B1 219  ROBERT M. STROUDUnderstanding crystallography and structuresInteractive – Bring conundra –Laboratory course: Crystallize a proteinDetermine structureVisit ‘Advanced Light Source’ (ALS) for data
Determining Atomic StructureX-ray crystallography = optics l ~ 1.5Å (no lenses)Bond lengths ~1.4ÅElectrons scatter X-rays; ERGO X-rays ‘see electrons’Resolution –Best is l/2  Typical is 1 to 3 ÅAccuracy of atom center positions ±1/10 Resolution 2q
Where do X-rays come from?=accelerating or decelerating electrons
Resources:http://www.msg.ucsf.eduComputingCalculation software-all you will ever needOn line course for some items:http://www-structmed.cimr.cam.ac.uk/course.htmlDr Chris Waddling msg.ucsf.eduDr James Holton UCSF/LBNLCrystallography accessible to no prior knowledge of the field or its mathematical basis. The most comprehensive and concise reference Rhodes' uses visual and geometric models to help readers understand the basis of x-ray crystallography.http://bl831.als.lbl.gov/~jamesh/movies/
Optical image formation, - without lenses
TopicsSummmary: Resources1 Crystal lattice   optical analogues   photons as waves/particles2 Wave addition    complex exponential3. Argand diagramRepetition ==sampling    fringe function5. Molecular Fourier Transform    Fourier Inversion theorem    sampling the transform as a product6. Geometry of diffraction7. The Phase problem     heavy atom Multiple Isomorphous Replacement) MIR     Anomalous Dispersion Multi wavelength Anomalous Diffraction MAD/SAD8. Difference Maps and Errors9. Structure (= phase) Refinement       Thermal factors     Least squares     Maximum likelihood methods10. Symmetry –basis, consequences
Topics11. X-ray sources:  Storage rings, Free Electron Laser (FELS)12. Detector systems13. Errors, and BIG ERRORS! –RETRACTIONS14. Sources of disorder15. X-ray sources:  Storage rings, Free Electron Laser (FELS)
The UCSF beamline 8.3.1UCSF mission bayIf automated- why are there errors?        What do I trust? Examples of errors              trace sequence backwards,mis assignment of helicesetc
NH3 sites and the role of D160 at 1.35Å Resolution
Data/Parameter ratio is the same for all molecular sizes at the same resolution dminie. quality is the same!30S50S
Macromolecular StructuresGrowth in number and complexity of structures versus time
The universe of protein structures: Our knowledge about protein structures is increasing..65,271 protein structures are deposited in PDB (2/15/2010).This number is growing by > ~7000 a year Growing input from Structural Genomics HT structure determination (>1000 structures a year)
X-Ray Crystallography for Structure DeterminationGoals:  1. How does it work2. Understand  how to judge where errors may lurk3. Understand what is implied, contained in the Protein Data Bank PDB http://www.pdb.org/pdb/home/home.doResolution: - suspect at resolutions >3 ÅR factor, and Rfree: statistical ‘holdout test’Wavelength ~ atom sizeScattering from electrons = electron densityAdding atoms? howObservations  Intensity  I(h,k,l)  = F(hkl).F*(hkl)Determine phases y(hkl)Inverse Fourier Transform === electron densityJudging electron density- How to interpret?Accuracy versus Reliability
A Typical X-ray diffraction pattern~100 microns
qmax=22.5°  if  l=1ÅResolution1.35Å2qmax=45°
The Process is re-iterative, and should converge-but only so far!CrystalIntensities I(h,k,l)Electron density r(x,y,z)calculated I(h,k,l)Known:Amino acid sequenceLigandsBond lengths anglesConstraints on geometryPhases f(h,k,l)Experimentalheavy atom labelsselenium for sulfurTrial & error similar structureAtom positions (x,y,z)
Resolution   dmin = l /2 sin (qmax)differs from Rayleigh criterion dmin = l /2 sin (qmax) is the wavelength of the shortest wave used to construct the density map
The Rayleigh CriterionThe Rayleigh criterion is the generally accepted criterion for the minimum resolvable detail - the imaging process is said to be diffraction-limited when the first diffraction minimum of the image of one source point coincides with the maximum of another. compared withsin (qmax) = l /2 dmin
How do we judge the Quality of structure?2. Overall quality criteria:    agreement of observations   with diffraction calculated    from the interpreted structure.3. Since we refine the structureTo match the Ihkloverfitting ?Define Rfree for a ‘hold-out ‘ set of observations.4. OK?  R < 20%,  R free< 25%5. But the experimental errors in measuring Fo are ~ 3%.inadequate models of solvent, atom motion,  anharmonicisity6 Accuracy ~ 0.5*res*R
Crystal lattice is made up of many ‘Unit Cells’Unit cell dimensions are 3 distances a,b,c  and angles between them a,b,ghA ‘section’ throughScattering patternof a crystal  l=0Note symmetry,Absences for h=even k=evenkCauses Sampling in ‘scattering space’Repetition in ‘Real space’
Crystal lattice is made up of many ‘Unit Cells’Unit cell dimensions are 3 distances a,b,c  and angles between them a,b,ghVabc = |a.(bxc)|Vabc = |b.(cxa)|Vabc = |c.(axb)|kCauses Sampling in ‘scattering space’Repetition in ‘Real space’
ScatteringAdding up the scattering of Atoms:‘interference’ of wavesWaves add out of phaseby    2p[extra path/l]
In general they add up to somethingamplitude In between -2f and +2f.For n atoms
Just 2 atoms…
Many atoms add by the same rules.Different in every direction.
Summary of the Process from beginningto structure..
Optical Equivalent: eg slide projector; leave out the lens..Optical diffraction = X-ray diffractionobjectImage of the objectobjectRemove the lens= observe scatteringpatternfilmobjectobject
ScatteringAdding up the scattering of Atoms:‘interference’ of waves
vectors revisited…Vectors have magnitude and directionPosition in a unit cellr = xa + yb + zcwhere a, b, c are vectors, x,y,z are scalars 0<x<1a.b = a b cos (q)  projection of a onto b   -called ‘dot product’axb = a b sin (q)  a vector perpendicular to a, and b proportional to area in magnitude  --  called cross productvolume of unit cell = (axb).c  =  (bxc).a = (cxa).b = -(bxa).c = -(cxb).a additivity:  a + b = b + aif   r = xa + yb + zc and s = ha* + kb* + lc*  thenr.s = (xa + yb + zc).(ha* + kb* + lc* ) = xha.a* + xka.b* + xla.c*  +yhb.a* + ykb.b* + ylb.c* + zhc.a* +zhc.a* + zkc.b* + zlc.c*as we will see, the components of the reciprocal lattive can be represented in terms of  a* + b* + c*, where a.a* = 1, b.b*=1, c.c*=1 and a.b*=0, a.c*=0 etc..r.s = (xa + yb + zc ).(ha* + kb* + lc* ) = xha.a* + xka.b* + xla.c*  +yhb.a* + ykb.b* + ylb.c* + zhc.a* +zhc.a* + zkc.b* + zlc.c*= xh + yk + zl
Adding up the scattering of Atoms:‘interference’ of waves2pr.S
Adding up the scattering of Atoms:‘interference’ of wavesF(S)2pr.S
Revisit..
Revision notes on McClaurin’stheorem.  It allows any function f(x) to be definedin terms of its value at some x=a valueie f(a), and derivatives of f(x) at x=a,namely f’(a), f’’(a),  f’’’(a) etc
Extra Notes on Complex Numbers(p25-28)
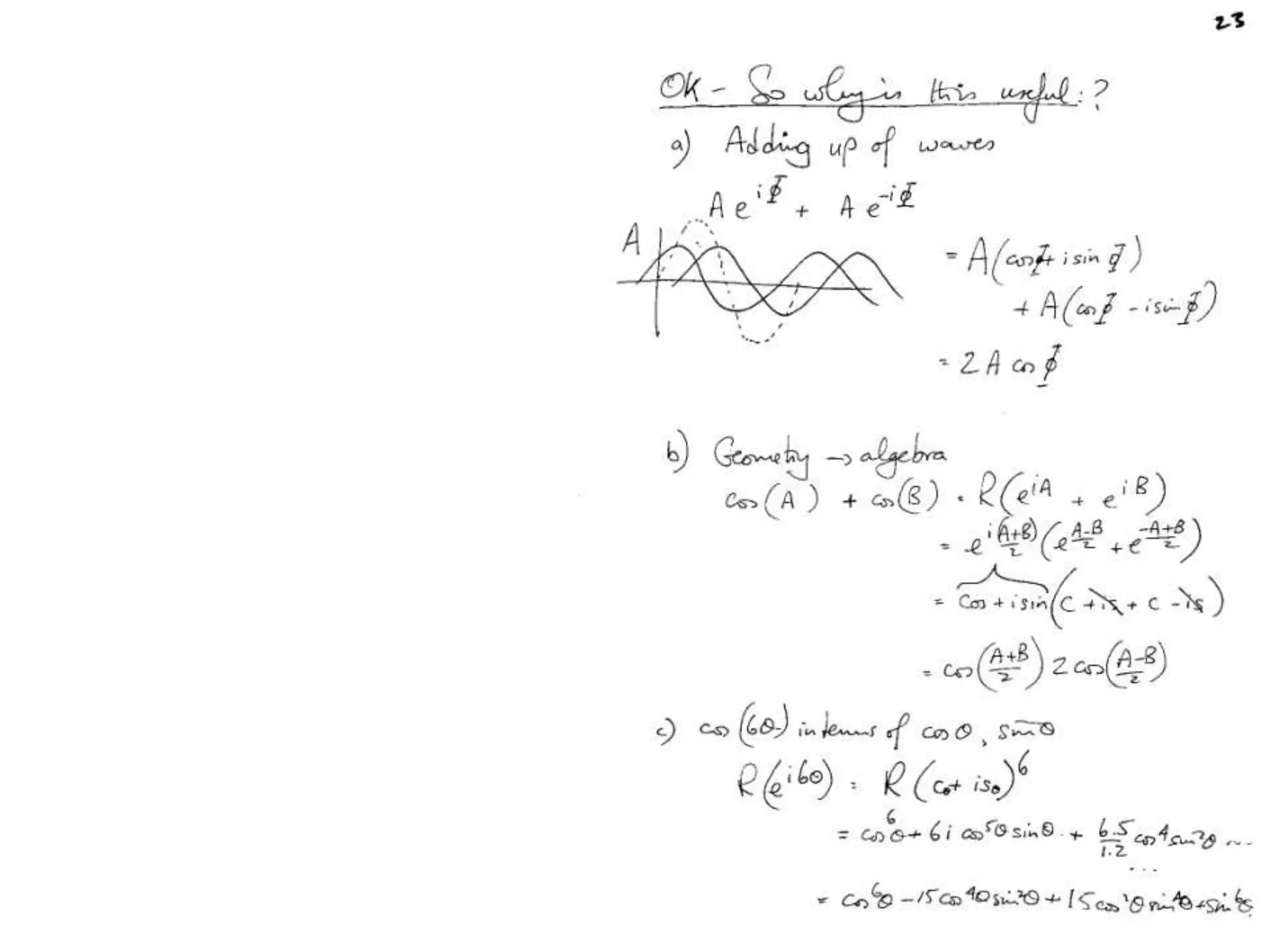
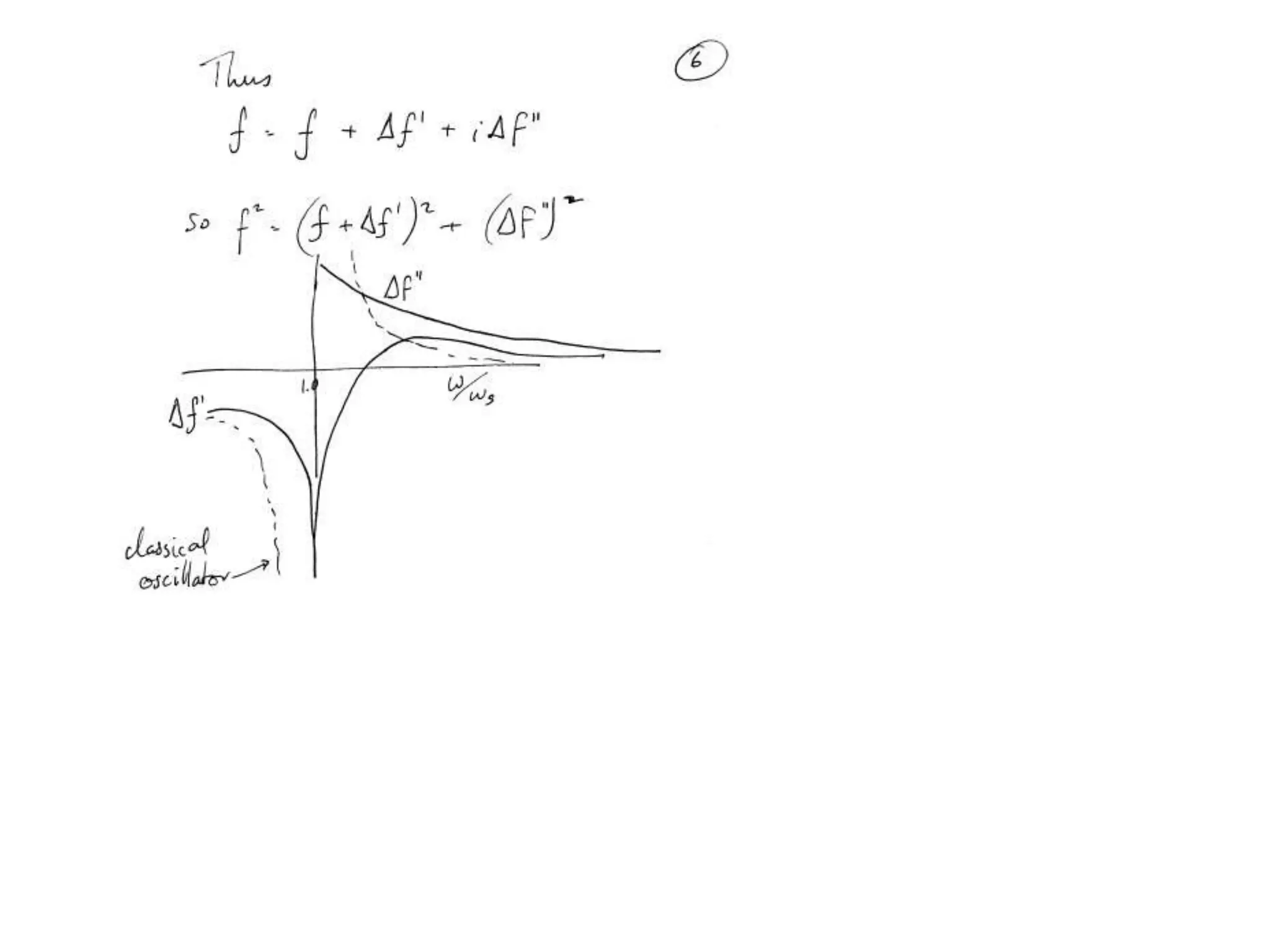
Argand Diagram..   F(S)  = |F(s)| eiqIntensity = |F(s)|2How to represent I(s)?|F(s)|2  =F(S) .F*(S) proof?Recall   F*(S) is the complex conjugate of F(S) = |F(s)| e-iqso |F(s)|2  =|F(s)|[cos(q) + isin(q)].|F(s)|[cos(q) - isin(q)]=|F(s)|2 [cos2 (q) + sin2 (q)]=|F(s)|2                   R.T.P.F(S)2pr.Sq
Argand Diagram..   F(S)  = |F(s)| eiqIntensity = |F(s)|2How to represent I(s)?I(s) = |F(s)|2  =F(S) .F*(S) proof?Where  F*(S) is defined to be the ‘complex conjugate’ of F(S) = |F(s)| e-iqso |F(s)|2  =|F(s)|[cos(q) + isin(q)].|F(s)|[cos(q) - isin(q)]=|F(s)|2 [cos2 (q) + sin2 (q)]=|F(s)|2                   R.T.P.F(S)2pr.Sq
F*(S) is the complex conjugate of F(S), = |F(s)| e-iq(c+is)(c-is)=cos2q -cqisq+ cqisq+ sin2qso |F(s)|2  =F(S) .F*(S)   -2pr.S-qF*(S)
Origin Position is arbitrary..proof..So the origin is chosen by choice of:a) conventional choice in each space group-eg Often on a major symmetry axis- BUT for strong reasons—see ‘symmetry section’.Even so there are typically 4 equivalent major symmetry axes per unit cell.. b) chosen when we fix the first heavy metal (or Selenium) atom position, -all becomes relative to that.c) chosen when we place a similar moleculefor ‘molecular replacement’ = trial and errorsolution assuming similarity in structure.
Adding waves from j atoms…F(S)= G(s) =
and why do we care?How much difference will it make to the average intensity? average amplitude?if we add a single Hg atom?
The ‘Random Walk’ problem? (p33.1-33.3)What is the average sum of n steps in random directions?(What is the average amplitude<|F(s)|> from an n atom structure?)-AND why do we care?!........How much difference from adding amercury atom (f=80).
The average intensity for ann atom structure, each of f electronsis <I>= nf2The average amplitude is Square rootof n, times f
and why do we care?How much difference will 10 electrons make to the average intensity?   average amplitude?average difference in amplitude?average difference in intensity?if we add a single Hg atom?
and why do we care?How much difference will 10 electrons make to the average intensity?   98,000 e2average amplitude? 313average difference in amplitude?average difference in intensity?if we add a single Hg atom?
and why do we care?How much difference will 10 electrons make to the average intensity?   98,000 e2average amplitude? 313 eaverage difference in amplitude?2.2% of each amplitude!average difference in intensity?98,100-98000=100    (1%)if we add a single Hg atom?
and why do we care?or Hg atom n=80eHow much difference will 80 electrons make to the average intensity?   98,000 e2average amplitude? 313 eaverage difference in amplitude?18 % of each amplitude!average difference in intensity?104,400-98000=6400    (6.5%)
WILSON STATISTICSWhat is the expectedintensity of scattering versus the observedfor proteins of i atoms,?on average versus resolution |s|?
Bottom Lines:This plot should provide The overall scale factor(to intercept at y=1)The overall B factorIn practice for proteins it has bumpsin it, they correspond to predominantor strong repeat distances in the protein.For proteins these are at 6Å (helices)3Å (sheets), and 1.4Å (bonded atoms)
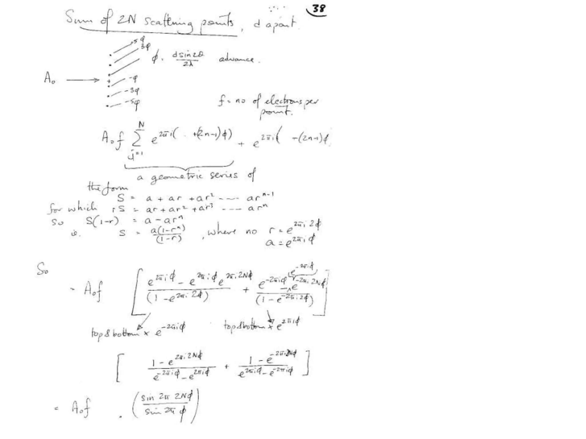
Topic:   Building up a Crystal1 DimensionScattering from an array of points, is the same as scattering from one point,SAMPLED at distances ‘inverse’ to the repeat distance in the object The fringe functionScattering from an array of objects, is the same as scattering from one object,SAMPLED at distances ‘inverse’ to the repeat distance in the object eg  DNA
Scattering from a molecule is described byF(s)= Si fi e(2pir.s)
Consequences of being a crystal?Repetition = sampling of F(S)34Å1/34Å-1
2/lObject repeated 1/l
Transform of two hoizontal lines defined y= ± y1F(s) = Int [x=0-infexp{2pi(xa+y1b).s} + exp{2pi(xa-y1b).s}dVr ]=2 cos (2py1b).s  *  Int [x=0-infexp{2pi(xa).s dVr]for a.s=0 the int[x=0-infexp{2pi(xa).s dVr] = total e content of the linefor a.s≠0  int[x=0-infexp{2pi(xa).s dVr] = 0hence r(r)isa line at a.s= 0 parallel to b, with F(s) =  2 cos (2py1b).s -along a vertical line perpendicular to the horizontal lines.Transform of a bilayer..b=53Å
53Å Repeat distance40Å inter bilayer spacing4.6Å
53Å Repeat distance40Å inter bilayer spacing4.6Å
The Transform of a Molecule
How to calculate electron density?Proof of the Inverse Fourier Transform:
Definitions:
Build up a crystal from Molecules…First 1 dimension,a    direction
Build up a crystal from Molecules…First 1 dimension,a    direction
a.s=hb.s=k
hkl=(11,5,0)Measure I(hkl)F(hkl)= √I(hkl)Determine f(s) = f(hkl)Calculate electron density map
The density map is made up of interfering density waves through the entire unit cell…
Geometry of Diffraction
A Typical X-ray diffraction pattern~100 microns
A Typical X-ray diffraction pattern~100 microns
l=2dhklsin(q)
What if ‘white radiation’? representationLaue picture.
Compute a Transform of a series of parallel lines
s0sssAdding up the scattering of Atoms:‘interference’ of wavesI(S)= F(S).F(S)*s1Ss0radius = 1/lF(S)2pr.S
Sum of 7 atoms scatteringResult is a wave of amplitude  F(S)phase  f(s) f7=8 electrons2pr7.SF(S)2pr1.Sf1=6 electrons
Sum of 7 atoms scatteringResult is a wave of amplitude  F(S)phase  F(S)f7=8 electrons2pr7.Si = √(-1)sin(q)F(S)cos(q)2pr1.Sf1=6 electronse(iq) =  cos(q) + isin(q)
Sum of 7 atoms scatteringResult is a wave of amplitude  |F(S)|phase  F(S)f7=8 electrons2pr7.Si = √(-1)sin(q)F(S)cos(q)2pr1.Sf1=6 electronse(iq) =  cos(q) + isin(q)F(S) = f1 e(2pir1.S) + f2 e(2pir2.S) +….
Sum of 7 atoms scatteringResult is a wave of amplitude  |F(S)|phase  F(S)f7=8 electrons2pr7.Si = √(-1)sin(q)F(S)cos(q)2pr1.Sf1=6 electronse(iq) =  cos(q) + isin(q)F(S) = Sjfj e(2pirj.S)
Sum of 7 atoms scatteringf7=8 electrons2pr7.SF(S)2pr1.Sf1=6 electrons
f7=8 electrons2pr7.SF(S)2pr1.Sf1=6 electrons
e(iq) =  cos(q) + isin(q)F(S) = Sjfj e(2pirj.S)
The Process is re-iterative, and should converge-but only so far!CrystalIntensities I(h,k,l)Electron density r(x,y,z)Known:Amino acid sequenceLigandsBond lengths anglesConstraints on geometryPhases f(h,k,l)Experimentalheavy atom labelsselenium for sulfurTrial & error similar structureAtom positions (x,y,z)
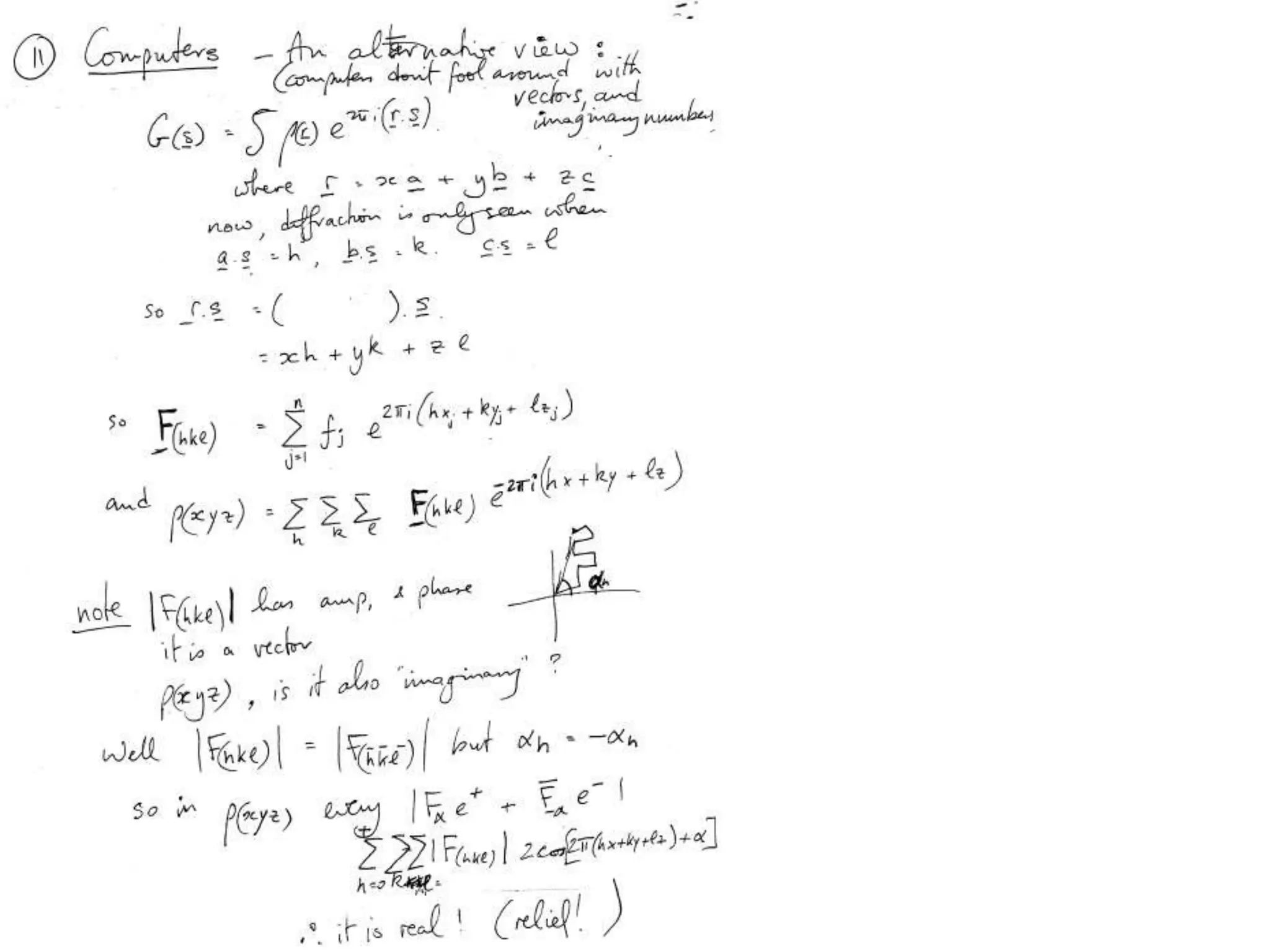
Scattering pattern is the Fourier transform of the structure F(S) = Sjfj e(2pirj.S)Structure is the ‘inverse’Fourier transform of the Scattering pattern  r(r) = SF(S) e(-2pir.S)
Rosalind Franklin and DNA
This is all there is? YES!!Scattering pattern is the Fourier transform of the structure FTF(S) = Sjfj e(2pirj.S)FT-1Structure is the ‘inverse’Fourier transform of the Scattering pattern  1/ar(r) = SF(S) e(-2pir.S)aFTb1/bFT-1
But we observe |F(S)|2  and there are ‘Phases’Scattering pattern is the Fourier transform of the structure FTF(S) = Sjfj e(2pirj.S)FT-1Structure is the ‘inverse’Fourier transform of the Scattering pattern  1/ar(r) = SF(S) e(-2pir.S)aFTWhere F(S) has phaseAnd amplitude b1/bFT-1
This is all there is?Scattering pattern is the Fourier transform of the structure FTF(S) = Sjfj e(2pirj.S)SFT-1Structure is the ‘inverse’Fourier transform of the Scattering pattern  1/ar(r) = SF(S) e(-2pir.S)aFTbF(h,k,l) = Sjfj e(2pi(hx+ky+lz))S1/bh=15, k=3,r(x,y,z) = SF(h,k,l) e(-2pir.S)FT-1
Relative Information in Intensities versus phasesr(r) duckr(r) cat|F(S)|F(S)= Sjfj e(2pirj.S)F(S) duckF(S) catf(s)|F(S)|duckr(r) = SF(S) e(-2pir.S)f(s) catLooks like a …..
Relative Information in Intensities versus phasesr(r) duckr(r) cat|F(S)|F(S)= Sjfj e(2pirj.S)F(S) duckF(S) catf(s)|F(S)|duckr(r) = SF(S) e(-2pir.S)f(s) catLooks like a CATPHASES DOMINATE:-Incorrect phases        = incorrect structure-incorrect model         = incorrect structure-incorrect assumption = incorrect structure
The Process is re-iterative, and should converge-but only so far!CrystalIntensities I(h,k,l)Electron density r(x,y,z)Known:Amino acid sequenceLigandsBond lengths anglesConstraints on geometryPhases f(h,k,l)Experimentalheavy atom labelsselenium for sulfurTrial & error similar structureAtom positions (x,y,z)
Consequences of being a crystal?Repetition = sampling of F(S)34Å
Consequences of being a crystal?Repetition = sampling of F(S)34Å1/34Å-1
Consequences of being a crystal?Sampling DNA = repeating of F(S)1/3.4Å-13.4Å34Å1/34Å-1
2/lObject repeated 1/l
Build a crystalObjectScattering
Early Definitions:
a.s=hb.s=k
hkl=(11,5,0)Measure I(hkl)F(hkl)= √I(hkl)Determine f(s) = f(hkl)Calculate electron density map
The density map is made up of interfering density waves through the entire unit cell…
Measure I(hkl)
The Process is re-iterative, and should converge-but only so far!CrystalIntensities I(h,k,l)Electron density r(x,y,z)Known:Amino acid sequenceLigandsBond lengths anglesConstraints on geometryPhases f(h,k,l)Experimentalheavy atom labelsselenium for sulfurTrial & error similar structureAtom positions (x,y,z)
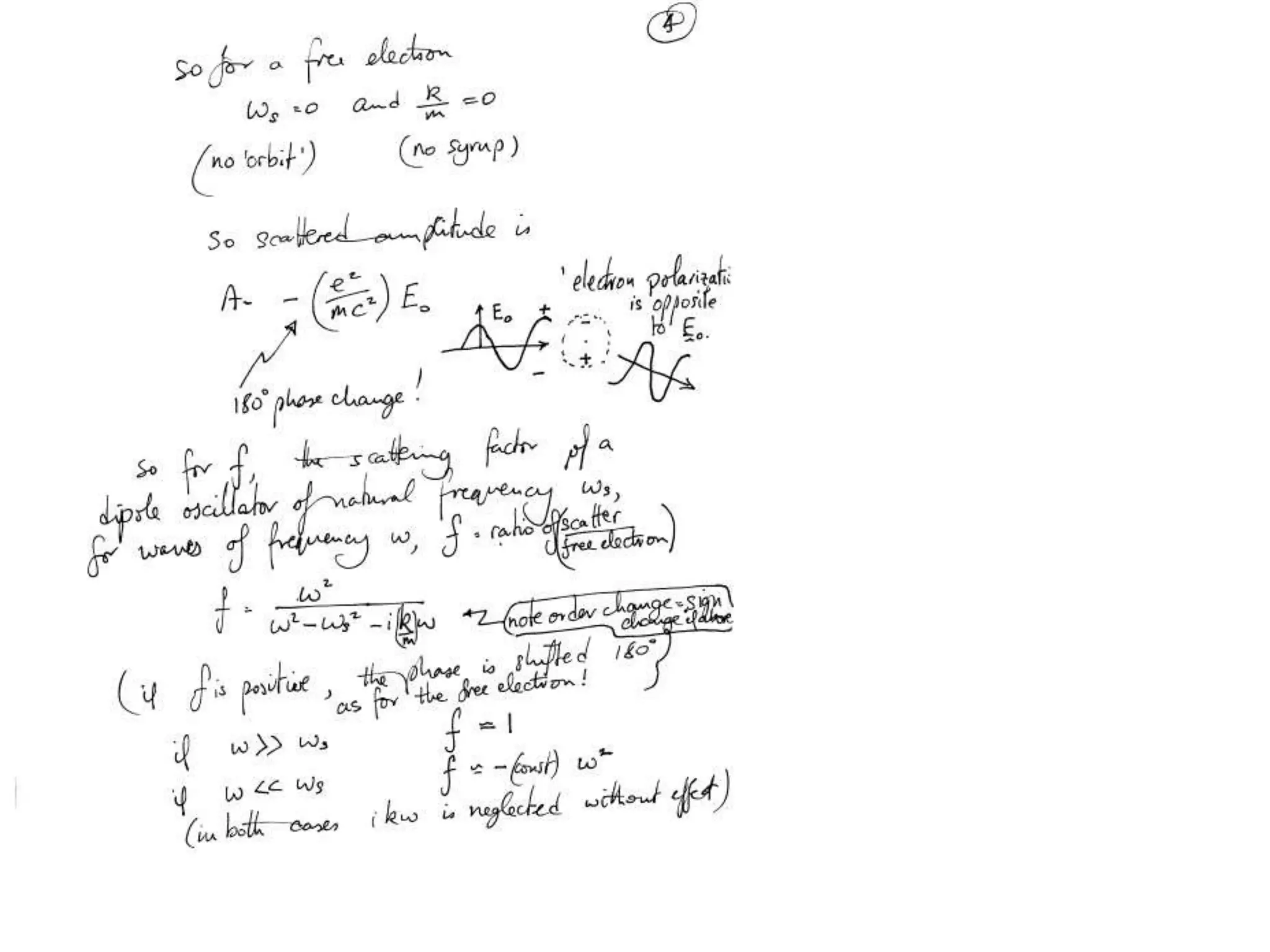
Anomalous diffraction
BP219 class 4 04 2011

BP219 class 4 04 2011

  • 1.
    B1 219 ROBERT M. STROUDUnderstanding crystallography and structuresInteractive – Bring conundra –Laboratory course: Crystallize a proteinDetermine structureVisit ‘Advanced Light Source’ (ALS) for data
  • 2.
    Determining Atomic StructureX-raycrystallography = optics l ~ 1.5Å (no lenses)Bond lengths ~1.4ÅElectrons scatter X-rays; ERGO X-rays ‘see electrons’Resolution –Best is l/2 Typical is 1 to 3 ÅAccuracy of atom center positions ±1/10 Resolution 2q
  • 3.
    Where do X-rayscome from?=accelerating or decelerating electrons
  • 4.
    Resources:http://www.msg.ucsf.eduComputingCalculation software-all youwill ever needOn line course for some items:http://www-structmed.cimr.cam.ac.uk/course.htmlDr Chris Waddling msg.ucsf.eduDr James Holton UCSF/LBNLCrystallography accessible to no prior knowledge of the field or its mathematical basis. The most comprehensive and concise reference Rhodes' uses visual and geometric models to help readers understand the basis of x-ray crystallography.http://bl831.als.lbl.gov/~jamesh/movies/
  • 5.
    Optical image formation,- without lenses
  • 6.
    TopicsSummmary: Resources1 Crystallattice optical analogues photons as waves/particles2 Wave addition complex exponential3. Argand diagramRepetition ==sampling fringe function5. Molecular Fourier Transform Fourier Inversion theorem sampling the transform as a product6. Geometry of diffraction7. The Phase problem heavy atom Multiple Isomorphous Replacement) MIR Anomalous Dispersion Multi wavelength Anomalous Diffraction MAD/SAD8. Difference Maps and Errors9. Structure (= phase) Refinement Thermal factors Least squares Maximum likelihood methods10. Symmetry –basis, consequences
  • 7.
    Topics11. X-ray sources: Storage rings, Free Electron Laser (FELS)12. Detector systems13. Errors, and BIG ERRORS! –RETRACTIONS14. Sources of disorder15. X-ray sources: Storage rings, Free Electron Laser (FELS)
  • 8.
    The UCSF beamline8.3.1UCSF mission bayIf automated- why are there errors? What do I trust? Examples of errors trace sequence backwards,mis assignment of helicesetc
  • 9.
    NH3 sites andthe role of D160 at 1.35Å Resolution
  • 10.
    Data/Parameter ratio isthe same for all molecular sizes at the same resolution dminie. quality is the same!30S50S
  • 11.
    Macromolecular StructuresGrowth innumber and complexity of structures versus time
  • 12.
    The universe ofprotein structures: Our knowledge about protein structures is increasing..65,271 protein structures are deposited in PDB (2/15/2010).This number is growing by > ~7000 a year Growing input from Structural Genomics HT structure determination (>1000 structures a year)
  • 13.
    X-Ray Crystallography forStructure DeterminationGoals: 1. How does it work2. Understand how to judge where errors may lurk3. Understand what is implied, contained in the Protein Data Bank PDB http://www.pdb.org/pdb/home/home.doResolution: - suspect at resolutions >3 ÅR factor, and Rfree: statistical ‘holdout test’Wavelength ~ atom sizeScattering from electrons = electron densityAdding atoms? howObservations Intensity I(h,k,l) = F(hkl).F*(hkl)Determine phases y(hkl)Inverse Fourier Transform === electron densityJudging electron density- How to interpret?Accuracy versus Reliability
  • 14.
    A Typical X-raydiffraction pattern~100 microns
  • 15.
    qmax=22.5° if l=1ÅResolution1.35Å2qmax=45°
  • 16.
    The Process isre-iterative, and should converge-but only so far!CrystalIntensities I(h,k,l)Electron density r(x,y,z)calculated I(h,k,l)Known:Amino acid sequenceLigandsBond lengths anglesConstraints on geometryPhases f(h,k,l)Experimentalheavy atom labelsselenium for sulfurTrial & error similar structureAtom positions (x,y,z)
  • 17.
    Resolution dmin = l /2 sin (qmax)differs from Rayleigh criterion dmin = l /2 sin (qmax) is the wavelength of the shortest wave used to construct the density map
  • 18.
    The Rayleigh CriterionTheRayleigh criterion is the generally accepted criterion for the minimum resolvable detail - the imaging process is said to be diffraction-limited when the first diffraction minimum of the image of one source point coincides with the maximum of another. compared withsin (qmax) = l /2 dmin
  • 19.
    How do wejudge the Quality of structure?2. Overall quality criteria: agreement of observations with diffraction calculated from the interpreted structure.3. Since we refine the structureTo match the Ihkloverfitting ?Define Rfree for a ‘hold-out ‘ set of observations.4. OK? R < 20%, R free< 25%5. But the experimental errors in measuring Fo are ~ 3%.inadequate models of solvent, atom motion, anharmonicisity6 Accuracy ~ 0.5*res*R
  • 20.
    Crystal lattice ismade up of many ‘Unit Cells’Unit cell dimensions are 3 distances a,b,c and angles between them a,b,ghA ‘section’ throughScattering patternof a crystal l=0Note symmetry,Absences for h=even k=evenkCauses Sampling in ‘scattering space’Repetition in ‘Real space’
  • 21.
    Crystal lattice ismade up of many ‘Unit Cells’Unit cell dimensions are 3 distances a,b,c and angles between them a,b,ghVabc = |a.(bxc)|Vabc = |b.(cxa)|Vabc = |c.(axb)|kCauses Sampling in ‘scattering space’Repetition in ‘Real space’
  • 22.
    ScatteringAdding up thescattering of Atoms:‘interference’ of wavesWaves add out of phaseby 2p[extra path/l]
  • 23.
    In general theyadd up to somethingamplitude In between -2f and +2f.For n atoms
  • 24.
  • 25.
    Many atoms addby the same rules.Different in every direction.
  • 26.
    Summary of theProcess from beginningto structure..
  • 27.
    Optical Equivalent: egslide projector; leave out the lens..Optical diffraction = X-ray diffractionobjectImage of the objectobjectRemove the lens= observe scatteringpatternfilmobjectobject
  • 29.
    ScatteringAdding up thescattering of Atoms:‘interference’ of waves
  • 30.
    vectors revisited…Vectors havemagnitude and directionPosition in a unit cellr = xa + yb + zcwhere a, b, c are vectors, x,y,z are scalars 0<x<1a.b = a b cos (q) projection of a onto b -called ‘dot product’axb = a b sin (q) a vector perpendicular to a, and b proportional to area in magnitude -- called cross productvolume of unit cell = (axb).c = (bxc).a = (cxa).b = -(bxa).c = -(cxb).a additivity: a + b = b + aif r = xa + yb + zc and s = ha* + kb* + lc* thenr.s = (xa + yb + zc).(ha* + kb* + lc* ) = xha.a* + xka.b* + xla.c* +yhb.a* + ykb.b* + ylb.c* + zhc.a* +zhc.a* + zkc.b* + zlc.c*as we will see, the components of the reciprocal lattive can be represented in terms of a* + b* + c*, where a.a* = 1, b.b*=1, c.c*=1 and a.b*=0, a.c*=0 etc..r.s = (xa + yb + zc ).(ha* + kb* + lc* ) = xha.a* + xka.b* + xla.c* +yhb.a* + ykb.b* + ylb.c* + zhc.a* +zhc.a* + zkc.b* + zlc.c*= xh + yk + zl
  • 31.
    Adding up thescattering of Atoms:‘interference’ of waves2pr.S
  • 32.
    Adding up thescattering of Atoms:‘interference’ of wavesF(S)2pr.S
  • 33.
  • 38.
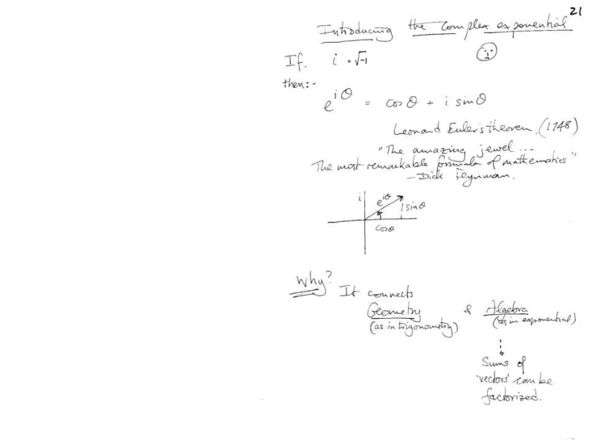
    Revision notes onMcClaurin’stheorem. It allows any function f(x) to be definedin terms of its value at some x=a valueie f(a), and derivatives of f(x) at x=a,namely f’(a), f’’(a), f’’’(a) etc
  • 41.
    Extra Notes onComplex Numbers(p25-28)
  • 45.
    Argand Diagram.. F(S) = |F(s)| eiqIntensity = |F(s)|2How to represent I(s)?|F(s)|2 =F(S) .F*(S) proof?Recall F*(S) is the complex conjugate of F(S) = |F(s)| e-iqso |F(s)|2 =|F(s)|[cos(q) + isin(q)].|F(s)|[cos(q) - isin(q)]=|F(s)|2 [cos2 (q) + sin2 (q)]=|F(s)|2 R.T.P.F(S)2pr.Sq
  • 46.
    Argand Diagram.. F(S) = |F(s)| eiqIntensity = |F(s)|2How to represent I(s)?I(s) = |F(s)|2 =F(S) .F*(S) proof?Where F*(S) is defined to be the ‘complex conjugate’ of F(S) = |F(s)| e-iqso |F(s)|2 =|F(s)|[cos(q) + isin(q)].|F(s)|[cos(q) - isin(q)]=|F(s)|2 [cos2 (q) + sin2 (q)]=|F(s)|2 R.T.P.F(S)2pr.Sq
  • 47.
    F*(S) is thecomplex conjugate of F(S), = |F(s)| e-iq(c+is)(c-is)=cos2q -cqisq+ cqisq+ sin2qso |F(s)|2 =F(S) .F*(S) -2pr.S-qF*(S)
  • 49.
    Origin Position isarbitrary..proof..So the origin is chosen by choice of:a) conventional choice in each space group-eg Often on a major symmetry axis- BUT for strong reasons—see ‘symmetry section’.Even so there are typically 4 equivalent major symmetry axes per unit cell.. b) chosen when we fix the first heavy metal (or Selenium) atom position, -all becomes relative to that.c) chosen when we place a similar moleculefor ‘molecular replacement’ = trial and errorsolution assuming similarity in structure.
  • 50.
    Adding waves fromj atoms…F(S)= G(s) =
  • 51.
    and why dowe care?How much difference will it make to the average intensity? average amplitude?if we add a single Hg atom?
  • 52.
    The ‘Random Walk’problem? (p33.1-33.3)What is the average sum of n steps in random directions?(What is the average amplitude<|F(s)|> from an n atom structure?)-AND why do we care?!........How much difference from adding amercury atom (f=80).
  • 53.
    The average intensityfor ann atom structure, each of f electronsis <I>= nf2The average amplitude is Square rootof n, times f
  • 54.
    and why dowe care?How much difference will 10 electrons make to the average intensity? average amplitude?average difference in amplitude?average difference in intensity?if we add a single Hg atom?
  • 55.
    and why dowe care?How much difference will 10 electrons make to the average intensity? 98,000 e2average amplitude? 313average difference in amplitude?average difference in intensity?if we add a single Hg atom?
  • 56.
    and why dowe care?How much difference will 10 electrons make to the average intensity? 98,000 e2average amplitude? 313 eaverage difference in amplitude?2.2% of each amplitude!average difference in intensity?98,100-98000=100 (1%)if we add a single Hg atom?
  • 57.
    and why dowe care?or Hg atom n=80eHow much difference will 80 electrons make to the average intensity? 98,000 e2average amplitude? 313 eaverage difference in amplitude?18 % of each amplitude!average difference in intensity?104,400-98000=6400 (6.5%)
  • 59.
    WILSON STATISTICSWhat isthe expectedintensity of scattering versus the observedfor proteins of i atoms,?on average versus resolution |s|?
  • 61.
    Bottom Lines:This plotshould provide The overall scale factor(to intercept at y=1)The overall B factorIn practice for proteins it has bumpsin it, they correspond to predominantor strong repeat distances in the protein.For proteins these are at 6Å (helices)3Å (sheets), and 1.4Å (bonded atoms)
  • 62.
    Topic: Building up a Crystal1 DimensionScattering from an array of points, is the same as scattering from one point,SAMPLED at distances ‘inverse’ to the repeat distance in the object The fringe functionScattering from an array of objects, is the same as scattering from one object,SAMPLED at distances ‘inverse’ to the repeat distance in the object eg DNA
  • 63.
    Scattering from amolecule is described byF(s)= Si fi e(2pir.s)
  • 68.
    Consequences of beinga crystal?Repetition = sampling of F(S)34Å1/34Å-1
  • 69.
  • 72.
    Transform of twohoizontal lines defined y= ± y1F(s) = Int [x=0-infexp{2pi(xa+y1b).s} + exp{2pi(xa-y1b).s}dVr ]=2 cos (2py1b).s * Int [x=0-infexp{2pi(xa).s dVr]for a.s=0 the int[x=0-infexp{2pi(xa).s dVr] = total e content of the linefor a.s≠0 int[x=0-infexp{2pi(xa).s dVr] = 0hence r(r)isa line at a.s= 0 parallel to b, with F(s) = 2 cos (2py1b).s -along a vertical line perpendicular to the horizontal lines.Transform of a bilayer..b=53Å
  • 73.
    53Å Repeat distance40Åinter bilayer spacing4.6Å
  • 74.
    53Å Repeat distance40Åinter bilayer spacing4.6Å
  • 75.
  • 77.
    How to calculateelectron density?Proof of the Inverse Fourier Transform:
  • 80.
  • 82.
    Build up acrystal from Molecules…First 1 dimension,a direction
  • 84.
    Build up acrystal from Molecules…First 1 dimension,a direction
  • 89.
  • 90.
    hkl=(11,5,0)Measure I(hkl)F(hkl)= √I(hkl)Determinef(s) = f(hkl)Calculate electron density map
  • 92.
    The density mapis made up of interfering density waves through the entire unit cell…
  • 98.
  • 100.
    A Typical X-raydiffraction pattern~100 microns
  • 105.
    A Typical X-raydiffraction pattern~100 microns
  • 109.
  • 113.
    What if ‘whiteradiation’? representationLaue picture.
  • 114.
    Compute a Transformof a series of parallel lines
  • 116.
    s0sssAdding up thescattering of Atoms:‘interference’ of wavesI(S)= F(S).F(S)*s1Ss0radius = 1/lF(S)2pr.S
  • 119.
    Sum of 7atoms scatteringResult is a wave of amplitude F(S)phase f(s) f7=8 electrons2pr7.SF(S)2pr1.Sf1=6 electrons
  • 120.
    Sum of 7atoms scatteringResult is a wave of amplitude F(S)phase F(S)f7=8 electrons2pr7.Si = √(-1)sin(q)F(S)cos(q)2pr1.Sf1=6 electronse(iq) = cos(q) + isin(q)
  • 121.
    Sum of 7atoms scatteringResult is a wave of amplitude |F(S)|phase F(S)f7=8 electrons2pr7.Si = √(-1)sin(q)F(S)cos(q)2pr1.Sf1=6 electronse(iq) = cos(q) + isin(q)F(S) = f1 e(2pir1.S) + f2 e(2pir2.S) +….
  • 122.
    Sum of 7atoms scatteringResult is a wave of amplitude |F(S)|phase F(S)f7=8 electrons2pr7.Si = √(-1)sin(q)F(S)cos(q)2pr1.Sf1=6 electronse(iq) = cos(q) + isin(q)F(S) = Sjfj e(2pirj.S)
  • 123.
    Sum of 7atoms scatteringf7=8 electrons2pr7.SF(S)2pr1.Sf1=6 electrons
  • 124.
  • 125.
    e(iq) = cos(q) + isin(q)F(S) = Sjfj e(2pirj.S)
  • 126.
    The Process isre-iterative, and should converge-but only so far!CrystalIntensities I(h,k,l)Electron density r(x,y,z)Known:Amino acid sequenceLigandsBond lengths anglesConstraints on geometryPhases f(h,k,l)Experimentalheavy atom labelsselenium for sulfurTrial & error similar structureAtom positions (x,y,z)
  • 127.
    Scattering pattern isthe Fourier transform of the structure F(S) = Sjfj e(2pirj.S)Structure is the ‘inverse’Fourier transform of the Scattering pattern r(r) = SF(S) e(-2pir.S)
  • 135.
  • 141.
    This is allthere is? YES!!Scattering pattern is the Fourier transform of the structure FTF(S) = Sjfj e(2pirj.S)FT-1Structure is the ‘inverse’Fourier transform of the Scattering pattern 1/ar(r) = SF(S) e(-2pir.S)aFTb1/bFT-1
  • 142.
    But we observe|F(S)|2 and there are ‘Phases’Scattering pattern is the Fourier transform of the structure FTF(S) = Sjfj e(2pirj.S)FT-1Structure is the ‘inverse’Fourier transform of the Scattering pattern 1/ar(r) = SF(S) e(-2pir.S)aFTWhere F(S) has phaseAnd amplitude b1/bFT-1
  • 143.
    This is allthere is?Scattering pattern is the Fourier transform of the structure FTF(S) = Sjfj e(2pirj.S)SFT-1Structure is the ‘inverse’Fourier transform of the Scattering pattern 1/ar(r) = SF(S) e(-2pir.S)aFTbF(h,k,l) = Sjfj e(2pi(hx+ky+lz))S1/bh=15, k=3,r(x,y,z) = SF(h,k,l) e(-2pir.S)FT-1
  • 144.
    Relative Information inIntensities versus phasesr(r) duckr(r) cat|F(S)|F(S)= Sjfj e(2pirj.S)F(S) duckF(S) catf(s)|F(S)|duckr(r) = SF(S) e(-2pir.S)f(s) catLooks like a …..
  • 145.
    Relative Information inIntensities versus phasesr(r) duckr(r) cat|F(S)|F(S)= Sjfj e(2pirj.S)F(S) duckF(S) catf(s)|F(S)|duckr(r) = SF(S) e(-2pir.S)f(s) catLooks like a CATPHASES DOMINATE:-Incorrect phases = incorrect structure-incorrect model = incorrect structure-incorrect assumption = incorrect structure
  • 146.
    The Process isre-iterative, and should converge-but only so far!CrystalIntensities I(h,k,l)Electron density r(x,y,z)Known:Amino acid sequenceLigandsBond lengths anglesConstraints on geometryPhases f(h,k,l)Experimentalheavy atom labelsselenium for sulfurTrial & error similar structureAtom positions (x,y,z)
  • 147.
    Consequences of beinga crystal?Repetition = sampling of F(S)34Å
  • 148.
    Consequences of beinga crystal?Repetition = sampling of F(S)34Å1/34Å-1
  • 149.
    Consequences of beinga crystal?Sampling DNA = repeating of F(S)1/3.4Å-13.4Å34Å1/34Å-1
  • 150.
  • 152.
  • 153.
  • 157.
  • 158.
    hkl=(11,5,0)Measure I(hkl)F(hkl)= √I(hkl)Determinef(s) = f(hkl)Calculate electron density map
  • 160.
    The density mapis made up of interfering density waves through the entire unit cell…
  • 161.
  • 162.
    The Process isre-iterative, and should converge-but only so far!CrystalIntensities I(h,k,l)Electron density r(x,y,z)Known:Amino acid sequenceLigandsBond lengths anglesConstraints on geometryPhases f(h,k,l)Experimentalheavy atom labelsselenium for sulfurTrial & error similar structureAtom positions (x,y,z)
  • 168.

Editor's Notes

  • #22 end of lecture 1 after 2 hr.
  • #32 proof of 2 pi r.s
  • #42 extra notes on complex numbers
  • #50 from old p32
  • #70 end of lectiure3 in 2011