MODUL
KALKULUS
Disusun
Dairoh, M.Sc
Danar Ardian Pramana, M.Sc
D-IV TEKNIK INFORMATIKA
POLITEKNIK HARAPAN BERSAMA
TEGAL
2014
BAB I
PERTIDAKSAMAAN
1. Definisi Pertidaksamaan
Sebuah Pertidaksamaan adalah pernyataan bahwa dua kuantitas tidak setara
nilainya. Salah satu pernyataan matematika yang mengandung satu peubah atau
lebih yang dihubungkan oleh tanda-tanda ketidaksamaan, yaitu: <, >, ≤, atau ≥.
2. Sifat-sifat pertidaksamaan antara lain:
(i) Jika a > b dan b > c, maka a > c
(ii) (ii) Jika a > b, maka a + c > b + c
(iii) (iii) Jika a > b, maka a - c > b – c
(iv) (iv) Jika a > b dan c adalah bilangan positif, maka ac > bc
(v) (v) Jika a > b dan c adalah bilangan negatif, maka ac < bc
Dengan mengganti tanda > pada sifat-sifat diatas dengan tanda <, maka akan
didapat sifat-sifat yang analog sebagai berikut :
(vi) Jika a < b dan b < c, maka a < c
(vii) Jika a < b, maka a + c < b + c
(viii) Jika a < b, maka a - c < b – c
(ix) Jika a < b dan c adalah bilangan positif, maka ac < bc
(x) Jika a < b dan c adalah bilangan negatif, maka ac > bc
(xi) xi) ac > 0 jika a > 0 dan c > 0 atau jika a < 0 dan c < 0
(xii) (xii) ac < 0 jika a < 0 dan c > 0 atau jika a > 0 dan c < 0
(xiii) (xiii) a/c > 0 jika a > 0 dan c > 0 atau jika a < 0 dan c < 0
(xiv) (xiv) a/c < 0 jika a < 0 dan c > 0 atau jika a > 0 dan c < 0
(xv) (xv) Jika a > b, maka –a < -b
(xvi) (xvi) Jika 1/a < 1/b, maka a > b
(xvii) (xvii) Jika a < b < c, maka b > a dan b < c (bentuk komposit)
(xviii) (xviii) Jika a > b > c, maka b < a atau b > c ( bentuk komposit)
3. Jenis pertidaksamaan
Jenis pertidaksamaan anatara laian :
a. Peridaksamaan linear (PANGKAT SATU)
b. Pertidaksamaan kuadrat
c. Pertidaksamaan bentuk pecahan
d. Pertidaksamaan bentuk nilai mutlak ( modus)
a. Peridaksamaan linear (PANGKAT SATU)
Pertidaksamaan linear adalah pertidaksamaan yang salah satu atau kedua
ruasnya mengandung bentuk linier dalam x.yang vareabelnya berderajat
satu dengan menggunakan tanda hubung “lebih besar dari” atau “kurang
dari”
Sifat-sifatnya :
 Kedua ruas dapat di tambah atau di kurangi dengan bilangan yang sama.
 Kedua ruas dapat dapat dikali atau di bagi dengan bilangan positip yang
sama.
 Kedua ruas dapat di bagi atau di kali dengan bilangan negatip yang sama
maka penyelesaiannya tidak berubah asal saja arah dari tanda
pertidaksamaan di balik
Langkah – langkah menyelesaikan pertidaksamaan linier :
1. Pindahkan semua yang mengandung variabel ke ruas kiri, sedangkan yang
tidak mengandung variabel ke ruas kanan.
2. Kemudian sederhanakan
Perhatikan contoh soal berikut:
1. Contoh 1 Tentukan himpunan penyelesaian dari pertidaksamaan 5x – 5 <
7x + 3 !
Jawab
5x – 5 < 7x + 3
 5x – 7x < 3 + 5
 - 2x < 8
 x > - 4
2. Tentukan nilai x yang memenuhi pertidaksamaan 2(x-3) < 4x+8 ?
Jawab
Penyelesaian
2(x-3) < 4x+8
2x - 6 < 4x+8
2x – 4x< 6+8
-2x < 14
- ++
52
X > -7
b. Pertidaksamaan Kuadrat
Pertidaksamaan kuadrat adalah suatu persamaan yang pangkat tertinggi
dari variabelnya adalah 2.Bentuk umum peridaksamaan kuadrat adalah ax² + bx + c
> 0 dengan a, b, c konstanta; a 0.
Menyelesaikan pertidaksamaan kuadrat anatara lain:
• Jadikan ruas kanan = 0
• Jadikan koefisien x² positif (untuk memudahkan pemfaktoran)
• Uraikan ruas kiri atas faktor-faktor linier.
• Tetapkan nilai-nilai nolnya
• Tetapkan tanda-tanda pada garis bilangan
• Jawaban didapatkan dari hal-hal yang ditanyakan dan terlukiskan pada garis
bilangan
(bila ditanyakan > 0, maka yang dimaksud adalah daerah +,
bila ditanyakan < 0, maka yang dimaksud adalah daerah -).
 Langkah-langkah:
 Tentukan batas-batasnya dengan mengubah ke dalam persamaan
kuadrat
 Buatlah garis bilangan dan masukkan batas yang diperoleh (jika ada)
dengan batas yang kecil di sebelah kiri
 Uji titik pada masing-masing daerah
 Tentukan HP nya
Contoh soal
1. Contoh 1 Tentukan himpunan penyelesaian dari pertidaksamaan 1072
 xx !
Jawab
1072
 xx
 01072
 xx
 ( x – 2 ) ( x – 5 ) < 0
x = 2 atau x = 5 ( pembuat nol )
jadi Hp =  5x2 x
c. Pertidaksamaan bentuk pecahan
pertidaksamaan dalam x yang penyebutnya mengandung variabel x.
Langkah – langkah menyelesaikan pertidaksamaan pecahan :
 Pindahkan semua bilangan keruas kiri, jadikan ruas kanan = 0
(ingat! tidak diperkenankan mengali silang, karena tanda
pertidaksamaan tidak dapat ditentukan berubah/tidak)
 Sederhanakan ruas kiri.
 Ubah bentuk
b
a
menjadi a.b
 Tentukan pembuat nol ruas kiri.
 Tuliskan nilai – nilai tersebut pada garis bilangan.
 Berikan tanda pada setiap interval.
 Samakan penyebutnya sehingga pecahan dapat disederhanakan.
 Selanjutnya, sama seperti penyelesaian pertidaksamaan kuadrat.
Syarat: penyebut pecahan 0
Perhatikan Contoh soal :
1. Tentukan himpunan penyelesaian pertidaksamaan 1
1
72



x
x
!
Jawab
1
1
72



x
x
01
1
72



x
x
-8 1
+ +-
I syarat :
X – 1 0
X  1
II.
   
   018
101
1
8
0
1
8
0
1
172
0
1
1
1
72
22
















xx
xx
x
x
x
x
x
xx
x
x
x
x
X = -8 atau x = 1 ( pembuat nol
)
Jadi Hp =  18  xx
d. Pertidaksamaan Nilai Mutlak
Merupakan pertidaksamaan dimana variabelnya berada di dalam tanda
mutlak. Indikator : Menentukan penyelesaian pertidaksamaan linear yang
memuat nilai mutlak
0xjikax,-
0xjika,



x
x
Cara mencari penyelesaian pertidaksamaan nilai mutlak adalah dengan
menggunakan sifat berikut ini :
 axa-  ax
 aatau xa-x  ax
 22
yx  yx
Perhatikan contoh berikut:
Contoh 1 Tentukan himpunan penyelesaian dari pertidaksamaan 523 x !
Jawab
523 x
3x + 2 < - 5 atau 3x + 2 > 5
3x < - 7 3x > 3
x < -7/3 x > 1
Latihan Soal.
1. Tentukan himpunan penyelesaian dari pertidaksamaan 3 + 6x > 3x – 9?
2. Tentukan himpunan penyelesaian dari pertidaksamaan 3(2 - 3x) > -5x +
8 !
3. Tentukan himpunan penyelesaian dari pertidaksamaan 032 2
 xx !
4. himpunan penyelesaian dari pertidaksamaan ( x + 5 ) x  2 ( x2
+2 ) !
5. Tentukan himpunan penyelesaian pertidaksamaan 0
78
3
2



xx
x
!
6. Tentukan himpunan penyelesaian dari pertidaksamaan 212  xx !
BAB II
FUNGSI KOMPOSISI DAN FUNGSI INVERS
1. Konsep fungsi
Fungsi atau Pemetaan merupakan Relasi dari himpunan A ke
himpunan B disebut fungsi atau pemetaan, jika dan hanya jika tiap unsur
dalam himpunan A berpasangan tepat hanya dengan sebuah unsur dalam
himpunan B.f adalah suatu fungsi dari himpunan A ke himpunan B, maka
fungsi f dilambangkan dengan f : A  B
Operasi dalam Fungsi :
 Penjumlahan : (f+g)(x) = f(x) + g(x)
 Pengurangan : (f-g)(x) = f(x) – g(x)
 Perkalian : (f.g)(x) = f(x) . g(x)
 Pembagian : (f/g)(x) = f(x) / g(x)
jika x A dan y  B, sehingga (x,y)  f, maka
y disebut peta atau bayangan dari x oleh fungsi
f dinyatakan dengan lambang y : f (x)
(ditunjukkan dalam gambar disamping)
A B
y = f (x) : rumus untuk fungsi f
x disebut variabel bebas
y disebut variabel tak bebas
Contoh :
Diketahi f : A  B dan dinyatakan oleh rumus f (x) = 2x – 1.
Jika daerah asal A ditetapkan A : {x | 0  x  4. x  R}
Jika daerah asal A ditetapkan A : {x | 0  x  4. x  R}
a. Tentukan f (0), f (1), f (2), f (3) dan f (4).
b. Gambarkan grafik fungsi y : f (x) = 2x – 1 dalam bidang kartesius.
c. Tentukan daerah hasil dari fungsi f.
Jawab :
a. f (x) = 2x – 1, maka :
f (0) = -1
f (1) = 1
f (2) = 3
f (3) = 5
f (4) = 7
f : x  y = f (x)







y = f(x)
b. Grafik fungsi y : f (x) = 2x – 1
8 y = f (x) = 2x – 1
7
5
3
1
1 2 3 4 5
-1 Daerah
asal
c. Daerah hasil fungsi f Rf = {y | -1  y  7, y  R}
Jika daerah asal dari suatu fungsi f tidak atau belum ditentukan, maka dapat
diambil daerah asalnya himpunan dari semua bilangan real yang mungkin,
sehingga daerah hasilnya merupakan bilangan real. Daerah asal yang
ditentukan dengan cara seperti itu disebut daerah asal alami (natural
domain).
Contoh :
Tentukan daerah asal alami dari fungsi berikut :
1. f (x) =
1x
4

Jawab :
f (x) =
1x
4

, supaya f (x) bernilai real maka x + 1  0 atau x  -1
Jadi Df : {x | x  R, dan x  -1}
2. Pengertian fungsi komposisi
Merupakan penggabungan operasi dua fungsi secara berurutan sehingga
menghasilkan sebuah fungsi baru.Penggabungan tersebut disebut komposisi
fungsi dan hasilnya disebut fungsi komposisi Operasi komposisi
dilambangkan dengan o (dibaca : komposisi atau bundaran).
Misalkan: f : A  B dan g : B  C
 Notasi : (f o g)(a) = f(g(a))  fungsi yang memetakan nilai dari g(a) ke f
Contoh
1. Diketahui
f : R  R ; f(x) = 2x² +1, g : R  R ; g(x) = x + 3
(f o g)(x) = f(g(x)) =f(x+3) = 2(x+3)²+1 = 2(x² + 6x + 9) + 1 = 2x²+12x+19
Jawab:
(g o f)(x) = g(f(x)) = g(2x²+1) = 2x² + 1 + 3 = 2x² + 4
(f o g)(1) = f(g(1)) = f(4) = 2. (4)² +1 = 2.16 + 1 = 33
(g o f)(1) = g(f(1)) = g(3) = 3 + 3 = 6
3. Sifat-sifat Komposisi Fungsi
Jika f : A  B ; g : B  C ; h : C  D, maka berlaku:
i. (fog)(x) ≠ (g o f)(x) (tidak komutatif)
ii. ((fog)oh)(x) = (fo(goh))(x) (sifat asosiatif)
iii. (foI)(x) = (Iof)(x) = f(x) (elemen identitas)
perhatikan contoh soal :
1. Diketahui sebuah f(x) = 2x + 1, g(x) = 3 – x, dan h(x) = x2
+ 2, I(x) = x
Maka nilai
x g(x)
f(g(x)
)
A B C
g(x f(g(x)
(f o g)(x) = f(g(x)) = f(3-x) = 2(3-x) + 1 = 6 – 2x + 1 = 7 – 2x
(g o f)(x) = g(f(x)) = g(2x+1) = 3 – (2x+1) = 3 – 2x – 1 = 2 – 2x
(g o h)(x) = g(h(x)) = g(x2
+ 2) = 3 – (x2
+ 2) = 1 - x2
Dari hasil di atas tampak bahwa (fog)(x) ≠ (g o f)(x)
Kemudian nilai
((fog)oh)(x) = (fog)(h(x))= (fog)( x2
+ 2)= 7 – 2(x2
+ 2) = 3 - 2x2
(fo(goh))(x)=f((goh)(x))= f(1 - x2
)= 2(1 - x2
) + 1 = 2 – 2 x2
+ 1 = 3 – 2 x2
Dari hasil di atas tampak bahwa ((fog)oh)(x) = (fo(goh))(x)
Begitu juga
(foI)(x) = f(I(x)) = f(x) = 2x + 1
(Iof)(x) = I(f(x)) = I(2x+1) = 2x + 1
Dari hasil di atas tampak bahwa (foI)(x) = (Iof)(x) = f(x)
4. Konsep Fungsi Invers
 Definisi
Jika fungsi f : A  B dinyatakan dengan pasangan terurut f:{(a,b)laAdan
bB}, maka invers dari fungsi f adalah f-1
: B  A ditentukan oleh: f-1
:{(b,a)lbB
dan aA}.
Jika f : A  B, maka f mempunyai fungsi invers f-1
:B  A jika dan hanya jika
f adalah fungsi bijektif atau korespondensi 1-1.
Jika f : y = f(x)  f -1
: x = f(y)
Maka (f o f -1
)(x) = (f-1
o f)(x) = I(x) (fungsi identitas)
 Rumus Cepat Menentukan Fungsi Invers
i. f(x) = ax + b; a ≠ 0  f -1
(x) =
a
bx 
; a ≠ 0
ii. f(x) =
dcx
bax


; x ≠ -
c
d
 f -1
(x) =
acx
bdx


; x ≠
c
a
iii. f(x) = acx
; a > 0  f -1
(x) = a
log x1/c
=
c
1 a
log x ; c ≠ 0
iv. f(x) = a
log cx ; a > 0; cx > 0  f -1
(x) =
c
ax
; c ≠ 0
v. f(x) = ax²+bx+c; a≠0  f -1
(x)=
2a
x)4a(cbb 2

ingat :
Fungsi kuadrat secara umum tidak mempunyai invers, tetapi dapat mempunyai
invers jika domainnya dibatasi.
Contoh
1. Diketahui f: R  R dengan f(x) = 2x - 5. Tentukan f -1
(x)!
Cara 1:
y = 2x - 5 (yang berarti x = f -1
(y))
2x = y + 5
x =
2
y 5
f -1
(x) =
2
x 5
Cara 2:
f(x) = ax + b  f -1
(x) =
a
bx 
f(x) = 2x – 5  f -1
(x) =
2
x 5
Contoh
2. Diketahui Tentukan )x(f 1
!
Cara 1:
y(x - 4) = 2x + 1
yx – 4y = 2x + 1
yx – 2x = 4y + 1
x(y – 2) = 4y + 1
x =
2-y
14y 
f-1
(x) =
  4x,Rx,
4x
1x2
xf 



4x
1x2
y



2-x
14x 
Cara 2:
f(x) =
dcx
bax


 f -1
(x) =
acx
bdx


 
4x
1x2
xf


  f -1
(x) =
2-x
14x 
5. Aplikasi fungsi komposisi
 Menentukan Fungsi Jika Fungsi Komposisi dan Sebuah Fungsi Lain
Diketahui
Misalkan fungsi komposisi (f o g)(x) atau (g o f)(x) diketahui dan sebuah fungsi
f(x) juga diketahui, maka kita bisa menentukan fungsi g(x). Demikian pula jika fungsi
komposisi (f o g)(x) atau (g o f)(x) diketahui dan sebuah fungsi g(x) juga diketahui,
maka kita bisa menentukan fungsi f(x).
Contoh :
1. Diketahui g(x) = 3 – 2x dan (g o f)(x) = 2x2
+ 2x – 12, tentukan rumus fungsi
f(x)!
Cara 1:
(g o f)(x) = 2x2
+ 2x – 12
g(f(x)) = 2x2
+ 2x – 12
3 – 2f(x) = 2x2
+ 2x – 12
-2f(x) = 2x2
+ 2x – 15
f(x) = -x2
– x + 7,5
Cara 2:
g(x) = 3 – 2x  g -1
(x) =
2
3 x
f(x) = [g -1
o (g o f)](x)
f(x) = 5,7
2
1522
2
)1222(3 2
22




xx
xxxx
Latihan Soal:
1. Diketahui f(x) = 2x + 5 dan g(x) = 4,
4
1



x
x
x
, maka (fg)(x)?
2. Diketahui fungsi-fungsi f : R  R didefinisikan dengan f(x) = 3x – 5, g : R  R
didefinisikan dengan g(x) = 2,
2
1



x
x
x . Hasil dari fungsi (fg)(x)?
3. Fungsi f dan g adalah pemetaan dari R ke R yang dirumuskan oleh f(x) = 3x + 5
dan g(x) = 1,
1
2


x
x
x
. Rumus (gf)(x)?
4. Diketahuif : R  R didefinisikan dengan f(x) = 3x – 5, g : R  R didefinisikan
dengan 2,
2
1
)( 


 x
x
x
xg . Hasil dari fungsi (gof)(x)?
5. Jika f(x) = 1x  dan (fg)(x) = 2 1x  , maka fungsi g adalah g(x)?
6. Diketahui fungsi f(x) = 3,
3
1



x
x
x , dan g(x) = x2
+ x + 1. Nilai komposisi fungsi (g
 f)(2) adalah
7. Suatu pemetaan f : R  R, g : R  R dengan (q  f)(x) = 2x2
+ 4x + 5 dan g(x) =
2x + 3, maka f(x)?
8. Fungsi f : R  R didefinisikan dengan f(x) =
2
1
,
12
23



x
x
x . Invers dari f(x) adalah f
– 1
(x)
BAB III
FUNGSI LIMIT
1. Pengertian limit
Istilah limit dalam matematika hampir sama artinya dengan istilah mendekati.
Akibatnya, nilai limit sering dikatakan sebagai nilai pendekatan. Sehingga Limit
fungsi f (x) adalah suatu nilai fungsi yang diperoleh melalui proses
pendekatan atau dengan variabel x, baik dari arah x yang lebih kecil,
maupun dari arah x yang lebih besar.
Secara umum : bila limit f (x) adalah L, untuk x mendekati a , maka limit f (x)
ditulis
Lxf
ax


)(lim dengan x  a dibaca x mendekati a
 Pengertian limit secara intuitif
Untuk memahami pengertian limit secara intuitif, perhatikan contoh berikut:
- Diketahui fungsi f(x) = 2x + 1, untuk x bilangan real. Berapakah nilai f(x) jika x
mendekati 2?
Penyelesaian
Untuk menentukan nilai f(x) jika x mendekati 2, kita pilih nilai-nilai x
disekitar 2 (baik dari kiri maupn dari kanan). Kemudian, kita tentukan nilai f(x)
seperti terlihat pada tabel berikut:
X 1.
8
1.9 1.95 1.96 1.97 1.98 1.99 2 2.01 2.02 2.03
f(x) 4.
6
4.8 4.9 4.92 4.94 4.96 4.98 5 5.02 5.4 5.06
Dari tabel di atas, tampak bahwa jika x mendekati 2 dari kiri, f(x) mendekati 5
dari kiri, sedangkan jika x mendekati 2 dari kanan, f(x) mendekati 5 dari kanan.
Teorema Limit
Misal n bilangan bulat positip, k bilangan real, )(xf dan )(xg adalah fungsi-
fungsi yang memiliki limit di titik cx  , maka:
1. kk
cx


lim
2. cx
cx


lim
3. )(lim)(lim xfkxfk
cxcx 

4. )(lim)(lim))()((lim xgxfxgxf
cxcxcx 

5. )(lim)(lim))()((lim xgxfxgxf
cxcxcx 

6. )(lim)(lim))()((lim xgxfxgxf
axcxcx 

7. 0)(lim,
)(lim
)(lim
)(
)(
lim 




xgasalkan
xg
xf
xg
xf
cx
cx
cx
cx
8.  n
cx
n
cx
xfxf )(lim))((lim


9. n
cx
n
cx
xfxf )(lim)(lim


Teorema di atas, dapat diaplikasikan dalam banyak hal pada penyelesaian soal-soal
tentang limit.
Contoh:
1. 2
2
2
2
lim33lim xx
xx 

 2
2
lim3 x
x

= 3(2) 2
= 12
2.
2
2
2 lim
)3(lim3
lim






x
x
x
x
x
x
x
x
x
xx
2
22
lim
3limlim




2
32 

2
1

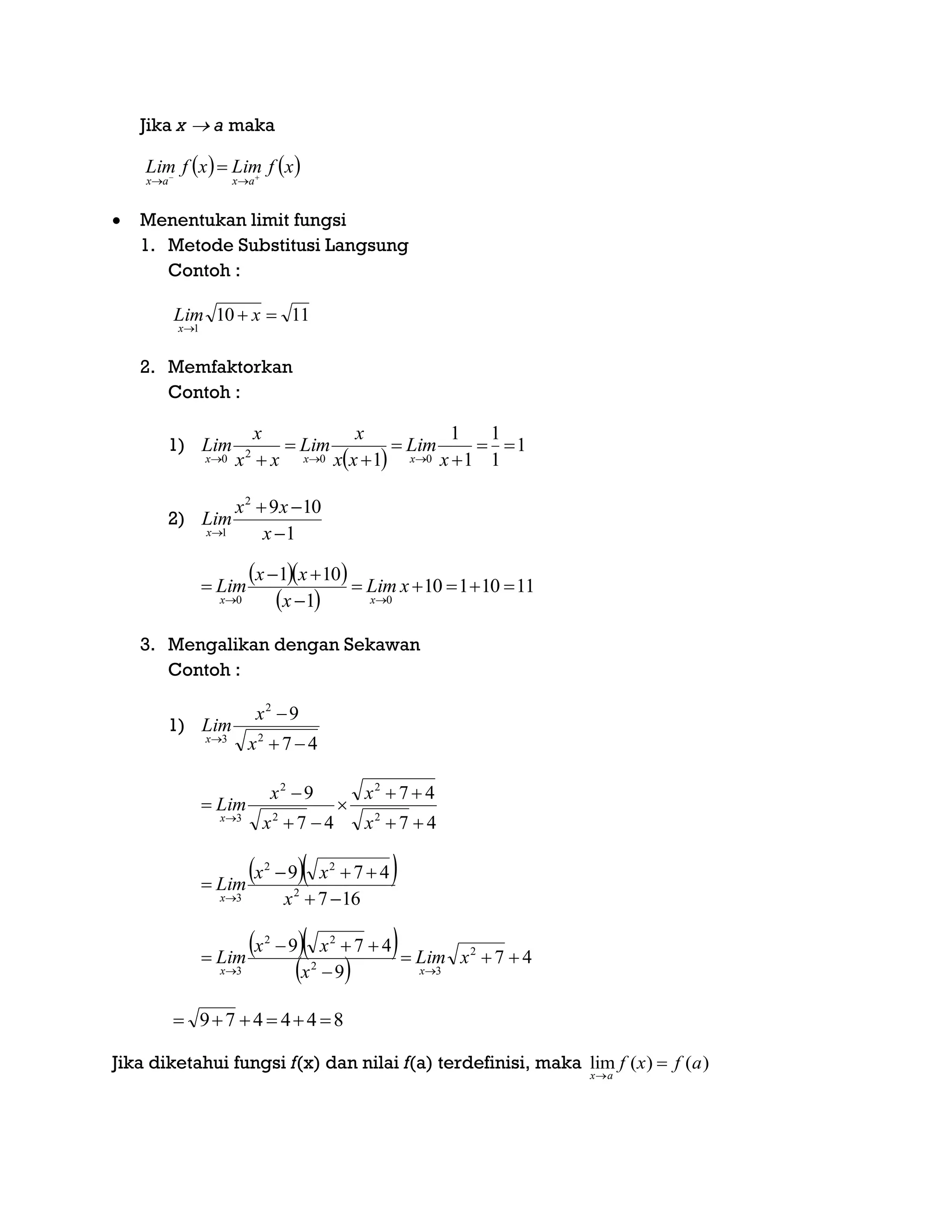
2. Limit fungsi Aljabar
Suatu fungsi f(x) didefinisikan untuk x mendekati a, maka :
  LxfLim 
Jika x  a maka
 Menentukan limit fungsi
1. Metode Substitusi Langsung
Contoh :
2. Memfaktorkan
Contoh :
1)
2)
3. Mengalikan dengan Sekawan
Contoh :
1)
Jika diketahui fungsi f(x) dan nilai f(a) terdefinisi, maka lim ( ) ( )
x a
f x f a


   xfLimxfLim
axax 


1110
1


xLim
x
 
1
1
1
1
1
1 0020





  x
Lim
xx
x
Lim
xx
x
Lim
xxx
1
1092
1 

 x
xx
Lim
x
  
 
1110110
1
101
00





xLim
x
xx
Lim
xx
47
9
2
2
3



x
x
Lim
x
47
47
47
9
2
2
2
2
3







x
x
x
x
Lim
x
  
167
479
2
22
3 


 x
xx
Lim
x
  
  47
9
479 2
32
22
3





xLim
x
xx
Lim
xx
844479 
Contoh : 1. lim( ) ( ( ))
x
x x

     
3
2 2
2 3 2 3 9 6 15
2. 0
7)0(5
00
75
lim
22
0






 x
xx
x
Berikut ini akan dibahas limit limit fungsi Aljabar bentuk tak tentu yaitu :




1,,,
0
0
.
Limit Bentuk 





0
0
Limit ini dapat diselesaikan dengan memfaktorkan pembilang dan penyebutnya,
kemudian “mencoret” faktor yang sama, lalu substitusikan nilai x = a.
)(
)(
)(
)(
lim
)()(
)()(
lim
)(
)(
lim
aQ
aP
xQ
xP
xQax
xPax
xg
xf
axaxax





Catatan :
1. Karena ax  , maka 0)(  ax sehingga pembilang dan penyebut boleh dibagi
dengan )( ax 
2. Nilai limitnya ada jika dan hanya jika : 0)( aQ
3. Jika pembilang atau penyebutnya memuat bentuk akar, maka sebelum difaktorkan
dikalikan dulu dengan bentuk sekawannya.
Contoh :
1.
6
1
33
23
3
2
lim
)3)(3(
)2)(3(
lim
9
65
lim
332
2
3












 x
x
xx
xx
x
xx
xxx
2.
2
5
2)0(40
500
24
5
lim
)24(
)5(
lim
24
5
lim 2
2
2
2
02
2
023
23
0












 xx
xx
xxx
xxx
xxx
xxx
xxx
Limit Bentuk 







Limit ini dapat diselesaikan dengan membagi pembilang dan penyebut dengan
variabel berpangkat tertinggi, selanjutnya menggunakan 0lim 
 x
a
x
.
Contoh :
2. 0
202
000
41
2
376
lim
42
376
lim
42
376
lim
2
32
4
2
4
3
4
4
44
2
4
3
234
23













xx
xxx
x
x
x
x
x
x
x
x
x
x
x
x
xxx
xxx
xxx
Kesimpulan:
Jika f x a x a x an n
n( ) .....   
0 1
1
dan g x b x b x bm m
m( ) .....   
0 1
1
maka:
1. mnuntuk
b
a
xg
xf
x


,
)(
)(
lim
0
0
2. mnuntuk
xg
xf
x


,0
)(
)(
lim
3. mnuntukatau
xg
xf
x


,
)(
)(
lim
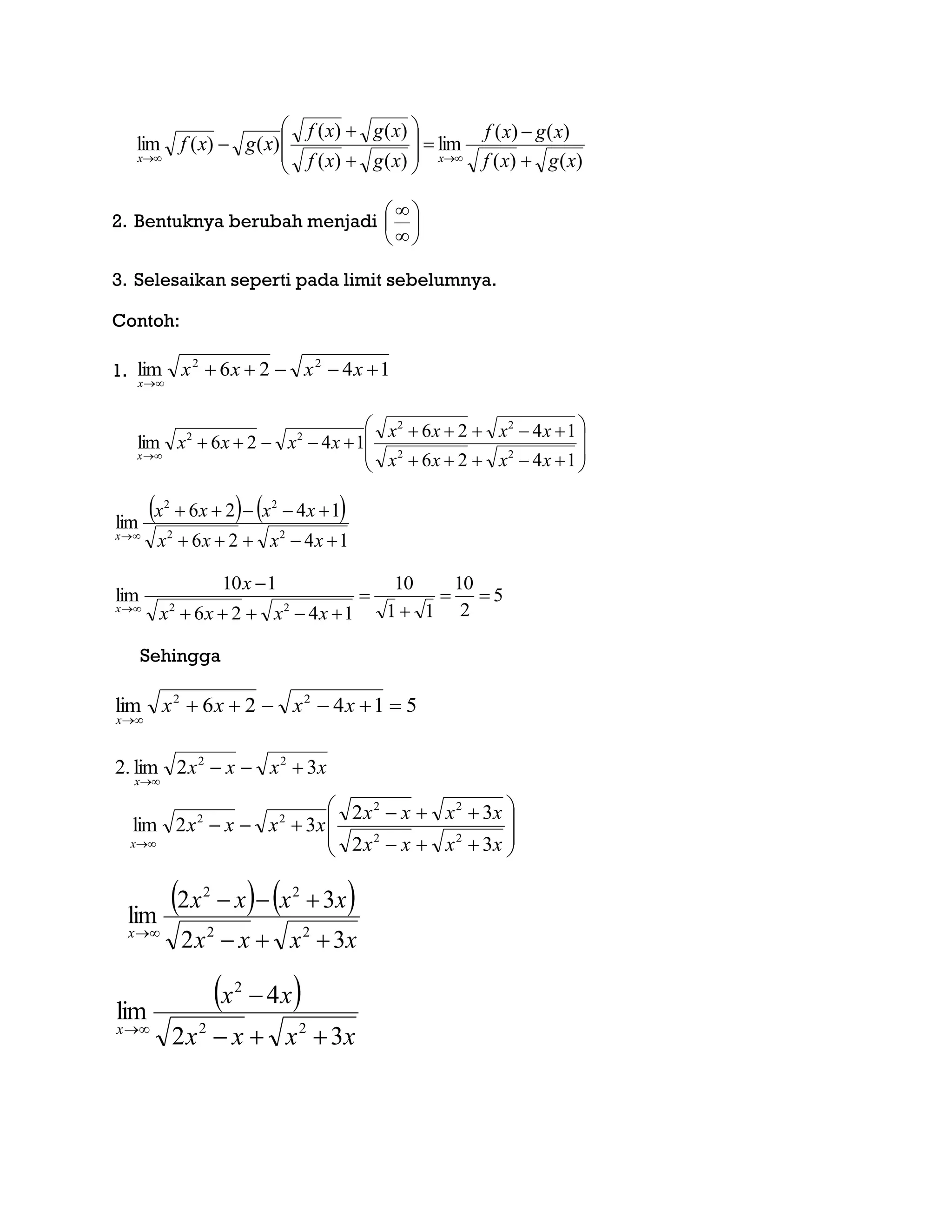
Limit Bentuk  
Limit ini umumnya memuat bentuk akar:
 )()(lim xgxf
x


Cara Penyelesaian :
1. Kalikan dengan bentuk sekawannya !
)()(
)()(
lim
)()(
)()(
)()(lim
xgxf
xgxf
xgxf
xgxf
xgxf
xx 













2. Bentuknya berubah menjadi 







3. Selesaikan seperti pada limit sebelumnya.
Contoh:
1. 1426lim 22


xxxx
x












1426
1426
1426lim 22
22
22
xxxx
xxxx
xxxx
x
   
1426
1426
lim 22
22



xxxx
xxxx
x
5
2
10
11
10
1426
110
lim
22






xxxx
x
x
Sehingga
51426lim 22


xxxx
x














xxxx
xxxx
xxxx
xxxx
x
x
32
32
32lim
32lim.2
22
22
22
22
   
xxxx
xxxx
x
32
32
lim
22
22



 
xxxx
xx
x
32
4
lim
22
2



  



x
x
x
x
xx
x 3
1
1
2
4
lim
Secara umum:


rqxpxcbxax
x
22
lim
1) pajika
a
qb


,
2
2) pajika ,
3) pajika  ,
Sebagai latihan bagi pembaca, buktikan soal-soal berikut:
1)
2
1
4
2
42
)5(3
254134lim 22




xxxx
x
2) 

83174lim 22
xxxx
x
3) 

745324lim 22
xxxx
x
3. Limit fungsi Trigonometri
a. Fungsi Trigonometri
Gambar 3.1 segitiga siku-siku
x
ry
C
B A

y
Pada gambar 3.1 di atas, ABC adalah segitiga yang salah satu sudutnya 
dan siku-siku pada  CBA. Misal AB = x, BC = y dan AC = r , berdasarkan segitiga
ABC yaitu:
BC
AC
AB
AC
BC
AB
AB
BC
AC
AB
AC
BC
,,,,
Karena A =  maka perbandingan tersebut dinyatakan dengan:
1. sin
r
y
AC
BC
2. cos
r
x
AC
AB
3. 


tan
cos
sin
/
/

ACAB
ACBC
x
y
AB
BC
4. cot
sin
cos
/
/

x
x
ACBC
ACAB
y
x
BC
AB
5. 

sec
cos
1
/
1
/
1

rxACABAB
AC
6. 

csc
sin
1
/
1
/
1

y
r
ryACBCBC
AC
Karena ABC salah satu sudutnya siku-siku, sehingga menurut teorema Pythagoras
berlaku:
222
ACBCAB 
222
ryx 
Selanjutnya secara berurutan persamaan 222
ryx  dibagi 222
,, ryx diperoleh
persamaan baru
1. 2
2
2
2
2
2
r
r
r
y
r
x

   
)1(1sincos
1sincos
1
22
22
22

















r
y
r
x
2. 2
2
2
2
2
2
x
r
x
y
x
x

 
)2(sectan1
)(sectan1
1
22
22
22

















x
r
x
y
3. 2
2
2
2
2
2
y
r
y
y
y
x

 
)3(csc1cot
)(csc1cot
1
22
22
2
2
2

















y
r
y
x
Persamaan (1), (2), dan (3) dinamakan rumus-rumus identitas.
Beberapa rumus fungsi trigonometri yang lain adalah:
1.  sin)sin( 
2.  cos)cos( 
3.  tan)tan( 
4. 




 





 

2
cos
2
sin2sinsin


5. 




 





 

2
cos
2
cos2coscos


6.  cossin22sin 
7.  2222
sin211cos2sincos2cos 
8.  )cos(cos(
2
1
sinsin  
9.  )cos()cos(
2
1
coscos  
10.  )sin()sin(
2
1
cossin  
11.
2
cos1
2
sin
xx 






Limit fungsi Trigonometri
Dengan menggunakan teorema prinsip apit dan rumus geometri kita
dapatkan teorema dasar dari limit fungsi trigonometri sebagai berikut.
Teorema 1
1
sin
lim
0

 x
x
x
Dalam membuktikan teorema di atas kita dapatkan suatu akibat yaitu
1coslim
0


x
x
Dengan menggunakan teorema dasar limit fungsi trigonometri dapat dibuktikan
teorema-teorema berikut:
Teorema 2
1) 1
sin
lim
0

 x
x
x
2) 1
tan
lim
0

 x
x
x
3) 1
tan
lim
0

 x
x
x
4) 1
sin
lim
0

 x
xarc
x
5) 1
sin
lim
0

 xarc
x
x
6) 1
tan
lim
0

 x
xarc
x
7) 1
tan
lim
0

 xarc
x
x
Bentuk-bentuk di atas dinamakan dengan limit fungsi trigonometri. Dengan
berpandu pada teorema limit dan bentuk tak tentu. Maka persoalan tentang limit
fungsi trigonometri dapat diselesaikan
Untuk keperluan praktis teorema tersebut dapat dikembangkan menjadi:
b
a
bx
ax
bx
ax
xx

 sin
lim
sin
lim
00
b
a
bx
ax
bx
ax
xx

 tan
lim
tan
lim
00
b
a
bx
ax
bx
ax
xx

 sin
tan
lim
tan
sin
lim
00
Seperti pada fungsi aljabar, maka pada fungsi trigonometri juga berlaku bahwa jika
f(a) terdefinisi, maka: lim ( ) ( )
x a
f x f a


Contoh :
1.   1100cos0sincos2sinlim
0


xx
x
Berikut ini akan dibahas limit Fungsi Trigonometri bentuk tak tentu yaitu :




1,,,
0
0
Limit Bentuk 





0
0
1.
3
2sin
lim
3
2
sin3
sinsin2
lim
sin3
sin2
lim
sin3
)sin21(1
lim
sin3
2cos1
lim
0
2
0
2
00




 x
x
xx
xx
xx
x
xx
x
xx
x
oxxxxx
Soal-soal Latihan
1.
14194
6116
lim 23
23
1 

 xxx
xxx
x
2. 235
345
826
72
lim
xxx
xxx
x 


3. 2512
7810
12
32
lim
xxx
xxx
x 


4. 346
47
72
263
lim
xxx
xx
x 


5.
1
2
lim 2
2
1 

 x
xx
x
BAB IV
TURUNAN DAN APLIKASINYA
1. Konsep turunan
 Laju Perubahan Nilai Fungsi axpadaxf  )(y
f(a+h) Q
f(a+h)-f(a)
f(a) P
a a+h
h
Perhatikan grafik fungsi y=f(x) pada interval haya  dan nilai fungsi berubah
dari
)()( hafyaf  . Koordinat ))(,( afaP dan ))(,( hafhaQ  dapat disimpulkan
bahwa:
Perubahan rata-rata nilai fungsi f terhadap x dalam interval haxa  dapat
diperoleh dari:
h
afhaf
aha
afhaf )()()()( 



Nama
h
afhaf
h
)()(
lim
0


disebut laju perubahan nilai fungsi f(x) pada ax  . Nilai
limit tersebut dilambangkan )(1
xf 
dan disebut turunan fungsi f(x) terhadap x
untuk ax 
Kesimpulan:
Contoh 1:
Diketahui ,23)( 2
xxxf  Tentukan )(1
xf 
Jawab: )(2)(3)( 2
hxhxhxf 
hxhxhxhxf 22363)( 22

xxxf 23)( 2

)236(lim
)236(
lim
)()(
lim)(
)236(
236)()(
0
0
0
1
2











hx
h
hxh
h
afhaf
xf
hxh
hhxhxfhxf
h
h
h
2. Notasi Turunan dan Rumus Dasar Turunan
Turunan dari sebuah fungsi f dengan variabel x atau f(x) adalah fungsi lain
yang dinotasikan dengan f 1
(x). Jika kita menuliskan y = f(x),
dx
dy
adalah koefisien
turunan (diferensial) untuk fungsi f(x). Atau turunan dari fungsi f dapat juga
dinyatakan dengan menggunakan operator D dengan menuliskan D[f(x)] = f 1
(x).
Dapat di tuliskan notasi turunan sebagai berikut:
Dimana:
1
y atau )(1
xf notasi aksen.
Notasi
dx
df
disebut pula notasi Leibnizt.
1
y atau )(1
xf atau
dx
df
 atau
dx
dy

Turunan fungsi
h
afhaf
xfxf
h
)()(
lim)()(
0
1 



Tabel berikut ini memuat daftar turunan (diferensial) baku yang akan
membantu kita dalam menyelesaikan persoalan turunan fungsi sederhana.
Rumus Dasar Turunan
Selanjutnya kita akan mengenal terlebih dahulu sifat-sifat turunan yang juga akan
memudahkan kita dalm menyelesaikan persoalan turunan.
3. Rumus turunan fungsi aljabar
Jika n bilangan rasional, a dan c konstanta sedangkan f'(x) turunan dari
f(x)maka berlaku rumus turunan
No y = f(x)
dx
dy
= f ’(x)
1
k, k adalah
konstanta
0
2 xn
nxn-1
, n  Riil
3 ex
ex
4 ekx
kekx
5 ax
ax
ln(a)
6 ln(x)
x
1
7 loga x
)ln(
1
ax
Jika f(x) = c maka turunannya
adalah f'(x)= 0.
Jika f(x) = x
n
maka turunannya
adalah f'(x) = nx
n – 1
.
 Sifat-sifat turunan.
Jika f(x) dan g(x) adalah dua fungsi yang mempunyai turunan yaitu f ‟(x)
dan g ‟(x) maka berlaku :
1. ( )( ) (x)
2. ( ) ( ) ( ) ( )
3. ( ) ( ) ( ) ( )
4. ( ) ( ) ( ) ( ) ( ) ( )
5.  
 2
'''
)(
)().()().(
xg
xgxfxgxf
x
g
f 






, g(x) ≠ 0
untuk dua sifat (rumus) terakhir dapat diringkaskan agar memudahkan kita untuk
menghafalnya, yaitu dengan cara memisalkan u = f(x) maka u1
= f 1
(x) dan v = g(x)
maka v1
= g 1
(x). sehingga dua rumus terakhir dapat dituliskan sebagai berikut :
( ) dan 2
'''
..
)(
v
vuvu
x
v
u 






, v ≠ 0.
Selanjutnya, contoh-contoh berikut akan menjelaskan bagaimana daftar (rumus)
dasar turunan dan sifatnya dapat digunakan dalam menyelesaikan persoalan
turunan untuk fungsi sederhana.
Perhatikan Contoh contoh di bawah ini
1. Tentukan turunan dari fungsi y = x4
+ 5x3
– 4x2
+ 7x – 2.
Penyelesain
y = x4
+ 5x3
– 4x2
+ 7x – 2, berdasarkan rumus no.1 dan 2 pada daftar maka
dx
dy
= 4x4-1
+ 5 (3x3-1
) – 4 (2x2-1
) + 7 (x1-1
) – 0
= 4x3
+ 15x2
- 8x + 7.
Contoh
2. Tentukan turunan dari fungsi y = 3x4
– 7x3
+ 4x2
+ 3x – 4 pada x = 2.
Penyelesaian.
y = 3x4
– 7x3
+ 4x2
+ 3x – 4, berdasarkan rumus no.1 dan 2 pada daftar maka
dx
dy
= 3 (4x3
) – 7 (3x2
) + 4 (2x) + 3 (1) – 0
= 12x3
– 21x2
+ 8x + 3 dan untuk x = 2, maka
dx
dy
= 12 (2)3
– 21 (2)2
+ 8 (2) + 3 = 31.
4. Rumus turunan fungsi trigonometri
 Turunan Sinus dan Kosinus
pada dasarnya turunan sinus dan kosinus mengacu pada definisi turunan,
namun hasilnya telah diringkaskan pada teorema berikut :
 Teorema 1
Fungsi-fungsi f (x) = sin x dan g(x) = cos x, keduanya mempunyai turuna (dapat
didiferensialkan) yaitu turunan sin x adalah f ‟(x) = cos x dan turunan cos x adalah g
‟(x) = - sin x.
Dengan menggunakan teorema 1 diatas dan rumus turunan hasil kali serta turunan
hasil bagi, maka dapat di tentukan rumus turunan fungsi trigonometri lainnya yang
dinyatakan pada teorema berikut.
 Teorema 2
Turunan trigonometri
a) )(sin x
dx
d
= cos x
b) )(cosx
dx
d
= – sin x,
c) )(tan x
dx
d
= sec2
x.
d) )(cotanx
dx
d
= - cosec2
x.
e) )(sec x
dx
d
= sec x . tan x
f) )(cosecx
dx
d
= - cosec x . cotan x
Bukti:
a)
h
xhx
h
xfhxf
yxy
hh
sin)sin(
lim
)()(
lim'sin
00





x
x
h
h
hx
h
hhx
hh
h
cos
2
1
.1.cos2
2
1
.
2
2
sin
lim
2
2
coslim2
2
sin
2
2
cos2
lim
00
0








b).
h
xhx
h
xfhxf
yxy
hh
cos)cos(
lim
)()(
lim'cos
00





x
x
h
h
hx
h
hhx
hh
h
sin
2
1
.1.sin2
2
1
.
2
2
sin
lim
2
2
sinlim2
2
sin
2
2
sin2
lim
00
0









 y sebagai fungsi trigonometri :
y = sin x turunannya y‟ = cos x
y = cos x turunannya y‟ = -sin x
y = tg x turunannya y‟ = sec2
x
y = ctg x turunannya y‟ = -cosec2
x
y = secx turunannya y‟ = secx tgx
y = cosecx turunannya y‟ = -cosecx ctg x
Contoh : y = -3tgx  y‟ = -3sec2
x
y = ctg2x  y‟ = -2cosec2
2x
y = sec2x  y‟ = 2sec2x tg2x
y = cosec3x  y‟ = -3cosec3x ctg3x
y = cos(1-x2
)  y‟ = 2xsin(1-x2
)
 y sebagai fungsi logaritma :
y = ln x turunannya y‟ = 1/x
y = g
logx turunannya y‟ = 1/xlng
Contoh : y = 3
logx  1 / x ln3
y = ln 2x  1 / 2x
 y sebagai fungsi eksponen :
y = ax
turunannya y‟ = ax
ln a
y = ex
turunannya y‟ = ex
Contoh : y = 2x
 y‟= 2x
ln 2
y = ex
 y‟ = ex
y = x2
– e3x
 y = 2x – e3x
Contoh
1. Turunan Dengan Aturan Rantai.
Turunan dengan aturan rantai muncul dari fungsi yang merupakan komposit fungsi
lainnya. Rumus turunan aturan rantai dinyatakan dalam teorema berikut.
 Teorema 3.
Misalkan menentukan fungsi komposit y = f[g(x)] = (f o g)(x). Jika g punya turunan di
x dan f punya turunan di u, maka (f o g)(x) punya turunan di x
yaitu : (f o g) ‟(x) = f ‟[g(x)] . g ‟(x), atau
dx
dy
=
du
dy
.
dx
du
.
Jika y = f(u) dan u = g(v) dan v = h(x), maka
dx
dy
=
du
dy
.
dv
du
.
dx
dv
disebut aturan rantai
bersusun dan dapat dilanjutkan untuk fungsi yang komposisinya lebih dari tiga.
Contoh
1. Tentukan turunan dari fungsi y = (3x + 5)4
.
Penyelesaian.
Misalkan u = 3x + 5  y = u4
du
dy
= 4u3
dan
dx
du
= 3,
sehingga
dx
dy
=
du
dy
.
dx
du
= (4u3
) (3)
= 12u3
= 12 (3x + 5)3
2. Aplikasi turunan
Turunan suatu fungsi dapat digunakan dalam penafsiran geometris dari suatu
fungsi, diantaranya:
1) Gradien garis singgung kurva f(x) di titik x = a , yaitu m = f‟(a)
Rumus persamaan garis singgung kurva yang melalui titik (a, b) dan
bergradien m adalah:
y – b = m(x – a)
2) Fungsi f(x) naik, jika f‟(x) > 0, dan turun, jika f‟(x) < 0
3) Fungsi f(x) stasioner jika f‟(x) = 0
4) Nilai stasioner f(x) maksimum jika f‟‟(x) < 0, dan minimum jika f‟‟(x) > 0
BAB V
INTEGRAL
1. KONSEP INTEGRAL
Integral adalah kebalikan dari turunan (diferensial).Oleh karena itu integral
disebut juga anti diferensial.Ada 2 macam integral, yaitu integral tentu dan
integral tak tentu. Integral tentu yaitu integral yang nilainya tertentu, sedangkan
integral tak tentu, yaitu integral yang nilainya tak tentu. Pada integral tentu ada
batas bawah dan batas atas yang nanti berguna untuk menentukan nilai integral
tersebut. Kegunaan integral dalam kehidupan sehari-hari banyak sekali,
diantaranya menentukan luas suatu bidang, menentukan voluem benda putar,
menentukan panjang busur dan sebagainya. Integral tidak hanya dipergunakan
di matematika saja. Banyak bidang lain yang menggunakan integral, seperti
ekonomi, fisika, biologi, teknik dan masih banyak lagi disiplin ilmu yang lain
yang .Jika turunan suatu fungsi : Y = f (X) ; maka untuk menentukan fungsi
asalnya melakukan pengintgrasian.
F (X) = ∫ f (x) dx ;
Keterangan:
∫ : Tanda Integral
f (x) : Integran (fungsi yang diintegralkan)
dx : Operator penurunan yang mengikat operasi yang dibentuk terhadap
variabel X.
Maka dF(X) / dx = f (x) ; maka : ∫ f(x) dx = F (X) + C
2. INTEGRAL TAK TENTU
 Integral tak Tertentu dari fungsi aljabar
Karena integral merupakan kebalikan (invers) dari turunan, maka
untuk menemukan rumus integral kita beranjak dari turunan. Turunan suatu
fungsi y = f(x) adalah y „ = f „ (x) atau
dx
dy
, sedangkan notasi integral dari suatu
fungsi y = f(x) adalah   dxxfdxy )( yang dibaca “ integral y terhadap x ”.
Turunan suatu fungsi konstan adalah 0 atau integral 0 adalah suatu fungsi konstan,
biasanya diwakili oleh notasi c.
Rumus umum integral dari n
axy  adalah cx
n
a n


1
1
atau ditulis :
 

 
cx
n
a
dxax nn 1
1
untuk 1n
Contoh 1 :Tentukan :
 
dxxxd
dx
x
c
dxxxxxb
dxxa





2.
3
8
.
27635.
2.
4
234
3
Penyelesaian :
 
cxcxdxxdxxxd
c
x
cxdxxdx
x
c
cxxxxxdxxxxxb
cxcxdxxa







 



2
5
2
5
2
3
3
34
4
2345234
443
5
4
2
5
2
22.
9
8
)3(3
8
3
8
3
8
.
2
2
7
2
4
3
27635.
2
1
4
2
2.
LATIHAN SOAL
1. Integralkan !
 



 dxxxxxd
dx
x
c
dxxb
dxxa
75243.
1
.
5.
2.
234
4
5
 Pemakaian Integral Tak Tentu
Pada integral tak tentu terdapat nilai konstanta c yang tidak tentu nilainya.
Untuk menentukan fungsi f dari suatu fungsi turunan, maka harus ada data yang
lain sehingga harga c dapat diketahui..
Contoh 1 : Diketahui f „(x) = 5x – 3 dan f(2) = 18. Tentukan f(x) !
Penyelesaian :
182.3)2(
2
5
18)2(
3
2
5
)35()(
2
2

 
cf
cxxdxxxf
18610  c
1816  c
2 c
Jadi 23
2
5
)( 2
 xxxf
Contoh 2 : Jika gradien garis singgung di titik (x,y) pada sebuah kurva yang
melalui titik (3,4) ditentukan 583 2
 xx
dx
dy
, maka tentukan persamaan
kurva tersebut !
LATIHAN SOAL
1. Tentukan rumus f(x) jika diketahui :
a. f „(x) = 2x dan f(4) = 10
b. f „(x) = 8x – 3 dan f(-1) = 10
c. f „(x) = 2
2 1
x
x  dan f(1) =
3
1
d. f „(x) = x - x dan f(4) = -3
e. f „(x) = 1 - 2
1
x
dan f(4) = 1
2. Diketahui titik (3,2) terletak pada kurva dan gradien garis singgung di titik (x,y)
pada kurva tersebut didefinisikan 2x – 3. Tentukan persamaan kurva tersebut !
3. Gradien suatu kurva pada setiap titik (x,y) ditentukan oleh xx
dx
dy
23 2
 dan
kurva itu melalui titik (-3,2). Tentukan persamaan kurva itu !
4. Kecepatan suatu benda bergerak dinyatakan oleh 1612)( 2
 tttv . Setelah
benda itu bergerak 1 detik, jarak yang ditempuh 4 m. Tentukan persamaan gerak
dari benda itu !
5. Diketahui rumus percepatan a(t)= 12
t dan kecepatan v(0) = 6. Tentukanlah
rumus kecepatan v(t) jika a(t)=
dt
dv
 Integral Tak Tertentu dari fungsi Trigonometri
Kita telah mempelajari turunan fungsi trigonometri yang secara ringkas dapat
digambarkan sebagai berikut :
xxxxx sincossincossin 
xecx
xx
2
2
coscot
sectan


 artinya turunan.
Karena integral adalah invers dari turunan maka :
Bentuk dasar tersebut adalah:
1.  xsin dx = -cos x + C
2.  xcos dx = sin x + C
3. tan x dx = ln Cx sec
= -ln Cx cos
4. cot x dx = - ln Cx csc
= ln Cx sin
5.  xsec dx = ln Cxx  tansec
cscx dx = ln Cxx  cotcsc
6. x
2
sec dx = tan x + C
Contoh 1 : Tentukan :




dxxxb
dxxxa
)3sin4cos2(.
)cos2sin5(.
Penyelesaian :
cxxxdxxxb
cxxdxxxa




3cos4sin2)3sin4cos2(.
sin2cos5)cos2sin5(.
Contoh 2 :
2.  xdx3
sin
Jawab
 xdx3
sin = dxx
 1)13(
sin
= xxsinsin2
 dx
=   )cos()cos1( 2
xdx
=   )(coscos)cos(1 2
xdxd
LATIHAN SOAL
1. Tentukan integral fungsi berikut !
 
 
 
 








dxxxe
dxxxd
dxxxc
dxxxb
dxxa
sin2.
sin2.
sin6cos8.
cossin.
sin5.
2
3. INTEGRAL TERTENTU
Definisi :
Misal f(x) suatu fungsi yang didefinisikan pada [a,b], selanjutnya f(x) dikatakan
terintegralkan (integrable) pada [a,b]
jika 


n
i
ii
P
xxf
10
)(lim ada.
Selanjutnya 
b
a
dxxf )( disebut Integral Tentu (Integral Riemann) f(x) dari a ke b,
dan didefinisikan

b
a
dxxf )( = 


n
i
ii
P
xxf
10
)(lim .

b
a
dxxf )( menyatakan luas daerah yang tercakup diantara kurva
y = f(x) dan sumbu x dalam selang [a,b], jika 
b
a
dxxf )( bertanda negatif maka
menyatakan luas daerah yang berada dibawah sumbu x.
Definisi :
1. 
a
a
dxxf )( = 0
2. 
b
a
dxxf )( = - 
a
b
dxxf )( , a > b
Teorema Dasar Kalkulus
Teorema dasar Kalkulus memberikan kemudahan untuk menghitung Integral Tentu,
berikut teorema tersebut :
Misal f(x) kontinu pada [a,b] dan F(x) sebarang anti turunan f(x), maka 
b
a
dxxf )( =
F(b) – F(a)
Selanjutnya ditulis F(b) – F(a) =
b
axF )]([
Contoh :
1. Perlihatkan bahwa jika r  Q dan r  -1, maka
11
11





 r
a
r
b
dxx
rrb
a
r
Jawab :
Karena F(x) =
1
1


r
xr
suatu anti turunan dari f(x) = xr
, maka menurut teorema
dasar Kalkulus
11
)()(
11





 r
a
r
b
aFbFdxx
rrb
a
r
Contoh :
Hitung dxxx )64(
2
1
2



Jawab :
dxxdxxdxxx 


2
1
2
2
1
2
1
2
64)64( = 4
2
1
32
1
2
3
6
2
 















 xx
= 4 












3
1
3
8
6
2
1
2
4
=  12
Sifat-Sifat Integral Tentu
1. Sifat Penambahan Selang
Teorema :
Jika f(x) terintegralkan pada suatu selang yang memuat tiga titik a, b dan c, maka
dxxf
c
a
 )( = dxxf
b
a
 )( + dxxf
c
b
 )( bagaimanapun urutan a, b dan c.
Contoh :
1. dxxdxxdxx  
2
1
2
1
0
2
2
0
2
2. dxxdxxdxx  
2
3
2
3
0
2
2
0
2
3. dxxdxxdxx 



2
1
2
1
0
2
2
0
2
2. Sifat Simetri
Jika f(x) fungsi genap, yaitu suatu fungsi yang memenuhi sifat
f(-x) = f(x) , maka:
dxxf
a
a


)( = 2 dxxf
a

0
)( dan
Jika f(x) fungsi ganjil, yaitu suatu fungsi yang memenuhi sifat
f(-x) = - f(x), maka
dxxf
a
a


)( = 0.
Contoh :
1.  













 0 4
cos2
4
cos dx
x
dx
x
24
4
1
.
4
cos8
0
 





dx
x
2. dx
x
x

 
5
5
2
5
4
= 0
Secara lebih umum, sifat-sifat integral tertentu adalah:
Jika f(x) dan g(x) kontinu pada interval [a,b] dan k Real dan f(x), g(x)
terintegralkan pada interval tersebut, maka:
1.  
b
a
b
a
dxxfkdxxkf )()(
2. dxxgdxxfdxxgxf
b
a
b
a
b
a
  )()()]()([
3. ,)()()]()([ dxxgdxxfdxxgxf
b
a
b
a
b
a
 
4. 0)( 
a
a
dxxf
5.  
a
b
b
a
dxxfdxxf )()( , jika b < a
6. 
b
a
dxxf )(  
b
c
c
a
dxxfdxxf )()( , c ),( ba
7. ,0)( 
a
a
xf jika f(-x) = -f(x)
8. 
a
a
dxxf )( = 2 
a
dxxf
0
)( , jika f(-x) = f(x)
9. Jika F(u) = 
b
a
dxxf )( , maka )()( ufuF
du
d

10. 
b
a
dxxf )( = (b-a) )( oxf untuk paling sedikit x = x o antara a dan b.
11.  
b
a
b
a
dxxgdxxf )()( jika dan hanya jika f(x)  g(x) untuk setiap x [a,b].
12. )()( xfdttfD
x
ax







Contoh
Tentukan hasil integral
1. dxx 
2
0
)2(
Jawab
dxx 
2
0
)2( =
2
0
2
2
2 






x
x
= 












2
0
0.2
2
2
2.2
22
= (4+2) – (0+0) = 6
2.  
2
0
32
)1( dxxx
Jawab
Misalnya u = (x 13
 )
du = 3x 2
dx
dxx
du 2
3

Untuk x = 0 maka u = 1 dan untuk x = 2 maka u = 9, sehingga:
 
2
0
32
)1( dxxx = 
9
1
3
du
u
=
9
1
2
6 




u
= 




6
1
6
91
hasil pengintegralan fungsi-fungsi berikut ini:
1.  
8
1
31 dxx
2. dxxx 2
)1( 
=    dxxxx 21
=   dxxxxx )2( 2
, dengan sifat integral diperoleh
= xdx -  xx2 dx +  dxx2
= 3
3
2
2
5
1
2
3
1
)
5
2
(2
2
1
CxCxCx 
= 321
32
5
2
3
1
)
5
2
(2
2
1
CCCxxx 
= Cxxx  32
5
2
3
1
)
5
2
(2
2
1
4. INTEGRAL SUBSTITUSI
Cara menentukan integral dengan menggunakan cara substitusi-1 yaitu dengan
mengubah bentuk integral tersebut ke bentuk lain dengan notasi lain yang lebih
sederhana sehingga mudah menyelesaikannya. Cara ini digunakan jika bagian
yang satu ada kaitan turunan dari bagian yang lain.
Contoh 1 : Tentukan integral dari :

 
dxxxb
dxxxa
cossin2.
)14(2.
5
102
Penyelesaian :
a. Misal : 14 2
 xu
Maka:
x
du
dx
x
dx
du
8
8


Sehingga :
    cxcuduu
x
du
uxdxxx 112111010102
)14(
44
1
11.4
1
4
1
8
..2)14(2
b. Misal u = sin x
x
du
dx
x
dx
du
cos
cos


Sehingga :
   cxcuduu
x
du
xudxxx 66555
sin
3
1
6
2
2
cos
cos.2cossin2
Istilah lain untuk integral substitusi adalah pemisalan. Teknik substitusi
pada umumnya digunakan untuk memudahkan selesaian integral ke bentuk
rumus dasar rumus integral tak tentu, yaitu;
a. 
n
x dx =
1
1


n
xn
+ C, asalkan n  -1 atau
b.   dxxfxf
n
)(')( =
 
1
)(
1


n
xf
n
+ C, asalkan n  -1
Karena rumus di atas adalah pedoman umum. maka integrannya
menyesuaikan dengan rumus di atas. Jika belum sesuai atau menyimpang dari
bentuk di atas maka sedapat mungkin diubah terlebih dahulu. Dengan
demikian setelah integran sesuai dengan bentuk baku integralnya dapat
dilakukan dengan mengaplikasikan rumus dasar integral tidak tentu.
Akhirnya selesaiannya dapat dilakukan dengan metode substitusi.
Perhatikan beberapa contoh berikut:
1.   x1 dx
Misal u = x1
xu  12
)1()( 2
xdud 
dxudu  2
Substitusi bentuk terakhir ke   x1 dx, diperoleh
  duuu )2( = -2  duu2
Dengan rumus dasar di dapat
  x1 dx = -2  duu2
= -2 C
u






3
3
= - Cx  3
)1(
3
2
2.   dxx 11
)123(
Misal A = 3x + 12
d(A) = d(3x+12)
dA = 3 dx
dx =
3
dA
Sehingga   dxx 11
)123( =  3
11 dA
A
=  dAA11
3
1
= C
A
)
12
(
3
1 12
= CA 12
36
1
= C
x


36
)123( 12
Soal-soal
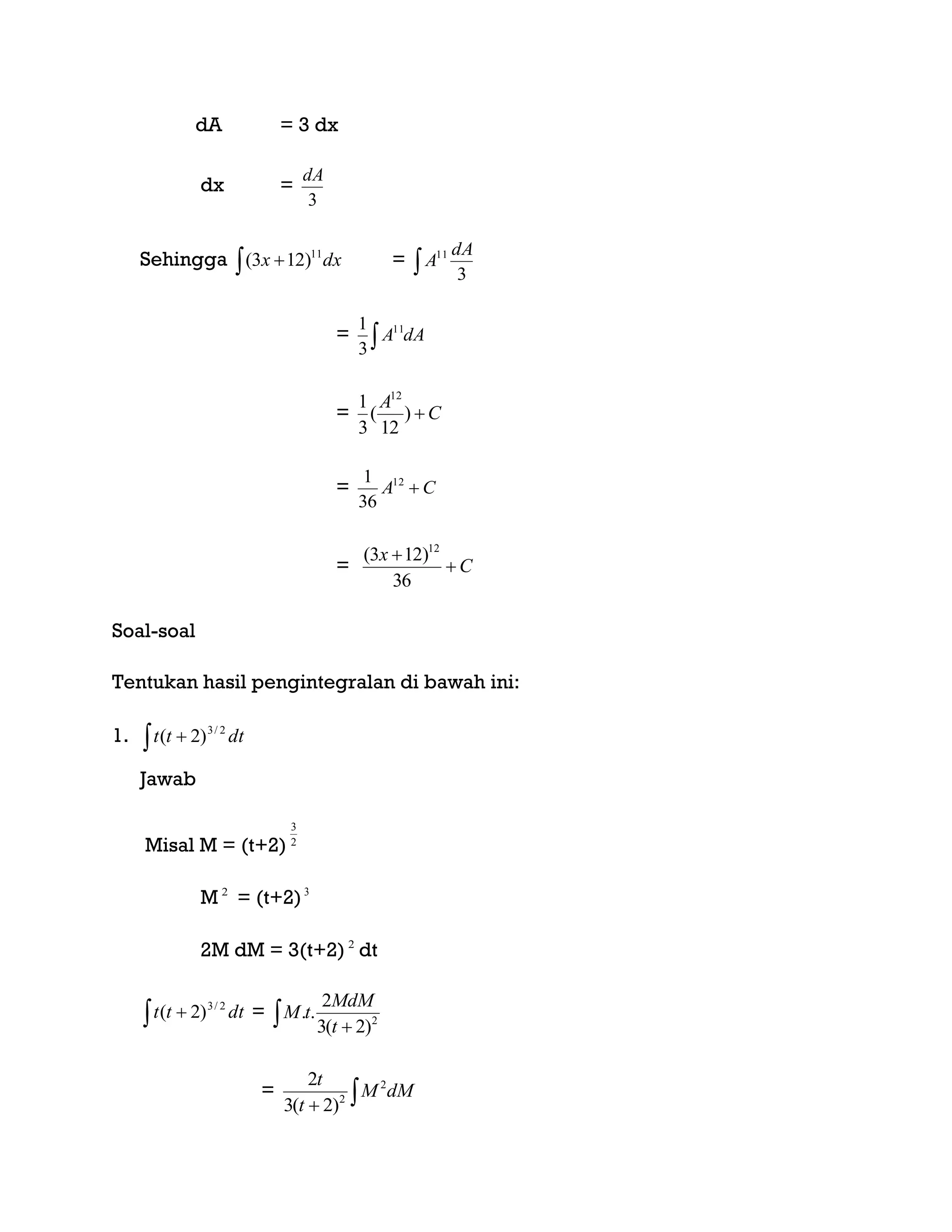
Tentukan hasil pengintegralan di bawah ini:
1.   dttt 2/3
)2(
Jawab
Misal M = (t+2) 2
3
M 2
= (t+2)3
2M dM = 3(t+2) 2
dt
  dttt 2/3
)2( =   2
)2(3
2
..
t
MdM
tM
= 
dMM
t
t 2
2
)2(3
2
= 3
2
3
1
)2(3
2
M
t
t

+ C
= 2
9
2
)2(
)2(9
2


t
t
t
+ C
= Ct
t
 2
5
)2(
9
2
LATIHAN SOAL
Tentukan integral dari fungsi –fungsi berikut dengan menggunakan metode
substitusi !
 
 
 
dx
x
dxx
dxx






4
5
5
15
2
.3
46.2
32.1
5. INTEGRAL PARSIAL
Secara umum integral parsial digunakan untuk menentukan selesaian
integral yang integrannya merupakan perkalian dua fungsi uv, dimana u =
f(x) dan v = g(x).
Karena y = uv, maka menurut definisi differensial dan turunan fungsi
y = uv diperoleh
dy = d(uv)
d(uv) = u dv + v du
Dengan mengintegralkan masing-masing bagian diperoleh
   vduudvuvd )(
    vduuvdudv )(
   vduuvudv
Sehigga Seperti telah kita ketahui pada turunan jika y = uv maka y „ =u ‟ v + uv ‟.
Jika kita integralkan kedua rua, maka akan didapat :
      dxvuuvdxvuydxuvdxuvdxvudxy ''''''
Rumus di atas sering disingkat dengan :
  duvuvdvu
Bentuk terakhir ini dinamakan rumus integral parsial. Prinsip yang
digunakan dalam integral parsial adalah integran yang berbentu uv di
manipulasi menjadi u dv dan dalam menentukan udv tidak boleh
memunculkan persoalan yang lebih sulit dibandingkan dengan udv tersebut.
Perhatikan beberapa contoh berikut ini.
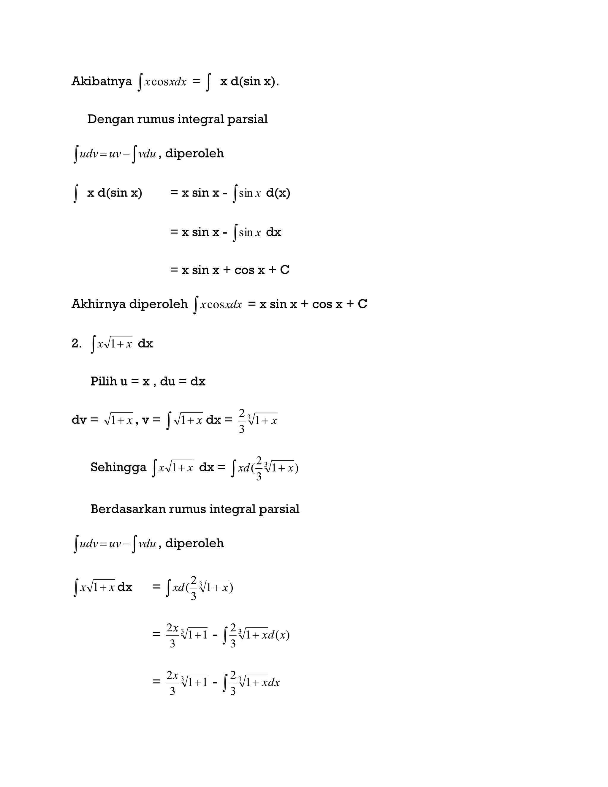
Tentukan integral persial berikut ini
1.  xdxxcos
Jawab
Bentuk  xdxxcos diubah menjadi  udv,
Misal u = x , dv = 1 dx
dv = cos x dx , v =  xcos dx = sin x
Akibatnya  xdxxcos =  x d(sin x).
Dengan rumus integral parsial
  vduuvudv , diperoleh
 x d(sin x) = x sin x -  xsin d(x)
= x sin x -  xsin dx
= x sin x + cos x + C
Akhirnya diperoleh  xdxxcos = x sin x + cos x + C
2.   xx 1 dx
Pilih u = x , du = dx
dv = x1 , v =   x1 dx = 3
1
3
2
x
Sehingga   xx 1 dx =   )1
3
2
( 3
xxd
Berdasarkan rumus integral parsial
  vduuvudv , diperoleh
  xx 1 dx =   )1
3
2
( 3
xxd
= 3
11
3
2

x
-   )(1
3
2 3
xdx
= 3
11
3
2

x
-   dxx3
1
3
2
= 3
11
3
2

x
- Cx 3 4
)1(
4
2
Contoh 1 : Tentukan :

 
dxxxb
dxxxa
sin.
)15(2. 6
Penyelesaian : a. Misal 2x = u maka 2 dx = du
Misal dv =     776
)15(
35
1
15
7
1
.
5
1
15  xxvdxx
cxx
x
cxx
x
dxxxxdxxx


 
87
87
726
)15(
700
1
)15(
35
2
)15(
8
1
.
5
1
.
35
2
)15(
35
2
2.)15(
35
1
)15(
35
1
.2)15(2
b. Misal x = u maka dx = du
Misal dv = sin x dx maka v = -cos x
   cxxxdxxxxdxxx sincoscoscos.sin
LATIHAN SOAL
Tentukan integral berikut dengan metode parsial !
 
 








dx
x
x
dxxx
dxxx
dxxx
1
.4
42.3
218.2
26.1
3
5
Daftar Pustaka
[1] Achsanul In‟am, 2000. Kalkulus I. Malang: UMM Press.
[2] Edwin J. Purcell., Dale Varberg. 1989. Kalkulus dan Geometri Analitis. Jilid 2
(terjemahan I Nyoman Susila dkk). Bab 18. Jakarta; Erlangga.
[3] Frank Ayres., J.C Ault. 1984. Kalkulus Diferensial dan Integral (Seri Buku
Schaum). Alih Bahasa Lea Prasetyo. Jakarta: Erlangga..
[4] Sudaryono dkk.2010. Kalkulus For It. Andi.Yogyakarta
[5] Varberg,et all.2003.Kalkulus edisi ke 8 jilid 1.erlangga, Jakarta.
[6] Wilfred Kaplan. 1961. Ordinary Differential Equations. Massachusetts: Addison
Wesley Publishing Company, Inc.

Modul kalkulus

  • 1.
    MODUL KALKULUS Disusun Dairoh, M.Sc Danar ArdianPramana, M.Sc D-IV TEKNIK INFORMATIKA POLITEKNIK HARAPAN BERSAMA TEGAL 2014
  • 2.
    BAB I PERTIDAKSAMAAN 1. DefinisiPertidaksamaan Sebuah Pertidaksamaan adalah pernyataan bahwa dua kuantitas tidak setara nilainya. Salah satu pernyataan matematika yang mengandung satu peubah atau lebih yang dihubungkan oleh tanda-tanda ketidaksamaan, yaitu: <, >, ≤, atau ≥. 2. Sifat-sifat pertidaksamaan antara lain: (i) Jika a > b dan b > c, maka a > c (ii) (ii) Jika a > b, maka a + c > b + c (iii) (iii) Jika a > b, maka a - c > b – c (iv) (iv) Jika a > b dan c adalah bilangan positif, maka ac > bc (v) (v) Jika a > b dan c adalah bilangan negatif, maka ac < bc Dengan mengganti tanda > pada sifat-sifat diatas dengan tanda <, maka akan didapat sifat-sifat yang analog sebagai berikut : (vi) Jika a < b dan b < c, maka a < c (vii) Jika a < b, maka a + c < b + c (viii) Jika a < b, maka a - c < b – c (ix) Jika a < b dan c adalah bilangan positif, maka ac < bc (x) Jika a < b dan c adalah bilangan negatif, maka ac > bc (xi) xi) ac > 0 jika a > 0 dan c > 0 atau jika a < 0 dan c < 0 (xii) (xii) ac < 0 jika a < 0 dan c > 0 atau jika a > 0 dan c < 0 (xiii) (xiii) a/c > 0 jika a > 0 dan c > 0 atau jika a < 0 dan c < 0 (xiv) (xiv) a/c < 0 jika a < 0 dan c > 0 atau jika a > 0 dan c < 0 (xv) (xv) Jika a > b, maka –a < -b (xvi) (xvi) Jika 1/a < 1/b, maka a > b (xvii) (xvii) Jika a < b < c, maka b > a dan b < c (bentuk komposit) (xviii) (xviii) Jika a > b > c, maka b < a atau b > c ( bentuk komposit) 3. Jenis pertidaksamaan Jenis pertidaksamaan anatara laian : a. Peridaksamaan linear (PANGKAT SATU) b. Pertidaksamaan kuadrat c. Pertidaksamaan bentuk pecahan
  • 3.
    d. Pertidaksamaan bentuknilai mutlak ( modus) a. Peridaksamaan linear (PANGKAT SATU) Pertidaksamaan linear adalah pertidaksamaan yang salah satu atau kedua ruasnya mengandung bentuk linier dalam x.yang vareabelnya berderajat satu dengan menggunakan tanda hubung “lebih besar dari” atau “kurang dari” Sifat-sifatnya :  Kedua ruas dapat di tambah atau di kurangi dengan bilangan yang sama.  Kedua ruas dapat dapat dikali atau di bagi dengan bilangan positip yang sama.  Kedua ruas dapat di bagi atau di kali dengan bilangan negatip yang sama maka penyelesaiannya tidak berubah asal saja arah dari tanda pertidaksamaan di balik Langkah – langkah menyelesaikan pertidaksamaan linier : 1. Pindahkan semua yang mengandung variabel ke ruas kiri, sedangkan yang tidak mengandung variabel ke ruas kanan. 2. Kemudian sederhanakan Perhatikan contoh soal berikut: 1. Contoh 1 Tentukan himpunan penyelesaian dari pertidaksamaan 5x – 5 < 7x + 3 ! Jawab 5x – 5 < 7x + 3  5x – 7x < 3 + 5  - 2x < 8  x > - 4 2. Tentukan nilai x yang memenuhi pertidaksamaan 2(x-3) < 4x+8 ? Jawab Penyelesaian 2(x-3) < 4x+8 2x - 6 < 4x+8 2x – 4x< 6+8 -2x < 14
  • 4.
    - ++ 52 X >-7 b. Pertidaksamaan Kuadrat Pertidaksamaan kuadrat adalah suatu persamaan yang pangkat tertinggi dari variabelnya adalah 2.Bentuk umum peridaksamaan kuadrat adalah ax² + bx + c > 0 dengan a, b, c konstanta; a 0. Menyelesaikan pertidaksamaan kuadrat anatara lain: • Jadikan ruas kanan = 0 • Jadikan koefisien x² positif (untuk memudahkan pemfaktoran) • Uraikan ruas kiri atas faktor-faktor linier. • Tetapkan nilai-nilai nolnya • Tetapkan tanda-tanda pada garis bilangan • Jawaban didapatkan dari hal-hal yang ditanyakan dan terlukiskan pada garis bilangan (bila ditanyakan > 0, maka yang dimaksud adalah daerah +, bila ditanyakan < 0, maka yang dimaksud adalah daerah -).  Langkah-langkah:  Tentukan batas-batasnya dengan mengubah ke dalam persamaan kuadrat  Buatlah garis bilangan dan masukkan batas yang diperoleh (jika ada) dengan batas yang kecil di sebelah kiri  Uji titik pada masing-masing daerah  Tentukan HP nya Contoh soal 1. Contoh 1 Tentukan himpunan penyelesaian dari pertidaksamaan 1072  xx ! Jawab 1072  xx  01072  xx  ( x – 2 ) ( x – 5 ) < 0 x = 2 atau x = 5 ( pembuat nol )
  • 5.
    jadi Hp = 5x2 x c. Pertidaksamaan bentuk pecahan pertidaksamaan dalam x yang penyebutnya mengandung variabel x. Langkah – langkah menyelesaikan pertidaksamaan pecahan :  Pindahkan semua bilangan keruas kiri, jadikan ruas kanan = 0 (ingat! tidak diperkenankan mengali silang, karena tanda pertidaksamaan tidak dapat ditentukan berubah/tidak)  Sederhanakan ruas kiri.  Ubah bentuk b a menjadi a.b  Tentukan pembuat nol ruas kiri.  Tuliskan nilai – nilai tersebut pada garis bilangan.  Berikan tanda pada setiap interval.  Samakan penyebutnya sehingga pecahan dapat disederhanakan.  Selanjutnya, sama seperti penyelesaian pertidaksamaan kuadrat. Syarat: penyebut pecahan 0 Perhatikan Contoh soal : 1. Tentukan himpunan penyelesaian pertidaksamaan 1 1 72    x x ! Jawab 1 1 72    x x 01 1 72    x x
  • 6.
    -8 1 + +- Isyarat : X – 1 0 X  1 II.        018 101 1 8 0 1 8 0 1 172 0 1 1 1 72 22                 xx xx x x x x x xx x x x x X = -8 atau x = 1 ( pembuat nol ) Jadi Hp =  18  xx d. Pertidaksamaan Nilai Mutlak Merupakan pertidaksamaan dimana variabelnya berada di dalam tanda mutlak. Indikator : Menentukan penyelesaian pertidaksamaan linear yang memuat nilai mutlak 0xjikax,- 0xjika,    x x Cara mencari penyelesaian pertidaksamaan nilai mutlak adalah dengan menggunakan sifat berikut ini :  axa-  ax  aatau xa-x  ax  22 yx  yx Perhatikan contoh berikut: Contoh 1 Tentukan himpunan penyelesaian dari pertidaksamaan 523 x ! Jawab 523 x
  • 7.
    3x + 2< - 5 atau 3x + 2 > 5 3x < - 7 3x > 3 x < -7/3 x > 1 Latihan Soal. 1. Tentukan himpunan penyelesaian dari pertidaksamaan 3 + 6x > 3x – 9? 2. Tentukan himpunan penyelesaian dari pertidaksamaan 3(2 - 3x) > -5x + 8 ! 3. Tentukan himpunan penyelesaian dari pertidaksamaan 032 2  xx ! 4. himpunan penyelesaian dari pertidaksamaan ( x + 5 ) x  2 ( x2 +2 ) ! 5. Tentukan himpunan penyelesaian pertidaksamaan 0 78 3 2    xx x ! 6. Tentukan himpunan penyelesaian dari pertidaksamaan 212  xx ! BAB II FUNGSI KOMPOSISI DAN FUNGSI INVERS 1. Konsep fungsi Fungsi atau Pemetaan merupakan Relasi dari himpunan A ke himpunan B disebut fungsi atau pemetaan, jika dan hanya jika tiap unsur dalam himpunan A berpasangan tepat hanya dengan sebuah unsur dalam
  • 8.
    himpunan B.f adalahsuatu fungsi dari himpunan A ke himpunan B, maka fungsi f dilambangkan dengan f : A  B Operasi dalam Fungsi :  Penjumlahan : (f+g)(x) = f(x) + g(x)  Pengurangan : (f-g)(x) = f(x) – g(x)  Perkalian : (f.g)(x) = f(x) . g(x)  Pembagian : (f/g)(x) = f(x) / g(x) jika x A dan y  B, sehingga (x,y)  f, maka y disebut peta atau bayangan dari x oleh fungsi f dinyatakan dengan lambang y : f (x) (ditunjukkan dalam gambar disamping) A B y = f (x) : rumus untuk fungsi f x disebut variabel bebas y disebut variabel tak bebas Contoh : Diketahi f : A  B dan dinyatakan oleh rumus f (x) = 2x – 1. Jika daerah asal A ditetapkan A : {x | 0  x  4. x  R} Jika daerah asal A ditetapkan A : {x | 0  x  4. x  R} a. Tentukan f (0), f (1), f (2), f (3) dan f (4). b. Gambarkan grafik fungsi y : f (x) = 2x – 1 dalam bidang kartesius. c. Tentukan daerah hasil dari fungsi f. Jawab : a. f (x) = 2x – 1, maka : f (0) = -1 f (1) = 1 f (2) = 3 f (3) = 5 f (4) = 7 f : x  y = f (x)        y = f(x)
  • 9.
    b. Grafik fungsiy : f (x) = 2x – 1 8 y = f (x) = 2x – 1 7 5 3 1 1 2 3 4 5 -1 Daerah asal c. Daerah hasil fungsi f Rf = {y | -1  y  7, y  R} Jika daerah asal dari suatu fungsi f tidak atau belum ditentukan, maka dapat diambil daerah asalnya himpunan dari semua bilangan real yang mungkin, sehingga daerah hasilnya merupakan bilangan real. Daerah asal yang ditentukan dengan cara seperti itu disebut daerah asal alami (natural domain). Contoh : Tentukan daerah asal alami dari fungsi berikut : 1. f (x) = 1x 4  Jawab : f (x) = 1x 4  , supaya f (x) bernilai real maka x + 1  0 atau x  -1 Jadi Df : {x | x  R, dan x  -1} 2. Pengertian fungsi komposisi Merupakan penggabungan operasi dua fungsi secara berurutan sehingga menghasilkan sebuah fungsi baru.Penggabungan tersebut disebut komposisi
  • 10.
    fungsi dan hasilnyadisebut fungsi komposisi Operasi komposisi dilambangkan dengan o (dibaca : komposisi atau bundaran). Misalkan: f : A  B dan g : B  C  Notasi : (f o g)(a) = f(g(a))  fungsi yang memetakan nilai dari g(a) ke f Contoh 1. Diketahui f : R  R ; f(x) = 2x² +1, g : R  R ; g(x) = x + 3 (f o g)(x) = f(g(x)) =f(x+3) = 2(x+3)²+1 = 2(x² + 6x + 9) + 1 = 2x²+12x+19 Jawab: (g o f)(x) = g(f(x)) = g(2x²+1) = 2x² + 1 + 3 = 2x² + 4 (f o g)(1) = f(g(1)) = f(4) = 2. (4)² +1 = 2.16 + 1 = 33 (g o f)(1) = g(f(1)) = g(3) = 3 + 3 = 6 3. Sifat-sifat Komposisi Fungsi Jika f : A  B ; g : B  C ; h : C  D, maka berlaku: i. (fog)(x) ≠ (g o f)(x) (tidak komutatif) ii. ((fog)oh)(x) = (fo(goh))(x) (sifat asosiatif) iii. (foI)(x) = (Iof)(x) = f(x) (elemen identitas) perhatikan contoh soal : 1. Diketahui sebuah f(x) = 2x + 1, g(x) = 3 – x, dan h(x) = x2 + 2, I(x) = x Maka nilai x g(x) f(g(x) ) A B C g(x f(g(x)
  • 11.
    (f o g)(x)= f(g(x)) = f(3-x) = 2(3-x) + 1 = 6 – 2x + 1 = 7 – 2x (g o f)(x) = g(f(x)) = g(2x+1) = 3 – (2x+1) = 3 – 2x – 1 = 2 – 2x (g o h)(x) = g(h(x)) = g(x2 + 2) = 3 – (x2 + 2) = 1 - x2 Dari hasil di atas tampak bahwa (fog)(x) ≠ (g o f)(x) Kemudian nilai ((fog)oh)(x) = (fog)(h(x))= (fog)( x2 + 2)= 7 – 2(x2 + 2) = 3 - 2x2 (fo(goh))(x)=f((goh)(x))= f(1 - x2 )= 2(1 - x2 ) + 1 = 2 – 2 x2 + 1 = 3 – 2 x2 Dari hasil di atas tampak bahwa ((fog)oh)(x) = (fo(goh))(x) Begitu juga (foI)(x) = f(I(x)) = f(x) = 2x + 1 (Iof)(x) = I(f(x)) = I(2x+1) = 2x + 1 Dari hasil di atas tampak bahwa (foI)(x) = (Iof)(x) = f(x) 4. Konsep Fungsi Invers  Definisi Jika fungsi f : A  B dinyatakan dengan pasangan terurut f:{(a,b)laAdan bB}, maka invers dari fungsi f adalah f-1 : B  A ditentukan oleh: f-1 :{(b,a)lbB dan aA}. Jika f : A  B, maka f mempunyai fungsi invers f-1 :B  A jika dan hanya jika f adalah fungsi bijektif atau korespondensi 1-1. Jika f : y = f(x)  f -1 : x = f(y) Maka (f o f -1 )(x) = (f-1 o f)(x) = I(x) (fungsi identitas)  Rumus Cepat Menentukan Fungsi Invers i. f(x) = ax + b; a ≠ 0  f -1 (x) = a bx  ; a ≠ 0 ii. f(x) = dcx bax   ; x ≠ - c d  f -1 (x) = acx bdx   ; x ≠ c a
  • 12.
    iii. f(x) =acx ; a > 0  f -1 (x) = a log x1/c = c 1 a log x ; c ≠ 0 iv. f(x) = a log cx ; a > 0; cx > 0  f -1 (x) = c ax ; c ≠ 0 v. f(x) = ax²+bx+c; a≠0  f -1 (x)= 2a x)4a(cbb 2  ingat : Fungsi kuadrat secara umum tidak mempunyai invers, tetapi dapat mempunyai invers jika domainnya dibatasi. Contoh 1. Diketahui f: R  R dengan f(x) = 2x - 5. Tentukan f -1 (x)! Cara 1: y = 2x - 5 (yang berarti x = f -1 (y)) 2x = y + 5 x = 2 y 5 f -1 (x) = 2 x 5 Cara 2: f(x) = ax + b  f -1 (x) = a bx  f(x) = 2x – 5  f -1 (x) = 2 x 5 Contoh 2. Diketahui Tentukan )x(f 1 ! Cara 1: y(x - 4) = 2x + 1 yx – 4y = 2x + 1 yx – 2x = 4y + 1 x(y – 2) = 4y + 1 x = 2-y 14y  f-1 (x) =   4x,Rx, 4x 1x2 xf     4x 1x2 y    2-x 14x 
  • 13.
    Cara 2: f(x) = dcx bax   f -1 (x) = acx bdx     4x 1x2 xf     f -1 (x) = 2-x 14x  5. Aplikasi fungsi komposisi  Menentukan Fungsi Jika Fungsi Komposisi dan Sebuah Fungsi Lain Diketahui Misalkan fungsi komposisi (f o g)(x) atau (g o f)(x) diketahui dan sebuah fungsi f(x) juga diketahui, maka kita bisa menentukan fungsi g(x). Demikian pula jika fungsi komposisi (f o g)(x) atau (g o f)(x) diketahui dan sebuah fungsi g(x) juga diketahui, maka kita bisa menentukan fungsi f(x). Contoh : 1. Diketahui g(x) = 3 – 2x dan (g o f)(x) = 2x2 + 2x – 12, tentukan rumus fungsi f(x)! Cara 1: (g o f)(x) = 2x2 + 2x – 12 g(f(x)) = 2x2 + 2x – 12 3 – 2f(x) = 2x2 + 2x – 12 -2f(x) = 2x2 + 2x – 15 f(x) = -x2 – x + 7,5 Cara 2: g(x) = 3 – 2x  g -1 (x) = 2 3 x f(x) = [g -1 o (g o f)](x)
  • 14.
    f(x) = 5,7 2 1522 2 )1222(32 22     xx xxxx Latihan Soal: 1. Diketahui f(x) = 2x + 5 dan g(x) = 4, 4 1    x x x , maka (fg)(x)? 2. Diketahui fungsi-fungsi f : R  R didefinisikan dengan f(x) = 3x – 5, g : R  R didefinisikan dengan g(x) = 2, 2 1    x x x . Hasil dari fungsi (fg)(x)? 3. Fungsi f dan g adalah pemetaan dari R ke R yang dirumuskan oleh f(x) = 3x + 5 dan g(x) = 1, 1 2   x x x . Rumus (gf)(x)? 4. Diketahuif : R  R didefinisikan dengan f(x) = 3x – 5, g : R  R didefinisikan dengan 2, 2 1 )(     x x x xg . Hasil dari fungsi (gof)(x)? 5. Jika f(x) = 1x  dan (fg)(x) = 2 1x  , maka fungsi g adalah g(x)? 6. Diketahui fungsi f(x) = 3, 3 1    x x x , dan g(x) = x2 + x + 1. Nilai komposisi fungsi (g  f)(2) adalah 7. Suatu pemetaan f : R  R, g : R  R dengan (q  f)(x) = 2x2 + 4x + 5 dan g(x) = 2x + 3, maka f(x)? 8. Fungsi f : R  R didefinisikan dengan f(x) = 2 1 , 12 23    x x x . Invers dari f(x) adalah f – 1 (x)
  • 15.
    BAB III FUNGSI LIMIT 1.Pengertian limit Istilah limit dalam matematika hampir sama artinya dengan istilah mendekati. Akibatnya, nilai limit sering dikatakan sebagai nilai pendekatan. Sehingga Limit fungsi f (x) adalah suatu nilai fungsi yang diperoleh melalui proses pendekatan atau dengan variabel x, baik dari arah x yang lebih kecil, maupun dari arah x yang lebih besar. Secara umum : bila limit f (x) adalah L, untuk x mendekati a , maka limit f (x) ditulis Lxf ax   )(lim dengan x  a dibaca x mendekati a  Pengertian limit secara intuitif Untuk memahami pengertian limit secara intuitif, perhatikan contoh berikut:
  • 16.
    - Diketahui fungsif(x) = 2x + 1, untuk x bilangan real. Berapakah nilai f(x) jika x mendekati 2? Penyelesaian Untuk menentukan nilai f(x) jika x mendekati 2, kita pilih nilai-nilai x disekitar 2 (baik dari kiri maupn dari kanan). Kemudian, kita tentukan nilai f(x) seperti terlihat pada tabel berikut: X 1. 8 1.9 1.95 1.96 1.97 1.98 1.99 2 2.01 2.02 2.03 f(x) 4. 6 4.8 4.9 4.92 4.94 4.96 4.98 5 5.02 5.4 5.06 Dari tabel di atas, tampak bahwa jika x mendekati 2 dari kiri, f(x) mendekati 5 dari kiri, sedangkan jika x mendekati 2 dari kanan, f(x) mendekati 5 dari kanan. Teorema Limit Misal n bilangan bulat positip, k bilangan real, )(xf dan )(xg adalah fungsi- fungsi yang memiliki limit di titik cx  , maka: 1. kk cx   lim 2. cx cx   lim 3. )(lim)(lim xfkxfk cxcx   4. )(lim)(lim))()((lim xgxfxgxf cxcxcx  
  • 17.
    5. )(lim)(lim))()((lim xgxfxgxf cxcxcx  6. )(lim)(lim))()((lim xgxfxgxf axcxcx   7. 0)(lim, )(lim )(lim )( )( lim      xgasalkan xg xf xg xf cx cx cx cx 8.  n cx n cx xfxf )(lim))((lim   9. n cx n cx xfxf )(lim)(lim   Teorema di atas, dapat diaplikasikan dalam banyak hal pada penyelesaian soal-soal tentang limit. Contoh: 1. 2 2 2 2 lim33lim xx xx    2 2 lim3 x x  = 3(2) 2 = 12 2. 2 2 2 lim )3(lim3 lim       x x x x x x x x x xx 2 22 lim 3limlim     2 32   2 1  2. Limit fungsi Aljabar Suatu fungsi f(x) didefinisikan untuk x mendekati a, maka :   LxfLim 
  • 18.
    Jika x a maka  Menentukan limit fungsi 1. Metode Substitusi Langsung Contoh : 2. Memfaktorkan Contoh : 1) 2) 3. Mengalikan dengan Sekawan Contoh : 1) Jika diketahui fungsi f(x) dan nilai f(a) terdefinisi, maka lim ( ) ( ) x a f x f a      xfLimxfLim axax    1110 1   xLim x   1 1 1 1 1 1 0020        x Lim xx x Lim xx x Lim xxx 1 1092 1    x xx Lim x      1110110 1 101 00      xLim x xx Lim xx 47 9 2 2 3    x x Lim x 47 47 47 9 2 2 2 2 3        x x x x Lim x    167 479 2 22 3     x xx Lim x      47 9 479 2 32 22 3      xLim x xx Lim xx 844479 
  • 19.
    Contoh : 1.lim( ) ( ( )) x x x        3 2 2 2 3 2 3 9 6 15 2. 0 7)0(5 00 75 lim 22 0        x xx x Berikut ini akan dibahas limit limit fungsi Aljabar bentuk tak tentu yaitu :     1,,, 0 0 . Limit Bentuk       0 0 Limit ini dapat diselesaikan dengan memfaktorkan pembilang dan penyebutnya, kemudian “mencoret” faktor yang sama, lalu substitusikan nilai x = a. )( )( )( )( lim )()( )()( lim )( )( lim aQ aP xQ xP xQax xPax xg xf axaxax      Catatan : 1. Karena ax  , maka 0)(  ax sehingga pembilang dan penyebut boleh dibagi dengan )( ax  2. Nilai limitnya ada jika dan hanya jika : 0)( aQ 3. Jika pembilang atau penyebutnya memuat bentuk akar, maka sebelum difaktorkan dikalikan dulu dengan bentuk sekawannya. Contoh : 1. 6 1 33 23 3 2 lim )3)(3( )2)(3( lim 9 65 lim 332 2 3              x x xx xx x xx xxx 2. 2 5 2)0(40 500 24 5 lim )24( )5( lim 24 5 lim 2 2 2 2 02 2 023 23 0              xx xx xxx xxx xxx xxx xxx
  • 20.
    Limit Bentuk         Limitini dapat diselesaikan dengan membagi pembilang dan penyebut dengan variabel berpangkat tertinggi, selanjutnya menggunakan 0lim   x a x . Contoh : 2. 0 202 000 41 2 376 lim 42 376 lim 42 376 lim 2 32 4 2 4 3 4 4 44 2 4 3 234 23              xx xxx x x x x x x x x x x x x xxx xxx xxx Kesimpulan: Jika f x a x a x an n n( ) .....    0 1 1 dan g x b x b x bm m m( ) .....    0 1 1 maka: 1. mnuntuk b a xg xf x   , )( )( lim 0 0 2. mnuntuk xg xf x   ,0 )( )( lim 3. mnuntukatau xg xf x   , )( )( lim Limit Bentuk   Limit ini umumnya memuat bentuk akar:  )()(lim xgxf x   Cara Penyelesaian : 1. Kalikan dengan bentuk sekawannya !
  • 21.
    )()( )()( lim )()( )()( )()(lim xgxf xgxf xgxf xgxf xgxf xx               2. Bentuknyaberubah menjadi         3. Selesaikan seperti pada limit sebelumnya. Contoh: 1. 1426lim 22   xxxx x             1426 1426 1426lim 22 22 22 xxxx xxxx xxxx x     1426 1426 lim 22 22    xxxx xxxx x 5 2 10 11 10 1426 110 lim 22       xxxx x x Sehingga 51426lim 22   xxxx x               xxxx xxxx xxxx xxxx x x 32 32 32lim 32lim.2 22 22 22 22     xxxx xxxx x 32 32 lim 22 22      xxxx xx x 32 4 lim 22 2   
  • 22.
          x x x x xx x3 1 1 2 4 lim Secara umum:   rqxpxcbxax x 22 lim 1) pajika a qb   , 2 2) pajika , 3) pajika  , Sebagai latihan bagi pembaca, buktikan soal-soal berikut: 1) 2 1 4 2 42 )5(3 254134lim 22     xxxx x 2)   83174lim 22 xxxx x 3)   745324lim 22 xxxx x 3. Limit fungsi Trigonometri a. Fungsi Trigonometri Gambar 3.1 segitiga siku-siku x ry C B A  y
  • 23.
    Pada gambar 3.1di atas, ABC adalah segitiga yang salah satu sudutnya  dan siku-siku pada  CBA. Misal AB = x, BC = y dan AC = r , berdasarkan segitiga ABC yaitu: BC AC AB AC BC AB AB BC AC AB AC BC ,,,, Karena A =  maka perbandingan tersebut dinyatakan dengan: 1. sin r y AC BC 2. cos r x AC AB 3.    tan cos sin / /  ACAB ACBC x y AB BC 4. cot sin cos / /  x x ACBC ACAB y x BC AB 5.   sec cos 1 / 1 / 1  rxACABAB AC 6.   csc sin 1 / 1 / 1  y r ryACBCBC AC Karena ABC salah satu sudutnya siku-siku, sehingga menurut teorema Pythagoras berlaku: 222 ACBCAB  222 ryx  Selanjutnya secara berurutan persamaan 222 ryx  dibagi 222 ,, ryx diperoleh persamaan baru 1. 2 2 2 2 2 2 r r r y r x      )1(1sincos 1sincos 1 22 22 22                  r y r x
  • 24.
    2. 2 2 2 2 2 2 x r x y x x    )2(sectan1 )(sectan1 1 22 22 22                  x r x y 3.2 2 2 2 2 2 y r y y y x    )3(csc1cot )(csc1cot 1 22 22 2 2 2                  y r y x Persamaan (1), (2), dan (3) dinamakan rumus-rumus identitas. Beberapa rumus fungsi trigonometri yang lain adalah: 1.  sin)sin(  2.  cos)cos(  3.  tan)tan(  4.                2 cos 2 sin2sinsin   5.                2 cos 2 cos2coscos   6.  cossin22sin  7.  2222 sin211cos2sincos2cos  8.  )cos(cos( 2 1 sinsin   9.  )cos()cos( 2 1 coscos   10.  )sin()sin( 2 1 cossin   11. 2 cos1 2 sin xx       
  • 25.
    Limit fungsi Trigonometri Denganmenggunakan teorema prinsip apit dan rumus geometri kita dapatkan teorema dasar dari limit fungsi trigonometri sebagai berikut. Teorema 1 1 sin lim 0   x x x Dalam membuktikan teorema di atas kita dapatkan suatu akibat yaitu 1coslim 0   x x Dengan menggunakan teorema dasar limit fungsi trigonometri dapat dibuktikan teorema-teorema berikut: Teorema 2 1) 1 sin lim 0   x x x 2) 1 tan lim 0   x x x 3) 1 tan lim 0   x x x 4) 1 sin lim 0   x xarc x 5) 1 sin lim 0   xarc x x 6) 1 tan lim 0   x xarc x 7) 1 tan lim 0   xarc x x Bentuk-bentuk di atas dinamakan dengan limit fungsi trigonometri. Dengan berpandu pada teorema limit dan bentuk tak tentu. Maka persoalan tentang limit fungsi trigonometri dapat diselesaikan
  • 26.
    Untuk keperluan praktisteorema tersebut dapat dikembangkan menjadi: b a bx ax bx ax xx   sin lim sin lim 00 b a bx ax bx ax xx   tan lim tan lim 00 b a bx ax bx ax xx   sin tan lim tan sin lim 00 Seperti pada fungsi aljabar, maka pada fungsi trigonometri juga berlaku bahwa jika f(a) terdefinisi, maka: lim ( ) ( ) x a f x f a   Contoh : 1.   1100cos0sincos2sinlim 0   xx x Berikut ini akan dibahas limit Fungsi Trigonometri bentuk tak tentu yaitu :     1,,, 0 0 Limit Bentuk       0 0 1. 3 2sin lim 3 2 sin3 sinsin2 lim sin3 sin2 lim sin3 )sin21(1 lim sin3 2cos1 lim 0 2 0 2 00      x x xx xx xx x xx x xx x oxxxxx Soal-soal Latihan 1. 14194 6116 lim 23 23 1    xxx xxx x 2. 235 345 826 72 lim xxx xxx x    3. 2512 7810 12 32 lim xxx xxx x   
  • 27.
    4. 346 47 72 263 lim xxx xx x    5. 1 2 lim2 2 1    x xx x BAB IV TURUNAN DAN APLIKASINYA 1. Konsep turunan  Laju Perubahan Nilai Fungsi axpadaxf  )(y f(a+h) Q f(a+h)-f(a) f(a) P a a+h h Perhatikan grafik fungsi y=f(x) pada interval haya  dan nilai fungsi berubah dari )()( hafyaf  . Koordinat ))(,( afaP dan ))(,( hafhaQ  dapat disimpulkan bahwa: Perubahan rata-rata nilai fungsi f terhadap x dalam interval haxa  dapat diperoleh dari: h afhaf aha afhaf )()()()(     Nama h afhaf h )()( lim 0   disebut laju perubahan nilai fungsi f(x) pada ax  . Nilai limit tersebut dilambangkan )(1 xf  dan disebut turunan fungsi f(x) terhadap x untuk ax 
  • 28.
    Kesimpulan: Contoh 1: Diketahui ,23)(2 xxxf  Tentukan )(1 xf  Jawab: )(2)(3)( 2 hxhxhxf  hxhxhxhxf 22363)( 22  xxxf 23)( 2  )236(lim )236( lim )()( lim)( )236( 236)()( 0 0 0 1 2            hx h hxh h afhaf xf hxh hhxhxfhxf h h h 2. Notasi Turunan dan Rumus Dasar Turunan Turunan dari sebuah fungsi f dengan variabel x atau f(x) adalah fungsi lain yang dinotasikan dengan f 1 (x). Jika kita menuliskan y = f(x), dx dy adalah koefisien turunan (diferensial) untuk fungsi f(x). Atau turunan dari fungsi f dapat juga dinyatakan dengan menggunakan operator D dengan menuliskan D[f(x)] = f 1 (x). Dapat di tuliskan notasi turunan sebagai berikut: Dimana: 1 y atau )(1 xf notasi aksen. Notasi dx df disebut pula notasi Leibnizt. 1 y atau )(1 xf atau dx df  atau dx dy  Turunan fungsi h afhaf xfxf h )()( lim)()( 0 1    
  • 29.
    Tabel berikut inimemuat daftar turunan (diferensial) baku yang akan membantu kita dalam menyelesaikan persoalan turunan fungsi sederhana. Rumus Dasar Turunan Selanjutnya kita akan mengenal terlebih dahulu sifat-sifat turunan yang juga akan memudahkan kita dalm menyelesaikan persoalan turunan. 3. Rumus turunan fungsi aljabar Jika n bilangan rasional, a dan c konstanta sedangkan f'(x) turunan dari f(x)maka berlaku rumus turunan No y = f(x) dx dy = f ’(x) 1 k, k adalah konstanta 0 2 xn nxn-1 , n  Riil 3 ex ex 4 ekx kekx 5 ax ax ln(a) 6 ln(x) x 1 7 loga x )ln( 1 ax Jika f(x) = c maka turunannya adalah f'(x)= 0. Jika f(x) = x n maka turunannya adalah f'(x) = nx n – 1 .
  • 30.
     Sifat-sifat turunan. Jikaf(x) dan g(x) adalah dua fungsi yang mempunyai turunan yaitu f ‟(x) dan g ‟(x) maka berlaku : 1. ( )( ) (x) 2. ( ) ( ) ( ) ( ) 3. ( ) ( ) ( ) ( ) 4. ( ) ( ) ( ) ( ) ( ) ( ) 5.    2 ''' )( )().()().( xg xgxfxgxf x g f        , g(x) ≠ 0 untuk dua sifat (rumus) terakhir dapat diringkaskan agar memudahkan kita untuk menghafalnya, yaitu dengan cara memisalkan u = f(x) maka u1 = f 1 (x) dan v = g(x) maka v1 = g 1 (x). sehingga dua rumus terakhir dapat dituliskan sebagai berikut : ( ) dan 2 ''' .. )( v vuvu x v u        , v ≠ 0. Selanjutnya, contoh-contoh berikut akan menjelaskan bagaimana daftar (rumus) dasar turunan dan sifatnya dapat digunakan dalam menyelesaikan persoalan turunan untuk fungsi sederhana. Perhatikan Contoh contoh di bawah ini 1. Tentukan turunan dari fungsi y = x4 + 5x3 – 4x2 + 7x – 2. Penyelesain y = x4 + 5x3 – 4x2 + 7x – 2, berdasarkan rumus no.1 dan 2 pada daftar maka dx dy = 4x4-1 + 5 (3x3-1 ) – 4 (2x2-1 ) + 7 (x1-1 ) – 0 = 4x3 + 15x2 - 8x + 7. Contoh
  • 31.
    2. Tentukan turunandari fungsi y = 3x4 – 7x3 + 4x2 + 3x – 4 pada x = 2. Penyelesaian. y = 3x4 – 7x3 + 4x2 + 3x – 4, berdasarkan rumus no.1 dan 2 pada daftar maka dx dy = 3 (4x3 ) – 7 (3x2 ) + 4 (2x) + 3 (1) – 0 = 12x3 – 21x2 + 8x + 3 dan untuk x = 2, maka dx dy = 12 (2)3 – 21 (2)2 + 8 (2) + 3 = 31. 4. Rumus turunan fungsi trigonometri  Turunan Sinus dan Kosinus pada dasarnya turunan sinus dan kosinus mengacu pada definisi turunan, namun hasilnya telah diringkaskan pada teorema berikut :  Teorema 1 Fungsi-fungsi f (x) = sin x dan g(x) = cos x, keduanya mempunyai turuna (dapat didiferensialkan) yaitu turunan sin x adalah f ‟(x) = cos x dan turunan cos x adalah g ‟(x) = - sin x. Dengan menggunakan teorema 1 diatas dan rumus turunan hasil kali serta turunan hasil bagi, maka dapat di tentukan rumus turunan fungsi trigonometri lainnya yang dinyatakan pada teorema berikut.  Teorema 2 Turunan trigonometri a) )(sin x dx d = cos x b) )(cosx dx d = – sin x,
  • 32.
    c) )(tan x dx d =sec2 x. d) )(cotanx dx d = - cosec2 x. e) )(sec x dx d = sec x . tan x f) )(cosecx dx d = - cosec x . cotan x Bukti: a) h xhx h xfhxf yxy hh sin)sin( lim )()( lim'sin 00      x x h h hx h hhx hh h cos 2 1 .1.cos2 2 1 . 2 2 sin lim 2 2 coslim2 2 sin 2 2 cos2 lim 00 0         b). h xhx h xfhxf yxy hh cos)cos( lim )()( lim'cos 00      x x h h hx h hhx hh h sin 2 1 .1.sin2 2 1 . 2 2 sin lim 2 2 sinlim2 2 sin 2 2 sin2 lim 00 0           y sebagai fungsi trigonometri : y = sin x turunannya y‟ = cos x y = cos x turunannya y‟ = -sin x
  • 33.
    y = tgx turunannya y‟ = sec2 x y = ctg x turunannya y‟ = -cosec2 x y = secx turunannya y‟ = secx tgx y = cosecx turunannya y‟ = -cosecx ctg x Contoh : y = -3tgx  y‟ = -3sec2 x y = ctg2x  y‟ = -2cosec2 2x y = sec2x  y‟ = 2sec2x tg2x y = cosec3x  y‟ = -3cosec3x ctg3x y = cos(1-x2 )  y‟ = 2xsin(1-x2 )  y sebagai fungsi logaritma : y = ln x turunannya y‟ = 1/x y = g logx turunannya y‟ = 1/xlng Contoh : y = 3 logx  1 / x ln3 y = ln 2x  1 / 2x  y sebagai fungsi eksponen : y = ax turunannya y‟ = ax ln a y = ex turunannya y‟ = ex Contoh : y = 2x  y‟= 2x ln 2 y = ex  y‟ = ex y = x2 – e3x  y = 2x – e3x
  • 34.
    Contoh 1. Turunan DenganAturan Rantai. Turunan dengan aturan rantai muncul dari fungsi yang merupakan komposit fungsi lainnya. Rumus turunan aturan rantai dinyatakan dalam teorema berikut.  Teorema 3. Misalkan menentukan fungsi komposit y = f[g(x)] = (f o g)(x). Jika g punya turunan di x dan f punya turunan di u, maka (f o g)(x) punya turunan di x yaitu : (f o g) ‟(x) = f ‟[g(x)] . g ‟(x), atau dx dy = du dy . dx du . Jika y = f(u) dan u = g(v) dan v = h(x), maka dx dy = du dy . dv du . dx dv disebut aturan rantai bersusun dan dapat dilanjutkan untuk fungsi yang komposisinya lebih dari tiga. Contoh 1. Tentukan turunan dari fungsi y = (3x + 5)4 . Penyelesaian. Misalkan u = 3x + 5  y = u4 du dy = 4u3 dan dx du = 3, sehingga dx dy = du dy . dx du = (4u3 ) (3) = 12u3 = 12 (3x + 5)3 2. Aplikasi turunan
  • 35.
    Turunan suatu fungsidapat digunakan dalam penafsiran geometris dari suatu fungsi, diantaranya: 1) Gradien garis singgung kurva f(x) di titik x = a , yaitu m = f‟(a) Rumus persamaan garis singgung kurva yang melalui titik (a, b) dan bergradien m adalah: y – b = m(x – a) 2) Fungsi f(x) naik, jika f‟(x) > 0, dan turun, jika f‟(x) < 0 3) Fungsi f(x) stasioner jika f‟(x) = 0 4) Nilai stasioner f(x) maksimum jika f‟‟(x) < 0, dan minimum jika f‟‟(x) > 0 BAB V
  • 36.
    INTEGRAL 1. KONSEP INTEGRAL Integraladalah kebalikan dari turunan (diferensial).Oleh karena itu integral disebut juga anti diferensial.Ada 2 macam integral, yaitu integral tentu dan integral tak tentu. Integral tentu yaitu integral yang nilainya tertentu, sedangkan integral tak tentu, yaitu integral yang nilainya tak tentu. Pada integral tentu ada batas bawah dan batas atas yang nanti berguna untuk menentukan nilai integral tersebut. Kegunaan integral dalam kehidupan sehari-hari banyak sekali, diantaranya menentukan luas suatu bidang, menentukan voluem benda putar, menentukan panjang busur dan sebagainya. Integral tidak hanya dipergunakan di matematika saja. Banyak bidang lain yang menggunakan integral, seperti ekonomi, fisika, biologi, teknik dan masih banyak lagi disiplin ilmu yang lain yang .Jika turunan suatu fungsi : Y = f (X) ; maka untuk menentukan fungsi asalnya melakukan pengintgrasian. F (X) = ∫ f (x) dx ; Keterangan: ∫ : Tanda Integral f (x) : Integran (fungsi yang diintegralkan) dx : Operator penurunan yang mengikat operasi yang dibentuk terhadap variabel X. Maka dF(X) / dx = f (x) ; maka : ∫ f(x) dx = F (X) + C 2. INTEGRAL TAK TENTU  Integral tak Tertentu dari fungsi aljabar Karena integral merupakan kebalikan (invers) dari turunan, maka untuk menemukan rumus integral kita beranjak dari turunan. Turunan suatu fungsi y = f(x) adalah y „ = f „ (x) atau dx dy , sedangkan notasi integral dari suatu fungsi y = f(x) adalah   dxxfdxy )( yang dibaca “ integral y terhadap x ”. Turunan suatu fungsi konstan adalah 0 atau integral 0 adalah suatu fungsi konstan, biasanya diwakili oleh notasi c.
  • 37.
    Rumus umum integraldari n axy  adalah cx n a n   1 1 atau ditulis :      cx n a dxax nn 1 1 untuk 1n Contoh 1 :Tentukan :   dxxxd dx x c dxxxxxb dxxa      2. 3 8 . 27635. 2. 4 234 3 Penyelesaian :   cxcxdxxdxxxd c x cxdxxdx x c cxxxxxdxxxxxb cxcxdxxa             2 5 2 5 2 3 3 34 4 2345234 443 5 4 2 5 2 22. 9 8 )3(3 8 3 8 3 8 . 2 2 7 2 4 3 27635. 2 1 4 2 2. LATIHAN SOAL 1. Integralkan !       dxxxxxd dx x c dxxb dxxa 75243. 1 . 5. 2. 234 4 5  Pemakaian Integral Tak Tentu
  • 38.
    Pada integral taktentu terdapat nilai konstanta c yang tidak tentu nilainya. Untuk menentukan fungsi f dari suatu fungsi turunan, maka harus ada data yang lain sehingga harga c dapat diketahui.. Contoh 1 : Diketahui f „(x) = 5x – 3 dan f(2) = 18. Tentukan f(x) ! Penyelesaian : 182.3)2( 2 5 18)2( 3 2 5 )35()( 2 2    cf cxxdxxxf 18610  c 1816  c 2 c Jadi 23 2 5 )( 2  xxxf Contoh 2 : Jika gradien garis singgung di titik (x,y) pada sebuah kurva yang melalui titik (3,4) ditentukan 583 2  xx dx dy , maka tentukan persamaan kurva tersebut ! LATIHAN SOAL 1. Tentukan rumus f(x) jika diketahui : a. f „(x) = 2x dan f(4) = 10 b. f „(x) = 8x – 3 dan f(-1) = 10 c. f „(x) = 2 2 1 x x  dan f(1) = 3 1 d. f „(x) = x - x dan f(4) = -3 e. f „(x) = 1 - 2 1 x dan f(4) = 1 2. Diketahui titik (3,2) terletak pada kurva dan gradien garis singgung di titik (x,y) pada kurva tersebut didefinisikan 2x – 3. Tentukan persamaan kurva tersebut ! 3. Gradien suatu kurva pada setiap titik (x,y) ditentukan oleh xx dx dy 23 2  dan kurva itu melalui titik (-3,2). Tentukan persamaan kurva itu !
  • 39.
    4. Kecepatan suatubenda bergerak dinyatakan oleh 1612)( 2  tttv . Setelah benda itu bergerak 1 detik, jarak yang ditempuh 4 m. Tentukan persamaan gerak dari benda itu ! 5. Diketahui rumus percepatan a(t)= 12 t dan kecepatan v(0) = 6. Tentukanlah rumus kecepatan v(t) jika a(t)= dt dv  Integral Tak Tertentu dari fungsi Trigonometri Kita telah mempelajari turunan fungsi trigonometri yang secara ringkas dapat digambarkan sebagai berikut : xxxxx sincossincossin  xecx xx 2 2 coscot sectan    artinya turunan. Karena integral adalah invers dari turunan maka : Bentuk dasar tersebut adalah: 1.  xsin dx = -cos x + C 2.  xcos dx = sin x + C 3. tan x dx = ln Cx sec = -ln Cx cos 4. cot x dx = - ln Cx csc = ln Cx sin 5.  xsec dx = ln Cxx  tansec cscx dx = ln Cxx  cotcsc 6. x 2 sec dx = tan x + C
  • 40.
    Contoh 1 :Tentukan :     dxxxb dxxxa )3sin4cos2(. )cos2sin5(. Penyelesaian : cxxxdxxxb cxxdxxxa     3cos4sin2)3sin4cos2(. sin2cos5)cos2sin5(. Contoh 2 : 2.  xdx3 sin Jawab  xdx3 sin = dxx  1)13( sin = xxsinsin2  dx =   )cos()cos1( 2 xdx =   )(coscos)cos(1 2 xdxd LATIHAN SOAL 1. Tentukan integral fungsi berikut !                 dxxxe dxxxd dxxxc dxxxb dxxa sin2. sin2. sin6cos8. cossin. sin5. 2
  • 41.
    3. INTEGRAL TERTENTU Definisi: Misal f(x) suatu fungsi yang didefinisikan pada [a,b], selanjutnya f(x) dikatakan terintegralkan (integrable) pada [a,b] jika    n i ii P xxf 10 )(lim ada. Selanjutnya  b a dxxf )( disebut Integral Tentu (Integral Riemann) f(x) dari a ke b, dan didefinisikan  b a dxxf )( =    n i ii P xxf 10 )(lim .  b a dxxf )( menyatakan luas daerah yang tercakup diantara kurva y = f(x) dan sumbu x dalam selang [a,b], jika  b a dxxf )( bertanda negatif maka menyatakan luas daerah yang berada dibawah sumbu x. Definisi : 1.  a a dxxf )( = 0
  • 42.
    2.  b a dxxf )(= -  a b dxxf )( , a > b Teorema Dasar Kalkulus Teorema dasar Kalkulus memberikan kemudahan untuk menghitung Integral Tentu, berikut teorema tersebut : Misal f(x) kontinu pada [a,b] dan F(x) sebarang anti turunan f(x), maka  b a dxxf )( = F(b) – F(a) Selanjutnya ditulis F(b) – F(a) = b axF )]([ Contoh : 1. Perlihatkan bahwa jika r  Q dan r  -1, maka 11 11       r a r b dxx rrb a r Jawab : Karena F(x) = 1 1   r xr suatu anti turunan dari f(x) = xr , maka menurut teorema dasar Kalkulus 11 )()( 11       r a r b aFbFdxx rrb a r Contoh : Hitung dxxx )64( 2 1 2    Jawab : dxxdxxdxxx    2 1 2 2 1 2 1 2 64)64( = 4 2 1 32 1 2 3 6 2                   xx
  • 43.
    = 4              3 1 3 8 6 2 1 2 4 = 12 Sifat-Sifat Integral Tentu 1. Sifat Penambahan Selang Teorema : Jika f(x) terintegralkan pada suatu selang yang memuat tiga titik a, b dan c, maka dxxf c a  )( = dxxf b a  )( + dxxf c b  )( bagaimanapun urutan a, b dan c. Contoh : 1. dxxdxxdxx   2 1 2 1 0 2 2 0 2 2. dxxdxxdxx   2 3 2 3 0 2 2 0 2 3. dxxdxxdxx     2 1 2 1 0 2 2 0 2 2. Sifat Simetri Jika f(x) fungsi genap, yaitu suatu fungsi yang memenuhi sifat f(-x) = f(x) , maka: dxxf a a   )( = 2 dxxf a  0 )( dan Jika f(x) fungsi ganjil, yaitu suatu fungsi yang memenuhi sifat f(-x) = - f(x), maka dxxf a a   )( = 0. Contoh : 1.                 0 4 cos2 4 cos dx x dx x 24 4 1 . 4 cos8 0        dx x
  • 44.
    2. dx x x    5 5 2 5 4 =0 Secara lebih umum, sifat-sifat integral tertentu adalah: Jika f(x) dan g(x) kontinu pada interval [a,b] dan k Real dan f(x), g(x) terintegralkan pada interval tersebut, maka: 1.   b a b a dxxfkdxxkf )()( 2. dxxgdxxfdxxgxf b a b a b a   )()()]()([ 3. ,)()()]()([ dxxgdxxfdxxgxf b a b a b a   4. 0)(  a a dxxf 5.   a b b a dxxfdxxf )()( , jika b < a 6.  b a dxxf )(   b c c a dxxfdxxf )()( , c ),( ba 7. ,0)(  a a xf jika f(-x) = -f(x) 8.  a a dxxf )( = 2  a dxxf 0 )( , jika f(-x) = f(x) 9. Jika F(u) =  b a dxxf )( , maka )()( ufuF du d  10.  b a dxxf )( = (b-a) )( oxf untuk paling sedikit x = x o antara a dan b. 11.   b a b a dxxgdxxf )()( jika dan hanya jika f(x)  g(x) untuk setiap x [a,b]. 12. )()( xfdttfD x ax       
  • 45.
    Contoh Tentukan hasil integral 1.dxx  2 0 )2( Jawab dxx  2 0 )2( = 2 0 2 2 2        x x =              2 0 0.2 2 2 2.2 22 = (4+2) – (0+0) = 6 2.   2 0 32 )1( dxxx Jawab Misalnya u = (x 13  ) du = 3x 2 dx dxx du 2 3  Untuk x = 0 maka u = 1 dan untuk x = 2 maka u = 9, sehingga:   2 0 32 )1( dxxx =  9 1 3 du u = 9 1 2 6      u =      6 1 6 91 hasil pengintegralan fungsi-fungsi berikut ini:
  • 46.
    1.   8 1 31dxx 2. dxxx 2 )1(  =    dxxxx 21 =   dxxxxx )2( 2 , dengan sifat integral diperoleh = xdx -  xx2 dx +  dxx2 = 3 3 2 2 5 1 2 3 1 ) 5 2 (2 2 1 CxCxCx  = 321 32 5 2 3 1 ) 5 2 (2 2 1 CCCxxx  = Cxxx  32 5 2 3 1 ) 5 2 (2 2 1 4. INTEGRAL SUBSTITUSI Cara menentukan integral dengan menggunakan cara substitusi-1 yaitu dengan mengubah bentuk integral tersebut ke bentuk lain dengan notasi lain yang lebih sederhana sehingga mudah menyelesaikannya. Cara ini digunakan jika bagian yang satu ada kaitan turunan dari bagian yang lain. Contoh 1 : Tentukan integral dari :    dxxxb dxxxa cossin2. )14(2. 5 102 Penyelesaian : a. Misal : 14 2  xu Maka:
  • 47.
    x du dx x dx du 8 8   Sehingga :    cxcuduu x du uxdxxx 112111010102 )14( 44 1 11.4 1 4 1 8 ..2)14(2 b. Misal u = sin x x du dx x dx du cos cos   Sehingga :    cxcuduu x du xudxxx 66555 sin 3 1 6 2 2 cos cos.2cossin2 Istilah lain untuk integral substitusi adalah pemisalan. Teknik substitusi pada umumnya digunakan untuk memudahkan selesaian integral ke bentuk rumus dasar rumus integral tak tentu, yaitu; a.  n x dx = 1 1   n xn + C, asalkan n  -1 atau b.   dxxfxf n )(')( =   1 )( 1   n xf n + C, asalkan n  -1 Karena rumus di atas adalah pedoman umum. maka integrannya menyesuaikan dengan rumus di atas. Jika belum sesuai atau menyimpang dari bentuk di atas maka sedapat mungkin diubah terlebih dahulu. Dengan demikian setelah integran sesuai dengan bentuk baku integralnya dapat
  • 48.
    dilakukan dengan mengaplikasikanrumus dasar integral tidak tentu. Akhirnya selesaiannya dapat dilakukan dengan metode substitusi. Perhatikan beberapa contoh berikut: 1.   x1 dx Misal u = x1 xu  12 )1()( 2 xdud  dxudu  2 Substitusi bentuk terakhir ke   x1 dx, diperoleh   duuu )2( = -2  duu2 Dengan rumus dasar di dapat   x1 dx = -2  duu2 = -2 C u       3 3 = - Cx  3 )1( 3 2 2.   dxx 11 )123( Misal A = 3x + 12 d(A) = d(3x+12)
  • 49.
    dA = 3dx dx = 3 dA Sehingga   dxx 11 )123( =  3 11 dA A =  dAA11 3 1 = C A ) 12 ( 3 1 12 = CA 12 36 1 = C x   36 )123( 12 Soal-soal Tentukan hasil pengintegralan di bawah ini: 1.   dttt 2/3 )2( Jawab Misal M = (t+2) 2 3 M 2 = (t+2)3 2M dM = 3(t+2) 2 dt   dttt 2/3 )2( =   2 )2(3 2 .. t MdM tM =  dMM t t 2 2 )2(3 2
  • 50.
    = 3 2 3 1 )2(3 2 M t t  + C =2 9 2 )2( )2(9 2   t t t + C = Ct t  2 5 )2( 9 2 LATIHAN SOAL Tentukan integral dari fungsi –fungsi berikut dengan menggunakan metode substitusi !       dx x dxx dxx       4 5 5 15 2 .3 46.2 32.1 5. INTEGRAL PARSIAL Secara umum integral parsial digunakan untuk menentukan selesaian integral yang integrannya merupakan perkalian dua fungsi uv, dimana u = f(x) dan v = g(x). Karena y = uv, maka menurut definisi differensial dan turunan fungsi y = uv diperoleh dy = d(uv) d(uv) = u dv + v du Dengan mengintegralkan masing-masing bagian diperoleh    vduudvuvd )(
  • 51.
       vduuvdudv )(    vduuvudv Sehigga Seperti telah kita ketahui pada turunan jika y = uv maka y „ =u ‟ v + uv ‟. Jika kita integralkan kedua rua, maka akan didapat :       dxvuuvdxvuydxuvdxuvdxvudxy '''''' Rumus di atas sering disingkat dengan :   duvuvdvu Bentuk terakhir ini dinamakan rumus integral parsial. Prinsip yang digunakan dalam integral parsial adalah integran yang berbentu uv di manipulasi menjadi u dv dan dalam menentukan udv tidak boleh memunculkan persoalan yang lebih sulit dibandingkan dengan udv tersebut. Perhatikan beberapa contoh berikut ini. Tentukan integral persial berikut ini 1.  xdxxcos Jawab Bentuk  xdxxcos diubah menjadi  udv, Misal u = x , dv = 1 dx dv = cos x dx , v =  xcos dx = sin x
  • 52.
    Akibatnya  xdxxcos=  x d(sin x). Dengan rumus integral parsial   vduuvudv , diperoleh  x d(sin x) = x sin x -  xsin d(x) = x sin x -  xsin dx = x sin x + cos x + C Akhirnya diperoleh  xdxxcos = x sin x + cos x + C 2.   xx 1 dx Pilih u = x , du = dx dv = x1 , v =   x1 dx = 3 1 3 2 x Sehingga   xx 1 dx =   )1 3 2 ( 3 xxd Berdasarkan rumus integral parsial   vduuvudv , diperoleh   xx 1 dx =   )1 3 2 ( 3 xxd = 3 11 3 2  x -   )(1 3 2 3 xdx = 3 11 3 2  x -   dxx3 1 3 2
  • 53.
    = 3 11 3 2  x - Cx3 4 )1( 4 2 Contoh 1 : Tentukan :    dxxxb dxxxa sin. )15(2. 6 Penyelesaian : a. Misal 2x = u maka 2 dx = du Misal dv =     776 )15( 35 1 15 7 1 . 5 1 15  xxvdxx cxx x cxx x dxxxxdxxx     87 87 726 )15( 700 1 )15( 35 2 )15( 8 1 . 5 1 . 35 2 )15( 35 2 2.)15( 35 1 )15( 35 1 .2)15(2 b. Misal x = u maka dx = du Misal dv = sin x dx maka v = -cos x    cxxxdxxxxdxxx sincoscoscos.sin LATIHAN SOAL Tentukan integral berikut dengan metode parsial !
  • 54.
  • 55.
    Daftar Pustaka [1] AchsanulIn‟am, 2000. Kalkulus I. Malang: UMM Press. [2] Edwin J. Purcell., Dale Varberg. 1989. Kalkulus dan Geometri Analitis. Jilid 2 (terjemahan I Nyoman Susila dkk). Bab 18. Jakarta; Erlangga. [3] Frank Ayres., J.C Ault. 1984. Kalkulus Diferensial dan Integral (Seri Buku Schaum). Alih Bahasa Lea Prasetyo. Jakarta: Erlangga.. [4] Sudaryono dkk.2010. Kalkulus For It. Andi.Yogyakarta [5] Varberg,et all.2003.Kalkulus edisi ke 8 jilid 1.erlangga, Jakarta. [6] Wilfred Kaplan. 1961. Ordinary Differential Equations. Massachusetts: Addison Wesley Publishing Company, Inc.