chapter 1 | The Necessity of Perspective
chapter 1 | The Necessity of Perspective
chapter 2 | Collinearity and Angle
chapter 2 | Collinearity and Angle
chapter 2 | Collinearity and Angle
chapter 2 | Collinearity and Angle
chapter 2 | Collinearity and Angle
chapter 2 | Collinearity and Angle
In a given plane, the perceived length of an object depends on the pair of light rays emanating from the two points of the object in that plane that subtend the greatest angle at the eye. chapter 2 | Collinearity and Angle
chapter 2 | Collinearity and AnglePoints that are collinear with the eye will appear to share the same position, and hence, appear to be the same point.
The apparent dimension of an object does not depend directly on what its actual dimension is, nor at what distance from the eye it is placed. It depends directly on one, and only one thing: the angle subtended by it at the eye. The larger this angle compared to the angles of other objects, the larger it will look compared to them.chapter 2 | Collinearity and Angle
chapter 3 | The Linear and Planar Scales
chapter 3 | The Linear and Planar Scales
chapter 3 | The Linear and Planar Scales
chapter 3 | The Linear and Planar Scales
chapter 3 | The Linear and Planar Scales
chapter 3 | The Linear and Planar Scales
chapter 3 | The Linear and Planar Scales
chapter 3 | The Linear and Planar Scales
chapter 3 | The Linear and Planar Scales
chapter 3 | The Linear and Planar Scales
chapter 3.1 | Size
chapter 3.1 | Size
	There’s a car whose breadth is 2 meters, and you hold a scale about 10 cm from your eye. 	100 m away,	1 m away,10,000 times!chapter 3.1 | Size
chapter 3.1 | Sizel’∝ df
chapter 3.1 | Size
chapter 3.1 | Size5.1 mm, 1 m away
chapter 3.1 | Sizen∆l,  n∆l’
chapter 3.1 | Size
chapter 3.1 | Size
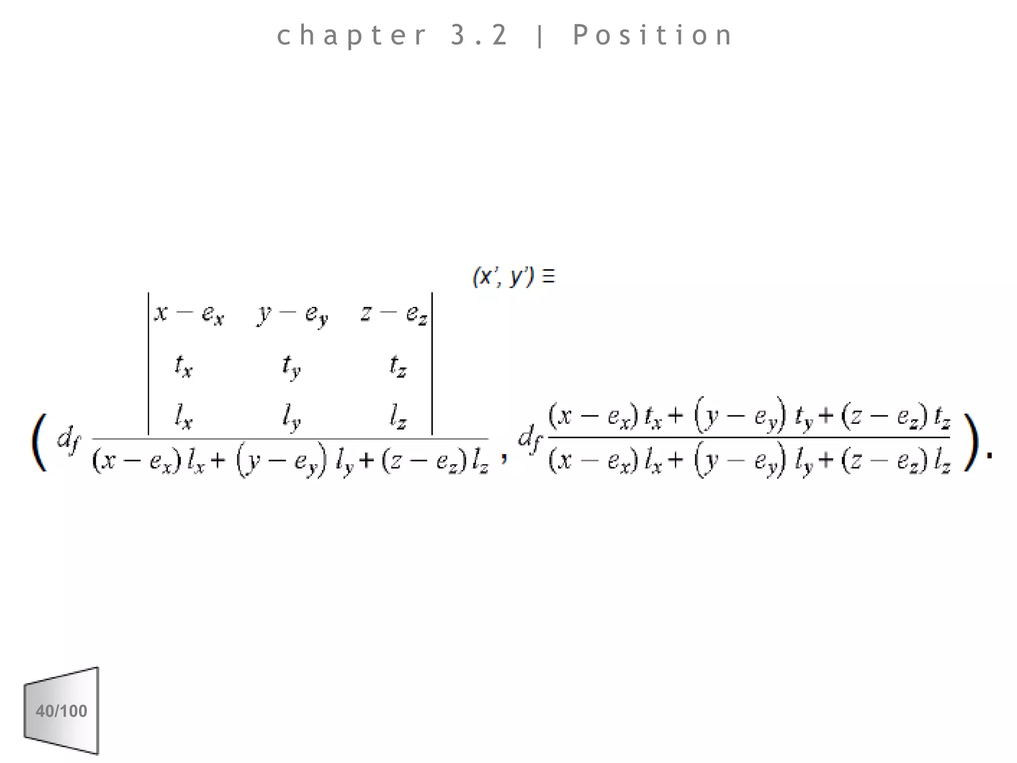
chapter 3.2 | Position
chapter 3.2 | PositionIn ΔOP’N’, tanθ = x’/df⇒x’ =dftanθ.
chapter 3.2 | Position
chapter 3.2 | Position
chapter 3.2 | Positionθ’ = θ.
?chapter 3.2 | Position(r’, θ’)  ≡But the vanishing point is not always at the centre, along our line of sight.
chapter 3.2 | PositionUse this with functions f(x,y,z,t) to project objects at a single go.E = E(t)
chapter 3.2 | Position
chapter 3.2 | Position
chapter 3.3 | MotionFor non-planar displacements, project end-points, then join.
chapter 3.3 | Motion
chapter 3.3 | Motion
chapter 3.3 | Motion
Review of Part 1
Review of Part 1
chapter 3.4.1 | Applications: The CubeA cube of side-length 50cmdx = 20cmdy = 30cmdz = 1mThe reference frame is at a distance df  = 10cm, and graduated in meters.
chapter 3.4.1 | Applications: The Cube
chapter 3.4.1 | Applications: The Cube
?chapter 3.4.1 | Applications: The CubeBut is it correct to just join the projected corners?
chapter 3.4.1 | Applications: The Straight Linex’ {m (ez- z1) – n (ey- y1)} – df m (ex - x1) = y’ {l (ez- z1) – n (ex - x1)} - df l (ey- y1).
chapter 3.4.1 | Applications: The Straight Line,
chapter 3.4.1 | Applications: The Straight Line(x’, y’) ≡ (x’, y’, df)= (x’ n/df, y’ n/df, n) = (l, m, n)
chapter 3.4.1 | Applications: The Straight Line
chapter 3.4.1 | Applications: The Straight Linel1l2+m1m2+n1n2 = l1l3+m1m3+n1n3 = l2l3+m2m3+n2n3 = 0.x1x2 + y1y2 = x1x3 + y1y3 = x2x3 + y2y3 = -df2.
chapter 3.4.1 | Applications: The Straight Linev1 (x1, y1)v2 (x2, y2)v3 (x3, y3)v1.v2 = v1.v3 ⇒ v1.(v2-v3) = 0.
chapter 3.4.1 | Applications: The Straight Linev1v2v3
chapter 3.4.2 | Applications: The Wallz = mx + d, y = ±h.
chapter 3.4.2 | Applications: The Walld = 2mh = 1.5mdf = 10cmθ = 60°
chapter 3.4.3 | Applications: The Staircase20 steps
chapter 3.4.3 | Applications: The Staircase10 steps above eye level7 steps below
chapter 3.4.3 | Applications: The StaircaseTill the 9th step below
chapter 3.4.3 | Applications: The StaircaseThe 10th step
chapter 3.4.3 | Applications: The Staircase
chapter 3.4.4 | Applications: The Circler = R, z= do
chapter 3.4.4 | Applications: The Circlex2 + y2 + (z-d)2 = r2, z = mx + d
chapter 3.4.4 | Applications: The Circle
chapter 3.4.4 | Applications: The Circle
chapter 3.4.5 | Applications: The Spherex2 + y2 + (z-d)2 = r2The perceived size of an object depends on the pairs of light rays emanating from it that subtend the greatest angle at the eye.
chapter 3.4.5 | Applications: The Sphere
chapter 3.4.5 | Applications: The Sphere
P’: (x’, y’)chapter 3.5 | Working Backwards: From Image to Object
chapter 3.5 | Working Backwards: From Image to Objectr’ = R
chapter 3.4.5 | Binocular Vision
?chapter 3.4.5 | Binocular Vision(x, y, z) ≡ But does your brain know this formula?
chapter 3.4.5 | Binocular Vision
chapter 4 | The Circular and Spherical Scales
chapter 4 | The Circular and Spherical Scales
chapter 4.1 | Positionx’ =rfθ
chapter 4.1 | Position
chapter 4.2 | Applications: The Wallz = d, y = ±hBut this graph is WRONG!
chapter 4.2 | Applications: The Wall
chapter 4.2 | Applications: The Wall
chapter 5 | The Cylindrical Scale
chapter 5.1 | Position
chapter 5.2 | Applications: The Wallz = d, y = ±h
chapter 5.2 | Applications: The Wall
chapter 6| The Semicircular and Hemispherical Scales
chapter 6.1 | Position
chapter 6.2 | Applications: The Wallz = d, y = ±h
chapter 6.2 | Applications: The Wall
chapter 7| More on Binocular Vision
chapter 7 | More on Binocular Vision
chapter 7 | More on Binocular Vision
chapter 7 | More on Binocular Vision
chapter 7 | More on Binocular Vision
chapter 7 | More on Binocular Vision
chapter 7 | More on Binocular Vision
chapter 7 | More on Binocular Vision
Microsoft© Word TM and PowerPoint TMMathCastCopyright © 2004-2007 Tom Chakam   www.mathcast.sf.netMathGVGraph  www.padowan.dkMetaCreations Bryce 4Adobe© Photoshop TMCredits

Perspective: the maths of seeing