1 
POWER PLANT TECHNOLOGY 
BY. ENGR YURI G. MELLIZA 
Table of Contents 
Introduction ............................................................................................................................................................................ 6 
Introduction to Thermodynamics ........................................................................................................................................... 7 
Law of Conservation of Mass .................................................................................................................................................. 7 
Continuity Equation ................................................................................................................................................................ 7 
Forms of Energy ...................................................................................................................................................................... 8 
Internal Energy: ................................................................................................................................................................... 8 
Flow Energy or Flow Work: ................................................................................................................................................. 8 
Heat: .................................................................................................................................................................................... 8 
Work: ................................................................................................................................................................................... 8 
Kinetic Energy: .................................................................................................................................................................... 9 
Potential Energy: ................................................................................................................................................................. 9 
Zeroth Law of Thermodynamics: ............................................................................................................................................ 9 
Specific Heat or Heat Capacity: ........................................................................................................................................... 9 
Sensible Heat: ................................................................................................................................................................... 10 
Heat of Transformation..................................................................................................................................................... 10 
A. Latent Heat of Vaporization: ................................................................................................................................. 10 
Phase Change ........................................................................................................................................................................ 10 
Ideal or Perfect Gas ............................................................................................................................................................... 11 
IDEAL GAS MIXTURE .............................................................................................................................................................. 13 
1. Total moles of a mixture ............................................................................................................................................... 13 
2. Mole Fraction ................................................................................................................................................................ 13 
3. Total mass of a mixture ................................................................................................................................................. 13 
4. Mass Fraction ................................................................................................................................................................ 13
2 
5. Equation of State ........................................................................................................................................................... 13 
6. Amagat's Law: ............................................................................................................................................................... 13 
7. Dalton's Law: ................................................................................................................................................................. 14 
8. Molecular Weight of a Mixture ..................................................................................................................................... 14 
9. Gas Constant of a mixture............................................................................................................................................. 15 
10. Specific Heats of a mixture ......................................................................................................................................... 15 
11. Gravimetric and Volumetric Analysis: ......................................................................................................................... 15 
Law of conservation of Energy (The First Law of Thermodynamics): ................................................................................... 16 
Application of the Law of Conservation of Energy............................................................................................................ 16 
B. Open System ............................................................................................................................................................. 16 
Processes of Fluids ................................................................................................................................................................ 17 
1. Isobaric Process: ........................................................................................................................................................ 17 
2. Isometric Process: ..................................................................................................................................................... 18 
3. Isothermal Process: ................................................................................................................................................... 19 
4. Isentropic Process: .................................................................................................................................................... 20 
5. Polytropic Process: .................................................................................................................................................... 21 
6. Throttling Process: .................................................................................................................................................... 22 
Properties of Pure Substance: .............................................................................................................................................. 22 
Terms and Definition..................................................................................................................................................... 24 
Throttling Calorimeter .......................................................................................................................................................... 25 
Fuels and Combustion ........................................................................................................................................................... 28 
Combustion Chemistry ...................................................................................................................................................... 29 
Combustion of Combustible elements with Air: ............................................................................................................... 30 
Theoretical Air: .................................................................................................................................................................. 31 
Excess Air: ......................................................................................................................................................................... 31 
Hydrocarbon Fuel:............................................................................................................................................................. 31
3 
COMBUSTION OF HYDROCARBON FUEL(CnHm) .............................................................................................................. 31 
COMBUSTION OF SOLID FUELS ......................................................................................................................................... 32 
DEW POINT TEMPERATURE .......................................................................................................................................... 32 
ULTIMATE ANALYSIS ..................................................................................................................................................... 32 
PROXIMATE ANALYSIS ................................................................................................................................................... 32 
ORSAT ANALYSIS ........................................................................................................................................................... 32 
MASS FLOW RATE OF FLUE GAS ................................................................................................................................... 32 
a) Without considering Ash loss:................................................................................................................................... 32 
b) Considering Ash loss ................................................................................................................................................. 33 
MOLECULAR WEIGHT OF PRODUCTS ............................................................................................................................ 33 
GAS CONSTANT OF PRODUCTS ..................................................................................................................................... 33 
SPECIFIC HEATS OF PRODUCTS ..................................................................................................................................... 33 
PARTIAL PRESSURE OF COMPONENTS .......................................................................................................................... 34 
HEATING VALUE .................................................................................................................................................................... 37 
For Liquid Fuels ............................................................................................................................................................. 37 
For Gasoline .................................................................................................................................................................. 37 
For Fuel Oils ................................................................................................................................................................... 37 
For Fuel Oils (From Bureau of Standard Formula) ........................................................................................................ 37 
Properties of Fuels and Lubricants........................................................................................................................................ 38 
Cycle ...................................................................................................................................................................................... 39 
Steam Power Plant Cycle ...................................................................................................................................................... 39 
Rankine Cycle .................................................................................................................................................................... 39 
Reheat Cycle Steam Power Plant: ..................................................................................................................................... 41 
Regenerative Cycle: ........................................................................................................................................................... 43 
Reheat – Regenerative Cycle: ........................................................................................................................................... 44 
STEAM RATE .................................................................................................................................................................. 46
4 
HEAT RATE ..................................................................................................................................................................... 46 
Turbine Efficiency .......................................................................................................................................................... 46 
Pump Efficiency ............................................................................................................................................................. 46 
Boiler or Steam Generator Efficiency............................................................................................................................ 47 
GENERAL BOILER DESCRIPTION ............................................................................................................................................ 47 
Boiler Auxiliaries and Accessories ..................................................................................................................................... 49 
BOILER PERFORMANCE ..................................................................................................................................................... 50 
BOILER HEAT BALANCE ..................................................................................................................................................... 52 
CONDENSERS ........................................................................................................................................................................ 57 
Direct - contact or Open, condensers ............................................................................................................................... 57 
Surface Condenser ............................................................................................................................................................ 58 
GEOTHERMAL POWER PLANT ............................................................................................................................................... 60 
The Diesel Power Plant ......................................................................................................................................................... 63 
ENGINE PERFORMANCE .................................................................................................................................................... 68 
1. Heat supplied by fuel (Qs): ........................................................................................................................................ 68 
2. Indicated Power (IP): ................................................................................................................................................. 68 
3. Brake or Shaft Power (BP): ........................................................................................................................................ 69 
4. Friction Power (FP): ................................................................................................................................................... 69 
5. Brake Torque ............................................................................................................................................................. 69 
6. Indicated Mean Effective Pressure (Pmi): ................................................................................................................. 69 
7. Displacement Volume (VD): ....................................................................................................................................... 70 
8. Specific Fuel Consumption ........................................................................................................................................ 70 
9. Heat Rate (HR): .......................................................................................................................................................... 70 
10. Thermal Efficiency ................................................................................................................................................... 71 
11. Mechanical Efficiency .............................................................................................................................................. 71 
12. Generator Efficiency................................................................................................................................................ 71
5 
13. Generator Speed ..................................................................................................................................................... 71 
14. Volumetric Efficiency .............................................................................................................................................. 71 
15. Correction Factor for Non-Standard Condition ...................................................................................................... 72 
16. Engine Heat Balance ............................................................................................................................................... 72 
Diesel Engine Maintenance ............................................................................................................................................... 73 
Hydroelectric Power Plant .................................................................................................................................................... 83 
TERMS AND DEFINITION ................................................................................................................................................... 84 
A. IMPULSE TYPE (Pelton type) ......................................................................................................................................... 84 
B. REACTION TYPE (Francis Type) ..................................................................................................................................... 85 
PUMP STORAGE HYDRO-ELECTRIC PLANT ........................................................................................................................ 86 
FUNDAMENTAL EQUATIONS ......................................................................................................................................... 86 
GAS TURBINE POWER PLANT ................................................................................................................................................ 88 
Closed Cycle Gas Turbine Cycle ......................................................................................................................................... 89 
WIND POWER ........................................................................................................................................................................ 94
6 
POWER PLANT TECHNOLOGY 
By. Engr. Yuri G. Melliza 
Introduction 
This book was designed as standard learning materials intended for graduating tech- 
nology students in a course of Power Plant technology. This was written with my goal 
in mind to focus on the study of different types of electric generating power plant facility 
used commonly in different parts of the world. With the fast growing global technological 
advancement, this book gives the students a wide array of understanding the different 
concepts and principles of electrical energy production as well as the analytical and 
technical design of the different power plant system. On the other hand this book adopts 
to used the SI system of units, which is now used worldwide as the standard system 
of units. 
TOPIC OUTLINE 
1. Introduction to Thermodynamics 
2. Fuels and Combustion 
3. The Steam Power Plant Cycle 
4. The Internal Combustion Engine Power Plant 
5. The Hydro-Electric Power Plant 
6. The Gas Turbine Power Plant 
7. The Geothermal Power Plant 
8. The Wind Energy 
9. The Solar Energy 
10. Energy From the Ocean 
11. Cogeneration Power Plant 
12. Environmental Aspects of Power Generation
7 
 
 
 
 
 
     
  
 
   
A v A v Av 
A v A v Av 
m m m 
Av 
m Av 
2 
2 2 
1 
1 1 
1 1 1 2 2 2 
1 2 
Introduction to Thermodynamics 
Law of Conservation of Mass 
Mass is indestructible, in applying this law we must except nuclear processes during 
which mass is converted into energy. 
Verbal Form: 
Mass Entering – Mass Leaving = Change of Mass stored in the system 
Equation Form: 
m1 – m2 = m 
For a steady-state, steady flow m = 0, hence 
m1= m2 
Continuity Equation 
For one dimensional flow 
Where: 
m – mass flow rate in kg/sec 
A – cross sectional area in m2 
v – velocity in m/sec 
 - density in kg/m3 
 - specific volume in m3/kg 
1 2 
m m
8 
W F dx 
Forms of Energy 
 Internal Energy 
 Flow Energy or Flow Work 
 Heat 
 Work 
 Kinetic Energy 
 Potential Energy 
Internal Energy: It is the energy due to the overall molecular interaction. 
U = m(u2 – u1) KJ 
Where: 
u – specific internal energy, KJ/kg 
U – total internal energy, KJ (KW if m in kg/sec) 
m – mass in kg (kg/sec, mass flow rate) 
Flow Energy or Flow Work: It is the energy required in pushing a fluid into the 
system or out from the system. 
(PV) = (P2V2 – P1V1) KJ 
(P) = (P22 – P11) KJ/kg 
Where: 
P – pressure, KPa 
V – volume, m3 
 - specific volume, m3/kg 
PV – flow work, KJ (KW if V in m3/sec) 
Heat: Heat is the energy that crosses a system’s boundary because of a temperature 
difference between the system and the surrounding. 
Q = m(q) KJ 
Where: 
Q – Total heat, KJ (KW if m in kg/sec) 
q – heat in KJ/kg 
Note: Q is positive if heat is added to the system and negative if heat is rejected 
from the system 
Work: Work is define as the force multiplied by the displacement in the direction of the 
force.
9 
  
KJ 
2(1000) 
mv v ) 
ΔKE 
2 
1 
2 
2  
 
  
KJ 
(1000) 
mg z z 
ΔPE 2 1  
 
kg C 
KJ 
or 
kg - K 
KJ 
   
 
dT 
dQ 
C 
Kinetic Energy: It is the energy due to the motion of a body. 
Where: 
v – velocity, m/sec 
m – mass, kg 
KE – Kinetic energy, KJ (KW if m in kg/sec) 
Potential Energy: It is the energy by virtue of its configuration or elevation. 
Where: 
z – elevation measured from a chosen datum, meters 
+ z if measured above the datum 
- z if measured below datum 
g – gravitational acceleration, m/sec2 
g = 9.81 m/sec2 (at sea level condition) 
PE – potential energy, KJ (KW if m in kg/sec) 
Zeroth Law of Thermodynamics: 
If two bodies are in thermal equilibrium with a third body, they are in thermal 
equilibrium with each other and hence their temperatures are equal. 
Specific Heat or Heat Capacity: 
Specific heat is the amount of heat required to raise the temperature of a 1 kg mass 
of a substance 1K or 1C. 
dQ = C dT 
If C is constant 
Q = C(T2 – T1) KJ/kg 
Considering m; 
Q = mC(T2 – T1) KJ (KW if m in kg/sec)
10 
Sensible Heat: It is the amount of heat added to heat a substance, or the amount of 
heat removed to cool a substance. 
Q = mC(T2 – T1) KJ (KW if m in kg/sec 
Heat of Transformation 
A. Latent Heat of Vaporization: It is the amount of heat added to vaporize a 
liquid, or the amount of heat removed to condense a gas (Vapor) 
Qv = m(Hv) KJ (KW if m in kg/sec) 
Where: 
m – mass in kg (kg/sec) 
Hv – heat of vaporization in KJ/kg 
B. Latent Heat of Fusion: It is the amount of heat added to melt a solid or 
removed to solidify a liquid. 
QF = m(HF) KJ (KW if m in kg/sec) 
Where: 
HF – latent heat of fusion in KJ/kg 
Phase Change 
A. Vaporization: Liquid to Vapor 
B. Condensation: Vapor to liquid 
C. Freezing or Solidifying: Liquid to solid 
D. Melting: Solid to liquid 
E. Sublimation: Change from solid directly to vapor without passing the liquid 
state.
11 
Ideal or Perfect Gas 
Fundamental equations: 
1. Equation of State or Perfect Gas Equation 
2. Gas Constant 
3. Boyles Law (At constant temperature, T = C) 
4. Charle’s Law 
a. At Constant Pressure 
b. At Constant Volume 
C 
T 
P V 
T 
P V 
C 
T 
PV 
P RT 
PV mRT 
2 
2 2 
1 
1 1   
 
 
 
 
kg - K 
KJ 
 M 
8.3143 
R  
1 1 2 2 P V P V 
PV C 
 
 
Q h mC ( T) 
T 
V 
T 
V 
C 
T 
V 
P 
2 
2 
1 
1 
    
 
 
Q U mC ( T) 
T 
P 
T 
P 
C 
T 
P 
V 
2 
2 
1 
1 
    
 

12 
5. Avogadro’s Law: All gases at the same temperature and pressure have the same 
number of molecules per unit of volume. It follows that the specific weight is 
directly proportional to its molecular weight. 
6. Specific Heat 
a. At Constant pressure 
b. At Constant volume 
7. Entropy Change 
k 1 
Rk 
CP 
 
 
v 
p 
p v 
V 
C 
C 
k 
C C R 
k 1 
R 
C 
 
  
 
 
   
T 
dQ 
S 
2 
1 
2 
1 
M 
M 
 
 

13 
IDEAL GAS MIXTURE 
Gas Mixture: A gaseous substance consisting two or more type of gases. The gases in a 
gas mixture are called “components” or “constituents” of a mixture. 
1. Total moles of a mixture 
2. Mole Fraction 
3. Total mass of a mixture 
4. Mass Fraction 
5. Equation of State 
A. Mass Basis 
a. For the mixture 
b. For the components 
B. Mole Basis 
a. For the mixture 
b. For the components 
6. Amagat's Law: The total volume V of a mixture is equal to the sum of the volume 
occupied by each component at the mixture pressure P, and temperature T. 
1 
n1 
V1 
2 
n2 
V2 
3 
n3 
V3 
P, T 
P = P1 = P2 = P3 
T = T1 = T2 = T3 
 i n n 
n 
n 
y i 
i  
 i m m 
m 
m 
x i 
i  
PV mRT 
i i i i i PV mR T 
PV nRT 
i i i i P V n RT
14 
7. Dalton's Law: The total pressure of a mixture P is equal to the sum of the partial 
pressure that each gas would exert at the mixture volume V and temperature T. 
8. Molecular Weight of a Mixture 
1 
n1 
P1 
2 
n2 
P2 
3 
n3 
P3 
mixture 
n2 
P2 
V = V1 = V2 = V3 
T = T1 = T2 = T3 
V 
V 
y 
V V 
V V V V 
P 
RT 
RT 
PV 
RT 
PV 
RT 
PV 
RT 
PV 
RT 
PV 
RT 
PV 
RT 
PV 
RT 
PV 
n n n n 
i 
i 
i 
1 2 3 
1 2 3 
1 2 3 
1 2 3 
 
 
   
  
 
 
  
 
 
 
 
 
 
   
   
   
 
P 
P 
y 
P P 
P P P P 
V 
RT 
RT 
P V 
RT 
P V 
RT 
P V 
RT 
PV 
RT 
P V 
RT 
P V 
RT 
P V 
RT 
PV 
n n n n 
i 
i 
i 
1 2 3 
1 2 3 
1 2 3 
1 2 3 
 
 
   
  
 
 
  
 
 
 
 
 
 
   
   
   
 
mol 
i i 
kg 
kg 
R 
8 3143 
R 
R 
M 
M yM 
. 
  
 
15 
9. Gas Constant of a mixture 
10. Specific Heats of a mixture 
11. Gravimetric and Volumetric Analysis: Gravimetric Analysis gives the mass 
fractions of the components in the mixture. Volumetric Analysis gives the volumetric 
or molal fractions of the components in the mixture. 
A . Volumetric or Molal analysis to Gravimetric analysis 
B. Gravimetric analysis to volumetric or Molal analysis 
kg- K 
KJ 
M 
8 3143 
M 
R 
R 
R x Ri i 
 
  
  
. 
kg- K 
KJ 
k 1 
R 
C 
kg- K 
KJ 
k 1 
Rk 
C 
kg- K 
KJ 
C C R 
kg- K 
KJ 
C x C 
kg- K 
KJ 
C x C 
V 
P 
P V 
V i Vi 
P i Pi 
  
 
  
 
 
  
 
 
 
 
 
 
M 
y M 
y M 
y M 
x i i 
i i 
i i 
i   
 
 
 
i 
i 
i 
i 
i 
M 
x 
M 
x 
y
16 
dQ dU PdV 
dW P dV 
  
  
  
  
W P dV 
Q ΔU W 
Law of conservation of Energy (The First Law of Thermodynamics): 
“Energy can neither be created nor destroyed but can only be converted from one 
form to another.” 
Verbal Form: 
Energy Entering – Energy Leaving = change of energy stored in the system 
Equation Form: 
E1 – E2 = Es 
Application of the Law of Conservation of Energy 
A. Closed System (Nonflow System): A system closed to matter or mass flow. 
B. Open System (Steady-State, Steady-Flow System): A system opens to 
matter flow in which there’s an exchange of mass between the system and the 
surrounding. 
From First Law; 
E1 – E2 = Es 
For an Open system, Es = 0, hence 
E1 = E2 or 
Energy entering = Energy leaving 
Gas 
U 
Q 
W 
System 
Q 
W 
1 
2 
1 1 1 1 1 U P V KE PE 
2 2 2 2 2 U P V KE PE 
Q U U P V P V KE KE PE PE W 
U P V KE PE Q U P V KE PE W 
2 1 2 2 1 1 2 1 2 1 
1 1 1 1 1 2 2 2 2 2 
         
         
( ) ( ) ( ) ( )
17 
Enthalpy: Sum of internal and flow energy 
h= U + PV 
Processes of Fluids 
1. Isobaric Process: Reversible Constant Pressure Process 
A. Closed System 
Q = U + W 
W = P(V2 – V1) 
Q = m(h2 – h1) 
U = m(u2 – u1) 
For Ideal Gas 
Q = mCp(T2 – T1) 
U = mCv(T2 – T1) 
W = mR(T2 – T1) 
B. Open System (Steady-state,steady-flow) 
W = -KE - PE 
If KE = 0 & PE = 0 
W = 0 
Q = m(h2 – h1) 
C. Entropy change 
  
W Q- h- KE- PE-W 
Q- h h KE KE PE PE 
Q h h KE KE PE PE W 
h KE PE Q h KE PE W 
2 1 2 1 2 1 
2 1 2 1 2 1 
1 1 1 2 2 2 
    
      
       
       
( ) ( ) ( ) 
( ) ( ) ( ) 
For ideal gas 
T 
T 
ln 
P 
ΔS mC 
ΔS S S 
1 
2 
2 1 
  
  
2 
2 
1 
1 
v 
p 
v 
p 
T 
V 
T 
V 
C 
C 
k 
k 1 
R 
C 
k 1) 
Rk 
C 
 
 
 
 
 

18 
2. Isometric Process: Reversible Constant Volume Process. 
A. Closed System (Non-Flow) 
Q = U + W 
W = 0 
U = m(u2 – u1) 
Q = U = m(u2 – u1) 
For Ideal Gas 
Q = mCv(T2 – T1) 
Q = U = mCv(T2 – T1) 
W = 0 
2 
2 
1 
1 
v 
p 
v 
p 
T 
P 
T 
P 
C 
C 
k 
k 1 
R 
C 
k 1) 
Rk 
C 
 
 
 
 
 
 
B. For Open System (Steady flow) 
For Ideal Gas 
C. Entropy Change 
W -V(P -P ) 
W Q- h 
If KE 0 & PE 0 
W -V(P -P )- KE- PE 
W Q- h- KE- PE- 
2 1 
2 1 
 
  
    
   
    
V(P P ) mR(T T ) 
V(P P ) V(P P ) 
2 1 1 2 
2 1 1 2 
    
    
For ideal gas 
T 
T 
ΔS mC ln 
ΔS S S 
1 
2 
V 
2 1 
  
 
19 
3. Isothermal Process: Reversible Constant Temperature Process 
A. Closed System (Nonflow System) 
Q = U + W 
U = m(u2 – u1) 
For Ideal Gas 
P1V1 = P2V2 = C 
U = mCv(T2 – T1) 
T2 – T1 = 0 
U = 0 
Q = W 
B. For Open System (Steady Flow) 
C. Entropy change 
1 
2 
1 1 
2 
1 
1 1 
1 
2 
1 1 
2 
1 
1 1 
p 
V 
V 
P V ln 
P 
P 
W P V ln 
W Q 
If ΔKE 0 & ΔPE 0 
V 
V 
P V ln 
P 
P 
Q P V ln 
W Q- ΔKE- ΔPE 
Δh 0 
ΔT 0 
h mC ( T) 
For Ideal Gas 
W Q- Δh- ΔKE- ΔPE 
  
 
  
  
 
 
 
   
 
For ideal or perfect gas 
T 
W 
T 
Q 
ΔS 
T 
Q 
ΔS 
ΔS S S2 1 
  
 
  
1 1 1 
2 
1 
1 1 
1 
2 
1 1 
P V mRT 
P 
P 
P V ln 
V 
V 
W P V ln 
 
 
20 
4. Isentropic Process: An isentropic process is an internally reversible adiabatic 
process in which the entropy remains constant (S = C or PVk = C, for ideal or 
perfect gas) 
P, V, & T relationships for Ideal or Perfect gas 
A. Closed System (Non-Flow) 
For Ideal Gas 
B. Open System (Steady state, steady flow) 
C. Entropy change 
S = 0 
1 
2 
1 
1 
1 
2 
1 
2 
1 1 2 2 
 
 
  
 
 
  
 
 
   
 
 
  
 
 
 
  
k 
k 
k 
k k 
V 
V 
P 
P 
T 
T 
P V P V C 
W ΔU 
Q 0 
Q ΔU W 
  
 
  
 
 
 
 
 
 
 
 
 
 
   
 
 
  
 
 
 
    
  
 
 
 
 
 
 
 
 
 
 
   
 
 
  
 
 
 
  
   
 
    
 
 
1 
P 
P 
1 k 
kmRT 
1-k 
k(P V -P V ) 
W - h 
If ΔKE 0 & ΔPE 0 
1 
P 
P 
1 k 
kmRT 
1-k 
k(P V -P V ) 
-Δh 
For ideal gas 
W - h-ΔKE ΔPE 
Q 0 
W Q Δh ΔKE ΔPE 
k 
k 1 
1 
2 2 1 1 1 2 
k 
k 1 
1 
2 2 1 1 1 2 
 
 
 
 
 
 
 
 
 
 
   
 
 
  
 
 
 
 
 
 
 
     
 
1 
P 
P 
1 k 
mRT 
1 k 
(P V P V ) 
W 
W ΔU mC (T T ) 
k 
k 1 
1 
2 2 1 1 1 2 
v 2 1
21 
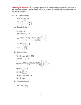
5. Polytropic Process: A polytropic process is an internally reversible process of 
an Ideal or Perfect Gas in which PVn = C, where n stands for any constant but 
not equal to zero. 
P,V, & T relationship: 
A. Closed System 
B. Open System 
C. Entropy Change 
n 1 
2 
1 
n 
n 1 
1 
2 
1 
2 
n 
2 2 
n 
1 1 
V 
V 
P 
P 
T 
T 
P V P V C 
 
 
  
 
 
  
 
 
   
 
 
  
 
 
 
  
 
 
 
 
 
 
 
  
 
 
 
 
 
 
 
 
 
 
   
 
 
  
 
 
 
 
 
 
 
  
  
 
1 n 
k n 
C C 
Q mC (T T ) 
1 
P 
P 
(1 n) 
mRT 
1 n 
(P V P V ) 
W 
ΔU mCv(T T ) 
Q ΔU W 
n V 
n 2 1 
n 
n 1 
1 
2 2 1 1 1 2 
2 1 
W Q Δh 
If KE 0& ΔPE 0 
1 n 
k n 
C C 
Q mC (T T ) 
1 
P 
P 
(1 n) 
nmRT 
1 n 
n(P V P V ) 
Q Δh 
Δh mC (T T ) 
W Q Δh ΔKE ΔPE 
n V 
n 2 1 
n 
n 1 
1 
2 2 1 1 1 2 
P 2 1 
  
   
 
 
 
 
 
 
 
  
 
 
 
 
 
 
 
 
 
 
   
 
 
  
 
 
 
 
 
 
  
  
    
 
1 
2 
n T 
T 
ΔS mC ln
22 
6. Throttling Process: A throttling process is a steady-state, steady-flow process in which W= 0, KE = 0,PE = 0 where h = C. 
h1 = h2 
Properties of Pure Substance: A pure substance is a substance that is homogeneous in nature and is homogeneous. 
a - sub-cooled liquid 
b - saturated liquid 
c - saturated mixture 
d - saturated vapor 
e - superheated vapor 
Considering that the system is heated at constant pressure where P = 101.325 KPa, the 100C is the saturation temperature corresponding to 101.325 KPa, and 101.325 KPa pressure is the saturation pressure at 100C. 
Saturation Temperature (tsat) - is the highest temperature at a given pressure in which vaporization takes place. 
Saturation Pressure (Psat) - is the pressure corresponding to the temperature. 
Sub-cooled Liquid - is one whose temperature is less than the saturation temperature corresponding to the pressure. 
Compressed Liquid - is one whose pressure is greater than the saturation pressure corresponding to the temperature. 
Saturated Mixture - a mixture of liquid and vapor at the saturation temperature. 
Superheated Vapor - a vapor whose temperature is greater than the saturation temperature. 
yurigmelliza 
30C 
100C 
100C 
100C 
100C 
t100C 
P 
P 
P 
P 
P 
(a) 
(b) 
(c) 
(d) 
(e) 
Q 
Q 
Q 
Q 
Q
23 
Temperature - Specific volume Diagram (T- diagram) 
F(critical point)- at the critical point the temperature and pressure is unique. 
For Steam: At Critical Point, P = 22.09 MPa; t = 374.136C 
Temperature-Entropy Diagram (T-S Diagram) 
Region I - sub-cooled or compressed liquid region 
Region II- saturated mixture region 
Region III- superheated vapor region 
T 
 
 
a 
b 
c 
d 
e 
F 
P = C 
t  tsat 
tsat 
tsc 
Critical Point 
Saturation Curve 
T 
S 
 
a 
b 
c 
d 
e 
F 
P = C 
t  tsat 
tsat 
tsc 
Critical Point 
Saturation Curve 
I 
II 
III
24 
yurigmelliz 
Enthalpy-Entropy Diagram (h-S Diagram or Mollier Chart) 
The properties h,S,U,and  at saturated liquid, saturated vapor, sub-cooled or compressed 
liquid and superheated vapor condition, can be determined using the Steam Table. 
For the properties at the saturated mixture condition, its properties is equal to 
r = rf + xrfg 
where r stands for any property, such as h, S, U,and , where subscript f refers to 
saturated liquid condition and fg refers to the difference in property between saturated 
vapor and saturated liquid and x is called the quality. 
QUALITY 
where: m - mass 
v - refers to vapor 
l - refers to liquid 
Note: For sub-cooled liquid, its properties are approximately equal to the properties at 
saturated liquid which corresponds to the sub-cooled temperature. 
Terms and Definition 
a. Saturated Liquid – a liquid existing at the saturation temperature corresponding 
the pressure. 
b. Saturated Vapor – a vapor existing at the saturation temperature corresponding 
the pressure. 
c. Superheated Vapor – a vapor whose temperature is greater than the saturation 
temperature corresponding to the pressure. 
d. Subcooled Liquid – a liquid whose temperature is less than the saturation 
temperature corresponding to the pressure. 
e. Saturated Mixture – a mixture of liquid and vapor at the saturation temperature 
and pressure. 
m 
m 
m m 
m 
x v 
v l 
v  
 
 
h 
S 
 
F 
P = C 
Critical Point 
Saturation Curve 
I 
II 
III 
t = C(constant temperature curve)
25 
f. Saturated Temperature – it is the highest temperature reached by a liquid heated at certain pressure in which vaporization takes place. 
g. Saturated Pressure – a pressure corresponding the saturation temperature. 
Example: When water is heated at standard pressure (P = 101.325 KPa) it will boil at 100C. This temperature is the saturation temperature corresponding 101.325 KPa and the pressure 101.325 KPa is the saturation pressure corresponding 100C temperature. 
Throttling Calorimeter: An apparatus that is used to determine the quality of a desuperheated steam flowing in a steam line. 
A throttling process is one that is a constant enthalpy process. Steam from the main steam line expands in the calorimeter to the calorimeter pressure and temperature. A throttling calorimeter is an instrument used to determine the quality of steam flowing in the main steam line. 
main steam line calorimeter throttling valve thermometer calorimeter pressure gauge main steam line pressure to main steam line
26 
Example (Constant Pressure – Ideal Gas) 
When a certain perfect gas is heated at constant pressure from 15ºC to 95ºC, the heat required 
is 1136 KJ/kg. When the same gas is heated at constant volume between the same temperatures 
the heat required is 808 KJ/kg. Calculate Cp, Cv, k, and M of the gas. 
Example 2 – (Polytropic – Ideal Gas) 
A closed system consisting of 2 kg of a gas undergoes a polytropic process during which the 
value of n = 1.3. The process begins with P1 = 100 KPa, 1 = 0.5 m3/kg and ends with P2 = 25 
KPa. Determine the final volume, in m3, and the work. 
Given 
m = 2 kg 
P1 = 100 KPa ; P2 = 25 KPa 
1 = 0.5 m3/kg 
Process: PV1.3 = C 
R 4.1 
Cp Cv R 
1.406 
10.1 
14.2 
k 
10.1 
At 
Cp 14.2 
C (95 15) 
At 
p 
 
  
  
 
 
 
 
 
  
 
 
 
v 
v 
v 2 1 
2 1 2 1 
p 2 1 
C 
808 C (95-15) 
Q C (T - T ) 
V C 
1136 
T - T t - t 
Q C (T - T ) 
P C 
KJ 
m 3 
W 91.7 
2.9 
P 
P V 
V 
1.3 
1 
2 
1.3 
1 1 
2 
 
 
  
 
 
  
 
 
 
V 0.5(20) 1 kg 
V m 
m 
V 
1 n 
P V P V 
W 
P V P V C 
1 
2 2 1 1 
1.3 
2 2 
1.3 
1 1 
  
  
  
 
 
 
 
27 
Example 3 – (Ideal Gas) 
A 5 m3 tank contained chlorine (R = 0.1172 KJ/kg-K) at 300 KPa and 300K after 3 kg of chlorine 
has been used. Determine the original mass and pressure if the original temperature was 315 K. 
(45.66 kg ; 337.15 KPa) 
Given 
V1 = V2 = 5 m3 ; R = 0.1172 KJ/kg-K 
m1 = ? ; P1 = ? ; T1 = 315K 
P2 = 300 KPa ; T2 = 300K 
m2 = (m1 – 3) 
Example 4 – (Constant Temperature/Ideal Gas) 
A mass of kg of air contained in cylinder at 800 KPa, 1000K expands in a reversible isothermal 
process to 100 KPa. Calculate 
a. the heat Q 
b. the entropy change 
Given: Process T = C or PV = C (for Air: R = 0.287 KJ/kg-K and k = 1.4) 
m = 1 kg ; P1 = 800 KPa ; T1 = 1000K ; P2 = 100 KPa 
a. At T = C for ideal Gas, Q = W 
Q W 597KJ 
100 
800 
1(0.287)(1000)ln 
P 
P 
mRT ln 
V 
V 
Q W mRT ln 
2 
1 
1 
1 
2 
1 
  
    
b. 
K 
KJ 
0.597 
1000 
597 
T 
Q 
S 
 
Δ    
Example 5 – (Polytropic Process) 
One kg of oxygen are compressed polytropically from a pressure of 96.5 KPa and 21C to 675.5 
KPa. The ratio of the specific heat k = 1.395 and the compression is according to PV1.3= C. 
Determine the change of entropy in KJ/K.(S = -0.94 KJ/K) 
Given: 
P1 = 96.5 KPa ; P2 =675.5 KPa 
k= 1.395 
PV1.3 = C 
  
 
 
 
 
 
  
1 n 
k n 
C C 
T 
T 
S mC ln 
n v 
1 
2 
n 
P 337.15 KPa 
P V m RT 
m 45.66 kg 
300(5) (m 3)(0.1172)(300) 
P V m RT 
PV mRT 
1 
1 1 1 1 
1 
1 
2 2 2 2 
 
 
 
  
 

28 
Fuels and Combustion 
Fuel: A substance composed of chemical elements which in rapid chemical union with oxygen produced “combustion”. 
Combustion: Is that rapid chemical union with oxygen of an element whose exothermic heat of reaction is sufficiently great and whose rate of reaction is sufficiently fast whereby useful quantities of heat are liberated at elevated temperature. 
Types of Fuel 
1. Solid Fuels 
a. Coal 
b. Wood 
c. charcoal 
2. Liquid Fuels 
a. Diesel 
b. Gasoline 
c. Kerosene 
3. Gaseous Fuels 
a. LPG 
b. Natural Gas 
c. Methane 
4. Nuclear Fuels 
a. Uranium 
b. Plutonium 
Combustible Elements 
1. Carbon (C) 
2. Hydrogen (H2) 
3. Sulfur (S) 
Complete Combustion: Occurs when all the combustible elements has been fully oxidized. 
Ex. C + O2  CO2 
Incomplete combustion: Occurs when some of the combustible elements has not been fully oxidized. 
Ex. C + O2  CO
29 
Molecular Weight of combustion Gases 
Gas 
Molecular 
Weight 
C 
12 
H 
1 
H2 
2 
O 
16 
O2 
32 
N 
14 
N2 
28 
S 
32 
Combustion Chemistry 
A. Oxidation of Carbon 
C + O2  CO2 
Mole Basis 
1 + 1  1 
Mass Basis 
1(12) + 1(32)  1(44) 
3 + 8  11 
B. Oxidation of Hydrogen 
H2 + ½ O2  H2O 
Mole Basis 
1 + ½  1 
Mass Basis 
1(2) + ½(32)  1(18) 
2 + 16  18 
1 + 8  9 
C. Oxidation of Sulfur 
S + O2  SO2 
Mole Basis 
1 + 1  1 
Mass Basis 
1(32) + 1 (32)  1(64) 
1 + 1  2
30 
Composition of Air: (in theoretical combustion) 
%age by Volume (or by mole) 
O2 = 21 
N2 = 79 
%age by mass 
O2 = 23 
N2 = 77 
Mole Ratio 
Combustion of Combustible elements with Air: 
A. Combustion of Carbon with Air 
C + O2 + 3.76N2  CO2 + 3.76N2 
Mole Basis 
1 + 1 + 3.76  1 + 3.76 
Mass Basis 
1(12) + 1(32) + 3.76(28)  1(44) + 3.76(28) 
3 + 8 + 3.76(7)  11 + 3.76(7) 
B. Combustion of Hydrogen with air 
H2 + ½ O2 + (½)3.76N2 H2O + (½)3.76N2 
Mole Basis 
1 + ½ + (½)3.76  1 + (½)3.76 
Mass basis 
1(2) + ½(32) + (½)3.76(28)  1(18) + (½)3.76(28) 
2 + 16 + (½)3.76(28)  18 + (½)3.76(28) 
1 + 8 + (½)3.76(14)  9 + (½)3.76(14) 
3 76 
21 
79 
Mol O 
Mols N 
2 
2   . 
kg of C 
kg of air 
11 44 
3 
8 3 76 7 
kg of Carbon 
kg of air 
. 
. ( ) 
 
 
 
2 
2 
1 
kg of H 
kg of air 
34 32 
1 
8 3 76 14 
kg of Hydrogen 
kg of air 
. 
( . )( ) 
 
 

31 
C. Combustion of Sulfur with air 
S + O2 + (3.76)N2  SO2 + 3.76N2 
Mole Basis 
1 + 1 + 3.76  1 + 3.76 
Mass Basis 
1(32) + 1(32) + 3.76(28)  1(64) + 3.76(28) 
32 + 32 + 3.76(28)  64 + 3.76(28) 
Theoretical Air: It is the minimum amount of air required to oxidized the reactants. With theoretical air alone, no O2 is found in the product. 
Excess Air: It is an amount of air in excess of the theoretical air requirement in order to influence complete combustion. With excess air O2 is found in the product. 
Hydrocarbon Fuel: Fuels containing the element Carbon and Hydrogen. 
Chemical Formula: CnHm 
Family of Hydrocarbon: 
1. Paraffin (CnH2n+2) 
2. Olefins (CnH2n) 
3. Diolefin (CnH2n-2) 
4. Naphthene (CnH2n): this type of fuel has the same formula as olefins but at different structure. 
5. Aromatics ((CnH(2n-6)) 
COMBUSTION OF HYDROCARBON FUEL(CnHm) 
A) Combustion of CnHm with 100% theoretical air 
CnHm + aO2+ a(3.76)N2  bCO2 + cH2O + a(3.76)N2 
where: 
a = n + 0.25m 
b = n 
c = 0.5m 
B) With excess air 
CnHm + (1+e)aO2 + (1+e)a(3.76)N2  bCO2 + cH2O +dO2 + (1+e)a(3.76)N2 
where: 
d = e(n + 0.25m) 
Note: The values of a,b,c, and d above in terms of n and m is applicable only for the combustion of one type of hydrocarbon. 
where: e - excess air in decimal 
S of kgair of kg 294322876332Sulfur of kgair of kg. ))(.(   
32 
 
 
 
 
  1 
F 
A 
m mg F 
Theoretical Air-Fuel Ratio: Ratio of Kg of Air to Kg of fuel 
Actual Air-fuel Ratio: Ratio of actual kgs of Air (theoretical + excess) to kg of fuel 
COMBUSTION OF SOLID FUELS 
Components of Solid Fuels: C, H2, O2, N2, S, and Moisture 
A) Combustion with 100% theoretical air 
aC + bH2 + cO2 + dN2 + eS + fH2O + xO2 + x(3.76)N2  
gCO2 + hH2O + iSO2 + jN2 
B) Combustion with excess air (e’ - excess air in decimal) 
aC + bH2 + cO2 + dN2 + eS +fH2O + (1+e’)xO2 + (1+e’)x(3.76)N2  
gCO2 + hH2O + iSO2 + kO2 + lN2 
The theoretical and actual air-fuel ratio of solid fuels can be computed based on their 
balance combustion equation above. 
DEW POINT TEMPERATURE 
The Dew Point Temperature (tdp) is the saturation temperature corresponding the partial 
pressure of the water vapor in the mixture (products of combustion). 
ULTIMATE ANALYSIS 
Ultimate Analysis gives the amount of C, H2, O2, N2, S and moisture in percentages by 
mass, sometimes the percentage amount of Ash is given. 
(A/F)t = 11.44C + 34.32(H- O/8) + 4.29S kg of air/kg of fuel 
where: C, H, O and S are in decimals obtained from the Ultimate Analysis 
PROXIMATE ANALYSIS 
Proximate Analysis gives the percentage amount of Fixed Carbon, Volatiles, Ash and 
Moisture. 
ORSAT ANALYSIS 
Orsat Analysis gives the volumetric or molal analysis of the products of combustion or 
exhaust gases on a Dry Basis. 
MASS FLOW RATE OF FLUE GAS 
a) Without considering Ash loss:
33 
 
 
 
 
  1 - Ash loss 
F 
A 
m mg F 
b) Considering Ash loss 
where ash loss in decimal 
MOLECULAR WEIGHT OF PRODUCTS 
Products mol 
CO CO H O H O O O SO SO N N 
kg 
kg 
n 
n M n M n M n M n M . . . nM 
M 2 2 2 2 2 2 2 2 2 2 
      
 
kg - K 
KJ 
R - Gas Constant 
Universal Gas Constant 
kg - K 
KJ 
R 8.3143 
kg 
kg 
R 
R 
M 
mol 
mol 
 
 
 
 
 
GAS CONSTANT OF PRODUCTS 
M 
R 
R 
kg - K 
KJ 
m 
m R m R m R m R m R . . . mR 
R 
Pr oducts 
CO2 CO2 H2O H2O O2 O2 SO2 SO2 N2 N2 
 
 
      
 
SPECIFIC HEATS OF PRODUCTS 
V 
P 
P V 
V i Vi 
Pr oducts 
CO VCO H O VH O O VO SO VSO N VN V 
V 
P i Pi 
Pr oducts 
CO PCO H O PH O O PO SO PSO N PN P 
P 
C 
C 
k 
C C R 
C x C 
kg - K 
KJ 
m 
m C m C m C m C m C . . . mC 
C 
C x C 
kg - K 
KJ 
m 
m C m C m C m C m C . . . mC 
C 
2 2 2 2 2 2 2 2 2 2 
2 2 2 2 2 2 2 2 2 2 
 
  
  
 
      
 
  
 
      
 
Where: 
CP – specific heat at constant pressure in KJ/kg-K or KJ/kg-C 
CV – specific heat at constant volume in KJ/kg-K or KJ/kg-C 
k – ratio of specific heat
34 
3.5 
93.8 
3.3 
M 
1.9 
93.8 
1.8 
S 
1.2% 
93.8 
1.1 
N 
2.6 
93.8 
2.4 
O 
4.8% 
100 6.2 
4.5 
H 
86% 
100 6.2 
80.7 
C 
2 
2 
2 
  
  
  
  
 
 
 
 
 
 
PARTIAL PRESSURE OF COMPONENTS 
P - partial pressure of the components in the mixture 
pressure of the mixture 
P P 
P y P 
i 
i 
i i 
P  total 
  
 
EXAMPLE 1 
The ultimate analysis of a coal fuel is as follows: 
C = 80.7% ; H2 = 4.5% ; O2 = 2.4% ; N2 = 1.1% ; S = 1.8%; M = 3.3% 
and Ash = 6.2%. Determine 
a. The combustion equation 
b. The air – fuel ratio 
c. The HHV and LHV of the fuel 
d. The M and R of the products 
SOLUTION 
Reduce the analysis to an ashless basis
35 
1.91% 
9.937 
0.194 
M 
0.6% 
9.937 
0.06 
S 
0.43% 
9.937 
0.043 
N 
0.81 
9.937 
0.08 
O 
24.2% 
9.937 
2.4 
H 
72.05% 
9.937 
7.16 
C 
7.16 2.4 0.08 0.043 0.06 0.194 9.937 
Mi 
xi 
18 
3.5 
32 
1.9 
28 
1.2 
32 
2.6 
2 
4.8 
12 
86 
Mi 
xi 
2 
2 
2 
  
  
  
  
  
  
        
       
Converting to molal analysis 
Combustion with 100% theoretical air (Basis: 100 moles of fuel) 
2 2 2 2 
2 2 2 2 2 2 
2 
2 
2 2 2 2 
2 2 2 2 2 2 
72.05CO 26.11H O 0.6SO 316.0444N 
(72.05C 24.2H 0.81O 0.43N 0.6S 1.91H O) 83.94O 315.6144N 
316.0444 
N 
83.94 
d 
2 
26.11 
x 72.05 
2 
1.91 
O 
26.11 
Hydrogen 
72.05 b 
CarbonBalance 
bCO cH O dSO eN 
(72.05C 24.2H 0.81O 0.43N 0.6S 1.91H O) xO x(3.76)N 
   
        
 
  
 
 
      
 
  
 
   
        
e 
0.43 83.94(3.76) e 
Balance 
x 
From eq. 1 
0.6 d 
S Balance 
0.81 eq. 1 
Balance 
c 
24.2 1.91 c 
Balance
36 
kg of fuel 
11.5 
1004.54 
11523.2832 
72.05(12) 24.2(2) 0.81(32) 0.43(28) 0.6(32) 1.91(18) 
83.94(32) 315.6144(28) 
F 
A 
kg of air 
  
     
 
 
EXAMPLE 2 
An Ultimate analysis of coal yields the following composition: 
C = 74% ; H2 = 5%; O2 = 6%; N2 = 1.2%; S = 1%; M = 3.8% and Ash = 9%. 
If this coal is burned with 25% excess air, determine 
a. The combustion equation 
b. The actual air – fuel ratio in kg/kg 
Fuel 
Components 
Ultimate 
analysis 
Ashless 
% 
M x/M Molal 
Analysis 
Combustion w/ 100% Theo. air 
O2 N2 CO2 H2O SO2 O2 N2 
C 74 81.3 12 6.78 67.5 79.44 298.7 67.47 29.66 0.34 299.17 
H2 5 5.5 2 2.75 27.4 Combustion w/ excess air e = 0.25 
O2 6 6.6 32 0.21 2.1 99.3 373.4 67.5 29.7 0.3 19.9 373.8 
N2 1.2 1.3 28 0.05 0.5 
S 1 1.1 32 0.03 0.3 Air-Fuel Ratio 
M 3.8 4.2 18 0.23 2.3 13.7 kg/kg 
Ash 9 10.04 100 
100 
EXAMPLE 3 
A gas turbine generating unit produces 600 KW of power and uses a liquid fuel represented 
by C8H18 and requires 300% excess air for complete combustion. For a fuel rate of 0.234 
kg/KW-hr, determine 
a. The combustion equation 
b. The volume of air required at P = 1500 KPa and T = 310K 
EXAMPLE 4 
An unknown hydrocarbon fuel has the following Orsat Analysis: 
CO2 = 12.5%; CO = 0.3%; O2 = 3.1%; N2 = 84.1% 
Determine 
a. The value of n and m 
b. The combustion equation 
c. The percent excess air (e = 15%) 
d. The percent C and H in the fuel
37 
HEATING VALUE 
Heating Value - is the energy released by fuel when it is completely burned and the products of combustion are cooled to the original fuel temperature. 
Higher Heating Value (HHV) - is the heating value obtained when the water in the products is liquid. 
Lower Heating Value (HHV) - is the heating value obtained when the water in the products is vapor. 
For Solid Fuels 
HHV = 33,820C + 144,212 (H- O/8) + 9304S KJ/kg 
where: C, H2, O2, and S are in decimals from the ultimate analysis 
For Coal and Oils with the absence of Ultimate Analysis 
For Liquid Fuels 
HHV = 31,405C + 141 647H KJ/kg 
HHV = 43,385 + 93(Be - 10) KJ/kg 
Be - degrees Baume 
For Gasoline 
HHV = 41,160 + 93 (API) KJ/kg 
LHV = 38,639 + 93 (API) KJ/kg 
For Kerosene 
HHV = 41,943 + 93 (API) KJ/kg 
LHV = 39,035 + 93 (API) KJKkg 
For Fuel Oils 
HHV = 41,130 + 139.6(API) KJ/kg 
LHV = 38,105 + 139.6(API) KJ/kg 
API - American Petroleum Institute 
For Fuel Oils (From Bureau of Standard Formula) 
HHV = 51,716 – 8,793.8 (S)2 KJ/kg 
LHV = HHV - QL KJ/kg 
QL = 2,442.7(9H2) KJ/kg 
H2 = 0.26 - 0.15(S) kg of H2/ kg of fuel 
S @ t = S - 0.0007(t-15.56) 
Where: 
S - specific gravity of fuel oil at 15.56 C 
H2 - hydrogen content of fuel oil 
QL - heat required to evaporate and superheat the water vapor formed by the combustion of hydrogen in the fuel
38 
S @ t - specific gravity of fuel oil at any temperature t 
Oxygen Bomb Calorimeter - instrument used in measuring heating value of solid and liquid fuels. 
Gas Calorimeter - instrument used for measuring heating value of gaseous fuels. 
Properties of Fuels and Lubricants 
a) Viscosity - a measure of the resistance to flow that a lubricant offers when it is 
subjected to shear stress. 
b) Absolute Viscosity - viscosity which is determined by direct measurement of shear 
resistance. 
c) Kinematics Viscosity - the ratio of the absolute viscosity to the density 
d) Viscosity Index - the rate at which viscosity changes with temperature. 
e) Flash Point - the temperature at which the vapor above a volatile 
liquid forms a combustible mixture with air. 
f) Fire Point - The temperature at which oil gives off vapor that burns continuously when ignited. 
g) Pour Point - the temperature at which oil will no longer pour freely. 
h) Dropping Point - the temperature at which grease melts. 
i) Condradson Number(carbon residue) - the percentage amount by mass of the carbonaceous residue remaining after destructive distillation. 
j) Octane Number - a number that provides a measure of the ability of a fuel to resist 
knocking when it is burnt in a gasoline engine. It is the percentage by volume of iso- 
octane in a blend with normal heptane that matches the knocking behavior of the fuel. 
k) Cetane Number - a number that provides a measure of the ignition characteristics of 
a diesel fuel when it is burnt in a standard diesel engine. It is the percentage of 
cetane in the standard fuel.
39 
Cycle 
A cycle is a series of two or more processes in which the final state is the same as the initial state. 
Steam Power Cycle: A power generating cycle that uses steam or water vapor as the working substance. This cycle differ with an internal combustion engine cycle because the combustion occurs in the boiler, unlike that of an IC engine that combustion occurs inside the working cylinders. 
Steam Power Plant Cycle 
Rankine Cycle 
Components: 
a. Steam Turbine 
b. Condenser 
c. Pump 
d. Steam Generator or boiler 
Processes: 
1 to 2 – Isentropic Expansion (S = C) 
2 to 3 – constant pressure Heat Rejection (P = C) 
3 to 4 – Isentropic pumping (S = C) 
4 to 1 – Constant pressure Heat Addition (P = C)
40 
A. Turbine Work (Wt) (considering S = C; Q = 0; KE = 0; PE = 0) 
Wt = ms(h1 – h2) KW 
Where: 
ms – steam flow rate, kg/sec 
h – enthalpy, KJ/kg 
Wt – turbine power, KW 
B. Heat Rejected in the Condenser (QR) 
QR = m(h2 – h3) KW 
C. Pump Work (WP) 
WP = m(h4 – h3) 
D. Heat added to Boiler (QA) 
QA = m(h1 – h4) KW 
E. Boiler Efficiency (EB) 
T 
P1 1 
4' 
4 
P2 = P3 
3 2 2' 
S 
x 100% 
Q 
Q 
E 
S 
A 
B 
41 
Reheat Cycle Steam Power Plant: In a reheat cycle, after partial expansion of steam 
in the turbine the steam re-enters a section in the steam generator called the re-heater 
and re-heating the steam almost the same to initial temperature and then re-expands 
again to the turbine. This will result to an increase in thermal efficiency of the cycle, with 
significant increase in turbine work and heat added. 
Turbine Work 
WP 
QR 
Wt 
QA 
1 2 
3 
4 
5 
6 
1 kg 
To Reheater 
From Reheater 
T 
1 
S 
2 
3 
5 4 
6 
W m  h h h h  KW t s 1 2 3 4  (  )  ( 
42 
Heat Rejected 
Pump Work 
Heat Added 
Where: 
ms – mass flow rate of steam, kg/sec 
Q m (h h ) KW R s 4 5   
W m h h KW P s 6 5  (  ) 
Q m h h h h  KW A s 1 6 3 2   )  (  )
43 
Regenerative Cycle: In a regenerative cycle some of the steam after initial expansion is extracted for feed-water heating by mixing the bled steam with the condensate or drains from other heater. The remaining steam re-expands again in the turbine. The thermal efficiency also increases due to the decrease in heat added to boiler. 
WP2 
QR 
Wt 
QA 
1 
2 
3 
4 
5 
6 
1 kg 
Open 
Heater 
WP1 
7 
m1 
T 
1 
S 
2 
3 
4 
5 
6 
7 
m 
(1-m) 
(1-m) 
1 kg 
1 kg
44 
Let: m – fraction of steam extracted for feed-water heating, kg/kg 
Turbine Work 
Heat Rejected 
Pump Work 
a. Condensate pump (WP1) 
b. Feed-water pump WP2) 
Heat Added 
Reheat – Regenerative Cycle: In a reheat – regenerative cycle further increase in 
thermal efficiency will occur because of the combine effects of reheating and regenerative 
feed-water heating. Significantly heat added decreases, total pump work decreases while 
turbine work increases. 
Single stage reheat and single stage regenerative cycle that uses an open type feedwater heater 
WP2 
QR 
Wt 
QA 
1 
2 
3 
4 
5 
6 
1 kg 
Open 
Heater 
WP1 
7 
m1 
2 
8 
(1-m1) 
(1-m1) 
W m  h h 1 m h h  KW t s 1 2 2 3  (  )  (  )(  ) 
Q m  1 m h h  KW R s 3 4  (  )(  ) 
W m h h KW 
W m 1 m h h KW 
W W W 
P2 s 7 6 
P1 s 5 4 
P P1 P2 
(( ) 
( )( ) 
  
   
  
Q m  h h  KW A s 1 7  (  )
45 
Turbine Work 
Heat Rejected 
Pump Work 
Heat Added 
T 
S 
1 
2 
3 
5 4 
6 
7 
8 
m 
1 kg 
(1-m) 
(1-m) 
(1 kg) 
W m  h h 1 m h h  KW t s 1 2 3 4  (  )  (  )(  ) 
Q m  1 m h h  KW R s 4 5  (  )(  ) 
  
  
P P1 P2 
P2 s 8 7 
P1 s 6 5 
W W W 
W m (h -h ) KW 
W m 1 m h h KW 
  
 
 (  )(  ) 
Q m  h h 1 m h h  KW A s 1 8 3 2  (  )  (  )(  )
46 
STEAM RATE 
HEAT RATE 
Turbine Efficiency 
Pump Efficiency 
W turbine work in KW 
m steam flow rate in kg/sec 
where 
KW-hr 
kg 
W 
3600m 
SR 
when SR is based on the turbine power 
KW-hr 
kg 
KW Produced 
Steam Flow Rate 
SR 
t-s 
t 
s 
 
 
 
: 
W turbine work in KW 
Q Heat added in KW 
where 
KW-hr 
KJ 
W 
3600Q 
HR 
when HR is based on the turbine power 
KW-hr 
KJ 
KW Produced 
Heat Supplied 
HR 
t- 
A 
t 
A 
: 
 
 
x 100% 
W 
W 
t 
x 100% 
Ideal Turbine Work 
Actual Turbine Work 
t 
t' 
t 
 
 
 
 
x 100% 
W 
W 
x 100% 
Actual Pump Work 
Ideal Pump Work 
P 
P 
P 
P 
' 
 
 
 

47 
Boiler or Steam Generator Efficiency 
HYPERLINKS 
Fuels & Combustion 
Steam Table 
Formula 
EXAMPLE 
A coal fired steam power plant operates on the Rankine Cycle. The steam enters the turbine at 7000 KPa and 550C with a velocity of 30 m/sec. It discharges to the condenser at 20 KPa with a velocity of 90 m/sec. For a mass flow rate of steam of 37.8 kg/sec, Determine 
a. The ideal turbine work in KW 
b. The net power produced in KW 
c. The thermal efficiency of the cycle 
d. The cooling water required in the condenser if cooling water enters at 20C and leaves at 35C 
e. The coal consumption in kg/hr if the boiler efficiency is 82% and heating value of coal is 32,000 KJ/kg 
From Steam Table 
h1 =3529.8 ; S1 = 6.9465 
h2 = 2288.3 ;x2 = 86.4% 
h3 = 251.33; S3 = 0.8321 
h4 = 258.43 
Solution: 
a. W = Q - h - KE - PE 
Q = 0 ; PE = 0 
Wt = (h1 – h2) - KE 
Wt = 46,792.6 KW 
b. Wp = 268.38 KW 
W = 46,524.2 KW 
c. QA = 123,657.8 KW 
e = 37.62% 
d. QR = 76,997.5 KW 
MW = 1225.99 kg/sec 
e. mf = 16,965.25 KG/hr 
100% x QQe100% x Boiler to supplied Heat ActualBoiler by Absorbed HeatesABB  
48 
GENERAL BOILER DESCRIPTION 
1. Fire-Tube boiler: Hot gas is inside the tubes while water on the outside. 
2. Water-Tube boiler: Water is inside the tube while hot gas is on the outside. 
The fire-tube boiler design uses tubes to direct the hot gases from the combustion 
process through the boiler to a safe point of discharge. The tubes are submerged in the 
boiler water and transfer the heat from the hot gases into the water. 
Inside a firetube boiler the hot gases travel down the furnace during the combustion 
process, (first pass). The rear head seals the gasses in the lower portion of the head. 
The gas is redirected through the second pass tubes. In the front head the hot gasses 
are sealed from escaping out the stack and turned and redirected through the third pass 
tubes. The hot gas travels toward the upper portion of the rear head where it’s turned 
and directed through the fourth pass tubes. From there, after giving up most of the 
energy from the combustion process, the gas is directed into the stack and vented to the 
atmosphere. 
The water-tube boiler design uses tubes to direct the boiler water through the hot gases 
from the combustion process, allowing the hot gases to transfer its heat through the tube 
wall into the water. The boiler water flows by convection from the lower drum to the upper 
drum. 
Either of the fire-tube or water-tube boiler design concepts is available in what is popularly 
known as the packaged boiler, a concept introduced by Cleaver- Brooks in 1931. A 
packaged boiler is shipped from the manufacturer as a complete assembly, with burner, 
control systems, operating and safetycontrols, all piped and/or wired into the assembly. 
Equipment of this type needs only to be positioned into its intended location, utility 
connections made and a means provided to direct the flue gases to a safe point of 
discharge. Most packaged firetube boilers are available in capacities of 500,000 Btu/hr 
up to 26,800,000 Btu/hr output. These boilers are normally rated on the basis of boiler 
horsepower (BHP) output. One boiler horsepower = 33,472 Btu per hour. 
Packaged water-tube boilers, designed for commercial applications, are normally available 
in sizes as small as 1,200,000 Btu/hr output. Industrial watertube boilers can be provided 
in packaged format in capacities of up to 134,000,000 Btu/hr.
49 
Boiler Auxiliaries and Accessories 
Superheater – a heat exchanger that is used to increase the temperature of the water 
vapor greater than the saturation temperature corresponding the boiler pressure. 
Evaporator – a heat exchanger that changes saturated liquid to saturated vapor. 
Economizers – is the heat exchanger that raises the temperature of the water leaving 
the highest pressure feedwater heater to the saturation temperature 
corresponding to the boiler pressure. 
Air Preheater – is a heat exchanger use to preheat air that utilizes some of the energy 
left in the flue gases before exhausting them to the atmosphere. 
Fans – a mechanical machine that assist to push the air in, pull the gas out or both. 
Stoker – combustion equipment for firing solid fuels (used in water tube boilers) 
Burners – combustion equipment for firing liquid and gaseous fuels. 
Feedwater pump – a pump that delivers water into the boiler. 
Pressure Gauge – indicates the pressure of steam in the boiler. 
Safety Valve – A safety device which automatically releases the steam in case of over 
pressure. 
Temperature Gauge – indicates the temperature of steam in the boiler. 
Fusible Plug – a metal plug with a definite melting point through which the steam is 
released in case of excessive temperature which is usually caused by low water 
level. 
Water Walls – water tubes installed in the furnace to protect the furnace against high 
temperature and also serve as extension of heat transfer area for the feed-water. 
Gage Glass (Water column) – indicates the water level existing in the boiler. 
Baffles – direct the flow of the hot gases to effect efficient heat transfer between the hot 
gases and the heated water.
50 
Furnace – encloses the combustion equipment so that the heat generated will be utilized 
effectively. 
Soot blower – device which uses steam or compressed air to remove the soot that has 
accumulated in the boiler tubes and drums. 
Blowdown Valve – valve through which the impurities that settle in the mud drum are 
remove. Sometimes called blow 0ff valve. 
Breeching – the duct that connects the boiler and the chimney. 
Chimney or Smokestack – a structure usually built of steel or concrete that is used to 
dispose the exhaust gases at suitable height to avoid pollution in the vicinity of 
the plant. 
BOILER PERFORMANCE 
1.Heat Generated by Fuel 
Qs = mf (HHV) KJ/hr 
Where: mf – fuel consumption, kg/hr 
HHV – higher heating value of fuel KJ/kg 
2. Rated Boiler Horsepower(RBHp) 
a) For Water Tube Type 
RBHp = 
0.91 
HS 
b) For Fire Tube Type 
RBHp = 
1.1 
HS 
Where: HS – required heating surface, m2 
3. Developed Boiler Horsepower (DBHp) 
15.65(2257) 
m (h h ) s s f  
Dev. Bo. HP  
35,322 
m (h h ) s s f  
Dev. Bo. HP 
51 
One Boiler Horsepower is equivalent to the generation of 15.65 kg/hr of steam from 
water at 100C to saturated steam at 100C. The latent heat of vaporization of water at 
100C was taken at 2257 KJ/kg. 
4. Percentage Rating 
x 100% 
Rated Bo.Hp 
Dev.Bo.Hp 
%R  
5. ASME Evaporation Units 
ASME Evap. Units = ms(hs – hf) KJ/hr 
6.Factor of Evaporation (FE) 
(2257) 
(h h ) s f  
FE  
7. Boiler Efficiency 
x 100% 
m (HHV) 
m (h h ) 
f 
s s f  
  B 
8. Net Boiler Efficiency 
x 100% 
m (HHV) 
m (h h )-Auxiliaries 
f 
s s f  
  N 
9. Actual Specific Evaporation 
kg of fuel 
kg of steam 
mf 
Sp. Evap. s m 
Actual  
10. Equivalent Evaporation 
Equiv. Evap. = ms (FE) 
11. Equivalent Specific Evaporation 
Equiv. Sp. Evap. =   
ms FE 
mf
52 
BOILER HEAT BALANCE 
Energy supplied to the boiler by 1 kg of fuel is distributed among the following items in 
the ASME short-form heat balance, all expressed in units of KJ/kg of fuel. 
1. Heat absorbed by steam generating unit 
Q1 = 
f m 
m (h -h ) s s f KJ/kg 
Where: ms – steam flow rate in kg/hr 
mf – fuel consumption in kg/hr 
hs – enthalpy of steam, KJ/kg 
hf – enthalpy of fed water, KJ/kg 
2. Heat loss due to Dry Flue Gas 
Q2 = mdg(1.026)(tg – ta) KJ/kg 
Where: mdg – mass of dry flue gas, Kggas/Kgfuel 
3. Heat loss due to Moisture in Fuel 
Q3 = M(h’- hf’) KJ/kg 
Where: h’ – enthalpy of superheated steam at flue gas Temperature, KJ/kg 
hf’ – enthalpy of liquid at temperature of fuel entering furnace, KJ/kg 
Q3 = M(2493 + 1.926tg – 4.187tf) KJ/kg when tg < 302C 
Q3 = M(2482 + 2.094tg – 4.187tf) KJ/kg when tg > 302C 
4. Heat loss due to moisture from the combustion of hydrogen 
Q4 = 9H2(h’- hf’) KJ/kg 
Q4 = 9H2 (2493 + 1.926tg – 4.187tf) KJ/kg when 
tg < 302C 
Q4 = 9H2 (2482 + 2.094tg – 4.187tf) KJ/kg when 
tg > 302C
53 
5. Heat loss due to moisture in air supplied 
Q5 = W(1.926)maa(tg – ta) KJ/kg 
Q5 = %age saturation(Ws)(1.926)maa(tg – ta) KJ/kg 
6. Heat loss due to incomplete combustion 
Q6 = 23516Ci KJ/kg 
Q6 = 23516 ab 
2 
C 
CO CO 
CO 
 
KJ/kg 
7. Heat loss due to unconsumed carbon in the refuse 
Q7 = 33,820(C - Cab) 
Wher: (C - Cab) = (Wr – A) 
(Wr – A) = WrCr 
Wr = 
r 1-C 
A 
C – carbon in fuel, kg/kg 
Cab – carbon actually burned, kg/kg 
Wr – weight of dry refuse kg/kg 
Cr – weight of combustible in the refuse, kg/kg 
8. Heat loss due radiation and unaccounted-for losses 
Q8 = HHV –(Q1 + Q2 + Q3 + Q4 + Q5 + Q6 + Q7)
54 
Problems (Steam Generators) 
1. A steam generator uses coal as fuel having the ultimate analysis as follows: 
C = 72% ; H2 = 5%; O2 = 10%; N2= 1.2%; S = 3.3%; M = 0.1% & A = 8.4% 
If this coal is burned with 20% excess air, Determine 
a) the A/F ratio in kga/kgf 
b) the volume of wet flue gas at101 KPa and 282C per kg of coal 
c) the %age of CO2 by volume in the dry flue gas 
d) the dew point of the products 
e) the fuel consumption in Metric tons per hour for a steaming capacity of 100 Metric 
tons/hour, Factor of Evaporation of 1.15 and a steam generator efficiency of 73%. 
2. A water tube boiler generates 7,300 kg of steam per hour at a pressure of1.4 MPa and a 
quality of 98% when the feed-water is 24C. Find 
a) Factor of Evaporation 
b) Equivalent Evaporation 
c) Developed Boiler Horsepower 
d) %rating developed if the heating surface is 190 m2 
e) Overall efficiency if coal having a HHV of 5000 KCal/kg as fired is used at the rate of 
3000 L/hr. 
3. A water tube boiler generates 8,000 kg of steam per hour at a pressure of 1.4 MPa and a 
quality of 985 when the feed-water is 24C. Find 
a) Factor of Evaporation 
b) Equivalent Evaporation in kg/hr 
c) Boiler horsepower developed 
d) Percent rating developed if the heating surface is 185.9 m2 
e) Overall efficiency if coal having a HHV of 20,940 KJ/kg as fired is used at a rate of 
1500 kg/hr 
4. At a load of 43,000 KW in a steam turbine generating set, 3600 RPM, the following data 
appear in the log sheet. 
Steam flow -190 Metric Tons/hour 
Steam pressure - 8.93 MPaa 
Steam temperature - 535 
Feed-water temperature - 230 
Fuel Flow: 
Bunker Oil -3.4 Metric Tons/hr 
HHV =10,000 KCal/hr 
Local coal -18 Metric Tons/hr 
HHV = 5350 KCal/hr 
Determine thee overall boiler efficiency. 
h at 8.93 MPa and 535C - 3475.7 KJ/kg 
hf at 230C- 990.12 KJ/kg 
5. A coal fired steam boiler uses 3000 kg of coal per hour. Air required for combustion is 15.5 
kg/kg of coal at a barometric pressure of 98.2 KPa. The flue gas has a temperature of 285C 
and an average molecular weight of 30. Assuming an ash loss of 11% and allowable gas 
velocity of 7.5 m/sec, find the diameter of the chimney. (D = 1.91 m) 
6. Two boilers are operating steadily on 136,500 kg of coal contained in a bunker. One boiler is 
producing 2386 kg of steam/hr at 1.15 FE and an efficiency of 75%, and the other boiler 
produces 2047 kg of steam/hr at 1.10 FE and an efficiency of 70%. How many hours will the 
coal in the bunker run the boilers if the heating value of the coal is 32,000 KJ/kg. (281.5 hrs)
55 
7. An industrial plant is to be designed based upon the following requirements; 5000 KW output 
and generator efficiency of 98%. Steam is extracted at the rate of7.6 kg/sec at 0.2 MPa for 
industrial use. Turbine inlet pressure is 1.2 MPa and temperature of 260 
MPa. Brake turbine efficiency is 75%. Extracted and exhaust steam are returned to the boiler 
as liquid at 93 
a) Supplied steam to the turbine in kg/hr 
b) Total heat supplied to the boiler in KJ/hr 
At 1.2 MPa and 260 
h = 2957.6 KJ/kg 
S = 6.8721 KJ/kg-K 
At 93 
At 0.014 MPa 
Sf = 0.7366 KJ/kg-K ; sfg = 7.2959 KJ/kg-K 
hf = 219.99 KJ/kg ; hfg = 2376.6 KJ/kg 
At 0.2 MPa 
sf = 1.55301 KJ/kg-K ; sfg = 5.5970 KJ/kg-K 
hf = 504.7 KJ/kg ; hfg = 2201.9 KJ/kg 
At S1 = S2 to 0.20 MPa ; 
h2 = 2606.28 KJ/kg 
At S3 = S4 to 0.014 MPa 
h3 = 2218.596 KJ/kg 
8. In a test of a Bobcock and Wilcox boiler with hand-fired furnace, the following date were 
taken; 
Rated HP - 350 
Grate Surface - 2.323 m2 
Duration of test - 24 hours 
Steam pressure - 1.2 MPa 
Feed-water temperature - 34 
Quality of steam formed - 99% 
Total weight of coal fired (wet) - 7110 kg 
Moisture in coal - 7.5% 
Total weight of water fed to boiler - 54,000 kg 
Determine: 
a) Factor of Evaporation 
b) Dry coal per m2 of grate surface per hour 
c) Equivalent evaporation per hr - m2 of heating surface 
d) Equivalent evaporation per hour 
e) Boiler HP Developed 
f) Percentage of Rated capacity developed 
g) The equivalent evaporation per kg of dry coal 
h) Combined efficiency of boiler, furnace and grate if the coal has a heating value of 
28,590 KJ/kg 
9. Coal with HHV = 6700 KCal/kg is consumed at the rate of 600 kg/hr in a steam generator 
with a Rated Boiler HP of 200. The feed-water temperature is 82 
at 1.08 MPaa saturated. The Developed Boiler HP is equivalent to 305. Determine: 
a) Heating Surface, m2 
b) Rate of steam generated, kg/hr 
c) Percentage Rating 
d) ASME Evaporation units, J/hr
56 
e) Factor of Evaporation 
f) Overall thermal efficiency 
g) Actual specific evaporation, kg steam/kg of coal 
h) Equivalent specific evaporation 
10. The boiler, furnace and grate efficiency of a steam generator is 82%. Coal with a moisture 
content of 12% is burned at the rate of 10,000 kg per hour. The heating value per kg of dry 
coal is 28,000 KJ. Steam is generated at 3.2 MPa and a temperature of 320-water 
temperature is 95ne: 
a) the kg of steam generated per hour 
b) the Developed Boiler Hp. 
c) the Equivalent evaporation in kg per kg of coal as fired 
d) the cost to evaporate 500 kg of steam if coal costs P 150 per Metric Ton
57 
CONDENSERS 
Direct - contact or Open, condensers 
This type of condenser are used in special cases, such as when dry cooling towers are used in 
geothermal power plants and in power that use temperature differences in ocean waters 
(OTEC). Modern direct contact condensers are of the spray type. Early designs were of the 
barometric or jet type. 
By mass balance 
m2 = m4 
m3 = m2 + m5 
By Energy balance 
m2h2 + m5h5 = m3 = h3 
And the ratio of circulating water to steam flow 
Turbine 
exhaust 
Dry cooling 
tower 
Condenser 
Noncondensables 
to SJAE 
Pump 
To plant feedwater 
system 
2 
3 
4 
5 
Schematic Diagram of a Direct - contact condenser 
of the Spray type 
3 5 
2 3 
2 
5 
h h 
h h 
m 
m 
 
 

58 
Surface Condenser 
Let 
Q = QR = Qw 
QR – heat rejected by steam 
Qw – heat absorbed by cooling water 
ms – steam flow rate in kg/sec 
mw – cooling water flow rate in kg/sec 
twA – inlet temperature of cooling water in C 
twB – outlet temperature of cooling water in C 
Cpw = 4.187 KJ/kg-C (specific heat of water) 
QR = Qw 
QR = ms(h2 – h3) KW 
Qw = mw Cpw (twB – twA) 
Water in 
mw twA 
Water out 
mw twB 
Water box 
Turbine exhaust h2 
Condensate h3 
Tubes 
Support Plate 
ms 
ms
59 
In terms of Overall coefficient of heat transfer U: 
saturation temperature of steam,C 
LMTD 
N - total number of tubes 
L - length of tubes, m 
outside diameter of tubes, m 
heat transfer surface area, m 
log mean temperature difference, C 
m -K 
W 
or 
m - C 
W 
U - overall coefficient of heat transfer in 
where: 
KW 
t 
2 
2 2 
  
 
 
 
 
 
  
 
  
 
 
s 
s wB 
s wA 
wB wA 
t 
t 
t t 
t t 
ln 
t t 
D 
A DL(N ) 
A total 
LMTD 
1000 
UA(LMTD) 
Q 
TTD – Terminal Temperature difference 
TTD = ts - twB 
TEMPERATURE – AREA DIAGRAM 
1 
2 
2 1 
1 s wB 
2 s wA 
ln 
LMTD 
t t 
t t 
 
 
   
 
   
   
T 
A 
twA 
ts 
2 twB 
1
60 
Problem 
A 10,000 KW turbine generator uses 5 kg/KW-hr of steam at rated load. Steam supply pressure is 4.5 MPa and 370C and the pressure in the surface condenser is 3.4 KPa (tsat = . Temperature of inlet circulating water is 16C and outlet of 22C. Combined efficiency of the turbo-generator set is 92%. The condenser tubes are 2 mm; 1.2 mm thickness. Water velocity is 3.5 m/sec. Overall coefficient of heat transfer U = 4 W/m2-C. Tube sheet thickness is 10 mm. Determine: 
a. Cooling water required in L/min 
b. Number of tubes for 2-Pass design 
c. Actual length of tubes 
Other Data are as follows: 
h1 = 3131.4 ;S1 = 6.5897 
h2 = 1967.1 ;S2 = 6.5897 x2 = 76.17 
h3 = 109.75 ;S3 = 0.3836 
h4 = 114.27 
GEOTHERMAL POWER PLANT 
Geothermal energy is the power obtained by using heat from the Earth's interior. Most geothermal resources are in regions of active volcanism. Hot springs, geysers, pools of boiling mud, and fumaroles (vents of volcanic gases and heated groundwater) are the most easily exploited sources of such energy 
The most useful geothermal resources are hot water and steam trapped in subsurface formations or reservoirs and having temperatures ranging from 176° to 662° F (80° to 350° C). Water and steam hotter than 356° F (180° C) are the most easily exploited for electric-power generation and are utilized by most existing geothermal power plants. In these plants hot underground water is drilled from wells and passes through a separator- collector where the hot water is flashed to steam, which is then used to drive a steam turbine whose mechanical energy is then converted to electricity by a generator.
61 
IDEAL TURBINE WORK 
Wt = ms(h1 – h2) KW 
ACTUAL TURBINE WORK 
Wt’ = Tms(h1 – h2) KW 
Well bottom pressure 
well head pressure 
Flasher – separator pressure 
B 
H 
1 
2 
T 
S 
3
62 
GENERATOR POWER OUTPUT 
W0 = GTms(h1 – h2) KW 
where 
ms – steam flow rate in kg/sec 
T - turbine efficiency 
G – generator efficiency
63 
The Diesel Power Plant 
Two stroke cycle engine: An engine that completes one cycle in one revolution of the crankshaft. 
Four stroke cycle engine: An engine that completes one cycle in two revolution of the crankshaft. 
TERMS AND DEFINITIONS 
Diesel engine is a type of internal combustion engine that uses low grade fuel oil and which burns this fuel inside the cylinder by heat of compression. It is used chiefly for heavy-duty work. Diesel engines drive huge freight trucks, large buses, tractors, and heavy road-building equipment. They are also used to power submarines and ships, and the generators of electric-power stations in small cities. Some motor cars are powered by diesel engines. 
Gasoline engine - is a type of internal combustion engine, which uses high grade of oil. It uses electricity and spark plugs to ignite the fuel in the engine's cylinders. 
Kinds of diesel engines. There are two main types of diesel engines. They differ according to the number of piston strokes required to complete a cycle of air compression, exhaust, and intake of fresh air. A stroke is an up or down movement of a piston. These engines are (1) the four-stroke cycle engine and (2) the two-stroke cycle engine. 
Four Stroke Cycle Engine 
1. Intake 
2. Compression 
3. Power
64 
4. Exhaust 
In a four-stroke engine, each piston moves down, up, down, and up to complete a cycle. The first down stroke draws air into the cylinder. The first upstroke compresses the air. The second down stroke is the power stroke. The second upstroke exhausts the gases produced by combustion. A four-stroke engine requires exhaust and air-intake valves. 
It completes one cycle in two revolutions of the crankshaft. 
Two Stroke Cycle Engine 
1. Intake-Compression stroke 
2. Power-exhaust stroke 
In a two-stroke engine, the exhaust and intake of fresh air occur through openings in the cylinder near the end of the down stroke, or power stroke. The one upstroke is the compression stroke. A two-stroke engine does not need valves. These engines have twice as many power strokes per cycle as four-stroke engines, and are used where high power is needed in a small engine. It completes one cycle in one revolution of the crankshaft. 
Governor - is a device used to govern or control the speed of an engine under varying load conditions. 
Purifier - a device used to purify fuel oil and lube oil. 
Generator - a device used to convert mechanical energy. 
Crank scavenging - is one that the crankcase is used as compressor. 
Thermocouple - is made of rods of different metal that are welded together at one end. 
Centrifuge - is the purification of oil for separation of water. 
Unloader - is a device for automatically keeping pressure constant by controlling the 
suction valve. 
Planimeter - is a measuring device that traces the area of actual P-V diagram. 
Tachometer - measures the speed of the engine. 
Engine indicator - traces the actual P-V diagram. 
Dynamometer - measures the torque of the engine. 
Supercharging - admittance into the cylinder of an air charge with density higher than 
that of the surrounding air. 
Bridge Gauge - is an instrument used to find the radial position of crankshaft motor 
shaft. 
Piston - is made of cast iron or aluminum alloy having a cylinder form. 
Atomizer - is used to atomize the fuel into tiny spray which completely fill the furnace in 
the form of hollow cone. 
Scavenging - is the process of cleaning the engine cylinder of exhaust gases by forcing 
through it a pressure of fresh air. 
Flare back - is due the explosion of a maximum fuel oil vapor and air in the furnace. 
Single acting engine - is one in which work is done on one side of the piston. 
Double acting engine - is an engine in which work is done on both sides of the piston. 
Triple-expansion engine - is a three-cylinder engine in which there are three stages of expansion. 
The working pressure in power cylinder is from 50 psi to 500 psi. 
The working temperature in the cylinder is from 800F to 1000F.
65 
Air pressure used in air injection fuel system is from 600 psi to 1000 psi. 
Effect of over lubricating a diesel engine is: 
Carbonization of oil on valve seats and possible explosive mixture is produced. 
The average compression ratio of diesel engine is from 14:1 to 16:1. 
Three types of piston: 
1. barrel type 
2. trunk type 
3. closed head type 
Three types of cam follower: 
1. flat type 
2. pivot type 
3. roller type 
Methods of mechanically operated starting valve: 
1. the poppet 
2. the disc type 
Three classes of fuel pump: 
1. continuous pressure 
2. constant stroke 
c. variable stroke 
Type of pump used in transferring oil from the storage to the service tanks: 
1. rotary pump 
2. plunger pump 
3. piston pump 
4. centrifugal pump 
Valve that is found in the cylinder head of a 4-stroke cycle engine: 
1. fuel valve 
2. air starting valve 
3. relief valve 
4. test valve 
5. intake valve 
6. exhaust valve 
Four common type of governors used on a diesel engine: 
1. constant speed governor 
2. variable speed governor 
3. speed limiting governor 
4. load limiting governor 
Kinds of piston rings used in an internal combustion engines: 
1. compression ring 
2. oil ring 
3. firing ring 
4. oil scraper ring 
Reasons of smoky engine: 
1. overload
66 
2. injection not working 
3. choked exhaust pipe 
4. fuel or water and leaky things 
Methods of reversing diesel engines: 
1. sliding camshaft 
2. shifting roller 
c. rotating camshaft 
Arrangements of cylinders: 
1. in-line 
2. radial 
3. opposed cylinder 
4. V 
5. opposed piston 
Position of cylinders: 
1. vertical 
2. horizontal 
3. inclined 
Methods of starting: 
1. manual, crank, rope, and kick 
2. electric (battery) 
3. compressed air 
4. using another engine 
Applications: 
1. automotive 
2. marine 
3. industrial 
4. stationary power 
5. locomotive 
6. aircraft 
Types of internal combustion engine: 
1. Gasoline engine 
2. Diesel engine 
3. Kerosene engine 
4. Gas engine 
5. Oil-diesel engine 
Methods of ignition: 
1. Spark 
2. Heat of compression 
Reasons for supercharging: 
1. to reduce the weight to power 
ratio 
2. to compensate the power loss 
due to high altitude 
Types of superchargers:
67 
1. engine-driven compressor 
2. exhaust-driven compressor 
3. separately-driven compressor 
Auxiliary systems of a diesel engine: 
1. Fuel system 
a. fuel storage tank 
b. fuel filter 
c. transfer pump 
d. day tank 
e. fuel pump 
2. Cooling system 
a. cooling water pump 
b. heat exchanger 
c. surge tank 
d. cooling tower 
e. raw water pump 
3. Lubricating system: 
a. lub oil tank 
b. lub oil pump 
c. oil filter 
d. oil cooler 
e. lubricators 
4. Intake and exhaust system 
a. air filter 
b. intake pipe 
c. exhaust pipe 
d. silencer 
5. Starting system 
a. air compressor 
b. air storage tank 
Advantages of diesel engine over other internal combustion engines: 
1. low fuel cost 
2. high efficiency 
3. needs no large water supply 
4. no long warm-up period 
5. simple plant layout 
Types of scavenging: 
1. direct scavenging 
2. loop scavenging 
3. uniflow scavenging 
Color of the smoke: 
1. efficient combustion - light brown baze 
2. insufficient air - black smoke
68 
3. excess air - white smoke 
Causes of black smoke: 
1. fuel valve open too long 
2. too low compression pressure 
3. carbon in exhaust pipe 
4. overload on engine 
Causes of white smoke: 
1. one or more cylinders not getting enough fuel 
2. too low compression pressure 
3. water inside the cylinder 
ENGINE PERFORMANCE 
1. Heat supplied by fuel (Qs): Total heat supplied by fuel. 
Where: 
mF – fuel consumption in kg/hr 
HV – heating value of fuel in KJ/kg 
2. Indicated Power (IP): Power developed within the working cylinders. 
Where: 
Pmi – indicated mean effective pressure in KPa 
L – length of stroke in meters 
D – diameter of bore in meters 
N – no. of RPM 
n’ – no. of cylinders 
Note: 
N = (RPM) for 2-stroke, single acting 
N = 2(RPM) for 2-stroke, double acting 
N = (RPM) for 4-stroke, single acting 
2 
N = (RPM) for 4-stroke, double acting 
hr 
KJ 
Qs m HV F  ( ) 
KW 
4 60 
P LD Nn 
IP 
2 
mi 
( ) 
 ' 

69 
3. Brake or Shaft Power (BP): Power delivered by the engine to the shaft. 
Where: 
Pmb – brake mean effective pressure in KPa 
Note: 
N = (RPM) for 2-stroke, single acting 
N = 2(RPM) for 2-stroke, double acting 
N = (RPM) for 4-stroke, single acting 
2 
N = (RPM) for 4-stroke, double acting 
Brake Power in Terms of torque: 
Where: 
T – brake torque in Newton – meter (N-m) 
Note: 
N - RPM 
4. Friction Power (FP): Power due to friction. 
5. Brake Torque 
Where: 
P – Gross load on scales in Newton 
Tare – tare weight, N 
R – Length of brake arm in meters 
6. Indicated Mean Effective Pressure (Pmi): Average pressure exerted by the working 
substance (air-fuel mixture) on the piston to produce the indicated power. 
Where: 
A’ – area of indicator card, cm2 
S’ – spring scale in KPa/cm 
L’ – length of indicator card, cm 
KW 
4 60 
P LD Nn 
BP 
2 
mb 
( ) 
 ' 
 
KW 
60 000 
2 TN 
BP 
, 
 
 
FP  IP BP 
T  (P  Tare)R N-m 
KPa 
L 
A S 
Pmi 
' 
' ' 

70 
7. Displacement Volume (VD): 
Note: 
N = (RPM) for 2-stroke, single acting 
N = 2(RPM) for 2-stroke, double acting 
N = (RPM) for 4-stroke, single acting 
2 
N = (RPM) for 4-stroke, double acting 
8. Specific Fuel Consumption 
a. Indicated Specific Fuel consumption 
b. Brake Specific Fuel consumption 
c. Combined Specific Fuel Consumption 
9. Heat Rate (HR): Heat rate is the amount of heat supplied divided by the KW 
produced. 
a. Indicated Heat Rate 
b. Brake Heat Rate 
sec 
m 
4 60 
LD Nn 
V 
sec 
m 
P 
BP 
V 
sec 
m 
P 
IP 
V 
2 3 
D 
3 
mb 
D 
3 
mi 
D 
( ) 
 ' 
 
 
 
KW-hr 
kg 
IP 
m 
m F 
Fi  
KW-hr 
kg 
BP 
m 
m F 
Fb  
GP - generator power in KW 
where 
KW-hr 
kg 
GP 
m 
m F 
Fc 
: 
 
KW-hr 
KJ 
IP 
m HV 
IP 
Qs 
HRi F ( ) 
  
KW-hr 
KJ 
BP 
m HV 
BP 
Qs 
HRb F ( ) 
 
71 
c. Combined Heat Rate 
10. Thermal Efficiency 
a. Indicated Thermal Efficiency (ei) 
b. Brake Thermal Efficiency 
c. Combined Thermal Efficiency 
11. Mechanical Efficiency 
12. Generator Efficiency 
13. Generator Speed 
14. Volumetric Efficiency 
KW-hr 
KJ 
GP 
m HV 
GP 
Qs 
HRc F ( ) 
  
x 100% 
Q 
3600 IP 
e 
s 
i 
( ) 
 
x 100% 
Q 
3600 BP 
e 
s 
b 
( ) 
 
x 100% 
Q 
3600 GP 
e 
s 
C 
( ) 
 
x 100% 
P 
P 
x 100% 
IP 
BP 
mi 
mb 
m 
m 
  
  
x 100% 
BP 
GP 
g   
n - no. of generator poles 
f - frequency in cps of Hertz 
where 
RPM 
n 
120f 
N 
x 100% 
Displacement Volime 
Actual Volume of air entering 
v  
72 
15. Correction Factor for Non-Standard Condition 
a. Considering Temperature and Pressure Effect 
b. Considering Temperature Effect alone 
c. Considering Pressure Effect alone 
16. Engine Heat Balance 
QS = Q1 + Q2 + Q3 + Q4 
Q1 - heat converted to useful work 
Q2 - heat loss to cooling water 
Q3 - heat loss to exhaust gases 
Q4 - heat loss due to friction, radiation and unaccounted for 
Q1 = 3600(BP) KJ/hr 
Q2 = mwCpw(two - twi) KJ/hr 
Q3 = Qa + Qb KJ/hr 
Qa = mgCpg(tg - ta) KJ/hr 
Qb = mf(9H2)(2442.7) KJ/hr 
Q4 = QS - (Q1 + Q2 + Q3) KJ/hr 
H2 = 0.26 - 0.15S kgH/kgfuel 
Qs Engine 
Q4 Q3 
Q2 
Q1 
s 
h 
h 
s 
h s T 
T 
B 
B 
P  P 
s 
h 
h s T 
T 
P  P 
h 
s 
h s B 
B 
P  P
73 
where: 
Qa - sensible heat of products of combustion 
Qb - heat required to evaporate and superheat moisture formed from the 
combustion of hydrogen in the fuel 
tg - temperature of flue gas, C 
ta - temperature of air, C 
H2 - amount of hydrogen in the fuel kg H/kg fuel 
Diesel Engine Maintenance 
OPERATING A DIESEL ENGINE 
Before starting: 
There are several steps to be taken before starting a diesel engine, especially he first time, and its good practice to work out a certain routine to be followed always: 
1. All moving parts of the machine much be examined for proper adjustment, alignment, and 
lubrication. This includes values, cams, value gear, fuel pumps, the fuel injection, the governor 
lubricators, oil and water pumps, and the main driven machinery. 
2. The whole engine and machinery must be examined for loose nuts, broken bolts, and loose 
connection. And leaky jackets, joint or values. It well to remember that nothing must be tight. 
3. All tools from the tool board should be checked to make sure none is missing. They may be 
needed in a hurry when the engine is running or, is misplace and left on the engine, may drop off 
from vibration and damage some moving parts. 
4. All pipes and values for fuel, lubricating oil, water and air, as well as ducts, must be check for 
clogging up, lack of adjustment, cleanliness, etc. Absence of foreign matter in the piping system 
must be checked especially carefully, if the engine has been idle for sometime or is just being put 
into service in the latter case it is advisable to blowout the entire piping system with compressed 
air. 
5. A complete check up must be given to the lubricating system to make sure that oil is present in 
every placed required, that the lubricator and all bearings that are individually oiled have an ample 
supply of clean oil, that all grease cups are filled. The lubricator should check for proper functioning 
Be130140SAPI5.1315.141S    
74 
of the pumps and for the amount of oil delivery, and filled with oil to the proper level, the lubricator 
should be turned by hands and the points to which its delivers oils should be lubricated. Make sure 
that the engine well received proper lubrication the very moment its starts to run. 
6. The cooling system must checked, and if the pumps are driven by the electronic motors, they must 
be started, the suction line opened to have water in the water engine before starting. The correct 
amount of water circulation should be adjusted later, while the engine is being warm up. If the 
engine has oil-cooled pistons with oil delivered by a especial pump, start the oil pump and adjust 
the pressure to the amount stated in the name plate or given in the engine. 
7. The fuel-oil system must be checked in every respect, to make sure that pipes are clean, pumps 
are working, and a supply of fuel is in the tanks. The fuel-injection pumps should be primed and air 
or water removed from the discharge line, valves or nozzles. One or two strokes on the fuel- 
injection pump in usually sufficient care should be taken not to force too much fuel the combustion 
chamber or cylinder in order not to obtain and excessively high pressure with the first firing-causing 
the safety valves to pop and not to get the fuel oil into the crankcase. However, the fuel pumps 
must be primed sufficiently so that each discharge line in filled clear to the nozzles, the fuel 
controlled level is set wide open so that injection will start at once. The fuel pump control is put in 
the fuel on position. 
8. The safety valve, usually installed on each cylinder head should be check. These valves are set to 
pop off about 750 to 1250 psi, depending upon the maximum pressure allowed in the engine. The 
values are exposed to high temperature gases and have a tendency to stick. The checking may be 
done either by compressing the spring with crowbar or by unscrewing the cap and taking the valve 
out of the inspections. 
9.The engine should be turned over one or two times if it has not been operated for sometimes. To do 
this it is necessary to open the indicator cocks or compressor-relief valves and to turn the engine 
over, either by hands with a bar in the holes in the flywheel, or with a jack or air motor, as the case 
maybe. Then the indicator cocks should be close with the same in proper position for starting-one 
cylinder having the starting air valve open and the position about 100 past top center. 
10. The air in the tanks must be checked to see that it is up to the required pressure. If, not it must be 
pumped up the starting air system from the tanks to the starting air control valve must be opened, 
either it has been checked that the main control valve is closed. With an air injection engine the 
bottle within injection air must be checked and if necessary pumped up o the required pressure. 
11. The engine load should be off, the switch should be open if the engine drives a generator, or the
75 
clutch should be in neutral position. If the drive is through the friction clutch. If the engine drives a 
pump or compressor, the by-pass should be open. 
STARTING: 
If all eleven points of the preparatory program have been observed starting with compressor air is very simple. 
First, the main starting – air valve is opened and the starting lever is manipulated according to the instructions given in the engine instruction book. 
Second, the engine is watched, no necessary air should be used. At the first indication of combustion, air should be cut off and the ventilating valve opened, an in good condition usually begin to between the second and fourth revolution of the crankshaft. 
Third, if the engine fills to start after four or five revolution, there is something wrong. Useless turning of the engine should be stopped, and the cost of trouble investigated. 
Low air pressure, if the starting air is too low either from a slow loss of air through some leaky joint or failure of the engine to start at the first attempt. And there is no air compressors to pump up air several methods maybe used for securing the necessary starting pressure that never should pure oxygen by used for starting purposes. 
Flasks of compressed air may be obtained and the contents equalized into the engine receivers, or a flack of carbon dioxide may be obtained from some local soda foundation and piped to the starting battles. This gas is liquid at ordinary temperatures and about 800-psi pressures. Therefore, it is necessary to apply some heat in order to evaporate this liquid carbon dioxide. This heat may be applied by pouring hot water over the battle or by applying rags soaked in hot water. 
WARM UP: 
After the engine is started, before putting on the load, its should be allowed to idle for a few minutes (up to five minutes) and to warm up. During this five minutes the following observations must be made. 
1. Listen to find it out if combustion is regular and firing order and correct all. Cylinder for combustion and note the working of the fuel injection pump to see whether they all operate properly.
76 
2. Observe the cooling water system throughout to see whether the pumps are working. There is sufficient water, watch to see if the water temperature is building up properly, and regulate the water flow accordingly. 
3. Observed lubrication pressure and the working of the lubrication and count the number of drops for correct operation. Feel whether any of the cylinders is warming up too fast – indicating an unlubricated piston and listen for unlubricated piston pin or crank pin bearing. If any moving parts receive an insufficient amount of lubricating oil, serious trouble may result. 
4. Observe the exhaust, color and sound, to note proper condition. These observations should be repeated after the lead is put on. The color of the exhaust can tell many things. 
The making of these observations during the first five minutes after starting should be regular habit with the engine operator. This procedure is the best, the most reliable method of preventing improper operation. It is based upon the fact that a diesel engine requires neither much, but it requires proper attention at the proper time. It is also based on the known fact that a diesel engine should be operating properly in five minutes or there is something wrong which should be detected in these five minutes. 
However, it should be noted that certain observations should be carried on even after the 5-min. warming up period. Thus, if there are any leaky water jackets, injection valves, air valves, etc… they may not show up until full expansion of the corresponding part has taken place after the engine the has been in operation a longer time at normal load. No leaks of any kind should be allowed, if they cannot be stopped while the engine is running the engine should be stopped and not restarted until the trouble corrected. 
RUNNING 
In general the attention, which an operator must give to, the engine in regular operation is along the same lines as during the warm-up period. The differences is that the corresponding observations should be made periodically every 15 to 20 minutes and at least every half hour, even if the engine is equipped with-a sufficient number of automatic danger-warming signal ad seconds, that all observations must be entered in engine log. 
THE ENTRANCES IN A COMPLETE ENGINE LOG ARE THE FOLLOWING: 
1. Time of entering the readings, or rather the first reading in each series. 
2. Engine load, or in the case of electric loads, volts and amperes reading.
77 
3. Engine speed from the tachometer or if the engine has an adding revolution counter, the counter reading, in this case it is essential to have in the engine room a large clock with a hand indicating seconds, to enable the operator to read the revolution counter at exact intervals. 
4. Fuel consumption enter the instantaneous reading of s rotameter or the reading of a fuel meter in which case it is also important to make the reading at exact intervals. 
5. Exhaust: 
a.) Reading of the temperature of exhaust from each cylinder; 
b.) Exhaust temperature in the exhaust line close to the exhaust manifold; 
c.) Color of exhaust either by simple description such as clear, little haze, light gray, gray, dark gray and very dark gray or better, by a number according to a standardized smoke scale, such as Ringleman’s scale. 
6. Lubricating oil: 
a.) Pressure as discharged from the oil pressure pump. 
b.) Temperature of the oil before the oil cooler. 
c.) Temperature of the oil after the oil cooler. 
7. Cooling water: 
a.) Temperature of the water delivered to the water-cooling manifold. 
b.) Temperature as discharge from each cylinder, or in the water outlet line. 
c.) Flow, gallon per minute, either from the rotameter or a water meter. 
8. Scavenge air: 
a.) Temperature after blower 
b.) Pressure after blower, usually in inches of mercury. 
9. Super charger conditions: 
a.) Temperature of air after booster pump. 
b.) Pressure of the air after booster pump, Psi or inches of mercury. 
10. Barometric pressure, inches of mercury. 
11. Temperature of the air intake, before the air filter. 
12. Remarks about what happened at e certain moment during operation of the engine, such as, put second engine online or stopped it, found lubricating oil filter clogged by dirt as indicated by excessive pressure drop, switched to the second filter, or by-passed filter and exchanged filter element, etc. Between taking readings and entering them in the engine log, the operator should listen to find out if the engine is running uniformly, without unusual sounds or knocks. He should
78 
feel whether the bearing are running warmer than usual and particularly watch that the engine as a whole doest not become overloaded or some of the cylinders become overload. Because in the combustion in one or two cylinders doest not proceed correctly, as indicated by a considerable lower or higher temperature from that exhaust particular cylinders. 
Naturally, the operator must also see that the day fuel tank is not depleted and if the engine has hand lubricated places that they are oiled at regular intervals. Should be oiled every two hours the exhaust valve stems should receive a few drops of kerosene instead of oil every three or four hours in order to keep them in good working condition. The circular groove around the valves and the whole top of the cylinder head must be wiped clean at all times. Oil must be allowed to accumulate on the cylinder head and run down the side of the engine, as it could easily work into the joints between the cylinder and heads and decompose the rubber gaskets with form the water joint. 
If the flow of the cooling water or oil should stop for any reason, the engine or any of the cylinder will become overheat. The engine must be stopped at once and permitted to cool gradually. It is extremely dangerous to admit water to a hot engine as a sudden change in temperature nay cause the pistons or one of the cylinder heads, liners or the exhaust manifold to crack. 
The exhaust from the engine should be perfectly clean. However, if the engine is operating under an overload, the exhaust may become visible, with a light grayish smoke. If the engine is visible under over than overload conditions, the cause should be found immediately reminded. An engine under no condition is operated for any length of time with a visible smoky exhaust. 
If the pyrometer with thermocouples is installed on the engine cylinder that yields a smoky exhaust may be found by nothing the exhaust temperatures of the various cylinders. If abnormal condition exist in any of the cylinders, this condition will usually be accompanied by an increase in the temperature of the exhaust from the cylinders, do not get their share of fuel, and a result, the other cylinder are overloaded. If possible the engine should be stopped and the cause rounds and reminded. 
STOPPING THE ENGINE: 
To stop the engine, proceed as follows: move the fuel pump controls to stop position and shut the fuel supply valve.
79 
The cooling water and piston cooling oil should be left running after the engine is shut down until the outlet temperature are not more than 5 to 10 of higher than the inlet temperature. This prevents local overheating which would cause scale deposits. 
The jackets, if hard water used ad the engine is supplied with direct connect pumps, it will be necessary to start the auxiliary pumps to cool the engine as indicated above. 
If the engine is to be shut down for a considerable length of time the water jackets must be completely drained so as to prevent rust and in cold weather also protect the jackets from bursting if the watering the engine room should freeze. Naturally, all drops oiliest must be stopped. All switches cut-out, and friction clutches put in neutral position.
80 
SCHEDULE OF DIESEL ENGINE INSPECTION AND MAINTENENCE 
Engine parts to be inspected 
Recommended Max. Time 
Operating Hrs. 
Months 
Engine cylinders or liner and pistons 
6000 
9 
Air-intake valves 
3000 
6 
Exhaust valves 
1500 
3 
Starting air valves 
4000 
6 
Safety or relief valves 
100 
1 
Air compressor cylinder and pistons 
3000 
6 
Compressor valves; suction and discharge 
1500 
2 
Scavenge-pump cylinder & piston or rotor 
3000 
6 
Scavenge-pump suction and discharge 
3000 
6 
Scavenge port and automatic valves 
3000 
6 
Exhaust –gas flow regulators 
2000 
6 
Exhaust muffler and ducts 
6000 
12 
Main bearing and journals 
6000 
12 
Outboard bearing 
6000 
12 
Thrust bearing 
6000 
12 
Crankpins and bearing 
3000 
6 
Piston rings or crosshead pin & bearing 
6000 
12 
Crosshead guides and shoes 
6000 
12 
Compressor piston pin and bearing 
3000 
6 
Vertical shaft bearing 
4000 
6 
Camshaft bearing 
4000 
6 
Camshaft drive 
2000 
2 
Fuel pumps 
4000 
8 
Fuel pumps drive 
2000 
3 
Fuel nozzles or valves & fuel timing 
500 
1 
Governor links, bearings, springs 
4000 
6 
Governor drives 
4000 
6 
Water or oil cooled pistons: pickling 
3000 
6 
Bearing, ball and hinges joints 
3000 
6 
Scale and sediment deposits 
3000 
6 
Cylinder head and jackets 
1000 
2 
Cooling passages in pistons 
2000 
4 
Compressor head and jackets 
3000 
6
81 
SCHEDULE OF ENGINE – EQUIPMENT INSPECTION 
Equipment to be inspected and serviced 
Recommended Max. Time 
Between inspection 
Operating Hrs 
Months 
Fuel system 
Filters and strainers 
200 
1 
Fuel booster and transfer pumps 
2000 
4 
Auxiliary storage tanks 
1000 
3 
Supply lines 
1000 
3 
Heaters for heavy fuel oil lubricating system 
3000 
6 
Lubricating-oil pumps, complete 
3000 
6 
Lubricating pump drive 
3000 
6 
Oil supply lines 
1000 
2 
Oil strainers and filters 
200 
1 
Oil tanks 
2000 
4 
Oil coolers, tightness and scale deposit 
3000 
6 
Pressure feed lubricants and check valves 
3000 
6 
Crankcase sediment and surface 
2000 
4 
Air intake system 
Air filters 
3000 
1 
Air suction ducts 
2000 
3 
Air intake silencers 
2000 
3 
Air coolers 
3000 
4 
Exhaust mufflers, sediment and tightness 
2000 
4 
Pressure gauge-check with standard gauges 
Lubricating oil 
3000 
6 
Cooling water 
3000 
6 
Compressed air 
3000 
6 
Exhaust gas pyrometer, check with standard 
Pyrometer lead wires, check insulation 
3000 
6 
Pressure-relief valve 
Fuel oil 
3000 
6 
Lubricating oil 
3000 
6 
Compressed air 
3000 
6 
Cooling water 
3000 
6
82 
MAINTENANCE SCHEDULE OF COOLING FUEL AND AIR EQUIPMENT 
Equipment to be inspected and serviced 
Months between inspection 
Cooling tower 
Clean, adjust and level troughs 
2 
Clean distribution rocks 
1 
Clean and inspect screen 
1 
Drain and clean basin 
6 
Copper sulfate treatment for algae 
6 
Spray pond, clean and adjust spray nozzles 
1 
Jacket-water heat exchangers 
Rescale and clean tubes 
3 
Inspect for leaks and seal them 
3 
Water wells 
Check state levels 
6 
Check dumping level 
6 
Check flow 
6 
Water pumps 
Check suction pressure with gauge 
6 
Check discharge pressure with gauge 
6 
Check delivery 
6 
Check power input to each pump 
3 
Check speed of pump 
3 
Pull and inspect pumps for wear 
6 
Check thrust bearings and clearance 
6 
Drain and renew bearing oil 
4 
Water piping 
Inspect for leaks 
3 
Clean and paint exposed pipes 
12 
Fuel oil storage tanks 
Drain off water 
6 
Inspect for leaks 
6 
Drain off and clean out 
12 
Clean and paint outside 
12 
Fuel-oil pumping 
Inspect for leaks 
6 
Clean and paint exposed pipes 
12 
Air compressor 
Drain and renew oil 
3 
Inspect valves and bearings 
3 
General overhaul 
12 
Air storage tanks 
Drain off water and oil 
2 
Hydrostatic safety test 
12 
Check pressure gauge 
12
83 
Hydroelectric Power Plant 
In the generation of hydroelectric power, water is collected or stored at a higher elevation and led downward through large pipes or tunnels (penstocks) to a lower elevation; the difference in these two elevations is known as the head. At the end of its passage down the pipes, the falling water causes turbines to rotate. The turbines in turn drive generators, which convert the turbines' mechanical energy into electricity. Transformers are then used to convert the alternating voltage suitable for the generators to a higher voltage suitable for long-distance transmission. The structure that houses the turbines and generators, and into which the pipes or penstocks feed, is called the powerhouse. 
Hydroelectric power plants are usually located in dams that impound rivers, thereby raising the level of the water behind the dam and creating as high a head as is feasible. The potential power that can be derived from a volume of water is directly proportional to the working head, so that a high-head installation requires a smaller volume of water than a low-head installation to produce an equal amount of power. In some dams, the powerhouse is constructed on one flank of the dam, part of the dam being used as a spillway over which excess water is discharged in times of flood. Where the river flows in a narrow steep gorge, the powerhouse may be located within the dam itself.
84 
TERMS AND DEFINITION 
Reservoir - stores the water coming from the upper river or waterfalls. 
Headwater - the water in the reservoir or upper pool. 
Spillway - a weir in the reservoir which discharges excess water so that the head of the plant 
will bemaintained. 
Dam - the concrete structure that encloses the reservoir to impound water. 
Silt Sluice - a chamber which collects the mud and through which the mud is discharged. 
Trash Rack - a screen which prevents the leaves, branches and other water contaminants to 
enter into the penstock. 
Valve - opens or closes the entrance of the water into the penstock. 
Surge Chamber - a standpipe connected to the atmosphere and attached to the penstock so 
that the water will be at atmospheric pressure. 
Penstock - a channel or a large pipe that conducts the water from the reservoir to the turbine. 
Turbine - a device or a machine that converts the energy of the water to mechanical energy. 
Generator - a device or a machine that converts mechanical energy of the turbine into 
electrical energy. 
Draft Tube - a pipe that conducts the water from the turbine to the tailrace so that the turbine 
can be set above the tail water level. 
Tailrace - is the canal that is used to carry the water away from the plant. 
Undershot wheel - water enters at the bottom of the wheel tangential to its periphery and 
impinges on the buckets or vanes. 
Breast shot wheel - a wheel used for heads up to 16 ft, where water enters between the 
bottom and top of the wheel at an angle and is prevented from leaving the wheel by a breast 
wall on the side of the wheel. 
Over shot wheel - a wheel used for high heads, where water enters the wheel at the top by 
being discharged from a flume. 
Gross head - is the difference between the headwater and tail water elevation. 
Spiral case - it conducts the water around a reaction type turbine. 
A. IMPULSE TYPE (Pelton type) 
headwater 
Dam or Reservoir 
Penstock 
Y - Gross head 
Turbine 
t a i l w a t e r 
L h  Y  H
85 
2 
B 
2 
B B 
L 
D 
4 
A 
A 
Q 
V 
Z 
2g 
P V 
h 
h Y H 
 
 
 
  
 
 
  
B. REACTION TYPE (Francis Type) 
D - penstock diameter, m 
Y - Gross head, m 
VB - velocity at inlet, m/sec 
A - area of penstock, m2 
HL - head loss, m 
ZB - turbine setting above tailwater level, m
86 
2 
B 
2 
B B 
L 
D 
4 
A 
A 
Q 
V 
Z 
2g 
P V 
h 
h Y H 
 
 
 
  
 
 
  
2 D 
4 
π 
A  
KW 
60,000 
2 TN 
BP 
 
 
PUMP STORAGE HYDRO-ELECTRIC PLANT 
FUNDAMENTAL EQUATIONS 
1. Total dynamic head or Net effective head 
a. For an Impulse type 
h = Y - HL 
Y - Gross head at plant 
Gross head - difference in elevation between head water level and tail water level. 
b. For a Reaction type 
where: PB - pressure at turbine inlet in KPa 
VB - velocity of water at penstock, m/sec 
2. Discharge or Rate of Flow (Q) 
Q = AV m3/sec 
where: D - diameter of penstock 
3. Water Power (WP) 
WP = Qh KW 
4. Brake Power (BP) 
where: T - brake torque N-m 
N - no. of RPM 
5. Head loss
87 
meters 
2gD 
fLV 
H 
2 
L 
 
  
RPM 
3.813 h 
N BP 
Ns 
4 
5 
 
meters 
N 
60 2gh 
D 
 
 
 
f - Moody friction factor 
L - length of penstock 
6. Turbine Efficiency (e) 
e = ehemev 
e = BP x 100% 
WP 
where: eh - hydraulic efficiency 
em - mechanical efficiency 
ev - volumetric efficiency 
7. Generator Efficiency (g) 
g = GP x 100% 
BP 
where: GP - electrical output of the generator, KW 
8. Rotative Speed (N) 
N = 120f RPM 
n 
where: n - number of generator poles(usually divisible by 4) 
9. Turbine Specific Speed 
10. Wheel Diameter 
EXAMPLE: 
A Francis turbine is installed with a vertical draft tube. The pressure gauge located at the penstock leading to 
the turbine casing reads 372.6 KPa and velocity of water at inlet is 6 m/sec. The discharge is 2.5 m3/sec. The 
hydraulic efficiency is 85%, and the overall efficiency is 82%. The top of the draft tube is 1.5 m below the 
centerline of the spiral casing, while the tailrace level is 2.5 m from the top of the draft tube. There is no 
velocity of whirl at the top or bottom of the draft tube and leakage losses are negligible. Calculate, 
a) the net effective head in meters 
b) the brake power in KW 
c) the plant output for a generator efficiency of 92%.
88 
d) the mechanical efficiency 
Given: 
PB = 372.6 KPa 
vB = 6 m/sec 
Q = 2.5 m3/sec 
eh = 855 
e = 82% 
ZB = 1.5 + 2.5 = 4 m 
2. A pelton type turbine was installed 30 m below the head gate of the penstock. The head loss due to friction 
is 15% of the given elevation. The length of the penstock is 80 m and the coefficient of friction is 0.00093. 
Determine 
a) the diameter of the penstock in mm. (421.6 mm) 
b) the power output in KW (781.234 KW) 
GAS TURBINE POWER PLANT 
Basic components 
 Compressor 
 Combustor 
 Gas turbine 
Ideal Cycle: Brayton Cycle 
Processes 
1 to 2 – Compression (S = C) 
2 to 3 – Heat addition (P = C) 
3 to 4 – Expansion (S = C) 
4 to 1 – Heat Rejection (P = C) 
%e))((.e. eeeeKW .881(0.92)Output GeneratorKW 0.82(1075)BPKW ).)(.(.hQPowerm . ).( )( . . hZgvPhmmvhmBBB96185582058108811075843819528434819268196372222          
89 
Air 
Compressor 
Gas Turbine 
Combustor 
HEAT 
ADDED 
TURBINE 
WORK 
Compressor Work 
Schematic diagram of a Simple Open Gas turbine cycle 
Closed Cycle Gas Turbine Cycle 
Air 
Compressor 
Gas Turbine 
Heater 
HEAT 
ADDED (QA) 
TURBINE 
WORK (Wt) 
Compressor Work (Wc) 
Cooler 
HEAT 
REJECTED (QR) 
1 
2 
3 
4
90 
4 
3 
1 
2 
P 
P 
P 
P 
rP   
The Air Standard Brayton Cycle 
Compressor work (work done on the system, S = C) 
Q = h + KE + PE + W 
KE & PE are negligible 
Q = 0 (for isentropic) 
-W = h = Wc 
WC = m(h2 – h1) = mCp(T2 – T1)  1 
Turbine Work (work done by the system, s = C)) 
+W = -h = Wt 
Wt = -m(h4 – h3) 
Wt = mCp(T3 – T4)  2 
Pressure Ratio 
 3 
From isentropic, P & T relationship 
 4 
Heat added (P = C) 
QA = mCp(T3 – T2)  5 
Heat rejected 
QR = mCp(T4 – T1)  6 
P 
V 
T 
S 
1 
S = C 
2 3 
4 
S = C 
1 
2 
3 
4 
P = C 
P = C 
QA 
QR 
4 
3 
1 
2 
T 
T 
T 
T 

91 
Net cycle work 
W = QA – QR  7 
W = mCp[(T3 – T2) – (T4 – T1)]  8 
Thermal Efficiency 
Compressor Efficiency 
Turbine Efficiency 
Combustor Efficiency 
x 100% 11 
T - T 
T - T 
e 1- 
x 100% 10 
Q 
Q -Q 
e 
x 100% 9 
Q 
W 
e 
3 2 
4 1 
A 
A R 
A 
  
 
 
 
 
  
  
x 100 % 
Actual compressor Work 
Ideal Compressor Work 
C   
x 100 % 
Ideal Turbine Work 
Actual Turbine Work 
T   
x 100 % 
Heat Supplied by Fuel 
Heat Absorbed by air 
k 
92 
Example: 
A small open cycle gas turbine power plant produces a net power output of 600 KW while operating under the following conditions; the inlet air pressure and temperature 100 KPa and 300 K, respectively; the pressure ratio is 10. The combustor uses C12H26 and has an air-fuel ratio of 67 kg of air per kg fuel. The fuel HV = 44,102 KJ/kg; the combustion products leaves the combustor and enters the turbine with h = 1241.3 KJ/kg and exit the turbine with h = 662.5 KJ/kg. Calculate: 
a. The air flow rate 
b. The compressor power in KW 
c. The turbine power in KW 
d. The thermal efficiency of the plant 
Air 
Compressor 
Gas Turbine 
Combustor 
QA 
WT 
Wc 
ma 
ma 
mg 
mg 
1 
2 
3 
4
93 
 KW .).(.,WKW ..03)18,780.1(0Wkg/sec .67(0.03)m45.3% 100% x 1323.06600eKW .2)0.03(44,10Qkg/hr kg/sec .mm., m.,m., WWW6 m.,W662.5)-(1241.368m)h-(hmWturbine gas the in balance energy By5 (44,102)m(HV)mQ4 m.,67(280.3)mWc3 68mm67mm2 mmmmmmm1 m.))(.(mWcKTPPTT)TT(Cm)hh(mWctcaAFFFFctFtF43gtFFAFFFFFgFaFaFagaa. . kkpaa811800304358394563012061323108030357620600178018435839600435839178018676732803005790045157910300411412112121212                             
94 
WIND POWER 
Wind Energy, energy contained in the force of the winds blowing across the earth’s 
surface. When harnessed, wind energy can be converted into mechanical energy for 
performing work such as pumping water, grinding grain, and milling lumber. By 
connecting a spinning rotor (an assembly of blades attached to a hub) to an electric 
generator, modern wind turbines convert wind energy, which turns the rotor, into 
electrical energy. 
Total Power 
The total power of a wind stream is equal to the rate of the incoming kinetic energy of 
that air stream, KEi, 
KW 3 
2(1000) 
v 
P A 
KW 2 
2(1000) 
v 
P Av 
m Av 
From continuity equation 
KW 1 
2(1000) 
v 
P m 
3 
i 
Tot 
2 
i 
Tot i 
i 
2 
i 
Tot 
  
  
 
  
 
 

95 
Where: 
Ptotal = total power , KW 
m – mass flow rate in kg/sec 
vi – incoming velocity, m/sec 
 - incoming density, kg/m3 
A – cross sectional area of air stream, m2 
Maximum Power 
From First Law 
  
  
  
  
7 
4(1000) 
(v v )(v v ) 
P A 
2(1000) 
v v 
2 
v v 
P A 
6 
2 
v v 
v 
but 
5 
2(1000) 
v v 
P Av 
m Av 
From continuity equation 
4 
2(1000) 
v v 
P m 
P 
2(1000) 
v v 
W - KE m 
W Maximum power developed by the wind turbine 
Q h KE PE W 
2 
e 
2 
i e i 
Max 
2 
e 
2 
i e i 
Max 
i e 
2 
e 
2 
i 
Max 
2 
e 
2 
i 
Max 
Max 
2 
i 
2 
e 
 
  
 
 
 
 
 
  
 
 
 
 
 
 
 
 
 
 
 
 
 
   
 
    
 
 
 
 
 
   
Where: 
ve- exit velocity of stream, m/sec
96 
Maximum Efficiency (Ideal theoretical Efficiency) 
  
     
   
x 100% 9 
2v 
v v v v 
2v 
v v v v 
v 
v v v 
2(1000) 
v 
A 
2(1000) 
v v 
Av 
x100% 8 
P 
P 
3 
i 
2 
e 
2 
i e i 
3 
i 
2 
e 
2 
i e i 
3 
i 
2 
e 
2 
i 
3 
i 
2 
e 
2 
i 
Tot 
Max 
 
  
 
  
 
 
 
 
 
  
 
 
 
 

97 
D diameter of turbine wheel, meters 
D 15 
4 
A 
14 
2 
v v 
v 
13 
1000 
Av(v v ) 
F 
1000 
m(v v ) 
1000 
m v 
F 
A 12 
2(1000) 
v v 
F 
F (P P )A 
F PA (P P )A 
The axial force F on the turbine 
KPa 11 
2(1000) 
v v 
P P 
1000 
g 
but 
10 
2g 
v v 
P P 
2g 
v 
2g 
P P v 
2g 
P v 
2g 
P v 
H 0 ; Z Z 
Z H 
2g 
P v 
Z 
2g 
P v 
From Bernoulli's energy principle 
2 
i e 
i e 
x 
i e 
x 
2 
e 
2 
i 
x 
x e i 
x e i 
x 
2 
e 
2 
i 
e i 
2 
e 
2 
i 
e i 
2 
e 
2 
e i i 
2 
e e 
2 
i i 
L i e 
e L 
2 
e e 
i 
2 
i i 
 
  
 
 
 
 
 
 
 
  
 
  
 
 
  
 
  
 
  
   
 
  
 
 
  
 
  
  
 
 
  
 
 
  
 
  
  
   
   
  
      
 
 
 
 
 
 
 
 
  
  
 
98 
Note: Design shows that wind turbine is capable of converting no more than 60% of 
total power of a wind to useful power. At maximum efficiency 
18 
2000 
15 Dv 
F 
8000N 
60 Dv 
(N) 
2(1000) 
v 
D 
4 
1 
60 
( DN) 
2(1000) 
v 
D 
4 
60 
F 
2(1000) 
v 
D 
2(1000) 4 
v 
P P A 
17 
( DN) 
60P 
F 
KW 16 
60 
( DN) 
P F 
Power force x velocity 
Circumferential Force on Wind Turbine (F ) 
v 15 
3 
1 
v 
3 
i 
c 
3 
i 
3 
i 
3 
2 i 
c 
3 
2 i 
3 
i 
Max Tot 
Max 
c 
Max c 
C 
e i 
  
 
 
 
 
 
 
 
 
 
 
 
 
 
 
 
   
  
  
 
  
 
 
 
 
 
 
 
   
 
 
Example: 
A 10 m/sec wind is at 1 Atm pressure and 15C temperature. Calculate 
a. The total power density in the wind stream 
b. The maximum obtainable power density 
c. A reasonably obtainable power density, all jn W/m2 
d. The total power in KW produced if the turbine diameter is 120 m 
e. The Fc and Fx if the turbine were operating at 40 rpm and maximum efficiency 
3 m 
kg 
1.226 
0.287(15 273) 
101.325 
RT 
P 
 
 
  

Mech tech power plant 09

  • 1.
    1 POWER PLANTTECHNOLOGY BY. ENGR YURI G. MELLIZA Table of Contents Introduction ............................................................................................................................................................................ 6 Introduction to Thermodynamics ........................................................................................................................................... 7 Law of Conservation of Mass .................................................................................................................................................. 7 Continuity Equation ................................................................................................................................................................ 7 Forms of Energy ...................................................................................................................................................................... 8 Internal Energy: ................................................................................................................................................................... 8 Flow Energy or Flow Work: ................................................................................................................................................. 8 Heat: .................................................................................................................................................................................... 8 Work: ................................................................................................................................................................................... 8 Kinetic Energy: .................................................................................................................................................................... 9 Potential Energy: ................................................................................................................................................................. 9 Zeroth Law of Thermodynamics: ............................................................................................................................................ 9 Specific Heat or Heat Capacity: ........................................................................................................................................... 9 Sensible Heat: ................................................................................................................................................................... 10 Heat of Transformation..................................................................................................................................................... 10 A. Latent Heat of Vaporization: ................................................................................................................................. 10 Phase Change ........................................................................................................................................................................ 10 Ideal or Perfect Gas ............................................................................................................................................................... 11 IDEAL GAS MIXTURE .............................................................................................................................................................. 13 1. Total moles of a mixture ............................................................................................................................................... 13 2. Mole Fraction ................................................................................................................................................................ 13 3. Total mass of a mixture ................................................................................................................................................. 13 4. Mass Fraction ................................................................................................................................................................ 13
  • 2.
    2 5. Equationof State ........................................................................................................................................................... 13 6. Amagat's Law: ............................................................................................................................................................... 13 7. Dalton's Law: ................................................................................................................................................................. 14 8. Molecular Weight of a Mixture ..................................................................................................................................... 14 9. Gas Constant of a mixture............................................................................................................................................. 15 10. Specific Heats of a mixture ......................................................................................................................................... 15 11. Gravimetric and Volumetric Analysis: ......................................................................................................................... 15 Law of conservation of Energy (The First Law of Thermodynamics): ................................................................................... 16 Application of the Law of Conservation of Energy............................................................................................................ 16 B. Open System ............................................................................................................................................................. 16 Processes of Fluids ................................................................................................................................................................ 17 1. Isobaric Process: ........................................................................................................................................................ 17 2. Isometric Process: ..................................................................................................................................................... 18 3. Isothermal Process: ................................................................................................................................................... 19 4. Isentropic Process: .................................................................................................................................................... 20 5. Polytropic Process: .................................................................................................................................................... 21 6. Throttling Process: .................................................................................................................................................... 22 Properties of Pure Substance: .............................................................................................................................................. 22 Terms and Definition..................................................................................................................................................... 24 Throttling Calorimeter .......................................................................................................................................................... 25 Fuels and Combustion ........................................................................................................................................................... 28 Combustion Chemistry ...................................................................................................................................................... 29 Combustion of Combustible elements with Air: ............................................................................................................... 30 Theoretical Air: .................................................................................................................................................................. 31 Excess Air: ......................................................................................................................................................................... 31 Hydrocarbon Fuel:............................................................................................................................................................. 31
  • 3.
    3 COMBUSTION OFHYDROCARBON FUEL(CnHm) .............................................................................................................. 31 COMBUSTION OF SOLID FUELS ......................................................................................................................................... 32 DEW POINT TEMPERATURE .......................................................................................................................................... 32 ULTIMATE ANALYSIS ..................................................................................................................................................... 32 PROXIMATE ANALYSIS ................................................................................................................................................... 32 ORSAT ANALYSIS ........................................................................................................................................................... 32 MASS FLOW RATE OF FLUE GAS ................................................................................................................................... 32 a) Without considering Ash loss:................................................................................................................................... 32 b) Considering Ash loss ................................................................................................................................................. 33 MOLECULAR WEIGHT OF PRODUCTS ............................................................................................................................ 33 GAS CONSTANT OF PRODUCTS ..................................................................................................................................... 33 SPECIFIC HEATS OF PRODUCTS ..................................................................................................................................... 33 PARTIAL PRESSURE OF COMPONENTS .......................................................................................................................... 34 HEATING VALUE .................................................................................................................................................................... 37 For Liquid Fuels ............................................................................................................................................................. 37 For Gasoline .................................................................................................................................................................. 37 For Fuel Oils ................................................................................................................................................................... 37 For Fuel Oils (From Bureau of Standard Formula) ........................................................................................................ 37 Properties of Fuels and Lubricants........................................................................................................................................ 38 Cycle ...................................................................................................................................................................................... 39 Steam Power Plant Cycle ...................................................................................................................................................... 39 Rankine Cycle .................................................................................................................................................................... 39 Reheat Cycle Steam Power Plant: ..................................................................................................................................... 41 Regenerative Cycle: ........................................................................................................................................................... 43 Reheat – Regenerative Cycle: ........................................................................................................................................... 44 STEAM RATE .................................................................................................................................................................. 46
  • 4.
    4 HEAT RATE..................................................................................................................................................................... 46 Turbine Efficiency .......................................................................................................................................................... 46 Pump Efficiency ............................................................................................................................................................. 46 Boiler or Steam Generator Efficiency............................................................................................................................ 47 GENERAL BOILER DESCRIPTION ............................................................................................................................................ 47 Boiler Auxiliaries and Accessories ..................................................................................................................................... 49 BOILER PERFORMANCE ..................................................................................................................................................... 50 BOILER HEAT BALANCE ..................................................................................................................................................... 52 CONDENSERS ........................................................................................................................................................................ 57 Direct - contact or Open, condensers ............................................................................................................................... 57 Surface Condenser ............................................................................................................................................................ 58 GEOTHERMAL POWER PLANT ............................................................................................................................................... 60 The Diesel Power Plant ......................................................................................................................................................... 63 ENGINE PERFORMANCE .................................................................................................................................................... 68 1. Heat supplied by fuel (Qs): ........................................................................................................................................ 68 2. Indicated Power (IP): ................................................................................................................................................. 68 3. Brake or Shaft Power (BP): ........................................................................................................................................ 69 4. Friction Power (FP): ................................................................................................................................................... 69 5. Brake Torque ............................................................................................................................................................. 69 6. Indicated Mean Effective Pressure (Pmi): ................................................................................................................. 69 7. Displacement Volume (VD): ....................................................................................................................................... 70 8. Specific Fuel Consumption ........................................................................................................................................ 70 9. Heat Rate (HR): .......................................................................................................................................................... 70 10. Thermal Efficiency ................................................................................................................................................... 71 11. Mechanical Efficiency .............................................................................................................................................. 71 12. Generator Efficiency................................................................................................................................................ 71
  • 5.
    5 13. GeneratorSpeed ..................................................................................................................................................... 71 14. Volumetric Efficiency .............................................................................................................................................. 71 15. Correction Factor for Non-Standard Condition ...................................................................................................... 72 16. Engine Heat Balance ............................................................................................................................................... 72 Diesel Engine Maintenance ............................................................................................................................................... 73 Hydroelectric Power Plant .................................................................................................................................................... 83 TERMS AND DEFINITION ................................................................................................................................................... 84 A. IMPULSE TYPE (Pelton type) ......................................................................................................................................... 84 B. REACTION TYPE (Francis Type) ..................................................................................................................................... 85 PUMP STORAGE HYDRO-ELECTRIC PLANT ........................................................................................................................ 86 FUNDAMENTAL EQUATIONS ......................................................................................................................................... 86 GAS TURBINE POWER PLANT ................................................................................................................................................ 88 Closed Cycle Gas Turbine Cycle ......................................................................................................................................... 89 WIND POWER ........................................................................................................................................................................ 94
  • 6.
    6 POWER PLANTTECHNOLOGY By. Engr. Yuri G. Melliza Introduction This book was designed as standard learning materials intended for graduating tech- nology students in a course of Power Plant technology. This was written with my goal in mind to focus on the study of different types of electric generating power plant facility used commonly in different parts of the world. With the fast growing global technological advancement, this book gives the students a wide array of understanding the different concepts and principles of electrical energy production as well as the analytical and technical design of the different power plant system. On the other hand this book adopts to used the SI system of units, which is now used worldwide as the standard system of units. TOPIC OUTLINE 1. Introduction to Thermodynamics 2. Fuels and Combustion 3. The Steam Power Plant Cycle 4. The Internal Combustion Engine Power Plant 5. The Hydro-Electric Power Plant 6. The Gas Turbine Power Plant 7. The Geothermal Power Plant 8. The Wind Energy 9. The Solar Energy 10. Energy From the Ocean 11. Cogeneration Power Plant 12. Environmental Aspects of Power Generation
  • 7.
    7                 A v A v Av A v A v Av m m m Av m Av 2 2 2 1 1 1 1 1 1 2 2 2 1 2 Introduction to Thermodynamics Law of Conservation of Mass Mass is indestructible, in applying this law we must except nuclear processes during which mass is converted into energy. Verbal Form: Mass Entering – Mass Leaving = Change of Mass stored in the system Equation Form: m1 – m2 = m For a steady-state, steady flow m = 0, hence m1= m2 Continuity Equation For one dimensional flow Where: m – mass flow rate in kg/sec A – cross sectional area in m2 v – velocity in m/sec  - density in kg/m3  - specific volume in m3/kg 1 2 m m
  • 8.
    8 W Fdx Forms of Energy  Internal Energy  Flow Energy or Flow Work  Heat  Work  Kinetic Energy  Potential Energy Internal Energy: It is the energy due to the overall molecular interaction. U = m(u2 – u1) KJ Where: u – specific internal energy, KJ/kg U – total internal energy, KJ (KW if m in kg/sec) m – mass in kg (kg/sec, mass flow rate) Flow Energy or Flow Work: It is the energy required in pushing a fluid into the system or out from the system. (PV) = (P2V2 – P1V1) KJ (P) = (P22 – P11) KJ/kg Where: P – pressure, KPa V – volume, m3  - specific volume, m3/kg PV – flow work, KJ (KW if V in m3/sec) Heat: Heat is the energy that crosses a system’s boundary because of a temperature difference between the system and the surrounding. Q = m(q) KJ Where: Q – Total heat, KJ (KW if m in kg/sec) q – heat in KJ/kg Note: Q is positive if heat is added to the system and negative if heat is rejected from the system Work: Work is define as the force multiplied by the displacement in the direction of the force.
  • 9.
    9   KJ 2(1000) mv v ) ΔKE 2 1 2 2     KJ (1000) mg z z ΔPE 2 1   kg C KJ or kg - K KJ     dT dQ C Kinetic Energy: It is the energy due to the motion of a body. Where: v – velocity, m/sec m – mass, kg KE – Kinetic energy, KJ (KW if m in kg/sec) Potential Energy: It is the energy by virtue of its configuration or elevation. Where: z – elevation measured from a chosen datum, meters + z if measured above the datum - z if measured below datum g – gravitational acceleration, m/sec2 g = 9.81 m/sec2 (at sea level condition) PE – potential energy, KJ (KW if m in kg/sec) Zeroth Law of Thermodynamics: If two bodies are in thermal equilibrium with a third body, they are in thermal equilibrium with each other and hence their temperatures are equal. Specific Heat or Heat Capacity: Specific heat is the amount of heat required to raise the temperature of a 1 kg mass of a substance 1K or 1C. dQ = C dT If C is constant Q = C(T2 – T1) KJ/kg Considering m; Q = mC(T2 – T1) KJ (KW if m in kg/sec)
  • 10.
    10 Sensible Heat:It is the amount of heat added to heat a substance, or the amount of heat removed to cool a substance. Q = mC(T2 – T1) KJ (KW if m in kg/sec Heat of Transformation A. Latent Heat of Vaporization: It is the amount of heat added to vaporize a liquid, or the amount of heat removed to condense a gas (Vapor) Qv = m(Hv) KJ (KW if m in kg/sec) Where: m – mass in kg (kg/sec) Hv – heat of vaporization in KJ/kg B. Latent Heat of Fusion: It is the amount of heat added to melt a solid or removed to solidify a liquid. QF = m(HF) KJ (KW if m in kg/sec) Where: HF – latent heat of fusion in KJ/kg Phase Change A. Vaporization: Liquid to Vapor B. Condensation: Vapor to liquid C. Freezing or Solidifying: Liquid to solid D. Melting: Solid to liquid E. Sublimation: Change from solid directly to vapor without passing the liquid state.
  • 11.
    11 Ideal orPerfect Gas Fundamental equations: 1. Equation of State or Perfect Gas Equation 2. Gas Constant 3. Boyles Law (At constant temperature, T = C) 4. Charle’s Law a. At Constant Pressure b. At Constant Volume C T P V T P V C T PV P RT PV mRT 2 2 2 1 1 1       kg - K KJ  M 8.3143 R  1 1 2 2 P V P V PV C   Q h mC ( T) T V T V C T V P 2 2 1 1       Q U mC ( T) T P T P C T P V 2 2 1 1      
  • 12.
    12 5. Avogadro’sLaw: All gases at the same temperature and pressure have the same number of molecules per unit of volume. It follows that the specific weight is directly proportional to its molecular weight. 6. Specific Heat a. At Constant pressure b. At Constant volume 7. Entropy Change k 1 Rk CP   v p p v V C C k C C R k 1 R C         T dQ S 2 1 2 1 M M   
  • 13.
    13 IDEAL GASMIXTURE Gas Mixture: A gaseous substance consisting two or more type of gases. The gases in a gas mixture are called “components” or “constituents” of a mixture. 1. Total moles of a mixture 2. Mole Fraction 3. Total mass of a mixture 4. Mass Fraction 5. Equation of State A. Mass Basis a. For the mixture b. For the components B. Mole Basis a. For the mixture b. For the components 6. Amagat's Law: The total volume V of a mixture is equal to the sum of the volume occupied by each component at the mixture pressure P, and temperature T. 1 n1 V1 2 n2 V2 3 n3 V3 P, T P = P1 = P2 = P3 T = T1 = T2 = T3  i n n n n y i i   i m m m m x i i  PV mRT i i i i i PV mR T PV nRT i i i i P V n RT
  • 14.
    14 7. Dalton'sLaw: The total pressure of a mixture P is equal to the sum of the partial pressure that each gas would exert at the mixture volume V and temperature T. 8. Molecular Weight of a Mixture 1 n1 P1 2 n2 P2 3 n3 P3 mixture n2 P2 V = V1 = V2 = V3 T = T1 = T2 = T3 V V y V V V V V V P RT RT PV RT PV RT PV RT PV RT PV RT PV RT PV RT PV n n n n i i i 1 2 3 1 2 3 1 2 3 1 2 3                            P P y P P P P P P V RT RT P V RT P V RT P V RT PV RT P V RT P V RT P V RT PV n n n n i i i 1 2 3 1 2 3 1 2 3 1 2 3                            mol i i kg kg R 8 3143 R R M M yM .    
  • 15.
    15 9. GasConstant of a mixture 10. Specific Heats of a mixture 11. Gravimetric and Volumetric Analysis: Gravimetric Analysis gives the mass fractions of the components in the mixture. Volumetric Analysis gives the volumetric or molal fractions of the components in the mixture. A . Volumetric or Molal analysis to Gravimetric analysis B. Gravimetric analysis to volumetric or Molal analysis kg- K KJ M 8 3143 M R R R x Ri i      . kg- K KJ k 1 R C kg- K KJ k 1 Rk C kg- K KJ C C R kg- K KJ C x C kg- K KJ C x C V P P V V i Vi P i Pi                M y M y M y M x i i i i i i i      i i i i i M x M x y
  • 16.
    16 dQ dUPdV dW P dV         W P dV Q ΔU W Law of conservation of Energy (The First Law of Thermodynamics): “Energy can neither be created nor destroyed but can only be converted from one form to another.” Verbal Form: Energy Entering – Energy Leaving = change of energy stored in the system Equation Form: E1 – E2 = Es Application of the Law of Conservation of Energy A. Closed System (Nonflow System): A system closed to matter or mass flow. B. Open System (Steady-State, Steady-Flow System): A system opens to matter flow in which there’s an exchange of mass between the system and the surrounding. From First Law; E1 – E2 = Es For an Open system, Es = 0, hence E1 = E2 or Energy entering = Energy leaving Gas U Q W System Q W 1 2 1 1 1 1 1 U P V KE PE 2 2 2 2 2 U P V KE PE Q U U P V P V KE KE PE PE W U P V KE PE Q U P V KE PE W 2 1 2 2 1 1 2 1 2 1 1 1 1 1 1 2 2 2 2 2                   ( ) ( ) ( ) ( )
  • 17.
    17 Enthalpy: Sumof internal and flow energy h= U + PV Processes of Fluids 1. Isobaric Process: Reversible Constant Pressure Process A. Closed System Q = U + W W = P(V2 – V1) Q = m(h2 – h1) U = m(u2 – u1) For Ideal Gas Q = mCp(T2 – T1) U = mCv(T2 – T1) W = mR(T2 – T1) B. Open System (Steady-state,steady-flow) W = -KE - PE If KE = 0 & PE = 0 W = 0 Q = m(h2 – h1) C. Entropy change   W Q- h- KE- PE-W Q- h h KE KE PE PE Q h h KE KE PE PE W h KE PE Q h KE PE W 2 1 2 1 2 1 2 1 2 1 2 1 1 1 1 2 2 2                         ( ) ( ) ( ) ( ) ( ) ( ) For ideal gas T T ln P ΔS mC ΔS S S 1 2 2 1     2 2 1 1 v p v p T V T V C C k k 1 R C k 1) Rk C      
  • 18.
    18 2. IsometricProcess: Reversible Constant Volume Process. A. Closed System (Non-Flow) Q = U + W W = 0 U = m(u2 – u1) Q = U = m(u2 – u1) For Ideal Gas Q = mCv(T2 – T1) Q = U = mCv(T2 – T1) W = 0 2 2 1 1 v p v p T P T P C C k k 1 R C k 1) Rk C       B. For Open System (Steady flow) For Ideal Gas C. Entropy Change W -V(P -P ) W Q- h If KE 0 & PE 0 W -V(P -P )- KE- PE W Q- h- KE- PE- 2 1 2 1               V(P P ) mR(T T ) V(P P ) V(P P ) 2 1 1 2 2 1 1 2         For ideal gas T T ΔS mC ln ΔS S S 1 2 V 2 1    
  • 19.
    19 3. IsothermalProcess: Reversible Constant Temperature Process A. Closed System (Nonflow System) Q = U + W U = m(u2 – u1) For Ideal Gas P1V1 = P2V2 = C U = mCv(T2 – T1) T2 – T1 = 0 U = 0 Q = W B. For Open System (Steady Flow) C. Entropy change 1 2 1 1 2 1 1 1 1 2 1 1 2 1 1 1 p V V P V ln P P W P V ln W Q If ΔKE 0 & ΔPE 0 V V P V ln P P Q P V ln W Q- ΔKE- ΔPE Δh 0 ΔT 0 h mC ( T) For Ideal Gas W Q- Δh- ΔKE- ΔPE               For ideal or perfect gas T W T Q ΔS T Q ΔS ΔS S S2 1      1 1 1 2 1 1 1 1 2 1 1 P V mRT P P P V ln V V W P V ln   
  • 20.
    20 4. IsentropicProcess: An isentropic process is an internally reversible adiabatic process in which the entropy remains constant (S = C or PVk = C, for ideal or perfect gas) P, V, & T relationships for Ideal or Perfect gas A. Closed System (Non-Flow) For Ideal Gas B. Open System (Steady state, steady flow) C. Entropy change S = 0 1 2 1 1 1 2 1 2 1 1 2 2                       k k k k k V V P P T T P V P V C W ΔU Q 0 Q ΔU W                                                                1 P P 1 k kmRT 1-k k(P V -P V ) W - h If ΔKE 0 & ΔPE 0 1 P P 1 k kmRT 1-k k(P V -P V ) -Δh For ideal gas W - h-ΔKE ΔPE Q 0 W Q Δh ΔKE ΔPE k k 1 1 2 2 1 1 1 2 k k 1 1 2 2 1 1 1 2                               1 P P 1 k mRT 1 k (P V P V ) W W ΔU mC (T T ) k k 1 1 2 2 1 1 1 2 v 2 1
  • 21.
    21 5. PolytropicProcess: A polytropic process is an internally reversible process of an Ideal or Perfect Gas in which PVn = C, where n stands for any constant but not equal to zero. P,V, & T relationship: A. Closed System B. Open System C. Entropy Change n 1 2 1 n n 1 1 2 1 2 n 2 2 n 1 1 V V P P T T P V P V C                                                             1 n k n C C Q mC (T T ) 1 P P (1 n) mRT 1 n (P V P V ) W ΔU mCv(T T ) Q ΔU W n V n 2 1 n n 1 1 2 2 1 1 1 2 2 1 W Q Δh If KE 0& ΔPE 0 1 n k n C C Q mC (T T ) 1 P P (1 n) nmRT 1 n n(P V P V ) Q Δh Δh mC (T T ) W Q Δh ΔKE ΔPE n V n 2 1 n n 1 1 2 2 1 1 1 2 P 2 1                                               1 2 n T T ΔS mC ln
  • 22.
    22 6. ThrottlingProcess: A throttling process is a steady-state, steady-flow process in which W= 0, KE = 0,PE = 0 where h = C. h1 = h2 Properties of Pure Substance: A pure substance is a substance that is homogeneous in nature and is homogeneous. a - sub-cooled liquid b - saturated liquid c - saturated mixture d - saturated vapor e - superheated vapor Considering that the system is heated at constant pressure where P = 101.325 KPa, the 100C is the saturation temperature corresponding to 101.325 KPa, and 101.325 KPa pressure is the saturation pressure at 100C. Saturation Temperature (tsat) - is the highest temperature at a given pressure in which vaporization takes place. Saturation Pressure (Psat) - is the pressure corresponding to the temperature. Sub-cooled Liquid - is one whose temperature is less than the saturation temperature corresponding to the pressure. Compressed Liquid - is one whose pressure is greater than the saturation pressure corresponding to the temperature. Saturated Mixture - a mixture of liquid and vapor at the saturation temperature. Superheated Vapor - a vapor whose temperature is greater than the saturation temperature. yurigmelliza 30C 100C 100C 100C 100C t100C P P P P P (a) (b) (c) (d) (e) Q Q Q Q Q
  • 23.
    23 Temperature -Specific volume Diagram (T- diagram) F(critical point)- at the critical point the temperature and pressure is unique. For Steam: At Critical Point, P = 22.09 MPa; t = 374.136C Temperature-Entropy Diagram (T-S Diagram) Region I - sub-cooled or compressed liquid region Region II- saturated mixture region Region III- superheated vapor region T   a b c d e F P = C t  tsat tsat tsc Critical Point Saturation Curve T S  a b c d e F P = C t  tsat tsat tsc Critical Point Saturation Curve I II III
  • 24.
    24 yurigmelliz Enthalpy-EntropyDiagram (h-S Diagram or Mollier Chart) The properties h,S,U,and  at saturated liquid, saturated vapor, sub-cooled or compressed liquid and superheated vapor condition, can be determined using the Steam Table. For the properties at the saturated mixture condition, its properties is equal to r = rf + xrfg where r stands for any property, such as h, S, U,and , where subscript f refers to saturated liquid condition and fg refers to the difference in property between saturated vapor and saturated liquid and x is called the quality. QUALITY where: m - mass v - refers to vapor l - refers to liquid Note: For sub-cooled liquid, its properties are approximately equal to the properties at saturated liquid which corresponds to the sub-cooled temperature. Terms and Definition a. Saturated Liquid – a liquid existing at the saturation temperature corresponding the pressure. b. Saturated Vapor – a vapor existing at the saturation temperature corresponding the pressure. c. Superheated Vapor – a vapor whose temperature is greater than the saturation temperature corresponding to the pressure. d. Subcooled Liquid – a liquid whose temperature is less than the saturation temperature corresponding to the pressure. e. Saturated Mixture – a mixture of liquid and vapor at the saturation temperature and pressure. m m m m m x v v l v    h S  F P = C Critical Point Saturation Curve I II III t = C(constant temperature curve)
  • 25.
    25 f. SaturatedTemperature – it is the highest temperature reached by a liquid heated at certain pressure in which vaporization takes place. g. Saturated Pressure – a pressure corresponding the saturation temperature. Example: When water is heated at standard pressure (P = 101.325 KPa) it will boil at 100C. This temperature is the saturation temperature corresponding 101.325 KPa and the pressure 101.325 KPa is the saturation pressure corresponding 100C temperature. Throttling Calorimeter: An apparatus that is used to determine the quality of a desuperheated steam flowing in a steam line. A throttling process is one that is a constant enthalpy process. Steam from the main steam line expands in the calorimeter to the calorimeter pressure and temperature. A throttling calorimeter is an instrument used to determine the quality of steam flowing in the main steam line. main steam line calorimeter throttling valve thermometer calorimeter pressure gauge main steam line pressure to main steam line
  • 26.
    26 Example (ConstantPressure – Ideal Gas) When a certain perfect gas is heated at constant pressure from 15ºC to 95ºC, the heat required is 1136 KJ/kg. When the same gas is heated at constant volume between the same temperatures the heat required is 808 KJ/kg. Calculate Cp, Cv, k, and M of the gas. Example 2 – (Polytropic – Ideal Gas) A closed system consisting of 2 kg of a gas undergoes a polytropic process during which the value of n = 1.3. The process begins with P1 = 100 KPa, 1 = 0.5 m3/kg and ends with P2 = 25 KPa. Determine the final volume, in m3, and the work. Given m = 2 kg P1 = 100 KPa ; P2 = 25 KPa 1 = 0.5 m3/kg Process: PV1.3 = C R 4.1 Cp Cv R 1.406 10.1 14.2 k 10.1 At Cp 14.2 C (95 15) At p                v v v 2 1 2 1 2 1 p 2 1 C 808 C (95-15) Q C (T - T ) V C 1136 T - T t - t Q C (T - T ) P C KJ m 3 W 91.7 2.9 P P V V 1.3 1 2 1.3 1 1 2            V 0.5(20) 1 kg V m m V 1 n P V P V W P V P V C 1 2 2 1 1 1.3 2 2 1.3 1 1           
  • 27.
    27 Example 3– (Ideal Gas) A 5 m3 tank contained chlorine (R = 0.1172 KJ/kg-K) at 300 KPa and 300K after 3 kg of chlorine has been used. Determine the original mass and pressure if the original temperature was 315 K. (45.66 kg ; 337.15 KPa) Given V1 = V2 = 5 m3 ; R = 0.1172 KJ/kg-K m1 = ? ; P1 = ? ; T1 = 315K P2 = 300 KPa ; T2 = 300K m2 = (m1 – 3) Example 4 – (Constant Temperature/Ideal Gas) A mass of kg of air contained in cylinder at 800 KPa, 1000K expands in a reversible isothermal process to 100 KPa. Calculate a. the heat Q b. the entropy change Given: Process T = C or PV = C (for Air: R = 0.287 KJ/kg-K and k = 1.4) m = 1 kg ; P1 = 800 KPa ; T1 = 1000K ; P2 = 100 KPa a. At T = C for ideal Gas, Q = W Q W 597KJ 100 800 1(0.287)(1000)ln P P mRT ln V V Q W mRT ln 2 1 1 1 2 1       b. K KJ 0.597 1000 597 T Q S  Δ    Example 5 – (Polytropic Process) One kg of oxygen are compressed polytropically from a pressure of 96.5 KPa and 21C to 675.5 KPa. The ratio of the specific heat k = 1.395 and the compression is according to PV1.3= C. Determine the change of entropy in KJ/K.(S = -0.94 KJ/K) Given: P1 = 96.5 KPa ; P2 =675.5 KPa k= 1.395 PV1.3 = C          1 n k n C C T T S mC ln n v 1 2 n P 337.15 KPa P V m RT m 45.66 kg 300(5) (m 3)(0.1172)(300) P V m RT PV mRT 1 1 1 1 1 1 1 2 2 2 2       
  • 28.
    28 Fuels andCombustion Fuel: A substance composed of chemical elements which in rapid chemical union with oxygen produced “combustion”. Combustion: Is that rapid chemical union with oxygen of an element whose exothermic heat of reaction is sufficiently great and whose rate of reaction is sufficiently fast whereby useful quantities of heat are liberated at elevated temperature. Types of Fuel 1. Solid Fuels a. Coal b. Wood c. charcoal 2. Liquid Fuels a. Diesel b. Gasoline c. Kerosene 3. Gaseous Fuels a. LPG b. Natural Gas c. Methane 4. Nuclear Fuels a. Uranium b. Plutonium Combustible Elements 1. Carbon (C) 2. Hydrogen (H2) 3. Sulfur (S) Complete Combustion: Occurs when all the combustible elements has been fully oxidized. Ex. C + O2  CO2 Incomplete combustion: Occurs when some of the combustible elements has not been fully oxidized. Ex. C + O2  CO
  • 29.
    29 Molecular Weightof combustion Gases Gas Molecular Weight C 12 H 1 H2 2 O 16 O2 32 N 14 N2 28 S 32 Combustion Chemistry A. Oxidation of Carbon C + O2  CO2 Mole Basis 1 + 1  1 Mass Basis 1(12) + 1(32)  1(44) 3 + 8  11 B. Oxidation of Hydrogen H2 + ½ O2  H2O Mole Basis 1 + ½  1 Mass Basis 1(2) + ½(32)  1(18) 2 + 16  18 1 + 8  9 C. Oxidation of Sulfur S + O2  SO2 Mole Basis 1 + 1  1 Mass Basis 1(32) + 1 (32)  1(64) 1 + 1  2
  • 30.
    30 Composition ofAir: (in theoretical combustion) %age by Volume (or by mole) O2 = 21 N2 = 79 %age by mass O2 = 23 N2 = 77 Mole Ratio Combustion of Combustible elements with Air: A. Combustion of Carbon with Air C + O2 + 3.76N2  CO2 + 3.76N2 Mole Basis 1 + 1 + 3.76  1 + 3.76 Mass Basis 1(12) + 1(32) + 3.76(28)  1(44) + 3.76(28) 3 + 8 + 3.76(7)  11 + 3.76(7) B. Combustion of Hydrogen with air H2 + ½ O2 + (½)3.76N2 H2O + (½)3.76N2 Mole Basis 1 + ½ + (½)3.76  1 + (½)3.76 Mass basis 1(2) + ½(32) + (½)3.76(28)  1(18) + (½)3.76(28) 2 + 16 + (½)3.76(28)  18 + (½)3.76(28) 1 + 8 + (½)3.76(14)  9 + (½)3.76(14) 3 76 21 79 Mol O Mols N 2 2   . kg of C kg of air 11 44 3 8 3 76 7 kg of Carbon kg of air . . ( )    2 2 1 kg of H kg of air 34 32 1 8 3 76 14 kg of Hydrogen kg of air . ( . )( )   
  • 31.
    31 C. Combustionof Sulfur with air S + O2 + (3.76)N2  SO2 + 3.76N2 Mole Basis 1 + 1 + 3.76  1 + 3.76 Mass Basis 1(32) + 1(32) + 3.76(28)  1(64) + 3.76(28) 32 + 32 + 3.76(28)  64 + 3.76(28) Theoretical Air: It is the minimum amount of air required to oxidized the reactants. With theoretical air alone, no O2 is found in the product. Excess Air: It is an amount of air in excess of the theoretical air requirement in order to influence complete combustion. With excess air O2 is found in the product. Hydrocarbon Fuel: Fuels containing the element Carbon and Hydrogen. Chemical Formula: CnHm Family of Hydrocarbon: 1. Paraffin (CnH2n+2) 2. Olefins (CnH2n) 3. Diolefin (CnH2n-2) 4. Naphthene (CnH2n): this type of fuel has the same formula as olefins but at different structure. 5. Aromatics ((CnH(2n-6)) COMBUSTION OF HYDROCARBON FUEL(CnHm) A) Combustion of CnHm with 100% theoretical air CnHm + aO2+ a(3.76)N2  bCO2 + cH2O + a(3.76)N2 where: a = n + 0.25m b = n c = 0.5m B) With excess air CnHm + (1+e)aO2 + (1+e)a(3.76)N2  bCO2 + cH2O +dO2 + (1+e)a(3.76)N2 where: d = e(n + 0.25m) Note: The values of a,b,c, and d above in terms of n and m is applicable only for the combustion of one type of hydrocarbon. where: e - excess air in decimal S of kgair of kg 294322876332Sulfur of kgair of kg. ))(.(   
  • 32.
    32       1 F A m mg F Theoretical Air-Fuel Ratio: Ratio of Kg of Air to Kg of fuel Actual Air-fuel Ratio: Ratio of actual kgs of Air (theoretical + excess) to kg of fuel COMBUSTION OF SOLID FUELS Components of Solid Fuels: C, H2, O2, N2, S, and Moisture A) Combustion with 100% theoretical air aC + bH2 + cO2 + dN2 + eS + fH2O + xO2 + x(3.76)N2  gCO2 + hH2O + iSO2 + jN2 B) Combustion with excess air (e’ - excess air in decimal) aC + bH2 + cO2 + dN2 + eS +fH2O + (1+e’)xO2 + (1+e’)x(3.76)N2  gCO2 + hH2O + iSO2 + kO2 + lN2 The theoretical and actual air-fuel ratio of solid fuels can be computed based on their balance combustion equation above. DEW POINT TEMPERATURE The Dew Point Temperature (tdp) is the saturation temperature corresponding the partial pressure of the water vapor in the mixture (products of combustion). ULTIMATE ANALYSIS Ultimate Analysis gives the amount of C, H2, O2, N2, S and moisture in percentages by mass, sometimes the percentage amount of Ash is given. (A/F)t = 11.44C + 34.32(H- O/8) + 4.29S kg of air/kg of fuel where: C, H, O and S are in decimals obtained from the Ultimate Analysis PROXIMATE ANALYSIS Proximate Analysis gives the percentage amount of Fixed Carbon, Volatiles, Ash and Moisture. ORSAT ANALYSIS Orsat Analysis gives the volumetric or molal analysis of the products of combustion or exhaust gases on a Dry Basis. MASS FLOW RATE OF FLUE GAS a) Without considering Ash loss:
  • 33.
    33       1 - Ash loss F A m mg F b) Considering Ash loss where ash loss in decimal MOLECULAR WEIGHT OF PRODUCTS Products mol CO CO H O H O O O SO SO N N kg kg n n M n M n M n M n M . . . nM M 2 2 2 2 2 2 2 2 2 2        kg - K KJ R - Gas Constant Universal Gas Constant kg - K KJ R 8.3143 kg kg R R M mol mol      GAS CONSTANT OF PRODUCTS M R R kg - K KJ m m R m R m R m R m R . . . mR R Pr oducts CO2 CO2 H2O H2O O2 O2 SO2 SO2 N2 N2          SPECIFIC HEATS OF PRODUCTS V P P V V i Vi Pr oducts CO VCO H O VH O O VO SO VSO N VN V V P i Pi Pr oducts CO PCO H O PH O O PO SO PSO N PN P P C C k C C R C x C kg - K KJ m m C m C m C m C m C . . . mC C C x C kg - K KJ m m C m C m C m C m C . . . mC C 2 2 2 2 2 2 2 2 2 2 2 2 2 2 2 2 2 2 2 2                        Where: CP – specific heat at constant pressure in KJ/kg-K or KJ/kg-C CV – specific heat at constant volume in KJ/kg-K or KJ/kg-C k – ratio of specific heat
  • 34.
    34 3.5 93.8 3.3 M 1.9 93.8 1.8 S 1.2% 93.8 1.1 N 2.6 93.8 2.4 O 4.8% 100 6.2 4.5 H 86% 100 6.2 80.7 C 2 2 2               PARTIAL PRESSURE OF COMPONENTS P - partial pressure of the components in the mixture pressure of the mixture P P P y P i i i i P  total    EXAMPLE 1 The ultimate analysis of a coal fuel is as follows: C = 80.7% ; H2 = 4.5% ; O2 = 2.4% ; N2 = 1.1% ; S = 1.8%; M = 3.3% and Ash = 6.2%. Determine a. The combustion equation b. The air – fuel ratio c. The HHV and LHV of the fuel d. The M and R of the products SOLUTION Reduce the analysis to an ashless basis
  • 35.
    35 1.91% 9.937 0.194 M 0.6% 9.937 0.06 S 0.43% 9.937 0.043 N 0.81 9.937 0.08 O 24.2% 9.937 2.4 H 72.05% 9.937 7.16 C 7.16 2.4 0.08 0.043 0.06 0.194 9.937 Mi xi 18 3.5 32 1.9 28 1.2 32 2.6 2 4.8 12 86 Mi xi 2 2 2                            Converting to molal analysis Combustion with 100% theoretical air (Basis: 100 moles of fuel) 2 2 2 2 2 2 2 2 2 2 2 2 2 2 2 2 2 2 2 2 2 2 72.05CO 26.11H O 0.6SO 316.0444N (72.05C 24.2H 0.81O 0.43N 0.6S 1.91H O) 83.94O 315.6144N 316.0444 N 83.94 d 2 26.11 x 72.05 2 1.91 O 26.11 Hydrogen 72.05 b CarbonBalance bCO cH O dSO eN (72.05C 24.2H 0.81O 0.43N 0.6S 1.91H O) xO x(3.76)N                                      e 0.43 83.94(3.76) e Balance x From eq. 1 0.6 d S Balance 0.81 eq. 1 Balance c 24.2 1.91 c Balance
  • 36.
    36 kg offuel 11.5 1004.54 11523.2832 72.05(12) 24.2(2) 0.81(32) 0.43(28) 0.6(32) 1.91(18) 83.94(32) 315.6144(28) F A kg of air          EXAMPLE 2 An Ultimate analysis of coal yields the following composition: C = 74% ; H2 = 5%; O2 = 6%; N2 = 1.2%; S = 1%; M = 3.8% and Ash = 9%. If this coal is burned with 25% excess air, determine a. The combustion equation b. The actual air – fuel ratio in kg/kg Fuel Components Ultimate analysis Ashless % M x/M Molal Analysis Combustion w/ 100% Theo. air O2 N2 CO2 H2O SO2 O2 N2 C 74 81.3 12 6.78 67.5 79.44 298.7 67.47 29.66 0.34 299.17 H2 5 5.5 2 2.75 27.4 Combustion w/ excess air e = 0.25 O2 6 6.6 32 0.21 2.1 99.3 373.4 67.5 29.7 0.3 19.9 373.8 N2 1.2 1.3 28 0.05 0.5 S 1 1.1 32 0.03 0.3 Air-Fuel Ratio M 3.8 4.2 18 0.23 2.3 13.7 kg/kg Ash 9 10.04 100 100 EXAMPLE 3 A gas turbine generating unit produces 600 KW of power and uses a liquid fuel represented by C8H18 and requires 300% excess air for complete combustion. For a fuel rate of 0.234 kg/KW-hr, determine a. The combustion equation b. The volume of air required at P = 1500 KPa and T = 310K EXAMPLE 4 An unknown hydrocarbon fuel has the following Orsat Analysis: CO2 = 12.5%; CO = 0.3%; O2 = 3.1%; N2 = 84.1% Determine a. The value of n and m b. The combustion equation c. The percent excess air (e = 15%) d. The percent C and H in the fuel
  • 37.
    37 HEATING VALUE Heating Value - is the energy released by fuel when it is completely burned and the products of combustion are cooled to the original fuel temperature. Higher Heating Value (HHV) - is the heating value obtained when the water in the products is liquid. Lower Heating Value (HHV) - is the heating value obtained when the water in the products is vapor. For Solid Fuels HHV = 33,820C + 144,212 (H- O/8) + 9304S KJ/kg where: C, H2, O2, and S are in decimals from the ultimate analysis For Coal and Oils with the absence of Ultimate Analysis For Liquid Fuels HHV = 31,405C + 141 647H KJ/kg HHV = 43,385 + 93(Be - 10) KJ/kg Be - degrees Baume For Gasoline HHV = 41,160 + 93 (API) KJ/kg LHV = 38,639 + 93 (API) KJ/kg For Kerosene HHV = 41,943 + 93 (API) KJ/kg LHV = 39,035 + 93 (API) KJKkg For Fuel Oils HHV = 41,130 + 139.6(API) KJ/kg LHV = 38,105 + 139.6(API) KJ/kg API - American Petroleum Institute For Fuel Oils (From Bureau of Standard Formula) HHV = 51,716 – 8,793.8 (S)2 KJ/kg LHV = HHV - QL KJ/kg QL = 2,442.7(9H2) KJ/kg H2 = 0.26 - 0.15(S) kg of H2/ kg of fuel S @ t = S - 0.0007(t-15.56) Where: S - specific gravity of fuel oil at 15.56 C H2 - hydrogen content of fuel oil QL - heat required to evaporate and superheat the water vapor formed by the combustion of hydrogen in the fuel
  • 38.
    38 S @t - specific gravity of fuel oil at any temperature t Oxygen Bomb Calorimeter - instrument used in measuring heating value of solid and liquid fuels. Gas Calorimeter - instrument used for measuring heating value of gaseous fuels. Properties of Fuels and Lubricants a) Viscosity - a measure of the resistance to flow that a lubricant offers when it is subjected to shear stress. b) Absolute Viscosity - viscosity which is determined by direct measurement of shear resistance. c) Kinematics Viscosity - the ratio of the absolute viscosity to the density d) Viscosity Index - the rate at which viscosity changes with temperature. e) Flash Point - the temperature at which the vapor above a volatile liquid forms a combustible mixture with air. f) Fire Point - The temperature at which oil gives off vapor that burns continuously when ignited. g) Pour Point - the temperature at which oil will no longer pour freely. h) Dropping Point - the temperature at which grease melts. i) Condradson Number(carbon residue) - the percentage amount by mass of the carbonaceous residue remaining after destructive distillation. j) Octane Number - a number that provides a measure of the ability of a fuel to resist knocking when it is burnt in a gasoline engine. It is the percentage by volume of iso- octane in a blend with normal heptane that matches the knocking behavior of the fuel. k) Cetane Number - a number that provides a measure of the ignition characteristics of a diesel fuel when it is burnt in a standard diesel engine. It is the percentage of cetane in the standard fuel.
  • 39.
    39 Cycle Acycle is a series of two or more processes in which the final state is the same as the initial state. Steam Power Cycle: A power generating cycle that uses steam or water vapor as the working substance. This cycle differ with an internal combustion engine cycle because the combustion occurs in the boiler, unlike that of an IC engine that combustion occurs inside the working cylinders. Steam Power Plant Cycle Rankine Cycle Components: a. Steam Turbine b. Condenser c. Pump d. Steam Generator or boiler Processes: 1 to 2 – Isentropic Expansion (S = C) 2 to 3 – constant pressure Heat Rejection (P = C) 3 to 4 – Isentropic pumping (S = C) 4 to 1 – Constant pressure Heat Addition (P = C)
  • 40.
    40 A. TurbineWork (Wt) (considering S = C; Q = 0; KE = 0; PE = 0) Wt = ms(h1 – h2) KW Where: ms – steam flow rate, kg/sec h – enthalpy, KJ/kg Wt – turbine power, KW B. Heat Rejected in the Condenser (QR) QR = m(h2 – h3) KW C. Pump Work (WP) WP = m(h4 – h3) D. Heat added to Boiler (QA) QA = m(h1 – h4) KW E. Boiler Efficiency (EB) T P1 1 4' 4 P2 = P3 3 2 2' S x 100% Q Q E S A B 
  • 41.
    41 Reheat CycleSteam Power Plant: In a reheat cycle, after partial expansion of steam in the turbine the steam re-enters a section in the steam generator called the re-heater and re-heating the steam almost the same to initial temperature and then re-expands again to the turbine. This will result to an increase in thermal efficiency of the cycle, with significant increase in turbine work and heat added. Turbine Work WP QR Wt QA 1 2 3 4 5 6 1 kg To Reheater From Reheater T 1 S 2 3 5 4 6 W m  h h h h  KW t s 1 2 3 4  (  )  ( 
  • 42.
    42 Heat Rejected Pump Work Heat Added Where: ms – mass flow rate of steam, kg/sec Q m (h h ) KW R s 4 5   W m h h KW P s 6 5  (  ) Q m h h h h  KW A s 1 6 3 2   )  (  )
  • 43.
    43 Regenerative Cycle:In a regenerative cycle some of the steam after initial expansion is extracted for feed-water heating by mixing the bled steam with the condensate or drains from other heater. The remaining steam re-expands again in the turbine. The thermal efficiency also increases due to the decrease in heat added to boiler. WP2 QR Wt QA 1 2 3 4 5 6 1 kg Open Heater WP1 7 m1 T 1 S 2 3 4 5 6 7 m (1-m) (1-m) 1 kg 1 kg
  • 44.
    44 Let: m– fraction of steam extracted for feed-water heating, kg/kg Turbine Work Heat Rejected Pump Work a. Condensate pump (WP1) b. Feed-water pump WP2) Heat Added Reheat – Regenerative Cycle: In a reheat – regenerative cycle further increase in thermal efficiency will occur because of the combine effects of reheating and regenerative feed-water heating. Significantly heat added decreases, total pump work decreases while turbine work increases. Single stage reheat and single stage regenerative cycle that uses an open type feedwater heater WP2 QR Wt QA 1 2 3 4 5 6 1 kg Open Heater WP1 7 m1 2 8 (1-m1) (1-m1) W m  h h 1 m h h  KW t s 1 2 2 3  (  )  (  )(  ) Q m  1 m h h  KW R s 3 4  (  )(  ) W m h h KW W m 1 m h h KW W W W P2 s 7 6 P1 s 5 4 P P1 P2 (( ) ( )( )        Q m  h h  KW A s 1 7  (  )
  • 45.
    45 Turbine Work Heat Rejected Pump Work Heat Added T S 1 2 3 5 4 6 7 8 m 1 kg (1-m) (1-m) (1 kg) W m  h h 1 m h h  KW t s 1 2 3 4  (  )  (  )(  ) Q m  1 m h h  KW R s 4 5  (  )(  )     P P1 P2 P2 s 8 7 P1 s 6 5 W W W W m (h -h ) KW W m 1 m h h KW     (  )(  ) Q m  h h 1 m h h  KW A s 1 8 3 2  (  )  (  )(  )
  • 46.
    46 STEAM RATE HEAT RATE Turbine Efficiency Pump Efficiency W turbine work in KW m steam flow rate in kg/sec where KW-hr kg W 3600m SR when SR is based on the turbine power KW-hr kg KW Produced Steam Flow Rate SR t-s t s    : W turbine work in KW Q Heat added in KW where KW-hr KJ W 3600Q HR when HR is based on the turbine power KW-hr KJ KW Produced Heat Supplied HR t- A t A :   x 100% W W t x 100% Ideal Turbine Work Actual Turbine Work t t' t     x 100% W W x 100% Actual Pump Work Ideal Pump Work P P P P '    
  • 47.
    47 Boiler orSteam Generator Efficiency HYPERLINKS Fuels & Combustion Steam Table Formula EXAMPLE A coal fired steam power plant operates on the Rankine Cycle. The steam enters the turbine at 7000 KPa and 550C with a velocity of 30 m/sec. It discharges to the condenser at 20 KPa with a velocity of 90 m/sec. For a mass flow rate of steam of 37.8 kg/sec, Determine a. The ideal turbine work in KW b. The net power produced in KW c. The thermal efficiency of the cycle d. The cooling water required in the condenser if cooling water enters at 20C and leaves at 35C e. The coal consumption in kg/hr if the boiler efficiency is 82% and heating value of coal is 32,000 KJ/kg From Steam Table h1 =3529.8 ; S1 = 6.9465 h2 = 2288.3 ;x2 = 86.4% h3 = 251.33; S3 = 0.8321 h4 = 258.43 Solution: a. W = Q - h - KE - PE Q = 0 ; PE = 0 Wt = (h1 – h2) - KE Wt = 46,792.6 KW b. Wp = 268.38 KW W = 46,524.2 KW c. QA = 123,657.8 KW e = 37.62% d. QR = 76,997.5 KW MW = 1225.99 kg/sec e. mf = 16,965.25 KG/hr 100% x QQe100% x Boiler to supplied Heat ActualBoiler by Absorbed HeatesABB  
  • 48.
    48 GENERAL BOILERDESCRIPTION 1. Fire-Tube boiler: Hot gas is inside the tubes while water on the outside. 2. Water-Tube boiler: Water is inside the tube while hot gas is on the outside. The fire-tube boiler design uses tubes to direct the hot gases from the combustion process through the boiler to a safe point of discharge. The tubes are submerged in the boiler water and transfer the heat from the hot gases into the water. Inside a firetube boiler the hot gases travel down the furnace during the combustion process, (first pass). The rear head seals the gasses in the lower portion of the head. The gas is redirected through the second pass tubes. In the front head the hot gasses are sealed from escaping out the stack and turned and redirected through the third pass tubes. The hot gas travels toward the upper portion of the rear head where it’s turned and directed through the fourth pass tubes. From there, after giving up most of the energy from the combustion process, the gas is directed into the stack and vented to the atmosphere. The water-tube boiler design uses tubes to direct the boiler water through the hot gases from the combustion process, allowing the hot gases to transfer its heat through the tube wall into the water. The boiler water flows by convection from the lower drum to the upper drum. Either of the fire-tube or water-tube boiler design concepts is available in what is popularly known as the packaged boiler, a concept introduced by Cleaver- Brooks in 1931. A packaged boiler is shipped from the manufacturer as a complete assembly, with burner, control systems, operating and safetycontrols, all piped and/or wired into the assembly. Equipment of this type needs only to be positioned into its intended location, utility connections made and a means provided to direct the flue gases to a safe point of discharge. Most packaged firetube boilers are available in capacities of 500,000 Btu/hr up to 26,800,000 Btu/hr output. These boilers are normally rated on the basis of boiler horsepower (BHP) output. One boiler horsepower = 33,472 Btu per hour. Packaged water-tube boilers, designed for commercial applications, are normally available in sizes as small as 1,200,000 Btu/hr output. Industrial watertube boilers can be provided in packaged format in capacities of up to 134,000,000 Btu/hr.
  • 49.
    49 Boiler Auxiliariesand Accessories Superheater – a heat exchanger that is used to increase the temperature of the water vapor greater than the saturation temperature corresponding the boiler pressure. Evaporator – a heat exchanger that changes saturated liquid to saturated vapor. Economizers – is the heat exchanger that raises the temperature of the water leaving the highest pressure feedwater heater to the saturation temperature corresponding to the boiler pressure. Air Preheater – is a heat exchanger use to preheat air that utilizes some of the energy left in the flue gases before exhausting them to the atmosphere. Fans – a mechanical machine that assist to push the air in, pull the gas out or both. Stoker – combustion equipment for firing solid fuels (used in water tube boilers) Burners – combustion equipment for firing liquid and gaseous fuels. Feedwater pump – a pump that delivers water into the boiler. Pressure Gauge – indicates the pressure of steam in the boiler. Safety Valve – A safety device which automatically releases the steam in case of over pressure. Temperature Gauge – indicates the temperature of steam in the boiler. Fusible Plug – a metal plug with a definite melting point through which the steam is released in case of excessive temperature which is usually caused by low water level. Water Walls – water tubes installed in the furnace to protect the furnace against high temperature and also serve as extension of heat transfer area for the feed-water. Gage Glass (Water column) – indicates the water level existing in the boiler. Baffles – direct the flow of the hot gases to effect efficient heat transfer between the hot gases and the heated water.
  • 50.
    50 Furnace –encloses the combustion equipment so that the heat generated will be utilized effectively. Soot blower – device which uses steam or compressed air to remove the soot that has accumulated in the boiler tubes and drums. Blowdown Valve – valve through which the impurities that settle in the mud drum are remove. Sometimes called blow 0ff valve. Breeching – the duct that connects the boiler and the chimney. Chimney or Smokestack – a structure usually built of steel or concrete that is used to dispose the exhaust gases at suitable height to avoid pollution in the vicinity of the plant. BOILER PERFORMANCE 1.Heat Generated by Fuel Qs = mf (HHV) KJ/hr Where: mf – fuel consumption, kg/hr HHV – higher heating value of fuel KJ/kg 2. Rated Boiler Horsepower(RBHp) a) For Water Tube Type RBHp = 0.91 HS b) For Fire Tube Type RBHp = 1.1 HS Where: HS – required heating surface, m2 3. Developed Boiler Horsepower (DBHp) 15.65(2257) m (h h ) s s f  Dev. Bo. HP  35,322 m (h h ) s s f  Dev. Bo. HP 
  • 51.
    51 One BoilerHorsepower is equivalent to the generation of 15.65 kg/hr of steam from water at 100C to saturated steam at 100C. The latent heat of vaporization of water at 100C was taken at 2257 KJ/kg. 4. Percentage Rating x 100% Rated Bo.Hp Dev.Bo.Hp %R  5. ASME Evaporation Units ASME Evap. Units = ms(hs – hf) KJ/hr 6.Factor of Evaporation (FE) (2257) (h h ) s f  FE  7. Boiler Efficiency x 100% m (HHV) m (h h ) f s s f    B 8. Net Boiler Efficiency x 100% m (HHV) m (h h )-Auxiliaries f s s f    N 9. Actual Specific Evaporation kg of fuel kg of steam mf Sp. Evap. s m Actual  10. Equivalent Evaporation Equiv. Evap. = ms (FE) 11. Equivalent Specific Evaporation Equiv. Sp. Evap. =   ms FE mf
  • 52.
    52 BOILER HEATBALANCE Energy supplied to the boiler by 1 kg of fuel is distributed among the following items in the ASME short-form heat balance, all expressed in units of KJ/kg of fuel. 1. Heat absorbed by steam generating unit Q1 = f m m (h -h ) s s f KJ/kg Where: ms – steam flow rate in kg/hr mf – fuel consumption in kg/hr hs – enthalpy of steam, KJ/kg hf – enthalpy of fed water, KJ/kg 2. Heat loss due to Dry Flue Gas Q2 = mdg(1.026)(tg – ta) KJ/kg Where: mdg – mass of dry flue gas, Kggas/Kgfuel 3. Heat loss due to Moisture in Fuel Q3 = M(h’- hf’) KJ/kg Where: h’ – enthalpy of superheated steam at flue gas Temperature, KJ/kg hf’ – enthalpy of liquid at temperature of fuel entering furnace, KJ/kg Q3 = M(2493 + 1.926tg – 4.187tf) KJ/kg when tg < 302C Q3 = M(2482 + 2.094tg – 4.187tf) KJ/kg when tg > 302C 4. Heat loss due to moisture from the combustion of hydrogen Q4 = 9H2(h’- hf’) KJ/kg Q4 = 9H2 (2493 + 1.926tg – 4.187tf) KJ/kg when tg < 302C Q4 = 9H2 (2482 + 2.094tg – 4.187tf) KJ/kg when tg > 302C
  • 53.
    53 5. Heatloss due to moisture in air supplied Q5 = W(1.926)maa(tg – ta) KJ/kg Q5 = %age saturation(Ws)(1.926)maa(tg – ta) KJ/kg 6. Heat loss due to incomplete combustion Q6 = 23516Ci KJ/kg Q6 = 23516 ab 2 C CO CO CO  KJ/kg 7. Heat loss due to unconsumed carbon in the refuse Q7 = 33,820(C - Cab) Wher: (C - Cab) = (Wr – A) (Wr – A) = WrCr Wr = r 1-C A C – carbon in fuel, kg/kg Cab – carbon actually burned, kg/kg Wr – weight of dry refuse kg/kg Cr – weight of combustible in the refuse, kg/kg 8. Heat loss due radiation and unaccounted-for losses Q8 = HHV –(Q1 + Q2 + Q3 + Q4 + Q5 + Q6 + Q7)
  • 54.
    54 Problems (SteamGenerators) 1. A steam generator uses coal as fuel having the ultimate analysis as follows: C = 72% ; H2 = 5%; O2 = 10%; N2= 1.2%; S = 3.3%; M = 0.1% & A = 8.4% If this coal is burned with 20% excess air, Determine a) the A/F ratio in kga/kgf b) the volume of wet flue gas at101 KPa and 282C per kg of coal c) the %age of CO2 by volume in the dry flue gas d) the dew point of the products e) the fuel consumption in Metric tons per hour for a steaming capacity of 100 Metric tons/hour, Factor of Evaporation of 1.15 and a steam generator efficiency of 73%. 2. A water tube boiler generates 7,300 kg of steam per hour at a pressure of1.4 MPa and a quality of 98% when the feed-water is 24C. Find a) Factor of Evaporation b) Equivalent Evaporation c) Developed Boiler Horsepower d) %rating developed if the heating surface is 190 m2 e) Overall efficiency if coal having a HHV of 5000 KCal/kg as fired is used at the rate of 3000 L/hr. 3. A water tube boiler generates 8,000 kg of steam per hour at a pressure of 1.4 MPa and a quality of 985 when the feed-water is 24C. Find a) Factor of Evaporation b) Equivalent Evaporation in kg/hr c) Boiler horsepower developed d) Percent rating developed if the heating surface is 185.9 m2 e) Overall efficiency if coal having a HHV of 20,940 KJ/kg as fired is used at a rate of 1500 kg/hr 4. At a load of 43,000 KW in a steam turbine generating set, 3600 RPM, the following data appear in the log sheet. Steam flow -190 Metric Tons/hour Steam pressure - 8.93 MPaa Steam temperature - 535 Feed-water temperature - 230 Fuel Flow: Bunker Oil -3.4 Metric Tons/hr HHV =10,000 KCal/hr Local coal -18 Metric Tons/hr HHV = 5350 KCal/hr Determine thee overall boiler efficiency. h at 8.93 MPa and 535C - 3475.7 KJ/kg hf at 230C- 990.12 KJ/kg 5. A coal fired steam boiler uses 3000 kg of coal per hour. Air required for combustion is 15.5 kg/kg of coal at a barometric pressure of 98.2 KPa. The flue gas has a temperature of 285C and an average molecular weight of 30. Assuming an ash loss of 11% and allowable gas velocity of 7.5 m/sec, find the diameter of the chimney. (D = 1.91 m) 6. Two boilers are operating steadily on 136,500 kg of coal contained in a bunker. One boiler is producing 2386 kg of steam/hr at 1.15 FE and an efficiency of 75%, and the other boiler produces 2047 kg of steam/hr at 1.10 FE and an efficiency of 70%. How many hours will the coal in the bunker run the boilers if the heating value of the coal is 32,000 KJ/kg. (281.5 hrs)
  • 55.
    55 7. Anindustrial plant is to be designed based upon the following requirements; 5000 KW output and generator efficiency of 98%. Steam is extracted at the rate of7.6 kg/sec at 0.2 MPa for industrial use. Turbine inlet pressure is 1.2 MPa and temperature of 260 MPa. Brake turbine efficiency is 75%. Extracted and exhaust steam are returned to the boiler as liquid at 93 a) Supplied steam to the turbine in kg/hr b) Total heat supplied to the boiler in KJ/hr At 1.2 MPa and 260 h = 2957.6 KJ/kg S = 6.8721 KJ/kg-K At 93 At 0.014 MPa Sf = 0.7366 KJ/kg-K ; sfg = 7.2959 KJ/kg-K hf = 219.99 KJ/kg ; hfg = 2376.6 KJ/kg At 0.2 MPa sf = 1.55301 KJ/kg-K ; sfg = 5.5970 KJ/kg-K hf = 504.7 KJ/kg ; hfg = 2201.9 KJ/kg At S1 = S2 to 0.20 MPa ; h2 = 2606.28 KJ/kg At S3 = S4 to 0.014 MPa h3 = 2218.596 KJ/kg 8. In a test of a Bobcock and Wilcox boiler with hand-fired furnace, the following date were taken; Rated HP - 350 Grate Surface - 2.323 m2 Duration of test - 24 hours Steam pressure - 1.2 MPa Feed-water temperature - 34 Quality of steam formed - 99% Total weight of coal fired (wet) - 7110 kg Moisture in coal - 7.5% Total weight of water fed to boiler - 54,000 kg Determine: a) Factor of Evaporation b) Dry coal per m2 of grate surface per hour c) Equivalent evaporation per hr - m2 of heating surface d) Equivalent evaporation per hour e) Boiler HP Developed f) Percentage of Rated capacity developed g) The equivalent evaporation per kg of dry coal h) Combined efficiency of boiler, furnace and grate if the coal has a heating value of 28,590 KJ/kg 9. Coal with HHV = 6700 KCal/kg is consumed at the rate of 600 kg/hr in a steam generator with a Rated Boiler HP of 200. The feed-water temperature is 82 at 1.08 MPaa saturated. The Developed Boiler HP is equivalent to 305. Determine: a) Heating Surface, m2 b) Rate of steam generated, kg/hr c) Percentage Rating d) ASME Evaporation units, J/hr
  • 56.
    56 e) Factorof Evaporation f) Overall thermal efficiency g) Actual specific evaporation, kg steam/kg of coal h) Equivalent specific evaporation 10. The boiler, furnace and grate efficiency of a steam generator is 82%. Coal with a moisture content of 12% is burned at the rate of 10,000 kg per hour. The heating value per kg of dry coal is 28,000 KJ. Steam is generated at 3.2 MPa and a temperature of 320-water temperature is 95ne: a) the kg of steam generated per hour b) the Developed Boiler Hp. c) the Equivalent evaporation in kg per kg of coal as fired d) the cost to evaporate 500 kg of steam if coal costs P 150 per Metric Ton
  • 57.
    57 CONDENSERS Direct- contact or Open, condensers This type of condenser are used in special cases, such as when dry cooling towers are used in geothermal power plants and in power that use temperature differences in ocean waters (OTEC). Modern direct contact condensers are of the spray type. Early designs were of the barometric or jet type. By mass balance m2 = m4 m3 = m2 + m5 By Energy balance m2h2 + m5h5 = m3 = h3 And the ratio of circulating water to steam flow Turbine exhaust Dry cooling tower Condenser Noncondensables to SJAE Pump To plant feedwater system 2 3 4 5 Schematic Diagram of a Direct - contact condenser of the Spray type 3 5 2 3 2 5 h h h h m m   
  • 58.
    58 Surface Condenser Let Q = QR = Qw QR – heat rejected by steam Qw – heat absorbed by cooling water ms – steam flow rate in kg/sec mw – cooling water flow rate in kg/sec twA – inlet temperature of cooling water in C twB – outlet temperature of cooling water in C Cpw = 4.187 KJ/kg-C (specific heat of water) QR = Qw QR = ms(h2 – h3) KW Qw = mw Cpw (twB – twA) Water in mw twA Water out mw twB Water box Turbine exhaust h2 Condensate h3 Tubes Support Plate ms ms
  • 59.
    59 In termsof Overall coefficient of heat transfer U: saturation temperature of steam,C LMTD N - total number of tubes L - length of tubes, m outside diameter of tubes, m heat transfer surface area, m log mean temperature difference, C m -K W or m - C W U - overall coefficient of heat transfer in where: KW t 2 2 2               s s wB s wA wB wA t t t t t t ln t t D A DL(N ) A total LMTD 1000 UA(LMTD) Q TTD – Terminal Temperature difference TTD = ts - twB TEMPERATURE – AREA DIAGRAM 1 2 2 1 1 s wB 2 s wA ln LMTD t t t t             T A twA ts 2 twB 1
  • 60.
    60 Problem A10,000 KW turbine generator uses 5 kg/KW-hr of steam at rated load. Steam supply pressure is 4.5 MPa and 370C and the pressure in the surface condenser is 3.4 KPa (tsat = . Temperature of inlet circulating water is 16C and outlet of 22C. Combined efficiency of the turbo-generator set is 92%. The condenser tubes are 2 mm; 1.2 mm thickness. Water velocity is 3.5 m/sec. Overall coefficient of heat transfer U = 4 W/m2-C. Tube sheet thickness is 10 mm. Determine: a. Cooling water required in L/min b. Number of tubes for 2-Pass design c. Actual length of tubes Other Data are as follows: h1 = 3131.4 ;S1 = 6.5897 h2 = 1967.1 ;S2 = 6.5897 x2 = 76.17 h3 = 109.75 ;S3 = 0.3836 h4 = 114.27 GEOTHERMAL POWER PLANT Geothermal energy is the power obtained by using heat from the Earth's interior. Most geothermal resources are in regions of active volcanism. Hot springs, geysers, pools of boiling mud, and fumaroles (vents of volcanic gases and heated groundwater) are the most easily exploited sources of such energy The most useful geothermal resources are hot water and steam trapped in subsurface formations or reservoirs and having temperatures ranging from 176° to 662° F (80° to 350° C). Water and steam hotter than 356° F (180° C) are the most easily exploited for electric-power generation and are utilized by most existing geothermal power plants. In these plants hot underground water is drilled from wells and passes through a separator- collector where the hot water is flashed to steam, which is then used to drive a steam turbine whose mechanical energy is then converted to electricity by a generator.
  • 61.
    61 IDEAL TURBINEWORK Wt = ms(h1 – h2) KW ACTUAL TURBINE WORK Wt’ = Tms(h1 – h2) KW Well bottom pressure well head pressure Flasher – separator pressure B H 1 2 T S 3
  • 62.
    62 GENERATOR POWEROUTPUT W0 = GTms(h1 – h2) KW where ms – steam flow rate in kg/sec T - turbine efficiency G – generator efficiency
  • 63.
    63 The DieselPower Plant Two stroke cycle engine: An engine that completes one cycle in one revolution of the crankshaft. Four stroke cycle engine: An engine that completes one cycle in two revolution of the crankshaft. TERMS AND DEFINITIONS Diesel engine is a type of internal combustion engine that uses low grade fuel oil and which burns this fuel inside the cylinder by heat of compression. It is used chiefly for heavy-duty work. Diesel engines drive huge freight trucks, large buses, tractors, and heavy road-building equipment. They are also used to power submarines and ships, and the generators of electric-power stations in small cities. Some motor cars are powered by diesel engines. Gasoline engine - is a type of internal combustion engine, which uses high grade of oil. It uses electricity and spark plugs to ignite the fuel in the engine's cylinders. Kinds of diesel engines. There are two main types of diesel engines. They differ according to the number of piston strokes required to complete a cycle of air compression, exhaust, and intake of fresh air. A stroke is an up or down movement of a piston. These engines are (1) the four-stroke cycle engine and (2) the two-stroke cycle engine. Four Stroke Cycle Engine 1. Intake 2. Compression 3. Power
  • 64.
    64 4. Exhaust In a four-stroke engine, each piston moves down, up, down, and up to complete a cycle. The first down stroke draws air into the cylinder. The first upstroke compresses the air. The second down stroke is the power stroke. The second upstroke exhausts the gases produced by combustion. A four-stroke engine requires exhaust and air-intake valves. It completes one cycle in two revolutions of the crankshaft. Two Stroke Cycle Engine 1. Intake-Compression stroke 2. Power-exhaust stroke In a two-stroke engine, the exhaust and intake of fresh air occur through openings in the cylinder near the end of the down stroke, or power stroke. The one upstroke is the compression stroke. A two-stroke engine does not need valves. These engines have twice as many power strokes per cycle as four-stroke engines, and are used where high power is needed in a small engine. It completes one cycle in one revolution of the crankshaft. Governor - is a device used to govern or control the speed of an engine under varying load conditions. Purifier - a device used to purify fuel oil and lube oil. Generator - a device used to convert mechanical energy. Crank scavenging - is one that the crankcase is used as compressor. Thermocouple - is made of rods of different metal that are welded together at one end. Centrifuge - is the purification of oil for separation of water. Unloader - is a device for automatically keeping pressure constant by controlling the suction valve. Planimeter - is a measuring device that traces the area of actual P-V diagram. Tachometer - measures the speed of the engine. Engine indicator - traces the actual P-V diagram. Dynamometer - measures the torque of the engine. Supercharging - admittance into the cylinder of an air charge with density higher than that of the surrounding air. Bridge Gauge - is an instrument used to find the radial position of crankshaft motor shaft. Piston - is made of cast iron or aluminum alloy having a cylinder form. Atomizer - is used to atomize the fuel into tiny spray which completely fill the furnace in the form of hollow cone. Scavenging - is the process of cleaning the engine cylinder of exhaust gases by forcing through it a pressure of fresh air. Flare back - is due the explosion of a maximum fuel oil vapor and air in the furnace. Single acting engine - is one in which work is done on one side of the piston. Double acting engine - is an engine in which work is done on both sides of the piston. Triple-expansion engine - is a three-cylinder engine in which there are three stages of expansion. The working pressure in power cylinder is from 50 psi to 500 psi. The working temperature in the cylinder is from 800F to 1000F.
  • 65.
    65 Air pressureused in air injection fuel system is from 600 psi to 1000 psi. Effect of over lubricating a diesel engine is: Carbonization of oil on valve seats and possible explosive mixture is produced. The average compression ratio of diesel engine is from 14:1 to 16:1. Three types of piston: 1. barrel type 2. trunk type 3. closed head type Three types of cam follower: 1. flat type 2. pivot type 3. roller type Methods of mechanically operated starting valve: 1. the poppet 2. the disc type Three classes of fuel pump: 1. continuous pressure 2. constant stroke c. variable stroke Type of pump used in transferring oil from the storage to the service tanks: 1. rotary pump 2. plunger pump 3. piston pump 4. centrifugal pump Valve that is found in the cylinder head of a 4-stroke cycle engine: 1. fuel valve 2. air starting valve 3. relief valve 4. test valve 5. intake valve 6. exhaust valve Four common type of governors used on a diesel engine: 1. constant speed governor 2. variable speed governor 3. speed limiting governor 4. load limiting governor Kinds of piston rings used in an internal combustion engines: 1. compression ring 2. oil ring 3. firing ring 4. oil scraper ring Reasons of smoky engine: 1. overload
  • 66.
    66 2. injectionnot working 3. choked exhaust pipe 4. fuel or water and leaky things Methods of reversing diesel engines: 1. sliding camshaft 2. shifting roller c. rotating camshaft Arrangements of cylinders: 1. in-line 2. radial 3. opposed cylinder 4. V 5. opposed piston Position of cylinders: 1. vertical 2. horizontal 3. inclined Methods of starting: 1. manual, crank, rope, and kick 2. electric (battery) 3. compressed air 4. using another engine Applications: 1. automotive 2. marine 3. industrial 4. stationary power 5. locomotive 6. aircraft Types of internal combustion engine: 1. Gasoline engine 2. Diesel engine 3. Kerosene engine 4. Gas engine 5. Oil-diesel engine Methods of ignition: 1. Spark 2. Heat of compression Reasons for supercharging: 1. to reduce the weight to power ratio 2. to compensate the power loss due to high altitude Types of superchargers:
  • 67.
    67 1. engine-drivencompressor 2. exhaust-driven compressor 3. separately-driven compressor Auxiliary systems of a diesel engine: 1. Fuel system a. fuel storage tank b. fuel filter c. transfer pump d. day tank e. fuel pump 2. Cooling system a. cooling water pump b. heat exchanger c. surge tank d. cooling tower e. raw water pump 3. Lubricating system: a. lub oil tank b. lub oil pump c. oil filter d. oil cooler e. lubricators 4. Intake and exhaust system a. air filter b. intake pipe c. exhaust pipe d. silencer 5. Starting system a. air compressor b. air storage tank Advantages of diesel engine over other internal combustion engines: 1. low fuel cost 2. high efficiency 3. needs no large water supply 4. no long warm-up period 5. simple plant layout Types of scavenging: 1. direct scavenging 2. loop scavenging 3. uniflow scavenging Color of the smoke: 1. efficient combustion - light brown baze 2. insufficient air - black smoke
  • 68.
    68 3. excessair - white smoke Causes of black smoke: 1. fuel valve open too long 2. too low compression pressure 3. carbon in exhaust pipe 4. overload on engine Causes of white smoke: 1. one or more cylinders not getting enough fuel 2. too low compression pressure 3. water inside the cylinder ENGINE PERFORMANCE 1. Heat supplied by fuel (Qs): Total heat supplied by fuel. Where: mF – fuel consumption in kg/hr HV – heating value of fuel in KJ/kg 2. Indicated Power (IP): Power developed within the working cylinders. Where: Pmi – indicated mean effective pressure in KPa L – length of stroke in meters D – diameter of bore in meters N – no. of RPM n’ – no. of cylinders Note: N = (RPM) for 2-stroke, single acting N = 2(RPM) for 2-stroke, double acting N = (RPM) for 4-stroke, single acting 2 N = (RPM) for 4-stroke, double acting hr KJ Qs m HV F  ( ) KW 4 60 P LD Nn IP 2 mi ( )  ' 
  • 69.
    69 3. Brakeor Shaft Power (BP): Power delivered by the engine to the shaft. Where: Pmb – brake mean effective pressure in KPa Note: N = (RPM) for 2-stroke, single acting N = 2(RPM) for 2-stroke, double acting N = (RPM) for 4-stroke, single acting 2 N = (RPM) for 4-stroke, double acting Brake Power in Terms of torque: Where: T – brake torque in Newton – meter (N-m) Note: N - RPM 4. Friction Power (FP): Power due to friction. 5. Brake Torque Where: P – Gross load on scales in Newton Tare – tare weight, N R – Length of brake arm in meters 6. Indicated Mean Effective Pressure (Pmi): Average pressure exerted by the working substance (air-fuel mixture) on the piston to produce the indicated power. Where: A’ – area of indicator card, cm2 S’ – spring scale in KPa/cm L’ – length of indicator card, cm KW 4 60 P LD Nn BP 2 mb ( )  '  KW 60 000 2 TN BP ,   FP  IP BP T  (P  Tare)R N-m KPa L A S Pmi ' ' ' 
  • 70.
    70 7. DisplacementVolume (VD): Note: N = (RPM) for 2-stroke, single acting N = 2(RPM) for 2-stroke, double acting N = (RPM) for 4-stroke, single acting 2 N = (RPM) for 4-stroke, double acting 8. Specific Fuel Consumption a. Indicated Specific Fuel consumption b. Brake Specific Fuel consumption c. Combined Specific Fuel Consumption 9. Heat Rate (HR): Heat rate is the amount of heat supplied divided by the KW produced. a. Indicated Heat Rate b. Brake Heat Rate sec m 4 60 LD Nn V sec m P BP V sec m P IP V 2 3 D 3 mb D 3 mi D ( )  '    KW-hr kg IP m m F Fi  KW-hr kg BP m m F Fb  GP - generator power in KW where KW-hr kg GP m m F Fc :  KW-hr KJ IP m HV IP Qs HRi F ( )   KW-hr KJ BP m HV BP Qs HRb F ( )  
  • 71.
    71 c. CombinedHeat Rate 10. Thermal Efficiency a. Indicated Thermal Efficiency (ei) b. Brake Thermal Efficiency c. Combined Thermal Efficiency 11. Mechanical Efficiency 12. Generator Efficiency 13. Generator Speed 14. Volumetric Efficiency KW-hr KJ GP m HV GP Qs HRc F ( )   x 100% Q 3600 IP e s i ( )  x 100% Q 3600 BP e s b ( )  x 100% Q 3600 GP e s C ( )  x 100% P P x 100% IP BP mi mb m m     x 100% BP GP g   n - no. of generator poles f - frequency in cps of Hertz where RPM n 120f N x 100% Displacement Volime Actual Volume of air entering v  
  • 72.
    72 15. CorrectionFactor for Non-Standard Condition a. Considering Temperature and Pressure Effect b. Considering Temperature Effect alone c. Considering Pressure Effect alone 16. Engine Heat Balance QS = Q1 + Q2 + Q3 + Q4 Q1 - heat converted to useful work Q2 - heat loss to cooling water Q3 - heat loss to exhaust gases Q4 - heat loss due to friction, radiation and unaccounted for Q1 = 3600(BP) KJ/hr Q2 = mwCpw(two - twi) KJ/hr Q3 = Qa + Qb KJ/hr Qa = mgCpg(tg - ta) KJ/hr Qb = mf(9H2)(2442.7) KJ/hr Q4 = QS - (Q1 + Q2 + Q3) KJ/hr H2 = 0.26 - 0.15S kgH/kgfuel Qs Engine Q4 Q3 Q2 Q1 s h h s h s T T B B P  P s h h s T T P  P h s h s B B P  P
  • 73.
    73 where: Qa- sensible heat of products of combustion Qb - heat required to evaporate and superheat moisture formed from the combustion of hydrogen in the fuel tg - temperature of flue gas, C ta - temperature of air, C H2 - amount of hydrogen in the fuel kg H/kg fuel Diesel Engine Maintenance OPERATING A DIESEL ENGINE Before starting: There are several steps to be taken before starting a diesel engine, especially he first time, and its good practice to work out a certain routine to be followed always: 1. All moving parts of the machine much be examined for proper adjustment, alignment, and lubrication. This includes values, cams, value gear, fuel pumps, the fuel injection, the governor lubricators, oil and water pumps, and the main driven machinery. 2. The whole engine and machinery must be examined for loose nuts, broken bolts, and loose connection. And leaky jackets, joint or values. It well to remember that nothing must be tight. 3. All tools from the tool board should be checked to make sure none is missing. They may be needed in a hurry when the engine is running or, is misplace and left on the engine, may drop off from vibration and damage some moving parts. 4. All pipes and values for fuel, lubricating oil, water and air, as well as ducts, must be check for clogging up, lack of adjustment, cleanliness, etc. Absence of foreign matter in the piping system must be checked especially carefully, if the engine has been idle for sometime or is just being put into service in the latter case it is advisable to blowout the entire piping system with compressed air. 5. A complete check up must be given to the lubricating system to make sure that oil is present in every placed required, that the lubricator and all bearings that are individually oiled have an ample supply of clean oil, that all grease cups are filled. The lubricator should check for proper functioning Be130140SAPI5.1315.141S    
  • 74.
    74 of thepumps and for the amount of oil delivery, and filled with oil to the proper level, the lubricator should be turned by hands and the points to which its delivers oils should be lubricated. Make sure that the engine well received proper lubrication the very moment its starts to run. 6. The cooling system must checked, and if the pumps are driven by the electronic motors, they must be started, the suction line opened to have water in the water engine before starting. The correct amount of water circulation should be adjusted later, while the engine is being warm up. If the engine has oil-cooled pistons with oil delivered by a especial pump, start the oil pump and adjust the pressure to the amount stated in the name plate or given in the engine. 7. The fuel-oil system must be checked in every respect, to make sure that pipes are clean, pumps are working, and a supply of fuel is in the tanks. The fuel-injection pumps should be primed and air or water removed from the discharge line, valves or nozzles. One or two strokes on the fuel- injection pump in usually sufficient care should be taken not to force too much fuel the combustion chamber or cylinder in order not to obtain and excessively high pressure with the first firing-causing the safety valves to pop and not to get the fuel oil into the crankcase. However, the fuel pumps must be primed sufficiently so that each discharge line in filled clear to the nozzles, the fuel controlled level is set wide open so that injection will start at once. The fuel pump control is put in the fuel on position. 8. The safety valve, usually installed on each cylinder head should be check. These valves are set to pop off about 750 to 1250 psi, depending upon the maximum pressure allowed in the engine. The values are exposed to high temperature gases and have a tendency to stick. The checking may be done either by compressing the spring with crowbar or by unscrewing the cap and taking the valve out of the inspections. 9.The engine should be turned over one or two times if it has not been operated for sometimes. To do this it is necessary to open the indicator cocks or compressor-relief valves and to turn the engine over, either by hands with a bar in the holes in the flywheel, or with a jack or air motor, as the case maybe. Then the indicator cocks should be close with the same in proper position for starting-one cylinder having the starting air valve open and the position about 100 past top center. 10. The air in the tanks must be checked to see that it is up to the required pressure. If, not it must be pumped up the starting air system from the tanks to the starting air control valve must be opened, either it has been checked that the main control valve is closed. With an air injection engine the bottle within injection air must be checked and if necessary pumped up o the required pressure. 11. The engine load should be off, the switch should be open if the engine drives a generator, or the
  • 75.
    75 clutch shouldbe in neutral position. If the drive is through the friction clutch. If the engine drives a pump or compressor, the by-pass should be open. STARTING: If all eleven points of the preparatory program have been observed starting with compressor air is very simple. First, the main starting – air valve is opened and the starting lever is manipulated according to the instructions given in the engine instruction book. Second, the engine is watched, no necessary air should be used. At the first indication of combustion, air should be cut off and the ventilating valve opened, an in good condition usually begin to between the second and fourth revolution of the crankshaft. Third, if the engine fills to start after four or five revolution, there is something wrong. Useless turning of the engine should be stopped, and the cost of trouble investigated. Low air pressure, if the starting air is too low either from a slow loss of air through some leaky joint or failure of the engine to start at the first attempt. And there is no air compressors to pump up air several methods maybe used for securing the necessary starting pressure that never should pure oxygen by used for starting purposes. Flasks of compressed air may be obtained and the contents equalized into the engine receivers, or a flack of carbon dioxide may be obtained from some local soda foundation and piped to the starting battles. This gas is liquid at ordinary temperatures and about 800-psi pressures. Therefore, it is necessary to apply some heat in order to evaporate this liquid carbon dioxide. This heat may be applied by pouring hot water over the battle or by applying rags soaked in hot water. WARM UP: After the engine is started, before putting on the load, its should be allowed to idle for a few minutes (up to five minutes) and to warm up. During this five minutes the following observations must be made. 1. Listen to find it out if combustion is regular and firing order and correct all. Cylinder for combustion and note the working of the fuel injection pump to see whether they all operate properly.
  • 76.
    76 2. Observethe cooling water system throughout to see whether the pumps are working. There is sufficient water, watch to see if the water temperature is building up properly, and regulate the water flow accordingly. 3. Observed lubrication pressure and the working of the lubrication and count the number of drops for correct operation. Feel whether any of the cylinders is warming up too fast – indicating an unlubricated piston and listen for unlubricated piston pin or crank pin bearing. If any moving parts receive an insufficient amount of lubricating oil, serious trouble may result. 4. Observe the exhaust, color and sound, to note proper condition. These observations should be repeated after the lead is put on. The color of the exhaust can tell many things. The making of these observations during the first five minutes after starting should be regular habit with the engine operator. This procedure is the best, the most reliable method of preventing improper operation. It is based upon the fact that a diesel engine requires neither much, but it requires proper attention at the proper time. It is also based on the known fact that a diesel engine should be operating properly in five minutes or there is something wrong which should be detected in these five minutes. However, it should be noted that certain observations should be carried on even after the 5-min. warming up period. Thus, if there are any leaky water jackets, injection valves, air valves, etc… they may not show up until full expansion of the corresponding part has taken place after the engine the has been in operation a longer time at normal load. No leaks of any kind should be allowed, if they cannot be stopped while the engine is running the engine should be stopped and not restarted until the trouble corrected. RUNNING In general the attention, which an operator must give to, the engine in regular operation is along the same lines as during the warm-up period. The differences is that the corresponding observations should be made periodically every 15 to 20 minutes and at least every half hour, even if the engine is equipped with-a sufficient number of automatic danger-warming signal ad seconds, that all observations must be entered in engine log. THE ENTRANCES IN A COMPLETE ENGINE LOG ARE THE FOLLOWING: 1. Time of entering the readings, or rather the first reading in each series. 2. Engine load, or in the case of electric loads, volts and amperes reading.
  • 77.
    77 3. Enginespeed from the tachometer or if the engine has an adding revolution counter, the counter reading, in this case it is essential to have in the engine room a large clock with a hand indicating seconds, to enable the operator to read the revolution counter at exact intervals. 4. Fuel consumption enter the instantaneous reading of s rotameter or the reading of a fuel meter in which case it is also important to make the reading at exact intervals. 5. Exhaust: a.) Reading of the temperature of exhaust from each cylinder; b.) Exhaust temperature in the exhaust line close to the exhaust manifold; c.) Color of exhaust either by simple description such as clear, little haze, light gray, gray, dark gray and very dark gray or better, by a number according to a standardized smoke scale, such as Ringleman’s scale. 6. Lubricating oil: a.) Pressure as discharged from the oil pressure pump. b.) Temperature of the oil before the oil cooler. c.) Temperature of the oil after the oil cooler. 7. Cooling water: a.) Temperature of the water delivered to the water-cooling manifold. b.) Temperature as discharge from each cylinder, or in the water outlet line. c.) Flow, gallon per minute, either from the rotameter or a water meter. 8. Scavenge air: a.) Temperature after blower b.) Pressure after blower, usually in inches of mercury. 9. Super charger conditions: a.) Temperature of air after booster pump. b.) Pressure of the air after booster pump, Psi or inches of mercury. 10. Barometric pressure, inches of mercury. 11. Temperature of the air intake, before the air filter. 12. Remarks about what happened at e certain moment during operation of the engine, such as, put second engine online or stopped it, found lubricating oil filter clogged by dirt as indicated by excessive pressure drop, switched to the second filter, or by-passed filter and exchanged filter element, etc. Between taking readings and entering them in the engine log, the operator should listen to find out if the engine is running uniformly, without unusual sounds or knocks. He should
  • 78.
    78 feel whetherthe bearing are running warmer than usual and particularly watch that the engine as a whole doest not become overloaded or some of the cylinders become overload. Because in the combustion in one or two cylinders doest not proceed correctly, as indicated by a considerable lower or higher temperature from that exhaust particular cylinders. Naturally, the operator must also see that the day fuel tank is not depleted and if the engine has hand lubricated places that they are oiled at regular intervals. Should be oiled every two hours the exhaust valve stems should receive a few drops of kerosene instead of oil every three or four hours in order to keep them in good working condition. The circular groove around the valves and the whole top of the cylinder head must be wiped clean at all times. Oil must be allowed to accumulate on the cylinder head and run down the side of the engine, as it could easily work into the joints between the cylinder and heads and decompose the rubber gaskets with form the water joint. If the flow of the cooling water or oil should stop for any reason, the engine or any of the cylinder will become overheat. The engine must be stopped at once and permitted to cool gradually. It is extremely dangerous to admit water to a hot engine as a sudden change in temperature nay cause the pistons or one of the cylinder heads, liners or the exhaust manifold to crack. The exhaust from the engine should be perfectly clean. However, if the engine is operating under an overload, the exhaust may become visible, with a light grayish smoke. If the engine is visible under over than overload conditions, the cause should be found immediately reminded. An engine under no condition is operated for any length of time with a visible smoky exhaust. If the pyrometer with thermocouples is installed on the engine cylinder that yields a smoky exhaust may be found by nothing the exhaust temperatures of the various cylinders. If abnormal condition exist in any of the cylinders, this condition will usually be accompanied by an increase in the temperature of the exhaust from the cylinders, do not get their share of fuel, and a result, the other cylinder are overloaded. If possible the engine should be stopped and the cause rounds and reminded. STOPPING THE ENGINE: To stop the engine, proceed as follows: move the fuel pump controls to stop position and shut the fuel supply valve.
  • 79.
    79 The coolingwater and piston cooling oil should be left running after the engine is shut down until the outlet temperature are not more than 5 to 10 of higher than the inlet temperature. This prevents local overheating which would cause scale deposits. The jackets, if hard water used ad the engine is supplied with direct connect pumps, it will be necessary to start the auxiliary pumps to cool the engine as indicated above. If the engine is to be shut down for a considerable length of time the water jackets must be completely drained so as to prevent rust and in cold weather also protect the jackets from bursting if the watering the engine room should freeze. Naturally, all drops oiliest must be stopped. All switches cut-out, and friction clutches put in neutral position.
  • 80.
    80 SCHEDULE OFDIESEL ENGINE INSPECTION AND MAINTENENCE Engine parts to be inspected Recommended Max. Time Operating Hrs. Months Engine cylinders or liner and pistons 6000 9 Air-intake valves 3000 6 Exhaust valves 1500 3 Starting air valves 4000 6 Safety or relief valves 100 1 Air compressor cylinder and pistons 3000 6 Compressor valves; suction and discharge 1500 2 Scavenge-pump cylinder & piston or rotor 3000 6 Scavenge-pump suction and discharge 3000 6 Scavenge port and automatic valves 3000 6 Exhaust –gas flow regulators 2000 6 Exhaust muffler and ducts 6000 12 Main bearing and journals 6000 12 Outboard bearing 6000 12 Thrust bearing 6000 12 Crankpins and bearing 3000 6 Piston rings or crosshead pin & bearing 6000 12 Crosshead guides and shoes 6000 12 Compressor piston pin and bearing 3000 6 Vertical shaft bearing 4000 6 Camshaft bearing 4000 6 Camshaft drive 2000 2 Fuel pumps 4000 8 Fuel pumps drive 2000 3 Fuel nozzles or valves & fuel timing 500 1 Governor links, bearings, springs 4000 6 Governor drives 4000 6 Water or oil cooled pistons: pickling 3000 6 Bearing, ball and hinges joints 3000 6 Scale and sediment deposits 3000 6 Cylinder head and jackets 1000 2 Cooling passages in pistons 2000 4 Compressor head and jackets 3000 6
  • 81.
    81 SCHEDULE OFENGINE – EQUIPMENT INSPECTION Equipment to be inspected and serviced Recommended Max. Time Between inspection Operating Hrs Months Fuel system Filters and strainers 200 1 Fuel booster and transfer pumps 2000 4 Auxiliary storage tanks 1000 3 Supply lines 1000 3 Heaters for heavy fuel oil lubricating system 3000 6 Lubricating-oil pumps, complete 3000 6 Lubricating pump drive 3000 6 Oil supply lines 1000 2 Oil strainers and filters 200 1 Oil tanks 2000 4 Oil coolers, tightness and scale deposit 3000 6 Pressure feed lubricants and check valves 3000 6 Crankcase sediment and surface 2000 4 Air intake system Air filters 3000 1 Air suction ducts 2000 3 Air intake silencers 2000 3 Air coolers 3000 4 Exhaust mufflers, sediment and tightness 2000 4 Pressure gauge-check with standard gauges Lubricating oil 3000 6 Cooling water 3000 6 Compressed air 3000 6 Exhaust gas pyrometer, check with standard Pyrometer lead wires, check insulation 3000 6 Pressure-relief valve Fuel oil 3000 6 Lubricating oil 3000 6 Compressed air 3000 6 Cooling water 3000 6
  • 82.
    82 MAINTENANCE SCHEDULEOF COOLING FUEL AND AIR EQUIPMENT Equipment to be inspected and serviced Months between inspection Cooling tower Clean, adjust and level troughs 2 Clean distribution rocks 1 Clean and inspect screen 1 Drain and clean basin 6 Copper sulfate treatment for algae 6 Spray pond, clean and adjust spray nozzles 1 Jacket-water heat exchangers Rescale and clean tubes 3 Inspect for leaks and seal them 3 Water wells Check state levels 6 Check dumping level 6 Check flow 6 Water pumps Check suction pressure with gauge 6 Check discharge pressure with gauge 6 Check delivery 6 Check power input to each pump 3 Check speed of pump 3 Pull and inspect pumps for wear 6 Check thrust bearings and clearance 6 Drain and renew bearing oil 4 Water piping Inspect for leaks 3 Clean and paint exposed pipes 12 Fuel oil storage tanks Drain off water 6 Inspect for leaks 6 Drain off and clean out 12 Clean and paint outside 12 Fuel-oil pumping Inspect for leaks 6 Clean and paint exposed pipes 12 Air compressor Drain and renew oil 3 Inspect valves and bearings 3 General overhaul 12 Air storage tanks Drain off water and oil 2 Hydrostatic safety test 12 Check pressure gauge 12
  • 83.
    83 Hydroelectric PowerPlant In the generation of hydroelectric power, water is collected or stored at a higher elevation and led downward through large pipes or tunnels (penstocks) to a lower elevation; the difference in these two elevations is known as the head. At the end of its passage down the pipes, the falling water causes turbines to rotate. The turbines in turn drive generators, which convert the turbines' mechanical energy into electricity. Transformers are then used to convert the alternating voltage suitable for the generators to a higher voltage suitable for long-distance transmission. The structure that houses the turbines and generators, and into which the pipes or penstocks feed, is called the powerhouse. Hydroelectric power plants are usually located in dams that impound rivers, thereby raising the level of the water behind the dam and creating as high a head as is feasible. The potential power that can be derived from a volume of water is directly proportional to the working head, so that a high-head installation requires a smaller volume of water than a low-head installation to produce an equal amount of power. In some dams, the powerhouse is constructed on one flank of the dam, part of the dam being used as a spillway over which excess water is discharged in times of flood. Where the river flows in a narrow steep gorge, the powerhouse may be located within the dam itself.
  • 84.
    84 TERMS ANDDEFINITION Reservoir - stores the water coming from the upper river or waterfalls. Headwater - the water in the reservoir or upper pool. Spillway - a weir in the reservoir which discharges excess water so that the head of the plant will bemaintained. Dam - the concrete structure that encloses the reservoir to impound water. Silt Sluice - a chamber which collects the mud and through which the mud is discharged. Trash Rack - a screen which prevents the leaves, branches and other water contaminants to enter into the penstock. Valve - opens or closes the entrance of the water into the penstock. Surge Chamber - a standpipe connected to the atmosphere and attached to the penstock so that the water will be at atmospheric pressure. Penstock - a channel or a large pipe that conducts the water from the reservoir to the turbine. Turbine - a device or a machine that converts the energy of the water to mechanical energy. Generator - a device or a machine that converts mechanical energy of the turbine into electrical energy. Draft Tube - a pipe that conducts the water from the turbine to the tailrace so that the turbine can be set above the tail water level. Tailrace - is the canal that is used to carry the water away from the plant. Undershot wheel - water enters at the bottom of the wheel tangential to its periphery and impinges on the buckets or vanes. Breast shot wheel - a wheel used for heads up to 16 ft, where water enters between the bottom and top of the wheel at an angle and is prevented from leaving the wheel by a breast wall on the side of the wheel. Over shot wheel - a wheel used for high heads, where water enters the wheel at the top by being discharged from a flume. Gross head - is the difference between the headwater and tail water elevation. Spiral case - it conducts the water around a reaction type turbine. A. IMPULSE TYPE (Pelton type) headwater Dam or Reservoir Penstock Y - Gross head Turbine t a i l w a t e r L h  Y  H
  • 85.
    85 2 B 2 B B L D 4 A A Q V Z 2g P V h h Y H          B. REACTION TYPE (Francis Type) D - penstock diameter, m Y - Gross head, m VB - velocity at inlet, m/sec A - area of penstock, m2 HL - head loss, m ZB - turbine setting above tailwater level, m
  • 86.
    86 2 B 2 B B L D 4 A A Q V Z 2g P V h h Y H          2 D 4 π A  KW 60,000 2 TN BP   PUMP STORAGE HYDRO-ELECTRIC PLANT FUNDAMENTAL EQUATIONS 1. Total dynamic head or Net effective head a. For an Impulse type h = Y - HL Y - Gross head at plant Gross head - difference in elevation between head water level and tail water level. b. For a Reaction type where: PB - pressure at turbine inlet in KPa VB - velocity of water at penstock, m/sec 2. Discharge or Rate of Flow (Q) Q = AV m3/sec where: D - diameter of penstock 3. Water Power (WP) WP = Qh KW 4. Brake Power (BP) where: T - brake torque N-m N - no. of RPM 5. Head loss
  • 87.
    87 meters 2gD fLV H 2 L    RPM 3.813 h N BP Ns 4 5  meters N 60 2gh D    f - Moody friction factor L - length of penstock 6. Turbine Efficiency (e) e = ehemev e = BP x 100% WP where: eh - hydraulic efficiency em - mechanical efficiency ev - volumetric efficiency 7. Generator Efficiency (g) g = GP x 100% BP where: GP - electrical output of the generator, KW 8. Rotative Speed (N) N = 120f RPM n where: n - number of generator poles(usually divisible by 4) 9. Turbine Specific Speed 10. Wheel Diameter EXAMPLE: A Francis turbine is installed with a vertical draft tube. The pressure gauge located at the penstock leading to the turbine casing reads 372.6 KPa and velocity of water at inlet is 6 m/sec. The discharge is 2.5 m3/sec. The hydraulic efficiency is 85%, and the overall efficiency is 82%. The top of the draft tube is 1.5 m below the centerline of the spiral casing, while the tailrace level is 2.5 m from the top of the draft tube. There is no velocity of whirl at the top or bottom of the draft tube and leakage losses are negligible. Calculate, a) the net effective head in meters b) the brake power in KW c) the plant output for a generator efficiency of 92%.
  • 88.
    88 d) themechanical efficiency Given: PB = 372.6 KPa vB = 6 m/sec Q = 2.5 m3/sec eh = 855 e = 82% ZB = 1.5 + 2.5 = 4 m 2. A pelton type turbine was installed 30 m below the head gate of the penstock. The head loss due to friction is 15% of the given elevation. The length of the penstock is 80 m and the coefficient of friction is 0.00093. Determine a) the diameter of the penstock in mm. (421.6 mm) b) the power output in KW (781.234 KW) GAS TURBINE POWER PLANT Basic components  Compressor  Combustor  Gas turbine Ideal Cycle: Brayton Cycle Processes 1 to 2 – Compression (S = C) 2 to 3 – Heat addition (P = C) 3 to 4 – Expansion (S = C) 4 to 1 – Heat Rejection (P = C) %e))((.e. eeeeKW .881(0.92)Output GeneratorKW 0.82(1075)BPKW ).)(.(.hQPowerm . ).( )( . . hZgvPhmmvhmBBB96185582058108811075843819528434819268196372222          
  • 89.
    89 Air Compressor Gas Turbine Combustor HEAT ADDED TURBINE WORK Compressor Work Schematic diagram of a Simple Open Gas turbine cycle Closed Cycle Gas Turbine Cycle Air Compressor Gas Turbine Heater HEAT ADDED (QA) TURBINE WORK (Wt) Compressor Work (Wc) Cooler HEAT REJECTED (QR) 1 2 3 4
  • 90.
    90 4 3 1 2 P P P P rP   The Air Standard Brayton Cycle Compressor work (work done on the system, S = C) Q = h + KE + PE + W KE & PE are negligible Q = 0 (for isentropic) -W = h = Wc WC = m(h2 – h1) = mCp(T2 – T1)  1 Turbine Work (work done by the system, s = C)) +W = -h = Wt Wt = -m(h4 – h3) Wt = mCp(T3 – T4)  2 Pressure Ratio  3 From isentropic, P & T relationship  4 Heat added (P = C) QA = mCp(T3 – T2)  5 Heat rejected QR = mCp(T4 – T1)  6 P V T S 1 S = C 2 3 4 S = C 1 2 3 4 P = C P = C QA QR 4 3 1 2 T T T T 
  • 91.
    91 Net cyclework W = QA – QR  7 W = mCp[(T3 – T2) – (T4 – T1)]  8 Thermal Efficiency Compressor Efficiency Turbine Efficiency Combustor Efficiency x 100% 11 T - T T - T e 1- x 100% 10 Q Q -Q e x 100% 9 Q W e 3 2 4 1 A A R A           x 100 % Actual compressor Work Ideal Compressor Work C   x 100 % Ideal Turbine Work Actual Turbine Work T   x 100 % Heat Supplied by Fuel Heat Absorbed by air k 
  • 92.
    92 Example: Asmall open cycle gas turbine power plant produces a net power output of 600 KW while operating under the following conditions; the inlet air pressure and temperature 100 KPa and 300 K, respectively; the pressure ratio is 10. The combustor uses C12H26 and has an air-fuel ratio of 67 kg of air per kg fuel. The fuel HV = 44,102 KJ/kg; the combustion products leaves the combustor and enters the turbine with h = 1241.3 KJ/kg and exit the turbine with h = 662.5 KJ/kg. Calculate: a. The air flow rate b. The compressor power in KW c. The turbine power in KW d. The thermal efficiency of the plant Air Compressor Gas Turbine Combustor QA WT Wc ma ma mg mg 1 2 3 4
  • 93.
    93  KW.).(.,WKW ..03)18,780.1(0Wkg/sec .67(0.03)m45.3% 100% x 1323.06600eKW .2)0.03(44,10Qkg/hr kg/sec .mm., m.,m., WWW6 m.,W662.5)-(1241.368m)h-(hmWturbine gas the in balance energy By5 (44,102)m(HV)mQ4 m.,67(280.3)mWc3 68mm67mm2 mmmmmmm1 m.))(.(mWcKTPPTT)TT(Cm)hh(mWctcaAFFFFctFtF43gtFFAFFFFFgFaFaFagaa. . kkpaa811800304358394563012061323108030357620600178018435839600435839178018676732803005790045157910300411412112121212                             
  • 94.
    94 WIND POWER Wind Energy, energy contained in the force of the winds blowing across the earth’s surface. When harnessed, wind energy can be converted into mechanical energy for performing work such as pumping water, grinding grain, and milling lumber. By connecting a spinning rotor (an assembly of blades attached to a hub) to an electric generator, modern wind turbines convert wind energy, which turns the rotor, into electrical energy. Total Power The total power of a wind stream is equal to the rate of the incoming kinetic energy of that air stream, KEi, KW 3 2(1000) v P A KW 2 2(1000) v P Av m Av From continuity equation KW 1 2(1000) v P m 3 i Tot 2 i Tot i i 2 i Tot          
  • 95.
    95 Where: Ptotal= total power , KW m – mass flow rate in kg/sec vi – incoming velocity, m/sec  - incoming density, kg/m3 A – cross sectional area of air stream, m2 Maximum Power From First Law         7 4(1000) (v v )(v v ) P A 2(1000) v v 2 v v P A 6 2 v v v but 5 2(1000) v v P Av m Av From continuity equation 4 2(1000) v v P m P 2(1000) v v W - KE m W Maximum power developed by the wind turbine Q h KE PE W 2 e 2 i e i Max 2 e 2 i e i Max i e 2 e 2 i Max 2 e 2 i Max Max 2 i 2 e                                        Where: ve- exit velocity of stream, m/sec
  • 96.
    96 Maximum Efficiency(Ideal theoretical Efficiency)           x 100% 9 2v v v v v 2v v v v v v v v v 2(1000) v A 2(1000) v v Av x100% 8 P P 3 i 2 e 2 i e i 3 i 2 e 2 i e i 3 i 2 e 2 i 3 i 2 e 2 i Tot Max                  
  • 97.
    97 D diameterof turbine wheel, meters D 15 4 A 14 2 v v v 13 1000 Av(v v ) F 1000 m(v v ) 1000 m v F A 12 2(1000) v v F F (P P )A F PA (P P )A The axial force F on the turbine KPa 11 2(1000) v v P P 1000 g but 10 2g v v P P 2g v 2g P P v 2g P v 2g P v H 0 ; Z Z Z H 2g P v Z 2g P v From Bernoulli's energy principle 2 i e i e x i e x 2 e 2 i x x e i x e i x 2 e 2 i e i 2 e 2 i e i 2 e 2 e i i 2 e e 2 i i L i e e L 2 e e i 2 i i                                                                                 
  • 98.
    98 Note: Designshows that wind turbine is capable of converting no more than 60% of total power of a wind to useful power. At maximum efficiency 18 2000 15 Dv F 8000N 60 Dv (N) 2(1000) v D 4 1 60 ( DN) 2(1000) v D 4 60 F 2(1000) v D 2(1000) 4 v P P A 17 ( DN) 60P F KW 16 60 ( DN) P F Power force x velocity Circumferential Force on Wind Turbine (F ) v 15 3 1 v 3 i c 3 i 3 i 3 2 i c 3 2 i 3 i Max Tot Max c Max c C e i                                        Example: A 10 m/sec wind is at 1 Atm pressure and 15C temperature. Calculate a. The total power density in the wind stream b. The maximum obtainable power density c. A reasonably obtainable power density, all jn W/m2 d. The total power in KW produced if the turbine diameter is 120 m e. The Fc and Fx if the turbine were operating at 40 rpm and maximum efficiency 3 m kg 1.226 0.287(15 273) 101.325 RT P     