Dr.M_T The 3rd Vision Academy 01156281369
I
Aromatic Compound
1. Determine whether each of the following is an aromatic compound:
2. Determine whether each of the following is an aromatic compound:
3. How many electrons does each heteroatom contribute to the π system
in each of the following compounds?
4. Name each of the following compounds, in IUPAC system:
(a) methylparaben, a food preservative (b) salicylamide, an analgesic
Dr.M_T The 3rd Vision Academy 01156281369
II
(c) (d) (e)
(f)an antiseptic agent used (g) a disinfectant (h)
to treat athlete’s foot
(i) (j) resorcinol monoacetate, a germicide
used to treat skin conditions
5. The sulfonamide group is found in sulfa drugs. Is it an activating or
deactivating group . Will it be ortho, para-directing or meta directing?
6. What product results from the Friedel-Crafts alkylation of benzene
using 1-chloro-2-methylpropane and aluminum trichloride?
7. Alkylation of benzene can be accomplished using an alkene such as
propene and an acid catalyst. Identify the electrophile and the
product.
Dr.M_T The 3rd Vision Academy 01156281369
III
8. Indicate on which ring and at what position bromination of each
compound will occur.
9. Indicate on which ring and at what position nitration of each
compound will occur.
10. What reagent is required for each of the following reactions? Will an
ortho, para mixture of products or the meta isomer
predominate?
(a) nitration of bromobenzene
(b) sulfonation of nitrobenzene
(c) bromination of ethylbenzene
(d) methylation of anisole
(e) bromination of benzoic acid
(f) acetylation of isopropylbenzene
(g) nitration of acetophenone
(h) nitration of phenol
11. Starting with benzene, describe the series of reagents and reactions
required to produce each of the following compounds.
(a) p-bromonitrobenzene
(b) m-bromonitrobenzene
(c) p-bromoethylbenzene
(d) m-bromoethylbenzene
(e) m-bromobenzenesulfonic acid
(f) p-bromobenzenesulfonic acid
(g) p-nitrotoluene
Dr.M_T The 3rd Vision Academy 01156281369
IV
(h) p-nitrobenzoic acid
12. Starting with either benzene or toluene, describe the series of
reagents and reactions required to produce each of the following
compounds.
(a) 3,5-dinitro-l-chlorobenzene (m)
(b) 2,4,6-trinitrotoluene
(c) 2,6-dibromo-4-nitrotoluene
(d) 2,4,6-tribromobenzoic acid
(e) 2-bromo-4-nitrotoluene (n)
(f) 1-bromo-3,5-dinitrobenzene
(g) m-bromophenol
(h) m-bromoaniline
(i) p-methylphenol
(j) m-bromophenol
(k) m-bromoaniline (o)
(l) p-methylphenol
13. Explain why aromatic hydroxylation of chlorpromazine, an anti-
psychotic drug, occurs at the indicated position and in that ring.
14. Why doesn’t aromatic hydroxylation of probenecid, a drug used to
treat chronic gout, occur?
Dr.M_T The 3rd Vision Academy 01156281369
V
15. Predict the major products of bromination of the following
compounds, using 𝐵𝑟2 and Fe 𝐵𝑟3 in the dark.
16. Predict the major products of the following reactions.
(a) 2,4-dinitrochlorobenzene + NaOC 𝐻3
(b) nitrobenzene + fuming sulfuric acid
(c) p-methylanisole + acetyl chloride + Al 𝐶𝑙3
(d) p-ethylbenzenesulfonic + steam / 𝐻+
(e) p-ethylbenzenesulfonic acid + HN 𝑂3, 𝐻2 𝑆𝑂4
(f) phenol + tert-butyl chloride + Al 𝐶𝑙3
(g) nitrobenzene + acetyl chloride + AlCl3
17. Predict the product of the following Rx.
(a)
(b)
Dr.M_T The 3rd Vision Academy 01156281369
VI
(c)
(d)
(e)
(f)
(g)
Dr.M_T The 3rd Vision Academy 01156281369
VII
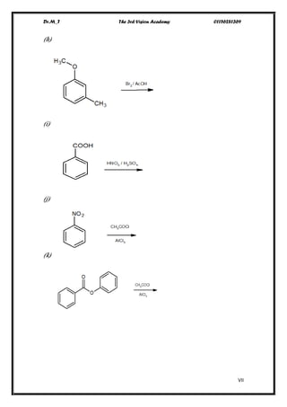
(h)
(i)
(j)
(k)
Dr.M_T The 3rd Vision Academy 01156281369
VIII
18. The following molecules each contain two rings.
Which of the two rings undergoes electrophilic substitution more readily?
Draw the major product formed on Nitration Rx.
(a) (b)
(c) (d)
19. Convert !
(a)
(b)
(c)
Dr.M_T The 3rd Vision Academy 01156281369
IX
20. Predict the major product/s that would be obtained when each of the
following compounds is NITRATED.
(a) 4-(trifluromethyl)phenol.
(b) 3-cyanobenenesulfonic acid.
(c) 3-nitroanisole.
(d) 3-Bromophenyl cyanide.
(e) 3-Bromobenzophenone.
(f) 2-Acetylacetanilide.
21. Write resonance structure for the arenium ions that would result from
electrophilic attack on the ortho, meta and para positions of phenol.
(a) Can you account for that phenol is highly susceptible to electrophilic
attack?
(b) Can you account the fact that the hydroxyl grp. is an ortho and para
director?
22.Would you expect the phenoxide ion, 𝐶6 𝐻5 to be more or less reactive
than phenol in electrophilic substitution?
23. Acetanilide is less reactive toward electrophilic substitution than
aniline.
How can you explain this on the basis of resonance structure of them?
24. Acetanilide, however is much more reactive than benzene and ortho-
para director.
Can you account for these facts in term of resonance structure that
involve the ring?
25. Would you expect phenyl acetate to be more or less reactive than
phenol?
26. What kind of directing influence would you expect the acetoxy grp.,
𝐶𝐻3 𝐶𝑂 − 𝑂, to show?
Dr.M_T The 3rd Vision Academy 01156281369
X
27. Would you expect phenyl acetate to be more or less reactive in
electrophilic substitution than benzene? Explain.
28. Write resonance structure for arenium ions formed when
ethylbenzene undergoes electrophilic attack.

Problems1

  • 1.
    Dr.M_T The 3rdVision Academy 01156281369 I Aromatic Compound 1. Determine whether each of the following is an aromatic compound: 2. Determine whether each of the following is an aromatic compound: 3. How many electrons does each heteroatom contribute to the π system in each of the following compounds? 4. Name each of the following compounds, in IUPAC system: (a) methylparaben, a food preservative (b) salicylamide, an analgesic
  • 2.
    Dr.M_T The 3rdVision Academy 01156281369 II (c) (d) (e) (f)an antiseptic agent used (g) a disinfectant (h) to treat athlete’s foot (i) (j) resorcinol monoacetate, a germicide used to treat skin conditions 5. The sulfonamide group is found in sulfa drugs. Is it an activating or deactivating group . Will it be ortho, para-directing or meta directing? 6. What product results from the Friedel-Crafts alkylation of benzene using 1-chloro-2-methylpropane and aluminum trichloride? 7. Alkylation of benzene can be accomplished using an alkene such as propene and an acid catalyst. Identify the electrophile and the product.
  • 3.
    Dr.M_T The 3rdVision Academy 01156281369 III 8. Indicate on which ring and at what position bromination of each compound will occur. 9. Indicate on which ring and at what position nitration of each compound will occur. 10. What reagent is required for each of the following reactions? Will an ortho, para mixture of products or the meta isomer predominate? (a) nitration of bromobenzene (b) sulfonation of nitrobenzene (c) bromination of ethylbenzene (d) methylation of anisole (e) bromination of benzoic acid (f) acetylation of isopropylbenzene (g) nitration of acetophenone (h) nitration of phenol 11. Starting with benzene, describe the series of reagents and reactions required to produce each of the following compounds. (a) p-bromonitrobenzene (b) m-bromonitrobenzene (c) p-bromoethylbenzene (d) m-bromoethylbenzene (e) m-bromobenzenesulfonic acid (f) p-bromobenzenesulfonic acid (g) p-nitrotoluene
  • 4.
    Dr.M_T The 3rdVision Academy 01156281369 IV (h) p-nitrobenzoic acid 12. Starting with either benzene or toluene, describe the series of reagents and reactions required to produce each of the following compounds. (a) 3,5-dinitro-l-chlorobenzene (m) (b) 2,4,6-trinitrotoluene (c) 2,6-dibromo-4-nitrotoluene (d) 2,4,6-tribromobenzoic acid (e) 2-bromo-4-nitrotoluene (n) (f) 1-bromo-3,5-dinitrobenzene (g) m-bromophenol (h) m-bromoaniline (i) p-methylphenol (j) m-bromophenol (k) m-bromoaniline (o) (l) p-methylphenol 13. Explain why aromatic hydroxylation of chlorpromazine, an anti- psychotic drug, occurs at the indicated position and in that ring. 14. Why doesn’t aromatic hydroxylation of probenecid, a drug used to treat chronic gout, occur?
  • 5.
    Dr.M_T The 3rdVision Academy 01156281369 V 15. Predict the major products of bromination of the following compounds, using 𝐵𝑟2 and Fe 𝐵𝑟3 in the dark. 16. Predict the major products of the following reactions. (a) 2,4-dinitrochlorobenzene + NaOC 𝐻3 (b) nitrobenzene + fuming sulfuric acid (c) p-methylanisole + acetyl chloride + Al 𝐶𝑙3 (d) p-ethylbenzenesulfonic + steam / 𝐻+ (e) p-ethylbenzenesulfonic acid + HN 𝑂3, 𝐻2 𝑆𝑂4 (f) phenol + tert-butyl chloride + Al 𝐶𝑙3 (g) nitrobenzene + acetyl chloride + AlCl3 17. Predict the product of the following Rx. (a) (b)
  • 6.
    Dr.M_T The 3rdVision Academy 01156281369 VI (c) (d) (e) (f) (g)
  • 7.
    Dr.M_T The 3rdVision Academy 01156281369 VII (h) (i) (j) (k)
  • 8.
    Dr.M_T The 3rdVision Academy 01156281369 VIII 18. The following molecules each contain two rings. Which of the two rings undergoes electrophilic substitution more readily? Draw the major product formed on Nitration Rx. (a) (b) (c) (d) 19. Convert ! (a) (b) (c)
  • 9.
    Dr.M_T The 3rdVision Academy 01156281369 IX 20. Predict the major product/s that would be obtained when each of the following compounds is NITRATED. (a) 4-(trifluromethyl)phenol. (b) 3-cyanobenenesulfonic acid. (c) 3-nitroanisole. (d) 3-Bromophenyl cyanide. (e) 3-Bromobenzophenone. (f) 2-Acetylacetanilide. 21. Write resonance structure for the arenium ions that would result from electrophilic attack on the ortho, meta and para positions of phenol. (a) Can you account for that phenol is highly susceptible to electrophilic attack? (b) Can you account the fact that the hydroxyl grp. is an ortho and para director? 22.Would you expect the phenoxide ion, 𝐶6 𝐻5 to be more or less reactive than phenol in electrophilic substitution? 23. Acetanilide is less reactive toward electrophilic substitution than aniline. How can you explain this on the basis of resonance structure of them? 24. Acetanilide, however is much more reactive than benzene and ortho- para director. Can you account for these facts in term of resonance structure that involve the ring? 25. Would you expect phenyl acetate to be more or less reactive than phenol? 26. What kind of directing influence would you expect the acetoxy grp., 𝐶𝐻3 𝐶𝑂 − 𝑂, to show?
  • 10.
    Dr.M_T The 3rdVision Academy 01156281369 X 27. Would you expect phenyl acetate to be more or less reactive in electrophilic substitution than benzene? Explain. 28. Write resonance structure for arenium ions formed when ethylbenzene undergoes electrophilic attack.