and T=373 K is simulated , graph is
plotted for power vs voltage and current vs voltage is shown in Fig.3.
Open circuit voltage, Voc=9.2 V
Short circuit current, Isc=2.52 A
Maximum power, Pmp=2.01 W
Current at maximum power, Imp=2.49 A
Voltage at maximum power, Vmp=0.81 V
Figure 3: Graph representing Power and Current vs Voltage of a PV cell
11
PV cell inputs S=400 W/m2 and different values of T=[293 313 333 353 373] K is
simulated and graph between power and voltage is shown in Fig.4. Power
increases with increase in temperature.
Figure 4: Graph representing Power vs Voltage at constant irradiation(S) and varying
Temperature(T) of a PV cell
PV cell inputs different values of S=[200 400 600 800 1000] W/m2 and T=313K
is simulated and graph between power and voltage is shown in Fig.5. Power
increases with increase in irradiation.
Figure 5: Graph representing Power vs Voltage at constant Temperature(T) and varying
radiation(S) of a PV cell
12
CHAPTER 3
MAXIMUM POWER POINT TRACKING
3.1 Introduction
From the nonlinear relationship between the current and voltage of the
photovoltaic cell it can be observed that there is a unique point, under given
illumination, at which the cell produces maximum power, the so-called
maximum power point (MPP). This point occurs when the rate of change of the
power with respect to the voltage is equal to zero [4].
The output power of PV cell varies with depending mainly on the level of solar
radiation and ambient temperature corresponding to a specific weather
condition. The MPP will change with external environment of PV cell. An
important consideration in achieving high efficiency in PV power generation
system is to match the PV source and load impedance properly for any weather
conditions, thus obtaining maximum power generation.
3.2 Methods for MPPT
The different methods used to track the maximum power point are:
(i) Perturb and Observe method
(ii) Incremental Conductance method
(iii) Parasitic Capacitance method
(iv) Constant Voltage method
(v) Fuzzy Control method
13
3.2.1 Perturb and observe method
This method is the most common. In this method very less number of
sensors are utilized [5] and [6]. The operating voltage is sampled and the
algorithm changes the operating voltage in the required direction and samples
𝑑𝑃/𝑑𝑉. If 𝑑𝑃/𝑑𝑉 is positive, then the algorithm increases the voltage value
towards the MPP until 𝑑𝑃/𝑑𝑉is negative. This iteration is continued until the
algorithm finally reaches the MPP. This algorithm is not suitable when the
variation in the solar irradiation is high. The voltage never actually reaches an
exact value but perturbs around the maximum power point (MPP).
3.2.2 Incremental conductance method
This method uses the PV array's incremental conductance 𝑑𝐼𝑑𝑉to
compute the sign of𝑑𝑃 𝑑𝑉. When 𝑑𝐼𝑑𝑉is equal and opposite to the value of I/V
(where 𝑑𝑃𝑑𝑉=0) the algorithm knows that the maximum power point is reached
and thus it terminates and returns the corresponding value of operating voltage
for MPP. This method tracks rapidly changing irradiation conditions more
accurately than P&O method. One complexity in this method is that it requires
many sensors to operate and hence is economically less effective [5] and [6].
3.2.3 Parasitic capacitance method
This method is an improved version of the incremental conductance
method, with the improvement being that the effect of the PV cell's parasitic
union capacitance is included into the voltage calculation [5] and [6].
3.2.4 Constant voltage method
This method which is a not so widely used method because of the losses
during operation is dependent on the relation between the open circuit voltage
and the maximum power point voltage. The ratio of these two voltages is
generally constant for a solar cell, roughly around 0.76. Thus the open circuit
voltage is obtained experimentally and the operating voltage is adjusted to 76%
of this value [8].
14
3.2.5 Fuzzy control methods
A MPP search based on fuzzy heuristic rules, which does not need any parameter
information, consists of a stepwise adaptive search, leads to fast convergence
and is sensor less with respect to sunlight and temperature measurements [9].
The control objective is to track and extract maximum power from the PV arrays
for a given solar insolation level. The maximum power corresponding to the
optimum operating point is determined for a different solar insolation level and
temperature.
15
CHAPTER 4
DETAILED ANALYSIS OF PERTURB AND OBSERVE METHOD
4.1 Introduction
One of the most simple and popular techniques of MPPT is the P&O
technique. The main concept of this method is to push the system to operate at
the direction which the output power obtained from the PV system increases.
Following equation describes the change of power which defines the strategy of
the P&O technique
∆P = P(k) – P(k-1) (5)
∆V= V(k) – V(k-1) (6)
If the change of power defined by (5) is positive, the system will keep the
direction of the incremental voltage (increase or decrease the PV voltage) as the
same direction, and if the change is negative, the system will change the
direction of incremental voltage command to the opposite direction.[5]
The flow chart of the P&O algorithm is shown in Fig.6
16
4.2 Algorithm for P&O method
Figure 6: Flow chart of P & O method
4.3 Implementing P&O MPPT using MATLAB
4.3.1 MATLAB Simulink model of P&O MPPT method for a PV cell
Solar radiation (S) and Temperature (T) are the input to the PV cell. Current
(Ia), Voltage (Va) and Power (P) are the output of the PV cell. Vmp is the cell
voltage at maximum power or Operating voltage. Va is incremented
decremented by the factor 0.01 at each step.
Start
Inputs: V (k), I (K)
P (k) = V (k) * I (k)
∆P = P (k) – P (k-1)
∆V = V (k) – V (k-1)
P (K) > P (k-1)
No
Yes
V (k) > V (k-1)
Increase voltage Increase VoltageDecrease Voltage Decrease Voltage
Yes YesNo No
V (k) < V (k-1)
Yes
17
Figure 7: Simulink model of P&O MPPT method for a PV cell
4.3.2 MATLAB Simulink model of P&O block of Fig.6
In P&O block voltage and current are taken as inputs from the PV cell.
Vmp is calculated by incrementing/decrementing V by factor 0.01. When Vmp is
reached then it remains constant till any change in S or T.
Figure 8: Simulink model of P&O block of Fig.6
18
4.4 Results
Graph for operating voltage of a PV cell at varying T and S.
Initially the cell inputs are T=313 K and S=1000 W/m2 . At 0.03s temperature is
raised to 373 K with S=1000 W/m2. At 0.06s radiation falls to 400 W/m2, T=373
K . Shown in Fig.8.
Figure 9: Graph representing Operating voltage (Vmp) for varying S and T
Operating voltage Vmp =0.72V for S=1000 W/m2 ,T=313K at start
after 0.03s ,Vmp=0.83 for S=1000 W/m2
,T=373K
after 0.06s ,Vmp=0.81 for S=400 W/m2
,T=373K
19
CHAPTER 5
DETAILED ANALYSIS OF FUZZY LOGIC METHOD
5.1 Introduction
In recent years, fuzzy logic controllers have been widely used for industrial
processes owing to their heuristic nature associated with simplicity and
effectiveness for both linear and nonlinear systems [6]. A MPP search based on
fuzzy heuristic rules, which does not need any parameter information, consists
of a stepwise adaptive search, leads to fast convergence and is sensor less with
respect to sunlight and temperature measurements [7]. The control objective is
to track and extract maximum power from the PV arrays for a given solar
insolation level. The maximum power corresponding to the optimum operating
point is determined for a different solar insolation level and temperature.
5.2 The fuzzy controller’s functional blocks
5.2.1 Fuzzification
The fuzzy control requires that variable used in describing the control rules
has to be expressed in terms of fuzzy set notations with linguistic labels. In this
paper, the fuzzy control MPPT method has two input variables, namely ΔP(k)
and ΔV(k), at a sampling instant k. The output variable is ΔV(k+1), which is
voltage’s increase of PV array at next sampling instant k+1. The variable ΔP(k)
and ΔV(k) are expressed as follows:
ΔP(k)=P(k)-P(k-1) (5)
ΔV(k)=V(k)-V(k-1) (6)
5.2.2 Fuzzy rule algorithm
The rule base that associates the fuzzy output to the fuzzy inputs is
derived by understanding the system behavior. In this paper, the fuzzy rules
are designed to incorporate the following considerations keeping in view the
overall tracking performance.
20
5.2.3 Defuzzification
After the rules have been evaluated, the last step to complete the fuzzy
control algorithm is to calculate the crisp output of the fuzzy control with the
process of defuzzification. The well-known center of gravity method for
defuzzification is used in this paper. It computes the center of gravity from the
final fuzzy space, and yields a result which is highly related to all of the elements
in the same fuzzy set [9]. The crisp value of control output ΔV(k+1) is computed
by the following equation:
∆𝑉 = ∑
𝑊𝑖∆𝑉𝑖
𝑊𝑖
𝑛
𝑖=1 (7)
Where n is the maximum number of effective rules, Wi is the weighting factor,
and ΔVi is the value corresponding to the membership function of ΔV. Then,
the final control voltage is obtained by adding this change to the previous
value of the control voltage:
V(k+1)=V(k) + ΔV (8)
5.3 Fuzzy controller steps
(a) If the last change in voltage ΔV(k) has caused the power to rise, keep moving
the next change in voltage ΔV(k+1) in the same direction by tuning duty ratio of
converter to achieve, otherwise, if it has caused the power to drop, move it in
the opposite direction.
(b) Owing to the fact that the characteristic curves might change with
temperature and sunlight level, leading to an overall shift of the optimum point.
(c) Because the optimum point tends to satisfy the condition əP/əV=0, the
system might recognize any large plateau as a maximum power region and stop.
The some rules have been identified for avoiding the stabilizing effect in a region
other than that of true peak power when power is zero.
(d) It is necessary to provide the system with a rule that stabilizes the point of
operation at a peak power point.
As a fuzzy inference method, Mamdani’s method is used with max---min
operation fuzzy combination law in this paper. To satisfy different conditions
and gain better tracking performance, several possible combinations of the
degree of supports are with varying strengths to the corresponding rules.
21
5.4 Algorithm for Fuzzy logic method
Figure 10: Flow chart of Fuzzy method
5.5 Membership functions of ΔV(k), ΔP(k) and ΔV(k+1)
Where P(k) and V(k) are the power and voltage of PV array, respectively.
So, ΔP(k) and ΔV(k) are zero at the maximum power point of a PV array. In Fig.
10, the membership functions of the input variable ΔP(k) which is assigned five
fuzzy sets, including positive big(PB), positive small (PS), zero (ZE), negative small
Start
Simple V(k) ,I(k)
P(k)=V(k)*I(k)
∆V(k)=V(k)-V(k-1)
∆P(k)=P(k)-P(k-1)
Fuzzification
Operation of fuzzy
rules
Defuzzification
Output ∆V(k+1)
V(k+)=V(k)+∆V(k+1)
Return
22
(NS), and negative big (NB). The membership functions are denser at the center
in order to provide more sensitivity against variation in the PV array terminal
voltage [8].
In Fig. 11, the membership functions of the input variable ΔV(k) which is
assigned three fuzzy sets, including positive (P), zero (Z), and negative(N). Fig.12
shows the membership functions of the output variable ΔV(k+1) which is
assigned seven fuzzy sets, including positive big (PB), positive middle (PM),
positive small (PS), zero (ZE), negative small (NS), negative middle(NM), and
negative big (NB).
Figure 11: Membership function of ΔV(k)
Figure 12: Membership function of ΔP(k)
23
Figure 13: Membership function of ΔV(k+1)
5.6 Fuzzy logic rules
Table 1: Fuzzy rules
5.7 Surface view of Fuzzy
Figure 14: Three Dimensional view of Fuzzy surface
24
5.8 Implementing P&O MPPT using MATLAB
5.8.1 MATLAB Simulink model of Fuzzy MPPT method for a PV cell
S and T are the inputs, voltage and current are calculated for given inputs
voltage increment/ decrement is taken from the output of Fuzzy controller,
shown in Fig.13. Inside the FuZ block, voltage and current are taken as inputs,
Fuzzy controller gives error function ΔV(k+1) which increments/ decrements the
voltage of PV cell, shown in Fig.14
Figure 15: Simulink model of P&O MPPT method for a PV cell
5.8.2 MATLAB Simulink model of FuZ block of Fig.13 for a PV cell
Figure 16: Simulink model of P&O block of Fig.13
25
5.9 Comparing Tracking time of P&O and FUZZY MPPT methods
MPPT
Method
Temperature
313 K-373 K
at t=.03 sec
Irradiance
1000W/m2
-400W/m2
at t=.05 sec
Irradiance
400W/m2
-1000 W/m2
at t=.07 sec
Temperature
373 K-313 K
at t=.09 sec
P&O 0.00086 s 0.00083 s 0.0009 s 0.00082 s
FUZZY LOGIC 0.0002 s 0.00019 s 0.000031 s 0.00026 s
Table 2: Comparing Tracking time of MPPT methods
26
CHAPTER 6
Buck-boost converter
6.1 Introduction
Now a days, the grid-connected Photovoltaic (PV) system has become an
important means of PV power utilization. The grid-connected inverter, being an
essential part of the grid-connected PV system, has profound impact on the
overall efficiency and cost of the system. Currently, the most popular
configuration of the two-stage grid-connected inverter is a cascade
configuration consisting of a front-end dc/dc converter and a downstream
inverter. [1]-[5].
It is known that the buck converter has the ability of voltage step down, and the
efficiency decreases with increasing input voltage, whereas the boost converter
has the ability of voltage step up, and the efficiency increases with increasing
input voltage. Thus, the buck and boost converters are not flexible in terms of
voltage range, and cannot achieve a high efficiency over a wide input-voltage
range. While the cuk and buck–boost converters have the ability of voltage step
up and down, the efficiencies are still lower because of the increased
components’ stresses. None of them satisfies the requirements for grid
connection. Combining the advantages of the buck and boost converters, buck-
boost converter is proposed.
6.2 Working of buck-boost converter
A buck-boost regulator provides an output voltage that may be less than
or greater than input voltage, hence the name “buck-boost”.
27
Figure 17: Buck-boost converter circuit
The circuit operation can be divided into 2 modes. During ON mode transistor
Q1 is turned on and diode D is reverse biased. The input current which raises
flows through inductor L and transistor Q1. During OFF mode transistor is
switched off and the current which was flowing through inductor L would flow
through L C D and load as shown below.[6]
Figure1.1: Switch on-mode Figure1.2: switch off-mode
28
6.3 Equations
Equations used in making the state space modeling
 V=L*di/dt (9)
 IL =IC+IA (10)
 IC=C*dVC/dt (11)
6.4 Formulae
Duty ratio: 𝒌 = 1 + (
𝑽𝒊𝒏
𝑽 𝒐𝒖𝒕−𝑽𝒊𝒏
) (12)
Inductance: 𝑳 =
𝑽𝒊𝒏∗𝒌
𝒇∗𝒊
(13)
Capacitance: 𝑪 =
𝑰∗𝒌
𝒇∗𝒗
(14)
Load current: I =
𝑽 𝒐𝒖𝒕
𝑹
(15)
Vin : Input voltage
Vout: Output voltage
f : Frequency
v : Ripple voltage
i : Ripple current
I : Load current
R : Load resistance
29
6.5 MATLAB Simulink model of Buck-Boost with PI controller
Operating voltage (Vmp) is tracked by different methods of MPPT. Buck-
Boost converter connects the PV cell to inverters or battery. Vmp is taken as
reference and PI controller is used to maintain reference voltage as the output
of Buck-Boost converter, shown in Fig.15.
Figure 18: Simulink model of Buck-Boost converter with PI controller
For the given frequency f=25kHz of the system input voltage Vin=120V and
output voltage Vout =100V assuming voltage ripple, v=0.1% and current
ripple, i =0.1%. The obtained values are listed below. The values that are listed
below are used in MATLAB Simulink model shown in Fig.15 and output voltage
graph is plotted in Fig.16.
Duty ratio, k = 45.54%
Inductance, L = 21.8 mH
Capacitance, C= 3.6 mF
Reference voltage, Vref = 70 V
30
6.6 Result of Buck-Boost converter with PI controller
Vmp for S=400 W/m2 and T=373 K is 0.70V. Considering 100 cell in series, total
voltage is 70V. Matlab model Fig.15 gives output voltage 70V, shown in Fig.16.
Figure 19: Graph representing output voltage of Buck-Boost converter with PI controller
31
CHAPTER 7
CONCLUSION
A complete PV cell model has been modelled and simulated in matlab,
methods for MPPT -P&O and Fuzzy logic are modelled and simulated in matlab
are shown in this paper. Simulation results show fast convergence to the MPP
in Fuzzy method compared to P&O. Fuzzy method tracks the maximum power
point of a PV cell at given atmospheric conditions very fast and efficiently. The
sudden change in atmospheric conditions shifts the maximum power point
abruptly which is tracked accurately by this controller. If practically
implemented, this method can increase the efficiency of the PV system by quite
a large scale. So the proposed algorithm is simple and can be easily implemented
on any fast controller such as the digital signal processor. The advantages of the
fuzzy controller are that the control algorithm gives fast convergence and robust
performance against parameter variation. The system was found to reliably
stabilize the maximum power transfer in all operating conditions, and it is ready
to be fitted in a larger installation.
32
REFERENCES
[1] J.A. Ramos, I. Zamora, J.J. Campayo. “Modeling of Photovoltaic Module”,
International Conference on Renewable Energies and Power Quality (ICREPQ’
10) Granada, Spain, 23-25 March 2010.
[2] Z. M. Salameh, D, Fouad, and A. William, "Step-down maximum power point
tracker for photovoltaic systems," Solar Energy, Vol. 46, No. 5, pp. 279-282,
1991.
[3] Cuauhtemoc Rodriguez, and Gehan A. J Amaratunga, "AnalyticSolution to
the Photovoltaic Maximum Power Point Problem," IEEE Transactions on Circuit
and Systems, Vol. 54, No. 9, pp. 2054–2060, September 2007
[4] J. Nelson, The Physics of Solar Cells. London, U.K.: Imperial College Press,
2003.
[5] Trishan Esram, and Patrick L. Chapman, "Comparison of Photovoltaic Array
Maximum Power Point Tracking Techniques," IEEE Transactions on Energy
Conversion, vol. 22, No. 2, pp. 439-449, June. 2007.
[6] Mummadi Veerachary, Tomonobu Senjyu, and Katsumi Uezato,
"Feedforward Maximum Power Point Tracking of PV Systems Using Fuzzy
Controller," IEEE Transactions on Aerospace and Electronic System, Vol. 38, No.
3, pp. 969-981, July 2002
[7] M.Godoy Simoes, and N.N.Franceschetti, "Fuzzy optimisation based control
of a solar array system," IEEE Proc.-Electr. Power Appl., Vol.46, No. 5, pp.552-
558, Sepetember 1999.
[8] Tsai-Fu Wu, Chien-Hsuan Chang, and Yu-Kai Chen, "A Fuzzy-Logic-Controlled
Single-Stage Converter for PV-Powered Lighting System Application," IEEE
Transactions on Industrial Electronics, Vol. 47, No.2, pp.287-296, April 2000.
[9] Mummadi Veerachary, Tomonobu Senjyu, and Katsumi Uezato,"Neural-
Network-Based Maximum-Power-Point Tracking of Coupled-Inductor
Interleaved-Boost-Converter-Supplied PV System Using Fuzzy Controller," IEEE
Transactions on Induetrial Electronics, Vol. 50, No. 4, pp.749-758, August 2003.
33

report3

  • 1.
    1 Development of maximumpower point tracking algorithm using fuzzy logic control for a PV cell and comparative study with P&O method Submitted in the fulfillment of the course EE474 by Bharat C U (10EE23) Sandeep Kumar (10EE42) Rajashekhar S A (10EE71) Ravi Kumar D (10EE74) Truptesh G S (10EE105) Under the guidance of Dr. Vinatha U Associate Professor, Dept. of EEE DEPARTMENT OF ELECTRICAL AND ELECTRONICS ENGINEERING, NATIONAL INSTITUTE OF TECHNOLOGY KARNATAKA, SURATHKAL SRINIVASNAGAR – 575025, KARNATAKA, INDIA MAY 2014
  • 2.
    2 Contents CHAPTER 1......................................................................................................5 1.1 Introduction.............................................................................................5 1.2Motivation...............................................................................................5 CHAPTER 2......................................................................................................7 MODELING OF PHOTOVOLTAIC CELL ......................................................7 2.1 Introduction.............................................................................................7 2.2 Photovoltaic cell......................................................................................7 2.3 Equations governing PV cell ...................................................................8 2.4 MATLAB Simulink model of PV cell .....................................................9 2.5 Results of PV cell ..................................................................................10 CHAPTER 3....................................................................................................12 MAXIMUM POWER POINT TRACKING ....................................................12 3.1 Introduction...........................................................................................12 3.2 Methods for MPPT ................................................................................12 3.2.1 Perturb and observe method ...........................................................13 3.2.2 Incremental conductance method ...................................................13 3.2.3 Parasitic capacitance method..........................................................13 3.2.4 Constant voltage method ................................................................13 3.2.5 Fuzzy control methods ..................................................................14 CHAPTER 4....................................................................................................15 DETAILED ANALYSIS OF PERTURB AND OBSERVE METHOD ...........15 4.1 Introduction...........................................................................................15 4.2 Algorithm for P&O method ...................................................................16 4.3 Implementing P&O MPPT using MATLAB..........................................16 4.3.1 MATLAB Simulink model of P&O MPPT method for a PV cell...16 4.3.2 MATLAB Simulink model of P&O block of Fig.6.........................17 4.4 Results...................................................................................................18
  • 3.
    3 CHAPTER 5....................................................................................................19 DETAILED ANALYSISOF FUZZY LOGIC METHOD ...............................19 5.1 Introduction...........................................................................................19 5.2 The fuzzy controller’s functional blocks...............................................19 5.2.1 Fuzzification..................................................................................19 5.2.2 Fuzzy rule algorithm .....................................................................19 5.2.3 Defuzzification..............................................................................20 5.3 Fuzzy controller steps............................................................................20 5.4 Algorithm for Fuzzy logic method.........................................................21 5.5 Membership functions of ΔV(k), ΔP(k) and ΔV(k+1)............................21 5.6 Fuzzy logic rules....................................................................................23 5.7 Surface view of Fuzzy ...........................................................................23 5.8 Implementing P&O MPPT using MATLAB..........................................24 5.8.1 MATLAB Simulink model of Fuzzy MPPT method for a PV cell .24 5.8.2 MATLAB Simulink model of FuZ block of Fig.13 for a PV cell ...24 5.9 Comparing Tracking time of P&O and FUZZY MPPT methods ..........25 CHAPTER 6....................................................................................................26 Buck-boost converter.......................................................................................26 6.1 Introduction...........................................................................................26 6.2 Working of buck-boost converter ..........................................................26 6.3 Equations..............................................................................................28 6.4 Formulae ..............................................................................................28 6.5 MATLAB Simulink model of Buck-Boost with PI controller................29 6.6 Result of Buck-Boost converter with PI controller.................................30 CHAPTER 7....................................................................................................31 CONCLUSION ...............................................................................................31 REFERENCES ................................................................................................32
  • 4.
    4 List of figures Figure1: Equivalent circuit of PV cell...............................................................7 Figure 2: Simulink model of PV cell................................................................10 Figure 3: Graph representing Power and Current vs Voltage of a PV cell ........10 Figure 4: Graph representing Power vs Voltage at constant irradiation(S) and varying Temperature(T) of a PV cell ...............................................................11 Figure 5: Graph representing Power vs Voltage at constant Temperature(T) and varying radiation(S) of a PV cell......................................................................11 Figure 6: Flow chart of P & O method.............................................................16 Figure 7: Simulink model of P&O MPPT method for a PV cell.......................17 Figure 8: Simulink model of P&O block of Fig.6 ............................................17 Figure 9: Graph representing Operating voltage (Vmp) for varying S and T....18 Figure 10: Flow chart of Fuzzy method ...........................................................21 Figure 11: Membership function of ΔV(k).......................................................22 Figure 12: Membership function of ΔP(k)........................................................22 Figure 13: Membership function of ΔV(k+1)...................................................23 Figure 14: Three Dimensional view of Fuzzy surface ......................................23 Figure 15: Simulink model of P&O MPPT method for a PV cell.....................24 Figure 16: Simulink model of P&O block of Fig.13 ........................................24 Figure 17: Buck-boost converter circuit..........................................................27 Figure 18: Simulink model of Buck-Boost converter with PI controller...........29 Figure 19: Graph representing output voltage of Buck-Boost converter with PI controller .........................................................................................................30 List of Tables Table 1: Fuzzy rules…………………………………………………………………………………………23 Table 2: Comparing Tracking time of MPPT methods…………………………………………….25
  • 5.
    5 CHAPTER 1 1.1 Introduction Thispaper presents Photovoltaic (PV) cell model. Perturb & Observe and fuzzy logic based Maximum Power Point Tracking (MPPT) algorithm for PV cell. The solar cell is modelled and analyzed in MATLAB/SIMULINK. The Solar cell can produce maximum power at a particular operating point called Maximum Power Point (MPP).To produce maximum power and to get maximum efficiency, the entire photovoltaic panel must operate at this particular point. Maximum power point of PV cell keeps on changing with changing environmental conditions such as solar irradiance and cell temperature. Thus to extract maximum available power from a PV module, MPPT algorithms are implemented. In this paper, Perturb and Observe (P&O) MPPT and fuzzy logic based MPPT are developed and compared. Simulation results show the effectiveness of the fuzzy based technique to produce a more stable power. Keywords: MPPT, Fuzzy Logic, PV Modeling, Buck-Boost Converter, Perturb and Observe. 1.2 Motivation Renewable energy also called non-conventional type of energy sources are the sources which are continuously replenished by natural processes. Solar energy, bio-energy (bio-fuels grown sustainably), wind energy and hydropower etc., are some of the examples of renewable energy sources [1]. A renewable energy system convert the energy from sunlight, falling-water, wind, sea-waves, geothermal heat, or biomass into a form, which we can use in the form of heat or electricity. The majority of the renewable energy comes either directly or indirectly from sun and wind and can never be fatigued, and therefore they are called renewable. However, the majority of the world's energy sources came from conventional sources- fossil fuels such as coal, natural gases and oil. These fuels are often termed as non-renewable energy sources. Though, the available amount of these fuels are extremely large, due to decrease in level of fossil fuel and oil level day by day after a few years it will end. Hence the demand for renewable energy
  • 6.
    6 sources increases asit is environmental friendly and pollution free which reduces the greenhouse effect. Solar energy is a non-conventional type of energy. Solar energy has been harnessed by humans since ancient times using a variety of technologies. Solar powered electrical generation relies on photovoltaic system and heat engines. To harvest the solar energy, the most common way is to use photovoltaic panels which will receive photon energy from sun and convert to electrical energy. Solar technologies are broadly classified as either passive solar or active solar depending on the way they detain, convert and distribute solar energy. Active solar techniques include the use of PV panels and solar thermal collectors to strap up the energy. Passive solar techniques include orienting a building to the sun, selecting materials with favorable thermal mass or light dispersing properties and design spaces that naturally circulate air. Solar energy has a vast area of application such as electricity generation for distribution, heating water, lighting building, crop drying etc.
  • 7.
    7 CHAPTER 2 MODELING OFPHOTOVOLTAIC CELL 2.1 Introduction A PV cells are made of semiconductor materials, such as silicon. For solar cells, a thin semiconductor wafer is specially treated to form an electric field, positive on one side and negative on the other. When light energy strikes the solar cell, electrons are knocked loose from the atoms in the semiconductor material [2]. If electrical conductors are attached to the positive and negative sides, forming an electrical circuit, the electrons can be captured in the form of an electric current that is, electricity .This electricity can then be used to power a load. 2.2 Photovoltaic cell An ideal solar cell is modelled by a current source in parallel with a diode. However no solar cell is ideal and thereby shunt and series resistances are added to the model as shown in the Fig.1. Figure 1: Equivalent circuit of PV cell PV arrays produce electric power directly from sunlight. With the advent of silicon P-N junction during the 1950s, the photoelectric current was able to produce power due to the inherent voltage drop across the junction [3]. This
  • 8.
    8 gives the well-knownnonlinear relationship between the current and voltage of the photovoltaic cell. From this nonlinear relationship of the photovoltaic cell, it can be observed that there is a unique point, under given illumination, at which the cell produces maximum power, the so-called maximum power point (MPP). This point occurs when the rate of change of the power with respect to the voltage is equal to zero [4]. The current source Ipv represents the cell photo current, Rsh and Rs are used to represent the intrinsic series and shunt resistance of the cell respectively. Usually the value of Rsh is very large and that of Rs is very small, hence they may be neglected to simplify the analysis 2.3 Equations governing PV cell The PV mathematical model used to simplify our PV array is represented by the Eqn(1): Ia= npIph - npI0[𝑒− 𝑞(𝑉a/ns+IaRs) 𝑛𝑘𝑇 -1] - 𝑉a 𝑛𝑠⁄ +𝐼𝑠ℎ𝑅𝑠 𝑅𝑠ℎ (1) Ia : Cell output current Va : Cell output voltage np : Number of parallel solar cells ns : Number of series solar cells Iph : Photon current I0 :Solar cell’s reverse saturation current. (0.0003A) q : Electron charge. (1.6 ×10−19 C) n :P-N junction ideality factor (Between 1and 5) k : Boltzmann’s constant. (1.38×10−23 J/K) T : Solar cell operating temperature Rs :Cell intrinsic series resistance Rsh : Cell intrinsic parallel resistance Photon current equation is given by: Iph = Isc( 𝑆 1000 ) + CT( T - Tref ) (2)
  • 9.
    9 Isc :Short circuitcurrent at standard testing condition .(5A) S :Operating solar radiation (W/m2) CT :Short-circuit-current temperature coefficient. (0.0016A/K) T :Operating temperature Tref :Solar cell absolute temperature at standard testing condition (STC) (20°C) From the Eq.1 & 2 simulation of PV module can be done, in following manner, Taking, Rsh=∞, np=1, ns=1, Rs=0 the equation becomes Ia= Iph – I0[𝑒− 𝑞𝑉a 𝑛𝑘𝑇 -1] (3) The PV cell output voltage is a function of the photocurrent that mainly determined by load current depending on the solar irradiation level during the operation. Va = 𝑛𝑘𝑇 𝑞 ln( 𝐼𝑝ℎ+𝐼𝑟𝑠−𝐼𝑎 𝐼𝑟𝑠 ) (4) Both k and T should have the same temperature unit, either Kelvin or Celsius. When the ambient temperature and irradiation levels change, the cell operating temperature also changes, resulting in a new output voltage and a new photocurrent value. The solar cell operating temperature varies as a function of solar irradiation level and ambient temperature. The variable ambient temperature T affects the cell output voltage and cell photocurrent. 2.4 MATLAB Simulink model of PV cell Solar irradiation (S) and temperature (T) are the input to the PV cell. current (Ia), voltage (Va) and power (P) are the output of the PV cell. Va is incremented/ decremented by the factor 0.01 at each step. PV cell model identifies any change in S or T and recalculates the voltage, current and power. For S=400W/m2 T=373 K
  • 10.
    10 Figure 2: Simulinkmodel of PV cell 2.5 Results of PV cell PV cell with inputs S=400 W/m2 and T=373 K is simulated , graph is plotted for power vs voltage and current vs voltage is shown in Fig.3. Open circuit voltage, Voc=9.2 V Short circuit current, Isc=2.52 A Maximum power, Pmp=2.01 W Current at maximum power, Imp=2.49 A Voltage at maximum power, Vmp=0.81 V Figure 3: Graph representing Power and Current vs Voltage of a PV cell
  • 11.
    11 PV cell inputsS=400 W/m2 and different values of T=[293 313 333 353 373] K is simulated and graph between power and voltage is shown in Fig.4. Power increases with increase in temperature. Figure 4: Graph representing Power vs Voltage at constant irradiation(S) and varying Temperature(T) of a PV cell PV cell inputs different values of S=[200 400 600 800 1000] W/m2 and T=313K is simulated and graph between power and voltage is shown in Fig.5. Power increases with increase in irradiation. Figure 5: Graph representing Power vs Voltage at constant Temperature(T) and varying radiation(S) of a PV cell
  • 12.
    12 CHAPTER 3 MAXIMUM POWERPOINT TRACKING 3.1 Introduction From the nonlinear relationship between the current and voltage of the photovoltaic cell it can be observed that there is a unique point, under given illumination, at which the cell produces maximum power, the so-called maximum power point (MPP). This point occurs when the rate of change of the power with respect to the voltage is equal to zero [4]. The output power of PV cell varies with depending mainly on the level of solar radiation and ambient temperature corresponding to a specific weather condition. The MPP will change with external environment of PV cell. An important consideration in achieving high efficiency in PV power generation system is to match the PV source and load impedance properly for any weather conditions, thus obtaining maximum power generation. 3.2 Methods for MPPT The different methods used to track the maximum power point are: (i) Perturb and Observe method (ii) Incremental Conductance method (iii) Parasitic Capacitance method (iv) Constant Voltage method (v) Fuzzy Control method
  • 13.
    13 3.2.1 Perturb andobserve method This method is the most common. In this method very less number of sensors are utilized [5] and [6]. The operating voltage is sampled and the algorithm changes the operating voltage in the required direction and samples 𝑑𝑃/𝑑𝑉. If 𝑑𝑃/𝑑𝑉 is positive, then the algorithm increases the voltage value towards the MPP until 𝑑𝑃/𝑑𝑉is negative. This iteration is continued until the algorithm finally reaches the MPP. This algorithm is not suitable when the variation in the solar irradiation is high. The voltage never actually reaches an exact value but perturbs around the maximum power point (MPP). 3.2.2 Incremental conductance method This method uses the PV array's incremental conductance 𝑑𝐼𝑑𝑉to compute the sign of𝑑𝑃 𝑑𝑉. When 𝑑𝐼𝑑𝑉is equal and opposite to the value of I/V (where 𝑑𝑃𝑑𝑉=0) the algorithm knows that the maximum power point is reached and thus it terminates and returns the corresponding value of operating voltage for MPP. This method tracks rapidly changing irradiation conditions more accurately than P&O method. One complexity in this method is that it requires many sensors to operate and hence is economically less effective [5] and [6]. 3.2.3 Parasitic capacitance method This method is an improved version of the incremental conductance method, with the improvement being that the effect of the PV cell's parasitic union capacitance is included into the voltage calculation [5] and [6]. 3.2.4 Constant voltage method This method which is a not so widely used method because of the losses during operation is dependent on the relation between the open circuit voltage and the maximum power point voltage. The ratio of these two voltages is generally constant for a solar cell, roughly around 0.76. Thus the open circuit voltage is obtained experimentally and the operating voltage is adjusted to 76% of this value [8].
  • 14.
    14 3.2.5 Fuzzy controlmethods A MPP search based on fuzzy heuristic rules, which does not need any parameter information, consists of a stepwise adaptive search, leads to fast convergence and is sensor less with respect to sunlight and temperature measurements [9]. The control objective is to track and extract maximum power from the PV arrays for a given solar insolation level. The maximum power corresponding to the optimum operating point is determined for a different solar insolation level and temperature.
  • 15.
    15 CHAPTER 4 DETAILED ANALYSISOF PERTURB AND OBSERVE METHOD 4.1 Introduction One of the most simple and popular techniques of MPPT is the P&O technique. The main concept of this method is to push the system to operate at the direction which the output power obtained from the PV system increases. Following equation describes the change of power which defines the strategy of the P&O technique ∆P = P(k) – P(k-1) (5) ∆V= V(k) – V(k-1) (6) If the change of power defined by (5) is positive, the system will keep the direction of the incremental voltage (increase or decrease the PV voltage) as the same direction, and if the change is negative, the system will change the direction of incremental voltage command to the opposite direction.[5] The flow chart of the P&O algorithm is shown in Fig.6
  • 16.
    16 4.2 Algorithm forP&O method Figure 6: Flow chart of P & O method 4.3 Implementing P&O MPPT using MATLAB 4.3.1 MATLAB Simulink model of P&O MPPT method for a PV cell Solar radiation (S) and Temperature (T) are the input to the PV cell. Current (Ia), Voltage (Va) and Power (P) are the output of the PV cell. Vmp is the cell voltage at maximum power or Operating voltage. Va is incremented decremented by the factor 0.01 at each step. Start Inputs: V (k), I (K) P (k) = V (k) * I (k) ∆P = P (k) – P (k-1) ∆V = V (k) – V (k-1) P (K) > P (k-1) No Yes V (k) > V (k-1) Increase voltage Increase VoltageDecrease Voltage Decrease Voltage Yes YesNo No V (k) < V (k-1) Yes
  • 17.
    17 Figure 7: Simulinkmodel of P&O MPPT method for a PV cell 4.3.2 MATLAB Simulink model of P&O block of Fig.6 In P&O block voltage and current are taken as inputs from the PV cell. Vmp is calculated by incrementing/decrementing V by factor 0.01. When Vmp is reached then it remains constant till any change in S or T. Figure 8: Simulink model of P&O block of Fig.6
  • 18.
    18 4.4 Results Graph foroperating voltage of a PV cell at varying T and S. Initially the cell inputs are T=313 K and S=1000 W/m2 . At 0.03s temperature is raised to 373 K with S=1000 W/m2. At 0.06s radiation falls to 400 W/m2, T=373 K . Shown in Fig.8. Figure 9: Graph representing Operating voltage (Vmp) for varying S and T Operating voltage Vmp =0.72V for S=1000 W/m2 ,T=313K at start after 0.03s ,Vmp=0.83 for S=1000 W/m2 ,T=373K after 0.06s ,Vmp=0.81 for S=400 W/m2 ,T=373K
  • 19.
    19 CHAPTER 5 DETAILED ANALYSISOF FUZZY LOGIC METHOD 5.1 Introduction In recent years, fuzzy logic controllers have been widely used for industrial processes owing to their heuristic nature associated with simplicity and effectiveness for both linear and nonlinear systems [6]. A MPP search based on fuzzy heuristic rules, which does not need any parameter information, consists of a stepwise adaptive search, leads to fast convergence and is sensor less with respect to sunlight and temperature measurements [7]. The control objective is to track and extract maximum power from the PV arrays for a given solar insolation level. The maximum power corresponding to the optimum operating point is determined for a different solar insolation level and temperature. 5.2 The fuzzy controller’s functional blocks 5.2.1 Fuzzification The fuzzy control requires that variable used in describing the control rules has to be expressed in terms of fuzzy set notations with linguistic labels. In this paper, the fuzzy control MPPT method has two input variables, namely ΔP(k) and ΔV(k), at a sampling instant k. The output variable is ΔV(k+1), which is voltage’s increase of PV array at next sampling instant k+1. The variable ΔP(k) and ΔV(k) are expressed as follows: ΔP(k)=P(k)-P(k-1) (5) ΔV(k)=V(k)-V(k-1) (6) 5.2.2 Fuzzy rule algorithm The rule base that associates the fuzzy output to the fuzzy inputs is derived by understanding the system behavior. In this paper, the fuzzy rules are designed to incorporate the following considerations keeping in view the overall tracking performance.
  • 20.
    20 5.2.3 Defuzzification After therules have been evaluated, the last step to complete the fuzzy control algorithm is to calculate the crisp output of the fuzzy control with the process of defuzzification. The well-known center of gravity method for defuzzification is used in this paper. It computes the center of gravity from the final fuzzy space, and yields a result which is highly related to all of the elements in the same fuzzy set [9]. The crisp value of control output ΔV(k+1) is computed by the following equation: ∆𝑉 = ∑ 𝑊𝑖∆𝑉𝑖 𝑊𝑖 𝑛 𝑖=1 (7) Where n is the maximum number of effective rules, Wi is the weighting factor, and ΔVi is the value corresponding to the membership function of ΔV. Then, the final control voltage is obtained by adding this change to the previous value of the control voltage: V(k+1)=V(k) + ΔV (8) 5.3 Fuzzy controller steps (a) If the last change in voltage ΔV(k) has caused the power to rise, keep moving the next change in voltage ΔV(k+1) in the same direction by tuning duty ratio of converter to achieve, otherwise, if it has caused the power to drop, move it in the opposite direction. (b) Owing to the fact that the characteristic curves might change with temperature and sunlight level, leading to an overall shift of the optimum point. (c) Because the optimum point tends to satisfy the condition əP/əV=0, the system might recognize any large plateau as a maximum power region and stop. The some rules have been identified for avoiding the stabilizing effect in a region other than that of true peak power when power is zero. (d) It is necessary to provide the system with a rule that stabilizes the point of operation at a peak power point. As a fuzzy inference method, Mamdani’s method is used with max---min operation fuzzy combination law in this paper. To satisfy different conditions and gain better tracking performance, several possible combinations of the degree of supports are with varying strengths to the corresponding rules.
  • 21.
    21 5.4 Algorithm forFuzzy logic method Figure 10: Flow chart of Fuzzy method 5.5 Membership functions of ΔV(k), ΔP(k) and ΔV(k+1) Where P(k) and V(k) are the power and voltage of PV array, respectively. So, ΔP(k) and ΔV(k) are zero at the maximum power point of a PV array. In Fig. 10, the membership functions of the input variable ΔP(k) which is assigned five fuzzy sets, including positive big(PB), positive small (PS), zero (ZE), negative small Start Simple V(k) ,I(k) P(k)=V(k)*I(k) ∆V(k)=V(k)-V(k-1) ∆P(k)=P(k)-P(k-1) Fuzzification Operation of fuzzy rules Defuzzification Output ∆V(k+1) V(k+)=V(k)+∆V(k+1) Return
  • 22.
    22 (NS), and negativebig (NB). The membership functions are denser at the center in order to provide more sensitivity against variation in the PV array terminal voltage [8]. In Fig. 11, the membership functions of the input variable ΔV(k) which is assigned three fuzzy sets, including positive (P), zero (Z), and negative(N). Fig.12 shows the membership functions of the output variable ΔV(k+1) which is assigned seven fuzzy sets, including positive big (PB), positive middle (PM), positive small (PS), zero (ZE), negative small (NS), negative middle(NM), and negative big (NB). Figure 11: Membership function of ΔV(k) Figure 12: Membership function of ΔP(k)
  • 23.
    23 Figure 13: Membershipfunction of ΔV(k+1) 5.6 Fuzzy logic rules Table 1: Fuzzy rules 5.7 Surface view of Fuzzy Figure 14: Three Dimensional view of Fuzzy surface
  • 24.
    24 5.8 Implementing P&OMPPT using MATLAB 5.8.1 MATLAB Simulink model of Fuzzy MPPT method for a PV cell S and T are the inputs, voltage and current are calculated for given inputs voltage increment/ decrement is taken from the output of Fuzzy controller, shown in Fig.13. Inside the FuZ block, voltage and current are taken as inputs, Fuzzy controller gives error function ΔV(k+1) which increments/ decrements the voltage of PV cell, shown in Fig.14 Figure 15: Simulink model of P&O MPPT method for a PV cell 5.8.2 MATLAB Simulink model of FuZ block of Fig.13 for a PV cell Figure 16: Simulink model of P&O block of Fig.13
  • 25.
    25 5.9 Comparing Trackingtime of P&O and FUZZY MPPT methods MPPT Method Temperature 313 K-373 K at t=.03 sec Irradiance 1000W/m2 -400W/m2 at t=.05 sec Irradiance 400W/m2 -1000 W/m2 at t=.07 sec Temperature 373 K-313 K at t=.09 sec P&O 0.00086 s 0.00083 s 0.0009 s 0.00082 s FUZZY LOGIC 0.0002 s 0.00019 s 0.000031 s 0.00026 s Table 2: Comparing Tracking time of MPPT methods
  • 26.
    26 CHAPTER 6 Buck-boost converter 6.1Introduction Now a days, the grid-connected Photovoltaic (PV) system has become an important means of PV power utilization. The grid-connected inverter, being an essential part of the grid-connected PV system, has profound impact on the overall efficiency and cost of the system. Currently, the most popular configuration of the two-stage grid-connected inverter is a cascade configuration consisting of a front-end dc/dc converter and a downstream inverter. [1]-[5]. It is known that the buck converter has the ability of voltage step down, and the efficiency decreases with increasing input voltage, whereas the boost converter has the ability of voltage step up, and the efficiency increases with increasing input voltage. Thus, the buck and boost converters are not flexible in terms of voltage range, and cannot achieve a high efficiency over a wide input-voltage range. While the cuk and buck–boost converters have the ability of voltage step up and down, the efficiencies are still lower because of the increased components’ stresses. None of them satisfies the requirements for grid connection. Combining the advantages of the buck and boost converters, buck- boost converter is proposed. 6.2 Working of buck-boost converter A buck-boost regulator provides an output voltage that may be less than or greater than input voltage, hence the name “buck-boost”.
  • 27.
    27 Figure 17: Buck-boostconverter circuit The circuit operation can be divided into 2 modes. During ON mode transistor Q1 is turned on and diode D is reverse biased. The input current which raises flows through inductor L and transistor Q1. During OFF mode transistor is switched off and the current which was flowing through inductor L would flow through L C D and load as shown below.[6] Figure1.1: Switch on-mode Figure1.2: switch off-mode
  • 28.
    28 6.3 Equations Equations usedin making the state space modeling  V=L*di/dt (9)  IL =IC+IA (10)  IC=C*dVC/dt (11) 6.4 Formulae Duty ratio: 𝒌 = 1 + ( 𝑽𝒊𝒏 𝑽 𝒐𝒖𝒕−𝑽𝒊𝒏 ) (12) Inductance: 𝑳 = 𝑽𝒊𝒏∗𝒌 𝒇∗𝒊 (13) Capacitance: 𝑪 = 𝑰∗𝒌 𝒇∗𝒗 (14) Load current: I = 𝑽 𝒐𝒖𝒕 𝑹 (15) Vin : Input voltage Vout: Output voltage f : Frequency v : Ripple voltage i : Ripple current I : Load current R : Load resistance
  • 29.
    29 6.5 MATLAB Simulinkmodel of Buck-Boost with PI controller Operating voltage (Vmp) is tracked by different methods of MPPT. Buck- Boost converter connects the PV cell to inverters or battery. Vmp is taken as reference and PI controller is used to maintain reference voltage as the output of Buck-Boost converter, shown in Fig.15. Figure 18: Simulink model of Buck-Boost converter with PI controller For the given frequency f=25kHz of the system input voltage Vin=120V and output voltage Vout =100V assuming voltage ripple, v=0.1% and current ripple, i =0.1%. The obtained values are listed below. The values that are listed below are used in MATLAB Simulink model shown in Fig.15 and output voltage graph is plotted in Fig.16. Duty ratio, k = 45.54% Inductance, L = 21.8 mH Capacitance, C= 3.6 mF Reference voltage, Vref = 70 V
  • 30.
    30 6.6 Result ofBuck-Boost converter with PI controller Vmp for S=400 W/m2 and T=373 K is 0.70V. Considering 100 cell in series, total voltage is 70V. Matlab model Fig.15 gives output voltage 70V, shown in Fig.16. Figure 19: Graph representing output voltage of Buck-Boost converter with PI controller
  • 31.
    31 CHAPTER 7 CONCLUSION A completePV cell model has been modelled and simulated in matlab, methods for MPPT -P&O and Fuzzy logic are modelled and simulated in matlab are shown in this paper. Simulation results show fast convergence to the MPP in Fuzzy method compared to P&O. Fuzzy method tracks the maximum power point of a PV cell at given atmospheric conditions very fast and efficiently. The sudden change in atmospheric conditions shifts the maximum power point abruptly which is tracked accurately by this controller. If practically implemented, this method can increase the efficiency of the PV system by quite a large scale. So the proposed algorithm is simple and can be easily implemented on any fast controller such as the digital signal processor. The advantages of the fuzzy controller are that the control algorithm gives fast convergence and robust performance against parameter variation. The system was found to reliably stabilize the maximum power transfer in all operating conditions, and it is ready to be fitted in a larger installation.
  • 32.
    32 REFERENCES [1] J.A. Ramos,I. Zamora, J.J. Campayo. “Modeling of Photovoltaic Module”, International Conference on Renewable Energies and Power Quality (ICREPQ’ 10) Granada, Spain, 23-25 March 2010. [2] Z. M. Salameh, D, Fouad, and A. William, "Step-down maximum power point tracker for photovoltaic systems," Solar Energy, Vol. 46, No. 5, pp. 279-282, 1991. [3] Cuauhtemoc Rodriguez, and Gehan A. J Amaratunga, "AnalyticSolution to the Photovoltaic Maximum Power Point Problem," IEEE Transactions on Circuit and Systems, Vol. 54, No. 9, pp. 2054–2060, September 2007 [4] J. Nelson, The Physics of Solar Cells. London, U.K.: Imperial College Press, 2003. [5] Trishan Esram, and Patrick L. Chapman, "Comparison of Photovoltaic Array Maximum Power Point Tracking Techniques," IEEE Transactions on Energy Conversion, vol. 22, No. 2, pp. 439-449, June. 2007. [6] Mummadi Veerachary, Tomonobu Senjyu, and Katsumi Uezato, "Feedforward Maximum Power Point Tracking of PV Systems Using Fuzzy Controller," IEEE Transactions on Aerospace and Electronic System, Vol. 38, No. 3, pp. 969-981, July 2002 [7] M.Godoy Simoes, and N.N.Franceschetti, "Fuzzy optimisation based control of a solar array system," IEEE Proc.-Electr. Power Appl., Vol.46, No. 5, pp.552- 558, Sepetember 1999. [8] Tsai-Fu Wu, Chien-Hsuan Chang, and Yu-Kai Chen, "A Fuzzy-Logic-Controlled Single-Stage Converter for PV-Powered Lighting System Application," IEEE Transactions on Industrial Electronics, Vol. 47, No.2, pp.287-296, April 2000. [9] Mummadi Veerachary, Tomonobu Senjyu, and Katsumi Uezato,"Neural- Network-Based Maximum-Power-Point Tracking of Coupled-Inductor Interleaved-Boost-Converter-Supplied PV System Using Fuzzy Controller," IEEE Transactions on Induetrial Electronics, Vol. 50, No. 4, pp.749-758, August 2003.
  • 33.