3.1.2 最小二乗法の幾何学
辻 順平 
@tsujimotter
http://tsujimotter.info
PRML 勉強会 #4 @筑波大学
ハッシュタグ #PRML学ぼう
http://cs-cafe.connpass.com/event/14595/ 
最小二乗法
(x)
( (xn), tn)
N 組の教師データ
y
基底関数の M 次元ベクトル
y(x, w)
線形モデル
2
y(x, w) = w0 +
M 1X
j=1
wj j(x)
1出力
y(x, w) =
M 1X
j=0
wj j(x)
0(x) = 1 とすると,以下のようにまとめられる
線形モデルの定式化
M 個のパラメータ
3
w = (w0, · · · , wM 1)T
(x) = ( 0(x), · · · , M 1(x))T
y(x, w) =
M 1X
j=0
wj j(x) = wT
(x)
ただし,
ベクトルの内積で表す
4
wT	
Φ(x)	
y(x,w)	
y(x, w) =
M 1X
j=0
wj j(x) = wT
(x)
5
wT	
Φ(x1)	
y(xN,w)	
Φ(x2)	
 Φ(xN)	
y(xN,w)	
 y(xN,w)	
・・・	
・・・	
(y(x1, w), y(x2, w), · · · , y(xN , w)) = wT
( (x1), (x2), · · · , (xN ))
TyT
6
w	
ΦT(x1)	
y(xN,w)	
ΦT(x2)	
ΦT(xN)	
y(xN,w)	
y(xN,w)	
T	
	
(y(x1, w), y(x2, w), · · · , y(xN , w))
T
= ( (x1), (x2), · · · , (xN ))
T
w
y
7
= ( (x1), (x2), · · · , (xN ))
T
=
0
B
B
B
@
0(x1) 1(x1) · · · M 1(x1)
0(x2) 1(x2) · · · M 1(x2)
...
...
...
...
0(xN ) 1(xN ) · · · M 1(xN )
1
C
C
C
A
計画行列(design matrix)
8
= ( (x1), (x2), · · · , (xN ))
T
=
0
B
B
B
@
0(x1) 1(x1) · · · M 1(x1)
0(x2) 1(x2) · · · M 1(x2)
...
...
...
...
0(xN ) 1(xN ) · · · M 1(xN )
1
C
C
C
A
= '0, '1, · · · , 'M 1
計画行列(design matrix)
9
M 個のベクトルの線形結合N次元ベクトル
N: データ数
M: 基底関数ベクトルの次元(パラメータ数)
y = w0'0 + w1'1 · · · + wM 1'M 1
y = ('0, '1, · · · , 'M 1)w
10
M 次元 部分線形空間 S
S = w0'0 + w1'1 · · · + wM 1'M 1 | w0, w1, . . . , wM 1 2 R
S は            で張られる線形空間
S = span('0, '1, . . . , 'M 1)
{'0, '1, · · · , 'M 1}
y 2 S定義より,
11
y = w0'0 + w1'1
'0
'1
S
の幾何的解釈y = w
12
ˆw = ( T
) 1 T
t
ˆy = ˆw
           を最小化するような     を
それぞれ    とすると,これらは以下のように書ける。
y, w
ˆy, ˆw
J(w) =
1
2
|t y|2
二乗和誤差関数
・・・(補足★)
13
ˆy = ( T
) 1 T
t
H
より,以下が得られる
ˆy = Ht
  を代入すると,
N 次元ベクトル
M 次元部分空間 S 上のベクトル
ˆw = ( T
) 1 T
t
14
t
H
ˆy = Ht
ˆyy = w0'0 + w1'1
'0
'1
ˆr = t ˆy
の幾何的解釈
S
直交性
N 次元ベクトルを
M 次元部分空間に
射影する変換
15
直交性の証明の方針
以下の2つのベクトルの内積が0であることを示す
• ア
• イ
ˆy = Ht
ˆr = t ˆy = (I H)t
I は単位行列
16
Hat Matrix	
H = ( T
) 1 T
H2
= H1. Idempotency (冪等性):
2. Symmetry (対称性): HT
= H
17
1. 冪等性の証明
H2
= H · H = ( T
) 1 T
· ( T
) 1 T
= ( T
) 1
( T
)( T
) 1 T
= ( T
) 1 T
= H
AA 1
= I
18
2. 対称性の証明
HT
= ( ( T
) 1 T
)T
= ( T
) 1 T
= H
19
直交性の証明
= tT
HT
(I H)t
= tT
H(I H)t
= tT
(H H2
)t
= tT
Ot = 0 (* H2
= H)
(* HT
= H)
ˆyT
ˆr = (Ht)T
(I H)t
20
t
H
ˆy = Ht
ˆyy = w0'0 + w1'1
'0
'1
ˆr = t ˆy
の幾何的解釈
S
直交性
N 次元ベクトルを
M 次元部分空間に
射影する変換
直交するとき
「正射影」という
21
まとめ
•  最小二乗法とは,N 個の教師データと線形モデルとの二乗誤差を最
小化するような M 個のパラメータを見つける手法である
•  最小二乗法は,N 次元ベクトルに対する M 次元線形空間 S 上への
正射影を求める手法である
幾何的な解釈
22
参考文献
•  PRML 第3章「線形回帰モデル」 3.1.2 「最小二乗法の幾何
学」
•  Cedric E. Ginestet, "Hat Matrix: Properties and
Interpretation",
http://math.bu.edu/people/cgineste/classes/ma575/p/
w5_1.pdf
•  PRML 第3章 演習 3.1-3.10
http://fishii.github.io/osaka_prml_reading/ex_03_01-10.html
23
補足
1. 最小二乗法の解法
2. 二次形式
24
1. 最小二乗法の解法
を満たす,       を求めたい
・・・(1)
25	
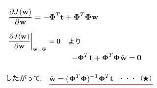
@J(w)
@w
= 0 w = ˆw
J(w) =
1
2
|t w|2
=
1
2
(t w)T
(t w)
=
1
2
⇣
tT
t wT T
t tT
w + wT T
w
⌘
参考:主要な微分公式
26	
@(wT
Aw)
@w
= 2Aw
@
@w
(aT
w) = a
@
@w
(wT
a) = a
より
したがって, ˆw = ( T
) 1 T
t ・・・(★)
@J(w)
@w w= ˆw
= 0
@J(w)
@w
= T
t + T
w
T
t + T
ˆw = 0
T
t = T
ˆw および tT
= ˆwT T
を式(1)に代入すると,
J(w)
が得られる。
・・・(2)
28	
2.二次形式
=
1
2
⇣
tT
t wT T
ˆw ˆwT T
w + wT
t wT T
ˆw ˆwT T
w + wT T
w
⌘
これを平方完成すると,
二次形式
?
29	
J(w) =
1
2
⇣
tT
t ˆwT T
ˆw + ˆwT T
ˆw wT T
ˆw ˆwT T
w +
tT
t ˆwT T
ˆw + ˆwT T
ˆw wT T
ˆw ˆwT T
w + wT T
w
⌘
) J(w) =
1
2
⇣
tT
t ˆwT T
ˆw
⌘
+
1
2
(w ˆw)T T
(w ˆw)
ここで,式(2)に       を代入すると,w = ˆw
が得られるから,結局,
のときの誤差(最小二乗誤差)w = ˆw
Hessian matrix
30	
J( ˆw) =
1
2
⇣
tT
t ˆwT T
ˆw
⌘
J(w) = J( ˆw) +
1
2
(w ˆw)T
( T
)(w ˆw)
二次形式
Hessian	
  Matrix	
上の行列は以下の性質を持つ:
2.正定値性(positive definite): 8x 6= 0, xT
Hx > 0
HT
= H1.対称性(symmetry):
以上から,      は      の極小値をとるJ(w)w = ˆw 31	
H :=
✓
@2
J
@wi@wj
◆
= T
J(w) = const.
w1
w2
ˆw
Hessian の第1主成分
に対する固有ベクトル
Hessian の第2主成分
に対する固有ベクトル
32	
の等高線

「3.1.2最小二乗法の幾何学」PRML勉強会4 @筑波大学 #prml学ぼう