R.M.K COLLEGE OF ENGG AND TECH / AQ / R2013/ ME6503 / V / MECH / JUNE 2016 – NOV 2016
ME6503 – DESIGN OF MACHINE ELEMENTS QUESTION BANK by ASHOK KUMAR.R (AP / Mech) 26
UNIT – II – SHAFTS AND COUPLINGS
Part – A
2.1) What is meant by a shaft?
2.2) What are the types of the shaft?
2.3) Distinguish between shaft, axle and spindle from the design point of view.
2.4) What are the materials used in shafts? [AU, Nov / Dec – 2015]
2.5) How are shafts formed?
2.6) State any four reasons for preferring hollow shaft over solid shaft.
2.7) What is meant by Jack shaft? [AU, April / May – 2010]
2.8) What are the factors to be considered for the selection of shaft materials?
2.9) What is meant by design of a shaft based on rigidity? [AU, Nov / Dec – 2015]
2.10) What are the types of stresses induced in shafts? [AU, Nov / Dec –2011]
2.11) Name the stresses induced in the shaft. [AU, April / May – 2011]
2.12) What are the various stresses induced in the shafts? [AU, May / Jun – 2014]
2.13) What are the various stresses induced in the shafts? [AU, May / Jun – 2014]
2.14) Why is maximum shear stress theory is been used for shaft?
[AU, Nov / Dec - 2009]
2.15) What is the significance of slenderness ratio in shaft design?
[AU, Nov / Dec - 2008]
2.16) Why a hollow shaft has greater strength and stiffness than solid shaft of equal
weight? [AU, April / May – 2011, Nov / Dec –2012, May / Jun – 2016]
2.17) What do you mean by stiffness and rigidity with reference to shafts?
[AU, Nov / Dec - 2010]
2.18) Why is maximum shear stress used for shaft? [AU, Nov / Dec - 2009]
2.19) Define variable load? [AU, April / May – 2010]
2.20) What are the theories of failure used in design of shafts? [AU, Nov / Dec –2012]
2.21) Suggest suitable couplings for
(a) Shaft with parallel misalignment
(b) Shafts with angular misalignment of 10°
(c) Shafts in perfect alignment [AU, Nov / Dec - 2010]
R.M.K COLLEGE OF ENGG AND TECH / AQ / R2013/ ME6503 / V / MECH / JUNE 2016 – NOV 2016
ME6503 – DESIGN OF MACHINE ELEMENTS QUESTION BANK by ASHOK KUMAR.R (AP / Mech) 27
2.22) Explain the significance of slenderness ratio in shaft design.
2.23) What is meant by critical speed?
2.24) What is meant by critical speed of shaft? [AU, April / May – 2010]
2.25) What is the effect of key ways cut into the shaft? [AU, May / Jun – 2016]
2.26) How the length and diameter of a shaft affects its critical speed?
[AU, Apr / May – 2015]
2.27) What is meant by equivalent bending moment [AU, May / Jun - 2012]
2.28) Sketch the cross section of a splined shaft. [AU, May / Jun - 2012]
2.29) A shaft is used to transmit 25 KW at 1500 rpm. The material used is 30 C8 steel.
σy = 300 MPa. Find the diameter of the shaft.
2.30) A shaft of 70mm long is subjected to shear stress of 40 MPa and has an angle of
twist equal to 0.017 radian. Determine the diameter of the shaft. Take G=80 GPa.
[AU, Nov / Dec –2013]
2.31) The shaft of diameter 60 mm is subjected to shear stress of 40 MPa and has an
angle of twist equal to 0.01 radian. Determine the length of the shaft for G = 8 *
105
MPa.
2.32) A hollow steel shaft 3 m long transmits 25 KNm torque. The total angle of twist
not exceeding 2° and permissible shear stress is equal to 60 MPa. Find the inner and
outer diameter of the shaft G = 0.8 * 105
MPa.
2.33) Shaft A has diameter which is double the diameter of shaft B of same material
and transmit 80 kW if both shafts rotate at same speed, what is the power
transmitted by shaft B [AU, Nov / Dec –2014]
2.34) What is a key? Where is it used? On what basis is it selected?
2.35) What is key? State its functions. [AU, Nov / Dec –2011]
2.36) What is the function of key? [AU, April / May – 2011]
2.37) What is the function of keys? List types of keys [AU, Nov / Dec –2012]
2.38) How are keys classified?
2.39) Discuss forces on keys. [AU, Nov / Dec –2014]
2.40) For any sunk key, the crushing strength should be at least twice the shear strength.
Prove it.
2.41) What is the main use of woodruff keys? [AU, May / Jun, Nov / Dec –2013]
2.42) What are the advantages of Woodruff keys when compared to others?
R.M.K COLLEGE OF ENGG AND TECH / AQ / R2013/ ME6503 / V / MECH / JUNE 2016 – NOV 2016
ME6503 – DESIGN OF MACHINE ELEMENTS QUESTION BANK by ASHOK KUMAR.R (AP / Mech) 28
2.43) In what ways are splines superior to keys?
2.44) Differentiate between keys and splines.
[AU, May / June – 2009, 2012, Nov / Dec –2011]
2.45) What is coupling? [AU, May / June - 2009]
2.46) What are the different types of rigid couplings? [AU, April / May – 2011]
2.47) Name any two of the rigid coupling. [AU, May / Jun – 2014]
2.48) In what situation is flexible coupling is used? [AU, Nov / Dec – 2008, 2009, 2015]
2.49) Under what circumstances flexible couplings are used?
[AU, Nov / Dec –2012, May / Jun – 2016]
2.50) Differentiate between rigid coupling and flexible coupling.
[AU, May / Jun – 2016]
2.51) Where are spline couplings used?
2.52) Explain the modes of failure of keys.
2.53) What are the forces acting on keys when used for transmitting torque?
2.54) How is the strength of a shaft affected by the keyway?
2.55) State the applications of shaft coupling.
2.56) Name the various types of shaft couplings.
2.57) In which situations, flexible couplings are selected? [AU, Nov / Dec – 2009]
2.58) Name any two of the rigid and flexible couplings. [AU, May / Jun - 2013]
2.59) What are the possible modes of failure of the pin (bolt) in a flexible coupling?
[AU, Nov / Dec – 2015]
2.60) What is the use of register in a flange coupling?
2.61) Explain the advantage of split muff coupling over solid muff coupling.
2.62) Explain the failure modes of couplings.
Part – B
2.63) Find the diameter of solid shaft to transmit 20kW at 200rpm. Take FOS 2 and the
shear stresses as 45MPa. If the hollow shaft is need instead of solid shaft. Find the
inside and outside diameter when the ratio between inside and outside diameter is
0.5.
2.64) Compare the weight, strength and stiffness of a hollow shaft of same internal
diameter as that of a solid shaft. The inside diameter of the hollow shaft is being
R.M.K COLLEGE OF ENGG AND TECH / AQ / R2013/ ME6503 / V / MECH / JUNE 2016 – NOV 2016
ME6503 – DESIGN OF MACHINE ELEMENTS QUESTION BANK by ASHOK KUMAR.R (AP / Mech) 29
0.7times the external diameter. Both the shaft has same material and length.
[AU, May / Jun - 2012]
2.65) A solid shaft is to transmit 1000 kW at 120 rpm. Find the shaft diameter if the
shear stress is 80 N/mm2
. If the shaft is made hollow with internal diameter, find the
percentage saving in material, Take I.D = 0.6. [AU, Nov / Dec – 2015]
2.66) A hollow steel shaft transmits 500 KW at 1000 rpm. The maximum shear stress
is 50 N/mm2. Find the outside and inside diameter of the shaft, if the outside
diameter is twice the inside diameter, assuming that the maximum torque is 20 %
greater than the mean torque.
2.67) A solid shaft of diameter d is used in power transmission. Due to modification of
existing transmission system, it is required to replace the solid shaft by a hollow shaft
of the same material and equally strong in torsion. Further, the weight of hollow shaft
per meter length should be half of the solid shaft. Determine the outer diameter of
hollow shaft in terms of d. [AU, Nov / Dec - 2009]
2.68) A solid circular shaft is subjected to a bending moment of 3000 N-m and a torque
of 10000 N-m. The shaft is made of 45C8 steel having ultimate tensile stress of 700
MPa and a ultimate shear stress of 500 MPa. Assuming a factor of safety as 6,
determine the diameter of the shaft. [AU, May / June - 2009]
2.69) A shaft of 30 KW, 710 rpm motor is 40 mm in diameter and is supported I n
bearings 500 mm apart. Calculate the
(i)Stress due to bending if the armature weighing 10,000 N concentrated at
the Centre acting vertically.
(ii) Stress due to torsion.
(iii)Equivalent shear stress and tensile stress due to bending moment and
torque.
2.70) A line shaft rotating at 200 rpm is to transmit 20 KW power. The allowable shear
stress for the shaft material is 42 N/mm2
. If the shaft carries a central load of 900 N
and is simply supported between bearings 3 m apart, determine the diameter of the
R.M.K COLLEGE OF ENGG AND TECH / AQ / R2013/ ME6503 / V / MECH / JUNE 2016 – NOV 2016
ME6503 – DESIGN OF MACHINE ELEMENTS QUESTION BANK by ASHOK KUMAR.R (AP / Mech) 30
shaft. The maximum tensile or compressive stress is not to exceed 56 N/mm2
.
[AU, April / May – 2009]
2.71) The shaft of an axial flow rotary air compressor is subjected to a maximum torque
of 2kNm an maximum bending moment of 4kNm. The combined shear and fatigue
factors in torsion and bending may be taken as 1.5 and 2.0 respectively. Determine
the diameter of the shaft, the shear stress in shaft should not exceed 5.0MN/m2
[AU, Nov / Dec - 2008]
2.72) A shaft is to transmit 20KW at 250 rpm. It is supported on two bearings 750mm
apart and has two gears keyed to it. The pinion having 24 teeth of 6mm module is
located at 100mm to the left of the right hand bearing and delivers the power
horizontally to the right. The gear having 80 teeth, 6mm module is located at 150mm
to the right of left - hand bearing and receives power in a vertical direction from
below. Selecting suitable material, determine the required shaft size for a factor of
safety of 2.
2.73) A shaft is supported at its ends with ball bearing carries a straight tooth spur gear
at the mid span of the shaft and transmits 7.5kW at 300rpm. The pitch circle diameter
of the gear is 150mm. The distance between the centerline of bearing and gear is
100mm. If the shaft is made up of steel with allowable shear stress as 45MPa.
Determine the diameter of shaft take the pressure angle of the gear is 20º.
2.74) A steel shaft transmitting 12 KW at 250 rpm is supported on two bearings 700mm
apart and has keyed to it two gears. A - 20 teeth, 8 module gear is located at 120 mm
to the left of the right hand bearing and delivers power to a gear directly below the
shafts. A - 80 teeth, 16 module gear is located at 150 mm to the right of the left -
hand bearing and receives power from a gear directly above it. Sketch the bending
moment diagrams and determine the diameter of the shaft.
2.75) A line shaft is driven by a means of motor placed vertically below it. The pulley
on the line shaft with a diameter of 1.5m and has belt tension of 5.4kN and 1.8kN on
R.M.K COLLEGE OF ENGG AND TECH / AQ / R2013/ ME6503 / V / MECH / JUNE 2016 – NOV 2016
ME6503 – DESIGN OF MACHINE ELEMENTS QUESTION BANK by ASHOK KUMAR.R (AP / Mech) 31
the tight side and slack side of the belt. Both the tension may be assumed vertically.
If the pulley overhangs from the shaft at a distance of 40mm from the line bearing.
Find the diameter of shaft. Take shear stress as 42MPa.
2.76) Power is transmitted to a shaft supported on bearings, 900 mm apart, by a belt
drive, running on a 450 mm pulley, which overhangs the right bearing by 200 mm.
Power is transmitted from the shaft through a belt drive, running on a 250 mm pulley,
located mid - way between the bearings. The belt drives are at right angle to each
other and the ratio of the belt tensions is 3; with the maximum tension in both the
belts being limited to 2 KN. Determine the diameter of the shaft, assuming
permissible tensile and shear stresses are 100 MPa and 60 MPa respectively.
[AU, Nov / Dec – 2004, 2005]
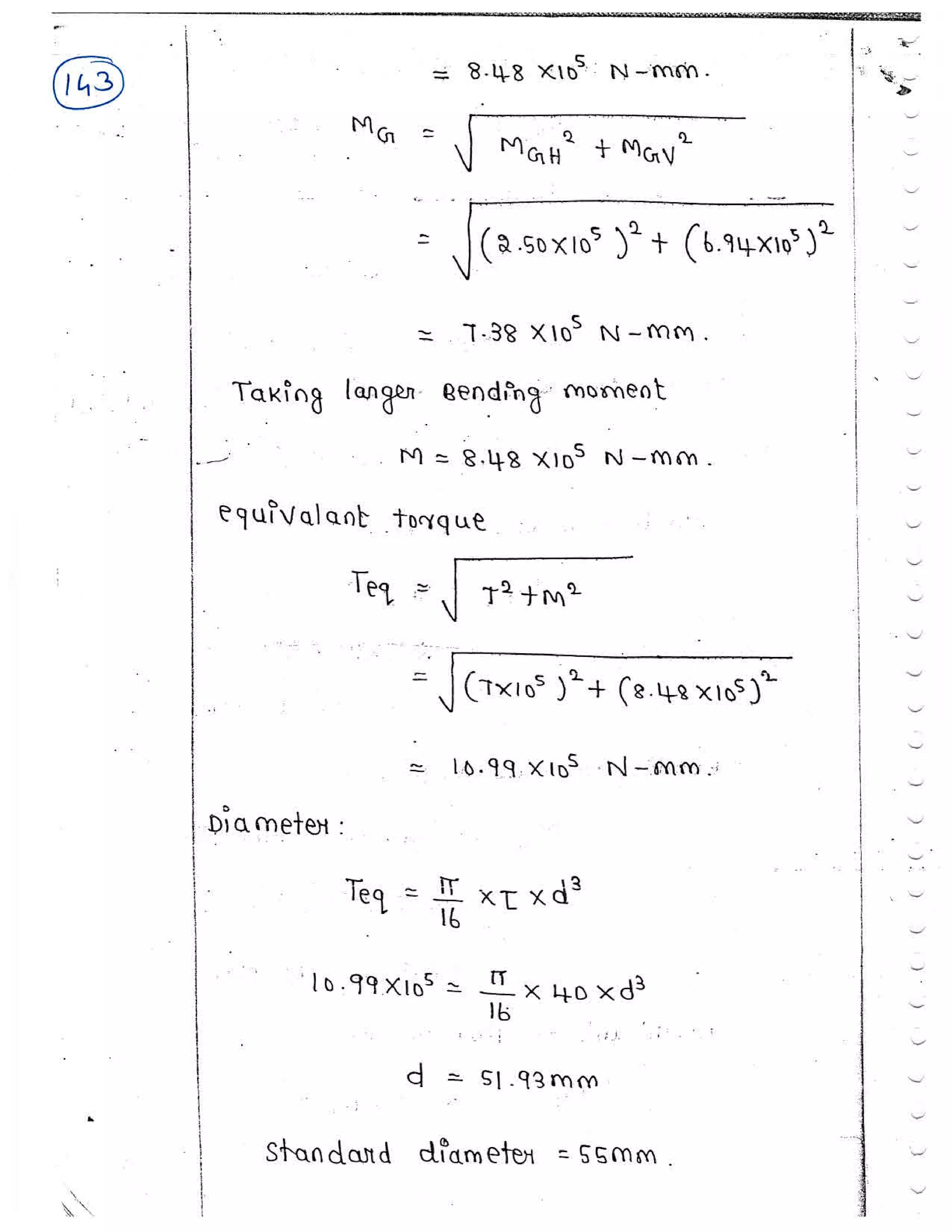
2.77) A shaft is to transmit 50 KW at 1200 rpm. It is also subjected to a bending moment
of 275 Nm. Allowable shear stress is 60 N/mm2
. The shaft is not to twist more than
20
in a length of 2m. G =80 * 103
N/mm2
. Design the shaft.
[AU, Nov / Dec – 2004, 2005]
2.78) A turbine shaft transmits 500 kW at 900 rpm. The permissible shear stress is 80
N/mm2
while twist is limited to 0.50
in a length of 2.5 m. Calculate the diameter of
the shaft. Take G = 0.8 x 105
N/mm2
. If the shaft chosen is hollow with di/d0 = 0.6,
calculate the percentage of saving in material. [AU, May / June – 2007]
2.79) A C45 steel shaft transmits 10 KW at 750 rpm. It is supported on two bearings
800 mm apart and has two gears keyed onto it. The pinion having 30 teeth of 5 mm
module is located 120 mm to the left of the right hand bearing and delivers power
horizontally to the right. The gear having 100 teeth of 5 mm module is located 150
mm to the right of the left hand bearing and receives power from below (CCW
viewed from the left to the end). Determine the diameter of the shaft.
[AU, Nov / Dec – 2001]
2.80) A horizontal nickel steel shaft rest on two bearings, A at the left and B at the right
end and carries two gears C and D located at the distance of 250mm and 400mm
respectively from the centre line of the left end and right bearings. The pitch diameter
of the gear C is 600mm and the gear D is 200mm. The distance between the center
line of the bearings is 2400mm. The shaft transmits 20kW at 120rpm. The power
delivered to the shaft at gear C and taken out at gear D in such a manner that the
R.M.K COLLEGE OF ENGG AND TECH / AQ / R2013/ ME6503 / V / MECH / JUNE 2016 – NOV 2016
ME6503 – DESIGN OF MACHINE ELEMENTS QUESTION BANK by ASHOK KUMAR.R (AP / Mech) 32
tooth pressure FtC of the gear C and FtD act vertically downwards. Find the diameter
of the shaft, if the working stress is100MPa in tension and 56MPa in shear. The gear
C and D weighs 950N and 350N respectively. The combined shock and fatigue
factors for bending and torsion may be taken as 1.5 and 1.2 respectively.
[AU, Nov / Dec – 2012, May / Jun – 2016]
2.81) A transmission shaft is supported on two bearings which are 1m apart. Power is
supplied to the shaft by means of a flexible coupling, which is located to the left of
left hand bearing. Power is transmitted from the shaft by means of a belt pulley, 250
mm diameter, which is located at a distance of 300 mm from the left hand bearing.
The mass of the pulley is 20 kg and the ratio of belt tension on tight and slack sides
is 2:1. The belt tensions act vertically downward. The shaft is made of steel with
yield stress 300N/mm2
and the factor of safety is 3. Determine the shaft diameter, if
it transmits 10 kW power at 360 rpm from the coupling to the pulley
[AU, Nov / Dec – 2010]
2.82) A shaft supported at the ends in ball bearing carries a straight tooth spur gear at
its mid – span and is to transmit 7.5 KW at 300 rpm. The pitch circle diameter of the
gear is 150 mm. The distance between the center line of the bearing and gear are 100
mm each. If the shaft is made of steel and the allowable shear stress is 45 MPa,
determine the diameter. The pressure angle of the gear is 200
.
2.83) A shaft is supported by two bearings placed 1 m apart. A 600 mm diameter pulley
is mounted at a distance of 300 mm to the right of the left hand bearing and this drives
a pulley directly below it with the help of a belt having a maximum tension of 2.25
KN. Another pulley of 400 mm diameter is placed 200 mm to the left of the right
hand bearing and is driven with the help of an electric motor and belt, which is placed
horizontally to the right. The angle of contact for both the pulley is 1800
and =
0.24. Determine the suitable diameter for solid shaft; assume the working stress of
63 MPa in tension and 42 MPa in shear. Assume that the torque on one pulley is
equal to the other pulley. [AU, April / May – 2010, Nov / Dec – 2012]
2.84) A mild steel shaft rotating at 720 rpm is supported between two bearings 80 cm
apart. It carries two pulleys A and B at a distance of 30 cm and 60 cm respectively
from the left bearing. 10 KW of power is fed into the pulley A with a diameter of 30
mm by vertical belt drives having the same ratio of driving tensions, which was
R.M.K COLLEGE OF ENGG AND TECH / AQ / R2013/ ME6503 / V / MECH / JUNE 2016 – NOV 2016
ME6503 – DESIGN OF MACHINE ELEMENTS QUESTION BANK by ASHOK KUMAR.R (AP / Mech) 33
observed to be 2.5. Take t = 75 N/mm2
 = 45 N/mm2
. Design the diameter of the
shaft.
2.85) A steel solid shaft transmitting 15 KW at 200 rpm is supported on two bearings
750 mm apart. The pinion having 30 teeth of 5 mm module is located 100 mm to the
left of the right hand bearing and delivers power horizontally to the right. The gear
having 100 teeth of 5 mm module is located 150 mm to the right of the left hand
bearing and receives power in the vertical direction. Take  = 54 N/mm2
. Design the
diameter of the shaft. [AU, May / Jun – 2013, 2014]
2.86) A mild steel shaft transmits 20 KW at 200 rpm. It carries a central load of 900 N
and is simply supported between the bearings 2.5 m apart. Determine the size of the
shaft, if the allowable  = 42 MPa and the maximum tensile or compressive stress is
not to exceed 56 MPa. What size of the shaft will be required if it is subjected to a
gradually applied load? [AU, Nov / Dec - 2007]
2.87) A mild steel shaft transmits 23 KW at 200 rpm. It carries a central load of 900 N
and is simply supported between the bearings 2.5 m apart. Determine the size of the
shaft, if the allowable  = 42 MPa and the maximum tensile or compressive stress is
not to exceed 56 MPa. What size of the shaft will be required if it is subjected to a
gradually applied load? [AU, Nov / Dec - 2011]
2.88) Design a shaft to transmit power from an electric motor to a lathe head stock
through a pulley by means of a belt drive. The pulley weighs 200 N and is located
at 300 mm from the center of bearing. The diameter of the pulley is 200 m and the
maximum power transmitted is 1 KW at 120 rpm. The angle of lap of the belt is
1800
,  = 0.3. The shock and fatigue factor for bending and torsion are 1.5 and 2.0
Take  = 35 MPa.
2.89) A shaft carries pulley A at the left end and spur gear B at the middle of bearing
supports C and D. The pulley is 1000mm diameter and gear pitch diameter is 600mm.
The pulley is keyed to the shaft at 400mm to the left of the left hand bearing and the
distance between the bearing C and D is 1250mm. The shaft transmits 20Kw and
runs at 750rpm. The shaft receives power from a motor placed vertically below the
pulley through a flat belt with ratio of tension 2.5. The shaft delivers power to a gear
placed horizontally in front. The shaft rotates in ACW direction looking from left =
R.M.K COLLEGE OF ENGG AND TECH / AQ / R2013/ ME6503 / V / MECH / JUNE 2016 – NOV 2016
ME6503 – DESIGN OF MACHINE ELEMENTS QUESTION BANK by ASHOK KUMAR.R (AP / Mech) 34
20.Design the shaft if the weight of A and B are 300N and 250N resp. Allowable
shear stress is 70N/mm2 .Shock and fatigue factor in bending and torsion are 2 and
1.5.
2.90) A solid steel shaft is supported on two bearings 1.8 m apart and rotates at 250
r.p.m. A 20° involute gear D, 300 mm diameter is keyed to the shaft at a distance of
150 mm to the left on the right hand bearing. Two pulleys B and C are located on the
shaft at distances of 600 mm and 1350 mm respectively to the right of the left hand
bearing. The diameters of the pulleys Band Care 750 mm and 600 mm respectively.
30 kW is supplied to the gear, out of which 18.75 kW is taken off at the pulley C and
11.25 kW from pulley B. The drive from B is vertically downward while from C the
drive is downward at an angle of 60° to the horizontal. In both cases the belt tension
ratio is 2 and the angle of lap is 180°. The combined fatigue and shock factors for
torsion and bending may be taken as 1.5 and 2 respectively. Design a suitable shaft
taking working stress to be 42 MPa in shear and 84 MPa in tension.
[AU, May / Jun – 2016]
2.91) A shaft is supported on bearings A and B, 800mm between their centers. A 20
straight tooth spur gear having 600mm pitch diameter is located 200mm to the right
of left hand bearing A and a 700mm diameter pulley is mounted 250mm towards the
left of bearing B. The gear is driven by a pinion with a downward tangential force
while the pulley drives a horizontal belt having 180 angle of wrap. Pulley weight is
2000N. The maximum belt tension is 3000N and tension ratio is 3:1. Determine the
max. B.M and diameter of shaft if allowable shear stress is 40N/mm2
2.92) A 600mm diameter pulley driven by a horizontal belt transmits power through a
solid shaft to a 262mm diameter pinion which drives a mating gear. The pulley
weights 1200N to provide some flywheel effect. The arrangements of elements, the
belt tension and the components of gear actions on the pinion are indicated in fig.
Determine the diameter of shaft Shock and fatigue factor in bending and torsion are
2 and 1.5. [AU, May / June – 2004]
2.93) The shaft of length 1 m carrying two pulleys 1 and 2 at its left and right ends
respectively and it is supported on two bearings A and B which are located 0.25 m
from the left end and the same 0.25 m from the right end respectively. The shaft
R.M.K COLLEGE OF ENGG AND TECH / AQ / R2013/ ME6503 / V / MECH / JUNE 2016 – NOV 2016
ME6503 – DESIGN OF MACHINE ELEMENTS QUESTION BANK by ASHOK KUMAR.R (AP / Mech) 35
transmits 7.5 kW power at 360 rpm from pulley 1 to pulley 2. The diameters of pulley
1 and 2 are 250 and 500 mm respectively. The masses of pulley 1 and 2 are 10 kg
and 30 kg respectively. The belt tension act vertically downward and ratio of belt
tensions on tight side to slack side for each pulley is 2.5:1. The yield strength of the
shaft material σy= 380 MPa and factor of Safety is 3. Estimate the suitable diameter
of the shaft. [AU, Nov / Dec – 2015]
2.94) Compare the weight, strength and stiffness of a hollow shaft of the same external
diameter as that of solid shaft. The inside diameter of the hollow shaft being 0.6
times the external diameter. Both the shafts have same material and length.
2.95) A hoisting drum 0.5 m in diameter is keyed to a shaft which is supported in two
bearings and driven through a 12:1 reduction ratio by an electric motor. Determine
the power of the riving motor, if the maximum load of 8 KN is hoisted at a speed of
50m/min and the efficiency of the drive is 80%. Also determine the torque on the
drum shaft and the speed of the motor in r.p.m. Determine also the diameter of the
shaft made of machinery steel, the working stresses of which are 115 MPa in tension
and 50 MPa in shear. The drive gear whose diameter is 450 mm is mounted at the
end of the shaft such that it overhangs the nearest bearing by 150 mm. The combined
shock and fatigue factors for bending and torsion may be taken as 2 and 1.5
respectively [AU, April / May – 2011, Nov / Dec –2013]
2.96) In an axial flow rotary compressor, the shaft is subjected to a maximum twisting
moment of 1500 N-m and a maximum bending of 3000 N-m. Neglecting the axial
load on a shaft determine the diameter of the shaft, if the allowable shear stress is
50N/mm2. Assume Kb = 1.5 and Kt = 1.2. If the shaft is to be a hollow one with di
/ do = 0.4, what will be the material saving in the hollow shaft? It is subjected to the
same loading and of the same material as the solid shaft. Compare the torsional
stiffness of the two shafts. [AU, Nov / Dec –2014]
2.97) Hollow shafts, 0.5 m outside diameter and 0.3 m inside diameter is supported by
two bearings 6 m apart. The shaft is driven by a flexible coupling at one end and
drives a ships propeller at 100 rpm. The maximum thrust on the propeller is 500 kN,
when the shaft is transmitting 5000 KW. The shaft weighs 60 KN. Determine the
R.M.K COLLEGE OF ENGG AND TECH / AQ / R2013/ ME6503 / V / MECH / JUNE 2016 – NOV 2016
ME6503 – DESIGN OF MACHINE ELEMENTS QUESTION BANK by ASHOK KUMAR.R (AP / Mech) 36
maximum shear stress induced in the shafts, considering the weight of the shafts and
column effects. Take shock and fatigue factors as Kt=1 and Kb=1.5.
2.98) The layout of a transmission shaft carrying two pulleys B and C and supported by
two bearings on bearings A and D as shown in fig. Power is supplied to the shaft by
means of a vertical belt on pulley B that is then transmitted to the pulley C carrying
a horizontal belt. The maximum tension in the belt on pulley B is 2.5KN. The angle
of wrap for both pulleys is 180◦
. The shaft is made of plain carbon steel 30C8 (σyt =
400N/mm2
) and FOS is 3. Determine the shaft diameter on strength basis.
[AU, April / May – 2011]
2.99) A line shaft supporting two pulleys A and B is shown in figure. Power is supplied
to the shaft by means of a vertical belt on pulley A, which is then transmitted to
pulley B carrying a horizontal belt. The ratio of the belt tensions on the tight and
loose side is 3:1 and the maximum tension in either belt is limited to 2.7 KN. The
shaft is made of plain carbon steel 40C8 (σut = 650 N/mm2
) and σyt = 380 N/mm2
. The
pulleys are keyed to the shaft. Determine the shaft diameter according to the
A.S.M.E code if Kb =1.5 and Kt = 1.0.
R.M.K COLLEGE OF ENGG AND TECH / AQ / R2013/ ME6503 / V / MECH / JUNE 2016 – NOV 2016
ME6503 – DESIGN OF MACHINE ELEMENTS QUESTION BANK by ASHOK KUMAR.R (AP / Mech) 37
2.100) Determine the lowest (i.e, first) critical speed for the shaft of 25mm diameter as
shown in figure.
2.101) Design a shaft to transmit power from an electric motor to a lathe head stock
through a pulley by means of a belt drive. The pulley weighs 200 N and is located at
300 mm from the centre of the bearing. The diameter of the pulley is 200 mm and
the maximum power transmitted is 1 kW at 120 rpm. The angle of lap of the belt is
180° and coefficient of friction between the belt and the pulley is 0.3. The shock arid
fatigue factors for bending and twisting are 1.5 and 2 respectively. The allowable
shear stress in the shaft may be taken as 35 MPa. [AU, Nov / Dec –2011]
2.102) It is required to design a square key for fixing a gear on a shaft of 30mm
diameter. The shaft is transmitting 20kW power at 600 rpm to the gear. The key is
made of steel 50C4 (Syt = 460 N/mm2) and the factor of safety is 4. For the key
material, the yield strength in compression can be assumed to be equal to the yield
strength in tension. Determine the dimensions of the key. [AU, Apr / May – 2015]
R.M.K COLLEGE OF ENGG AND TECH / AQ / R2013/ ME6503 / V / MECH / JUNE 2016 – NOV 2016
ME6503 – DESIGN OF MACHINE ELEMENTS QUESTION BANK by ASHOK KUMAR.R (AP / Mech) 38
2.103) Design a rectangular key for a shaft of 50mm diameter. The crushing and shear
stress of the key material are 70MPa and 42MPa.
2.104) Design a muff coupling to transmit a power of 35 KW from a shaft running at
120rpm. Assume suitable material and stresses.
2.105) Design a muff coupling to connect two shafts transmitting 40kW at 120rpm. The
permissible shear and crushing stress for the shaft and key material are 30MPa and
80MPa respectively. The material of muff is cast iron with permissible shear stress
of 15MPa. Assume that the maximum torque transmitted is 25% greater than the
mean torque. [AU, May / Jun - 2012]
2.106) Design a muff coupling to connect two shafts transmitting 40kW at 150rpm. The
permissible shear and crushing stress for the shaft and key material are 37MPa and
96.25MPa respectively. The material of muff is cast iron with permissible shear
stress of 1.75MPa. Assume that the maximum torque transmitted is 20% greater than
the mean torque. Take width and depth of the parallel key is 22mm and 14mm
respectively [AU, May / Jun - 2012]
2.107) Design a muff coupling to connect two steel shafts transmitting 25kW power at
360 rpm. The Shafts and key are made of plain carbon steel 30C8 (Syt = Syc = 400
N/mm2). The sleeve is made of gray cast iron FG 200 (Sut = 200 N/mm2). The
factor of safety for the shaft and key is 4. For the sleeve, the factor of safety is 6
based on ultimate strength. [AU, Apr / May – 2015, May / Jun – 2016]
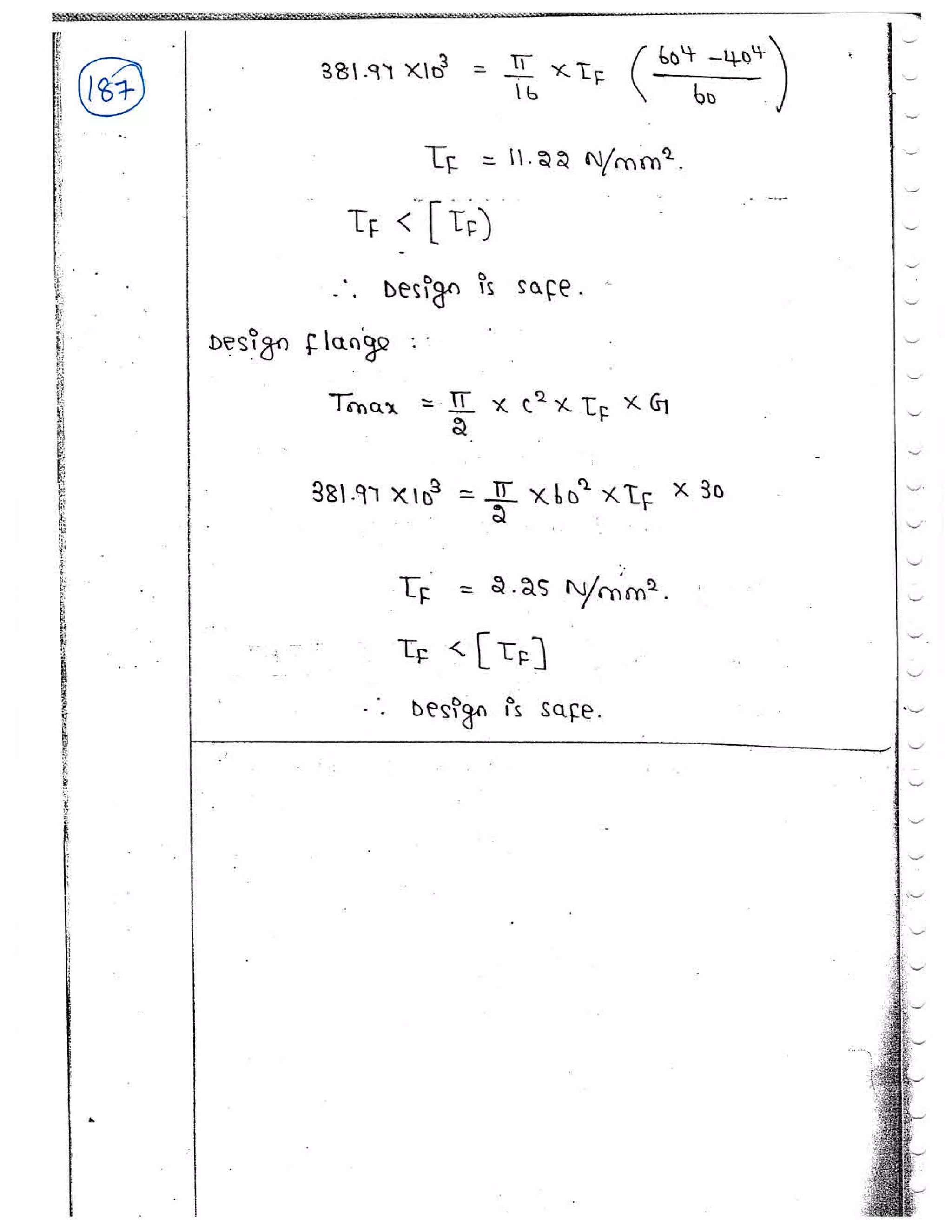
2.108) A rigid flange coupling is to be designed to transmit 20 KW at 1000 rpm.
Assuming suitable stress, design the coupling.
2.109) Design and make a neat dimensioned sketch of a muff coupling which is used to
connect two steel shafts transmitting 40 kW at 350 r.p.m. The material for the shafts
and key is plain carbon steel for which allowable shear and crushing stresses may be
taken as 40 MPa and 80 MPa respectively. The material for the muff is cast iron for
which the allowable shear stress may be assumed as 15 MPa.
[AU, April / May – 2011]
2.110) It is required to design a rigid type of flange coupling to connect two shafts. The
input shaft transmits 37.5 kW power at 180 rpm to the output shaft through the
coupling. The service factor for the application is 1.5, i.e. the design torque is 1.5
times of rated torque. Select suitable materials for various parts of the coupling,
R.M.K COLLEGE OF ENGG AND TECH / AQ / R2013/ ME6503 / V / MECH / JUNE 2016 – NOV 2016
ME6503 – DESIGN OF MACHINE ELEMENTS QUESTION BANK by ASHOK KUMAR.R (AP / Mech) 39
design the coupling and specify the dimensions of its components.
[AU, Nov / Dec - 2009]
2.111) Determine the dimensions of flange coupling that connects a motor and a pump
shaft. The power to be transmitted a 2 kW at a shaft speed of 960 rpm. Select suitable
materials for the parts of the coupling and list the dimensions.
[AU, May / Jun – 2014]
2.112) Design a rigid type of flange coupling to connect two shafts. The input shaft
transmits 37.5 kW power at 180 rpm to the output shaft through the coupling. The
service factor for the application is 1.5. Select suitable material for various parts of
the coupling. [AU, Nov / Dec – 2010]
2.113) A rigid type of coupling is used to connect two shafts transmitting 15 kW at 200
rpm. The shaft, .keys and bolts are made of C45 steel and the coupling is of cast iron.
Design the coupling. [AU, May / Jun - 2013]
2.114) Design a rigid flange coupling to transmit a torque of 250 Nm between two co-
axial shafts. The shaft is made of alloy steel, flanges out of cast iron and bolts out of
steel. Four bolts are used to couple the flanges. The shafts are keyed to the flange
hub. The permissible stresses are given below:
Shear stress on shaft = 100 MPa
Bearing or crushing stress on shaft = 250 MPa
Shear stress on keys = 100 MPa
Bearing stress on keys = 250 MPa
Shearing stress on cast iron = 200 MPa
Shearing stress on bolts = 100MPa
After designing the various elements, make a neat sketch of the assembly indicating
the important dimensions. The stresses developed in the various members may be
checked if thumb rules are using for fixing the dimensions. [AU, Nov / Dec –2013]
2.115) A rigid coupling is used to transmit 60kW power at 350rpm. There are 6 bolts.
The outer diameter of the flanges is 250mm, while the recess diameter is 175mm.
The coefficient of friction between the flanges is 0.15. The blots are made of steel
45C8 (Syt = 380 N/mm2
) and the factor of safety is 3. Determine the diameter of the
bolts. Assume that the bolts are fitted in large clearance holes.
[AU, Apr / May – 2015]
R.M.K COLLEGE OF ENGG AND TECH / AQ / R2013/ ME6503 / V / MECH / JUNE 2016 – NOV 2016
ME6503 – DESIGN OF MACHINE ELEMENTS QUESTION BANK by ASHOK KUMAR.R (AP / Mech) 40
2.116) Design a cast iron protective flange coupling to transmit 15KW at 900rpm from
an electric motor to a compressor. The service factor may be assumed as 1.35. The
following permissible stress may be used:
Shear stress for the bolt and key material = 40MPa
Crushing stress for the bolt and key = 80MPa
Shear stress for cast iron = 8MPa
[AU, April / May – 2011]
2.117) Design a cast iron flange coupling for a mild steel shaft transmitting 90 kW at
250 rpm. The allowable shear stress in the shaft is 40 MPa and the angle of twist is
not to exceed 10
in a length of 20 diameters. The allowable shear stress in the
coupling bolts is 30 MPa. [AU, Nov / Dec – 2007, 2011, 2014]
2.118) Design and draw a cast iron flange coupling for a mild steel shaft transmitting
90kW at 250 rpm. The allowable shear stress in the shaft is 40MPa and the angle of
twist is not to exceed 1º in a length of 20 diameters. The allowable shear stress in
coupling bolt is 30Mpa. [AU, Nov / Dec – 2012]
2.119) Design a protected type flange coupling for the following requirements. Power
to be transmitted= 10 kW. Speed of the shafts = 960 rpm. Select suitable materials
and suitable stresses [AU, Nov / Dec – 2015]
2.120) Design a bush type flexible flange coupling to transmit 10 KW at 720 rpm.
Allowable shear stress for shaft, key and bolt may be taken as 50 N/mm2 and the
crushing stress for the key as 110 N/mm2. The permissible shear stress for the
coupling should be limited to 18 N/mm2 and the bearing pressure between the bush
and the coupling should be limited to 2 N/mm2.
2.121) Design a bushed pin type of flexible coupling to connect a pump shaft to a motor
shaft transmitting 32kW at 960 rpm. The overall torque is 20% more than mean
torque. The material properties are as follows. The allowable shear and crushing
stress for shaft and key material is 40MPa and 80MPa respectively. The allowable
shear stress for cast iron is 15MPa. The allowable bearing pressure for rubber bush
is 0.8N/mm2
. The material of the pin is same as that of shaft and key. Draw a neat
sketch of the coupling. [AU, Nov / Dec – 2012, May / Jun – 2016]
R.M.K COLLEGE OF ENGG AND TECH / AQ / R2013/ ME6503 / V / MECH / JUNE 2016 – NOV 2016
ME6503 – DESIGN OF MACHINE ELEMENTS QUESTION BANK by ASHOK KUMAR.R (AP / Mech) 41
2.122) Design a bushed pin type of flexible coupling for connecting a motor and a pump
shaft. The following data are provided: Power transmitted = 20 kW; Speed = 1000
rpm; Diameter of the motor and pump shafts = 50 mm; Allowable bearing pressure
in the rubber bush = 0.3 MPa. [AU, Nov / Dec – 2015]
2.123) Design a protective type of cast iron flange coupling for steel shaft transmitting
15 kW at 200 rpm and having an allowable shear stress of 40 N/mm2
. The working
stress in the bolt should not exceed 30 N/mm2
. Assume that the same material is used
for shaft and key that the crushing stress is twice the value of its shear stress. The
maximum torque is 25% greater than the full loaded torque. The shear stress for cast
iron is 14 N/mm2
. [AU, Nov / Dec – 2008, May / Jun – 2016]
2.124) Design a protected type flange coupling for the following requirements. Power
to be transmitted= 10 kW. Speed of the shafts = 960 rpm. Select suitable materials
and suitable stresses [AU, Nov / Dec – 2015]
2.125) Two 35 mm shafts are connected by a flanged coupling. The flanges are fitted
with 6 bolts on 25 mm bolt circle. The shafts transmit a torque of 800 N-m at 350
rpm. For the safe stresses mentioned below, calculate (i) diameter of bolts. (ii)
thickness of flanges, (iii) key dimensions (iv) hub length and (v) power transmitted.
Safe stress for shaft material 63 MPa, Safe stress for bolt material 56 MPa, Safe
stress for cast iron coupling 10 MPa and Safe stress for key material 46 MPa.
[AU, Nov / Dec –2011]
2.126) A flexible coupling is used to transmit 15 kW power at 100 rpm. There are six
pins and their pitch circle diameter is 200 mm. The effective length of bush, the gap
between two flanges and the length of the pin in contact with the right hand flange
are 35, 5 and 23 mm respectively. The permissible shear and bending stresses in the
pin are 35 and 152 N/mm2
respectively. Calculate the pin diameter by shear
consideration, bending consideration. [AU, May / June – 2007]
2.127) A power of 5 KW at 12 rps is transmitted through a flange coupling. Material
for bolt, shaft, and key and flange are C60, C40 and CI grade 30 respectively. Design
the coupling.
2.128) Design a taper key for a shaft of diameter 75 mm transmitting 45 kW at 225 rpm.
The allowable compressive stress as 160 N/mm2
. [AU, May / June – 2007]

ME6503 - DESIGN OF MACHINE ELEMENTS UNIT - II NOTES

  • 74.
    R.M.K COLLEGE OFENGG AND TECH / AQ / R2013/ ME6503 / V / MECH / JUNE 2016 – NOV 2016 ME6503 – DESIGN OF MACHINE ELEMENTS QUESTION BANK by ASHOK KUMAR.R (AP / Mech) 26 UNIT – II – SHAFTS AND COUPLINGS Part – A 2.1) What is meant by a shaft? 2.2) What are the types of the shaft? 2.3) Distinguish between shaft, axle and spindle from the design point of view. 2.4) What are the materials used in shafts? [AU, Nov / Dec – 2015] 2.5) How are shafts formed? 2.6) State any four reasons for preferring hollow shaft over solid shaft. 2.7) What is meant by Jack shaft? [AU, April / May – 2010] 2.8) What are the factors to be considered for the selection of shaft materials? 2.9) What is meant by design of a shaft based on rigidity? [AU, Nov / Dec – 2015] 2.10) What are the types of stresses induced in shafts? [AU, Nov / Dec –2011] 2.11) Name the stresses induced in the shaft. [AU, April / May – 2011] 2.12) What are the various stresses induced in the shafts? [AU, May / Jun – 2014] 2.13) What are the various stresses induced in the shafts? [AU, May / Jun – 2014] 2.14) Why is maximum shear stress theory is been used for shaft? [AU, Nov / Dec - 2009] 2.15) What is the significance of slenderness ratio in shaft design? [AU, Nov / Dec - 2008] 2.16) Why a hollow shaft has greater strength and stiffness than solid shaft of equal weight? [AU, April / May – 2011, Nov / Dec –2012, May / Jun – 2016] 2.17) What do you mean by stiffness and rigidity with reference to shafts? [AU, Nov / Dec - 2010] 2.18) Why is maximum shear stress used for shaft? [AU, Nov / Dec - 2009] 2.19) Define variable load? [AU, April / May – 2010] 2.20) What are the theories of failure used in design of shafts? [AU, Nov / Dec –2012] 2.21) Suggest suitable couplings for (a) Shaft with parallel misalignment (b) Shafts with angular misalignment of 10° (c) Shafts in perfect alignment [AU, Nov / Dec - 2010]
  • 75.
    R.M.K COLLEGE OFENGG AND TECH / AQ / R2013/ ME6503 / V / MECH / JUNE 2016 – NOV 2016 ME6503 – DESIGN OF MACHINE ELEMENTS QUESTION BANK by ASHOK KUMAR.R (AP / Mech) 27 2.22) Explain the significance of slenderness ratio in shaft design. 2.23) What is meant by critical speed? 2.24) What is meant by critical speed of shaft? [AU, April / May – 2010] 2.25) What is the effect of key ways cut into the shaft? [AU, May / Jun – 2016] 2.26) How the length and diameter of a shaft affects its critical speed? [AU, Apr / May – 2015] 2.27) What is meant by equivalent bending moment [AU, May / Jun - 2012] 2.28) Sketch the cross section of a splined shaft. [AU, May / Jun - 2012] 2.29) A shaft is used to transmit 25 KW at 1500 rpm. The material used is 30 C8 steel. σy = 300 MPa. Find the diameter of the shaft. 2.30) A shaft of 70mm long is subjected to shear stress of 40 MPa and has an angle of twist equal to 0.017 radian. Determine the diameter of the shaft. Take G=80 GPa. [AU, Nov / Dec –2013] 2.31) The shaft of diameter 60 mm is subjected to shear stress of 40 MPa and has an angle of twist equal to 0.01 radian. Determine the length of the shaft for G = 8 * 105 MPa. 2.32) A hollow steel shaft 3 m long transmits 25 KNm torque. The total angle of twist not exceeding 2° and permissible shear stress is equal to 60 MPa. Find the inner and outer diameter of the shaft G = 0.8 * 105 MPa. 2.33) Shaft A has diameter which is double the diameter of shaft B of same material and transmit 80 kW if both shafts rotate at same speed, what is the power transmitted by shaft B [AU, Nov / Dec –2014] 2.34) What is a key? Where is it used? On what basis is it selected? 2.35) What is key? State its functions. [AU, Nov / Dec –2011] 2.36) What is the function of key? [AU, April / May – 2011] 2.37) What is the function of keys? List types of keys [AU, Nov / Dec –2012] 2.38) How are keys classified? 2.39) Discuss forces on keys. [AU, Nov / Dec –2014] 2.40) For any sunk key, the crushing strength should be at least twice the shear strength. Prove it. 2.41) What is the main use of woodruff keys? [AU, May / Jun, Nov / Dec –2013] 2.42) What are the advantages of Woodruff keys when compared to others?
  • 76.
    R.M.K COLLEGE OFENGG AND TECH / AQ / R2013/ ME6503 / V / MECH / JUNE 2016 – NOV 2016 ME6503 – DESIGN OF MACHINE ELEMENTS QUESTION BANK by ASHOK KUMAR.R (AP / Mech) 28 2.43) In what ways are splines superior to keys? 2.44) Differentiate between keys and splines. [AU, May / June – 2009, 2012, Nov / Dec –2011] 2.45) What is coupling? [AU, May / June - 2009] 2.46) What are the different types of rigid couplings? [AU, April / May – 2011] 2.47) Name any two of the rigid coupling. [AU, May / Jun – 2014] 2.48) In what situation is flexible coupling is used? [AU, Nov / Dec – 2008, 2009, 2015] 2.49) Under what circumstances flexible couplings are used? [AU, Nov / Dec –2012, May / Jun – 2016] 2.50) Differentiate between rigid coupling and flexible coupling. [AU, May / Jun – 2016] 2.51) Where are spline couplings used? 2.52) Explain the modes of failure of keys. 2.53) What are the forces acting on keys when used for transmitting torque? 2.54) How is the strength of a shaft affected by the keyway? 2.55) State the applications of shaft coupling. 2.56) Name the various types of shaft couplings. 2.57) In which situations, flexible couplings are selected? [AU, Nov / Dec – 2009] 2.58) Name any two of the rigid and flexible couplings. [AU, May / Jun - 2013] 2.59) What are the possible modes of failure of the pin (bolt) in a flexible coupling? [AU, Nov / Dec – 2015] 2.60) What is the use of register in a flange coupling? 2.61) Explain the advantage of split muff coupling over solid muff coupling. 2.62) Explain the failure modes of couplings. Part – B 2.63) Find the diameter of solid shaft to transmit 20kW at 200rpm. Take FOS 2 and the shear stresses as 45MPa. If the hollow shaft is need instead of solid shaft. Find the inside and outside diameter when the ratio between inside and outside diameter is 0.5. 2.64) Compare the weight, strength and stiffness of a hollow shaft of same internal diameter as that of a solid shaft. The inside diameter of the hollow shaft is being
  • 77.
    R.M.K COLLEGE OFENGG AND TECH / AQ / R2013/ ME6503 / V / MECH / JUNE 2016 – NOV 2016 ME6503 – DESIGN OF MACHINE ELEMENTS QUESTION BANK by ASHOK KUMAR.R (AP / Mech) 29 0.7times the external diameter. Both the shaft has same material and length. [AU, May / Jun - 2012] 2.65) A solid shaft is to transmit 1000 kW at 120 rpm. Find the shaft diameter if the shear stress is 80 N/mm2 . If the shaft is made hollow with internal diameter, find the percentage saving in material, Take I.D = 0.6. [AU, Nov / Dec – 2015] 2.66) A hollow steel shaft transmits 500 KW at 1000 rpm. The maximum shear stress is 50 N/mm2. Find the outside and inside diameter of the shaft, if the outside diameter is twice the inside diameter, assuming that the maximum torque is 20 % greater than the mean torque. 2.67) A solid shaft of diameter d is used in power transmission. Due to modification of existing transmission system, it is required to replace the solid shaft by a hollow shaft of the same material and equally strong in torsion. Further, the weight of hollow shaft per meter length should be half of the solid shaft. Determine the outer diameter of hollow shaft in terms of d. [AU, Nov / Dec - 2009] 2.68) A solid circular shaft is subjected to a bending moment of 3000 N-m and a torque of 10000 N-m. The shaft is made of 45C8 steel having ultimate tensile stress of 700 MPa and a ultimate shear stress of 500 MPa. Assuming a factor of safety as 6, determine the diameter of the shaft. [AU, May / June - 2009] 2.69) A shaft of 30 KW, 710 rpm motor is 40 mm in diameter and is supported I n bearings 500 mm apart. Calculate the (i)Stress due to bending if the armature weighing 10,000 N concentrated at the Centre acting vertically. (ii) Stress due to torsion. (iii)Equivalent shear stress and tensile stress due to bending moment and torque. 2.70) A line shaft rotating at 200 rpm is to transmit 20 KW power. The allowable shear stress for the shaft material is 42 N/mm2 . If the shaft carries a central load of 900 N and is simply supported between bearings 3 m apart, determine the diameter of the
  • 78.
    R.M.K COLLEGE OFENGG AND TECH / AQ / R2013/ ME6503 / V / MECH / JUNE 2016 – NOV 2016 ME6503 – DESIGN OF MACHINE ELEMENTS QUESTION BANK by ASHOK KUMAR.R (AP / Mech) 30 shaft. The maximum tensile or compressive stress is not to exceed 56 N/mm2 . [AU, April / May – 2009] 2.71) The shaft of an axial flow rotary air compressor is subjected to a maximum torque of 2kNm an maximum bending moment of 4kNm. The combined shear and fatigue factors in torsion and bending may be taken as 1.5 and 2.0 respectively. Determine the diameter of the shaft, the shear stress in shaft should not exceed 5.0MN/m2 [AU, Nov / Dec - 2008] 2.72) A shaft is to transmit 20KW at 250 rpm. It is supported on two bearings 750mm apart and has two gears keyed to it. The pinion having 24 teeth of 6mm module is located at 100mm to the left of the right hand bearing and delivers the power horizontally to the right. The gear having 80 teeth, 6mm module is located at 150mm to the right of left - hand bearing and receives power in a vertical direction from below. Selecting suitable material, determine the required shaft size for a factor of safety of 2. 2.73) A shaft is supported at its ends with ball bearing carries a straight tooth spur gear at the mid span of the shaft and transmits 7.5kW at 300rpm. The pitch circle diameter of the gear is 150mm. The distance between the centerline of bearing and gear is 100mm. If the shaft is made up of steel with allowable shear stress as 45MPa. Determine the diameter of shaft take the pressure angle of the gear is 20º. 2.74) A steel shaft transmitting 12 KW at 250 rpm is supported on two bearings 700mm apart and has keyed to it two gears. A - 20 teeth, 8 module gear is located at 120 mm to the left of the right hand bearing and delivers power to a gear directly below the shafts. A - 80 teeth, 16 module gear is located at 150 mm to the right of the left - hand bearing and receives power from a gear directly above it. Sketch the bending moment diagrams and determine the diameter of the shaft. 2.75) A line shaft is driven by a means of motor placed vertically below it. The pulley on the line shaft with a diameter of 1.5m and has belt tension of 5.4kN and 1.8kN on
  • 79.
    R.M.K COLLEGE OFENGG AND TECH / AQ / R2013/ ME6503 / V / MECH / JUNE 2016 – NOV 2016 ME6503 – DESIGN OF MACHINE ELEMENTS QUESTION BANK by ASHOK KUMAR.R (AP / Mech) 31 the tight side and slack side of the belt. Both the tension may be assumed vertically. If the pulley overhangs from the shaft at a distance of 40mm from the line bearing. Find the diameter of shaft. Take shear stress as 42MPa. 2.76) Power is transmitted to a shaft supported on bearings, 900 mm apart, by a belt drive, running on a 450 mm pulley, which overhangs the right bearing by 200 mm. Power is transmitted from the shaft through a belt drive, running on a 250 mm pulley, located mid - way between the bearings. The belt drives are at right angle to each other and the ratio of the belt tensions is 3; with the maximum tension in both the belts being limited to 2 KN. Determine the diameter of the shaft, assuming permissible tensile and shear stresses are 100 MPa and 60 MPa respectively. [AU, Nov / Dec – 2004, 2005] 2.77) A shaft is to transmit 50 KW at 1200 rpm. It is also subjected to a bending moment of 275 Nm. Allowable shear stress is 60 N/mm2 . The shaft is not to twist more than 20 in a length of 2m. G =80 * 103 N/mm2 . Design the shaft. [AU, Nov / Dec – 2004, 2005] 2.78) A turbine shaft transmits 500 kW at 900 rpm. The permissible shear stress is 80 N/mm2 while twist is limited to 0.50 in a length of 2.5 m. Calculate the diameter of the shaft. Take G = 0.8 x 105 N/mm2 . If the shaft chosen is hollow with di/d0 = 0.6, calculate the percentage of saving in material. [AU, May / June – 2007] 2.79) A C45 steel shaft transmits 10 KW at 750 rpm. It is supported on two bearings 800 mm apart and has two gears keyed onto it. The pinion having 30 teeth of 5 mm module is located 120 mm to the left of the right hand bearing and delivers power horizontally to the right. The gear having 100 teeth of 5 mm module is located 150 mm to the right of the left hand bearing and receives power from below (CCW viewed from the left to the end). Determine the diameter of the shaft. [AU, Nov / Dec – 2001] 2.80) A horizontal nickel steel shaft rest on two bearings, A at the left and B at the right end and carries two gears C and D located at the distance of 250mm and 400mm respectively from the centre line of the left end and right bearings. The pitch diameter of the gear C is 600mm and the gear D is 200mm. The distance between the center line of the bearings is 2400mm. The shaft transmits 20kW at 120rpm. The power delivered to the shaft at gear C and taken out at gear D in such a manner that the
  • 80.
    R.M.K COLLEGE OFENGG AND TECH / AQ / R2013/ ME6503 / V / MECH / JUNE 2016 – NOV 2016 ME6503 – DESIGN OF MACHINE ELEMENTS QUESTION BANK by ASHOK KUMAR.R (AP / Mech) 32 tooth pressure FtC of the gear C and FtD act vertically downwards. Find the diameter of the shaft, if the working stress is100MPa in tension and 56MPa in shear. The gear C and D weighs 950N and 350N respectively. The combined shock and fatigue factors for bending and torsion may be taken as 1.5 and 1.2 respectively. [AU, Nov / Dec – 2012, May / Jun – 2016] 2.81) A transmission shaft is supported on two bearings which are 1m apart. Power is supplied to the shaft by means of a flexible coupling, which is located to the left of left hand bearing. Power is transmitted from the shaft by means of a belt pulley, 250 mm diameter, which is located at a distance of 300 mm from the left hand bearing. The mass of the pulley is 20 kg and the ratio of belt tension on tight and slack sides is 2:1. The belt tensions act vertically downward. The shaft is made of steel with yield stress 300N/mm2 and the factor of safety is 3. Determine the shaft diameter, if it transmits 10 kW power at 360 rpm from the coupling to the pulley [AU, Nov / Dec – 2010] 2.82) A shaft supported at the ends in ball bearing carries a straight tooth spur gear at its mid – span and is to transmit 7.5 KW at 300 rpm. The pitch circle diameter of the gear is 150 mm. The distance between the center line of the bearing and gear are 100 mm each. If the shaft is made of steel and the allowable shear stress is 45 MPa, determine the diameter. The pressure angle of the gear is 200 . 2.83) A shaft is supported by two bearings placed 1 m apart. A 600 mm diameter pulley is mounted at a distance of 300 mm to the right of the left hand bearing and this drives a pulley directly below it with the help of a belt having a maximum tension of 2.25 KN. Another pulley of 400 mm diameter is placed 200 mm to the left of the right hand bearing and is driven with the help of an electric motor and belt, which is placed horizontally to the right. The angle of contact for both the pulley is 1800 and = 0.24. Determine the suitable diameter for solid shaft; assume the working stress of 63 MPa in tension and 42 MPa in shear. Assume that the torque on one pulley is equal to the other pulley. [AU, April / May – 2010, Nov / Dec – 2012] 2.84) A mild steel shaft rotating at 720 rpm is supported between two bearings 80 cm apart. It carries two pulleys A and B at a distance of 30 cm and 60 cm respectively from the left bearing. 10 KW of power is fed into the pulley A with a diameter of 30 mm by vertical belt drives having the same ratio of driving tensions, which was
  • 81.
    R.M.K COLLEGE OFENGG AND TECH / AQ / R2013/ ME6503 / V / MECH / JUNE 2016 – NOV 2016 ME6503 – DESIGN OF MACHINE ELEMENTS QUESTION BANK by ASHOK KUMAR.R (AP / Mech) 33 observed to be 2.5. Take t = 75 N/mm2  = 45 N/mm2 . Design the diameter of the shaft. 2.85) A steel solid shaft transmitting 15 KW at 200 rpm is supported on two bearings 750 mm apart. The pinion having 30 teeth of 5 mm module is located 100 mm to the left of the right hand bearing and delivers power horizontally to the right. The gear having 100 teeth of 5 mm module is located 150 mm to the right of the left hand bearing and receives power in the vertical direction. Take  = 54 N/mm2 . Design the diameter of the shaft. [AU, May / Jun – 2013, 2014] 2.86) A mild steel shaft transmits 20 KW at 200 rpm. It carries a central load of 900 N and is simply supported between the bearings 2.5 m apart. Determine the size of the shaft, if the allowable  = 42 MPa and the maximum tensile or compressive stress is not to exceed 56 MPa. What size of the shaft will be required if it is subjected to a gradually applied load? [AU, Nov / Dec - 2007] 2.87) A mild steel shaft transmits 23 KW at 200 rpm. It carries a central load of 900 N and is simply supported between the bearings 2.5 m apart. Determine the size of the shaft, if the allowable  = 42 MPa and the maximum tensile or compressive stress is not to exceed 56 MPa. What size of the shaft will be required if it is subjected to a gradually applied load? [AU, Nov / Dec - 2011] 2.88) Design a shaft to transmit power from an electric motor to a lathe head stock through a pulley by means of a belt drive. The pulley weighs 200 N and is located at 300 mm from the center of bearing. The diameter of the pulley is 200 m and the maximum power transmitted is 1 KW at 120 rpm. The angle of lap of the belt is 1800 ,  = 0.3. The shock and fatigue factor for bending and torsion are 1.5 and 2.0 Take  = 35 MPa. 2.89) A shaft carries pulley A at the left end and spur gear B at the middle of bearing supports C and D. The pulley is 1000mm diameter and gear pitch diameter is 600mm. The pulley is keyed to the shaft at 400mm to the left of the left hand bearing and the distance between the bearing C and D is 1250mm. The shaft transmits 20Kw and runs at 750rpm. The shaft receives power from a motor placed vertically below the pulley through a flat belt with ratio of tension 2.5. The shaft delivers power to a gear placed horizontally in front. The shaft rotates in ACW direction looking from left =
  • 82.
    R.M.K COLLEGE OFENGG AND TECH / AQ / R2013/ ME6503 / V / MECH / JUNE 2016 – NOV 2016 ME6503 – DESIGN OF MACHINE ELEMENTS QUESTION BANK by ASHOK KUMAR.R (AP / Mech) 34 20.Design the shaft if the weight of A and B are 300N and 250N resp. Allowable shear stress is 70N/mm2 .Shock and fatigue factor in bending and torsion are 2 and 1.5. 2.90) A solid steel shaft is supported on two bearings 1.8 m apart and rotates at 250 r.p.m. A 20° involute gear D, 300 mm diameter is keyed to the shaft at a distance of 150 mm to the left on the right hand bearing. Two pulleys B and C are located on the shaft at distances of 600 mm and 1350 mm respectively to the right of the left hand bearing. The diameters of the pulleys Band Care 750 mm and 600 mm respectively. 30 kW is supplied to the gear, out of which 18.75 kW is taken off at the pulley C and 11.25 kW from pulley B. The drive from B is vertically downward while from C the drive is downward at an angle of 60° to the horizontal. In both cases the belt tension ratio is 2 and the angle of lap is 180°. The combined fatigue and shock factors for torsion and bending may be taken as 1.5 and 2 respectively. Design a suitable shaft taking working stress to be 42 MPa in shear and 84 MPa in tension. [AU, May / Jun – 2016] 2.91) A shaft is supported on bearings A and B, 800mm between their centers. A 20 straight tooth spur gear having 600mm pitch diameter is located 200mm to the right of left hand bearing A and a 700mm diameter pulley is mounted 250mm towards the left of bearing B. The gear is driven by a pinion with a downward tangential force while the pulley drives a horizontal belt having 180 angle of wrap. Pulley weight is 2000N. The maximum belt tension is 3000N and tension ratio is 3:1. Determine the max. B.M and diameter of shaft if allowable shear stress is 40N/mm2 2.92) A 600mm diameter pulley driven by a horizontal belt transmits power through a solid shaft to a 262mm diameter pinion which drives a mating gear. The pulley weights 1200N to provide some flywheel effect. The arrangements of elements, the belt tension and the components of gear actions on the pinion are indicated in fig. Determine the diameter of shaft Shock and fatigue factor in bending and torsion are 2 and 1.5. [AU, May / June – 2004] 2.93) The shaft of length 1 m carrying two pulleys 1 and 2 at its left and right ends respectively and it is supported on two bearings A and B which are located 0.25 m from the left end and the same 0.25 m from the right end respectively. The shaft
  • 83.
    R.M.K COLLEGE OFENGG AND TECH / AQ / R2013/ ME6503 / V / MECH / JUNE 2016 – NOV 2016 ME6503 – DESIGN OF MACHINE ELEMENTS QUESTION BANK by ASHOK KUMAR.R (AP / Mech) 35 transmits 7.5 kW power at 360 rpm from pulley 1 to pulley 2. The diameters of pulley 1 and 2 are 250 and 500 mm respectively. The masses of pulley 1 and 2 are 10 kg and 30 kg respectively. The belt tension act vertically downward and ratio of belt tensions on tight side to slack side for each pulley is 2.5:1. The yield strength of the shaft material σy= 380 MPa and factor of Safety is 3. Estimate the suitable diameter of the shaft. [AU, Nov / Dec – 2015] 2.94) Compare the weight, strength and stiffness of a hollow shaft of the same external diameter as that of solid shaft. The inside diameter of the hollow shaft being 0.6 times the external diameter. Both the shafts have same material and length. 2.95) A hoisting drum 0.5 m in diameter is keyed to a shaft which is supported in two bearings and driven through a 12:1 reduction ratio by an electric motor. Determine the power of the riving motor, if the maximum load of 8 KN is hoisted at a speed of 50m/min and the efficiency of the drive is 80%. Also determine the torque on the drum shaft and the speed of the motor in r.p.m. Determine also the diameter of the shaft made of machinery steel, the working stresses of which are 115 MPa in tension and 50 MPa in shear. The drive gear whose diameter is 450 mm is mounted at the end of the shaft such that it overhangs the nearest bearing by 150 mm. The combined shock and fatigue factors for bending and torsion may be taken as 2 and 1.5 respectively [AU, April / May – 2011, Nov / Dec –2013] 2.96) In an axial flow rotary compressor, the shaft is subjected to a maximum twisting moment of 1500 N-m and a maximum bending of 3000 N-m. Neglecting the axial load on a shaft determine the diameter of the shaft, if the allowable shear stress is 50N/mm2. Assume Kb = 1.5 and Kt = 1.2. If the shaft is to be a hollow one with di / do = 0.4, what will be the material saving in the hollow shaft? It is subjected to the same loading and of the same material as the solid shaft. Compare the torsional stiffness of the two shafts. [AU, Nov / Dec –2014] 2.97) Hollow shafts, 0.5 m outside diameter and 0.3 m inside diameter is supported by two bearings 6 m apart. The shaft is driven by a flexible coupling at one end and drives a ships propeller at 100 rpm. The maximum thrust on the propeller is 500 kN, when the shaft is transmitting 5000 KW. The shaft weighs 60 KN. Determine the
  • 84.
    R.M.K COLLEGE OFENGG AND TECH / AQ / R2013/ ME6503 / V / MECH / JUNE 2016 – NOV 2016 ME6503 – DESIGN OF MACHINE ELEMENTS QUESTION BANK by ASHOK KUMAR.R (AP / Mech) 36 maximum shear stress induced in the shafts, considering the weight of the shafts and column effects. Take shock and fatigue factors as Kt=1 and Kb=1.5. 2.98) The layout of a transmission shaft carrying two pulleys B and C and supported by two bearings on bearings A and D as shown in fig. Power is supplied to the shaft by means of a vertical belt on pulley B that is then transmitted to the pulley C carrying a horizontal belt. The maximum tension in the belt on pulley B is 2.5KN. The angle of wrap for both pulleys is 180◦ . The shaft is made of plain carbon steel 30C8 (σyt = 400N/mm2 ) and FOS is 3. Determine the shaft diameter on strength basis. [AU, April / May – 2011] 2.99) A line shaft supporting two pulleys A and B is shown in figure. Power is supplied to the shaft by means of a vertical belt on pulley A, which is then transmitted to pulley B carrying a horizontal belt. The ratio of the belt tensions on the tight and loose side is 3:1 and the maximum tension in either belt is limited to 2.7 KN. The shaft is made of plain carbon steel 40C8 (σut = 650 N/mm2 ) and σyt = 380 N/mm2 . The pulleys are keyed to the shaft. Determine the shaft diameter according to the A.S.M.E code if Kb =1.5 and Kt = 1.0.
  • 85.
    R.M.K COLLEGE OFENGG AND TECH / AQ / R2013/ ME6503 / V / MECH / JUNE 2016 – NOV 2016 ME6503 – DESIGN OF MACHINE ELEMENTS QUESTION BANK by ASHOK KUMAR.R (AP / Mech) 37 2.100) Determine the lowest (i.e, first) critical speed for the shaft of 25mm diameter as shown in figure. 2.101) Design a shaft to transmit power from an electric motor to a lathe head stock through a pulley by means of a belt drive. The pulley weighs 200 N and is located at 300 mm from the centre of the bearing. The diameter of the pulley is 200 mm and the maximum power transmitted is 1 kW at 120 rpm. The angle of lap of the belt is 180° and coefficient of friction between the belt and the pulley is 0.3. The shock arid fatigue factors for bending and twisting are 1.5 and 2 respectively. The allowable shear stress in the shaft may be taken as 35 MPa. [AU, Nov / Dec –2011] 2.102) It is required to design a square key for fixing a gear on a shaft of 30mm diameter. The shaft is transmitting 20kW power at 600 rpm to the gear. The key is made of steel 50C4 (Syt = 460 N/mm2) and the factor of safety is 4. For the key material, the yield strength in compression can be assumed to be equal to the yield strength in tension. Determine the dimensions of the key. [AU, Apr / May – 2015]
  • 86.
    R.M.K COLLEGE OFENGG AND TECH / AQ / R2013/ ME6503 / V / MECH / JUNE 2016 – NOV 2016 ME6503 – DESIGN OF MACHINE ELEMENTS QUESTION BANK by ASHOK KUMAR.R (AP / Mech) 38 2.103) Design a rectangular key for a shaft of 50mm diameter. The crushing and shear stress of the key material are 70MPa and 42MPa. 2.104) Design a muff coupling to transmit a power of 35 KW from a shaft running at 120rpm. Assume suitable material and stresses. 2.105) Design a muff coupling to connect two shafts transmitting 40kW at 120rpm. The permissible shear and crushing stress for the shaft and key material are 30MPa and 80MPa respectively. The material of muff is cast iron with permissible shear stress of 15MPa. Assume that the maximum torque transmitted is 25% greater than the mean torque. [AU, May / Jun - 2012] 2.106) Design a muff coupling to connect two shafts transmitting 40kW at 150rpm. The permissible shear and crushing stress for the shaft and key material are 37MPa and 96.25MPa respectively. The material of muff is cast iron with permissible shear stress of 1.75MPa. Assume that the maximum torque transmitted is 20% greater than the mean torque. Take width and depth of the parallel key is 22mm and 14mm respectively [AU, May / Jun - 2012] 2.107) Design a muff coupling to connect two steel shafts transmitting 25kW power at 360 rpm. The Shafts and key are made of plain carbon steel 30C8 (Syt = Syc = 400 N/mm2). The sleeve is made of gray cast iron FG 200 (Sut = 200 N/mm2). The factor of safety for the shaft and key is 4. For the sleeve, the factor of safety is 6 based on ultimate strength. [AU, Apr / May – 2015, May / Jun – 2016] 2.108) A rigid flange coupling is to be designed to transmit 20 KW at 1000 rpm. Assuming suitable stress, design the coupling. 2.109) Design and make a neat dimensioned sketch of a muff coupling which is used to connect two steel shafts transmitting 40 kW at 350 r.p.m. The material for the shafts and key is plain carbon steel for which allowable shear and crushing stresses may be taken as 40 MPa and 80 MPa respectively. The material for the muff is cast iron for which the allowable shear stress may be assumed as 15 MPa. [AU, April / May – 2011] 2.110) It is required to design a rigid type of flange coupling to connect two shafts. The input shaft transmits 37.5 kW power at 180 rpm to the output shaft through the coupling. The service factor for the application is 1.5, i.e. the design torque is 1.5 times of rated torque. Select suitable materials for various parts of the coupling,
  • 87.
    R.M.K COLLEGE OFENGG AND TECH / AQ / R2013/ ME6503 / V / MECH / JUNE 2016 – NOV 2016 ME6503 – DESIGN OF MACHINE ELEMENTS QUESTION BANK by ASHOK KUMAR.R (AP / Mech) 39 design the coupling and specify the dimensions of its components. [AU, Nov / Dec - 2009] 2.111) Determine the dimensions of flange coupling that connects a motor and a pump shaft. The power to be transmitted a 2 kW at a shaft speed of 960 rpm. Select suitable materials for the parts of the coupling and list the dimensions. [AU, May / Jun – 2014] 2.112) Design a rigid type of flange coupling to connect two shafts. The input shaft transmits 37.5 kW power at 180 rpm to the output shaft through the coupling. The service factor for the application is 1.5. Select suitable material for various parts of the coupling. [AU, Nov / Dec – 2010] 2.113) A rigid type of coupling is used to connect two shafts transmitting 15 kW at 200 rpm. The shaft, .keys and bolts are made of C45 steel and the coupling is of cast iron. Design the coupling. [AU, May / Jun - 2013] 2.114) Design a rigid flange coupling to transmit a torque of 250 Nm between two co- axial shafts. The shaft is made of alloy steel, flanges out of cast iron and bolts out of steel. Four bolts are used to couple the flanges. The shafts are keyed to the flange hub. The permissible stresses are given below: Shear stress on shaft = 100 MPa Bearing or crushing stress on shaft = 250 MPa Shear stress on keys = 100 MPa Bearing stress on keys = 250 MPa Shearing stress on cast iron = 200 MPa Shearing stress on bolts = 100MPa After designing the various elements, make a neat sketch of the assembly indicating the important dimensions. The stresses developed in the various members may be checked if thumb rules are using for fixing the dimensions. [AU, Nov / Dec –2013] 2.115) A rigid coupling is used to transmit 60kW power at 350rpm. There are 6 bolts. The outer diameter of the flanges is 250mm, while the recess diameter is 175mm. The coefficient of friction between the flanges is 0.15. The blots are made of steel 45C8 (Syt = 380 N/mm2 ) and the factor of safety is 3. Determine the diameter of the bolts. Assume that the bolts are fitted in large clearance holes. [AU, Apr / May – 2015]
  • 88.
    R.M.K COLLEGE OFENGG AND TECH / AQ / R2013/ ME6503 / V / MECH / JUNE 2016 – NOV 2016 ME6503 – DESIGN OF MACHINE ELEMENTS QUESTION BANK by ASHOK KUMAR.R (AP / Mech) 40 2.116) Design a cast iron protective flange coupling to transmit 15KW at 900rpm from an electric motor to a compressor. The service factor may be assumed as 1.35. The following permissible stress may be used: Shear stress for the bolt and key material = 40MPa Crushing stress for the bolt and key = 80MPa Shear stress for cast iron = 8MPa [AU, April / May – 2011] 2.117) Design a cast iron flange coupling for a mild steel shaft transmitting 90 kW at 250 rpm. The allowable shear stress in the shaft is 40 MPa and the angle of twist is not to exceed 10 in a length of 20 diameters. The allowable shear stress in the coupling bolts is 30 MPa. [AU, Nov / Dec – 2007, 2011, 2014] 2.118) Design and draw a cast iron flange coupling for a mild steel shaft transmitting 90kW at 250 rpm. The allowable shear stress in the shaft is 40MPa and the angle of twist is not to exceed 1º in a length of 20 diameters. The allowable shear stress in coupling bolt is 30Mpa. [AU, Nov / Dec – 2012] 2.119) Design a protected type flange coupling for the following requirements. Power to be transmitted= 10 kW. Speed of the shafts = 960 rpm. Select suitable materials and suitable stresses [AU, Nov / Dec – 2015] 2.120) Design a bush type flexible flange coupling to transmit 10 KW at 720 rpm. Allowable shear stress for shaft, key and bolt may be taken as 50 N/mm2 and the crushing stress for the key as 110 N/mm2. The permissible shear stress for the coupling should be limited to 18 N/mm2 and the bearing pressure between the bush and the coupling should be limited to 2 N/mm2. 2.121) Design a bushed pin type of flexible coupling to connect a pump shaft to a motor shaft transmitting 32kW at 960 rpm. The overall torque is 20% more than mean torque. The material properties are as follows. The allowable shear and crushing stress for shaft and key material is 40MPa and 80MPa respectively. The allowable shear stress for cast iron is 15MPa. The allowable bearing pressure for rubber bush is 0.8N/mm2 . The material of the pin is same as that of shaft and key. Draw a neat sketch of the coupling. [AU, Nov / Dec – 2012, May / Jun – 2016]
  • 89.
    R.M.K COLLEGE OFENGG AND TECH / AQ / R2013/ ME6503 / V / MECH / JUNE 2016 – NOV 2016 ME6503 – DESIGN OF MACHINE ELEMENTS QUESTION BANK by ASHOK KUMAR.R (AP / Mech) 41 2.122) Design a bushed pin type of flexible coupling for connecting a motor and a pump shaft. The following data are provided: Power transmitted = 20 kW; Speed = 1000 rpm; Diameter of the motor and pump shafts = 50 mm; Allowable bearing pressure in the rubber bush = 0.3 MPa. [AU, Nov / Dec – 2015] 2.123) Design a protective type of cast iron flange coupling for steel shaft transmitting 15 kW at 200 rpm and having an allowable shear stress of 40 N/mm2 . The working stress in the bolt should not exceed 30 N/mm2 . Assume that the same material is used for shaft and key that the crushing stress is twice the value of its shear stress. The maximum torque is 25% greater than the full loaded torque. The shear stress for cast iron is 14 N/mm2 . [AU, Nov / Dec – 2008, May / Jun – 2016] 2.124) Design a protected type flange coupling for the following requirements. Power to be transmitted= 10 kW. Speed of the shafts = 960 rpm. Select suitable materials and suitable stresses [AU, Nov / Dec – 2015] 2.125) Two 35 mm shafts are connected by a flanged coupling. The flanges are fitted with 6 bolts on 25 mm bolt circle. The shafts transmit a torque of 800 N-m at 350 rpm. For the safe stresses mentioned below, calculate (i) diameter of bolts. (ii) thickness of flanges, (iii) key dimensions (iv) hub length and (v) power transmitted. Safe stress for shaft material 63 MPa, Safe stress for bolt material 56 MPa, Safe stress for cast iron coupling 10 MPa and Safe stress for key material 46 MPa. [AU, Nov / Dec –2011] 2.126) A flexible coupling is used to transmit 15 kW power at 100 rpm. There are six pins and their pitch circle diameter is 200 mm. The effective length of bush, the gap between two flanges and the length of the pin in contact with the right hand flange are 35, 5 and 23 mm respectively. The permissible shear and bending stresses in the pin are 35 and 152 N/mm2 respectively. Calculate the pin diameter by shear consideration, bending consideration. [AU, May / June – 2007] 2.127) A power of 5 KW at 12 rps is transmitted through a flange coupling. Material for bolt, shaft, and key and flange are C60, C40 and CI grade 30 respectively. Design the coupling. 2.128) Design a taper key for a shaft of diameter 75 mm transmitting 45 kW at 225 rpm. The allowable compressive stress as 160 N/mm2 . [AU, May / June – 2007]