Backscattering SpectrometryThe University of Tennessee, Knoxville        Younes Sina
Rutherford scattering is also sometimes referred to as Coulomb scatteringbecause it relies only upon static electric (Coulomb) forces, and the minimal distance between particles is set only by this potential. Elastic Backscattering Spectrometry (EBS)                      (non-Rutherford) is used when the incident particle is going so fast that it exceeds the “Coulomb barrier" of the target nucleus, which therefore cannot be treated by Rutherford’s  approximation of a point charge. In this case Schrödinger's equation should be solved to obtain the scattering cross-section.
Chemical identification of the target elements using the kinematic factor.E0 = 2.0 MeV HeE1 = 1830 keV	K = 0.9150	M2 = 181amu	TantalumThis is a spectrum of 2.0 MeV alpha particles incident on a thin film of “unknown composition” scattered at 170o.
Scattering Geometry
Mass Resolution
Rutherford Cross SectionUnit:   barn/ sr1 b(barn)=10-24 cm2
BeforeAfterBeforeAfter
Non-Rutherford cross sectionL’Ecuyer Eq. for Low energy ion  ECM≈ElabCenter-of-mass kinetic energy (keV)Wenzel and Whaling for light ion with MeV energy
Energy
E’
Depth scaleEnergy loss factorStopping cross section factor
Examples
Effects of energy loss of ions in solidsAtomic densityStopping cross sectionstopping power For a compound of AmBn:εAB =mεA+nεBAtomic densityMolecular density
Calculate the stopping cross section and stopping power of 2 MeV 4He+ in Al2O3 using Bragg ruleExample:εAl= 44x10-15 eVcm2εO= 35x10-15 eVcm2From appendix 3:For a compound of AmBn:εAB =mεA+nεBεAl2O3=(2x44+3x35)x10-15 =193x10-15eVcm2
Example:
Depth scaleEnergy loss factorStopping cross section factor
Depth resolutionCalculate the depth- scattered ion energy differences for 2 MeV 4He+ in Al2O3θ1=0°and θ2=10°K factor for 4He on Al=0.5525K factor for 4He on O=0.3625Exampleε at E0,surfaceUsing the surface-energy approximationεAB =mεA+nεBε at E1
ExampleWe can now calculate the stopping cross section factorsUsing the molecular density  N Al2O3=2.35x1022 molecules/cm3we find:
Surface spectrum heightEnergy width per channelstopping cross section factorsSurface height of the two elemental peaks in the compound AmBn are given by
Mean energy in thin filmsSurface Energy ApproximationMean energy of the ions in the film ,Ē(1)E0E2E1
Mean energy in thin filmsFor the second iteration, the values of (Nt)i(1) should be calculated using                                            with        E= Ē(1) then ∆Ei(1) and Ē(2)E0E2E1
ExampleCalculate surface height for 2 MeV 4He+ on Al2O3:Ω=10-3srE=1keV/channelQ=6.24x1013 incident particles (10μC charge)θ1=0°, θ2=10° (scattering angle=170°)From appendix 6: σRAl=0.2128x10-24  &  σRO=0.0741x10-24 From previous example:
For not too thick filmE=Ē(f)E0E2E1
Sample analysisTypical experimental operating conditions and parameter ranges used during acquisition of backscattering spectra
Thin-film analysisThe peak integration methodIntegrated peak countsThat can be accurately determined from the spectrumCorrection factorDead time ratioIntegrated charge deposited on the sample during the runNon Rutherford correction factorsolid angle subtended by the detector at the target
Example an application of the peak integration method of analysis of the two-element thin filmE0=3776 keVθ=170˚θ1=0˚θ2=10˚Ω=0.78 msrCBi=(0.99±0.03)E=(3.742±0.005)keV/channelÉ=(8±3) keVKFe=(170˚)=0.7520KGd=(170˚)=0.90390E1= nE+ ÉEnergy intercept
Example From appendix 6 FromCenter-of-mass energy
Example From Trim 1985:
Example Integrated counts in spectral regions of interest (initial and final channel numbers are listed:Channels (789-918)=103978 cts; (920-960)=49 ctsChannels (640-767)=64957 cts; (768-788)=79 cts
Example From:  E1= nE+ É  and   Ki=Ei1/E0   :  Energy interceptTherefore, element A and B are Gd and Fe, respectively. Note that element A could also be Tb, because KTb=0.9048
Example Calculation of elemental areal densities,(Nt)Values of Ai are calculated from the integrated counts in the regions of interestsIn this case, the background correction is almost negligible
Example The areal densities in the surface-energy approximation,(Nt)SEAi using  E=E010.998DTRCBiAieQ’Ωσ
Example The mean  energy of the 4He ion in the film, Ē(1), is calculated (to first order) using the following equation For the first-order energy loss, ΔESEAin  ,of the ions in the film:
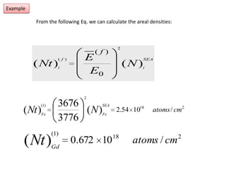
Example From the following Eq. we can calculate the areal densities:
Results of an additional iteration of this procedure using the following equations we have: (Note that Feand Gdare evaluated at Ē(1))Example
Example The average stoichiometric ratio for this film using the following Eq.:
Example If the molecular formula for the film is written as GdmFen , then:m=0.209±0.001 and n=0.791±0.001n+m=1
The value of the physical film thickness:Example Elemental bulk density
Areal densityIntegrated peak countAreal density, Nt, as atoms per unit area Cross sectionIncident ionsDetector solid angle
The average stoichiometric ratio for the compound film AmBnCross section ratioRatio of measured integrated peak count
Physical film thickness
My hometown Mahabad, Iran

RBS

  • 1.
    Backscattering SpectrometryThe Universityof Tennessee, Knoxville Younes Sina
  • 6.
    Rutherford scattering isalso sometimes referred to as Coulomb scatteringbecause it relies only upon static electric (Coulomb) forces, and the minimal distance between particles is set only by this potential. Elastic Backscattering Spectrometry (EBS) (non-Rutherford) is used when the incident particle is going so fast that it exceeds the “Coulomb barrier" of the target nucleus, which therefore cannot be treated by Rutherford’s approximation of a point charge. In this case Schrödinger's equation should be solved to obtain the scattering cross-section.
  • 12.
    Chemical identification ofthe target elements using the kinematic factor.E0 = 2.0 MeV HeE1 = 1830 keV K = 0.9150 M2 = 181amu TantalumThis is a spectrum of 2.0 MeV alpha particles incident on a thin film of “unknown composition” scattered at 170o.
  • 14.
  • 16.
  • 22.
    Rutherford Cross SectionUnit: barn/ sr1 b(barn)=10-24 cm2
  • 23.
  • 26.
    Non-Rutherford cross sectionL’EcuyerEq. for Low energy ion ECM≈ElabCenter-of-mass kinetic energy (keV)Wenzel and Whaling for light ion with MeV energy
  • 31.
  • 37.
  • 39.
    Depth scaleEnergy lossfactorStopping cross section factor
  • 41.
  • 42.
    Effects of energyloss of ions in solidsAtomic densityStopping cross sectionstopping power For a compound of AmBn:εAB =mεA+nεBAtomic densityMolecular density
  • 43.
    Calculate the stoppingcross section and stopping power of 2 MeV 4He+ in Al2O3 using Bragg ruleExample:εAl= 44x10-15 eVcm2εO= 35x10-15 eVcm2From appendix 3:For a compound of AmBn:εAB =mεA+nεBεAl2O3=(2x44+3x35)x10-15 =193x10-15eVcm2
  • 44.
  • 45.
    Depth scaleEnergy lossfactorStopping cross section factor
  • 46.
    Depth resolutionCalculate thedepth- scattered ion energy differences for 2 MeV 4He+ in Al2O3θ1=0°and θ2=10°K factor for 4He on Al=0.5525K factor for 4He on O=0.3625Exampleε at E0,surfaceUsing the surface-energy approximationεAB =mεA+nεBε at E1
  • 47.
    ExampleWe can nowcalculate the stopping cross section factorsUsing the molecular density N Al2O3=2.35x1022 molecules/cm3we find:
  • 48.
    Surface spectrum heightEnergywidth per channelstopping cross section factorsSurface height of the two elemental peaks in the compound AmBn are given by
  • 49.
    Mean energy inthin filmsSurface Energy ApproximationMean energy of the ions in the film ,Ē(1)E0E2E1
  • 50.
    Mean energy inthin filmsFor the second iteration, the values of (Nt)i(1) should be calculated using with E= Ē(1) then ∆Ei(1) and Ē(2)E0E2E1
  • 51.
    ExampleCalculate surface heightfor 2 MeV 4He+ on Al2O3:Ω=10-3srE=1keV/channelQ=6.24x1013 incident particles (10μC charge)θ1=0°, θ2=10° (scattering angle=170°)From appendix 6: σRAl=0.2128x10-24 & σRO=0.0741x10-24 From previous example:
  • 52.
    For not toothick filmE=Ē(f)E0E2E1
  • 53.
    Sample analysisTypical experimentaloperating conditions and parameter ranges used during acquisition of backscattering spectra
  • 54.
    Thin-film analysisThe peakintegration methodIntegrated peak countsThat can be accurately determined from the spectrumCorrection factorDead time ratioIntegrated charge deposited on the sample during the runNon Rutherford correction factorsolid angle subtended by the detector at the target
  • 55.
    Example an applicationof the peak integration method of analysis of the two-element thin filmE0=3776 keVθ=170˚θ1=0˚θ2=10˚Ω=0.78 msrCBi=(0.99±0.03)E=(3.742±0.005)keV/channelÉ=(8±3) keVKFe=(170˚)=0.7520KGd=(170˚)=0.90390E1= nE+ ÉEnergy intercept
  • 56.
    Example From appendix6 FromCenter-of-mass energy
  • 57.
  • 58.
    Example Integrated countsin spectral regions of interest (initial and final channel numbers are listed:Channels (789-918)=103978 cts; (920-960)=49 ctsChannels (640-767)=64957 cts; (768-788)=79 cts
  • 59.
    Example From: E1= nE+ É and Ki=Ei1/E0 : Energy interceptTherefore, element A and B are Gd and Fe, respectively. Note that element A could also be Tb, because KTb=0.9048
  • 60.
    Example Calculation ofelemental areal densities,(Nt)Values of Ai are calculated from the integrated counts in the regions of interestsIn this case, the background correction is almost negligible
  • 61.
    Example The arealdensities in the surface-energy approximation,(Nt)SEAi using E=E010.998DTRCBiAieQ’Ωσ
  • 62.
    Example The mean energy of the 4He ion in the film, Ē(1), is calculated (to first order) using the following equation For the first-order energy loss, ΔESEAin ,of the ions in the film:
  • 63.
    Example From thefollowing Eq. we can calculate the areal densities:
  • 64.
    Results of anadditional iteration of this procedure using the following equations we have: (Note that Feand Gdare evaluated at Ē(1))Example
  • 65.
    Example The averagestoichiometric ratio for this film using the following Eq.:
  • 66.
    Example If themolecular formula for the film is written as GdmFen , then:m=0.209±0.001 and n=0.791±0.001n+m=1
  • 67.
    The value ofthe physical film thickness:Example Elemental bulk density
  • 68.
    Areal densityIntegrated peakcountAreal density, Nt, as atoms per unit area Cross sectionIncident ionsDetector solid angle
  • 69.
    The average stoichiometricratio for the compound film AmBnCross section ratioRatio of measured integrated peak count
  • 70.
  • 71.