Pigments and colours
By
PRUTHVIRAJ K
PRUTHVIRAJ K, MSc., CHEM MASTER
Food colourants
• Substances which add or restore colour in a food, that
includes natural/synthetic constituents which are
normally not consumed as foods as such (FSSAI, 2011).
Food colours can be classified into three groups; natural
food colourants, which refer to ones that are synthesized
naturally; nature-identical colorants, which although
synthesized in industries, mime the natural ones and
finally the artificial/synthetic colourants
 To restore the original food appearance.
 To intensify colours that are normally found in food and
the consumer will associate this improved colour with food
quality.
 To protect the flavour and light susceptible vitamins.
 To preserve the identity or character by which food is
recognized PRUTHVIRAJ K, MSc., CHEM MASTER
Classification of food colourants
• Synthetic colours: These do not occur in nature and are produced by
chemical synthesis. Seven synthetic colourants, belonging to four distinct
chemical classes, are permitted by the FDA for use in foods and in orally
ingested drugs and cosmetics: FD&C Red No. 40, FD&C Red No. 3, FD&C
Yellow No. 5, FD&C Yellow No. 6, FD&C Blue No. 1, FD&C Blue No. 2 and FD&C
Green No. 3. Citrus Red No. 2 is permitted only for colouring skins of oranges
and Orange B for surfaces of casings of frankfurters and sausages. They share
the common property of water solubility, being conferred by the presence of
one or more sulphonic or carboxylic acid groups (Parkinson and Brown,
1981)
• Nature-identical Colours: These colours are also manufactured by chemical
synthesis, but do not require FDA certification and are considered chemically
and functionally indistinguishable from the same colourant found in nature
• Natural Colours: Natural food colour is any dye, pigment or any other
substance extracted using conventional methods, from vegetable, animal,
mineral or other sources capable of colouring food drug, cosmetics or any part
of the human body; colours come from a variety of sources such as seeds,
fruits, vegetables, algae and insect.
PRUTHVIRAJ K, MSc., CHEM MASTER
PRUTHVIRAJ K, MSc., CHEM MASTER
PRUTHVIRAJ K, MSc., CHEM MASTER
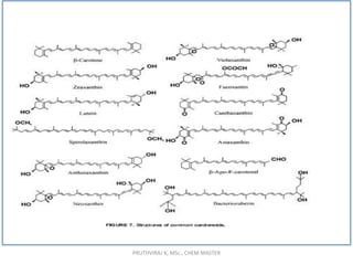
Carotenoids
• Carotenoids are group of phytochemicals responsible
for yellow, orange and red colours of foods and having an
important role in the prevention of human diseases and
maintaining good health. In addition to being potent
antioxidants some carotenoids also contribute to dietary
vitamin A. Although the chemistry of carotenoids has been
studied extensively, their bioavailability, metabolism and
biological functions are only now beginning to be
investigated (Rao and Rao, 2007).
ß-Carotene, ß-apo-8-carotenal and canthaxanthin:
These are the most commercially important of carotenoids.
Beta-Carotene is the isomer of the naturally occurring
carotenoid, carotene. Carotene is the pigment largely
responsible for the colour of butter, cheese, carrots, alfalfa
and cereal grains. The colourant is synthetically extracted
with acetone, which results in the all-trans form. Both the
synthetic and natural sources of ß-carotene are permitted
colour additives (Marmion, 1991)
PRUTHVIRAJ K, MSc., CHEM MASTER
Betalains
Betalains are a group of red and
yellow colour water soluble pigments found in red beet,
cactus fruits and in some flowers. They are stable to pH
range 4-6 but degraded by thermal processing. The
sensitivity of betalains to different factors suggests that
their application as food colourants is limited. Based on
these properties, betalains can be used in foods with a
short shelf-life, produced by a minimum heat treatment, and packaged and
marketed in a dry state under reduced levels of light, oxygen, and humidity
Chlorophyll
Chlorophylls have been the least studied of the food
pigments. Chlorophylls (E 140) are vegetable pigments that
occur naturally in plants and confer colour. Among the five
different chlorophylls that exist, only two (a and b) are used
in the food industry as colourants. Their complex structure
is difficult to stabilize, being this the main drawback of their
use in the industry, which has studied mechanisms of
retaining or replacing the magnesium ion within the
structure. The used commercial colourants of chlorophylls
are extracted from alfalfa, and have been employed in dairy
products, soups, drinks and sugar confections
PRUTHVIRAJ K, MSc., CHEM MASTER
Anthoxanthins
Anthoxanthin is a pigment and is similar to
anthocyanin, but it exists in less oxidized state as the
oxygen on the central group is uncharged. It is actually a
composite of compounds known as flavones, flavonols and
flavanones. Anthoxanthins are white, pale yellowish, water
soluble pigments found in a plant’s cell sap. They contribute
the cream and white colour of cauliflower, onions, white
potatoes and turnips. Short cooking is desired. With
prolonged heat, the pigment turns into a brownish grey colour.
Lycopene
Lycopene is the pigment principally responsible for
the characteristic deep red colour of ripe tomato fruits and
tomato products; it is also found in watermelon, papaya,
pink grapefruit and pink guava. Processed tomato products
are more available dietary sources of lycopene than fresh
tomatoes. Lycopene is a member of the carotenoid family; it
is a natural fat-soluble pigment found in certain plants and
microorganisms, where it serves as an accessory lightgathering pigment and to
protect these organisms against the toxic effects of oxygen and light.
PRUTHVIRAJ K, MSc., CHEM MASTER
PRUTHVIRAJ K, MSc., CHEM MASTER
PRUTHVIRAJ K, MSc., CHEM MASTER
PRUTHVIRAJ K, MSc., CHEM MASTER
PRUTHVIRAJ K, MSc., CHEM MASTER
PRUTHVIRAJ K, MSc., CHEM MASTER

Pigments and colors: Introduction

  • 1.
    Pigments and colours By PRUTHVIRAJK PRUTHVIRAJ K, MSc., CHEM MASTER
  • 2.
    Food colourants • Substanceswhich add or restore colour in a food, that includes natural/synthetic constituents which are normally not consumed as foods as such (FSSAI, 2011). Food colours can be classified into three groups; natural food colourants, which refer to ones that are synthesized naturally; nature-identical colorants, which although synthesized in industries, mime the natural ones and finally the artificial/synthetic colourants  To restore the original food appearance.  To intensify colours that are normally found in food and the consumer will associate this improved colour with food quality.  To protect the flavour and light susceptible vitamins.  To preserve the identity or character by which food is recognized PRUTHVIRAJ K, MSc., CHEM MASTER
  • 3.
    Classification of foodcolourants • Synthetic colours: These do not occur in nature and are produced by chemical synthesis. Seven synthetic colourants, belonging to four distinct chemical classes, are permitted by the FDA for use in foods and in orally ingested drugs and cosmetics: FD&C Red No. 40, FD&C Red No. 3, FD&C Yellow No. 5, FD&C Yellow No. 6, FD&C Blue No. 1, FD&C Blue No. 2 and FD&C Green No. 3. Citrus Red No. 2 is permitted only for colouring skins of oranges and Orange B for surfaces of casings of frankfurters and sausages. They share the common property of water solubility, being conferred by the presence of one or more sulphonic or carboxylic acid groups (Parkinson and Brown, 1981) • Nature-identical Colours: These colours are also manufactured by chemical synthesis, but do not require FDA certification and are considered chemically and functionally indistinguishable from the same colourant found in nature • Natural Colours: Natural food colour is any dye, pigment or any other substance extracted using conventional methods, from vegetable, animal, mineral or other sources capable of colouring food drug, cosmetics or any part of the human body; colours come from a variety of sources such as seeds, fruits, vegetables, algae and insect. PRUTHVIRAJ K, MSc., CHEM MASTER
  • 4.
  • 5.
  • 6.
    Carotenoids • Carotenoids aregroup of phytochemicals responsible for yellow, orange and red colours of foods and having an important role in the prevention of human diseases and maintaining good health. In addition to being potent antioxidants some carotenoids also contribute to dietary vitamin A. Although the chemistry of carotenoids has been studied extensively, their bioavailability, metabolism and biological functions are only now beginning to be investigated (Rao and Rao, 2007). ß-Carotene, ß-apo-8-carotenal and canthaxanthin: These are the most commercially important of carotenoids. Beta-Carotene is the isomer of the naturally occurring carotenoid, carotene. Carotene is the pigment largely responsible for the colour of butter, cheese, carrots, alfalfa and cereal grains. The colourant is synthetically extracted with acetone, which results in the all-trans form. Both the synthetic and natural sources of ß-carotene are permitted colour additives (Marmion, 1991) PRUTHVIRAJ K, MSc., CHEM MASTER
  • 7.
    Betalains Betalains are agroup of red and yellow colour water soluble pigments found in red beet, cactus fruits and in some flowers. They are stable to pH range 4-6 but degraded by thermal processing. The sensitivity of betalains to different factors suggests that their application as food colourants is limited. Based on these properties, betalains can be used in foods with a short shelf-life, produced by a minimum heat treatment, and packaged and marketed in a dry state under reduced levels of light, oxygen, and humidity Chlorophyll Chlorophylls have been the least studied of the food pigments. Chlorophylls (E 140) are vegetable pigments that occur naturally in plants and confer colour. Among the five different chlorophylls that exist, only two (a and b) are used in the food industry as colourants. Their complex structure is difficult to stabilize, being this the main drawback of their use in the industry, which has studied mechanisms of retaining or replacing the magnesium ion within the structure. The used commercial colourants of chlorophylls are extracted from alfalfa, and have been employed in dairy products, soups, drinks and sugar confections PRUTHVIRAJ K, MSc., CHEM MASTER
  • 8.
    Anthoxanthins Anthoxanthin is apigment and is similar to anthocyanin, but it exists in less oxidized state as the oxygen on the central group is uncharged. It is actually a composite of compounds known as flavones, flavonols and flavanones. Anthoxanthins are white, pale yellowish, water soluble pigments found in a plant’s cell sap. They contribute the cream and white colour of cauliflower, onions, white potatoes and turnips. Short cooking is desired. With prolonged heat, the pigment turns into a brownish grey colour. Lycopene Lycopene is the pigment principally responsible for the characteristic deep red colour of ripe tomato fruits and tomato products; it is also found in watermelon, papaya, pink grapefruit and pink guava. Processed tomato products are more available dietary sources of lycopene than fresh tomatoes. Lycopene is a member of the carotenoid family; it is a natural fat-soluble pigment found in certain plants and microorganisms, where it serves as an accessory lightgathering pigment and to protect these organisms against the toxic effects of oxygen and light. PRUTHVIRAJ K, MSc., CHEM MASTER
  • 9.
  • 10.
  • 11.
  • 12.
  • 13.