Dr.M_T The 3rd Vision Academy 01156281369
I
Aromatic Compound
1. Determine whether each of the following is an aromatic compound:
2. Determine whether each of the following is an aromatic compound:
3. How many electrons does each heteroatom contribute to the π system
in each of the following compounds?
4. Name each of the following compounds, in IUPAC system:
(a) methylparaben, a food preservative (b) salicylamide, an analgesic
Dr.M_T The 3rd Vision Academy 01156281369
II
(c) (d) (e)
(f)an antiseptic agent used (g) a disinfectant (h)
to treat athlete’s foot
(i) (j) resorcinol monoacetate, a germicide
used to treat skin conditions
5. The sulfonamide group is found in sulfa drugs. Is it an activating or
deactivating group . Will it be ortho, para-directing or meta directing?
6. What product results from the Friedel-Crafts alkylation of benzene
using 1-chloro-2-methylpropane and aluminum trichloride?
7. Alkylation of benzene can be accomplished using an alkene such as
propene and an acid catalyst. Identify the electrophile and the
product.
Dr.M_T The 3rd Vision Academy 01156281369
III
8. Indicate on which ring and at what position bromination of each
compound will occur.
9. Indicate on which ring and at what position nitration of each
compound will occur.
10. What reagent is required for each of the following reactions? Will an
ortho, para mixture of products or the meta isomer
predominate?
(a) nitration of bromobenzene
(b) sulfonation of nitrobenzene
(c) bromination of ethylbenzene
(d) methylation of anisole
(e) bromination of benzoic acid
(f) acetylation of isopropylbenzene
(g) nitration of acetophenone
(h) nitration of phenol
11. Starting with benzene, describe the series of reagents and reactions
required to produce each of the following compounds.
(a) p-bromonitrobenzene
(b) m-bromonitrobenzene
(c) p-bromoethylbenzene
(d) m-bromoethylbenzene
(e) m-bromobenzenesulfonic acid
(f) p-bromobenzenesulfonic acid
(g) p-nitrotoluene
Dr.M_T The 3rd Vision Academy 01156281369
IV
(h) p-nitrobenzoic acid
12. Starting with either benzene or toluene, describe the series of
reagents and reactions required to produce each of the following
compounds.
(a) 3,5-dinitro-l-chlorobenzene (m)
(b) 2,4,6-trinitrotoluene
(c) 2,6-dibromo-4-nitrotoluene
(d) 2,4,6-tribromobenzoic acid
(e) 2-bromo-4-nitrotoluene (n)
(f) 1-bromo-3,5-dinitrobenzene
(g) m-bromophenol
(h) m-bromoaniline
(i) p-methylphenol
(j) m-bromophenol
(k) m-bromoaniline (o)
(l) p-methylphenol
13. Explain why aromatic hydroxylation of chlorpromazine, an anti-
psychotic drug, occurs at the indicated position and in that ring.
14. Why doesn’t aromatic hydroxylation of probenecid, a drug used to
treat chronic gout, occur?
Dr.M_T The 3rd Vision Academy 01156281369
V
15. Predict the major products of bromination of the following
compounds, using 𝐵𝑟2 and Fe 𝐵𝑟3 in the dark.
16. Predict the major products of the following reactions.
(a) 2,4-dinitrochlorobenzene + NaOC 𝐻3
(b) nitrobenzene + fuming sulfuric acid
(c) p-methylanisole + acetyl chloride + Al 𝐶𝑙3
(d) p-ethylbenzenesulfonic + steam / 𝐻+
(e) p-ethylbenzenesulfonic acid + HN 𝑂3, 𝐻2 𝑆𝑂4
(f) phenol + tert-butyl chloride + Al 𝐶𝑙3
(g) nitrobenzene + acetyl chloride + AlCl3
17. Predict the product of the following Rx.
(a)
(b)
Dr.M_T The 3rd Vision Academy 01156281369
VI
(c)
(d)
(e)
(f)
(g)
Dr.M_T The 3rd Vision Academy 01156281369
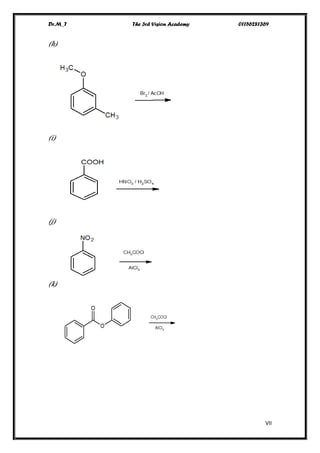
VII
(h)
(i)
(j)
(k)
Dr.M_T The 3rd Vision Academy 01156281369
VIII
18. The following molecules each contain two rings.
Which of the two rings undergoes electrophilic substitution more readily?
Draw the major product formed on Nitration Rx.
(a) (b)
(c) (d)
19. Convert !
(a)
(b)
(c)
Dr.M_T The 3rd Vision Academy 01156281369
IX
20. Predict the major product/s that would be obtained when each of the
following compounds is NITRATED.
(a) 4-(trifluromethyl)phenol.
(b) 3-cyanobenenesulfonic acid.
(c) 3-nitroanisole.
(d) 3-Bromophenyl cyanide.
(e) 3-Bromobenzophenone.
(f) 2-Acetylacetanilide.
21. Write resonance structure for the arenium ions that would result from
electrophilic attack on the ortho, meta and para positions of phenol.
(a) Can you account for that phenol is highly susceptible to electrophilic
attack?
(b) Can you account the fact that the hydroxyl grp. is an ortho and para
director?
22.Would you expect the phenoxide ion, 𝐶6 𝐻5 to be more or less reactive
than phenol in electrophilic substitution?
23. Acetanilide is less reactive toward electrophilic substitution than
aniline.
How can you explain this on the basis of resonance structure of them?
24. Acetanilide, however is much more reactive than benzene and ortho-
para director.
Can you account for these facts in term of resonance structure that
involve the ring?
25. Would you expect phenyl acetate to be more or less reactive than
phenol?
26. What kind of directing influence would you expect the acetoxy grp.,
𝐶𝐻3 𝐶𝑂 − 𝑂, to show?
Dr.M_T The 3rd Vision Academy 01156281369
X
27. Would you expect phenyl acetate to be more or less reactive in
electrophilic substitution than benzene? Explain.
28. Write resonance structure for arenium ions formed when
ethylbenzene undergoes electrophilic attack.
29. Beta blockers, also known as beta-adrenergic blocking agents, are
medications that reduce your blood pressure. Beta blockers work by
blocking the effects of the hormone epinephrine, also known as
adrenaline.
*mention the steps by which you can get propranolol that is a good
effective beta-blocker. START WITH 1-NAPHTHOL.
30. Write structural formulas for each of the following compounds:
(a) Benzylmethylamine
(b) Triisopropylamine
(c) N-Ethyl-N-methylaniline
(d) m-Toluidine
(e) 2-Methylpyrrole
(f) N-Ethylpiperidine
(g) N-Ethylpyridinium bromide
(h) 3-Pyridinecarboxylic acid
(i) Indole
(j) Acetanilide
(k) Dimethylaminium chloride
(l) 2-Methylimidazole
(m) 3-Aminopropan-1-ol
(n) Tetrapropylammonium chloride
(o) Pyrrolidine
Dr.M_T The 3rd Vision Academy 01156281369
XI
(p) N,N-Dimethyl-p-toluidine
(q) 4-Methoxyaniline
(r) Tetramethylammonium hydroxide
(s) p-Aminobenzoic acid
(t) N-Methylaniline
31. Give common or systematic names for each of the following
compounds:
32. Which is the most basic nitrogen in each compound. Explain your
choices.
Dr.M_T The 3rd Vision Academy 01156281369
XII
33. Show how you might prepare benzylamine from each of the following
compounds:
34. Show how you might prepare aniline from each of the following
compounds:
(a) Benzene
(b) Bromobenzene
(c) Benzamide
35. Show how you might synthesize each of the following compounds
from 1-butanol:
(a) Butylamine (free of 28 and 38 amines)
(b) Pentylamine
(c) Propylamine
(d) Butylmethylamine
36. Show how you might convert aniline into each of the following
compounds.
(a) Acetanilide (n)
(b) N-Phenylphthalimide
(c) p-Nitroaniline
(d) Sulfanilamide
(e) N,N-Dimethylaniline
(f) Fluorobenzene
Dr.M_T The 3rd Vision Academy 01156281369
XIII
(g) Chlorobenzene (o)
(h) Bromobenzene
(i) Iodobenzene
(j) Benzonitrile
(k) Benzoic acid
(l) Phenol
(m) Benzene
37. Provide the major organic product from each of the following
reactions.
38. What products would you expect to be formed when each of the
following amines reacts with aqueous sodium nitrite and hydrochloric
acid?
(a) Propylamine
(b) Dipropylamine
(c) N-Propylaniline
(d) N,N-Dipropylaniline
(e) p-Propylaniline
Dr.M_T The 3rd Vision Academy 01156281369
XIV
39.
(a) What products would you expect to be formed when each of the
amines in the preceding problem reacts with benzenesulfonyl chloride
and excess aqueous potassium hydroxide?
(b) What would you observe in each reaction?
(c) What would you observe when the resulting solution or mixture is
acidified?
40. What product would you expect to obtain from each of the following
reactions?
41. Give structures for the products of each of the following reactions:
Dr.M_T The 3rd Vision Academy 01156281369
XV
42. Starting with benzene or toluene, outline a synthesis of each of the
following compounds using diazonium salts as intermediates.
(a) p-Fluorotoluene (m)
(b) o-Iodotoluene
(c) p-Cresol
(d) m-Dichlorobenzene
(e) m-C6H4(CN)2 (n)
(f) m-Bromobenzonitrile
(g) 1,3-Dibromo-5-nitrobenzene
(h) 3,5-Dibromoaniline
(i) 3,4,5-Tribromophenol
(j) 3,4,5-Tribromobenzonitrile (o)
(k) 2,6-Dibromobenzoic acid
(l) 1,3-Dibromo-2-iodobenzene
43. Write equations for simple chemical tests that would distinguish
between:
(a) Benzylamine and benzamide
(b) Allylamine and propylamine
(c) p-Toluidine and N-methylaniline
(d) Cyclohexylamine and piperidine
(e) Pyridine and benzene
(f) Cyclohexylamine and aniline
(g) Triethylamine and diethylamine
(h) Tripropylaminium chloride and tetrapropylammonium chloride
(i) Tetrapropylammonium chloride and tetrapropylammonium hydroxide
44. Describe with equations how you might separate a mixture of aniline,
p-cresol, benzoic acid, and toluene using ordinary laboratory reagents.
Dr.M_T The 3rd Vision Academy 01156281369
XVI
45. Using reactions that we have studied in this chapter, propose a
mechanism that accounts for the following reaction:
46. Provide a detailed mechanism for each of the following reactions.
47. Suggest an experiment to test the proposition that the Hofmann
reaction is an intramolecular rearrangement—that is, one in which the
migrating R group never fully separates from the amide molecule.
48. Show how you might synthesize b-aminopropionic acid from succinic
anhydride. (b-Aminopropionic acid is used in the synthesis of pantothenic
acid, a precursor of coenzyme A.)
Dr.M_T The 3rd Vision Academy 01156281369
XVII
49. Show how you might synthesize each of the following from the
compounds indicated and any other needed reagents:
(a) from 1,10-decanediol.
(b) Succinylcholine bromide from succinic acid, 2-bromoethanol, and
trimethylamine.
50. Acommercial synthesis of folic acid consists of heating the following
three compounds with aqueous sodium bicarbonate. Propose reasonable
mechanisms for the reactions that lead to folic acid. Hint: The first step
involves formation of an imine between the lower right NH2 group of the
heterocyclic amine and the ketone.
51. Give structures for compounds R–W:
52. Outline a synthesis of acetylcholine iodide
using dimethylamine, oxirane, iodomethane,
and acetyl chloride as starting materials.
53. Ethanolamine, HOCH2CH2NH2, and diethanolamine,
(HOCH2CH2)2NH, are used commercially to form emulsifying agents
and to absorb acidic gases. Propose syntheses of these two compounds.
Dr.M_T The 3rd Vision Academy 01156281369
XVIII
54. Diethylpropion (shown here) is a compound used in the treatment of
anorexia.
Propose a synthesis of diethylpropion starting with
benzene and using any other needed reagents.
55. Using as starting materials 2-chloropropanoic acid, aniline, and 2-
naphthol, propose a synthesis of naproanilide,
a herbicide used:
56. Propose a mechanism that can explain the occurrence of this
reaction:
57. Which of the following would be soluble in dilute aqueous HCl?
Dr.M_T The 3rd Vision Academy 01156281369
XIX
58. Which would yield propylamine?
59. Select the reagent from the list below that could be the basis of a
simple chemical test that would distinguish between each of the
following:
Dr.M_T The 3rd Vision Academy 01156281369
XX
60. Complete the following syntheses:
61. Select the stronger base from each pair (in aqueous solution):
Dr.M_T The 3rd Vision Academy 01156281369
XXI
62. Spermine is a naturally occurring compound that contributes to
the characteristic odor of semen.
Classify each nitrogen atom in spermine
as primary, secondary, or tertiary.
63. Clomipramine is marketed under
the trade name Anafranil and is used
in the treatment of obsessive compulsive disorder.
(a) Identify which nitrogen atom in clomipramine is
more basic and justify your choice.
(b) Draw the form of clomipramine that is expected
to predominate at physiological pH.
64. Cinchocaine is a long-acting local anesthetic used in spinal
anesthesia.
Identify the most basic nitrogen atom in cinchocaine.
65. For each pair of compounds, identify the stronger base.
66. Consider the structure of lysergic acid diethylamide (LSD), a potent
hallucinogen containing three nitrogen atoms.
One of these three nitrogen atoms is
significantly more basic than the other two.
Identify the most basic nitrogen atom in LSD and explain your choice.
Dr.M_T The 3rd Vision Academy 01156281369
XXII
67. Draw the structure of the major product obtained when aniline is
treated with each of the following reagents:
68. Identify how you would make each of the following compounds from
1-hexanol:
(a) Hexylamine
(b) Heptylamine
(c) Pentylamine
69. Identify how you would make hexylamine from each of the following
compounds:
(a) 1-Bromohexane
(b) 1-Bromopentane
(c) Hexanoic acid
(d) 1-Cyanopentane
70. Lidocaine is one of the most widely used local anesthetics.
Draw the form of lidocaine that is expected to predominate at
physiological pH.
71. Propose a mechanism for the following transformation:
72. When aniline is treated with fuming sulfuric acid, an electrophilic
aromatic substitution reaction takes place at the meta position instead of
the para position, despite the fact that the amino group is an ortho-para
director. Explain this curious result.
Dr.M_T The 3rd Vision Academy 01156281369
XXIII
73. Methadone is a powerful analgesic that is used to suppress
withdrawal symptoms in the rehabilitation of heroin addicts.
Identify the major product that is obtained when methadone
is subjected to a Hofmann elimination.
74. In general, nitrogen atoms are more basic than oxygen atoms.
However, when an amide is treated with a strong acid, such as sulfuric
acid, it is the oxygen atom of the amide that is protonated, rather than the
nitrogen atom. Explain this observation.
75. Propose a synthesis for each of the following transformations:
76. Draw a mechanism for the last step of the Gabriel synthesis,
performed under basic conditions.
77. One variation of the Gabriel synthesis employs hydrazine to free the
amine in the final step of the synthesis. Draw the by-product obtained in
this process.
Dr.M_T The 3rd Vision Academy 01156281369
XXIV
78. Predict the major product for each of the following reactions:
79. Fill in the missing reagents:
80. Benzphetamine is an appetite suppressant that is marketed under the
trade name Didrex and used in the treatment of obesity.
Identify at least two different ways to make benzphetamine via a reductive
amination process.
Dr.M_T The 3rd Vision Academy 01156281369
XXV
81. Draw the product formed when each of the following compounds is
treated with NaNO2 and HCl:
82. Consider the structure of the azo dye called alizarine yellow R
(below).
Show the reagents you would use to prepare
this compound via an azo coupling process.
83. Draw the major product(s) that are expected when each of the
following amines is treated with excess methyl iodide and then heated in
the presence of aqueous silver oxide.
84. Predict the major product(s) for each of the following reactions:
Dr.M_T The 3rd Vision Academy 01156281369
XXVI
85. meta-Bromoaniline was treated with NaNO2 and HCl to yield a
diazonium salt. Draw the product obtained when that diazonium salt is
treated with each of the following reagents:
(a) 𝐻2 𝑂
(b) 𝐻𝐵𝐹4
(c) CuCN
(d) 𝐻3 𝑃𝑂2
(e) CuBr
86. Draw the expected product of the following reductive amination:
87. Starting with benzene and any reagents with three or fewer carbon
atoms, show how you would prepare each of the following compounds:
88. Draw a mechanism for the following transformation:
Dr.M_T The 3rd Vision Academy 01156281369
XXVII
89. When 3-methyl-3-phenyl-1-butanamine is treated with sodium nitrite
and HCl, a mixture of products is obtained.
The following compound was found to be
present in the reaction mixture.
Account for its formation with a complete mechanism (make sure to show
the mechanism of formation for a nitrosonium ion).
90. Nicotine is well known for its addictive characteristic in cigarettes.
Interestingly, it has also been suggested to have potential therapeutic
potential in central nervous system disorders such as Alzheimer’s
disease, Parkinson’s disease, and depression. However, due to the toxic
side effects of nicotine, derivatives are being developed, such as
compound 2, which shows much lower toxicity and exhibits analgesic
(pain-inhibiting) properties, Suggest an efficient synthesis of compound 2
from compound 1.
91. Propose an efficient synthesis for the following transformation:

Problems II

  • 1.
    Dr.M_T The 3rdVision Academy 01156281369 I Aromatic Compound 1. Determine whether each of the following is an aromatic compound: 2. Determine whether each of the following is an aromatic compound: 3. How many electrons does each heteroatom contribute to the π system in each of the following compounds? 4. Name each of the following compounds, in IUPAC system: (a) methylparaben, a food preservative (b) salicylamide, an analgesic
  • 2.
    Dr.M_T The 3rdVision Academy 01156281369 II (c) (d) (e) (f)an antiseptic agent used (g) a disinfectant (h) to treat athlete’s foot (i) (j) resorcinol monoacetate, a germicide used to treat skin conditions 5. The sulfonamide group is found in sulfa drugs. Is it an activating or deactivating group . Will it be ortho, para-directing or meta directing? 6. What product results from the Friedel-Crafts alkylation of benzene using 1-chloro-2-methylpropane and aluminum trichloride? 7. Alkylation of benzene can be accomplished using an alkene such as propene and an acid catalyst. Identify the electrophile and the product.
  • 3.
    Dr.M_T The 3rdVision Academy 01156281369 III 8. Indicate on which ring and at what position bromination of each compound will occur. 9. Indicate on which ring and at what position nitration of each compound will occur. 10. What reagent is required for each of the following reactions? Will an ortho, para mixture of products or the meta isomer predominate? (a) nitration of bromobenzene (b) sulfonation of nitrobenzene (c) bromination of ethylbenzene (d) methylation of anisole (e) bromination of benzoic acid (f) acetylation of isopropylbenzene (g) nitration of acetophenone (h) nitration of phenol 11. Starting with benzene, describe the series of reagents and reactions required to produce each of the following compounds. (a) p-bromonitrobenzene (b) m-bromonitrobenzene (c) p-bromoethylbenzene (d) m-bromoethylbenzene (e) m-bromobenzenesulfonic acid (f) p-bromobenzenesulfonic acid (g) p-nitrotoluene
  • 4.
    Dr.M_T The 3rdVision Academy 01156281369 IV (h) p-nitrobenzoic acid 12. Starting with either benzene or toluene, describe the series of reagents and reactions required to produce each of the following compounds. (a) 3,5-dinitro-l-chlorobenzene (m) (b) 2,4,6-trinitrotoluene (c) 2,6-dibromo-4-nitrotoluene (d) 2,4,6-tribromobenzoic acid (e) 2-bromo-4-nitrotoluene (n) (f) 1-bromo-3,5-dinitrobenzene (g) m-bromophenol (h) m-bromoaniline (i) p-methylphenol (j) m-bromophenol (k) m-bromoaniline (o) (l) p-methylphenol 13. Explain why aromatic hydroxylation of chlorpromazine, an anti- psychotic drug, occurs at the indicated position and in that ring. 14. Why doesn’t aromatic hydroxylation of probenecid, a drug used to treat chronic gout, occur?
  • 5.
    Dr.M_T The 3rdVision Academy 01156281369 V 15. Predict the major products of bromination of the following compounds, using 𝐵𝑟2 and Fe 𝐵𝑟3 in the dark. 16. Predict the major products of the following reactions. (a) 2,4-dinitrochlorobenzene + NaOC 𝐻3 (b) nitrobenzene + fuming sulfuric acid (c) p-methylanisole + acetyl chloride + Al 𝐶𝑙3 (d) p-ethylbenzenesulfonic + steam / 𝐻+ (e) p-ethylbenzenesulfonic acid + HN 𝑂3, 𝐻2 𝑆𝑂4 (f) phenol + tert-butyl chloride + Al 𝐶𝑙3 (g) nitrobenzene + acetyl chloride + AlCl3 17. Predict the product of the following Rx. (a) (b)
  • 6.
    Dr.M_T The 3rdVision Academy 01156281369 VI (c) (d) (e) (f) (g)
  • 7.
    Dr.M_T The 3rdVision Academy 01156281369 VII (h) (i) (j) (k)
  • 8.
    Dr.M_T The 3rdVision Academy 01156281369 VIII 18. The following molecules each contain two rings. Which of the two rings undergoes electrophilic substitution more readily? Draw the major product formed on Nitration Rx. (a) (b) (c) (d) 19. Convert ! (a) (b) (c)
  • 9.
    Dr.M_T The 3rdVision Academy 01156281369 IX 20. Predict the major product/s that would be obtained when each of the following compounds is NITRATED. (a) 4-(trifluromethyl)phenol. (b) 3-cyanobenenesulfonic acid. (c) 3-nitroanisole. (d) 3-Bromophenyl cyanide. (e) 3-Bromobenzophenone. (f) 2-Acetylacetanilide. 21. Write resonance structure for the arenium ions that would result from electrophilic attack on the ortho, meta and para positions of phenol. (a) Can you account for that phenol is highly susceptible to electrophilic attack? (b) Can you account the fact that the hydroxyl grp. is an ortho and para director? 22.Would you expect the phenoxide ion, 𝐶6 𝐻5 to be more or less reactive than phenol in electrophilic substitution? 23. Acetanilide is less reactive toward electrophilic substitution than aniline. How can you explain this on the basis of resonance structure of them? 24. Acetanilide, however is much more reactive than benzene and ortho- para director. Can you account for these facts in term of resonance structure that involve the ring? 25. Would you expect phenyl acetate to be more or less reactive than phenol? 26. What kind of directing influence would you expect the acetoxy grp., 𝐶𝐻3 𝐶𝑂 − 𝑂, to show?
  • 10.
    Dr.M_T The 3rdVision Academy 01156281369 X 27. Would you expect phenyl acetate to be more or less reactive in electrophilic substitution than benzene? Explain. 28. Write resonance structure for arenium ions formed when ethylbenzene undergoes electrophilic attack. 29. Beta blockers, also known as beta-adrenergic blocking agents, are medications that reduce your blood pressure. Beta blockers work by blocking the effects of the hormone epinephrine, also known as adrenaline. *mention the steps by which you can get propranolol that is a good effective beta-blocker. START WITH 1-NAPHTHOL. 30. Write structural formulas for each of the following compounds: (a) Benzylmethylamine (b) Triisopropylamine (c) N-Ethyl-N-methylaniline (d) m-Toluidine (e) 2-Methylpyrrole (f) N-Ethylpiperidine (g) N-Ethylpyridinium bromide (h) 3-Pyridinecarboxylic acid (i) Indole (j) Acetanilide (k) Dimethylaminium chloride (l) 2-Methylimidazole (m) 3-Aminopropan-1-ol (n) Tetrapropylammonium chloride (o) Pyrrolidine
  • 11.
    Dr.M_T The 3rdVision Academy 01156281369 XI (p) N,N-Dimethyl-p-toluidine (q) 4-Methoxyaniline (r) Tetramethylammonium hydroxide (s) p-Aminobenzoic acid (t) N-Methylaniline 31. Give common or systematic names for each of the following compounds: 32. Which is the most basic nitrogen in each compound. Explain your choices.
  • 12.
    Dr.M_T The 3rdVision Academy 01156281369 XII 33. Show how you might prepare benzylamine from each of the following compounds: 34. Show how you might prepare aniline from each of the following compounds: (a) Benzene (b) Bromobenzene (c) Benzamide 35. Show how you might synthesize each of the following compounds from 1-butanol: (a) Butylamine (free of 28 and 38 amines) (b) Pentylamine (c) Propylamine (d) Butylmethylamine 36. Show how you might convert aniline into each of the following compounds. (a) Acetanilide (n) (b) N-Phenylphthalimide (c) p-Nitroaniline (d) Sulfanilamide (e) N,N-Dimethylaniline (f) Fluorobenzene
  • 13.
    Dr.M_T The 3rdVision Academy 01156281369 XIII (g) Chlorobenzene (o) (h) Bromobenzene (i) Iodobenzene (j) Benzonitrile (k) Benzoic acid (l) Phenol (m) Benzene 37. Provide the major organic product from each of the following reactions. 38. What products would you expect to be formed when each of the following amines reacts with aqueous sodium nitrite and hydrochloric acid? (a) Propylamine (b) Dipropylamine (c) N-Propylaniline (d) N,N-Dipropylaniline (e) p-Propylaniline
  • 14.
    Dr.M_T The 3rdVision Academy 01156281369 XIV 39. (a) What products would you expect to be formed when each of the amines in the preceding problem reacts with benzenesulfonyl chloride and excess aqueous potassium hydroxide? (b) What would you observe in each reaction? (c) What would you observe when the resulting solution or mixture is acidified? 40. What product would you expect to obtain from each of the following reactions? 41. Give structures for the products of each of the following reactions:
  • 15.
    Dr.M_T The 3rdVision Academy 01156281369 XV 42. Starting with benzene or toluene, outline a synthesis of each of the following compounds using diazonium salts as intermediates. (a) p-Fluorotoluene (m) (b) o-Iodotoluene (c) p-Cresol (d) m-Dichlorobenzene (e) m-C6H4(CN)2 (n) (f) m-Bromobenzonitrile (g) 1,3-Dibromo-5-nitrobenzene (h) 3,5-Dibromoaniline (i) 3,4,5-Tribromophenol (j) 3,4,5-Tribromobenzonitrile (o) (k) 2,6-Dibromobenzoic acid (l) 1,3-Dibromo-2-iodobenzene 43. Write equations for simple chemical tests that would distinguish between: (a) Benzylamine and benzamide (b) Allylamine and propylamine (c) p-Toluidine and N-methylaniline (d) Cyclohexylamine and piperidine (e) Pyridine and benzene (f) Cyclohexylamine and aniline (g) Triethylamine and diethylamine (h) Tripropylaminium chloride and tetrapropylammonium chloride (i) Tetrapropylammonium chloride and tetrapropylammonium hydroxide 44. Describe with equations how you might separate a mixture of aniline, p-cresol, benzoic acid, and toluene using ordinary laboratory reagents.
  • 16.
    Dr.M_T The 3rdVision Academy 01156281369 XVI 45. Using reactions that we have studied in this chapter, propose a mechanism that accounts for the following reaction: 46. Provide a detailed mechanism for each of the following reactions. 47. Suggest an experiment to test the proposition that the Hofmann reaction is an intramolecular rearrangement—that is, one in which the migrating R group never fully separates from the amide molecule. 48. Show how you might synthesize b-aminopropionic acid from succinic anhydride. (b-Aminopropionic acid is used in the synthesis of pantothenic acid, a precursor of coenzyme A.)
  • 17.
    Dr.M_T The 3rdVision Academy 01156281369 XVII 49. Show how you might synthesize each of the following from the compounds indicated and any other needed reagents: (a) from 1,10-decanediol. (b) Succinylcholine bromide from succinic acid, 2-bromoethanol, and trimethylamine. 50. Acommercial synthesis of folic acid consists of heating the following three compounds with aqueous sodium bicarbonate. Propose reasonable mechanisms for the reactions that lead to folic acid. Hint: The first step involves formation of an imine between the lower right NH2 group of the heterocyclic amine and the ketone. 51. Give structures for compounds R–W: 52. Outline a synthesis of acetylcholine iodide using dimethylamine, oxirane, iodomethane, and acetyl chloride as starting materials. 53. Ethanolamine, HOCH2CH2NH2, and diethanolamine, (HOCH2CH2)2NH, are used commercially to form emulsifying agents and to absorb acidic gases. Propose syntheses of these two compounds.
  • 18.
    Dr.M_T The 3rdVision Academy 01156281369 XVIII 54. Diethylpropion (shown here) is a compound used in the treatment of anorexia. Propose a synthesis of diethylpropion starting with benzene and using any other needed reagents. 55. Using as starting materials 2-chloropropanoic acid, aniline, and 2- naphthol, propose a synthesis of naproanilide, a herbicide used: 56. Propose a mechanism that can explain the occurrence of this reaction: 57. Which of the following would be soluble in dilute aqueous HCl?
  • 19.
    Dr.M_T The 3rdVision Academy 01156281369 XIX 58. Which would yield propylamine? 59. Select the reagent from the list below that could be the basis of a simple chemical test that would distinguish between each of the following:
  • 20.
    Dr.M_T The 3rdVision Academy 01156281369 XX 60. Complete the following syntheses: 61. Select the stronger base from each pair (in aqueous solution):
  • 21.
    Dr.M_T The 3rdVision Academy 01156281369 XXI 62. Spermine is a naturally occurring compound that contributes to the characteristic odor of semen. Classify each nitrogen atom in spermine as primary, secondary, or tertiary. 63. Clomipramine is marketed under the trade name Anafranil and is used in the treatment of obsessive compulsive disorder. (a) Identify which nitrogen atom in clomipramine is more basic and justify your choice. (b) Draw the form of clomipramine that is expected to predominate at physiological pH. 64. Cinchocaine is a long-acting local anesthetic used in spinal anesthesia. Identify the most basic nitrogen atom in cinchocaine. 65. For each pair of compounds, identify the stronger base. 66. Consider the structure of lysergic acid diethylamide (LSD), a potent hallucinogen containing three nitrogen atoms. One of these three nitrogen atoms is significantly more basic than the other two. Identify the most basic nitrogen atom in LSD and explain your choice.
  • 22.
    Dr.M_T The 3rdVision Academy 01156281369 XXII 67. Draw the structure of the major product obtained when aniline is treated with each of the following reagents: 68. Identify how you would make each of the following compounds from 1-hexanol: (a) Hexylamine (b) Heptylamine (c) Pentylamine 69. Identify how you would make hexylamine from each of the following compounds: (a) 1-Bromohexane (b) 1-Bromopentane (c) Hexanoic acid (d) 1-Cyanopentane 70. Lidocaine is one of the most widely used local anesthetics. Draw the form of lidocaine that is expected to predominate at physiological pH. 71. Propose a mechanism for the following transformation: 72. When aniline is treated with fuming sulfuric acid, an electrophilic aromatic substitution reaction takes place at the meta position instead of the para position, despite the fact that the amino group is an ortho-para director. Explain this curious result.
  • 23.
    Dr.M_T The 3rdVision Academy 01156281369 XXIII 73. Methadone is a powerful analgesic that is used to suppress withdrawal symptoms in the rehabilitation of heroin addicts. Identify the major product that is obtained when methadone is subjected to a Hofmann elimination. 74. In general, nitrogen atoms are more basic than oxygen atoms. However, when an amide is treated with a strong acid, such as sulfuric acid, it is the oxygen atom of the amide that is protonated, rather than the nitrogen atom. Explain this observation. 75. Propose a synthesis for each of the following transformations: 76. Draw a mechanism for the last step of the Gabriel synthesis, performed under basic conditions. 77. One variation of the Gabriel synthesis employs hydrazine to free the amine in the final step of the synthesis. Draw the by-product obtained in this process.
  • 24.
    Dr.M_T The 3rdVision Academy 01156281369 XXIV 78. Predict the major product for each of the following reactions: 79. Fill in the missing reagents: 80. Benzphetamine is an appetite suppressant that is marketed under the trade name Didrex and used in the treatment of obesity. Identify at least two different ways to make benzphetamine via a reductive amination process.
  • 25.
    Dr.M_T The 3rdVision Academy 01156281369 XXV 81. Draw the product formed when each of the following compounds is treated with NaNO2 and HCl: 82. Consider the structure of the azo dye called alizarine yellow R (below). Show the reagents you would use to prepare this compound via an azo coupling process. 83. Draw the major product(s) that are expected when each of the following amines is treated with excess methyl iodide and then heated in the presence of aqueous silver oxide. 84. Predict the major product(s) for each of the following reactions:
  • 26.
    Dr.M_T The 3rdVision Academy 01156281369 XXVI 85. meta-Bromoaniline was treated with NaNO2 and HCl to yield a diazonium salt. Draw the product obtained when that diazonium salt is treated with each of the following reagents: (a) 𝐻2 𝑂 (b) 𝐻𝐵𝐹4 (c) CuCN (d) 𝐻3 𝑃𝑂2 (e) CuBr 86. Draw the expected product of the following reductive amination: 87. Starting with benzene and any reagents with three or fewer carbon atoms, show how you would prepare each of the following compounds: 88. Draw a mechanism for the following transformation:
  • 27.
    Dr.M_T The 3rdVision Academy 01156281369 XXVII 89. When 3-methyl-3-phenyl-1-butanamine is treated with sodium nitrite and HCl, a mixture of products is obtained. The following compound was found to be present in the reaction mixture. Account for its formation with a complete mechanism (make sure to show the mechanism of formation for a nitrosonium ion). 90. Nicotine is well known for its addictive characteristic in cigarettes. Interestingly, it has also been suggested to have potential therapeutic potential in central nervous system disorders such as Alzheimer’s disease, Parkinson’s disease, and depression. However, due to the toxic side effects of nicotine, derivatives are being developed, such as compound 2, which shows much lower toxicity and exhibits analgesic (pain-inhibiting) properties, Suggest an efficient synthesis of compound 2 from compound 1. 91. Propose an efficient synthesis for the following transformation: