PROGRAM LINEAR 
Program linear yaitu suatu metode untuk mencari nilai maksimum atau nilai minimum dari 
bentuk linear pada daerah yang dibatasi grafik -grafik fungsi linear. 
Himpunan penyelesaian dari sistem pertidaksamaan linear dua peubah merupakan suatu 
himpunan titik-titik (pasangan berurut (x,y)) dalam bidang cartesius yang memenuhi semua 
pertidaksamaan linear dalam sistem tersebut. Sehingga daerah himpunan penyelesaiannya 
merupakan irisan himpunan-himpunan penyelesaian dari pertidaksamaan dalam sistem 
pertidaksamaan linear dua peubah itu. Untuk lebih mudah dalam memahami daerah 
penyelesaian dari sistem pertidak-samaan linear dua peubah, perhatikan contoh berikut. 
Contoh: 
Tentukan daerah penyelesaian dari sistem pertidaksamaan linear berikut! 
3x + 5y 15 
x 0 
y 0 
Penyelesaian: 
Gambar garis 3x + 5y =15, x = 0, dan y =0 
Untuk 3x + 5y 15 
Pilih titik (0,0), kemudian substitusikan ke pertidaksamaan sehingga diperoleh: 
3 × 0 + 5× 0 15 
0 15 (benar), artinya dipenuhi 
Sehingga daerah penyelesaiannya adalah daerah yang memuat titik (0,0) 
Untuk x 0, pilih titik (1,1) kemudian disubstitusikan ke pertidaksamaan sehingga diperoleh: 
1 0 (benar), artinya dipenuhi. 
Sehingga daerah penyelesaiannya adalah daerah yang memuat titik (1,1) 
Untuk y 0, pilih titik (1,1) kemudian substitusikan ke pertidaksamaan sehingga diperoleh: 
1 0 (benar), artinya dipenuhi. 
Sehingga himpunan penyelesaiannya adalah daerah yang memuat titik (1,1). 
Selanjutnya arsir daerah yang memenuhi persamaan, seperti gambar dibawah ini. 
Daerah penyelesaian sistem pertidaksamaan merupakan irisan dari ketiga himpunan 
penyelesaian pertidaksamaan di atas, yaitu seperti terlihat pada gambar berikut ini (daerah 
yang diarsir). 
Pertidaksamaan Linear juga dapat digunakan untuk memecahkan masalah dalam kehidupan 
sehari-hari. Hal ini dapat dilakukan dengan memodelkan masalah menjadi model matematika. 
Jadi, Model matematika merupakan suatu cara sederhana untuk menerjemahkan suatu 
masalah ke dalam bahasa matematika dengan menggunakan persamaan, pertidaksamaan, atau 
fungsi. 
Perhatikan contoh berikut : 
Pak Adi merupakan seorang pedagang roti. Beliau menjual roti menggunakan gerobak yang 
dapat memuat 600 bungkus roti. Roti yang dijualnya yaitu roti manis dan roti tawar dengan 
harga masing-masing Rp 5.500,00 untuk roti manis dan Rp 4.500,00 untuk roti tawar per 
bungkusnya. Dari penjualan roti tersebut, beliau memperoleh keuntungan Rp 500,00 dari 
sebungkus roti manis dan Rp 600,00 dari sebungkus roti tawar. Apabila modal yang dimiliki 
oleh Pak Budi adalah Rp 600.000, buatlah model matematika agar beliau dapat memperoleh 
keuntungan sebesar-besarnya! 
Penyelesaian : 
Permasalahan Pak Adi diatas dapat dimodelkan dalam bentuk matematika dengan 
menggunakan sistem pertidaksamaan linear dua variabel. Dengan memisalkan banyaknya roti 
manis sebgai x dan roti tawar sebagai y sehingga diperoleh tabel sebagai berikut.
Berdasarkan tabel diatas jika kita tuliskan dalam bentuk pertidaksamaan linear menjadi 
x + y ≤ 600, 
5.500x + 4.500y ≤ 600.000, 
Untuk x, y anggota bilangan cacah, x ≥ 0, y ≥ 0 
Dua pertidaksamaan terakhir (baris ketiga) menunjukkan syarat dari nilai x dan y. Dikarena x 
dan y merupakan pernyataan yang menyatakan banyaknya roti, maka tidak mungkin nilai x 
dan y bernilai negatif. 
Perhatikan kolom keempat dari tabel di atas yang menyatakan fungsi yang akan ditentukan 
nilai maksimumnya (nilai optimum). Fungsi tersebut dapat dituliskan dalam persamaan 
matematika sebagai berikut. 
f(x,y) = 500x + 600y 
untuk menyelesaikan sistem pertidaksamaan diatas kita dapat mengikuti langkah berikut : 
1. Ubah masalah tersebut ke dalam model matematika yaitu dengan membuat tabel, fungsi 
pembatas dan fungsi tujuan. Tabel di sini untuk mempermudah membaca data. Fungsi 
pembatas/kendala yaitu beberapa pertidaksamaan linier yang berhubungan dengan 
permasalahan tersebut. Fungsi tujuan/objektif yaitu suatu fungsi yang berhubungan dengan 
tujuan yang akan dicapai. Biasanya fungsi tujuan dinyatakan dengan f(x,y) = ax + by atau z = 
ax + by 
2. Lukislah daerah penyelesaian dari fungsi pembatasnya 
3. Tentukan koordinat-koordinat titik ujung daerah penyelesaian. Jika belum ada gunakan 
bantuan eliminasi dari perpotongan 2 garis 
4. Ujilah masing-masing titik ujung daerah penyelesaian 
5. Tentukan nilai terbesar/terkecilnya sesuai dengan tujuan yang akan dicapai 
dimana langkah no 1 telah kita dapatkan karena disini rumus matematika menunjukan 
bagaimana cara membuat model matematika. Selanjutnya ikuti langkah berikutnya agar kita 
memperoleh daerah penyelesaiannya. 
Sedikit materi Program linear ini diharapkan dapat memberikan manfaat untuk membantu 
sobat semua dalam lebih memahami matematika. Selamat belajar dan semoga sukses. 
Fungsi, Komposisi Fungsi, dan Invers Fungsi Matematika - Sobat hitung kali ini kita akan 
belajar tentang fungsi komposisi matematik SMA. Rumushitung telah merangkumkan materi 
tersebut semoga bisa membantu belajarnya. Let’s check this out! 
Apa itu Relasi? 
Dalang fungsi matematika dikenal adanya relasi. Misal sobat punya dua himpunan cowok 
ganteng dengan himpunan cewek jelek, kemudia sobat kaitkan anggota himpunan cowok 
ganteng dengan cewek jelek berdasarkan suatu hubungan tertentu maka bisa dikatakan ada 
relasi antera kedua himpunan tersebut. Jika himpunan cowok ganteng kita sebut himpunan A 
dan himpunan cewek jelek kita sebut himpunan B, maka relasi A ke B bisa dinyatakan dalam 
kalimat matematika 
R : A → B 
Contoh lain : 
A = {1,2,3,4} dan B = [1,2,3,4,5,6} jika sobat kaitkan kedua himpunan dengan hubungan "A 
merupakan setengah dari B" maka relasi tersebut dapat digambarkan dalam diagram berikut 
Fungsi atau Pemetaan 
Apa sebenarnya yang dimakasud dengan fungsi atau pemetaan? suatu relasi dari A ke B yang 
memasangkan setiap anggota A dengan tepat satu anggota B disebut dengan fungsi atau
pemetaan dari A ke B. Suatu fungsi umumnya dinotasikan dengan huruf ef kecil (f). Misalny 
f adalah fungsi yang memtakan dari A ke B, maka fungsi tersebut ditulis 
f : A → B 
A disebut dengan daerah asal [domain] 
B disebut dengan daerah kawan [codomain] 
Jikaf memetakan x ∈ A ke y ∈B maka dapat sobat hitung katakan bahwa y adalah peta dari x 
dan dapat ditulis f : x → y (f memetakan x ke y) atau y adalah fungsi dari x, y = f(x). 
Contoh 
Diagaram disamping adalah pemetaan f: A → B dengan 
daerah asal A = {a,b,c,d,e} 
daerah kawan B = {1,2,3,4,5,6} 
f(a) = 1; f(b) = 2; f(c) = 3; f(d) = 4; f(e) = 5, sehingga didapat range (daerah 
hasil) H = {1,2,3,4,5} 
fungsi yang memetakan daerah asal ke daerah kawan bermacam-macam sobat, bisa fungsi 
sederhana, linier, kuadrat, dan sebagainya. 
Contoh 
Misal f: R → R dengan f(x+2) = x2-x, tentukan berapa nilai f(x) dan f(1) 
Kita misalkan y = x + 2, sehingga x = y-2 
f(y) = (y-2)2 – (y-2) = y2 – 4y + 4 – y +2 = y2 -5y + 6 
sehingga bisa didapat f(x) = x2 -5x + 6 
f(1) = 12 -5(1) + 6 = 2 
Komposisi Fungsi 
Jika sobat hitung menggabungkan dua fungsi secara berurutan akan menghasilkan sebuah 
fungsi baru. Apa yang sobat lakukan tersebut disebut dengan mengkomposisikan fungsi dan 
hasilnya disebut komposisi fungsi. Coba sobat hitung simak ilustrasi berikut 
Pada diagram di atas fungsi f dikomposisikan dengan fungsi g menghasilkan fungsi h. h 
dinamakan fungsi komposisi dari fungsi f dan g dinotasikan h = f o g (sobat mungkin sering 
sebut fog atau f bundaran g). Jadi jika kira rinci 
 g(y) = g(f(x)) 
 h(x) = g(f(x)) atau h (x) = (g o f) (x) = g(f(x)) 
Buat lebih jelas kita latihan dengan contoh soal berikut 
Jika f(x) = 2x2 + 1 dan g(x) = x+2 
tentukan 
a. (g o f ) (x) 
b. (g o f ) (5) 
c. (f o g) (x) 
d. (f o g) (3) 
Jawab: 
mengkomposisikan fungsi sebenarnya sangat sederhana, sobat hanya perlu mentaati asas 
ketika memasukkan nilai x. 
a. (g o f ) (x) —> kita masukkan fungsi f sebagai x dalam fungsi g 
(g o f ) (x) = g(f(x)) = g (2x2+1) = 2x2+1 + 2 = 2x2+3 
b. (g o f ) (5) = 2(5)2 + 3 = 53 
c. (f o g) (x) –> kita masukkan fungsi g sebagai x dalam fungsi f 
(f o g) (x) = f(g(x)) = f (x+2) = 2(x+2)2 +1 = 2 (x2+4x+4) +1 = 2x2 + 8x +8 + 1 = 2x2 + 8x + 9 
d. (f o g) (3) = 2(3)2 + 8(3) + 9 = 51 
Invers Fungsi
Apa itu invers fungsi? Misal sobat punya fungsi f: A → B maka invers fungsi dari f 
dinyatakan dengan f-1: B → A 
jika y = f(x) maka x = f-1(y). 
Hasil invers dari suatu fungsi dapat merupakan fungsi atau bukan fungsi. Kapan invers suatu 
fungsi merupakan fungsi juga? Jawabannya ketik fungsi tersebeut berkorespondensi satu-satu. 
Ketika suatu fungsi bukan merupkan korespondensi satu-satu maka inversnya bukan 
merupakan sebuah fungsi melainkan suatu relasi. 
Bagaimana Menentukan Invers Suatu Fungsi? 
 Invers suatu fungsi dapat ditentukan dengan terlebih dahulu memisalkan fungsinya 
denga y 
 Kemudian menyatakan variabel x sebagai fungsi dari y 
 Mengganti y dalam fungsi menjadi x 
Contoh 
Tentukan ivers dari fungsi f(x) = 2x + 6 
Pembahasan 
f(x) = 2x + 6 
misal y = 2x + 6 
2x = y – 6 
x = ½ y – 3 
dengan demikian f-1(y) = ½ y – 3 atau f-1(x) = ½ x – 3 
Contoh 2 
Tentukan Invers dari fungsi y = 2x + 3/ 4x + 5 
jawab : 
y = 2x + 3/ 4x + 5 
y (4x + 5) = 2x + 3 
4yx + 5y = 2x + 3 
4yx – 2x = 3 – 5y 
x (4y-2) = 3 – 5y 
x = 3 – 5y / 4y-2 
atau 
x = -5y +3 / 4y – 2 
jadi dengan dimikian f-1 (y) = 2x + 3/ 4x + 5 = -5y +3 / 4y – 2 
atau f-1(x) = -5x +3 / 4x – 2 
Penyelesaian contoh soal fungsi komposisi nomor dua bisa sobat kerjakan dengan 
menggunakan rumus cepat 
Jika f(x) = ax + b/cx + d maka inversnya f-1(x) = -dx + b / cx – a 
Rumus Mencari Luas Segitiga 
Segitiga merupakan sebuah bangun datar yang dibatasi oleh tiga buah sisi dam 
memiliki tiga titik sudut. 
Dimana jumlah ketiga titik sudut tersebut adalah 180 derajat yang ditemukan 
oleh Matematikawan Euclid. Hal ini memungkinkan untuk kita menghitung 
salah satu dusut jika keduanya diketahui. 
Berdasarkan panjang sisinya, segitiga dapat diklasifikasikan menjadi 3 yaitu : 
1. Segitiga sama sisi, yaitu segitiga yang ketiga sisinya sama panjang, maka 
masing-masing sudutnya sama besar yaitu 60 derajat.
2. Segitiga sama kaki, yaitu segitiga yang dua dari tiga sisinya sama 
panjang, maka dua sudut dari tiga sudutnya sama besar. 
3. Segitiga sembarang, yaitu segitiga yang ketiga sisinya memiliki panjang 
yang berbeda, sehingga besar setiap sudutnya berbeda. 
Segitiga sama sisi Segitiga sama kaki Segitiga sembarang 
Menurut besar sudut terbesarnya, segitiga dapat dibagi menjadi tiga yaitu : 
1. Segitiga siku-siku merupakan segitiga yang salah satu besar sudutnya 90º 
. Sisi yang berada didepan sudut 90º disebut hipotenusa atau sisi miring. 
2. Segitiga lancip merupakan segitiga yang besar semua sudutnya < 90º. 
3. Segitiga tumpul merupakan segitiga yang besar salah satu sudutnya 
>90º. 
Segitiga siku-siku Segitiga tumpul Segitiga lancip 
Rumus untuk menghitung luas segitiga yaitu 
L = ½.alas.tinggi 
Sedangkan rumus keliling lingkaran yaitu : 
K = sisi1 + sisi2 + sisi3 
Teorema Heron 
Teorema ini biasanya digunakan untuk mencari luas segitiga sembarang, misal 
a, b dan c adalah sisi-sisinya maka 
 
dimana 
 
Dalam kasus segitiga sama sisi yang bersisikan a maka untuk mencari luas dan 
kelilingnya dapat juga menggunakan rumus sebagai berikut : 
 
 
Dalil Phytagoras
Dalil ini hanya berlaku untuk segitiga siku – siku. 
Phytagoras menyatakan bahwa c²=a²+b² 
Jika terdapat tiga buah bilangan yang memenuhi pernyataan diatas maka ketiga 
bilangan tersebut disebut triple phytagoras. 
Triple phytagoras dapat dibangun dengan menggunakan rumus diatas dengan 
memasukan sebuah nilai n diman n adalah bilangan bulat positif. 
Lingkaran dalam dan luar segitiga 
Lingkaran dalam segitiga merupakan suatu lingkaran yang berada didalam 
segitiga serta menyinggung ketiga sisi segitiga, dimana jari-jarinya dapat dicari 
dengan menggunakan rumus sebagai berikut 
dimana : 
r = jari-jari lingkaran dalamsegitiga 
L= luas segitiga 
s= setengah keliling segitiga 
Lingkaran luar segitiga merupakan suatu lingkaran yang berada diluar segitiga 
dan keliling lingkaran tersebut menyinggung perpotongan tiga garis segitiga ( 
titik sudut ). Jari-jari lingkaran luar segitiga dapat dicari menggunakan rumus 
sebagai berikut 
dimana : 
R = jari-jari lingkatan luar segitiga 
a,b,c = sisi segitiga 
L = luas segitiga 
Demikian Rumus Mencari Luas Segitiga Lengkap telah selesai dipaparkan, 
semoga bermanfaat. Rumus untuk bangun datar yang lain dapat anda lihat pada 
artikel sebelumnya seperti pada Rumus Persegi Panjang. 
Pengertian integral 
Jika sebelumnya anda sudah mempelajari tentang materi turunan, maka integral adalah 
lawan dari turunan atau diferensial. Atau biasa juga disebut dengan antiturunan. 
Lambang integral adalah , yang dalam bentuk fungsi biasanya berbentuk 
Jika adalah fungsi yang memenuhi , maka adalah integral atau 
antiturunan dari .
Contoh Pengertian Integral 
Sebagai contoh, jika kita mendiferensialkan , , 
, semuanya akan menghasilkan yang sama, yaitu 
Dengan demikian, jika kita mencari antiturunan atau integral dari , sesuai 
dengan pengertian integral, maka hasilnya adalah 
Nilai muncul karena ketiga fungsi yang kita diferensialkan di atas mempunyai hasil 
turunan yang sama, padahal konstantanya beda. Jadi, setelah kita mengintegralkan suatu 
fungsi, harus selalu ada di suku terakhir hasil pengintegralannya. 
Pengintegralan fungsi terhadap dinotasikan sebagai berikut: 
biasa juga dibaca sebagai “terhadap “. 
Turunan : Persamaan Garis Singgung Kurva 
Dalam materi turunan terdapat sub bab mengenai Persamaan Garis Singgung suatu 
Kurva,lho… mari kita kupas materinya beserta latihan soal persamaan garis singgung 
kurva,yuks… 
Hayooooooo… 
Masih ingatkah kalian tentang persamaan garis lurus di tingkat SMP ???!! 
Materi itu berkaitan erat dengan materi yang akan kita bahas sekarang ini. 
Nah, sebelum menginjak ke inti materi persamaan garis singgung kurva, kita rangkum 
kembali yuk ingatan kita tentang cara menentukan gradien dan persamaan garis lurus . 
Gradien Garis disimbolkan dengan “m” dimana : 
* gradien pada persamaan garis adalah m 
* gradien pada persamaan garis adalah 
* gradien jika diketahui dua titik (x1,y1) dan (x2,y2) adalah 
Gradien dua garis lurus 
* yang saling sejajar maka 
* yang saling tegak lurus 
Persamaan Garis Lurus 
* Jika diketahui satu titik (x1,y1) dan gradien m, maka persamaan garisnya : 
* Jika diketahui dua titik (x1,y1) dan (x2,y2) maka persamaan garisnya : 
Nah materi dasarnya di atas jangan sampai terlupa yah, sekarang kita masuk materi yang 
sesungguhnya…hehehe… 
Perhatikan Gambar Grafik fungsi
Kemiringan (gradien) garis singgung kurva y = f(x) di titik A(a, f(a)) adalah 
Persamaan garis lurus yang melalui titik (x1, y1) dengan gradien m adalah 
, sehingga 
Persamaan Garis Singgung di titik (a, f(a)) pada kurva adalah 
ayooo langsung kita praktikkan… 
1. Tentukan persamaan garis singgung kurva di titik ( -1 , 1) ! 
Jawab : 
* cari m dulu di x = -1 
* maka persamaan garris singgung kurva dengan gradien m = -2 di ( -1 , 1) adalah 
2. Tentukan persamaan garis singgung kurva di titik yang berabsis (-2) ! 
Jawab : 
* cari m dulu di absis x = -2 
* Bandingkan dengan soal no.1, disini kita belum punya y1 sehingga kita cari terlebih 
dulu 
* maka persamaan garis singgung kurva dengan gradien m = -4 di ( -2 , 4) adalah 
3. Tentukan persamaan garis singgung kurva yang sejajar garis y = x ! 
Jawab : 
* cari gradien m dari persamaan garis lurus y = x 
ingat 
maka m = 1 , diketerangan soal, garis saling sejajar, maka m1 = m2 = 1 
* cari titik singgungnya (x1,y1) 
ingat maka
x1 = 1 maka kita cari y1 dengan mensubtitusi x =1 ke 
* maka persamaan garis singgung kurva dengan gradien m = 1 di ( 1 , -1) adalah 
4. Tentukan Persamaan garis singgung pada kurva yang terletak 
tegak lurus garis x – 2y +13 = 0 ! 
Jawab : 
* cari gradien m dari persamaan garis lurus x – 2y +13 = 0 
ingat maka 
untuk x – 2y +13 = 0 maka 
keterangan soal garis saling tegak lurus, maka m1 . m2 = – 1 
* cari titik singgungnya (x1,y1) dengan m = -2 
ingat maka 
x1 = 2 maka kita cari y1 dengan mensubtitusi x = 2 ke 
* maka persamaan garis singgung kurva dengan gradien m = -2 di titik ( 2 , 11) adalah 
1. Pengertian Transformasi 
Transformasi T dibidang adalah suatu pemetaan titik pada suatu bidang ke himpunan titik 
pada bidang yang sama. 
Jenis-jenis transformasi yang dapat dilakukan antara lain : 
a. Translasi (Pergeseran) 
b. Refleksi (Pencerminan) 
c. Rotasi (Perputaran) 
d. Dilatasi (Perkalian) 
2. Translasi dan Operasinya 
Translasi (pergeseran) adalah pemindahan suatu objek sepanjang garis lurus dengan arah dan 
jarak tertentu.
Jika translasi memetakan titik P (x, y) ke titik P’(x’, y’) maka x’ = x + a dan y’ = y 
+ b atay P’ (x + a, y + b ) ditulis dalam bentuk : 
Contoh : Tentukan koordinat bayangan titik A (-3, 4) oleh translasi 
Jawab : 
Jawab : 
A’ = ( -3 + 3, 4 + 6) 
A’ = (0, 10) 
3. Refleksi (Pencerminan) 
a. Pencerminan terhadap sumbu x 
Matriks percerminan : 
b. Pencerminan Terhadap sumbu y 
Matriks Pencerminan: 
c. Pencerminan terhadap garis y = x 
Matriks Pencerminan 
d. Pencerminan terhadap garis y = -x 
Matriks Pencerminan: 
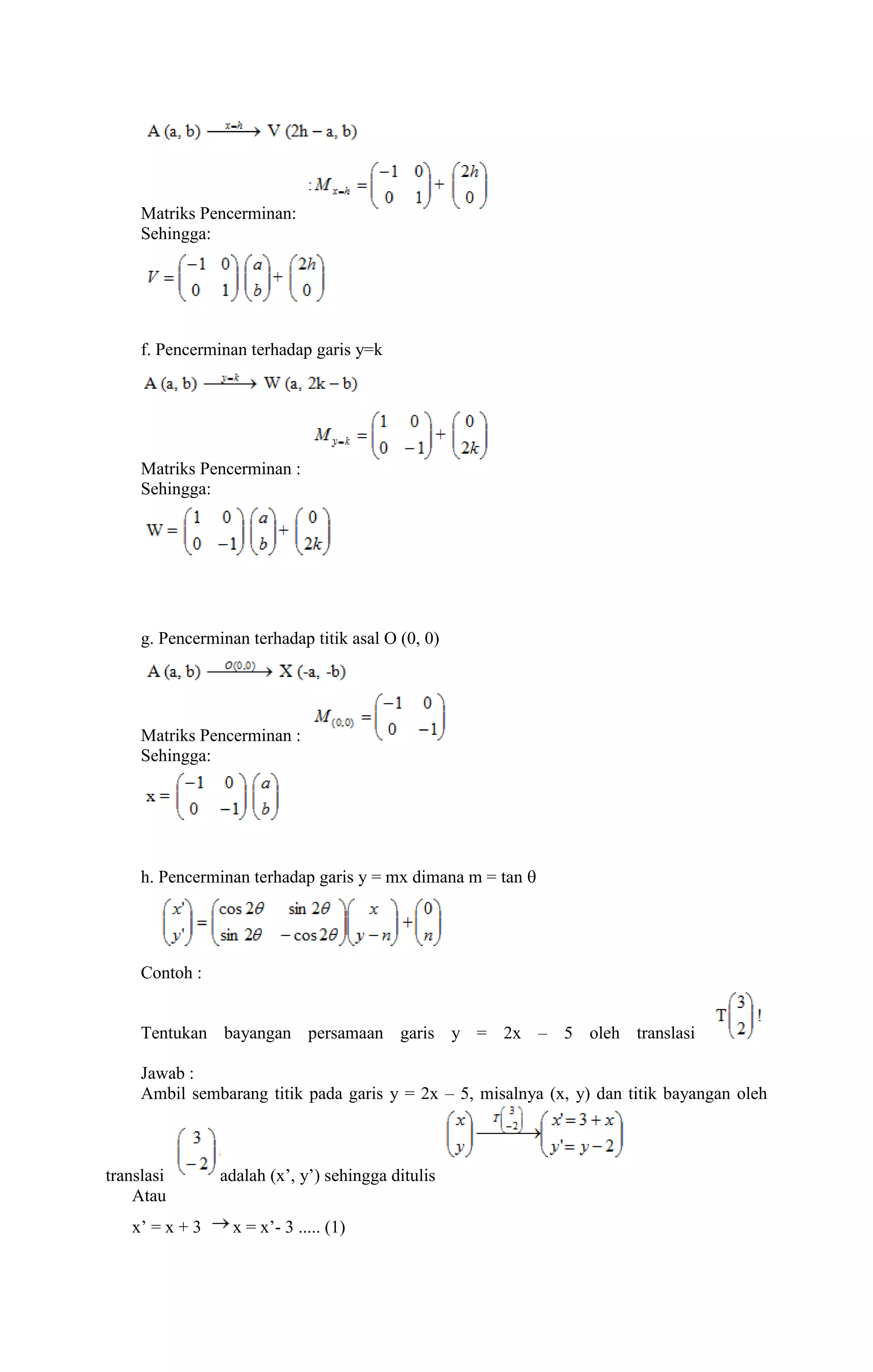
e. Pencerminan terhadap garis x = h
Matriks Pencerminan: 
Sehingga: 
f. Pencerminan terhadap garis y=k 
Matriks Pencerminan : 
Sehingga: 
g. Pencerminan terhadap titik asal O (0, 0) 
Matriks Pencerminan : 
Sehingga: 
h. Pencerminan terhadap garis y = mx dimana m = tan  
Contoh : 
Tentukan bayangan persamaan garis y = 2x – 5 oleh translasi 
Jawab : 
Ambil sembarang titik pada garis y = 2x – 5, misalnya (x, y) dan titik bayangan oleh 
translasi adalah (x’, y’) sehingga ditulis 
Atau 
x’ = x + 3 x = x’- 3 ..... (1)
y’ = y – 2 y = y’ + 2 ......(2) 
Persamaan (1) dan (2) disubtitusikan pada persamaan garis semula, sehingga : 
y = 2x – 5 
y’ + 2 = 2 (x’- 3) – 5 
y’ = 2x’ – 6 – 5 – 2 
y’ = 2x’ – 13 
Jadi persamaan garis bayangan y = 2x – 5 oleh translasi adalah y = 2x – 13 . 
Persamaan lingkaran merupakan suatu persamaan yang membentuk lingkaran pada 
koordinat Cartesius. 
Persamaan lingkaran yang berpusat di dan berjari-jari adalah 
Contoh: Tentukan persamaan lingkaran yang berpusat di dan melewati titik . 
Jawaban: 
Karena lingkarannya berpusat di , maka persamaan di atas dapat digunakan. 
Substitusikan (x,y) = (3,4) ke persamaan tersebut untuk mendapatkan , sehingga 
Dengan demikian, persamaan lingkarannya adalah 
Persamaan lingkaran yang berpusat di titik dan berjari-jari adalah 
Persamaan ini merupakan persamaan standar lingkaran. 
Contoh: Tentukan persamaan lingkaran yang berpusat di titik dengan jari-jari 7. 
Jawaban: 
Sesuai dengan persamaan di atas, maka persamaan lingkarannya adalah 
Bentuk Umum Persamaan Lingkaran 
Jika kita menjabarkan persamaan akan didapat: 
Dengan mensubstitusikan , dan , persamaan tersebut 
menjadi: 
Ini merupakan bentuk umum persamaan lingkaran yang berpusat di titik dan jari-jari 
. 
Jari-jari lingkaran tersebut adalah dan pusatnya 
Contoh: Tentukan pusat dan jari-jari lingkaran dengan persamaan 
. 
Jawaban: 
Cara 1: 
Dari bentuk umum di atas kita dapat dan 
Maka pusat lingkarannya adalah 
Jari-jarinya adalah 
Cara 2: 
Ubah bentuk persamaan di atas ke persamaan standar lingkaran, sehingga didapat: 
Jadi, pusat lingkarannya adalah dan jari-jarinya 
Soal Latihan: 
1. Tentukan persamaan lingkaran yang berpusat di melewati titik 
2. Tentukan pusat dan jari-jari lingkaran dengan persamaan lingkaran

Indra mds

  • 1.
    PROGRAM LINEAR Programlinear yaitu suatu metode untuk mencari nilai maksimum atau nilai minimum dari bentuk linear pada daerah yang dibatasi grafik -grafik fungsi linear. Himpunan penyelesaian dari sistem pertidaksamaan linear dua peubah merupakan suatu himpunan titik-titik (pasangan berurut (x,y)) dalam bidang cartesius yang memenuhi semua pertidaksamaan linear dalam sistem tersebut. Sehingga daerah himpunan penyelesaiannya merupakan irisan himpunan-himpunan penyelesaian dari pertidaksamaan dalam sistem pertidaksamaan linear dua peubah itu. Untuk lebih mudah dalam memahami daerah penyelesaian dari sistem pertidak-samaan linear dua peubah, perhatikan contoh berikut. Contoh: Tentukan daerah penyelesaian dari sistem pertidaksamaan linear berikut! 3x + 5y 15 x 0 y 0 Penyelesaian: Gambar garis 3x + 5y =15, x = 0, dan y =0 Untuk 3x + 5y 15 Pilih titik (0,0), kemudian substitusikan ke pertidaksamaan sehingga diperoleh: 3 × 0 + 5× 0 15 0 15 (benar), artinya dipenuhi Sehingga daerah penyelesaiannya adalah daerah yang memuat titik (0,0) Untuk x 0, pilih titik (1,1) kemudian disubstitusikan ke pertidaksamaan sehingga diperoleh: 1 0 (benar), artinya dipenuhi. Sehingga daerah penyelesaiannya adalah daerah yang memuat titik (1,1) Untuk y 0, pilih titik (1,1) kemudian substitusikan ke pertidaksamaan sehingga diperoleh: 1 0 (benar), artinya dipenuhi. Sehingga himpunan penyelesaiannya adalah daerah yang memuat titik (1,1). Selanjutnya arsir daerah yang memenuhi persamaan, seperti gambar dibawah ini. Daerah penyelesaian sistem pertidaksamaan merupakan irisan dari ketiga himpunan penyelesaian pertidaksamaan di atas, yaitu seperti terlihat pada gambar berikut ini (daerah yang diarsir). Pertidaksamaan Linear juga dapat digunakan untuk memecahkan masalah dalam kehidupan sehari-hari. Hal ini dapat dilakukan dengan memodelkan masalah menjadi model matematika. Jadi, Model matematika merupakan suatu cara sederhana untuk menerjemahkan suatu masalah ke dalam bahasa matematika dengan menggunakan persamaan, pertidaksamaan, atau fungsi. Perhatikan contoh berikut : Pak Adi merupakan seorang pedagang roti. Beliau menjual roti menggunakan gerobak yang dapat memuat 600 bungkus roti. Roti yang dijualnya yaitu roti manis dan roti tawar dengan harga masing-masing Rp 5.500,00 untuk roti manis dan Rp 4.500,00 untuk roti tawar per bungkusnya. Dari penjualan roti tersebut, beliau memperoleh keuntungan Rp 500,00 dari sebungkus roti manis dan Rp 600,00 dari sebungkus roti tawar. Apabila modal yang dimiliki oleh Pak Budi adalah Rp 600.000, buatlah model matematika agar beliau dapat memperoleh keuntungan sebesar-besarnya! Penyelesaian : Permasalahan Pak Adi diatas dapat dimodelkan dalam bentuk matematika dengan menggunakan sistem pertidaksamaan linear dua variabel. Dengan memisalkan banyaknya roti manis sebgai x dan roti tawar sebagai y sehingga diperoleh tabel sebagai berikut.
  • 2.
    Berdasarkan tabel diatasjika kita tuliskan dalam bentuk pertidaksamaan linear menjadi x + y ≤ 600, 5.500x + 4.500y ≤ 600.000, Untuk x, y anggota bilangan cacah, x ≥ 0, y ≥ 0 Dua pertidaksamaan terakhir (baris ketiga) menunjukkan syarat dari nilai x dan y. Dikarena x dan y merupakan pernyataan yang menyatakan banyaknya roti, maka tidak mungkin nilai x dan y bernilai negatif. Perhatikan kolom keempat dari tabel di atas yang menyatakan fungsi yang akan ditentukan nilai maksimumnya (nilai optimum). Fungsi tersebut dapat dituliskan dalam persamaan matematika sebagai berikut. f(x,y) = 500x + 600y untuk menyelesaikan sistem pertidaksamaan diatas kita dapat mengikuti langkah berikut : 1. Ubah masalah tersebut ke dalam model matematika yaitu dengan membuat tabel, fungsi pembatas dan fungsi tujuan. Tabel di sini untuk mempermudah membaca data. Fungsi pembatas/kendala yaitu beberapa pertidaksamaan linier yang berhubungan dengan permasalahan tersebut. Fungsi tujuan/objektif yaitu suatu fungsi yang berhubungan dengan tujuan yang akan dicapai. Biasanya fungsi tujuan dinyatakan dengan f(x,y) = ax + by atau z = ax + by 2. Lukislah daerah penyelesaian dari fungsi pembatasnya 3. Tentukan koordinat-koordinat titik ujung daerah penyelesaian. Jika belum ada gunakan bantuan eliminasi dari perpotongan 2 garis 4. Ujilah masing-masing titik ujung daerah penyelesaian 5. Tentukan nilai terbesar/terkecilnya sesuai dengan tujuan yang akan dicapai dimana langkah no 1 telah kita dapatkan karena disini rumus matematika menunjukan bagaimana cara membuat model matematika. Selanjutnya ikuti langkah berikutnya agar kita memperoleh daerah penyelesaiannya. Sedikit materi Program linear ini diharapkan dapat memberikan manfaat untuk membantu sobat semua dalam lebih memahami matematika. Selamat belajar dan semoga sukses. Fungsi, Komposisi Fungsi, dan Invers Fungsi Matematika - Sobat hitung kali ini kita akan belajar tentang fungsi komposisi matematik SMA. Rumushitung telah merangkumkan materi tersebut semoga bisa membantu belajarnya. Let’s check this out! Apa itu Relasi? Dalang fungsi matematika dikenal adanya relasi. Misal sobat punya dua himpunan cowok ganteng dengan himpunan cewek jelek, kemudia sobat kaitkan anggota himpunan cowok ganteng dengan cewek jelek berdasarkan suatu hubungan tertentu maka bisa dikatakan ada relasi antera kedua himpunan tersebut. Jika himpunan cowok ganteng kita sebut himpunan A dan himpunan cewek jelek kita sebut himpunan B, maka relasi A ke B bisa dinyatakan dalam kalimat matematika R : A → B Contoh lain : A = {1,2,3,4} dan B = [1,2,3,4,5,6} jika sobat kaitkan kedua himpunan dengan hubungan "A merupakan setengah dari B" maka relasi tersebut dapat digambarkan dalam diagram berikut Fungsi atau Pemetaan Apa sebenarnya yang dimakasud dengan fungsi atau pemetaan? suatu relasi dari A ke B yang memasangkan setiap anggota A dengan tepat satu anggota B disebut dengan fungsi atau
  • 3.
    pemetaan dari Ake B. Suatu fungsi umumnya dinotasikan dengan huruf ef kecil (f). Misalny f adalah fungsi yang memtakan dari A ke B, maka fungsi tersebut ditulis f : A → B A disebut dengan daerah asal [domain] B disebut dengan daerah kawan [codomain] Jikaf memetakan x ∈ A ke y ∈B maka dapat sobat hitung katakan bahwa y adalah peta dari x dan dapat ditulis f : x → y (f memetakan x ke y) atau y adalah fungsi dari x, y = f(x). Contoh Diagaram disamping adalah pemetaan f: A → B dengan daerah asal A = {a,b,c,d,e} daerah kawan B = {1,2,3,4,5,6} f(a) = 1; f(b) = 2; f(c) = 3; f(d) = 4; f(e) = 5, sehingga didapat range (daerah hasil) H = {1,2,3,4,5} fungsi yang memetakan daerah asal ke daerah kawan bermacam-macam sobat, bisa fungsi sederhana, linier, kuadrat, dan sebagainya. Contoh Misal f: R → R dengan f(x+2) = x2-x, tentukan berapa nilai f(x) dan f(1) Kita misalkan y = x + 2, sehingga x = y-2 f(y) = (y-2)2 – (y-2) = y2 – 4y + 4 – y +2 = y2 -5y + 6 sehingga bisa didapat f(x) = x2 -5x + 6 f(1) = 12 -5(1) + 6 = 2 Komposisi Fungsi Jika sobat hitung menggabungkan dua fungsi secara berurutan akan menghasilkan sebuah fungsi baru. Apa yang sobat lakukan tersebut disebut dengan mengkomposisikan fungsi dan hasilnya disebut komposisi fungsi. Coba sobat hitung simak ilustrasi berikut Pada diagram di atas fungsi f dikomposisikan dengan fungsi g menghasilkan fungsi h. h dinamakan fungsi komposisi dari fungsi f dan g dinotasikan h = f o g (sobat mungkin sering sebut fog atau f bundaran g). Jadi jika kira rinci  g(y) = g(f(x))  h(x) = g(f(x)) atau h (x) = (g o f) (x) = g(f(x)) Buat lebih jelas kita latihan dengan contoh soal berikut Jika f(x) = 2x2 + 1 dan g(x) = x+2 tentukan a. (g o f ) (x) b. (g o f ) (5) c. (f o g) (x) d. (f o g) (3) Jawab: mengkomposisikan fungsi sebenarnya sangat sederhana, sobat hanya perlu mentaati asas ketika memasukkan nilai x. a. (g o f ) (x) —> kita masukkan fungsi f sebagai x dalam fungsi g (g o f ) (x) = g(f(x)) = g (2x2+1) = 2x2+1 + 2 = 2x2+3 b. (g o f ) (5) = 2(5)2 + 3 = 53 c. (f o g) (x) –> kita masukkan fungsi g sebagai x dalam fungsi f (f o g) (x) = f(g(x)) = f (x+2) = 2(x+2)2 +1 = 2 (x2+4x+4) +1 = 2x2 + 8x +8 + 1 = 2x2 + 8x + 9 d. (f o g) (3) = 2(3)2 + 8(3) + 9 = 51 Invers Fungsi
  • 4.
    Apa itu inversfungsi? Misal sobat punya fungsi f: A → B maka invers fungsi dari f dinyatakan dengan f-1: B → A jika y = f(x) maka x = f-1(y). Hasil invers dari suatu fungsi dapat merupakan fungsi atau bukan fungsi. Kapan invers suatu fungsi merupakan fungsi juga? Jawabannya ketik fungsi tersebeut berkorespondensi satu-satu. Ketika suatu fungsi bukan merupkan korespondensi satu-satu maka inversnya bukan merupakan sebuah fungsi melainkan suatu relasi. Bagaimana Menentukan Invers Suatu Fungsi?  Invers suatu fungsi dapat ditentukan dengan terlebih dahulu memisalkan fungsinya denga y  Kemudian menyatakan variabel x sebagai fungsi dari y  Mengganti y dalam fungsi menjadi x Contoh Tentukan ivers dari fungsi f(x) = 2x + 6 Pembahasan f(x) = 2x + 6 misal y = 2x + 6 2x = y – 6 x = ½ y – 3 dengan demikian f-1(y) = ½ y – 3 atau f-1(x) = ½ x – 3 Contoh 2 Tentukan Invers dari fungsi y = 2x + 3/ 4x + 5 jawab : y = 2x + 3/ 4x + 5 y (4x + 5) = 2x + 3 4yx + 5y = 2x + 3 4yx – 2x = 3 – 5y x (4y-2) = 3 – 5y x = 3 – 5y / 4y-2 atau x = -5y +3 / 4y – 2 jadi dengan dimikian f-1 (y) = 2x + 3/ 4x + 5 = -5y +3 / 4y – 2 atau f-1(x) = -5x +3 / 4x – 2 Penyelesaian contoh soal fungsi komposisi nomor dua bisa sobat kerjakan dengan menggunakan rumus cepat Jika f(x) = ax + b/cx + d maka inversnya f-1(x) = -dx + b / cx – a Rumus Mencari Luas Segitiga Segitiga merupakan sebuah bangun datar yang dibatasi oleh tiga buah sisi dam memiliki tiga titik sudut. Dimana jumlah ketiga titik sudut tersebut adalah 180 derajat yang ditemukan oleh Matematikawan Euclid. Hal ini memungkinkan untuk kita menghitung salah satu dusut jika keduanya diketahui. Berdasarkan panjang sisinya, segitiga dapat diklasifikasikan menjadi 3 yaitu : 1. Segitiga sama sisi, yaitu segitiga yang ketiga sisinya sama panjang, maka masing-masing sudutnya sama besar yaitu 60 derajat.
  • 5.
    2. Segitiga samakaki, yaitu segitiga yang dua dari tiga sisinya sama panjang, maka dua sudut dari tiga sudutnya sama besar. 3. Segitiga sembarang, yaitu segitiga yang ketiga sisinya memiliki panjang yang berbeda, sehingga besar setiap sudutnya berbeda. Segitiga sama sisi Segitiga sama kaki Segitiga sembarang Menurut besar sudut terbesarnya, segitiga dapat dibagi menjadi tiga yaitu : 1. Segitiga siku-siku merupakan segitiga yang salah satu besar sudutnya 90º . Sisi yang berada didepan sudut 90º disebut hipotenusa atau sisi miring. 2. Segitiga lancip merupakan segitiga yang besar semua sudutnya < 90º. 3. Segitiga tumpul merupakan segitiga yang besar salah satu sudutnya >90º. Segitiga siku-siku Segitiga tumpul Segitiga lancip Rumus untuk menghitung luas segitiga yaitu L = ½.alas.tinggi Sedangkan rumus keliling lingkaran yaitu : K = sisi1 + sisi2 + sisi3 Teorema Heron Teorema ini biasanya digunakan untuk mencari luas segitiga sembarang, misal a, b dan c adalah sisi-sisinya maka  dimana  Dalam kasus segitiga sama sisi yang bersisikan a maka untuk mencari luas dan kelilingnya dapat juga menggunakan rumus sebagai berikut :   Dalil Phytagoras
  • 6.
    Dalil ini hanyaberlaku untuk segitiga siku – siku. Phytagoras menyatakan bahwa c²=a²+b² Jika terdapat tiga buah bilangan yang memenuhi pernyataan diatas maka ketiga bilangan tersebut disebut triple phytagoras. Triple phytagoras dapat dibangun dengan menggunakan rumus diatas dengan memasukan sebuah nilai n diman n adalah bilangan bulat positif. Lingkaran dalam dan luar segitiga Lingkaran dalam segitiga merupakan suatu lingkaran yang berada didalam segitiga serta menyinggung ketiga sisi segitiga, dimana jari-jarinya dapat dicari dengan menggunakan rumus sebagai berikut dimana : r = jari-jari lingkaran dalamsegitiga L= luas segitiga s= setengah keliling segitiga Lingkaran luar segitiga merupakan suatu lingkaran yang berada diluar segitiga dan keliling lingkaran tersebut menyinggung perpotongan tiga garis segitiga ( titik sudut ). Jari-jari lingkaran luar segitiga dapat dicari menggunakan rumus sebagai berikut dimana : R = jari-jari lingkatan luar segitiga a,b,c = sisi segitiga L = luas segitiga Demikian Rumus Mencari Luas Segitiga Lengkap telah selesai dipaparkan, semoga bermanfaat. Rumus untuk bangun datar yang lain dapat anda lihat pada artikel sebelumnya seperti pada Rumus Persegi Panjang. Pengertian integral Jika sebelumnya anda sudah mempelajari tentang materi turunan, maka integral adalah lawan dari turunan atau diferensial. Atau biasa juga disebut dengan antiturunan. Lambang integral adalah , yang dalam bentuk fungsi biasanya berbentuk Jika adalah fungsi yang memenuhi , maka adalah integral atau antiturunan dari .
  • 7.
    Contoh Pengertian Integral Sebagai contoh, jika kita mendiferensialkan , , , semuanya akan menghasilkan yang sama, yaitu Dengan demikian, jika kita mencari antiturunan atau integral dari , sesuai dengan pengertian integral, maka hasilnya adalah Nilai muncul karena ketiga fungsi yang kita diferensialkan di atas mempunyai hasil turunan yang sama, padahal konstantanya beda. Jadi, setelah kita mengintegralkan suatu fungsi, harus selalu ada di suku terakhir hasil pengintegralannya. Pengintegralan fungsi terhadap dinotasikan sebagai berikut: biasa juga dibaca sebagai “terhadap “. Turunan : Persamaan Garis Singgung Kurva Dalam materi turunan terdapat sub bab mengenai Persamaan Garis Singgung suatu Kurva,lho… mari kita kupas materinya beserta latihan soal persamaan garis singgung kurva,yuks… Hayooooooo… Masih ingatkah kalian tentang persamaan garis lurus di tingkat SMP ???!! Materi itu berkaitan erat dengan materi yang akan kita bahas sekarang ini. Nah, sebelum menginjak ke inti materi persamaan garis singgung kurva, kita rangkum kembali yuk ingatan kita tentang cara menentukan gradien dan persamaan garis lurus . Gradien Garis disimbolkan dengan “m” dimana : * gradien pada persamaan garis adalah m * gradien pada persamaan garis adalah * gradien jika diketahui dua titik (x1,y1) dan (x2,y2) adalah Gradien dua garis lurus * yang saling sejajar maka * yang saling tegak lurus Persamaan Garis Lurus * Jika diketahui satu titik (x1,y1) dan gradien m, maka persamaan garisnya : * Jika diketahui dua titik (x1,y1) dan (x2,y2) maka persamaan garisnya : Nah materi dasarnya di atas jangan sampai terlupa yah, sekarang kita masuk materi yang sesungguhnya…hehehe… Perhatikan Gambar Grafik fungsi
  • 8.
    Kemiringan (gradien) garissinggung kurva y = f(x) di titik A(a, f(a)) adalah Persamaan garis lurus yang melalui titik (x1, y1) dengan gradien m adalah , sehingga Persamaan Garis Singgung di titik (a, f(a)) pada kurva adalah ayooo langsung kita praktikkan… 1. Tentukan persamaan garis singgung kurva di titik ( -1 , 1) ! Jawab : * cari m dulu di x = -1 * maka persamaan garris singgung kurva dengan gradien m = -2 di ( -1 , 1) adalah 2. Tentukan persamaan garis singgung kurva di titik yang berabsis (-2) ! Jawab : * cari m dulu di absis x = -2 * Bandingkan dengan soal no.1, disini kita belum punya y1 sehingga kita cari terlebih dulu * maka persamaan garis singgung kurva dengan gradien m = -4 di ( -2 , 4) adalah 3. Tentukan persamaan garis singgung kurva yang sejajar garis y = x ! Jawab : * cari gradien m dari persamaan garis lurus y = x ingat maka m = 1 , diketerangan soal, garis saling sejajar, maka m1 = m2 = 1 * cari titik singgungnya (x1,y1) ingat maka
  • 9.
    x1 = 1maka kita cari y1 dengan mensubtitusi x =1 ke * maka persamaan garis singgung kurva dengan gradien m = 1 di ( 1 , -1) adalah 4. Tentukan Persamaan garis singgung pada kurva yang terletak tegak lurus garis x – 2y +13 = 0 ! Jawab : * cari gradien m dari persamaan garis lurus x – 2y +13 = 0 ingat maka untuk x – 2y +13 = 0 maka keterangan soal garis saling tegak lurus, maka m1 . m2 = – 1 * cari titik singgungnya (x1,y1) dengan m = -2 ingat maka x1 = 2 maka kita cari y1 dengan mensubtitusi x = 2 ke * maka persamaan garis singgung kurva dengan gradien m = -2 di titik ( 2 , 11) adalah 1. Pengertian Transformasi Transformasi T dibidang adalah suatu pemetaan titik pada suatu bidang ke himpunan titik pada bidang yang sama. Jenis-jenis transformasi yang dapat dilakukan antara lain : a. Translasi (Pergeseran) b. Refleksi (Pencerminan) c. Rotasi (Perputaran) d. Dilatasi (Perkalian) 2. Translasi dan Operasinya Translasi (pergeseran) adalah pemindahan suatu objek sepanjang garis lurus dengan arah dan jarak tertentu.
  • 10.
    Jika translasi memetakantitik P (x, y) ke titik P’(x’, y’) maka x’ = x + a dan y’ = y + b atay P’ (x + a, y + b ) ditulis dalam bentuk : Contoh : Tentukan koordinat bayangan titik A (-3, 4) oleh translasi Jawab : Jawab : A’ = ( -3 + 3, 4 + 6) A’ = (0, 10) 3. Refleksi (Pencerminan) a. Pencerminan terhadap sumbu x Matriks percerminan : b. Pencerminan Terhadap sumbu y Matriks Pencerminan: c. Pencerminan terhadap garis y = x Matriks Pencerminan d. Pencerminan terhadap garis y = -x Matriks Pencerminan: e. Pencerminan terhadap garis x = h
  • 11.
    Matriks Pencerminan: Sehingga: f. Pencerminan terhadap garis y=k Matriks Pencerminan : Sehingga: g. Pencerminan terhadap titik asal O (0, 0) Matriks Pencerminan : Sehingga: h. Pencerminan terhadap garis y = mx dimana m = tan  Contoh : Tentukan bayangan persamaan garis y = 2x – 5 oleh translasi Jawab : Ambil sembarang titik pada garis y = 2x – 5, misalnya (x, y) dan titik bayangan oleh translasi adalah (x’, y’) sehingga ditulis Atau x’ = x + 3 x = x’- 3 ..... (1)
  • 12.
    y’ = y– 2 y = y’ + 2 ......(2) Persamaan (1) dan (2) disubtitusikan pada persamaan garis semula, sehingga : y = 2x – 5 y’ + 2 = 2 (x’- 3) – 5 y’ = 2x’ – 6 – 5 – 2 y’ = 2x’ – 13 Jadi persamaan garis bayangan y = 2x – 5 oleh translasi adalah y = 2x – 13 . Persamaan lingkaran merupakan suatu persamaan yang membentuk lingkaran pada koordinat Cartesius. Persamaan lingkaran yang berpusat di dan berjari-jari adalah Contoh: Tentukan persamaan lingkaran yang berpusat di dan melewati titik . Jawaban: Karena lingkarannya berpusat di , maka persamaan di atas dapat digunakan. Substitusikan (x,y) = (3,4) ke persamaan tersebut untuk mendapatkan , sehingga Dengan demikian, persamaan lingkarannya adalah Persamaan lingkaran yang berpusat di titik dan berjari-jari adalah Persamaan ini merupakan persamaan standar lingkaran. Contoh: Tentukan persamaan lingkaran yang berpusat di titik dengan jari-jari 7. Jawaban: Sesuai dengan persamaan di atas, maka persamaan lingkarannya adalah Bentuk Umum Persamaan Lingkaran Jika kita menjabarkan persamaan akan didapat: Dengan mensubstitusikan , dan , persamaan tersebut menjadi: Ini merupakan bentuk umum persamaan lingkaran yang berpusat di titik dan jari-jari . Jari-jari lingkaran tersebut adalah dan pusatnya Contoh: Tentukan pusat dan jari-jari lingkaran dengan persamaan . Jawaban: Cara 1: Dari bentuk umum di atas kita dapat dan Maka pusat lingkarannya adalah Jari-jarinya adalah Cara 2: Ubah bentuk persamaan di atas ke persamaan standar lingkaran, sehingga didapat: Jadi, pusat lingkarannya adalah dan jari-jarinya Soal Latihan: 1. Tentukan persamaan lingkaran yang berpusat di melewati titik 2. Tentukan pusat dan jari-jari lingkaran dengan persamaan lingkaran